Практический инструментарий организации управления
Анализ и оптимизация документооборота на примере предприятия машиностроительной отрасли
Рассмотрим предложенную автором методику на примере предприятия машиностроительной отрасли ОАО «Нефтегазмаш».
Проведем анализ системы документооборота предприятия за 1999 – 2000 года.
Этап 1. Анализ системы документооборота на ОАО «Нефтегазмаш» (подготовительный этап).
Исследование организационной структуры предприятия.
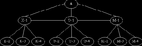
Организационная структура ОАО «Нефтегазмаш» представлена на рисунке 2.5.
Генеральный директор ОАО «Нефтегазмаш» имеет в своем подчинении три заместителя. Из-за небольшого размера предприятия производственный и сбытовой отделы совмещены. Особенностью организационного построения является также подчинение отдела организации труда и заработной платы заместителю генерального директора по экономике (финансовому директору). Кроме того, несмотря на то, что расчетно-вычислительный центр (РВЦ) непосредственно подчиняется генеральному директору, процедура автоматизации на предприятии в основном связана с участком работы бухгалтерии, в связи с чем, фактически РВЦ подчиняется главному бухгалтеру.
![]() |
Рисунок 2.5. – Организационная структура ОАО «Нефтегазмаш»
Выделение из организационной структуры подразделений, отдельных исполнителей, отвечающих за процесс документооборота на предприятии.
За процесс документооборота на предприятии отвечает отдел делопроизводства. Данный отдел состоит из четырех работников: работника сектора делопроизводства; работника организационного сектора и двух работников машбюро. Согласно организационной структуре ОАО «Нефтегазмаш» при необходимости выполнение функций секретаря и работника сектора делопроизводства может быть поручено работникам машбюро.
Определение структуры подчиненности выделенных подразделений и разграничение их функций по видам выполняемых работ.
Ниже на рисунке 2.6. представлена структура подчиненности отдела делопроизводства ОАО «Нефтегазмаш».
![]() |
Рисунок 2.6. – Структура подчиненности отдела делопроизводства на ОАО «Нефтегазмаш»
Разграничение функций секторов отдела делопроизводства происходит следующим образом.
Функции сектора делопроизводства:
1. Приём и регистрация внутренней, входящей, исходящей корреспонденции.
2. Приём на подпись проектов писем, приказов по основной деятельности.
3. Подготовка приказов по командировкам сотрудников на основании подписанных директором служебных записок.
4. Проверка правильности составления всех документов, передаваемых на подпись директору.
5. Доведение резолюций директора до исполнителей.
6. Регистрация приказов по основной деятельности и по командировкам сотрудников с оформлением командировочных удостоверений.
7. Доведение до исполнителей приказов по основной деятельности по реестру.
8. Формирование дел и сдача их в архив.
9. Контроль за правильностью ведения делопроизводства в подразделениях.
Функции организационного сектора:
1. Регистрация передаваемых подразделениями счетов и других документов на оплату и передача их в бухгалтерию.
2. Постановка документов с резолюциями на контроль и снятие с контроля.
3. Передача документов исполнителям и в сектор делопроизводства.
4. Извещение сотрудников о проводимых совместно с директором совещаниях.
5. Оперативная связь со сторонними организациями и отдельными гражданами (телефон, факс и т.д.).
6. Учёт приёма граждан и сотрудников по личным и служебным вопросам.
7. Формирование подписки предприятия и контроль поступления подписных изданий.
Функции машбюро:
1. Выполнение машинописных и копировально-множительных работ.
Формирование существующей модели документооборота на предприятии.
Ниже на рисунке представлена существующая модель документооборота на предприятии (рисунок 2.7.).

Рисунок 2.7. – Структура документооборота ОАО «Нефтегазмаш»
Согласно рисунку 2.7. работник сектора делопроизводства не имеет прямых контактов с генеральным директором. Его основной задачей является обработка входящей и исходящей документации, а также работа непосредственно с подразделениями предприятия. Работник организационного сектора напрямую общается с генеральным директором и обрабатывает документы входящие и исходящие от него, а также доводит их содержание до всех подразделений.
Работники машбюро получают задания исключительно от организационного сектора и сектора делопроизводства.
Этап 2. Анализ структуры документооборота.
Группировка документов предприятия по признаку документационного обеспечения (входящие, исходящие, приказы, внутренние).
В результате просмотра журнала регистрации в приемной организации и анализа полученной информации составлена таблица, в которой представлена сводная информация по каждому виду документа в динамике за 1999, 2000 года (таблица 2.5.).
Таблица 2.5. – Анализ структуры документооборота по признаку документационного обеспечения ОАО «Нефтегазмаш» за 1999, 2000 года
|
Наименование документа |
Период |
Абсолют. изм., шт. |
Темп роста, % |
|
|
1999 год, шт. |
2000 год, шт. |
|||
|
Входящие |
734 |
1140 |
406 |
55,3 |
|
Исходящие |
1344 |
1729 |
385 |
28,6 |
|
Приказы в том числе: - по основной деятельности - по командировкам - по личному составу |
2045 842 650 553 |
2173 943 639 591 |
128 101 -11 38 |
6,3 12,0 -1,7 6,9 |
|
Внутренние в том числе: - финансовые - служебные |
3444 1622 1822 |
3005 1680 1325 |
-439 58 -497 |
-12,7 3,6 -27,3 |
|
Итого в год: |
7567 |
8047 |
480 |
6,3 |
|
В среднем за день |
28 |
30 |
2 |
7,1 |
|
Выручка от реализации, тыс. руб. |
54387 |
65498 |
11111 |
20,4 |
![]() |
Графически данная таблица представлена на рисунке 2.8.
Рисунок 2.8. – Изменение количества документов по годам
Таким образом, проведенный анализ свидетельствует о том, что наибольшая доля документов как в 1999 году, так и в 2000 году приходилась на внутренние документы. Кроме того, их количество сократилось в течение года на 439 штук или 12,7 %. Данное снижение вызвано расширяющимся доступом в получении необходимой информации за счет локальной сети.
Рост количества приказов в течение 2000 года (6,3 %) вызван повышением доли рутинных вопросов, что указывает на то, что основная задача руководства предприятия – это поддержание уже существующего организационного порядка.
Возросла деловая активность предприятия, о чем свидетельствует рост выручки от реализации продукции на 11111 тыс. руб. или на 20,4 % по сравнению с 1999 годом. Соответственно растут потоки входящих (55,3 %) и исходящих (28,6 %) документов: возросло количество поступаемых заявок на выпуск продукции в связи с привлечением новых потенциальных покупателей; возросшие требования к отчетности предприятия перед учредителями требуют более частой переписки и предоставления необходимого материала. Так же следует отметить, что ОАО «Нефтегазмаш» в 2000 году было включено в состав стратегически важных предприятий Волгоградской области, что также повлекло за собой предоставление подробных отчетов о производственно-хозяйственной деятельности предприятия перед администрацией города.
Группировка документов предприятия по подразделениям согласно организационной структуре и их анализ.
Ниже в таблице 2.6. представлена группировка видов документов по основным подразделениям, а также анализируется их динамика. Определив основные потоки информации на предприятии, станет очевидным: какие из них необходимо в первую очередь автоматизировать.
Критериями отнесения документов к тому или иному подразделению следующие:
- для входящих документов и приказов – какому подразделению предназначается;
- для исходящих и внутренних документов – каким подразделением составлено.
Таблица 2.6. – Группировка видов документов по подразделениям ОАО «Нефтегазмаш» за 1999 и 2000 года
|
Подразделение |
1999 год |
2000 год |
||
|
Кол., шт. |
% |
Кол., шт. |
% |
|
|
Отдел делопроизводства |
400 |
5,3 |
378 |
4,7 |
|
Бухгалтерия |
765 |
10,1 |
742 |
9,2 |
|
Планово-экономический отдел |
685 |
9,1 |
693 |
8,6 |
|
Отдел организации труда и заработной платы |
587 |
7,8 |
610 |
7,6 |
|
Отдел материально-технического снабжения и комплектации |
720 |
9,5 |
759 |
9,4 |
|
Производственно-сбытовой отдел |
732 |
9,7 |
695 |
8,6 |
|
Административно-хозяйственный отдел |
145 |
1,9 |
159 |
2,0 |
|
Отдел главного конструктора |
411 |
5,4 |
418 |
5,2 |
|
Отдел техники безопасности |
297 |
3,9 |
331 |
4,1 |
|
Отдел главного механика |
193 |
2,6 |
198 |
2,5 |
|
Отдел главного энергетика |
102 |
1,3 |
92 |
1,1 |
|
Отдел материальных нормативов |
124 |
1,6 |
161 |
2,0 |
|
Отдел АСУ |
78 |
1,0 |
95 |
1,2 |
|
Отдел главного технолога |
118 |
1,6 |
174 |
2,2 |
|
Центральная заводская лаборатория |
93 |
1,2 |
99 |
1,2 |
|
Отдел кадров |
399 |
5,3 |
442 |
5,5 |
|
Отдел технического контроля |
270 |
3,6 |
220 |
5,4 |
|
Юридический отдел |
105 |
1,4 |
128 |
1,6 |
|
Прочие отделы и службы |
1343 |
17,7 |
1653 |
20,5 |
|
Итого |
7567 |
100 |
8047 |
100 |
![]() |
Графически данная таблица представлена на рисунке 2.9.
Рисунок 2.9. – Группировка видов документов по подразделениям ОАО «Нефтегазмаш» за 2000 год
Как видно из таблицы 2.6. наибольшая доля документов приходится на бухгалтерию, производственно-сбытовой отдел, отдел материально-технического снабжения и комплектации, а также планово-экономический отдел предприятия. Очевидна высокая доля документов в бухгалтерии, так как практически каждый внутренний документ, а финансовый – обязательно, должен быть заверен в бухгалтерии для отслеживания движения финансово-материальных потоков предприятия.
Сокращение документооборота бухгалтерии в основном вызвано большим вовлечением РВЦ в работу отдела и большой долей автоматизации ее работы.
На производственно-сбытовой отдел в 2000 году пришлось 695 документов или 8,6 %. Сокращение как количества обращающихся документов данного отдела, так доли в общем объеме документооборота вызвано, прежде всего, расширением штата сотрудников. Кроме того, вся работа заместителя генерального директора по производству (директора по производству) – руководителя данного подразделения – автоматизирована РВЦ, что, несомненно, ведет к сокращению документооборота в части предоставления информации отделом своему руководителю.
Что касается отдела материально-технического снабжения и комплектации, то доля документооборота в течение года выроста с 720 до 759, что вызвано: во-первых, необходимостью дополнительной закупки материалов и комплектующих в связи с ростом производства; во-вторых, с полным отсутствием в отделе вычислительной техники по причине отсутствия работников, владеющих персональным компьютером и нежеланием работающих обучаться.
Большое количество документов, обращающихся в планово-экономическом отделе, вызвано тем, что помимо своих непосредственных функций на отдел наложены следующие дополнительные обязанности: ведение реестра акционеров, подготовка и проведение заседаний Совета директоров и общих собраний акционеров.
Количество документов планово-экономического отдела растет по нескольким ранее уже отмеченных причинам: во-первых, рост объемов производства требует работы с большим количеством покупателей; во-вторых, включение ОАО «Нефтегазмаш» в 2000 году в состав стратегически важных предприятий Волгоградской области, повлекло за собой предоставление подробных отчетов о производственно-хозяйственной деятельности предприятия перед администрацией города.
Несмотря на очевидную повышенную нагрузку в планово-экономическом отделе предприятие не получает существенной помощи от РВЦ. Не один из участков отдела в 2000 году не был автоматизирован. Это связано, прежде всего, с малым количеством (2 человека) работников расчетно-вычислительного центра.
Группировка документов предприятия помесячно для выявления сезонности и их анализ.
Произведем анализ объема документооборота в течение одного года на примере 2000 года (таблица 2.7.).
Таблица 2.7. – Анализ объема документооборота ОАО «Нефтегазмаш» в 2000 году помесячно
|
|
Виды документов |
|||
|
Входящие |
Исходящие |
Приказы |
Внутренние |
|
|
Январь |
122 |
186 |
226 |
299 |
|
Февраль |
118 |
192 |
209 |
274 |
|
Март |
96 |
124 |
184 |
235 |
|
Апрель |
107 |
149 |
211 |
219 |
|
Май |
91 |
117 |
107 |
210 |
|
Июнь |
94 |
163 |
192 |
308 |
|
Июль |
102 |
195 |
168 |
312 |
|
Август |
43 |
101 |
185 |
175 |
|
Сентябрь |
90 |
109 |
132 |
243 |
|
Октябрь |
99 |
136 |
191 |
257 |
|
Ноябрь |
93 |
115 |
189 |
251 |
|
Декабрь |
85 |
142 |
179 |
222 |
|
Итого |
1140 |
1729 |
2173 |
3005 |
![]() |
Графически данная таблица представлена на рисунке 2.10.
Рисунок 2.10. – Динамика изменения количества документов ОАО «Нефтегазмаш» в разрезе месяца за 2000 год
Наибольший поток входящих документов пришелся на январь, февраль апрель и июль. Данный факт объясняется в основном следующими причинами. По итогам года Администрация г. Волгограда, Волгоградской области, районная Администрация, налоговая инспекция, областной и районный Комитеты государственной статистики, Комитет по государственному имуществу Волгоградской области и многие другие учреждения и организации направляют заявки для предоставления им годовых результатов производственно-хозяйственной деятельности. Кроме того, январь и февраль характеризуются получением ежегодных заявок на участие предприятия в тендерах. В апреле предприятием сдаются годовые статистические отчеты и годовая бухгалтерская отчетность, что в свою очередь, вызывает увеличение входящих документов в соответствующие подразделения.
В июле на предприятии, как правило, состоится годовое собрание акционеров, что также приводит к желанию акционеров со стороны получить интересующую их информацию. Снижение активности предприятия, а, следовательно, интенсивности документооборота в августе связано с периодом отпусков.
На увеличение потоков документов по исходящим, внутренним документам, а также приказам в основном повлияли вышеперечисленные факторы.
Этап 3. Оптимизация взаимодействия подразделений согласно существующей модели документооборота на предприятии.
Проектирование организационных структур предприятия в разрезе движения входящих, исходящих и внутренних документов.
Для примера проведен анализ движения внутренних документов при выполнении подразделениями функций планирования и оперативного учета и составлена следующая организационная структура (рисунок 2.11.).

Рисунок 2.11. – Схема движения внутренних документов при выполнении подразделениями функций планирования и оперативного учета
Таким образом, ответственным за реализацию функций планирования и оперативного учета на ОАО «Нефтегазмаш» назначен заместитель генерального директора по экономике, который получаемые сведения от заместителя генерального директора по производству и главного бухгалтера передает в планово-экономический отдел для проведения соответствующих расчетов. Часть функций возложенных на планово-экономический отдел и бухгалтерию при необходимости может дублироваться расчетно-вычислительным центром. Кроме того, для предоставления данных финансовому директору директор по производству также обращается в расчетно-вычислительный центр предприятия для преобразования имеющихся у него данных в нужные расчетные формы. Ответственность по доведению конечных планов до цехов предприятия возложена на заместителя генерального директора по экономике.
Составление и обработка карточки-анкеты связей всех подразделений, включенных в каждый из видов спроектированной структуры организационных взаимодействий.
Составим карточки-анкеты связей всех подразделений, включенных в спроектированную организационную структуру при выполнении функций планирования и оперативного учета (таблицы 2.8 – 2.17).
Таблица 2.8. – Карточка-анкета связей « Заместитель генерального директора по производству – Заместитель генерального директора по экономике»
|
Тип контактов |
Виды связей между подразделениями по критерию налаженности документооборота |
Итого |
||
|
Систематические, налаженные связи (7 – 10 баллов) |
Периодические, слабо налаженные связи (4 – 6 балла) |
Редкие, не налаженные связи (1 – 3 балла) |
||
|
Прямая связь: |
||||
|
Предоставление производственной программы в натуральных единицах |
10 |
|||
|
Предоставление сведений о поступающих заявках на покупку продукции |
8 |
|||
|
Предоставление данных о производственных мощностях предприятия |
6 |
|||
|
Предоставление данных о трудоемкости выпускаемой продукции |
5 |
|||
|
Предоставление данных о фактически выпущенной продукции в натуральных единицах |
9 |
|||
|
ИТОГО |
27 |
11 |
38 |
|
|
Обратная связь: |
||||
|
Предоставление производственной программы в стоимостном выражении |
10 |
|||
|
Предоставление цен на поступающие заявки |
9 |
|||
|
Предоставление сведений о фактической себестоимости |
9 |
|||
|
Предоставление данных о фактически выпущенной продукции в стоимостном выражении |
10 |
|||
|
ИТОГО |
38 |
38 |
||
Вес «обратной» связи – 38 / 40 = 0,95.
Таблица 2.9. – Карточка-анкета связей «Заместитель генерального директора по экономике – Планово-экономический отдел»
|
Тип контактов |
Виды связей между подразделениями по критерию налаженности документооборота |
Итого |
||
|
Систематические, налаженные связи (7 – 10 баллов) |
Периодические, слабо налаженные связи (4 – 6 балла) |
Редкие, не налаженные связи (1 – 3 балла) |
||
|
Прямая связь: |
||||
|
Предоставление сведений о поступающих заявках на покупку продукции |
10 |
|||
|
Предоставление производственной программы в натуральных единицах |
10 |
|||
|
Предоставление данных о трудоемкости выпускаемой продукции |
9 |
|||
|
Предоставление данных о фактических затратах на производство |
8 |
|||
|
Предоставление бухгалтерской отчетности |
9 |
|||
|
Предоставление данных о фактически выпущенной продукции в натуральных единицах |
10 |
|||
|
ИТОГО |
56 |
56 |
||
|
Обратная связь: |
||||
|
Предоставление цен на поступающие заявки |
9 |
|||
|
Предоставление производственной программы в стоимостном выражении |
10 |
|||
|
Предоставление расчета фактической себестоимости реализованной продукции |
9 |
|||
|
Предоставление статистических расчетов |
10 |
|||
|
Предоставление финансового анализа деятельности предприятия |
9 |
|||
|
Предоставление данных о фактически выпущенной продукции в стоимостном выражении |
10 |
|||
|
ИТОГО |
57 |
57 |
||
Вес «прямой» связи – 56 / 60 = 0,93;
Вес «обратной» связи – 57 / 60 = 0,95.
Таблица 2.10. – Карточка-анкета связей « Заместитель генерального директора по экономике – Цеха»
|
Тип контактов |
Виды связей между подразделениями по критерию налаженности документооборота |
Итого |
||
|
Систематические, налаженные связи (7 – 10 баллов) |
Периодические, слабо налаженные связи (4 – 6 балла) |
Редкие, не налаженные связи (1 – 3 балла) |
||
|
Прямая связь: |
||||
|
Предоставление расчета фактической себестоимости реализованной продукции |
4 |
|||
|
Предоставление производственной программы в натуральных единицах |
3 |
|||
|
Предоставление данных о фактически выпущенной продукции в стоимостном выражении |
10 |
|||
|
ИТОГО |
10 |
4 |
3 |
17 |
|
Обратная связь: |
||||
|
Предоставление данных о фактически выпущенной продукции в натуральном выражении |
10 |
|||
|
ИТОГО |
10 |
10 |
||
Вес «обратной» связи – 10 / 10 = 1,00.
Таблица 2.11. – Карточка-анкета связей «Заместитель генерального директора по производству – Расчетно-вычислительный центр»
|
Тип контактов |
Виды связей между подразделениями по критерию налаженности документооборота |
Итого |
||
|
Систематические, налаженные связи (7 – 10 баллов) |
Периодические, слабо налаженные связи (4 – 6 балла) |
Редкие, не налаженные связи (1 – 3 балла) |
||
|
Прямая связь: |
||||
|
Предоставление производственной программы в натуральных единицах |
1 |
|||
|
Предоставление данных о трудоемкости выпускаемой продукции |
1 |
|||
|
ИТОГО |
2 |
2 |
||
|
Обратная связь: |
||||
|
Обработка получаемых данных для передачи заместителю генерального директору по экономике |
1 |
|||
|
ИТОГО |
1 |
1 |
||
Вес «прямой» связи – 2 / 20 = 0,10;
Вес «обратной» связи – 1 / 10 = 0,10.
Таблица 2.12. – Карточка-анкета связей «Планово-экономический отдел – Расчетно-вычислительный центр»
|
Тип контактов |
Виды связей между подразделениями по критерию налаженности документооборота |
Итого |
||
|
Систематические, налаженные связи (7 – 10 баллов) |
Периодические, слабо налаженные связи (4 – 6 балла) |
Редкие, не налаженные связи (1 – 3 балла) |
||
|
Прямая связь: |
||||
|
Предоставление сведений о ценах на выпускаемую продукцию |
5 |
|||
|
Предоставление производственной программы в натуральных единицах |
1 |
|||
|
Предоставление данных о трудоемкости выпускаемой продукции |
1 |
|||
|
Предоставление данных о фактических затратах на производство |
2 |
|||
|
Предоставление бухгалтерской отчетности |
1 |
|||
|
ИТОГО |
5 |
5 |
10 |
|
|
Обратная связь: |
||||
|
Предоставление производственной программы в стоимостном выражении |
1 |
|||
|
Предоставление расчета фактической себестоимости реализованной продукции |
1 |
|||
|
Предоставление финансового анализа деятельности предприятия |
0,5 |
|||
|
ИТОГО |
2,5 |
2,5 |
||
Вес «обратной» связи – 2,5 / 30 = 0,08.
Таблица 2.13. – Карточка-анкета связей «Главный бухгалтер – Заместитель генерального директора по экономике»
|
Тип контактов |
Виды связей между подразделениями по критерию налаженности документооборота |
Итого |
||
|
Систематические, налаженные связи (7 – 10 баллов) |
Периодические, слабо налаженные связи (4 – 6 балла) |
Редкие, не налаженные связи (1 – 3 балла) |
||
|
Прямая связь: |
||||
|
Предоставление сведений о фактических затратах на производство |
9 |
|||
|
Предоставление бухгалтерской отчетности |
9 |
|||
|
Предоставление прочих данных для статистических расчетов |
9 |
|||
|
ИТОГО |
27 |
27 |
||
|
Обратная связь: |
||||
|
Предоставление статистических отчетов |
10 |
|||
|
Предоставление финансового анализа деятельности предприятия |
10 |
|||
|
ИТОГО |
20 |
20 |
||
Вес «прямой» связи – 27 / 30 = 0,90;
Вес «обратной» связи – 20 / 20 = 1,00.
Таблица 2.14. – Карточка-анкета связей «Главный бухгалтер – Центральная бухгалтерия»
|
Тип контактов |
Виды связей между подразделениями по критерию налаженности документооборота |
Итого |
||
|
Систематические, налаженные связи (7 – 10 баллов) |
Периодические, слабо налаженные связи (4 – 6 балла) |
Редкие, не налаженные связи (1 – 3 балла) |
||
|
Прямая связь: |
||||
|
Предоставление статистических расчетов |
10 |
|||
|
ИТОГО |
10 |
10 |
||
|
Обратная связь: |
||||
|
Предоставление сведений о фактических затратах на производство |
10 |
|||
|
Предоставление бухгалтерской отчетности |
9 |
|||
|
Предоставление прочих данных для статистических отчетов |
10 |
|||
|
ИТОГО |
29 |
29 |
||
Вес «обратной» связи – 29 / 30 = 0,97.
Таблица 2.15. – Карточка-анкета связей «Главный бухгалтер – Расчетно-вычислительный центр»
|
Тип контактов |
Виды связей между подразделениями по критерию налаженности документооборота |
Итого |
||
|
Систематические, налаженные связи (7 – 10 баллов) |
Периодические, слабо налаженные связи (4 – 6 балла) |
Редкие, не налаженные связи (1 – 3 балла) |
||
|
Прямая связь: |
||||
|
Предоставление исходных данных для формирования документов бухгалтерской отчетности |
2 |
|||
|
ИТОГО |
2 |
2 |
||
|
Обратная связь: |
||||
|
Предоставление сформированной бухгалтерской отчетности |
2 |
|||
|
Предоставление сведений о фактических затратах на производство |
3 |
|||
|
Предоставление прочих данных для формирования статистических отчетов |
4 |
|||
|
ИТОГО |
4 |
5 |
9 |
|
Вес «прямой» связи – 2 / 10 = 0,20;
Вес «обратной» связи – 9 / 30 = 0,30.
Таблица 2.16. – Карточка-анкета связей «Расчетно-вычислительный центр – Центральная бухгалтерия»
|
Тип контактов |
Виды связей между подразделениями по критерию налаженности документооборота |
Итого |
||
|
Систематические, налаженные связи (7 – 10 баллов) |
Периодические, слабо налаженные связи (4 – 6 балла) |
Редкие, не налаженные связи (1 – 3 балла) |
||
|
Прямая связь: |
||||
|
Предоставление сформированной бухгалтерской отчетности |
6 |
|||
|
Предоставление сведений о фактических затратах на производство |
5 |
|||
|
Предоставление прочих данных для формирования статистических отчетов |
4 |
|||
|
ИТОГО |
15 |
15 |
||
|
Обратная связь: |
||||
|
Предоставление исходных данных для формирования документов бухгалтерской отчетности |
3 |
|||
|
ИТОГО |
3 |
3 |
||
Вес «обратной» связи – 3 / 10 = 0,30.
Таблица 2.17. – Карточка-анкета связей «Расчетно-вычислительный центр – Заместитель генерального директора по экономике»
|
Тип контактов |
Виды связей между подразделениями по критерию налаженности документооборота |
Итого |
||
|
Систематические, налаженные связи (7 – 10 баллов) |
Периодические, слабо налаженные связи (4 – 6 балла) |
Редкие, не налаженные связи (1 – 3 балла) |
||
|
Прямая связь: |
||||
|
Предоставление производственной программы в стоимостном выражении |
1 |
|||
|
Предоставление расчета фактической себестоимости реализованной продукции |
1 |
|||
|
Предоставление финансового анализа деятельности предприятия |
0,5 |
|||
|
ИТОГО |
2,5 |
2,5 |
||
|
Обратная связь: |
||||
|
Предоставление бухгалтерской отчетности |
1 |
|||
|
Предоставление производственной программы в натуральных единицах |
1 |
|||
|
ИТОГО |
2 |
2 |
||
Вес «прямой» связи – 2,5 / 30 = 0,08;
Вес «обратной» связи – 2 / 20 = 0,10.
Анализ эффективности связей по каждому виду спроектированной организационной структуры.
Нанесем полученные веса связей на схему движения внутренних документов при выполнении подразделениями функций планирования и оперативного учета (рисунок 2.12.).
![]() |
Рисунок 2.12. – «Весовая» схема движения внутренних документов при выполнении подразделениями функций планирования и оперативного учета
Из рисунка 2.12. видно, что связи между заместителями генерального директора по экономике и по производству достаточно налажены: движение потоков документов практически не затруднено. Однако, при передаче данных финансовому директору для формирования производственной программы и оперативного учета у директора по производству нет возможности обрабатывать их для предоставления в желаемом виде. Он не обладает дополнительным временем, необходимым для перегруппировки и выборки из всей имеющейся информации той части, необходимой для предоставления заместителю генерального директора по экономике. Данные функции также не могут быть возложены на производственно-сбытовой отдел по причине отсутствия всей необходимой информации и реального времени для выполнения данных функций. В этой ситуации необходимо рассмотреть вариант, согласно которому данные функции следует передать производственно-сбытовому отделу, который, в свою очередь, недостающую информацию будет получать у прямого начальника и контактировать с расчетно-вычислительным центром. В функции расчетно-вычислительного центра входит разработка соответствующих форм предоставления внутренней документации, а также их составление. Несмотря на то, что фактически между заместителем генерального директора по производству и расчетно-вычислительным центром связь налажена достаточно хорошо, работникам РВЦ не хватает реального времени для выполнения поручений заместителя генерального директора по производству. В связи с этим рекомендуется расширить штат сотрудников расчетно-вычислительного центра с закреплением за каждым из них определенного сектора подразделений, с которыми он будет непосредственно контактировать.
Связи межу заместителем генерального директора по экономике и планово-экономическим отделом налажены, однако наблюдается небольшое замедление в передачи необходимой информации со стороны финансового директора. Из схемы четко видно, какие связи к этому приводят.
Очевидно, что при работе бухгалтерии с главным бухгалтером, а главного бухгалтера с финансовым директором процедура документооборота работает очень эффективно, учитывая как «прямые», так и «обратные» связи. Как уже было отмечено ранее, фактически расчетно-вычислительный центр подчиняется главному бухгалтеру. Этот факт вызван тем, что бухгалтерия выступает наиболее перегруженным документами участком. В связи с этим, РВЦ взял на себя ряд функций отдела бухгалтерии, связанных исключительно с расчетами. Кроме того, недостаточное количество компьютерной техники в бухгалтерии, приводит к необходимости проводить все требуемые расчеты в РВЦ. Однако, как видно из схемы, связи главного бухгалтера и бухгалтерии с расчетно-вычислительным центром не совсем четкие и отлаженные. Другими словами, РВЦ пытается контактировать со всеми службами, а в результате не одна из связей не является устойчивой.
Такое же положение наблюдается и в отношениях между планово-экономическим отделом и РВЦ.
Оценка схемы показала, что в основном нарушение документооборота при выполнении подразделениями функции планирования и оперативного учета вызвано не эффективной работой расчетно-вычислительного центра. Следовательно, как уже было отмечено ранее, необходима коренная реорганизация данного подразделения, прежде всего, путем расширения штата сотрудников.
В связи с невозможностью в ближайшее время внедрить на предприятии автоматизированную систему управления рекомендуются следующие пути совершенствования системы документооборота путем автоматизации наиболее «перегруженных» информационных потоков собственными силами.
1. Четко сформулировать цели и задачи, которые должна решить информационная система управления на базе расчетно-вычислительного центра предприятия.
2. Определить круг лиц, которые будут вовлечены в процесс управления, разработки и контроля за разработкой информационной системы.
3. Формирование каждым подразделением перечня контактов между всеми службами предприятия с предоставлением документов, отражающих содержание данных контактов.
4. Систематизация и анализ полученных данных. Выделение наиболее значимых и «перегруженных» информационных потоков.
5. Автоматизация собственными силами выбранных информационных потоков.
6. Составление графика выполнения для всех полученных заданий и распределение ответственности между работниками отдела с закреплением каждого за конкретным участком.
Итоговая оценка разработанных мероприятий и анализ возможности их реализации.
Проведенный анализ позволил сделать следующие выводы:
1. Требуется реорганизация расчетно-вычислительного центра.
Роль РВЦ на ОАО «Нефтегазмаш» резко упала, что отчасти связано с недостатком знаний, отсутствием должного понимания специфики информационной системы, ее эксплуатации, технологии обработки информации в условиях рынка в целом, отчасти – с большей доступностью персональных компьютеров.
Основные функции РВЦ должны заключаться в накоплении, систематизации и распространении информации по соответствующим подразделениям и уровням управления предприятием. В то время, как в настоящее время эти функции не выполняются.
Кроме того, РВЦ следует переименовать в информационно-аналитический центр или службу. Однако, не следует представлять деятельность вновь созданного отдела как усовершенствованную работу РВЦ. Во-первых, информация – часто не просто перечень определенных показателей, а отфильтрованная и проанализированная с помощью современных методов обработки. Передача любой информации, не готовой для принятия решений, не может считаться эффективной. Во-вторых, некоторые виды информации вообще не поддаются количественной оценке. И, в-третьих, автоматизированная система располагает только формальными методами оценки, вместе с тем, в некоторых случаях значение имеют многие неформальные (экспертные) оценки.
Все это обусловливает необходимость функционирования на предприятии особой службы, в задачи которой входит также проведение первичного анализа информации.
2. При составлении РВЦ графика контактов с подразделениями предприятия особое внимание следует уделить наиболее «загруженным» месяцам: во время подготовки годового собрания акционеров, при подготовке расчетов на участие в ежегодных тендерах, при составлении годовой отчетности.
3. Требуется реорганизация отдела материально-технического обеспечения и комплектации в связи с достаточно высокой загрузкой документооборота и отсутствием специалистов, владеющих ЭВМ.
Анализ конкурентоспособности предприятия на рынке с использованием метода расстановки приоритетов
В данном параграфе для анализа конкурентоспособности предприятия и его продукции на рынке рассмотрим методику расчета эффективности деятельности организации с использованием метода расстановки приоритетов и апробируем ее на примере ЗАО «Камышинский стеклотарный завод».
В качестве критериев конкурентоспособности предприятия рассмотрим следующую систему показателей.
1) Конкурентоспособность по продукту:
а) коэффициент рыночной доли:
КРД =
, (4.8.) где ОП – объем продаж продукта фирмой;
ООПР – общий объем продаж продукта на рынке.
Коэффициент показывает долю, занимаемую предприятием на рынке.
б) Коэффициент предпродажной подготовки:
КПП =
, (4.9.)где ЗПП – сумма затрат на предпродажную подготовку;
ЗПОП – сумма затрат на производство (приобретение) продукта и организацию его продаж.
Данный показатель характеризует усилие фирмы к росту конкурентоспособности за счет улучшения предпродажной подготовки. В случае, если продукт не требовал предпродажной подготовки в отчетный период, то принимается, что КПП = 1.
в) Коэффициент изменения объема продаж:
КИОП =
, (4.10.)где ОПКОП – объем продаж на конец отчетного периода;
ОПНОП – объем продаж на начало отчетного периода.
Этот коэффициент показывает рост или снижение конкурентоспособности фирмы за счет роста объема продаж.
2) Конкурентоспособность по цене:
а) коэффициент уровня цен:
, (4.11.)где
- максимальная цена товара на рынке;
- минимальная цена товара на рынке;
- цена товара, установленная фирмой.Показывает рост или снижение конкурентоспособности фирмы за счет динамики цен на продукт.
3) Конкурентоспособность по критерию доведения продукта до потребителя:
а) коэффициент доведения продукта до потребителя:
, (4.12.)где
- сумма затрат на функционирование системы сбыта на конец отчетного периода;
- сумма затрат на функционирование системы сбыта на начало отчетного периода.Показывает стремление фирмы к повышению конкурентоспособности за счет улучшения сбытовой деятельности.
4) Конкурентоспособность по критерию продвижения продукта:
а) коэффициент рекламной деятельности:
, (4.13.)где
- затраты на рекламную деятельность на конец отчетного периода;
- затраты на рекламную деятельность на начало отчетного периода.Характеризует стремление фирмы к росту конкурентоспособности за счет улучшения рекламной деятельности.
Суммируя вышеперечисленные коэффициенты и находя среднеарифметическую величину, определим итоговый показатель конкурентоспособности маркетинговой деятельности для конкретного продукта.
Назовем его коэффициентом маркетингового тестирования конкурентоспособности (КМТК).
, (4.14.)где L – общее число показателей в числителе. В данном случае L = 6.
Кроме этого для расчета полной конкурентоспособности фирмы также нужно учитывать общефинансовые коэффициенты. Общефинансовые коэффициенты рассчитываются на основе анализа баланса предприятия за отчетный период.
В практике анализа результатов деятельности фирмы применяется сводная таблица финансовых показателей, включающая коэффициенты ликвидности, коэффициенты устойчивости, коэффициенты деловой активности, коэффициенты прибыльности и т.д. Однако для расчета конкурентоспособности фирмы можно ограничиться оценкой структуры баланса по следующим коэффициентам.
Коэффициент текущей ликвидности (КТЛ) определяется как отношение фактической стоимости находящихся в наличии у фирмы оборотных средств в виде производственных запасов, готовой продукции, денежных средств, дебиторских задолженностей и прочих оборотных активов (итог 2-го раздела баланса) к наиболее срочным обязательствам фирмы в виде краткосрочных кредитов банков, краткосрочных займов и различных кредиторских задолженностей (итог 5-го раздела баланса).
Нормативное значение коэффициента – не менее 2.
Коэффициент обеспеченности собственными средствами (КОСС) определя ется как отношение разности между объемами источников собственных средств и фактической стоимостью основных средств и прочих внеоборотных активов к фактической стоимости находящихся в наличии у фирмы оборотных средств в виде производственных запасов, незавершенного производства, готовой продукции, денежных средств, дебиторской задолженности и прочих оборотных активов. Нормативное значение – не менее 0,1.
Таким образом, полная формула расчета конкурентоспособности предприятия (КП) будет следующей:
КП = КМТК * КТЛ * КОСС. (4.15.)
Согласно значениям КП предприятия подразделяются на группы (рисунок 4.3.).
Претенденты |
Лидеры + 9,1 - +10,0 |
|
|
+ 3,1 - + 7,0 |
+ 7,1 - +9,0 |
|
|
Занявшие рыночную нишу - 2,9 – (- 0,99) |
Последователи |
|
|
1 |
+1,1 - +3,0 |
|
|
Банкроты |
Занявшие рыночную нишу - 6,9 – (-3,0) |
|
|
- 10 – (- 9,1) |
- 9,0 – (-7,0) |
|
Матрица представляет собой прямоугольник, разбитый на девять квадрантов (секторов), каждый из которых соответствует определенному коэффициенту КП от –10 до 10. Сам прямоугольник делится на пять уровней, каждый из которых соответствует определенной группе фирм, различающихся между собой уровнем конкурентоспособности и относящихся к следующим группам участников рынка.
Рыночные лидеры – предприятия, имеющие максимальный коэффициент конкурентоспособности (КП). Как правило, эти фирмы имеют максимальную рыночную долю при продажах, являются лидерами в ценовой политике, оптимизации затрат, использовании разнообразных распределительных систем и т.д. Для фирм-лидеров характерным поведением является оборона.
Рыночные претенденты – фирмы, расчетный коэффициент конкурентоспособности которых лежит в диапазоне от 3,1 до 9. Эти фирмы, как правило, борются за увеличение рыночной доли продаж, проводят ценовой демпинг.
Для них характерна стратегия атаки на всех направлениях деятельности.
Рыночные последователи – фирмы, расчетный коэффициент конкурентоспособности которых лежит в диапазоне от 1 до 3. Эта группа фирм проводит политику следования за отраслевым лидером, не рискует, но и не проявляет пассивности. Фирмы этой группы особенно осторожно и взвешенно принимают решения, касающиеся их деятельности на рынке. Они копируют деятельность лидера, но действуют более осмотрительно и рассчитывают на меньшие ресурсы. Они, как правило, подвержены атакам со стороны рыночных претендентов.
Фирмы, действующие в рыночной нише. Расчетный коэффициент конкурентоспособности этой группы лежит в диапазоне от -0,99 до -6,9. Фирмы этой группы обслуживают маленькие рыночные сегменты, которые другие участники конкуренции не видят или не принимают в расчет. Для них характерен высокий уровень специализации. Круг клиентов ограничен, но характерен высокий уровень цен. В своей деятельности фирмы максимально зависят от клиентов и опираются на них.
Банкроты – фирмы с коэффициентом конкурентоспособности от -7 до -10. Эти фирмы принимают режим внешнего управления и проводят мероприятия по выходу из банкротства или проводят расчеты с кредиторами и ликвидируются.
Проведем расчет конкурентоспособности предприятия ЗАО «КСЗ».
ЗАО «КСЗ» относится к стекольной отрасли и специализируется на выпуске широкогорловой и узкогорловой стеклотары.
1) Конкурентоспособность по продукту:
а) коэффициент рыночной доли:
![]() |
б) коэффициент предпродажной подготовки: КПП = 1;
![]() |
в) коэффициент изменения объема продаж:
2) Конкурентоспособность по цене:
![]() |
а) коэффициент уровня цен:
3) Конкурентоспособность по критерию доведения продукта до потребителя:
а) коэффициент доведения продукта до потребителя:
;4) Конкурентоспособность по критерию продвижения продукта:
а) коэффициент рекламной деятельности:

![]() |
Суммируя вышеперечисленные коэффициенты и находя среднеарифметическую величину, определим итоговый показатель конкурентоспособности маркетинговой деятельности.
Далее проведем расчет общефинансовых коэффициентов на основе анализа баланса предприятия ЗАО «КСЗ» за 2001 год.
Коэффициент текущей ликвидности (КТЛ) – 4;
Коэффициент обеспеченности собственными средствами (КОСС) – 2,5.
Проведем окончательный расчет конкурентоспособности предприятия:
КП = 1,06*4*2,5 = 10,6
Показатель конкурентоспособности ЗАО «КСЗ» имеет положительную величину, что свидетельствует о высокой конкурентоспособности предприятия по результатам 2001 года.
При расчетном значении КП = 10,6 ЗАО «КСЗ» по итогам 2001 года занимает сектор матрицы, соответствующий рыночным лидерам. Для предприятия характерна максимальная доля рынка продаж и в максимальной степени проводимая политика обороны.
Однако предложенный метод не учитывает структурного характера конкурентоспособности. Конкурентоспособность как структура технико-экономических показателей, включает в себя не только собственно эти показатели, но и взаимосвязи и взаимодействия между ними. Игнорирование перспектив подобного подхода приводит к необоснованной локализации маркетинговых мероприятий, что снижает общую эффективность маркетинговой деятельности, одной из целей которой является поддержание требуемого уровня конкурентоспособности продукции.
Таким образом, возникает необходимость оценки системы взаимосвязанных показателей, интерпретирующих влияние отдельных элементов комплекса маркетинга на результаты рыночной деятельности предприятия.
Для проведения такой оценки используется метод расстановки приоритетов. В его основе лежит измерение значений необходимых для подготовки принятия решений группой компетентных экспертов. Технология использования метода предполагает указание предпочтительного варианта в каждой паре. Выбор такого подхода связан с тем, что качественное сравнение 2-х вариантов проще, чем выражение предпочтения в балльной шкале.
Данный метод заключается в сопоставлении экспертных систем и сравнении вариантов по определенным критериям. При использовании данного метода можно выделить следующие этапы:
1) составление экспертной системы;
2) расчет вектор-столбца, который представляет собой допустимое просуммированное значение всех вариант (критериев);
3) определение абсолютного приоритета, где цифры каждой строки умножаются на соответствующий показатель вектора-столбца;
4) расчет относительного приоритета, который представляет собой пронормированное значение абсолютной важности, то есть общая сумма абсолютных приоритетов принята за единицу, и определяется удельный вес по каждому варианту в его общей сумме.
Применение данного метода для оценки структуры показателей конкурентоспособности предполагает выделение критериев и вариантов.
Для нашего примера критериями будут выступать элементы комплекса маркетинга, такие как продукт, цена, каналы сбыта, продвижение продуктов на рынке.
Варианты представляют собой предприятия-конкуренты на рынке стеклотары, такие как «Иристонстекло» (Владикавказ), «Стеклолит», Мишероньский стекольный завод (Московская область), Каменск–Шахтинский стекольный завод (Ростовская область).
Результаты определения значимости критериев и значимости вариантов по критериям представлены в таблицах 4.1. – 4.13.
Таблица 4.1. – Экспертная система для определения значимости критериев по фактору – продукт
|
Наименование критериев |
Критерии |
Вектор-столбец |
Абсолютный приоритет |
Относительный приоритет |
||||
|
k1 |
k2 |
k3 |
k4 |
k5 |
||||
|
Качество |
=1 |
> |
> |
> |
> |
7 |
34 |
0,30 |
|
Универсализм |
< |
=1 |
> |
< |
> |
5 |
22 |
0,19 |
|
Ассортимент |
< |
< |
=1 |
< |
> |
4 |
17,5 |
0,15 |
|
Упаковка |
< |
> |
> |
=1 |
> |
6 |
27,5 |
0,24 |
|
Стиль |
< |
< |
< |
< |
=1 |
3 |
14 |
0,12 |
|
Итого |
115 |
1 |
||||||
Таблица 4.2. – Экспертная система для определения значимости критериев по фактору – цена
|
Наименование критериев |
Критерии |
Вектор-столбец |
Абсолютный приоритет |
Относительный приоритет |
||||
|
k1 |
k2 |
k3 |
k4 |
k5 |
||||
|
Оптовая цена |
=1 |
> |
< |
> |
> |
6 |
27,5 |
0,24 |
|
Процент скидки с цены |
< |
=1 |
< |
> |
> |
5 |
22 |
0,19 |
|
Гибкость ценовой политики |
> |
> |
=1 |
> |
> |
7 |
34 |
0,30 |
|
Срок платежа |
< |
< |
< |
=1 |
> |
4 |
17,5 |
0,15 |
|
Условия кредита |
< |
< |
< |
< |
=1 |
3 |
14 |
0,12 |
|
Итого |
115 |
1 |
||||||
|
Наименование критериев |
Критерии |
Вектор- столбец |
Абсолютный приоритет |
Относительный приоритет |
|||
|
k1 |
k2 |
k3 |
k4 |
||||
|
Формы сбыта |
=1 |
< |
> |
> |
4,5 |
17,25 |
0,28 |
|
Степень охвата рынка |
> |
=1 |
> |
< |
4,5 |
17,25 |
0,28 |
|
Система контроля запасов |
< |
< |
=1 |
< |
2,5 |
9,25 |
0,16 |
|
Система транспортировки |
< |
> |
> |
=1 |
4,5 |
17,25 |
0,28 |
|
Итого |
61 |
1 |
|||||
Таблица 4.4. – Экспертная система для определения значимости критериев по фактору – продвижение продуктов на рынке
|
Наименование критериев |
Критерии |
Вектор- столбец |
Абсолютный приоритет |
Относительный приоритет |
|||
|
k1 |
k2 |
k3 |
k4 |
||||
|
Реклама |
=1 |
> |
> |
> |
5,5 |
21,25 |
0,36 |
|
Индивидуальная продажа |
< |
=1 |
< |
< |
2,5 |
9,25 |
0,16 |
|
Продвижение продуктов по каналам торговли |
< |
> |
=1 |
< |
3,5 |
12,25 |
0,21 |
|
Упоминание об изделиях в средствах массовой информации |
< |
> |
> |
=1 |
4,5 |
16,25 |
0,27 |
|
Итого |
59 |
1 |
|||||
В процессе обработки экспертных систем по факторам конкурентоспособности были выделены такие значимые критерии, как качество, упаковка, оптовая цена, гибкость ценовой политики, формы сбыта, степень охвата рынка, система транспортировки, реклама, упоминание об изделиях в средствах массовой информации. Далее по этим критериям сравним варианты, представленные стеклозаводами и выберем наилучший.
Таблица 4.5. – Экспертная система для определения значимости вариантов по критерию – качество
|
Наименование вариант |
Варианты |
Вектор- столбец |
Абсолютный приоритет |
Относительный приоритет |
||||
|
x1 |
x2 |
x3 |
x4 |
x5 |
||||
|
ЗАО «КСЗ» |
=1 |
> |
> |
> |
> |
7 |
34 |
0,30 |
|
«Иристон- стекло» |
< |
=1 |
> |
> |
> |
6 |
27,5 |
0,24 |
|
«Стеклолит» |
< |
< |
=1 |
< |
> |
4 |
17,5 |
0,15 |
|
Мишероньский стек. завод |
< |
< |
> |
=1 |
> |
5 |
22 |
0,19 |
|
Каменский с.з. |
< |
< |
< |
< |
=1 |
3 |
14 |
0,12 |
|
Итого |
115 |
1 |
||||||
Таблица 4.6. – Экспертная система для определения значимости вариантов по критерию – упаковка
|
Наименование вариант |
Варианты |
Вектор- столбец |
Абсолютный приоритет |
Относительный приоритет |
||||
|
x1 |
x2 |
x3 |
x4 |
x5 |
||||
|
ЗАО «КСЗ» |
=1 |
=1 |
=1 |
< |
=1 |
4,5 |
21,5 |
0,18 |
|
«Иристон- стекло» |
=1 |
=1 |
=1 |
< |
=1 |
4,5 |
21,5 |
0,18 |
|
«Стеклолит» |
=1 |
=1 |
=1 |
< |
=1 |
4,5 |
21,5 |
0,18 |
|
Мишероньский стек. завод |
> |
> |
> |
=1 |
> |
7 |
34 |
0,28 |
|
Каменский с.з. |
=1 |
=1 |
=1 |
< |
=1 |
4,5 |
21,5 |
0,18 |
|
Итого |
120 |
1 |
||||||
– Экспертная система для определения значимости вариантов по критерию – оптовая цена
|
Наименование вариант |
Варианты |
Вектор- столбец |
Абсолютный приоритет |
Относительный приоритет |
||||
|
x1 |
x2 |
x3 |
x4 |
x5 |
||||
|
ЗАО «КСЗ» |
=1 |
> |
> |
> |
> |
7 |
34 |
0,29 |
|
«Иристон- стекло» |
< |
=1 |
> |
< |
> |
5 |
23 |
0,19 |
|
«Стеклолит» |
< |
< |
=1 |
> |
< |
4 |
19,5 |
0,16 |
|
Мишероньский стек. завод |
< |
> |
< |
=1 |
> |
5 |
24 |
0,20 |
|
Каменский с.з. |
< |
< |
> |
< |
=1 |
4 |
18,5 |
0,16 |
|
Итого |
119 |
1 |
||||||
|
Наименование вариант |
Варианты |
Вектор- столбец |
Абсолютный приоритет |
Относительный приоритет |
||||
|
x1 |
x2 |
x3 |
x4 |
x5 |
||||
|
ЗАО «КСЗ» |
=1 |
< |
< |
< |
< |
3 |
14 |
0,12 |
|
«Иристон- стекло» |
> |
=1 |
> |
> |
> |
7 |
34 |
0,30 |
|
«Стеклолит» |
> |
< |
=1 |
< |
> |
5 |
22 |
0,19 |
|
Мишероньский стек. завод |
> |
< |
> |
=1 |
> |
6 |
27,5 |
0,24 |
|
Каменский с.з. |
> |
< |
< |
< |
=1 |
4 |
17,5 |
0,15 |
|
Итого |
115 |
1 |
||||||
|
Наименование вариант |
Варианты |
Вектор- столбец |
Абсолютный приоритет |
Относительный приоритет |
||||
|
x1 |
x2 |
x3 |
x4 |
x5 |
||||
|
ЗАО «КСЗ» |
=1 |
< |
> |
> |
> |
6 |
28,5 |
0,24 |
|
«Иристон- стекло» |
> |
=1 |
> |
< |
> |
6 |
28,5 |
0,24 |
|
«Стеклолит» |
< |
< |
=1 |
< |
> |
4 |
17,5 |
0,16 |
|
Мишероньский стек. завод |
< |
> |
> |
=1 |
> |
6 |
28,5 |
0,24 |
|
Каменский с.з. |
< |
< |
< |
< |
=1 |
3 |
14 |
0,12 |
|
Итого |
117 |
1 |
||||||
Таблица 4.10. – Экспертная система для определения значимости вариантов по критерию – степень охвата рынка
|
Наименование вариант |
Варианты |
Вектор- столбец |
Абсолютный приоритет |
Относительный приоритет |
||||
|
x1 |
x2 |
x3 |
x4 |
x5 |
||||
|
ЗАО «КСЗ» |
=1 |
> |
> |
> |
> |
7 |
34 |
0,29 |
|
«Иристон- стекло» |
< |
=1 |
> |
< |
> |
5 |
23 |
0,19 |
|
«Стеклолит» |
< |
< |
=1 |
> |
< |
4 |
19,5 |
0,16 |
|
Мишероньский стек. завод |
< |
> |
< |
=1 |
> |
5 |
24 |
0,20 |
|
Каменский с.з. |
< |
< |
> |
< |
=1 |
4 |
18,5 |
0,16 |
|
Итого |
119 |
1 |
||||||
|
Наименование вариант |
Варианты |
Вектор- столбец |
Абсолютный приоритет |
Относительный приоритет |
||||
|
x1 |
x2 |
x3 |
x4 |
x5 |
||||
|
ЗАО «КСЗ» |
=1 |
> |
> |
> |
> |
7 |
34 |
0,30 |
|
«Иристон- стекло» |
< |
=1 |
> |
> |
> |
6 |
27,5 |
0,24 |
|
«Стеклолит» |
< |
< |
=1 |
< |
< |
3 |
14 |
0,12 |
|
Мишероньский стек. завод |
< |
< |
> |
=1 |
> |
5 |
22 |
0,19 |
|
Каменский с.з. |
< |
< |
> |
< |
=1 |
4 |
17,5 |
0,15 |
|
Итого |
115 |
1 |
||||||
|
Наименование вариант |
Варианты |
Вектор- столбец |
Абсолютный приоритет |
Относительный приоритет |
||||
|
x1 |
x2 |
x3 |
x4 |
x5 |
||||
|
ЗАО «КСЗ» |
=1 |
> |
> |
> |
> |
7 |
34 |
0,30 |
|
«Иристон- стекло» |
< |
=1 |
> |
> |
> |
6 |
27,5 |
0,24 |
|
«Стеклолит» |
< |
< |
=1 |
< |
< |
3 |
14 |
0,12 |
|
Мишероньский стек. завод |
< |
< |
> |
=1 |
> |
5 |
22 |
0,19 |
|
Каменский с.з. |
< |
< |
> |
< |
=1 |
4 |
17,5 |
0,15 |
|
Итого |
115 |
1 |
||||||
Таблица 4.13. – Экспертная система для определения значимости вариантов по критерию – упоминание об изделиях в средствах массовой информации
|
Наименование вариант |
Варианты |
Вектор- столбец |
Абсолютный приоритет |
Относительный приоритет |
||||
|
x1 |
x2 |
x3 |
x4 |
x5 |
||||
|
ЗАО «КСЗ» |
=1 |
> |
> |
> |
> |
7 |
34 |
0,30 |
|
«Иристон- стекло» |
< |
=1 |
> |
> |
> |
6 |
27,5 |
0,24 |
|
«Стеклолит» |
< |
< |
=1 |
> |
> |
5 |
22 |
0,19 |
|
Мишероньский стек. завод |
< |
< |
< |
=1 |
< |
3 |
14 |
0,12 |
|
Каменский с.з. |
< |
< |
< |
> |
=1 |
4 |
17,5 |
0,15 |
|
Итого |
115 |
1 |
||||||
Результат обработки экспертной системы по критерию упаковка показывает, что все стеклотарные заводы используют примерно одну и тоже упаковку для сохранности своего продукта – стеклобанки, кроме Мишероньского стекольного завода, который превосходит всех тем, что использует вместо термоусадочной пленки новый вид упаковки согласно европейским стандартам.
Сравнение вариант по критерию – оптовая цена, показало, что ЗАО «КСЗ» имеет самую низкую оптовую цену, согласно относительного приоритета равного 0,29, что говорит о конкурентоспособности предприятия по цене и больших объемах сбыта по сравнению с другими предприятиями.
Относительно критерия – гибкость ценовой политики, сопоставление вариантов показало, что относительный приоритет варьирует от 0,30 до 0,12, где 0,30 соответствует заводу «Иристонстекло», который имеет гибкую ценовую политику, достигаемую за счет системы скидок и надбавок. Самый низший балл 0,12 у ЗАО «КСЗ», применяемого жесткую ценовую политику, которая выражается в установлении твердой цены на весь ассортимент. Данный факт говорит о том, что аппарату управления предприятием следует пересмотреть такую политику в целях достижения наилучших результатов.
Что касается сравнения вариант по таким критериям как формы сбыта и степень охвата рынка, то здесь можно отметить следующее. В целом у всех заводов стеклозаводов формы сбыта примерно одинаковые, в соответствии с относительным приоритетом равным 0,24, заключающиеся в прямой поставке выпускаемой продукции своим потребителям и наличие торговых посредников. Но все же баллы по данному критерию нельзя рассматривать как высокие, так как ни одно предприятие не имеет в системе сбыта своих дилеров, что говорит о несовершенстве сбытовой политики. По степени охвата рынка ЗАО «КСЗ» имеет самый высокий балл равный 0,29, что говорит о большом географическом охвате рынка, включающего не только российский рынок, но рынки стран СНГ. Самые низкие баллы у «Стеклолита» и Каменского стекольного завода, которые работают только для насыщения внутреннего рынка РФ.
Сопоставление вариантов по критерию – система транспортировки показывает, что самый высокий относительный приоритет равный 0,30 принадлежит ЗАО «КСЗ», который единственный среди предприятий имеет близкие подъездные пути, что способствует быстрому отправлению заказов своим клиентам в точно назначенный срок, благодаря чему ЗАО «КСЗ» имеет репутацию одного из самых надежных в стратегическом плане партнеров.
И в завершении анализа определения значимости критериев, таких как реклама и упоминание об изделиях в средствах массовой информации, мы видим, что по рекламе относительный приоритет варьируется от 0,15 до 0,30 и показывает самый большой балл у исследуемого предприятия, где отдел маркетинга тщательно прорабатывает рекламную политику, высокий уровень которой достигается за счет предоставления образцов изделий на различных выставках, как регионального, так и международного масштаба, что способствует ознакомлению наиболее солидных и потенциальных клиентов с данной продукцией и обеспечению портфеля заказов на будущее.
Что касается, такого критерия как упоминание об изделиях в средствах массовой информации, то здесь опять лидирующее положение с наивысшим относительным приоритетом в 0,30 баллов занимает ЗАО «КСЗ», которой не только проводит рекламу на радио и телевидении, но и печатается в таких солидных, специализированных журналах, как «Тара и упаковка», «Стеклянная тара», «ВЕКО о напитках» и других.
Таким образом, выделенные по результатам определения значимости наиболее существенные для завода «КСЗ» факторы конкурентоспособности оцениваются по важности.
Таблица 4.14. – Оценка факторов конкурентоспособности ЗАО «КСЗ» экспертным методом
|
Факторы конкурентоспособности |
Коэффициент важности i–го фактора |
|
Продукт |
|
|
Качество |
0,2 |
|
Упаковка |
0,1 |
|
Цена |
|
|
Оптовая цена |
0,1 |
|
Гибкость ценовой политики |
0,2 |
|
Каналы сбыта |
|
|
Формы сбыта |
0,1 |
|
Степень охвата рынка |
0,1 |
|
Система транспортировки |
0,05 |
|
Продвижение продуктов на рынке |
|
|
Реклама |
0,1 |
|
Упоминание об изделиях в средствах массовой информации |
0,05 |
|
Итого |
1 |
Таблица 4.15. – Систематизация экспертных систем по выделенным критериям
|
Наименование вариант |
Относительный приоритет i –го фактора |
Итого |
||||||||
|
k1 |
k2 |
k3 |
k4 |
k5 |
k6 |
k7 |
k8 |
k9 |
||
|
ЗАО «КСЗ» |
0,30 |
0,18 |
0,29 |
0,12 |
0,24 |
0,29 |
0,30 |
0,30 |
0,30 |
0,244 |
|
«Иристон-стекло» |
0,24 |
0,18 |
0,19 |
0,30 |
0,24 |
0,19 |
0,24 |
0,24 |
0,24 |
0,236 |
|
«Стеклолит» |
0,15 |
0,18 |
0,16 |
0,19 |
0,16 |
0,16 |
0,12 |
0,12 |
0,19 |
0,1615 |
|
Мишероньский стек. завод |
0,19 |
0,28 |
0,20 |
0,24 |
0,24 |
0,20 |
0,19 |
0,19 |
0,12 |
0,2125 |
|
Каменский с.з. |
0,12 |
0,18 |
0,16 |
0,15 |
0,12 |
0,16 |
0,15 |
0,15 |
0,15 |
0,146 |
|
Коэффициент важности i –го фактора |
0,2 |
0,1 |
0,1 |
0,2 |
0,1 |
0,1 |
0,05 |
0,1 |
0,05 |
1 |
Полученный результат по ЗАО «КСЗ» предполагает возможность выхода на внешний рынок, в следствие того, что у исследуемого предприятия есть все шансы, как по устойчивому финансовому состоянию, так и по конкурентоспособности выпускаемой продукции занять определенный сегмент на международном рынке.
Финансовая стратегия предприятия в системе стратегического регулирования
Учитывая возможность разработки различных стратегических аспектов развития компании, представляется необходимым сделать акцент на финансовой стратегии компании, так как она является основной в системе перспективных разработок каждой крупной компании.
Трансформационные процессы, происходящие в отечественных компаниях, во многом связаны с финансами. Анализ денежных потоков, поиск эффективных источников финансирования, выгодных инвестиционных решений, разработка разнообразной учетной и налоговой политики – все это ставится во главу угла деятельности современных предприятий. Особенно важным является использование финансовой стратегии для обеспечения устойчивого развития компаний в современных условиях, что обусловливает необходимость самого серьезного анализа проблем и выработки практических рекомендаций в этой области деятельности.
Финансовая стратегия компании представляет собой сложную многофакторно ориентированную модель действий и мер, необходимых для достижения поставленных перспективных целей в общей концепции развития в области формирования и использования финансово-ресурсного потенциала компании.
Экономическая сущность финансовой стратегии обусловлена финансовыми отношениями компании с экономическими субъектами и государственными органами, взаимодействием с ними в процессе осуществления деловых отношений в области финансов.
Практически речь идет о выработке базовой финансовой концепции компании, связанной с эффективным управлением денежным оборотом компании, формированием денежных средств в определенных пропорциях, использованием финансовых ресурсов по целевому назначению.
Место и роль финансовой стратегии неоднозначно оценивается в экономической литературе[64]. Чаще всего финансовая стратегия компании как инструмент регулирования используется в связке с инвестиционной стратегией, что в общем понятно, имея в виду перспективность и временной шаг инвестиционных решений и их тесную связь с финансовыми процессами (Г. Клейнер, А. Мовсесян). Отдельные исследования трактуют финансовую стратегию как часть финансового менеджмента (Л.
Павлова), с чем можно согласиться. Однако более обоснованным, по нашему мнению, было бы рассматривать финансовую стратегию как органичный элемент финансово-бюджетного регулирования компании:
- в методологическом плане сущность и механизмы формирования финансовой стратегии компании должны анализироваться как одна из проблем финансовых отношений, финансовой оценки реализации стратегических целей компании;
- в схеме экономического регулирования финансовая стратегия должна рассматриваться как компонент общей стратегии компании в ряду с продуктовой, инвестиционной, маркетинговой и другими видами стратегических решений.
Вместе с тем финансовая стратегия является базовой стратегией, поскольку обеспечивает (посредством финансовых инструментов, методов финансового менеджмента и др.) реализацию других базовых стратегий, а именно – конкурентной, инновационной. Это требует исследования взаимосвязи финансовой стратегии с выше названными стратегиями. Задачи реформирования отечественного бизнеса предполагают решение взаимосвязанных проблем формирования стратегии и внедрения нового качественного уровня управления финансами на базе достижения и реализации конкурентных преимуществ.
Необходимость идентификации финансовой стратегии в рамках общей компании обусловлена:
- диверсификацией деятельности крупных компаний в плане охвата ими различных рынков, в том числе финансовых;
- потребностями в изыскании источников финансирования стратегических проектов;
- наличием единой для всех компаний конечной цели при выборе стратегических ориентиров и их оценке – максимизации финансового эффекта;
- развитием международных и национальных финансовых рынков как «поля» для заимствования финансовых ресурсов и прибыльного размещения капитала, что связано с усилением роли финансов в жизнедеятельности компаний.
Стратегическая цель финансовой стратегии обеспечивается комплексом вспомогательных финансовых задач, представленных в конкретных программах. Учитывая изменчивость конъюнктуры и тенденций развития финансовых рынков, высокую степень инновационности финансовых инструментов, которыми оперируют компании, их значительную зависимость от векторов движения макроэкономических и социально-политических процессов в мировом сообществе, следует сформулировать ряд направлений формирования программ и проектов по реализации финансовой стратегии.
Среди них:
- выявление приоритетных для компаний финансовых рынков и целевых рыночных сегментов для работы на перспективу; это предполагает наличие у компании сильного целевого блока развития, опирающегося на обработку существующих информационных баз данных;
- анализ и обоснование устойчивых источников финансирования;
- выбор финансовых институтов в качестве приемлемых партнеров и посредников, эффективно сотрудничающих с компанией в долгосрочном аспекте;
- разработка долгосрочной инвестиционной программы, согласованной с приоритетными направлениями развития видов бизнеса, обусловленными общей стратегией компании;
- создание условий на будущее по поддержанию поступательного роста рыночной стоимости компании и курсов выпущенных ею ценных бумаг;
- формирование и совершенствование внутрифирменных финансовых потоков, механизмов трансфертного ценообразования;
- разработка с позиции стратегии программы эффективного централизованного управления финансами в сочетании с обоснованной децентрализацией других управленческих функций;
- прогнозные расчеты финансовых индикаторов экономической безопасности и устойчивости компании при стратегическом планировании деятельности компании.
Гипотетическая модель финансовой стратегии может включать следующие взаимосвязанные блоки (рисунок 6.3.):
- цели и задачи;
- уровни реализации;
- внешние и внутренние факторы формирования;
- инструменты и методы реализации;
- результативность стратегии.
Компания добивается своих стратегических финансовых целей, когда финансовые отношения соответствуют ее внутренним финансовым возможностям, а также позволяют оставаться восприимчивой к внешним социально-экономическим требованиям. Рассматривая понятие и содержание финансовой стратегии, необходимо подчеркнуть, что ее формируют в основном те же условия макро- и микросреды, факторы, воздействующие на общую стратегию компании, и другие составляющие, о которых было сказано выше.
Важным блоком модели финансовой стратегии компании являются уровни ее реализации.
Правомерно рассматривать два уровня: корпоративный и бизнес-уровень (уровень проектов). Различия в реализации финансовой стратегии компании на этих уровнях определяются:
- разными стратегическими целями;
- масштабом деятельности и охвата рынка;
- выполняемыми функциями (при соответствующей степени централизации или децентрализации в рамках предприятия);
- факторами внешней среды (налоговое регулирование, антимонопольное законодательство и т.д.).
Модель финансовой стратегии компании показывает, через систему каких инструментов (программы, проекты, реструктуризация, глобализация, диверсификация и др.) и методов (моделирование, планирование, анализ, прогнозирование и др.) она реализуется.
![]() |
Рисунок 6.3. – Гипотетическая модель формирования финансовой стратегии
Применение инструментов и методов финансовой стратегии носит ситуационный характер: конкретные факторы, включая социально-экономические и политические, определяют выбор той или иной их комбинации в различных вариантах. Исследование взаимодействия финансовой стратегии с управлением компании позволяет сделать вывод о важнейшей роли финансовой стратегии.
Исследование методологии формирования финансовой стратегии и теоретических основ функционирования компании в условиях рынка предполагает учет интеграционных тенденций, значение которых все более возрастает. Интеграция в ее разных формах и проявлениях в настоящее время превратилась в мощный структурообразующий фактор рынка. Интеграция банковского и промышленного капитала рассматривается как фактор формирования стратегии российских компаний, направления их реформирования в рамках реструктуризации.
Объединение компаний на основе интеграции банковского и промышленного капитала – одно из ключевых направлений структурной перестройки экономики России, инструмент формирования финансовой стратегии отечественных компаний. В современных условиях правомерно идентифицировать понятие финансового капитала крупных корпораций, ФПГ, ТНК.
При выработке финансовой стратегии компании эффективно использование метода сценариев (приближенное к реальности описание тенденций, которые могут проявляться в финансово-экономической сфере деятельности компании).
В экономической литературе анализируются особенности реализации «метода сценариев». К наиболее общим подходам в рамках этого метода можно отнести выделение трех основных видов сценариев[65]: оптимистический, пессимистический (комплекс ключевых факторов, отражающих наиболее негативный вариант развития событий), реальный (как правило, занимающий среднее положение между первым и вторым из названных).
Сценарии позволяют выявить основные факторы макро- и микросреды, которые необходимо учитывать при выработке эффективной финансовой стратегии крупной компании.
Моделирование финансовой стратегии компании осуществляется на основе реализации следующих принципов:
- последовательной реализации принятой стратегии устойчивого развития компании;
- базировании на современной теоретической модели;
- учете оргструктуры компании и предполагаемых в ней изменений;
- вариантности формировании стратегии.
Общая схема формирования финансовой стратегии включает следующие этапы:
- описание компании как открытой системы;
- выработку стратегических целей;
- разработку вариантов стратегии;
- определение критериев отбора вариантов;
- конкретизацию выбранного варианта финансовой стратегии;
- оформление финансовой стратегии, ее принятие и доведение до исполнителя;
- организацию контроля за реализацией стратегии.
Разработка модели финансовой стратегии компании должна быть органически встроена в работу по подготовке и реализации общей стратегии компании.
В системе разработки финансовой стратегии одно из ключевых мест занимает финансовое планирование, реализуемое на основе планирования производства и реализации, а также контроля за расходованием средств. В последние годы в большинстве компаний традиционные формы планирования «дрейфуют» в направлении использования его современной формы – бюджетирования.
В экономической литературе зачастую высказывается точка зрения на идентичность «плана» как такового и «бюджета» как инструмента плана. Понятия план и бюджет можно считать близкими. В английском языке используется слово «бюджет», от него вся процедура называется «бюджетированием».
В нашей стране более распространен термин «план». Каждое предприятие может выбирать те обозначения, которые ему больше подходят[66].
Однако представляется, что бюджетирование деятельности промышленных предприятий в условиях рыночной экономики существенно отличается от прежних подходов к организации планирования. И, прежде всего это касается органичного соединения планирования с контролем и ответственностью в рамках отдельных подразделений компании.
![]() |
Финансовый план компании (в современном формате его понимания) – это определение направлений множества продуктов и товаров, пользующихся спросом и готовых к реализации, выбора финансовых источников и распределения финансовых ресурсов, а также контроля за реализацией отдельных финансовых мероприятий (платежи, выполнение смет, оплата работников) (рисунок 6.4.).
Рисунок 6.4. – Общая схема финансового планирования компании
Выделение финансового планирования как особого вида планирования, обусловлено:
- относительной самостоятельностью движения денежных средств по отношению к материально-вещественным элементам производства;
- активным воздействием опосредованного деньгами распределения на производство;
- необходимостью администрирования при принятии решений о распределении финансовых ресурсов.
Необходимость решения этих задач обусловливает относительно сложную схему финансового планирования, в которую кроме вышеизложенной общей схемы может быть включен ряд функционально-ориентированных планов. В частности:
- план научно-исследовательских и опытно-конструкторских работ (НИОКР), производства, сбыта, материально-технические и финансовые планы;
- финансовые планы производственного отделения, дочерних компаний, холдинга, ФПГ.
При планировании стремятся обеспечить синергический характер работы компании, т.е. непропорционально большое повышение эффективности работы компании за счет комплексирования ряда элементов. Синергию в финансах называют финансовым рычагом или левериджем. Финансовый рычаг – это повышение эффективности компании за счет привлечения внешних кредитов, несмотря на расходы по оплате этого кредита[67].
Финансовое планирование обеспечивает необходимый контроль за образованием и использованием материальных, трудовых и денежных ресурсов, создает необходимые условия для улучшения финансового состояния компании. Оно взаимосвязано с планированием хозяйственной деятельности и строится на основе других показателей плана (объема производства и реализации, сметы затрат на производство, плана капитальных вложений и др.). Однако составление финансового плана не является простым арифметическим пересчетом показателей производства в финансовые показатели.
В процессе составления проекта финансового плана осуществляется творческий подход к показателям производственного плана, выявляются и используются не учтенные в них внутрихозяйственные резервы, находятся методы более эффективного использования производственного потенциала компании, более рационального расходования материальных и денежных ресурсов, повышения потребительских свойств выпускаемой продукции и т.д.
Разработка финансового плана связана с определением затрат на реализуемую продукцию, выручки от реализации, денежных накоплений, амортизации, объема и источников финансирования, намечаемых на планируемый период инвестиций, потребности в оборотных средствах и источниках ее покрытия, распределении и использовании прибыли, взаимоотношений с бюджетом, банками.
Финансовое планирование компании имеет следующую целевую направленность[68]:
1. Обеспечение финансовыми ресурсами и денежными средствами деятельности компании.
2. Увеличение прибыли по основной деятельности и другим видам деятельности, если они имеют место.
3. Организация финансовых взаимоотношений с бюджетом, внебюджетными фондами, банками, кредиторами и дебиторами.
4. Обеспечение реальной сбалансированности планируемых доходов и расходов.
5. Обеспечение платежеспособности и финансовой устойчивости.
Общий финансовый план разрабатывается сквозным образом с необходимыми промежуточными согласованиями по службам и подразделениям компании. Процедура финансового планирования не сводится только к планированию финансовых показателей фирмы в целом, а включает также: планирование натуральных показателей и планирование по структурным подразделениям.
В процессе финансового планирования отслеживаются финансовые (на верхнем уровне), а также натуральные показатели. В сводную службу поступают итоговые показатели от каждого подразделения, которые при необходимости могут быть детализированы.
Финансовое планирование осуществляется постоянно, скользящим образом, первые два месяца – понедельно, далее – помесячно (2 – 3 месяца), затем – поквартально. Процедура планирования на последующие периоды формируется после сопоставления фактических (ожидаемых) результатов предыдущего периода с плановыми. Все планы (бюджеты) развернуты в динамике[69].
В процессе разработки проекта финансового плана целесообразно использовать следующие методы: экономического анализа и синтеза; экстраполяции; прямого счета; нормативный; многовариантности; балансовый.
Укрупненная схема процедуры планирования включает:
- план продаж;
- план отгрузки;
- согласование плана выпуска с возможностями производства;
- корректировку поступлений по плану выпуска;
- расчет расходов по снабжению, энергетике и др.;
- сведение финансовых данных в документах по финансовым потокам и оборотному капиталу;
- корректировку планов при неудовлетворительном результате;
- принятие плана.
Существо финансового планирования связано с тем, что одновременно планируются прибыли и движение капитала (особенно денежных средств) (рисунок 6.5.).

Рисунок 6.5. – Последовательность планирования: от затрат к движению денежных средств
Реальность системы финансового планирования компании предопределяется наличием схемы координации всех планов компании и наличием системы ответственности за выполнение каждого плана. Система ответственности реализуется путем введения центров финансовой ответственности (или центров финансового учета).
В зависимости от распределения функций и обязанностей следует включать в соответствующий план по центру финансового учета только те статьи затрат, за которые отвечает и на которые может повлиять подразделение.
Традиционно выделяют следующие виды ЦФО:
- центры затрат;
- центры прибыли;
- центры инвестиций.
Деятельность ЦФО регламентируется положением о ЦФО, договором между ЦФО и руководством компании, положением о внутреннем ценообразовании, системой бюджетирования. При создании такой системы подразделения компании классифицируются по источникам возникновения доходов или расходов. Это необходимо для мотивации сотрудников и организации управленческого учета.
Компания делится не по звеньям, выполняющим какие-либо функции, а по центрам финансового учета. Такая детализация позволяет максимально объективно диагностировать состояние компании.
Управленческие функции делегируются структурным звеньям среднего уровня. Только при этом условии можно создать полноценные центры финансовой ответственности или самостоятельные бизнес-центры внутри компании.
Финансовая система учета создает мотивацию для каждого сотрудника. Четкая и прозрачная система финансового стимулирования позволяет специалистам точно рассчитать размер их вознаграждения.
Данная система позволяет автоматически отслеживать эффективность работы служащих и подразделений компании. Она снабжает руководство механизмом оценки, поэтому каждая рабочая единица рентабельна. Финансовая система учета при этом выделяет наиболее эффективные подразделения, что позволяет определять приоритетные направления и перераспределять ресурсы для их развития[70].
Система управления финансами ОАО «Волжский Оргсинтез».
Настало время, когда многие руководители осознали, что рыночная экономика резко отличается от плановой, однако для успешной работы необходимо четко понимать направление деятельности и механизмы реализации. Поэтому бюджетирование, являясь одним из способов эффективной работы компании, становится сегодня реальной необходимостью.
Традиционно считается, что задача подготовки бюджета – это задача прежде всего относящаяся к компетенции финансовых и планово-экономических служб, при некотором содействии отдела производства, хотя на многих предприятиях составление бюджета заключается в составлении смет расходов по различным подразделениям.
Многие руководители подразделений, составляющие смету-бюджет, заинтересованы прежде всего в том, чтобы «выбить» на свою структуру как можно больше ресурсов, часто при этом интересы руководителей структурных подразделений не совпадают с интересами предприятий. Когда в составлении бюджета участвуют не только финансовый и плановый отделы, но и все остальные руководители предприятия, где каждый из них не только готовит свою часть бюджета и отчитывается за его выполнение, но и отвечает за ряд показателей, на основе которых оценивается его работа, это меняет стиль управления хозяйственного субъекта: вместо бесконечных поисков виновных и «тушения пожаров» руководители начинают думать не о том, «что будет, если...», а о том, каким образом их решения повлияют на бизнес всего производства.
Ключевую роль в подготовке бюджета все же играют финансовые менеджеры, для которых бюджет представляется в виде прогноза финансовой отчетности. Бюджет заканчивается прогнозом основных финансовых документов: баланса, отчета о доходах и расходах, отчета о движении денежных средств.
По оценкам специалистов, из-за того, что предприятия не формируют годовые бюджеты, они теряют за год до 20% своих доходов. Основной причиной этого является незнание предполагаемых объемов продаж из-за отсутствия информации о своих потенциальных покупателях и о рынках сбыта своей продукции. Поэтому подготовку основного бюджета на «Волжском Оргсинтезе» начинают с прогноза объема продаж, и именно правильные прогнозы (в первую очередь по продажам) позволяют предприятию избежать указанных выше потерь или по крайней мере минимизировать их.
С точки зрения последовательности подготовки документов для составления основного бюджета весь процесс бюджетирования разбивается на две части, каждая из которых является законченным этапом планирования: 1. Подготовка операционного бюджета; 2. Подготовка финансового бюджета.
Операционный бюджет состоит из:
- бюджета продаж;
- бюджета производства;
- бюджета производственных запасов;
- бюджета прямых затрат на материалы и энергоресурсы;
- бюджета производственных накладных расходов;
- бюджета прямых затрат на оплату труда;
- бюджета коммерческих расходов;
- бюджета управленческих расходов;
- отчета о прибылях и убытках.
Финансовый бюджет состоит из:
- инвестиционного бюджета;
- кассового бюджета;
- балансового отчета.
Бюджет компании начинает составляться не с производственного планирования, как это делалось ранее, а с бюджета продаж. План производства и бюджет производственных затрат составляется на основе плана продаж таким образом, чтобы этот план продаж был удовлетворен и затраты на производство были бы минимальными. Данный подход полностью противоречит традиционному представлению. Производство, прежде всего, заставляет сконцентрироваться на вопросе, не сколько мы можем произвести, а сколько, по какой цене и кому мы сможем продать произведенную продукцию. Это является основным отличием между социалистическим планированием и бюджетированием в условиях рыночной экономики.
Большой проблемой при составлении бюджета в настоящее время является формирование прогнозных документов финансовой отчетности и описание связей между ними, принципов признания и оценки информации в данных отчетах. Учетная политика, применяемая к составлению финансовой отчетности, и принципы, на основании которых составляется бюджет, должны быть обязательно согласованы между собой для того, чтобы была надежная основа для проведения сравнительного анализа. Кроме того, финансовая отчетность должна отражать реальные результаты работы предприятия и реальное финансовое состояние. Однако на российских предприятиях с этим большие проблемы. Только, например, под термином выручка понимается: объем продаж по оплате, объем продаж по отгрузке, объем поступления денежных средств и т.д. Очень легко представить ситуацию, когда планироваться выручка будет по оплате, а отчетность создаваться по отгрузке.
Если речь заходит о связи плана продаж, плана поступления денежных средств и дебиторской задолженности, то здесь начинаются совсем уже неразрешимые проблемы.
Вследствие недопонимания этого многие предприятия пытаются отдельно делать бюджеты по каждым документам финансовой отчетности, что приводит к потере и искажению как плановой, так и аналитической информации и к тому, что невозможно реально оценить результаты выполнения бюджета.
Другой ошибкой, которую совершают компании, является то, что они пытаются увязать принципы подготовки бюджета и нормативов бухгалтерской отчетности, потому что другой отчетности просто нет. Но ни для кого сегодня не секрет, что бухгалтерская отчетность (даже если 100% бизнеса компании прозрачны) есть средство только расчета налогов, а до отражения реального финансового состояния предприятия ей далеко. Что же тогда предприятия пытаются представить в бюджет? В лучшем случае – прогноз налогов, и уж никак данный бюджет не будет помогать принимать управленческие решения, влиять на стратегию и тактику компании, потому что он будет далек от реальной жизни.
В результате такого подхода мы получаем, что подразделение, занимающееся подготовкой бюджета и работой с ним, никому на предприятии (кроме самих себя и отчасти бухгалтерии) не нужно. К сожалению, в такой ситуации в настоящее время работает большинство планово-экономических служб компании.
Проблемой является и учет инфляции при подготовке бюджета. Данная проблема усугубляется тем, что в России сегодня инфляция слабо прогнозируема, о чем свидетельствует кризис 1998 г. и последовавший резкий рост цен, но необходимость в планировании и прогнозировании остается насущной проблемой.
Одно из направлений управления финансами – это эффективное управление потоками денежных средств. Полная оценка финансового состояния предприятия невозможна без анализа потока денежных средств. В настоящее время большинство предприятий (более 80%) имеют недостаток оборотных средств. В то же время многие из них работают с прибылью. Одна из задач управления потоками денежных средств заключается в выявлении взаимосвязи между этими потоками и прибылью, т.е. является ли полученная прибыль результатом эффективных потоков денежных средств или это результат каких-либо других факторов.
Существуют такие понятия, как «движение денежных средств» и «поток денежных средств».
Под движением денежных средств понимаются все валовые денежные поступления и платежи предприятия.
Поток денежных средств связан с конкретным периодом времени и представляет собой разницу между всеми поступившими и выплаченными предприятиями денежными средствами за этот период. Движение денег является первоосновой, в результате чего возникают финансы, т.е. финансовые отношения, денежные фонды, денежные потоки.
Управление потоками денежных средств предполагает анализ этих потоков, учет их движения и разработку плана этого движения.
В результате анализа денежных потоков предприятие должно получить ответ на главные вопросы: откуда поступают денежные средства, какова роль каждого источника, на какие цели они используются?
Выводы следует делать как в целом по предприятию, так и по каждому виду его деятельности: основной, инвестиционной и финансовой. На основании этого принимаются решения об источниках и об обеспеченности каждого вида деятельности необходимыми денежными средствами; об обеспечении превышения поступления денежных средств над платежами; об источниках оплаты текущих обязательств и инвестиционной деятельности; о достаточности получаемой информации и др.
В настоящих условиях настоятельной необходимостью стало использование современного инструментария финансового регулирования, что обусловило разработку современной финансовой модели компании «Волжский Оргсинтез» (работа выполнялась одной из консультационных фирм в 2000 г.).
Финансовая модель компании представляет собой комплект взаимосвязанных табличных форм, предназначенных для выполнения вариантных расчетов основных финансовых показателей предприятия и анализа возможных результатов в зависимости от набора входных параметров и принятия тех или иных управленческих решений. Организационно финансовая модель включает набор табличных форм связанных между собой расчетов финансовых и экономических показателей. Наличие установленных взаимосвязей и расчетных формул между всеми таблицами объединяет таблицы в финансовую модель компании (рисунок 6.6.).

Рисунок 6.6. – Общая схема взаимосвязи расчетов финансово-экономических показателей (табличных форм)
Финансовая модель включает в себя три прогнозных финансовых отчета: «Прогнозный отчет о доходах и расходах», «Бюджет движения денежных средств» и «Баланс». Эти отчеты в совокупности дают полное представление о планируемых результатах деятельности предприятия и ожидаемых изменениях в его финансовом состоянии по завершении бюджетного периода.
Механизм составления прогнозных отчетов основан на использовании данных расчетных таблиц. На их основе автоматически составляются финансовые отчеты, форматы которых согласованы со структурой показателей финансовой модели. Соответствие между управленческими (предлагаемыми форматами) финансовыми отчетами и бухгалтерскими отчетами, составленными согласно действующему законодательству, можно установить посредством корректирующих процедур (проводок). Подобные процедуры применяются для трансформации отчетности российских предприятий в отчеты в соответствии с Международными стандартами бухгалтерского учета.
Источником информации для построения прогнозного отчета о доходах и расходах являются итоговые данные расчетных таблиц затрат, поступлений от продаж и дебиторской задолженности, а также доходов и расходов от прочей реализации (неоперационной деятельности).
Отчет составляется за бюджетный год по месяцам либо по кварталам и состоит из трех блоков:
- прогноз доходов и расходов от операционной деятельности предприятия без НДС;
- прогноз доходов и расходов от неоперационной деятельности;
- расчет прибыли до процентов, налогов и чистой прибыли.
Источником информации для построения прогнозного отчета о движении денежных средств являются итоговые данные графиков платежей, рассчитываемые на листах: «Дебиторы», «НДС», «Кредиты», «Кредиторы», «Энергия», «Зарплата», «Налоги», «Расходы» и «Сырье и материалы». Отчет составляется за бюджетный год по месяцам с учетом входящих остатков по статьям поступлений и выплат, являющихся одновременно данными баланса на начало бюджетного периода.Отчет состоит из четырех блоков:
- поступления денежных средств;
- выплаты денежных средств;
- сальдо поступлений и выплат;
- баланс денежных средств.
Практическое использование финансовой модели компании позволило получить руководству компании оперативную информацию о состоянии финансов компании, направлении использования средств, что значительно повысило эффективность принятия решений.
Информационные потоки предприятия: структура и особенности построения
В целом информационное поле предприятия можно подразделить на собственное и внешнее. Собственное информационное поле объединяет информацию, зарождающуюся внутри предприятия. К такой информации следует относить[25]:
- данные бухгалтерского учета и другой обязательной отчетности за текущий и прошлые периоды;
- первичные документы бухгалтерского, торгового и оперативного учета;
- приказы и распоряжения руководителя и менеджеров всех звеньев (письменные и устные);
- данные внутреннего документооборота (бумажного и электронного);
- результаты собственного анализа финансово-хозяйственной деятельности;
- другие данные (например, результаты анкетирования сотрудников предприятия).
Важно отметить, что качество собственного информационного поля предприятия в основном зависит только от позиции самого предприятия (в первую очередь, руководства). Четкая организационная структура управления, рациональное распределение функциональных обязанностей среди персонала, надежный и удобный учет на базе современных автоматизированных систем, продуманная схема документооборота способствуют улучшению и развитию информационного поля, что, в свою очередь, приводит к повышению качества принимаемых управленческих решений. Напротив, пренебрежение к проблемам сбора, обработки и анализа внутренней информации чревато тяжелыми проблемами при управлении бизнес-процессами на предприятии. И все-таки оптимизация внутреннего информационного поля предприятия задача достаточно простая по отношению к внешнему полю.
Дело в том, что собственное поле формируется за счет внутренних источников информации, которые легко можно проверить на полноту и достоверность. В случае внешнего поля это отнюдь не гарантировано. Количество разновидностей внешней информации и ее источников весьма значительно, поэтому ограничимся перечислением основных:
- законы, указы, приказы и другие нормативные документы федерального уровня;
- нормативные акты отраслевого, регионального и местного уровня (часто противоречивые);
- комментарии к указанным выше нормативным актам (пресса, другие СМИ, базы данных, Интернет);
- данные о состоянии отрасли (СМИ, Интернет, результаты заказных исследований);
- данные о состоянии мировой экономики (СМИ, базы данных, Интернет);
- реклама и информация партнеров и конкурентов ( прямая реклама, СМИ, выставки, семинары и конференции, презентации, Интернет);
- информация от клиентов (обратная связь);
- выводы консультантов и экспертов, результаты внешних (заказных) маркетинговых исследований и аудиторских проверок.
Кратко перечислим основные проблемы, возникающие при создании внешнего информационного поля.
Частичность информации. В ряде случаев источник дает не всю информацию, а какую-то ее часть. При этом непонятно, где и как можно найти недостающую информацию.
Недостоверность информации. Часть информации (особенно в некоторых СМИ и в Интернет) представляется сомнительной, а в ряде случаях и ложной. Тем не менее, других источников может не быть, и тогда приходится либо учитывать такую информацию, либо отказываться от нее.
Противоречивость информации. Одни источники противоречат другим, причем нельзя однозначно определить достоверный источник.
Избыточность информации. Информация слишком подробна, и на выделение из нее необходимой для бизнеса части необходимы значительные усилия.
Разнородность информации. Информация из разных источников поступает в различном виде (на бумаге, устно, по электронной почте, в виде графиков и таблиц, в виде Интернет-файлов разной кодировки и т.д.). Достаточно сложно организовать унификацию такой информации для дальнейшего хранения и обработки по единой технологии.
Как видно даже из этого краткого перечня проблем, формирование и поддержание в хорошем состоянии информационного поля предприятия – весьма непростая задача. Тем не менее, решать ее приходится, так как цена серьезной управленческой ошибки неизмеримо выше.
Справится с внешним и внутренним потоком информации так, чтобы руководитель мог принимать эффективные решения и успешно вести дела компании, - в этом состоит цель информационно-управляющей системы (ИУС).
В большинстве случаев информационно- управляющие системы компаний чаще всего достаточно успешно использовались лишь в качестве средства автоматизации определенных процессов, для сбора и обработки разнообразной информации и решения других локальных задач, достаточно слабо пересекающихся с общей линией развития компании.
Принципиально новая комплексная концепция создания корпоративной информационной системы (КИС) в отличие от большинства существующих на сегодняшний день ИУС должна быть ориентирована на решение стратегических задач компании, в числе которых снижение затратных частей бюджета и себестоимости продукции, повышение эффективности управления и обеспечение ее инвестиционной привлекательности, укрепление существующих рынков сбыта и освоение новых видов деятельности. Таким образом, можно сказать, что эта корпоративная система является той платформой, на основе которой строится новая, усовершенствованная модель ведения бизнеса компании - бизнеса прибыльного и высокорентабельного, обеспечивающая компании выход на новый уровень конкурентоспособности.
Предлагается рассмотреть отличительные особенности ИУС и КИС (рисунок 2.1.).
Таким образом, информационно-управляющие системы чаще всего достаточно успешно используются лишь в качестве средства автоматизации определенных процессов, для сбора и обработки разнообразной информации и решения других локальных задач, достаточно слабо пересекающихся с общей линией развития компании.
В отличие от ИУС, в числе компонентов КИС, обеспечивающих эффективную деятельность компании в целом, - единая система управления компанией, автоматизированные системы управления технологическими процессами, сетевые и телекоммуникационные комплексы системы передачи телеметрической информации, системы жизнеобеспечения, Internet и Intranet-решения.
Корпоративная информационная система строится как единый комплекс программно-технических и организационных решений, охватывающих все производственные, технологические, финансовые и хозяйственные процессы и объединяя все подразделения предприятия в единое информационное пространство.
Круг конкретных задач, решаемых в результате создания современной информационной системы, включает:
- объединение в единое информационное пространство боль шого числа территориально удаленных друг от друга объектов и подразделений компании;
- высокоскоростную передачу по каналам связи любых видов информационных потоков;
- поддержку деятельности всех подразделений и объектов предприятия;
- автоматизацию всех технологических и бизнес-процессов компании, оперативный контроль и управление процессами производства, транспортировки и сбыта, взаиморасчетов с потребителями и поставщиками, управление персоналом и т.д.;
- мощные средства обработки и анализа получаемой информации, расчет плановой и фактической себестоимости продукции;
- обеспечение необходимого уровня безопасности и защиты информационных ресурсов предприятия.
![]() |
Рисунок 2.1. – Процесс трансформации информационно-управляющей системы предприятия в корпоративную информационную систему
Главным итогом внедрения корпоративной информационной системы должно явиться создание на предприятии эффективного и действенного механизма управления, охватывающего бизнес-процессы - финансово-производственные, технологические, маркетинг, продажи и т.д. В результате этого корпорация выходит на качественно новый уровень управления и планирования своей деятельности.
Она повышает доходность за счет:
- налаживания платежной дисциплины и четкого контроля за расчетами, дебиторской и кредиторской задолженностью и платежами по ним;
- эффективного управления всеми видами ресурсов и создания гибкой системы их стратегического и оперативного планирования.
Снижение затрат происходит за счет:
- оптимизации учетной и налоговой политики, внедрения четкого механизма расчета и выплат налогов;
- возможности оперативного перераспределения материальных потоков.
При этом повышается инвестиционная привлекательность за счет использования общепринятых мировых стандартов учета и полной «прозрачности» финансово-экономических потоков для инвесторов и кредиторов, а так же качество и оперативность работы каждого подразделения предприятия.
Последнее происходит за счет:
- создания единого информационного пространства для технологических и бизнес-систем, создания единой базы знаний предприятия;
- внедрения внутрикорпоративных стандартов и использования единой технологии обработки информации на всех уровнях управления;
- внедрения систем электронного документооборота, позволяющего рационально организовать внутренние и внешние информационные потоки;
- организации четкого персонального контроля за исполнением приказов, поручений.
Формирование единого информационного поля деятельности компании опирается на получение информации из разных источников. Поэтому для обеспечения ее эффективного использования должен учитываться ряд принципов, гарантирующих результативность информационного обеспечения. При организации информационного обеспечения необходимо исходить из ряда основных положений (принципов).
Принцип взаимодействия. Под ним понимаются основные руководящие положения, которые опосредуют цель, содержание и формы делового сотрудничества на предприятии.
Принцип законности. Под ним понимается повсеместное, безусловное и точное исполнение всеми должностными лицами и подразделениями действующего законодательства.
Принцип паритетности (равноправия) сторон и разделения их компетенции.
Принцип конфиденциальности. Ценность и конфиденциальность основной массы информации, использующейся при информационном взаимодействии, предполагает необходимость неразглашения государственной, служебной и коммерческой тайн, иных сведений, охраняемых законом, обеспечения полноты и достоверности данных.
Принцип компенсационности. Вопрос о компенсации оговаривается в отдельных договорах либо в соответствующих нормативных актах.
Принцип информационной совместимости. Без внедрения информационных технологий невозможно эффективное взаимодействие между подразделениями. При обработке огромных массивов разнообразной информации технические средства, выполняющие эту задачу, должны «понимать» друг друга, что достигается за счет общих принципов информационной совместимости.
Данный принцип должен закладываться в основу разработки всех сложных информационных систем, связанных с необходимостью их взаимодействия.
Корпоративной информационной системе для управления средней или крупной компанией должны быть присущи следующие признаки:
- высокая функциональность;
- модульная архитектура;
- высокая производительность;
- высокая гибкость в соответствии с требованиями заказчика;
- гибкая конфигурация рабочего места;
- централизованное разграничение полномочий пользователей;
- полное соответствие нормативным и законодательным актам;
- ориентация на доступные технические и программные средства.
Функциональная структура информационной системы компании представлена на рисунке 2.2.

Рисунок 2.2. – Внутренняя структура информационной системы промышленного предприятия
В рамках подсистемы «оперативный учет» реализуются следующие функции:
а) сбыт: ведение договоров на поставку продукции; формирование приказов на отгрузку продукции; передача данных в контур финансового учета; установление связи с таможенными декларациями (ГТД); печать приказов и страховых квитанций; формирование отчетности по отгрузке продукции; ведение «кредитной линии» клиента;
б) склады сырья и материалов: оформление приходных и расходных документов; оформление накладных на внутреннее перемещение; оформление товарно-транспортных накладных; учет малоценных и быстроизнашивающихся предметов; формирование данных для секторов расчетов с поставщиками и подрядчиками, формирование отчетности по движению ТМЦ;
в) система учета передвижения железнодорожного транспорта: учет лицевых счетов; учет расходов за услуги железной дороги; контроль ожидаемых зачетов и денежных средств в пути; формирование отчетной документации и др.
В подсистеме «управление финансами» реализуются следующие виды работ:
а) дебиторы/кредиторы: расчеты с дебиторами за отгруженную продукцию; проведение операций взаимозачета; проведение вексельных операций; учет экспортных контрактов; анализ дебиторской и кредиторской задолженности;
б) банковские операции: оформление банковских документов; учет остатков средств на счетах; операции по продаже/покупке валюты;
в) планирование и финансовый анализ: составление сводного бюджета компании и контроль его исполнения; детализированный анализ финансового состояния компании; контроль учета денежных средств в выручке компании;
г) бухгалтерский учет: автоматическое формирование проводок в главной книге на основе первичных документов, гибкая настройка плана счетов бухгалтерского учета, формирование всех бухгалтерских проводок в системе, формирование бухгалтерского баланса.
В подсистеме «производство» реализуются следующие функции:
а) калькуляция плановой себестоимости продукции гибкая настройка производственной программы, расчет потребности в полуфабрикатах, формирование сводной и развернутой калькуляции, расчет коммерческой себестоимости, анализ рентабельности, сравнительный анализ себестоимости,
б) расчет и анализ производственной себестоимости, формирование и анализ производственной себестоимости продукции по статьям затрат, анализ затрат на 1 рубль товарной продукции, сравнительный анализ плановой и фактической себестоимости;
в) склад готовой продукции, учет поступления продукции на склад, учет расхода готовой продукции, формирование сводок по движению готовой продукции.
В подсистеме «основные средства» реализуются функции:
а) учет основных средств, подготовка документации по поступлению, выбытию и перемещению основных средств, расчет амортизационных отчислений; учет движения основных средств, формирование возрастной структуры оборудования и др.;
б) реализация и прочее выбытие основных средств, подготовка счетов-фактур, учет выручки от реализации основных средств, формирование отчетности.
В подсистеме «администратор системы» реализуется:
а) управление доступом гибкая настройка полномочий пользователей в подсистеме, организация пользовательских групп, ограничение доступа к данным отдельных подразделений;
б) целостность данных; система специализированных про граммных средств, направленных на поддержание логической и физической целостности данных системы; операционный мониторинг действий пользователей; статический контроль активности пользователей;
в) мониторинг ошибок регистрация системных ошибок; контроль возникновения, анализ причины; сохранение контекста ошибок разработчика;
г) управление печатной отчетностью;
д) конфигурация параметров системы: настройка на «владельца системы»; настройка на специфику учета и организации хозяйственной деятельности, настройка системных параметров системы; настройка размещения данных.
Внутреннее управление информационными потоками предприятия базируется на понятии документооборота.
Успех управленческой деятельности в значительной степени зависит от того, насколько быстро и качественно происходит обработка всей необходимой документации, движение которой осуществляется по определенным маршрутам от места составления или поступления в организацию до отправки заинтересованным организациям или сдачи на хранение в архив. Это движение документов называется документооборотом[26]. Он должен быть организован таким образом, чтобы не было задержек и скоплений документов на рабочих местах. С этой целью в организациях необходимо разрабатывать маршруты прохождения документов и устанавливать конкретные сроки их нахождения у каждого исполнителя, осуществлять контроль за их прохождением по всем рабочим местам. Порядок движения документов можно представить следующим образом (рисунок 2.3).
![]() |
Рисунок 2.3. – Схема движения документов на предприятии
Правильная организация работы с документами зависит от того, насколько четко разделены функции и обязанности между работниками предприятия. Точное знание своих обязанностей повышает ответственность каждого работника и исключает дублирование операций при работе с документами.
В соответствии с целью создания документы подразделяются на:
- распорядительные (приказ, указание);
- организационные (положение, устав, инструкция, протокол);
- информационно-справочные (справка, докладная или объяснительная записка, акт, служебное письмо, телеграмма, телефонограмма, факсограмма, командировочное удостоверение);
- личные (автобиография, заявление, доверенность).
В документационном обеспечении управления можно выделить три группы документов:
- внутренние (созданные в организации и не выходящие за ее пределы) – распорядительная, справочно-информационная документация;
- входящие (поступающие в организацию). Сюда относятся документы вышестоящих органов управления (постановления, решения, приказы, указания, инструктивно-методические письма), документы других организаций (письма, решения, акты), обращения граждан и т.д.;
- исходящие (отправляемые в другие организации) – письма, планово-отчетная документация.
Документы распределяются в организации в соответствии с функциями подразделений и исполнителей. Эти функции закреплены в положениях о структурных подразделениях и в должностных инструкциях исполнителей.
Обработка входящих документов.
Входящие документы (т.е. вся корреспонденция, поступающая в организацию по почте, телеграфом, факсом или каким-либо иным путем) должны пройти экспедиционную обработку. Сотрудник экспедиции, прежде всего, проверяет правильность доставки корреспонденции, ее сохранность (отсутствие повреждений упаковки, полноту присланных материалов и т.д.). Вскрываются все конверты, кроме личной корреспонденции. Конверты уничтожаются, за исключением тех случаев, когда на конверте имеются пометки «конфиденциально» или «срочно», а также, если адрес отправителя, даты отправки и поступления проставлены только на конверте. Экспедиционная обработка документов должна осуществляться в день их поступления в организацию.
Затем входящие документы сортируются на регистрируемые и нерегистрируемые. Не все входящие документы подлежат регистрации. Организация сама определяет перечень нерегистрируемых документов.
Как правило, к документам, не подлежащим регистрации, относятся поздравительные письма, каталоги, печатные издания (брошюры, журналы), сообщения о встречах и т.п.
На регистрируемых документах проставляется регистрационный штамп, содержащий название организации, дату поступления документа, его номер.
Входящие документы проходят предварительную обработку в канцелярии, где их распределяют на потоки:
- руководителям организации – для обязательного рассмотрения;
- структурным подразделениям – для исполнения. Документы, которые исполняются несколькими подразделениями, размножаются и передаются одновременно всем исполнителям.
Руководитель организации, рассмотрев документ, определяет исполнителя, дает ему четкие и конкретные указания и устанавливает реальные сроки исполнения. Эти указания оформляются в виде резолюции на самом документе. Сведения об исполнителе и сроке исполнения документа заносятся секретарем-референтом в регистрационный журнал и служат основанием для взятия документа на контроль.
Документ с резолюцией руководителя передается исполнителю и находится у него в работе до окончательного решения вопроса. Когда работа над документом завершена, на документе проставляется отметка о его исполнении и направлении в дело. После этого документ вместе с копией ответа передается секретарю-референту для подшивки в дело.
Обработка исходящих документов.
Исходящими называются документы, отправляемые из организации. Их обработка включает следующие этапы:
- составление проекта документа исполнителем;
- согласование проекта документа;
- проверка правильности оформления проекта документа;
- подписание документа руководителем;
- регистрация документа;
- отправка документа адресату;
- подшивка второго экземпляра (копии) документа в дело.
Проект документа составляется исполнителем и согласовывается с заинтересованными должностными лицами или структурными подразделениями. До передачи подготовленного документа на подпись исполнитель должен проверить содержание документа и приложения к нему, правильность оформления документа, наличие необходимых реквизитов.
Исходящие документы оформляются в двух экземплярах, за исключением факсов и телефонограмм, которые составляются в одном экземпляре.
Подготовленный проект документа представляется на подпись руководителю организации. После подписания руководителем двух экземпляров документ регистрируется в журнале регистрации исходящих документов.
При рассылке документа более чем в четыре адреса исполнитель готовит список на рассылку и после его регистрации организует размножение документа.
Экспедиционная обработка исходящих документов включает сортировку, упаковку, оформление почтового отправления и сдачу в отделение связи.
Внутренние документы — это документы, которые готовятся, оформляются и исполняются в пределах самого учреждения. Их подготовка и оформление осуществляются в соответствии с общими правилами оформления исходящих документов и включают следующие этапы:
- составление проекта документа;
- согласование;
- проверка правильности оформления;
- подписание документа руководителем;
- регистрация.
На этапе исполнения работа с внутренними документами организуется согласно правилам работы с входящими документами и включает следующие этапы:
- передача документа исполнителю;
- контроль его исполнения;
- исполнение;
- подшивка исполненного документа в дело.
Разработку проектов документов и их согласование осуществляют сотрудники структурных подразделений. При подготовке проекта документа необходимо учитывать содержание ранее изданных документов и нормативных актов по данному вопросу. Для установления единого порядка составления документов в учреждении разрабатывается инструкция по делопроизводству, которая содержит образцы правильно оформленных документов и правила работы с ними.
Правильно оформленный проект документа согласовывается с заинтересованными должностными лицами и подразделениями и представляется на подпись руководителю. Подписанный документ регистрируется и передается конкретному исполнителю.
Исполнитель знакомится с документом в день его получения и несет полную ответственность за работу по этому документу. Если его исполнение поручено нескольким лицам, то ответственным исполнителем считается тот, чья фамилия стоит первой в резолюции. Однако все исполнители в равной степени несут ответственность за своевременную и высококачественную работу по исполнению документа и обязаны представлять ответственному исполнителю все необходимые материалы (сведения, справки и т.п.) в установленные им сроки.
Существенное влияние на надлежащее исполнение документов оказывает хорошая организация контроля за этим процессом. Контролю подлежит исполнение всех зарегистрированных документов.
Контроль исполнения включает:
- постановку документа на контроль;
- проверку своевременного доведения документа до исполнителя;
- проверку и регулирование хода исполнения;
- учет и обобщение результатов контроля исполнения документов;
- информирование руководителя.
В ряде организаций для ведения контрольных операций используется персональный компьютер, который в заданном режиме устанавливает промежуточные сроки исполнения и выводит на экран номера документов в день, назначенный для проведения по ним контрольных операций.
Документ считается исполненным и снимается с контроля после выполнения задания и сообщения результатов заинтересованным лицам и организациям (подготовка ответа, проведение деловой встречи и т. д.).
Все документы, проходящие через сектор, ответственный за документооборот являются связанными документами, в том смысле, что большинство из них ссылается на другие документы. Наиболее типичным случаем является входящий документ, который практически всегда порождает соответствующий ему исходящий.
Без связей как таковых могут появляться только внутренние и входящие документы. Причем входящие документы могут иметь связи как на исходящие, которые вызывают их появление, так и на другие входящие. Все документы связаны как в системе управления документами, так и в системе контроля исполнения (как принадлежащие одной работе).
В этом смысле здесь наблюдается некоторое дублирование связей.
Связи в большинстве случаев направленные по принципу: «главный-подчиненный». Иногда встречаются ненаправленные связи, которые объединяют родственные документы (документы, посвященные одному вопросу).
Повышение значения экономического фактора и юридической силы документов в управлении делает актуальными исследования ученых и эксперименты практиков в области управления документацией, направленные на отход от традиционного примата делопроизводства, от классического деления документации «по системам» и на переход к созданию высокоэффективных, использующих современные технико-технологические достижения систем управления всем комплексом информационно-документационных ресурсов при достижении стратегических и оперативных целей управления в любых организациях, особенно в государственном аппарате управления.
Одним из важных компонентов этой работы является исследование относительно нового понятия в российском документоведении – управления документацией и введение его не только в научный оборот, но и в практику. Термин «управление документацией» широко распространен в мире. Например, в США организация, ведающая вопросами документации, носит название «Национальный архив и управление документацией» (National Archives and Records Administration (NARA). Буквальный перевод немецкого термина «Schriftgutverwaltung» означает «управление письменными документами» (обычно данный термин переводят как делопроизводство, хотя это и не совсем верно). Английский термин «Records Management» также переводится как управление документами.
Управление документацией отличается и от делопроизводства, и от ДОУ. Рассмотрим некоторые представления о данном предмете, имеющиеся в западной и отечественной литературе[27].
Хотя управление документацией в зарубежных странах организуется по-разному, но в то же время имеет некоторые общие черты, сформировавшиеся под влиянием международных связей и рекомендаций международных организаций (ЮНЕСКО – Программа RAMP, Международный совет архивов – Международный совет по управлению документацией, Международная федерация по управлению документацией; Международная организация по стандартизации ИСО – технический комитет ИСО/ТК 154 «Документы и информация в управлении: торговле и промышленности»).
Управление документацией охватывает жизненный цикл документов с момента их рождения, выполнения ими соответствующих задач в управлении до уничтожения или передачи в архив.
Управление документацией складывается из четырех основных составляющих, которые в совокупности позволяют достигнуть эффективности «документальной» деятельности и способствовать развитию организации за счет систематического использования документированной информации. Элементы управления документацией охватывают полный жизненный цикл документов.
1. Создание документов. Этот элемент понимается как установление необходимого перечня используемых документов, их названий и функционального назначения, проектирование форм документов, наблюдение за их использованием, применение современных информационных технологий для составления документов.
2. Хранение и использование документированной информации. Этот элемент понимается как формирование дел (в российской терминологии), создание файлов и систем поиска документов и информации, развитие систем передачи информации, телекоммуникаций, копирования и тиражирования документов; создание центров хранения документов или административных архивов (в российской терминологии – текущие архивы).
3. Передача документов на постоянное (государственное) хранение. Этот элемент понимается как составление перечней документов со сроками хранения, оценка документов, идентификация и описание каждого документа и комплексов документов. Ценность и необходимость сохранения признается за документами, которые могут служить для доказательства существовавших сделок или для проведения исторических исследований.
4. Управление архивами. Этот элемент понимается как проектирование и строительство архивохранилищ, совершенствование методов консервации и реставрации, систематизации и описания архивных фондов, доступа к документам, составления справочных средств и распространения в обществе информации об архивах.
Таким образом, управление документацией понимается как полноценная управленческая функция организации, реализация которой распространяется на все стадии жизненного цикла бытования документов (от возникновения документов – до их уничтожения или передачи на хранение в архив), все виды документов и системы документации организации.Управление документацией основывается на принципах экономичности и эффективности и на широком использовании новых информационных технологий, обеспечивающих качественный менеджмент по отношению к документации организации как полноценному ресурсу управления. Тем самым подчеркивается взаимосвязь документации и информации в управлении.
Контрольно-информационное обеспечение финансовой политики предприятия
В современных условиях любая компания функционирует в жестких условиях конкурентной среды. Ее деятельность должна быть направлена на завоевание и удержание предпочтительной доли рынка, на достижение превосходства над конкурентами, что обеспечивается в известной мере эффективной организацией системы контроля в компании.
Система внутреннего контроля компании должна ориентироваться на обеспечение следующих основных параметров эффективности функционирования в современных условиях: на устойчивое положение компании на рынках; на своевременную адаптацию систем производства и управления организации к динамичной внешней среде (рыночной конъюнктуре)[71].
В рыночных условиях, характеризующихся высокой неопределенностью и нестабильностью внешней среды, эффективное управление предполагает значительный спектр объемов плановой и контрольной работы. Усиление конкурентных отношений на мировых и отечественных рынках, стремительное развитие и смена технологий, растущая диверсификация бизнеса, усложнение бизнес-проектов и другие факторы обуславливают новые требования к системе внутреннего контроля компании. В современных условиях внутренний контроль компании должен присутствовать на всех уровнях управления. Практически эффективная система внутреннего контроля – это гарантия успешной деятельности компании.
В настоящее время большинство российских компаний ведет работу по структурной перестройке системы корпоративного управления, в том числе системы внутреннего контроля, настраиванию этой системы на обеспечение конкурентоспособности, на эффективное функционирование и развитие организации.
Основой системы внутреннего контроля является информационное обеспечение контрольной деятельности, включающее оперативную, плановую, нормативно-справочную информацию, классификаторы технико-экономической информации, системы документации (унифицированные и специальные).
Ключевой для системы внутреннего контроля является информация о степени управляемости объекта контроля, т.е. информационная прозрачность данного объекта для возможности принятия эффективных управленческих решений (управления объектом).
Качество информации в системе внутреннего контроля определяется по таким критериям, как достаточность, достоверность, своевременность, аналитичность.
Процедуры контроля – составной элемент технологических процедур управления, технологии управления в целом. Отсутствие единого описания процедур влечет несогласованность действий отдельных работников и целых подразделений. Процедуры контроля определяют также порядок и последовательность работ в плановой ситуации и при возникновении отклонения или конфликта во взаимоотношениях работников.
Задача системы учета – обеспечить контроль за наличием и движением имущества (ресурсов) и его рациональным использованием в соответствии с утвержденными нормами, нормативами и сметами. Эффективная система учета не должна допускать возникновения ошибок и возможности злоупотреблений (искажений) работниками организации.
Условия работы механизма внутреннего контроля определяются:
- принятым компанией курсом действий (ее ориентиры), целями, стратегией;
- масштабом деятельности компании;
- определением и документальным закреплением процедур контроля;
- реакцией руководителей соответствующих уровней на выявленные в результате контроля отклонения, своевременностью принятия ими решений по данным отклонениям;
- налаженностью системы коммуникаций и системы информационного обеспечения управления;
- наличием систем бюджетного управления (бюджетирования), бизнес-планирования, подготовки финансовой отчетности для внешних и внутренних пользователей;
- внешними влияниями – уровнем развития экономики, экономической и политической устойчивостью рынка, развитием законодательной базы рыночного типа, налоговой политикой государства и т.д.;
- соблюдением действующего законодательства и работой с внешними системами контроля;
- договорной дисциплиной;
- неопределенностью и риском деятельности компании.
Система внутреннего контроля – это основа функционирования управленческой информационной системы, т.е. системы обработки и интеграции разнообразной внутренней и внешней информации, необходимой для принятия решений на всех уровнях управления компаний.
Основные цели функционирования системы внутреннего контроля:
- сохранение и эффективное использование разнообразных ресурсов и потенциалов компании;
- своевременная адаптация к изменениям во внутренней и внешней среде;
- обеспечение эффективного функционирования компании и ее устойчивости и максимального развития в условиях многоплановой конкуренции.
Функционирование системы внутреннего контроля призвано сводить к минимуму различного рода риски в деятельности компании. Достижение целей системы внутреннего контроля обеспечивается реализацией задач, в которых от взаимосвязи и взаимодействия различных ее элементов требуется достичь конкретных показателей, по которым можно судить об эффективности управления и развития компании.
Основные задачи системы внутреннего контроля заключаются в достижении следующих показателей эффективности управления:
- соответствия деятельности компании принятому курсу действий и стратегии;
- устойчивости компании с финансово-экономической, рыночной и правовой точек зрения;
- сохранности ресурсов и потенциалов компании;
- уровня полноты и точности первичных документов и качества первичной информации для успешного руководства и принятия эффективных управленческих решений;
- рационального и экономного использования всех видов ресурсов;
- соблюдения работниками компании установленных администрацией требований, правил и процедур;
- соблюдения требований федеральных законов и подзаконных актов РФ, субъектов РФ и органов местного самоуправления.
Эти и многие другие задачи обусловливают создание в компании эффективной системы внутреннего контроля. Кроме того, организация внутреннего контроля позволяет снизить издержки на внешний аудит. Организация системы внутреннего контроля находится под воздействием многих факторов, назовем основные:
- отношение руководства к внутреннему контролю (т.е. насколько правильно понимает руководство роль внутреннего контроля в управлении компанией);
- внешние условия функционирования компании, ее размеры, оргструктура, масштабы и виды деятельности;
- количество и региональная неоднородность (разветвленность) месторасположения ее обособленных подразделений или дочерних компаний;
- стратегические установки, цели и задачи;
- степень механизации и компьютеризации деятельности;
- ресурсное обеспечение;
- уровень компетентности кадрового состава.
Организация эффективного функционирующей системы внутреннего контроля – это сложный многоступенчатый процесс, включающий следующие этапы:
1. Анализ и сопоставление определенных для прежних условий хозяйствования целей функционирования компании, принятого ранее курса действий, стратегии и тактики с видами деятельности, размерами, оргструктурой, а также с ее возможностями.
2. Анализ эффективности существующей структуры управления, ее корректировка. Должны быть разработаны положения об организационной структуре, в которых описаны все организационные звенья с указанием административной, функциональной, методической подчиненности, направления их деятельности, функций, которые они выполняют, установлен регламент их взаимоотношений, права и ответственность, показано распределение видов продуктов, ресурсов, функций управления по этим звеньям. То же самое относится и к положениями о различных структурных подразделениях (отделах, бюро, группах и т.д.).
3. Разработка формальных типовых процедур контроля конкретных финансовых и хозяйственных операций. Это позволяет упорядочить взаимоотношения работников по поводу контроля за финансово-хозяйственной деятельностью, эффективно управлять ресурсами, оценивать уровень достоверности информации для принятия управленческих решений.
Важнейшее место в системе управления компанией занимает контроль стратегических решений. Имеется в виду выяснение того, в какой мере принятие решения приводит к достижению целей компании. Практически речь идет о формировании современной контроллинг-системы управления (рисунок 6.7.).
Концептуальная схема контроллинг-системы управления ориентирована на установление контроля за достижением как стратегических целей (стратегический контроллинг), так и тактических целей (текущий, оперативный контроллинг) деятельности предприятия.
В рамках данной системы основными областями контроля за достижением целей являются:
- стратегические и оперативные качественные и количественные цели;
- «критические» условия внешней и внутренней среды, учитывающиеся при разработке антикризисных мер; для этого может быть использована система индикаторов экономической безопасности и их пороговые значения;
- «узкие» места на стратегически важных направлениях деятельности. Применительно к данным областям необходимо определение (в соответствии со стратегическими целями) системы контролирующих параметров, при этом учитываются следующие требования:
а) использование ограниченного объема показателей (целесообразно включение только целеориентированных параметров);
б) обеспечение многофункциональной оценки деятельности предприятия;
в) динамизм и перспективность индикаторов;
![]() |
Рисунок 6.7. – Формирование контроллинг-системы управления
г) обеспечение возможности раннего предупреждения наступления событий;
д) сравнимость параметров (во временных интервалах, межотраслевых и других видах сравнений).
В общей конфигурации система управления подконтрольными параметрами состоит из двух основных блоков.
1. Блок сравнительного анализа фактических значений параметров с плановыми с целью выявления отклонений, а также причин и последствий отклонений.
2. Блок выявления взаимосвязи и взаимозависимости между полученными отклонениями по контролируемым параметрам и конечным результирующим показателям деятельности предприятия.
По сравнению со стратегическим контроллингом оперативный имеет ряд существенных отличий:
а) на этапе управления достижениями тактических целей используется более детализированная система параметров, ориентированная на контроль за «узкими» местами деятельности предприятия;
б) система управления результатами и затратами, как правило, реализуется на основе учета «сумм покрытия» (Direct-Costing-System), одной из разновидностей расчета себестоимости.
Особенность данной системы заключается в планировании и учете только «ограниченной себестоимости», т.е.
учитываются только расходы, непосредственно связанные с изготовлением продукции (как прямые, так и косвенные). Остальные затраты не входят в калькуляцию, а возмещаются общей суммой без распределения по объектам затрат из выручки от реализации продукции.
Неотъемлемой частью планирования является контроль. Он позволяет оценить возможные отклонения от запланированных показателей и/или от способов достижения намеченных результатов. В задачу руководства предприятия входит организация контроля при тесном взаимодействии с соответствующими службами управления предприятием. На рисунке 6.8. в качестве примера приводится схема контроля системы продаж.

Рисунок 6.8. – Схема проведения контроля системы продаж
Остановимся на каждом виде контроля. Предложения, вырабатываемые в результате проведения контроля, должны согласовываться с администрацией, чтобы они не выходили за рамки общей программы предприятия.
Контроль годовых планов. Его цель – убедиться, что продажи выходят на запланированные на конкретный год показатели продаж и прочие целевые параметры. Процесс контроля годовых планов состоит из четырех этапов:
- установление контрольных показателей (Чего мы хотим достичь?);
- замеры показателей рыночной деятельности (Что происходит?);
- анализ результатов (Почему так происходит?);
- корректирующие действия (Что надо сделать, чтобы исправить?).
Анализ продаж заключается в измерении произведенных продаж в сопоставлении с плановыми. При отклонении фактических результатов от плановых следует выяснить причины отклонения и предложить меры для исправления данного положения.
Анализ рынка включает анализ рыночной квоты. Речь идет об анализе доли рынка, занимаемой предприятием в разрезе продуктов (таблица 6.3.). Из таблицы можно выявить позиции конкурентов, их сильные и слабые стороны, которые всегда должны приниматься во внимание при проведении мероприятий.
Таблица 6.3. – Контроль результатов по занимаемой доле на рынке
|
Продукт |
Занимаемая доля |
Отклонение |
Корректирующее дейстие |
|
|
план |
факт |
|||
|
А |
||||
|
Б |
||||
Контроль прибыльности заключается в определении фактической рентабельности различных продуктов и сегментов рынка. Методика расчета состоит в определении издержек на каждый продукт, которые соотносятся с полученными доходами.
Контроль эффективности состоит в определении, являются ли эффективными методы организации и управления персоналом, рекламной деятельностью и продвижением продаж.
Финансовый контроль деятельности – это организация бюджетного контроля и управления движением денежных средств. Бюджетный контроль основывается на единой базе формирования бюджетов и интеграции финансовых операций – счетах главной книги и аналитических объектах управленческого учета.
На основе бюджетных данных по аналитическим объектам управленческого учета имеется возможность сравнивать планируемые и фактические результаты по соответствующим статьям затрат/доходов для центров финансовой ответственности. Подсистема финансового плана совместно с подсистемой управления распределением затрат позволяют оценить сходимость результатов плана и фактической себестоимости выпускаемой продукции, осуществить последующий анализ отклонений и на основе объективных данных сформировать мнение о рентабельности выпускаемой продукции для предприятия и т.д.
Управление движением денежных средств, как основная задача финансового управляющего, реализуется в системе планирования и контроля входящих и исходящих денежных потоков и формализации процедур ведения расчетов (рисунок 6.9.).
Формирование прогноза движения денежных средств системой обеспечивается на основе различных документов (счетов-фактуры закупок, счетов-фактуры продаж, заказов на покупку, заказов на продажу, заказов по проектам поручения и т.д.).

Рисунок 6.9. – Упрощенная схема движения денежных средств
Формализация и упорядочение процедур расчетов организовывается путем определения в системе стандартных способов и операций по расчетам.
Повседневный учет операций на счетах главной книги предполагает, как правило, два состояния операции: неразнесенная операция (документ); разнесенная операция (документ).
Статус « неразнесенная операция» определяет возможность ее исправления и удаления без каких-либо последствий. Процедура контроля неразнесенных операций и их разнос в главную книгу, как правило, выполняется периодически соответствующими должностными лицами по участкам учета. Принимая во внимание интегрированный характер контроля, следует заметить, что основная доля операций совершается автоматически на основе регистрации первичных документов в подсистемах, связанных с планированием и управлением снабжением, производством, сбытом, проектными работами и т.д. Основная нагрузка по непосредственному ведению операций падает на службу расчетов; остальные службы по участкам бухгалтерского учета в большей степени контролируют правильность автоматического формирования операций и осуществляют их разноску.
В целях осуществления контроля за исполнением бюджетов компании целесообразно использовать двухуровневую систему контроля.
Нижний уровень – контроль за исполнением бюджетов структурных подразделений компаний, непосредственно осуществляемый экономическими службами этих подразделений, при этом контролируется как сводный бюджет, так и функциональные бюджеты.
Верхний уровень – контроль за исполнением бюджетов структурных подразделений (включая контроль составляющих их бюджетов по статьям затрат), осуществляемый непосредственно финансово-экономический службой компанией и ее бухгалтерией (рисунок 6.10.).

Рисунок 6.10. – Основные элементы контроля
Контроль за соблюдением расходной части комплексного бюджета является важной задачей, от решения которой во многом зависит эффективность финансово-хозяйственной деятельности предприятия. Для обеспечения качественного решения этой задачи необходимо установить четкий порядок управленческих процедур, который позволит обеспечить:
- оперативное проведение анализа фактических отклонений от плановых значений (сумм) сводного бюджета (в том числе анализ по отклонениям функциональных бюджетов);
- разработку мероприятий по ликвидации непроизводственных затрат и удорожающих факторов, выявленных в ходе анализа;
- оформление и представление руководству компании аналитических материалов по исполнению сводного и функционального бюджетов для оперативной коррекции этих бюджетов и соответственно бюджетов структурных подразделений.
Бюджетный контроль занимает важное место в системе финансового планирования компании. Его роль показана на рисунке 6.11.

Рисунок 6.11. – Система финансового планирования компании
Предлагаемая система контроля за оформлением и исполнением сводного бюджета представлена в таблице 6.4.
Таблица 6.4. – Система контроля за формированием и исполнением сводного бюджета компании
|
Этапы бюджета |
Подразделения, ответственные по этапам |
Согласование по этапам |
Контроль |
Утверждение |
|
Формирование: |
||||
|
Доходная часть |
Финансовая и планово-экономическая служба |
Дирекция и бухгалтерская служба |
Бухгалтерская служба |
Директор |
|
Расходная часть |
Бухгалтерская и финансовая служба |
|||
|
Исполнение: |
||||
|
Доходная часть |
Финансовая и планово-экономическая служба |
Дирекция и бухгалтерская служба |
Бухгалтерская служба |
Директор |
|
Расходная часть |
Для создания эффективно действующей системы контроля необходимо:
- выявить те сферы деятельности, где будет оправдан особенно тщательный контроль;
- установить стандарты деятельности;
- создать систему сбора информации о деятельности;
- сравнить результаты деятельности со стандартами;
- принять меры по коррекции нежелательных отклонений.
На основе такой системы контроля руководители должны:
- определить, какие из подразделений нуждаются в улучшении деятельности и отражать это в количественной мере на основе сравнения с имеющимися стандартами;
- обеспечить получение руководителями каждого подразделения информации о показателях деятельности;
- незамедлительно отреагировать на высокие достижения в виде устного поощрения руководителей этих подразделений;
- организовать помощь отстающим подразделениям; сделать эту процедуру систематической;
- при неоднократном повторении высоких показателей у одних и тех же подразделений ввести систему сравнений за более продолжительный период времени;
- ввести отчет по всем сферам деятельности, чтобы они не были оставлены без внимания;
- обеспечить оперативное управление приоритетами, чтобы не было игнорируемых сфер деятельности.
Следует отметить, что введение такой системы может быть постепенным, ее функционирование дает возможность создать здоровый дух соперничества и значительно улучшить работу компании.
Общая схема организации системы учета отчетности и контроля ОАО «Волжский Оргсинтез» и направления ее совершенствования.
Организация бухгалтерского учета на предприятии ОАО «Волжский Оргсинтез» - это система условий и элементов (слагаемых) построения учетного процесса и осуществление контроля за рациональным использованием производственных ресурсов и готовой продукции. Необходимость ведения бухгалтерского учета определена Федеральным законом от 21.11.1996 г. № 129-ФЗ «О бухгалтерском учете» (редакция от 23.07.1998 г.).
Деятельность бухгалтерии основана на организационных, распорядительных, платежных, учетных документах. Так, в соответствии с Федеральным законом «О бухгалтерском учете», все хозяйственные операции компании должны оформляться первичными учетными документами. Поэтому основными слагаемыми системы организации бухгалтерского учета являются первичный учет и документооборот, инвентаризация, план счетов бухгалтерского учета, формы бухгалтерского учета, формы организации учетно-вычислительных работ, объем и содержание отчетности.
При организации учета отчетности и контроля ОАО «Волжский Оргсинтез» была реализована следующая схема:
- разработаны организационно-распорядительные документы (положение о бухгалтерии, должностные инструкции работников бухгалтерии, штатное расписание);
- созданы номенклатуры дел и организовано хранение документов;
- создана технология обработки получаемой информации (формирование системы регистров бухгалтерского учета и правил внутренней отчетности, разработан порядок проведения инвентаризации и методов оценки видов имущества и обязательств);
- сформирована кадровая политика бухгалтерии (порядок аттестации бухгалтеров, система подбора персонала, система повышения квалификации).

Отдел бухгалтерского учета обеспечивает обработку документов, рациональное ведение бухгалтерских записей в учетных регистрах и на их основе – составление отчетности. Своевременное получение учетной информации о финансово-хозяйственной деятельности организации позволяет руководителям компании оперативно воздействовать на ход производства, принимать соответствующие меры для повышения экономических показателей работы организации (производительности труда, прибыли). Структура организации бухгалтерского учета компании представлена на рисунке 6.12.
Рисунок 6.12. – Структура отдела бухгалтерского учета компании
Аппарат бухгалтерии имеет непосредственное отношение ко всем цехам и отделам организации. Он получает от них данные, необходимые для осуществления учета (документально оформленные совершенные хозяйственные операции).
Большинство секторов системы учета выполняет традиционные функции, однако действующая система учета адаптируется и к нынешнему состоянию экономики. Это проявилось, в частности, в создании сектора по взаимозачету. Его функции таковы:
- предварительная информация с подписью на письмах, договорах по переуступке долгов о существующей задолженности до начала предстоящих финансово-хозяйственных расчетов, введение информации в компьютер;
- составление справок взаимозачета с приложением копии документов, подтверждающих расчеты между предприятием и другими организациями;
- сдача справок каждому бухгалтеру с подтверждением росписью бухгалтера о наличии оформленных приходных и расходных документов через склады предприятия, что подтверждает факт проведенной финансово-хозяйственной операции по расчетам;
- составление актов сверок со всеми покупателями и поставщиками;
- участие в анализе дебиторской и кредиторской задолженности;
- выдача оперативной отчетности на каждый день по дебиторской, кредиторской задолженности руководству предприятия для оперативного контроля.
Особый интерес представляет схема взаимодействия бухгалтерии компании со структурными подразделениями организации, которая основана на четкости, полноте и комплексности решения вопросов контроля и учета в компании (таблица 6.5.).
Таблица 6.5. – Схема взаимосвязи бухгалтерии со структурными подразделениями компании
|
Получение информации |
Передача информации |
|
Бюро по работе с акционерами |
|
|
- ведомость начисления дивидендов физическим и юридическим лицам; - сводный отчет начисленных дивидендов; - отчеты по сумма, выданным подотчет |
- пакеты документов по отчетности к подготовке проведения Совета директоров, акционерного собрания |
|
Производственно-технический отдел |
|
|
- утвержденные первые страницы к технологическим отчетам по производствам; - лимит на спирт; - документы на согласование |
- данные для расчетов экономических проектов; - данные о стоимости сырья |
|
Отдел главного энергетика |
|
|
- отчет по распределению энергоресурсов по потребителям; - расшифровки расхода энергоресурсов в соответствии со счетами-фактурами энергоснабжающих организаций |
|
|
Отдел главного механика |
|
|
- отчеты за доверенность на получение запасных частей и др. материалов; - документы, подтверждающие расход материалов со склада |
- информация о расходе материалов на текущий, капитальный ремонт; - информация о начислении амортизационных отчислений, о вводе оборудования |
|
Отдел технического контроля |
|
|
- акты о браке выпущенной продукции; - акты, подтверждающие поступление сырья, материалов от поставщиков с отклонениями от требуемого ГОСТа; - согласование документов |
- затраты на потери от брака |
|
Научно-исследовательский центр |
|
|
- документы, подтверждающие расход материальных, трудовых затрат на НИР; - согласование документов (договора, трудовые соглашения) |
- затраты на содержание НИЦ |
Продолжение таблицы 6.5.
|
Финансовый отдел |
|
|
- ежедневно выписки банка по рублевым и валютным счетам с прилагаемыми документами; отчет по кассе; - счета-фактуры по готовой продукции; - акты выполненных работ и услуг; - отчеты по движению векселей с приложениями |
- подтверждение на проведение взаимозачетов; ведомость дебиторской, кредиторской задолженности; - документы на выплату зарплаты, заявки на получение наличных денежных средств из банка; - бухгалтерский баланс с приложениями, требующимися для проведения анализа деятельности предприятия; - ежемесячные планы налоговых платежей и платежей во внебюджетные фонды |
|
Экономический отдел |
|
|
- ежеквартальный расчет ноу-хау; - показатели начисления приработка; - штатное расписание отдела, бюджет предприятия; - ежемесячные сведения о численности, зарплате и движении работников; - ежемесячные сведения по реализации и выпуску товарной продукции |
- отчеты о хозяйственной деятельности предприятия (месячные, квартальные, годовые); - ежедневные сведения по выполнению плана отгрузки и реализации по предприятию; - ежемесячная информация по отгруженной и реализованной продукции, дебиторской и кредиторской задолженности; - данные для расчета ноу-хау; - сведения о фактически начисленной зарплате по категориям работников и хозрасчетным подразделениям; - проект штатного расписания; - ходатайство о внесении изменений в штатное расписание; - расчеты по налогам для составления бюджета предприятия с пояснительной запиской |
|
Отдел реализации |
|
|
- документы для согласования (договоры, приказы) |
- ведомость дебиторско-кредиторской задолженности; - ведомость неосвоенной предоплаты покупателей |
|
Отдел внешнеэкономических связей |
|
|
- согласование контрактов; - отчеты за выданные денежные средства в подотчет; - отчеты по авансам, перечисленным таможне, внешнеэкономической палате; - справка от отгрузке продукции на экспорт; - документы, подтверждающие экспорт |
- дебиторскую, кредиторскую задолженность |
|
Отдел кадров |
|
|
- списки на оформление отпусков, инвалидности, по сокращению штатов; - документы на прием, увольнение, перевод из цеха в цех; - заявки на получение справок о зарплате по оформлению пенсий по возрасту; - листки нетрудоспособности; - табели по учету рабочего времени |
- график отпусков, табелей учета рабочего времени; - справки о зарплате работников, оформляющих пенсию, инвалидность, по сокращению штатов; - листки нетрудоспособности работников отдела; - сведения об изменении паспортных данных; - материалы по нарушителям правил трудового распорядка |
Продолжение таблицы 6.5.
|
Отдел маркетинга и рекламы |
|
|
- документы, размещающие выдачи средств в подотчет на командировки, представительские расходы и др.; - отчеты по расходу за полученные средства |
- сведения о дебиторской, кредиторской задолженности |
|
Отдел оборудования |
|
|
- отчеты за доверенности по полученным материальным ценностям; - документы, подтверждающие приход и расход материальных ценностей; - документы на согласование; - отчеты по полученным денежным средствам в подотчет; - копии импортных контрактов |
- сальдовые ведомости остатков материальных ценностей на складах отдела с расшифровкой; - ведомости по кредиторской и дебиторской задолженности по поставщикам |
|
Отдел системы качества |
|
|
- утвержденные документы СК и изменения к ним; - протоколы проведения анализа СК со стороны высшего руководства; - планы мероприятий по совершенствованию СК |
- документы СК и изменения к ним, разработанные отделом, для согласования; - ставки по зарплате на работников отдела |
В соответствии со ст. 13 гл. 3 Федерального закона «О бухгалтерском учете» предприятие составляет на основе данных синтетического и аналитического учета бухгалтерскую отчетность, которая состоит из:
а) бухгалтерского баланса – форма № 1;
б) отчета о прибылях и убытках – форма № 2;
в) пояснения к бухгалтерскому балансу и отчету о прибылях и убытках:
- отчет о движении капитала – форма № 3 (годовая);
- отчет о движении денежных средств – форма № 5 (годовая);
- пояснительная записка;
г) итоговой части аудиторского заключения, выданного по результатам обязательного по законодательству РФ аудита бухгалтерской отчетности.
В настоящее время предприятие ОАО «Волжский Оргсинтез» укомплектовано многофункциональными ЭВМ-компьютерами, объединенными в единую корпоративную информационную систему.
Это позволяет накапливать данные непосредственно в традиционных учетных регистрах (карточках, листах) и на машинных носителях информации. Комплексная информационная система, благодаря возможности централизованного доступа со стороны всех управленческих структур предприятия, создает условия для оптимизации структуры системы управления.
Применение машинно-ориентированных форм учета обеспечивает:
- автоматизацию учетного процесса;
- высокую точность учетных данных;
- оперативность данных учета;
- повышение производительности учетных работников;
- освобождение их от выполнения простых технических функций и предоставление большей возможности заниматься контролем и анализом хозяйственной деятельности;
- увязку всех видов учета и планирования, поскольку они ис- пользуют одни и те же носители информации.
Список использованной литературы
1. Азоев Г.Л. Конкуренция: анализ, стратегия и практика. – М.: Центр экономики и маркетинга, 1996. – 208 с.
2. Акофф Р. Планирование будущего корпорации. – М.: Прогресс, 1985. – 326 с.
3. Безверхий С.Ф. Управление качеством на современном этапе // Стандарты и качество. – 1997. - №1. – С.14-22.
4. Белл Д. Социальные рамки информационного общества / Новая технологическая волна на Западе. – М.: Прогресс, 1986. – С. 330-342.
5. Богачев Е.Б., Чуб Б.А. Проблемы функционирования финансовой системы региона. Под ред. акад. Бандурина В.В. – М.: БУКВИЦА, 1999. – 206 с.
6. Валдайцев С.В. Оценка бизнеса и инновации. М.: Информационно-издательский дом «Филинъ», 1997. – 336 с.
7. Гличев А.В., Круглов М.И. Управление качеством продукции. – М.: Экономика, 1979.
8. Дайвард У. Наступление информационного века / Новая технологическая волна на Западе. – М.: Прогресс, 1986. – С. 343-355.
9. Десмонд Гленн М., Келли Ричард Э.
Руководство по оценке бизнеса. – М.: РОО, 1994. – 274 с.
10. Джуран Д. Все о качестве: Зарубежный опыт. Выпуск 2. Высший уровень руководства и качество. М., 1993.
11. Илюшенко М.П. Организация документооборота // Делопроизводство. – 1998. – №1. – С. 51-57.
12. Информационный рынок в России / Ю.М. Арский, Р.С. Гиляревский, В.С. Егоров и др. – М.: ВИНИТИ. – 1996. – 293 с.
13. Константинов Ю.Н. Система научно-технической информации промышленного предприятия. Волгоград: ОАО «Химпром». – 1998. – 111 с.
14. Костогрызов А.И., Петухов А.В., Щербина А.М. Основы оценки, обеспечения и повышения качества выходной информации в АСУ организационного типа. М.: Изд. «Вооружение. Политика. Конверсия». – 1994. – 278 с.
15. Кудров В.А. За высокую конкурентоспособность // Мировая экономика и международные отношения. – 2002. – №2. – С.114-118.
16. Лукасевич И. Я. Моделирование процессов анализа финансового состояния предприятия в условиях рынка // Финансы. – 1993. – № 3. – С.49-52.
17. Майминас Е. Информационное общество и парадигма экономической теории // Вопросы экономики. – 1997. – №11. – С. 86-97.
18. Майоров С.И. Информационный бизнес: коммерческое распространение и маркетинг. – М.: Финансы и статистика. – 1993. – 128 с.
19. Менеджмент качества и обеспечение качества продукции на основе международных стандартов ИСО / Свиткин М.З., Мацута В.Д., Рахлин К.М. – СПб.: Изд-во СПб картофабрики ВСЕГЕИ, 1999. – 403 с.
20. Научное обоснование экономической реформы: Сб. науч. статей / Волгоград. гос. техн. ун-т; Редкол.: Л.С. Шаховская (отв. ред.) и др. – Волгоград, 2000. – 124 с.
21. Общая теория финансов. Учебник под. ред. Л.А. Дробозиной. – М.: Юнита. 1995. – 256 с.
22. Организация работ по качеству. Серия «Все о качестве. Зарубежный опыт». Выпуск 4, 1997 г. – М.: НТК «Трек». – 1997. – 21 с.
23. Портфель конкуренции и управление финансами / Под ред. Ю.Б. Рубина. – М.: Соминтек, 1996. – 734 с.
24. Производственная и финансовая деятельность предприятий // Экономист.
–1997. – № 4. – С.29-38.
25. Рахлин К.М., Скрипко Л.Е. Состав затрат на обеспечение качества // Стандарты и качество. – 1998. - №8. – С.51-54.
26. Родионов И.И. Информационные ресурсы для предпринимателей. – М.: Электронные знания. – 1994. – 173 с.
27. Стассман Поль А. Информация в век электроники: (Проблемы управления): Пер. с англ. с сокр. / Науч. ред. и авт. предисл. Б.З. Мильнер. – М.: Экономика, 1987. – 240 с.
28. Стиглер Дж. Экономическая теория информации / Теория фирмы. Под ред. Гальперина В.М. – СПб.: Экономическая школа, 1995. – С.507-529.
29. Стоупьер Т. Информационное богатство: профиль постиндустриальной экономики / Новая технологическая волна на Западе. – М.: Прогресс, 1986. – С. 392-409.
30. Тарасов В.Б. Новые стратегии реорганизации и автоматизации предприятий: на пути к интеллектуальным предприятиям. – Новости искусственного интеллекта. – 1996. – №4. – С.40-84.
31. Управление качеством. Учебник / С. Д. Ильенкова, Н. Д. Ильенкова, С. Ю. Ягудин и др.; Под ред. доктора экономических наук, профессора Ильенковой С.Д. – М.: ЮНИТИ, 1998. – 198 с.
32. Управление финансами / Под ред. Г. Фрэнсиса. – М.:МИМ ЛИНК, 1999. - 160 с.
33. Финансовое управление компанией / Под общ. ред. Кузнецовой Е.В. – М.: Фонд «Правовая культура», 1996. – 384с.
34. Хедервик К. Финансовый и экономический анализ деятельности предприятий. Пер с англ. / Под ред. Ю.Н. Воропаева - М.: Финансы и статистика, 1996. – 192 с.
35. Швец В.Е. «Менеджмент качества» в системе современного менеджмента // Стандарты и качество. – 1997. - №6. – С.48-50.
36. Эрроу К. Информация и экономическое поведение // Вопросы экономики. – 1995. – №5 – С. 98-105.
37. Юданов А.Ю. Конкуренция: теория и практика. – М.: Изд-во «Акалис», 1998. – 272 с.
38. Crosby P.B. Quality Is Free. New York: New American Library, 1979, chap. 1.
39. Russell E. Ackoff, «Management Misinformation System», Management Science, December 1967.
[1] См.: Rumelt R.P. Strategy, Stracture, and Economic Performance, Cambridge, MA: Harvard University, 1974.
[2] См.: Porter M. Competitive Strategy, New-York, Free Press, 1980.
[3] См.: Schendel D.E., Hatten K.J. Business Policy or Strategic Management: a view for emerging discipline. In Academy of Management Proceedings, 1972.
[4] См.: Grant R.M. Contemporary Strategy Analysis. Cambridge, MA: Basil Blackwell.
[5] См.: Hatten K.J., Hatten M.L. Effective Strategic Management, Englewood Cliffs, NJ, Prentice-Hall, 1988.
[6] См.: Smith G.D., Arnold D.R., Bizzel B.G. Business Strategy and Policy. Boston, houghton Miffin, 1988.
[7] См.: Von Neumann J., Morgenstern O. The Theory of Games and Economic Behavior. - New York, Willy, 1944.
[8] См.: Steiner G.A., Miner J.B. Management Policy and Strategy: Text, Readings and Cases. - New York, McMillan, 1977.
[9] См.: Glueck W.F. Business Policy and Strategic Management. - New York, McGraw-Hill, 1980.
[10] См.: Mintzberg H., McHugh A. Strategy formulation in adhocracy.- Administrative Science Quarterly, 30, 1985.
[11] См.: Barney J.B. Gaining and Sustaining Competitive Advantage. - Addison-Wesley Publishing Company, New York, 1996.
[12] См.: Туленков Н. Ключевая позиция стратегического менеджмента в организации // Проблемы теории и практики управления. – 1997. - №4.
[13] См.: Томпсон А.А., Стрикленд А.Дж. Стратегический менеджмент. М: «Банки и биржи», «ЮНИТИ», 1998.
[14] См.: Акулов В., Рудаков М. К характеристике субъекта стратегического менеджмента // Проблемы теории и практики управления. – 1998. - №4.
[15] См.: Дуфала В. Инструментарий для формирования стратегии предприятия // Проблемы теории и практики управления. – 1998. - №1.
[16] См.: Томпсон А.А., Стрикленд А.Дж. Стратегический менеджмент. М: «Банки и биржи», «ЮНИТИ», 1998.
[17] Цит. по: Виханский О.С. Стратегическое управление: Учебник. – М.: Изд-во Моск. ун-та, 1995. – С.40-41.
[18] См.: Михайлова Е.А. Основы бенчмаркинга // Менеджмент в России и за рубежом. – 2001. – №1.
[19] См.: Гольдштейн Г.Я. Стратегический менеджмент: анализ ситуации компании.
Таганрог, ТРТУ, 1999
[20] См. подробнее: Кочетов Э.Г. Геоэкономика (Освоение мирового экономического пространства): Учебник. – М.: Издательство БЕК, 1999. – С.261-266.
[21] См. подробнее: Сергеев Е.Ю. Международные экономические отношения: Курс лекций. – М.: Информационно-внедренческий центр «Маркетинг», 2000. – С.73-100, 296-301.
[22] См. подробнее: Российский регион – ХХI век. Перспективы социально-политического и экономического развития: Сб. материалов и тез. докл. юбил. науч.- практ. конф., посвящ. 10-летию ВАГС. Волгоград, 5 дек. 2001г. – Волгоград: Изд-во ВАГС, 2001. – 215 с.
[23] См.: Алексунин В.А. Международный маркетинг. Учебное пособие. – М.: Издательский Дом «Дашков и Ко», 2000. – С.38-39.
[24] См. подробнее: Приказ Минэкономики РФ от 01.10.97 № 118 «Об утверждении методических рекомендаций по реформе предприятий (организаций)»
[25] Аглицкий И.С. Информационное поле предприятия // Финансовая газета. – 2001. - № 45. – С.14-15.
[26] Васильева И. Н. Основы делопроизводства и персональный менеджмент: Учебное пособие для вузов / ВЗФЭИ. – М.: ЗАО «Финстатинформ», 1999. – С.62.
[27] См.: Ларин М.В. Управление документацией: теория и практика // Делопроизводитель. – 2001. - №1.
[28] См.: Кузнецова Т.В. Проблемы организации службы документационного обеспечения управления (ДОУ) на современном этапе // Делопроизводитель. – 2001. - №1.
[29] См.: Гличев А.В., Круглов М.И. Управление качеством продукции. – М.: Экономика, 1979.
[30] См.: Огвоздин В.Ю. Управление качеством. Основы теории и практики. Учебное пособие. – М.: Дело и сервис, 1999.
[31] Управление качеством. Учебник / С.Д. Ильенкова, Н.Д. Ильенкова, С.Ю. Ягудин и др.; Под ред. доктора экономических наук, профессора Ильенковой С.Д. – М.: ЮНИТИ, 1998. – С.143.
[32] Там же: С. 144.
[33] См.: Хентце Й., Каммель А. Как преодолеть противодействие запланированным организационным изменениям // Проблемы теории и практики управления. – 1997. - № 3.
[34] См.: Kotter J.P. Leading Change: Why Transformation Efforts Fail // Harvard Business Review, 1995, Vol. 73.
№ 2.
[35] См.: Kanter R.M., Stein B.A., Jick T.D. The Challenge of Organizational Change. New York et al., 1992.
[36] Свиткин М. Новые шаги в практике менеджмента качества // Стандарты и качество. – 2000. - №12. – С. 59.
[37] Калита П. От процессов управления качеством – к целостной технологии непрерывного совершенствования организации // Стандарты и качество. – 2001. - №1. – С. 41.
[38] Широбоков Ю.А. Психологические аспекты внедрения стандартов ИСО серии 9000 // Стандарты и качество. – 2001. - №2. – С. 56-57.
[39] См.: Serge P. The fifth discipline: the art and practice of the learning organization. – Doubleday Publishers. 1990.
[40] Забежинский А.Д. Введение в действие статистического контроля на крупном промышленном предприятии // Стандарты и качество. – 1997. - №11. – С.39-40.
[41] См.: Робертсон Б. Лекции об аудите качества: Пер. с англ. / Под общей ред. Ю.П. Адлера. – М.: Редакционно-информационное агентство «Стандарты и качество», 1999.
[42] См.: Методика формирования подсистемы оценки затрат на качество. / Тобис В.И., Кузнецова В.В., Гнесина Н.К. – М.: ВНИИС, 1995.
[43] См.: Глухов А.Л. Оценка конкурентоспособности товара и способы ее обеспечения // Маркетинг. – 1999. - №2. – С.56-64.
[44] См.: Коммерческое товароведение и экспертиза / Под ред. Г.А. Васильева и Н.А. Нагапетьянца. – М.:Банки и биржи, ЮНИТИ, 1997.
[45] См.: Фатхутдинов Р.А. Конкурентоспособность: экономика, стратегия, управление. – М.: ИНФРА-М, 2000.
[46] См.: Завьялов П.С. Маркетинг в схемах, рисунках, таблицах: Учебное пособие. – М.: ИНФРА-М, 2000.
[47] См.: Демидов В.Е., Завьялов П.С. Формула успеха: маркетинг. – М.: Международные отношения, 1991.
[48] См.: Коммерческое товароведение и экспертиза / Под ред. Г.А. Васильева и Н.А. Нагапетьянца. – М.: Банки и биржи, ЮНИТИ, 1997.
[49] См.: Афанасьев М.П. Маркетинг: стратегия и практика фирмы. – М.: ТНД, 2000.
[50] См.: Щиборщ К.В. Сравнительный анализ конкурентоспособности и финансового состояния предприятий отрасли и/или региона (http://www.cfin.ru/press/marketing/2000-5/12.shtml).
[51] См.: Портер, Майкл Э. Конкуренция. Пер. с анг.: Уч. пос. – М.: Издательский дом «Вильямс», 2001.
[52] См.: Ожегов С. И. Словарь Русского языка. М.: Русский язык; Толковый словарь иностранных слов. Общеупотребительная лексика (для школ, лицеев, гимназий). Ростов-на-Дону: Изд-во «Феникс», 1995.
[53] Мерзликина Г.Н., Шаховская Л.С. Оценка экономической состоятельности предприятия: Монография/ВогГТУ, Волгоград, 1998. – С.63.
[54] Эскиндаров М.А. Развитие корпоративных отношений в современной российской экономике. М.: Республика, 1999. – С.188.
[55] Миргром П., Робертс Дж. Экономика, организация и менеджмент: В 2-х т./ Пер. с англ. под редакцией И. И. Елесеевой, В. Л. Гамбовцевой. СПб.: Экономическая школа, 1999. Т.2. – С.49.
[56] См.: Грищенко О.В. Анализ и диагностика финансово-хозяйственной деятельности предприятия: Учебное пособие. Таганрог: Изд-во ТРТУ, 2000.
[57] См.: Ансофф И. Стратегическое управление. М.: Экономика, 1989.
[58] См.: Карлофф Б. Деловая стратегия. М.: Экономика, 1991.
[59] Идеология стратегического управления достаточно полно разработана в книге Р. Уотермана «Фактор обновления» (М.: Прогресс, 1988.).
[60] В литературе встречаются другие виды классификации стратегий. В частности, в статье Н.С. Казанкова (Финансы и кредит. 1999. № 12) стратегии делятся на стратегии захвата, приспособления и выживания.
[61] См.: Баранчеев В. Стратегический анализ: технология, инструменты, организация // Проблемы теории и практики управления. – 1998. – № 5.
[62] Некоторые аспекты этой проблемы рассмотрены в статье В. Дуфала «Инструментарий для форсирования стратегии предприятия» (Проблемы теории и практики управления. – 1998. - №1).
[63] Теория развития нашла отражение в работах таких зарубежных авторов, как Р. Харрод, И. Ансофф, С. Адамс, П. Друкер, П. Самуэльсон, У. Ростоу и др.
[64] См.: Хоминич И.П. Финансовая стратегия компаний. М., 1997.
[65] См.: Боумэн К. Основы стратегического менеджмента. М.: ЮНИТИ, 1997.
[66] См.: Реформы предприятия и управление финансами.М.: КОНСЭКО, 1998.
[67] См.: Стоянова Е.С. Финансовый менеджмент: российская практика. М.: Перспектива, 1995; Павлова Л.Н. Финансовый менеджмент. Управление финансовым оборотом предприятия. Уч. для вузов. М.: ЮНИТИ, 1995.
[68] См.: Крейнина М.Н. Финансовый менеджмент. М.: Дело и сервис, 1998.
[69] См.: Реформа предприятия и управление финансами. Методические рекомендации Минэкономики РФ. М., 1998.
[70] См.: Финансовая неделя. 1999. 20-26 сент.
[71] См.: Бурцев В. Характеристика системы внутреннего контроля // Финансовый бизнес. – 2000. – №8.
Материальные ресурсы
Методика исследования конкуренции на рынке отрасли
В настоящее время множество современных рынков характеризуются как конкурентные. Следовательно, возникает настоятельная необходимость в изучении конкуренции, ее уровня и интенсивности, в знании сил и рыночных факторов, оказывающих наибольшее влияние на конкуренцию и ее перспективы.
Предварительным, но обязательным этапом исследований конкуренции на рынке является сбор и анализ информации, необходимой, и в конечном итоге, для выбора конкурентных стратегий. Полнота и качество собранной информации во многом определяют эффективность дальнейшего анализа.
Основным этапом анализа конкуренции на рынке является оценка на базе анализа основных факторов, обуславливающих интенсивность конкуренции, степени подверженности рынка процессам конкуренции.
Рассмотрим российский рынок широкогорлой стеклотары, характеризующийся как весьма привлекательный, с растущим спросом и большими потенциальными возможностями на примере ЗАО «Камышинский стеклотарный завод», который занимает лидирующие позиции в рейтинге российских предприятий стеклотарной промышленности.
Поскольку конкурентная среда формируется не только под влиянием борьбы внутриотраслевых конкурентов, для анализа конкуренции на рынке в соответствии с моделью М. Портера учитываются следующие группы факторов[51]:
- соперничество среди конкурирующих на данном рынке продавцов (центральный ринг») – ситуация в отрасли;
- конкуренция со стороны товаров, являющихся заменителями, - влияние товаров-заменителей;
- угроза появления новых конкурентов – влияние потенциальных конкурентов;
- позиции поставщиков, их экономические возможности – влияние поставщиков;
- позиции потребителей, их экономические возможности – влияние покупателей.
Каждая из рассматриваемых сил конкуренции может оказывать различное как по направлению, так и по значимости воздействие на ситуацию в отрасли, а их суммарное воздействие в итоге определяет характеристики конкурентной борьбы в отрасли, прибыльность отрасли, место предприятия на рынке и его успешность.
Основные факторы, определяющие уровень конкуренции в стеклотарной отрасли, объединенные в группы, а также признаки их проявления представлены в таблице 4.16.
Таким образом, появляется возможность оценить значимость факторов по степени проявления их признаков на рынке исследуемого продукта и сделать заключение об общем уровне конкуренции на рынке стеклотары.
Таблица 4.16. – Факторы конкуренции на рынке стеклотары
|
№ |
Факторы конкуренции |
Признаки проявления факторов на рынке |
|
1. Ситуация в отрасли |
||
|
1.1. |
Число и мощность фирм, конкурирующих на рынке |
Имеется группа равных по мощности фирм или имеется одна, явно превосходящая все стеклотарные заводы по уровню технического оснащения и мощности (ЗАО «КСЗ»). |
|
1.2. |
Изменение платежеспособного спроса |
Спрос на товар не падает, прогноз на будущее благоприятен. |
|
1.3. |
Степень стандартизации товара, предлагаемого на рынке |
Фирмы-конкуренты специализированны по видам товара. Товар предприятия и товары-конкуренты взаимозаменяемы. |
|
1.4. |
Издержки переключения клиента с одного производителя на другого |
Вероятность ухода клиентов предприятия к конкурентам невелика (рынок стеклобанки). |
|
1.5. |
Унифицированность сервисных услуг по товару в отрасли |
Набор сервисных услуг фирм-конкурентов отрасли в целом идентичен. |
|
1.6. |
Барьеры ухода с рынка (затраты фирмы на перепрофилирование) |
Издержки ухода фирмы с рынка данного продукта невелики (переподготовка персонала, потеря сбытовой сети и др.) |
|
1.7. |
Барьеры проникновения на рынок |
Начальные затраты для развертывания работ на рынке данного товара значительны: высокие капиталовложения, ограниченное число опытных специалистов. |
|
1.8. |
Ситуация на смежных товарных рынках (рынки товаров с близкими технологиями) |
Уровень конкуренции на смежных рынках высок (рынок листового стекла). |
|
1.9. |
Стратегии конкурирующих фирм |
Региональное разделение (прогноз на будущее); стратегия диверсификации (производство крышек евро-твист); захват стратегически важных клиентов. |
|
2. Влияние потенциальных конкурентов |
||
|
2.1. |
Трудности входа на отраслевой рынок |
Большие капиталовложения; высокое качество продукции; цена; внешнеэкономические связи; конкуренция. |
|
2.2. |
Доступ к каналам распределения |
Каналы распределения прямые. На рынке отрасли существует определенное количество торговых посредников. |
|
2.3. |
Отраслевые преимущества |
Предприятия отрасли обладают перед новыми конкурентами значительными преимуществами, связанными с доступом к источникам сырья, основным капиталом, удобными местами расположения предприятия, а также экологической безопасностью стекла, возможностью многократного использования, наличия современного оборудования т.д. |
Продолжение таблицы 4.16.
|
3. Влияние поставщиков |
|||
|
3.1. |
Уникальность канала поставок |
Степень дифференциации продукции поставщиков настолько высока, что перейти от одного поставщика к другому трудно или дорого. Установление долгосрочных партнерских отношений. |
|
|
3.2. |
Значимость покупателя |
В частности, ЗАО «КСЗ» осуществляет большой объем закупок, соблюдает договора, обладает высоким уровнем платежеспособности. |
|
|
3.3. |
Доля отдельного поставщика. |
Доля одного поставщика в основном определяет затраты на поставки при производстве продукта (по каждому виду сырья существует один крупный поставщик и несколько запасных вариантов). |
|
|
4. Влияние покупателей |
|||
|
4.1. |
Статус покупателей |
Покупателей в отрасли много. Условно разделить их можно на потребителей и посредников. Постоянные покупатели: 1) Саратовский, Самарский, Иркутский, Новосибирский жировые комбинаты; 2) консервные заводы: Волгоград, Саратов (Южный Федеральный округ). |
|
|
4.2. |
Значимость товара у покупателей |
Товар ЗАО «КСЗ» и аналогичные товары конкурентов являются важной составляющей в номенклатуре закупок покупателя. |
|
|
4.3. |
Стандартизация |
Товар стандартизирован (сертификаты, патенты). Стоимость перехода покупателей к новому продавцу незначительна. |
|
|
5. Влияние товаров-заменителей |
|||
|
5.1. |
Цена |
Низкая цена товаров-заменителей не повлияет на уход постоянных клиентов от покупок стеклотары. |
|
|
5.2. |
Качество основного товара |
Высокое качество продукции. |
|
Таким образом, для учета относительной значимости различных факторов конкретный «вес» каждого из них мы и определим в ходе анализа.
Полученная в результате оценка степени влияния каждой из пяти сил конкуренции на рынке представляет собой средневзвешенный балл
:
, (4.16.)где
- балльная оценка j–го эксперта степени проявления i–го фактора;n – количество экспертов;
- коэффициент важности i–го фактора;m – число рассматриваемых факторов.
На основании полученного средневзвешенного балла делаются следующие выводы (рисунок 4.4.):
![]() |


пониженная умеренная высокая очень высокая
Рисунок 4.4. – Оценка степени влияния силы конкуренции на рынке
Уровень силы конкуренции очень высокий, если полученный средневзвешенный балл попадает в интервал
, где
- средневзвешенный балл, соответствующий случаю слабого проявления факторов конкуренции на рынке;
- средневзвешенный балл, соответствующий случаю четкого проявления факторов конкуренции на рынке.Уровень силы конкуренции высокий, если полученный средневзвешенный балл попадает в интервал
.Умеренный уровень силы конкуренции, если полученный средневзвешенный балл попадает в интервал
, где
- средневзвешенный балл, соответствующий случаю четкого непроявления факторов конкуренции на рынке.Пониженный уровень силы конкуренции, если полученный средневзвешенный балл попадает в интервал
.Кроме того, на этапе анализа факторов конкуренции осуществляется прогноз развития конкуренции на рынке на основе прогнозных оценок изменения действия каждого из факторов.
Прогнозная оценка изменения действия факторов соответствует, например, следующим балльным оценкам: «+1» - если действие фактора будет усиливаться, «0» - останется стабильным, «-1» - будет ослабевать.
На основе полученных экспертных оценок прогноза развития каждого из факторов определяется средневзвешенная оценка прогноза развития сил конкуренции на рынке (
):
=
, (4.17.)где
- балльная оценка j–го эксперта прогноза развития i–го фактора;n - количество экспертов;
- коэффициент важности i–го фактора;m – число рассматриваемых факторов.
В том случае, когда средневзвешенная оценка прогноза попадает в интервал (0,25; 1), делается вывод о повышении уровня силы конкуренции на рынке, (- 0,25; 0,25) – уровень силы конкуренции останется стабильным, (-1; - 0,25) – понизится (рисунок 4.5.).
-1 - 0,25 0 0,25 1

понизится останется стабильным повысится
Рисунок 4.5. – Оценка прогноза развития уровня силы конкуренции на рынке стеклотары
Используем рассмотренную методику для оценки уровня и прогноза конкуренции на рынке стеклотары с учетом присутствия на нем ЗАО «КСЗ». В процессе исследования оценивается подверженность указанного рынка процессам конкуренции на базе анализа основных факторов, обуславливающих интенсивность конкуренции. На основании полученных аналитических данных прогнозируется состояние конкуренции на период 2-3 года. Для получения информации необходимой при выполнении анализа и прогнозирования использован опрос экспертов маркетологов и ведущих специалистов ЗАО «КСЗ». Результаты обработки экспертной информации приведены в таблице 4.17.
Таблица 4.17. – Экспертная оценка факторов конкуренции в стеклотарной отрасли
|
№ п/п |
Факторы конкуренции |
Экспертная оценка |
Прогноз изменения фактора |
|
|
1. Ситуация в отрасли |
||||
|
1.1. |
Число и мощность фирм, конкурирующих на рынке |
Четко проявляется |
Определенно усилится |
|
|
1.2. |
Изменение платежеспособного спроса |
Четко проявляется |
Определенно усилится |
|
|
1.3. |
Степень стандартизации товара, предлагаемого на рынке |
Четко проявляется |
Будет ослабевать |
|
|
1.4. |
Издержки переключения клиента с одного производителя на другого |
Четко проявляется |
Определенно усилится |
|
|
1.5. |
Унифицированность сервисных услуг по товару |
Четко проявляется |
Останется стабильным |
|
|
1.6. |
Барьеры ухода с рынка (затраты фирмы на перепрофилирование) |
Слабо проявляется |
Останется стабильным |
|
|
1.7. |
Барьеры проникновения на рынок |
Четко проявляется |
Останется стабильным |
|
|
1.8. |
Стратегии конкурирующих фирм |
Слабо проявляется |
Определенно усилится |
|
|
1.9. |
Привлекательность рынка данного продукта |
Четко проявляется |
Определенно усилится |
|
|
2. Влияние потенциальных конкурентов |
||||
|
2.1. |
Трудности входа на отраслевой рынок |
Четко проявляется |
Останется стабильным |
|
|
2.2. |
Доступ к каналам распределения |
Слабо проявляется |
Останется стабильным |
|
|
2.3. |
Отраслевые преимущества |
Четко проявляется |
Останется стабильным |
|
|
3. Влияние поставщиков |
||||
|
3.1. |
Уникальность канала поставок |
Слабо проявляется |
Останется стабильным |
|
|
3.2. |
Значимость покупателя |
Четко проявляется |
Останется стабильным |
|
|
3.3. |
Доля отдельного поставщика |
Слабо проявляется |
Останется стабильным |
|
|
4. Влияние покупателей |
||||
|
4.1. |
Статус покупателей |
Четко проявляется |
Определенно усилится |
|
|
4.2. |
Значимость товара у покупателей |
Четко проявляется |
Останется стабильным |
|
|
4.3. |
Стандартизация |
Слабо проявляется |
Будет ослабевать |
|
|
5. Влияние товаров-заменителей |
||||
|
5.1. |
Цена |
Четко проявляется |
Останется стабильным |
|
|
5.2. |
Качество основного товара |
Четко проявляется |
Определенно усилится |
|
Исходя из принятого интервала значений коэффициента важности i-го фактора (от 0 до 1), были скорректированы результаты экспертизы. Полученные скорректированные данные, а также определенные на их основе прогнозы изменения фактора приведены в таблице 4.18.
Таблица 4.18. – Оценка и прогноз факторов конкуренции на рынке стеклотары
|
Наименование факторов конкуренции |
Коэффициент важности i–го фактора |
Экспертная оценка |
Прогноз изменения фактора в баллах |
|
1. Число и мощность фирм, конкурирующих на рынке |
0,1 |
3 |
1 |
|
2. Изменение спроса |
0,02 |
3 |
1 |
|
3. Степень стандартизации товара, предлагаемого на рынке |
0,04 |
3 |
-1 |
|
4. Издержки переключения клиента с одного производителя на другого |
0,05 |
3 |
1 |
|
5. Унифицированность сервисных услуг по товару в отрасли |
0,02 |
3 |
0 |
|
6. Барьеры ухода с рынка (затраты фирмы на перепрофилирование) |
0,02 |
2 |
0 |
|
7. Барьеры проникновения на рынок |
0,05 |
3 |
0 |
|
8. Стратегии конкурирующих фирм |
0,03 |
2 |
1 |
|
9. Привлекательность рынка данного продукта |
0,1 |
3 |
1 |
|
10. Трудности входа на отраслевой рынок |
0,05 |
3 |
0 |
|
11. Доступ к каналам распределения |
0,02 |
2 |
0 |
|
12. Отраслевые преимущества |
0,05 |
3 |
0 |
|
13. Уникальность канала поставок |
0,03 |
2 |
0 |
|
14. Значимость покупателя |
0,02 |
3 |
0 |
|
15. Доля отдельного поставщика |
0,02 |
2 |
0 |
|
16. Статус покупателей |
0,05 |
3 |
1 |
|
17. Значимость товара у покупателей |
0,1 |
3 |
0 |
|
18. Стандартизация |
0,03 |
2 |
-1 |
|
19. Цена |
0,1 |
3 |
0 |
|
20. Качество основного товара |
0,1 |
3 |
1 |
|
Итого |
1 |
- оценки степени влияния силы конкуренции на рынке, согласно формулы 4.16., где `b = 2,88.
Данный балл входит в промежуток, соответствующий очень высокой силе конкуренции, то есть ЗАО «КСЗ» занимает лидирующее положение в стеклотарной отрасли РФ, а значит не имеет конкурентов на рынке широкогорлой тары;
- оценки прогноза развития уровня силы конкуренции на рынке, согласно формулы 4.17., где
= 0,38.Данный балл входит в промежуток (0,25;1) соответствующий повышению уровню силы конкуренции на рынке. Из этого следует, что в ближайшем будущем будет намечаться борьба за качество выпускаемой продукции, за улучшение технологического оборудования на различных стеклозаводах РФ, что в конечном итоге повысит рентабельность производства исследуемого предприятия.
Следует отметить, что по оценкам экспертов в отдаленной перспективе, борьба на мировом рынке будет вестись не за счет низкой цены продукции, а за счет применения неценовых методов конкурентной борьбы.
Оценка изменений внешних и внутренних
Исходным пунктом повышения конкурентных позиций на рынке всегда должна быть точная оценка настоящей стратегической ситуации организации. Такая оценка ведет к пониманию динамики воздействующих факторов: значение каких факторов понижается и каких возрастает по всему временному горизонту.
В связи с этим первостепенной задачей является определение факторов финансового развития предприятия, влияние которых на функционирование хозяйствующего субъекта будет выражаться в улучшении или ухудшении будущего финансово-экономического положения предприятия.
Внешние факторы финансового развития предприятия включают в себя: международные, политические и рыночные составляющие внешней среды.
Международные факторы характеризуются анализом следующих экономических показателей:
- нормы международного права;
- национальное законодательство по регулированию внешнеэкономической деятельности и т.д.[20]
Данная группа факторов должна учитываться в основном предприятиями, экспортирующими свою продукцию. В частности, необходим анализ ограничений экспорта в отдельные страны, торговых бойкотов, налогообложения прибыли от операций на внешнем рынке, а также изучение документов ООН, ЮНКТАД и других международных организаций.
Предприятиям, начинающим осуществлять ВЭД, более подробно необходимо обратить внимание на следующие моменты:
- определение структурных и промышленных приоритетов внешнеэкономической деятельности, на базе которых уточняются механизмы регулирования ВЭД, системы стимулирования промышленного экспорта и основные направления привлечения иностранных инвестиций;
- разграничение всех бизнесов и определение полномочий организации в сфере ВЭД;
- формирование и оценка механизмов управления основными направлениями внешнеэкономической деятельности;
- разработка правовой базы, формирование единой системы внешнеэкономической информации, утверждение методологической и нормативной базы определения приоритетов ВЭД организации;
- разработка и оценка эффективности программа развития экспорта;
- формирование механизма взаиморасчетов с внешними организациями с отработкой его курсовых, неторговых и кредитных аспектов;
- определение путей привлечения иностранных инвестиций под ответственность, риск и обеспечение Правительства России и регионов.
Кроме того, для оценки развития экономической системы организации в структуре мирохозяйственных связей необходимо:
- определить экономическую эффективность экспорта продукции, производимой направлениями внешнеэкономического комплекса по отраслям, товарным группам и отдельным товарам и услугам;
- сформировать прогноз изменения мировой конъюнктуры на основные группы товаров, экспортируемых организацией;
- определить экономическую эффективность использования импорта при формировании различных секторов производства;
- разработать методику комплексной оценки влияния расширения экспорта и импорта продукции по отраслям, товарным группам, отдельным товарам и услугам на состояние и перспективы развития всего хозяйственного комплекса организации.
К политическим факторам финансового развития предприятия следует отнести[21]:
- соглашения по тарифам и торговле между странами;
- таможенную политику;
- нормативные акты местных органов власти и центрального правительства.
Внешнеторговая политика, осуществляемая государством, направлена на реализацию на мировом рынке конкурентоспособных российских товаров, стимулирование производства этих товаров. Для стимулирования экспортоспособных производств используются государственные заказы, бюджетное финансирование, кредиты, финансирование НИОКР и т.п. Все эти факторы могут оказывать непосредственное влияние на будущее развитие хозяйствующего субъекта.
С целью интеграции экономики РФ в мировую экономику Российская Федерация в соответствии с общепризнанными принципами и нормами международного права участвует в международных договорах о таможенных союзах и зонах свободной торговли, основанных на установлении единой таможенной территории без применения мер таможенно-тарифного регулирования торговли между странами-участницами деятельности, осуществляемой в зонах свободной торговли.
При этом у стран-участниц таможен ных союзов устанавливается единый таможенный тариф в отношении торговли с третьими странами, а у стран - участниц деятельности, осуществляемой в зонах свободной торговли, сохраняются национальные таможенные тарифы в торговле с третьими странами. Данные тенденции также необходимо учитывать при прогнозировании финансового развития хозяйствующего субъекта.
Кроме того, каждое предприятие должно отслеживать информацию о принимаемых нормативных актах местных органов власти и центрального правительства, которые могут оказать существенное влияние на будущую деятельность хозяйствующего субъекта.
Внешние рыночные факторы финансового развития предприятия включают в себя: экономические, региональные и отраслевые составляющие внешней среды.
Экономические факторы характеризуются анализом следующих экономических показателей:
- темпы инфляции (дефляции);
- валютная политика, осуществляемая государством и международными валютно-финансовыми организациями (динамика валютного курса);
- динамика индексов фондовой активности;
- уровень ставок банковского кредитования;
- тенденции развития инвестиционного рынка (инвестиционный климат).
Данные агрегированные показатели измеряются в целом по всем отраслям экономики, поэтому их можно назвать достаточно объективными и использовать для более детального анализа складывающейся экономической ситуации и условий предпринимательской деятельности.
Влияние инфляции сказывается на многих аспектах финансовой деятельности предприятия. В процессе инфляции происходит относительное занижение стоимости отдельных материальных активов, используемых предприятием; снижение реальной стоимости денежных и других финансовых его активов; занижение себестоимости производства продукции, вызывающее искусственный рост суммы прибыли и приводящее к росту налоговых отчислений с нее; падение реального уровня предстоящих доходов предприятия и т.п. Особенно сильно фактор инфляции сказывается на проведении долгосрочных финансовых операций предприятия.
В связи с этим, стабильность проявления фактора инфляции и его активное воздействие на результаты финансовой деятельности предприятия определяют необходимость постоянного учета влияния этого фактора в процессе прогнозирования динамики финансового развития предприятия.
Валютная политика, осуществляемая государством и международными валютно-финансовыми организациями, проявляется в воздействии на состояние денежного спроса, динамику и уровень цен, объем денежной массы, миграцию краткосрочных инвестиций, что оказывает влияние на будущее развитие хозяйствующего субъекта.
Такие факторы, как динамика индексов фондовой активности и уровень ставок банковского кредитования также необходимо учитывать предприятиям, планирующим в будущем получить кредит или осуществляющим сделки с ценными бумагами.
Инвестиционный климат страны, региона является сегодня определяющим для использования богатого производственного потенциала, который уже накоплен на предприятиях или может быть создан на них в ближайшей перспективе. Способность предприятия представить инвесторам ясную стратегию развития и качественные бизнес-планы инвестиционных проектов, подготовленные в соответствии с международными стандартами, зависит исключительно от характера инвестиционной сферы. Поэтому, учет данной составляющей при прогнозировании динамики финансового развития предприятия не менее важен.
Региональные факторы характеризуются анализом следующих показателей[22]:
- фактор регионального управления;
- фактор индикаторов региональных интересов;
- фактор регионального развития.
Следует выделить три аспекта регионального управления:
- взаимоотношения региона и федерального центра;
- взаимоотношения региона и местного самоуправления (городов, районов и т.д.);
- обеспечение комплексности развития региона как единого хозяйственного механизма.
Во взаимоотношениях между федеральным центром и регионами следует уделить внимание косвенным методам регулирования – таким, как денежно-кредитная и амортизационная политика, налоговая система, использование внебюджетных целевых фондов.
Проблема управления экономикой региона должна рассматриваться в рамках концепции местного самоуправления в целом: оценка форм и методов взаимодействия региональных и муниципальных органов власти; анализ функций территориальных органов различных уровней исходя из целей и задач развития всего региона. В соответствии с федеральным законодательством им принадлежат основные функции регулирования рыночных отношений в пределах территории, бюджетно-финансовой политики и оперативного управления хозяйством.
С экономической точки зрения управление народнохозяйственным комплексом региона не следует ограничивать лишь организацией взаимодействия видов собственности разного уровня. Главным критерием оценки должна стать степень удовлетворения социально-экономических потребностей проживающего на данной территории населения на основе комплексного развития региона.
К наиболее значимым индикаторам региональных интересов следует отнести:
- наличие региональных бюджетно-финансовых и прочих материальных источников (собственности и др.);
- потенциальные возможности для использования имеющихся ресурсов, мест приложения труда, интеллекта;
- наличие инфраструктуры для развития внутри- и межрегиональных связей;
- природоресурсный и экологический потенциалы региона и т.д.;
- стабильность общественно-политической и национально-этнической ситуации.
Необходимость выделения данного фактора обусловлена потребностью в стабильном характере воспроизводства и постоянном сохранении и приумножении потенциала региона функционирования хозяйствующего субъекта. Иначе при нарушении стабильного процесса воспроизводства регион может перейти в разряд депрессивных. Для восстановления же подорванного потенциала депрессивного региона требуются десятилетия (в отличие от воссоздания отдельной организации), а затраты многократно выше, чем на поддержание стабильного характера воспроизводства.
Наряду с региональными интересами важнейшее критериальное значение имеют цели развития регионов, воплощаемые в форме подготовленных управленческих решений и действий и их оценка.
Выделим следующие основные цели регионального развития:
- стратегические (поступательного или стабилизационного характера);
- долгосрочные (по отдельным отраслям региона);
- среднесрочные (отраслевого и функционального типа);
- тактические (конкретные задания по развитию отдельных служб, объектов, регионального хозяйства в целом).
Выявление, ревизия и систематизация зафиксированных в различных документах всевозможных целей, заданий могло бы стать исходным пунктом активизации регионального управления и его дальнейшей оценки. Показателями оценки регионального развития могут служить следующие:
- анализ и оценка общей ситуации в регионе (перечень и острота региональных проблем);
- анализ и оценка конкретных проблем, требующих первоочередного вмешательства региональных властей (локальная безработица, остановка производства и т.п.);
- анализ и оценка последствий хода реформ.
Оценка отрасли, в которой функционирует рассматриваемое предприятие, не менее важна для прогнозирования динамики финансового развития предприятия. Предлагается анализировать следующие показатели при оценке отраслевой составляющей внешней среды:
- емкость рынка и прогнозируемый темп роста (быстрорастущая или медленно развивающаяся отрасль);
- потребности в капитале (отрасль с низкими/высокими потребностями в капитале);
- доходность отрасли (отрасль, обеспечивающая высокий уровень прибыли и дивидендов; отрасль, где прибыль изначально низка или где риски высоки);
- стратегическое соответствие другим отраслям, в которые диверсифицировалась компания (отрасль может быть привлекательной, так как имеет ценные стратегические взаимоотношения с другими отраслями, представленными в портфеле деловой активности предприятия);
- уровень привлекательности отрасли, в которой функционирует предприятие (интенсивность конкуренции, требуемые технологические и производственные навыки, сезонные и циклические факторы);
- степень глобализации отрасли, в которой она осуществляет свою деятельность.
К основным критериям оценки степени глобализации отрасли относятся такие показатели, как:
- однородность спроса;
- использование международного разделения труда;
- экономия на масштабах производства;
- конкуренция в мировом масштабе;
- высокая доля расходов на научные исследования и разработки;
- международные альянсы, слияния и поглощения.
При анализе внешней среды большое значение придается прогнозированию изменений конъюнктуры спроса и предложения на внутренних и внешних рынках и оценке тенденций развития отрасли на средне- и долгосрочную перспективу.
Необходимо также отметить, что каждая отрасль специфична и может оцениваться по разным показателям.
К внутренним факторам развития предприятия относятся такие блоки анализа, как маркетинг и сбыт, финансы, операции (производство), человеческие ресурсы, организационная структура и менеджмент, культура и образ организации.
При обследовании функции маркетинга и сбыта необходимо обратить внимание на следующие области анализа[23]:
- конкурентоспособность и желаемая доля рынка в процентах к его общей емкости, являющаяся существенной целью для организации;
- разнообразие и качество ассортимента изделий, которые постоянно контролируются и оцениваются высшим руководством;
- рыночная демографическая статистика, контроль за изменениями на рынках и в интересах потребителей;
- рыночные исследования и разработки новых товаров и услуг;
- предпродажное и послепродажное обслуживание клиентов, являющееся одним из слабых мест в предпринимательстве;
- эффективный сбыт, реклама и продвижение товара;
- маркетинговый бюджет и его исполнение.
Оценка конкурентоспособности продукции основывается на исследовании потребностей покупателя и требований рынка. Чтобы товар удовлетворял потребности покупателя, он должен соответствовать определенным параметрам:
- техническим (свойства товара, область его применения и назначения);
- эргономическим (соответствие товара свойствам человеческого организма);
- эстетическим (внешний вид товара);
- нормативным (соответствие товара действующим нормам и стандартам);
- экономическим ( уровень цен на товар, сервисное его обслуживание, размер средств, имеющихся у потребителя для удовлетворения данной потребности).
Оценка возможностей фирмы позволяет построить «многоугольник конкурентоспособности». Накладывая составленные для разных фирм схемы, друг на друга, можно получить так называемый «радар конкурентоспособности» и наглядно увидеть сильные и слабые стороны одной фирмы по отношению к другой. Сравнивая площади, образуемые «радарами» различных однородных товаров, можно сделать выводы о конкурентных преимуществах тех или иных из них.
Более подробно методика оценки конкурентоспособности продукции будет рассмотрена в 4 главе.
Анализируя маркетинговый план предприятия и его исполнение, необходимо оценить по следующим направлениям:
- меры по активизации сбыта продукции;
- меры по ориентации предприятия на потребителя;
- мероприятия по сбору коммерческой информации;
- мероприятия по подготовке аналитических материалов по анализу наиболее перспективных сегментов рынка;
- предложения по ценообразованию;
- предложения по ассортименту выпускаемой продукции;
- предложения по рекламе и отношениям с общественностью.
Важным подходом в разработке и оценке ассортимента является сочетание в номенклатуре производственного ассортимента различных товаров с точки зрения их прибыльности. Например, большой популярностью пользуется бостонская матрица товарного ассортимента, разработанная «Boston Consulting Group» (BCG).
Оценить эффективный сбыт, рекламу и продвижение товара возможно, используя следующие характеристики брэнда, представляющего собой образное соединение отдельных впечатлений в общую, яркую и устойчивую картину взаимоувязанного представления потребителя о товаре, его марке:
- основное его содержание;
- функциональные и эмоциональные ассоциации, которые выражаются покупателями и потенциальными клиентами;
- визуальный образ марки, формируемый рекламой в восприятии покупателя;
- словесная часть марки или словесный товарный знак;
- обобщенная совокупность признаков брэнда, которая характеризует его индивидуальность;
- уровень известности марки у покупателя, сила брэнда;
- стоимостные показатели;
- степень продвинутости брэнда.
Блок финансы включает в себя анализ следующих компонентов:
- анализ финансового состояния предприятия;
- разработка и реализация инвестиционных программ.
Детальный анализ финансового состояния поможет выявить уже имеющиеся и потенциальные внутренние слабости в организации, а также относительное положение организации в сравнении с ее конкурентами. Изучение финансовой деятельности также позволит открыть руководству зоны внутренних сильных и слабых сторон в долгосрочной перспективе.
Предлагается следующая методология проведения анализа финансового состояния предприятия:
- структурный анализ валовой прибыли предприятия;
- оценка имущества предприятия и источников его финансирования;
- оценка имущественного положения предприятия;
- анализ текущих активов: анализ структуры и динамики изменения текущих активов; анализ производственно-коммерческого цикла;
- оценка ликвидности и платежеспособности: анализ ликвидности баланса: расчет коэффициентов ликвидности;
- классификация предприятия по финансовой устойчивости: расчет коэффициентов оценки финансовой устойчивости предприятия; расчет степени финансовой устойчивости в зависимости от степени обеспеченности запасов и затрат различными видами источников;
- расчет рентабельности;
- составление баланса денежных доходов и расходов;
- обобщающий анализ финансового состояния и результатов производственно-финансовой деятельности.
Разработка и реализация инвестиционных проектов позволит обеспечить реализацию наиболее эффективных форм вложения капитала, направленных на расширение экономического потенциала предприятия.
Весьма важным для прогнозирования динамики финансового развития предприятия является непрерывный анализ управления операциями. В ходе обследования сильных и слабых сторон функции управления операциями следует обратить внимание на следующие вопросы:
- объем, структура, темпы производства;
- обеспеченность сырьем и материалами; уровень запасов, скорость их использования;
- наличный парк оборудования и степень его использования; технологическая новизна; резервные мощности;
- местонахождение производства и наличие инфраструктуры;
- наличие системы контроля качества.
Анализ необходимо начинать с изучения показателей выпуска продукции. Его основными задачами являются:
- оценка степени выполнения плана и динамики производства и реализации продукции;
- определение влияния факторов на изменение величины этих показателей;
- выявление внутрихозяйственных резервов увеличения выпуска и реализации продукции;
- разработка мероприятий по освоению выявленных резервов.
Объем производства промышленной продукции может выражаться в натуральных, условно-натуральных и стоимостных измерителях. Обобщающие показатели объема производства продукции получают с помощью стоимостной оценки – в оптовых ценах. Основными показателями объема производства являются товарная и валовая продукция. Валовая продукция - это стоимость всей произведенной продукции и выполненных работ, включая незавершенное производство. Товарная продукция отличается от валовой тем, что в нее не включают остатки незавершенного производства и внутрихозяйственный оборот. Выражается она в оптовых ценах, действующих в отчетном году. По своему составу на многих предприятиях валовая продукция совпадает с товарной.
Объем реализации продукции определяется в действующих ценах (оптовых, договорных) и включает стоимость реализованной продукции, отгруженной и оплаченной покупателями.
Важное значение для оценки имеют и натуральные показатели объемов производства (штуки, метры, тонны и т.д.). Их используют при анализе объемов производства по отдельным видам однородной продукции.
Условно-натуральные показатели, как и стоимостные, применяются для обобщенной характеристики объемов производства продукции, например, на консервных заводах используется такой показатель, как тысячи условных банок, на ремонтных предприятиях – количество условных ремонтов.
Более подробно методика оценки производственного потенциала предприятия будет рассмотрена в 5 главе.
Важным показателем деятельности промышленных предприятий является качество продукции. Ее повышение обеспечивает экономию не только трудовых и материальных ресурсов, но и позволяет более полно удовлетворять потребности общества. Высокий уровень качества продукции способствует повышению спроса на нее и увеличению суммы прибыли не только за счет объема продаж, но и за счет более высоких цен.
Качество продукции – это понятие, которое характеризует параметрические, эксплуатационные, потребительские, технологические, дизайнерские свойства изделия, уровень его стандартизации и унификации, надежность и долговечность. Различают обобщающие, индивидуальные и косвенные показатели качества продукции.
Обобщающие показатели характеризуют качество всей произведенной продукции независимо от ее вида и назначения:
- удельный вес новой продукции в общем ее выпуске;
- удельный вес аттестованной и неаттестованной продукции;
- удельный вес продукции высшей категории качества;
- удельный вес продукции, соответствующей мировым стандартам;
- удельный вес экспортируемой продукции, в том числе в высокоразвитые промышленные страны.
Индивидуальные (единичные) показатели качества продукции характеризуют одно из ее свойств: полезность; надежность; технологичность, характеризующая эффективность конструкторских и технологических решений (трудоемкость, энергоемкость); эстетичность изделий.
Косвенные показатели – это штрафы за некачественную продукцию, объем и удельный вес забракованной продукции, удельный вес зарекламированной продукции, потери от брака и др.
Первая задача анализа – изучить динамику перечисленных показателей, выполнение плана по их уровню, причины их изменения и дать оценку выполнения плана по уровню качества продукции.
Для обобщенной оценки выполнения плана по качеству продукции используются разные методы. Сущность балльного метода оценки состоит в определении средневзвешенного балла качества продукции и путем сравнения фактического и планового его уровня находят процент выполнения плана по качеству.
Более подробно методика эффективного внедрения системы качества на предприятии будет рассмотрена в 3 главе.
При анализе обеспеченности предприятия материальными ресурсами[24] в первую очередь проверяют качество плана материально-технического снабжения. Проверку реальности плана начинают с изучения норм и нормативов, которые положены в основу расчета потребности предприятия в материальных ресурсах. Затем проверяется соответствие плана снабжения потребностям производства продукции и образования необходимых запасов исходя из прогрессивных норм расхода материалов.
Важным условием бесперебойной работы предприятия является полная обеспеченность потребности в материальных ресурсах источниками покрытия.
В процессе анализа необходимо также проверить обеспеченность потребности в завозе материальных ресурсов договорами на их поставку и фактическое их выполнение.
Большое значение придается выполнению плана по срокам поставки материалов (ритмичности). Нарушение сроков поставки ведет к недовыполнению плана производства и реализации продукции.
Особое внимание уделяется состоянию складских запасов сырья и материалов. В процессе анализа проверяется соответствие фактического размера запасов важнейших видов сырья и материалов нормативным. С этой целью на основании данных о фактическом наличии материалов в натуре и среднесуточном их расходе рассчитывают фактическую обеспеченность материалами в днях и сравнивают ее с нормативной.
Изучают также состояние запасов сырья и материалов с целью выявления лишних и ненужных. Их можно установить по данным складского учета путем сравнения прихода и расхода. Если по каким-либо материалам нет расхода на протяжении года и более, то их относят в группу неходовых и подсчитывают общую стоимость.
В заключение определяется прирост (уменьшение) объема производства продукции по каждому виду за счет изменения:
- количества заготовленного сырья и материалов;
- переходящих остатков сырья и материалов;
- сверхплановых отходов из-за низкого качества сырья, замены материалов и других факторов;
- удельного расхода сырья на единицу продукции.
По этой же модели можно рассчитать и резервы роста выпуска продукции за счет увеличения количества сырья, сокращения его отходов и расхода на единицу продукции.
Успех управленческой деятельности в значительной степени зависит от уровня менеджмента в организации, а также от построения и функционирования ее организационной структуры.
Данный блок включает в себя анализ следующих компонентов:
- рациональная организационная структура предприятия;
- эффективное взаимодействие между подразделениями предприятия;
- соответствие функциональных обязанностей работников должностным инструкциям;
- эффективность функционирования системы документооборота, его автоматизация;
- уровень децентрализации и гибкости управления (количество управленческих решений, принимаемых на низшем уровне управления и их важность);
- новаторство при принятии решений (количество нововведений за отчётный период, с положительным экономическим эффектом);
- система мотивации сотрудников предприятия и т.д.
К основным законам рациональной организации следует отнести:
- распределение задач в соответствии с важнейшими направлениями деятельности системы управления;
- приведение управленческих задач в соответствие с принципами компетентности и ответственности (согласование компетентности и ответственности, согласование «поля решения» и доступной информации, способность компетентных функциональных единиц решать новые задачи);
- обязательное распределение ответственности;
- короткие пути управления;
- баланс стабильности и гибкости;
- способность к целеориентированной самоорганизации и активности;
- стабильность циклически повторяемых действий.
Более подробно методика оценки эффективности документооборота предприятия будет рассмотрена во 2 главе.
Весьма важным для прогнозирования динамики финансового развития предприятия является оценка его образа и уровня культуры.
Культура предприятия – это совокупность ценностей, норм, идей, которые подсознательно и сознательно формируют стиль поведения сотрудников.
Ее основными аспектами являются:
- экономический (отношение к прибыли, контролю);
- организационный (стандартизация, формализация, четкое целеполагание, иерархия);
- технический (инновации, степень риска, роль НИОКР);
- рыночный (роль маркетинга, отношение к партнерам, роль предпочтений клиента) и т.д.
Анализ данной составляющей управленческого обследования включает оценку следующих подсистем:
ценностно-нормативная:
- основные ценности, разделяемые в организации;
- корпоративные традиции;
- корпоративные правила (взаимоотношения с клиентами).
организационной структуры:
- формальная и неформальная организационная структура;
- структура власти и лидерства;
- нормы и правила внутреннего взаимодействия;
- традиции и правила «внутреннего распорядка» (поведения на рабочем месте).
структуры коммуникаций:
- структура формализованных и неформальных информационных потоков;
- качество коммуникации: потеря и преобразование информации;
структуры социально-психологических отношений:
- структура взаимных симпатий, выборов, предпочтений (социометрическая карта);
- система ролей в организации (конструктивных, деструктивных и др.);
- внутренняя позиционность и конфликтность;
- отношения к руководителям организации (авторитетность).
структуры внешней идентификации (фирменного стиля):
- имидж организации – образ, который направленно транслируется клиенту;
- имидж, который воспроизводится в реальном общении с клиентом;
- восприятие компании и ее продукции в обществе;
- рекламные атрибуты: логотип, слоган и др.
При анализе внешней и внутренней среды организации могут применяться любые методы. Главное при таком анализе не применение какого-то «самого лучшего» метода, а понимание наиболее существенных факторов, влияющих на деятельность организации и их взаимосвязей.
Прогнозирование динамики развития предприятия с учетом оценки внутренних и внешних факторов развития рекомендуется проводить, используя метод стратегического управления - «сценариев будущего».
Сценарий – это описание картины будущего, состоящей из согласованных, логически взаимоувязанных событий и последовательности шагов, с определенной вероятностью ведущих к прогнозируемому конечному состоянию (образу организации в будущем). Как правило, сценарии представляют собой качественное описание, хотя и детализированное, содержащее отдельные количественные оценки. Этим они отличаются от обычных прогнозов, в большинстве которых упор делается на количественные показатели.
Сценарии развития разрабатываются для отраслей, организации в целом и их стратегических хозяйственных подразделений, функциональных зон деятельности, важнейших факторов окружающей среды, рынков. Этот метод весьма полезен при выборе миссии и целей организации, определении стратегии развития, при прогнозировании на 10-20 лет, когда теряют свое значение сегодняшние достижения и возрастает спектр новых возможностей.
Сценарии должны из настоящей ситуации развить картины будущего организации. Работа эта ведется систематически и с учетом основополагающего принципа стратегического управления – альтернативности выбора. Поэтому разрабатывается не один сценарий, а несколько вариантов, что позволяет руководителям организации видеть возможные последствия выбора того или иного направления развития. В демонстрации множества картин будущего и вариантов развития и состоит цель метода сценариев.
В таблице 1.6. представлен алгоритм формирования сценариев, обобщающий опыт в этой области.
Возможна разработка двух типов сценариев. Первый тип сценариев содержит описание последовательности шагов, ведущих к прогнозируемому состоянию (образу) организации, а также факторов и событий, оказывающих решающее влияние на этот процесс. Второй тип сценариев содержит описание возможных последствий для организации, если она достигнет прогнозируемого желаемого образа. Существует несколько подходов к разработке сценариев, но все они предполагают три общих положения.
1. Исходным пунктом разработки «сценариев будущего» всегда должна быть точная оценка настоящей стратегической ситуации организации.
Такая оценка ведет к пониманию динамики воздействующих факторов: значение каких факторов падает и каких возрастает по всему временному горизонту.
2. Для воздействующих факторов с неопределенными тенденциями развития должны быть выполнены специальные прогнозы и сделаны рациональные предложения экспертов.
3. Должно быть разработано множество альтернативных «сценариев будущего», представляющих собой определенную логическую картину. При этом должно соблюдаться обязательное условие – альтернативные сценарии не должны содержать противоречий, т. е. взаимоисключающих шагов и событий.
Таблица 1.6. – Алгоритм разработки «сценариев будущего»
|
Этапы |
Содержание |
|
1. Установление предмета исследования и его структурирование |
Установление предмета исследования. Определение показателей (индикаторов), посредством которых можно охарактеризовать предмет исследования. Какая дополнительная информация необходима. Анализ фактического состояния предмета исследования. |
|
2. Определение существенных факторов, влияющих на предмет исследования, их структурирование |
Отбор факторов и альтернатив (методами экспертизы, «мозговая атака» и т.д.). Определение направления и силы воздействия факторов (позитивное и негативное влияние). Определение структуры влияющих факторов на предмет исследования. Графическое представление взаимосвязей. |
|
3. Определение тенденций развития |
Прогноз фактического состояния предмета исследования (выполняется на основе методов экспертизы, прогнозов динамики отдельных факторов, общедоступных экономических, научно-технических и тому подобных прогнозов). Выявление факторов с явной и неявной тенденцией развития. Определение и обоснование альтернатив развития для областей с неявным развитием. |
|
4. Разработка и выбор альтернативных сценариев будущего |
Разработка альтернативных сценариев и их проверка на комплексность, логику и непротиворечивость. Отбор двух-трех вариантов по выбранному критерию. Проверка отобранных вариантов на необходимое разнообразие, устойчивость и высокую степень вероятности. |
|
5. Интерпретация выбранных сценариев развития. Учет возможных противодействующих событий |
Прогноз развития выбранных сценариев (разработка множества альтернатив для различных временных горизонтов). Разработка детальной расширенной редакции отобранных сценариев. Определение результатов противодействия событий, которые могут повлиять на ход развития. Разработка «сценария будущего» с учетом влияния противодействующих событий. |
|
6. Разработка окончательного варианта сценария и снижение степени риска возможных потерь |
Формулировка «сценария будущего» с учетом всех вновь открывающихся факторов и событий. Оценка влияния отклонений от основной идеи сценария. Оценка возможных отклонений от первоначального образа организации. |
|
7. Перенос сценария на практическую основу |
Формулирование стратегии развития организации. Разработка системы планов развития организации (стратегический план, планы развития, текущие планы, программы и проекты). |
Оценка производственного потенциала промышленного предприятия
Авторами предлагается следующая методика определения уровня ППП, которая включает в себя следующие этапы:
Подготовительный этап включает в себя:
1. Определение уровней ППП и их характеристика. Например, интервал 1 – высокий уровень ППП; интервал 2 – средний уровень ППП; интервал 3 – низкий уровень ППП; интервал 4 – критический уровень ППП;
2. Разработку обобщающих и частных показателей оценки эффективности использования ППП по видам (основные и оборотные фонды, трудовые ресурсы);
3. Определение пороговых значений показателей, определенных в п.2. с учетом уровней ППП, определенных в п.1. Например, при значении фондоотдачи >1, показатель попадает в интервал 1; при значении фондоотдачи = 1, показатель попадает в интервал 2 и т.д. Рекомендуется оценивать количественную и качественную характеристику каждого показателя с разбивкой шкалы значений показателя не менее на три интервала.
4. Присвоение каждому значению показателя, попавшему в интервал, определенный в п.3., бальной характеристики. Наибольший балл должен соответствовать самому благоприятному интервалу, наименьший балл – самому критическому интервалу. Например, значение, попавшее в интервал 1 – 10 баллов; в интервал 2 – 8 баллов; в интервал 3 – 6 баллов; в интервал 4 – 4 балла;
5. Определение минимального и максимального значения бальной шкалы в пределах используемой группы показателей. Например, если оценка трудовых ресурсов предприятия производится тремя показателями, то минимальное значение в бальной шкале будет равно: 3(количество показателей) * 4(количество баллов самого критического интервала) = 12 баллов. Максимальное значение в бальной шкале будет равно: 3(количество показателей) * 10(количество баллов самого благоприятного интервала) = 30 баллов;
6. Присвоение интервалам, определенным в п.3, бальных значений. Например, интервал 1 – 25-30 баллов; интервал 2 – 20-24 балла; интервал 3 – 15-19 баллов; интервал 4 – 12-14 баллов. Рекомендуется проводить данную разбивку, используя метод экспертной оценки;
7. Определение экспертным путем весовых коэффициентов по каждой группе, входящей в структуру ППП (основной и оборотный капитал, трудовые ресурсы). Значение коэффициента, превышающее 1, свидетельствует о потенциальных возможностях в ближайшем времени по данной категории. Например, весовой коэффициент, равный 1,2 по группе «трудовые ресурсы», может свидетельствовать о том, что в следующем году планируется переподготовка кадров предприятия, включающая освоение новых компьютерных разработок, внедренных на предприятии. В результате немного завышенный показатель состояния трудовых ресурсов на момент фактического определения ППП будет реально отражать состояние данной составляющей ППП. И, наоборот, значение весового коэффициента менее 1 будет свидетельствовать об ухудшении той или иной структурной группы ППП в ближайшем будущем. При стабильной и бесперебойной работе на предприятии и его устойчивом финансовом состоянии рекомендуется присваивать весовым коэффициентам значение равное 1.
Расчетный этап включает в себя следующие действия:
1. На основе исходных данных по каждому предприятию определение значений коэффициентов по каждой структурной группе и присвоение каждому показателю каждой группы соответствующих баллов;
2. Суммирование баллов по каждой структурной группе;
3. Определение среднего балла ППП с учетом весовых коэффициентов;
4. Присвоение ППП определенной характеристики в зависимости от полученного балла.
Следует отметить, что данная методика может применяться для оценки ППП региона, отдельного города, или отдельной отрасли конкретного региона, или произвольно обозначенной территории, требующей данной оценки.
Например, для оценки ППП конкретного региона, предложенную методику следует немного видоизменить.
На первом этапе необходимо проанализировать предприятия региона и отбрать наиболее крупные, градообразующие хозяйствующие субъекты для дальнейшей оценки. Кроме того, в данном перечне должны присутствовать предприятия всех отраслей региона.
На втором этапе следует провести оценку ПП каждого из отобранных предприятий, согласно предложенной методике.
Третий этап определения уровня ППП региона следует подразделить на подготовительный и расчетный.
Подготовительный этап включает в себя определение весового коэффициента рассмотренных предприятий региона согласно их доли в общем объеме валового регионального продукта, который представляет собой стоимость всех конечных товаров и услуг, произведенных в данном регионе в течение определенного периода.
Расчетный этап включает в себя определение среднего балла по рассматриваемому региону по следующему принципу: итоговый балл каждого предприятия умножается на его долю в общем объеме валового регионального продукта. Далее находится общая сумма полученных результатов, которая, в свою очередь, делится на 100% (объем валового регионального продукта). Полученный средневзвешенный балл и характеризует ППП региона согласно шкале, определенной на втором этапе в подготовительной части (п.6).
Данная методика позволяет по желанию определять уровень ППП региона не только в целом, но и по каждому элементу, характеризующему структуру ППП. В таком случае, не требуют расчета п.5 и 6 второго этапа в расчетной части. А на третьем этапе необходимо производить оценку по каждой структурной группе в отдельности.
Таким образом, оценка ППП региона становится наиболее актуальной, т.к. сегодня регион обладает совокупностью реальных социально-экономических интересов, характеризующихся новыми элементами, не имевшими ранее место не только в практике, но и в теории планирования и управления региональным развитием:
- появились новая категория – «смешанная собственность» и экономическая среда – «предпринимательство», «конкуренция»;
- одной из важнейших характеристик региона с точки зрения совокупности интересов является «инвестиционный климат»;
- население выступает не только как покупатель товаров и услуг, но и как продавец рабочей силы;
- при характеристике региона стали употребляться такие понятия, как «уровень безработицы», «структура рабочих мест», «структура занятости» и т.п.;
- в функции региональной администрации стало входить регулирование процесса взаимодействия субъектов рыночных отношений региона;
- для обслуживания рыночных отношений формируется новая инфраструктурная база, появляются новые субъекты рынка;
- важнейшим звеном управления регионом становятся такие элементы как конкурентные преимущества региона.
Новый облик региона в зарождающейся рыночной среде требует и новых подходов в поиске методов оценки и управления его социально-экономическим развитием.
Определим производственный потенциал предприятия Волгоградской области ОАО «Волжский Оргсинтез».
Таблица 5.4. – Характеристика уровней производственного потенциала
|
Уровень ППП |
Обозначение |
Краткая характеристика |
|
Высокий уровень ППП |
А |
Производимая продукция успешно продается. Доля рынка стабильна. Физический объем производства сохранен. Предприятие обладает значительным рыночным потенциалом, его положение на рынке устойчивое. Техника и технология, используемые в производстве продукции находятся в хорошем состоянии. Технико-экономические показатели производства не ниже среднеотраслевых. |
|
Средний уровень ППП |
В |
Предприятие успешно существует в бизнесе, имеются трудности, которые преодолеваются, т.к. работают механизмы адаптации. Производимая продукция продается. Доля рынка не стабильна, но в среднем за период наблюдения поддерживается на определенном уровне. Физический объем производства продукции сохранен (хотя может быть его уменьшение в отдельные периоды). Техническая и технологическая состоятельность в удовлетворительном состоянии. Эффективность использования техники и технологии - среднеотраслевая. |
Продолжение таблицы 5.4.
|
Низкий уровень ППП |
С |
Наличие хронических нарушений большинства параметров всех функциональных составляющих: проблемы с обеспечением предприятие ОПФ, сырьем, материалами, трудовыми ресурсами, неэффективное их использование. Наличие потерь на рынках производимой продукции (снижение доли рынка или же угрожающе тревожное снижение физического объема производства). Значительная потеря рыночного потенциала (неблагоприятные изменения в составе конкурентов, клиентуры, ассортимента продукции). Наличие проблем с техническим и технологическим обеспечением производственной деятельности. Эффективность использования основных производственных фондов, трудовых и материальных ресурсов ниже среднеотраслевого уровня. |
Экспертным путем определим показатели для оценки эффективности использования ППП.
Оценка состояния основных фондов:
- износ основных фондов;
Уровень ППП А – менее 50% – умеренный;
Уровень ППП В – 51-69 % – требующий обновления;
Уровень ППП С – 70 % и более – значительный.
- соотношение обновление/выбытие основных фондов;
Уровень ППП А – ³ 1;
Уровень ППП В – 0,5 - 1;
Уровень ППП С – < 0,5.
- фондоотдача.
Уровень ППП А – > 1;
Уровень ППП В – = 1;
Уровень ППП С – < 1.
Оценка состояния материальных ресурсов:
- доля прямых переменных затрат в себестоимости продукции;
Уровень ППП А – 80 % и более;
Уровень ППП В – 50 % – 79 %;
Уровень ППП С – < 50 %.
- соотношение изменение цен на сырье, материалы/изменение цен на продукцию;
Уровень ППП А – < 1;
Уровень ППП В – = 1;
Уровень ППП С – > 1.
- материалоотдача.
Уровень ППП А – ³ 2;
Уровень ППП В – 1 - 2;
Уровень ППП С – < 1.
Оценка состояния трудовых ресурсов:
- соотношение коэффициент оборота по приему/коэффициент оборота по выбытию;
Уровень ППП А – ³ 1;
Уровень ППП В – 0,5 - 1;
Уровень ППП С – < 0,5.
- профессиональный состав кадров;
Уровень ППП А – соответствует потребности;
Уровень ППП В – необходимо обучение и обновление персонала;
Уровень ППП С – не соответствует потребностям, необходимо радикальное обновление персонала.
- коэффициент общего оборота.
Уровень ППП А – < 0,025;
Уровень ППП В – 0,024 – 0,1;
Уровень ППП С – > 0,11.
Экспертным путем присвоим коэффициентам следующие баллы согласно уровням производственного потенциала:
Коэффициенты уровня ППП А – 10 баллов;
Коэффициенты уровня ППП В – 6 баллов;
Коэффициенты уровня ППП С – 2 балла.
Шкала бальных значений будет выглядеть следующим образом:
Максимальное значение шкалы - 30 баллов (10*3), где 10 – максимальный балл по рассчитанным коэффициентам каждой структурной группы; 3 – количество показателей, характеризующих каждую из составляющих ППП.
Минимальное значение шкалы - 6 баллов (2*3), где 2 – минимальный балл по рассчитанным коэффициентам каждой структурной группы; 3 – количество показателей, характеризующих каждую из составляющих ППП.
Предприятие можно отнести в разряд с высоким уровнем производственного потенциала при следующих значениях рассчитываемых коэффициентов:
- все три коэффициента – коэффициенты уровня ППП А;
- два коэффициента из трех - коэффициенты уровня ПП А, а один коэффициент их трех - коэффициент уровня ППП В.
Предприятие можно отнести в разряд со средним уровнем производственного потенциала при следующих значениях рассчитываемых коэффициентов:
- два коэффициента из трех - коэффициенты уровня ППП В, а один коэффициент их трех - коэффициент уровня ППП А;
- все три коэффициента – коэффициенты уровня ППП В;
- два коэффициента из трех - коэффициенты уровня ПП В, а один коэффициент их трех - коэффициент уровня ППП С.
Предприятие можно отнести в разряд с низким уровнем производственного потенциала при следующих значениях рассчитываемых коэффициентов:
- два коэффициента из трех - коэффициенты уровня ППП С, а один коэффициент их трех - коэффициент уровня ППП В;
- все три коэффициента – коэффициенты уровня ППП С.
На основе данных рассуждений были определены пороговые значения бальной шкалы:
Уровень ППП А – 26 – 30 баллов;
Уровень ППП В – 14 – 25 баллов;
Уровень ППП С – 6 – 13 баллов.
Для ОАО «Волжский Оргсинтез» весовые коэффициенты по каждой группе, входящей в структуру ППП, по мнению авторов, следует распределить следующим образом:
Для основных фондов – 1,02. Значение весового коэффициента определено с учетом решения предприятием о реконструкции имеющегося оборудования и покупки нового.
Для материальных ресурсов – 1,02. Значение весового коэффициента определено с учетом решения предприятием развивать международную систему качества ИСО серии 9000, что, несомненно, приведет к более оптимальному использованию материальных ресурсов предприятия.
Для трудовых ресурсов – 1,02. Значение весового коэффициента определено с учетом постоянного повышения квалификации работников предприятия, многие сотрудники занимаются научной работой (диссертационными исследованиями).
Таблица 5.5.
– Значения коэффициентов по каждой группе, характеризующей производственный потенциал ОАО «Волжский Оргсинтез» за 2000 год
Основные средства
Основы концепции стратегического менеджмента на российских предприятиях
Как академическая дисциплина стратегический менеджмент начал формироваться после выхода книги Ричарда Румелта «Стратегия, структура и результаты» в 1974 году[1]. Следующий важный вклад был сделан Майклом Портером и его книгой «Конкурентная стратегия», которая вышла в 1980 году[2]. Поскольку данная дисциплина молода и охватывает очень сложные процессы современного управления в бизнесе, то не существует однозначного достаточно четкого ее определения. Приведем наиболее распространенные определения.
Стратегический менеджмент – это процесс определения взаимодействия организации с ее окружением выражаемое через использование избранных целей и достижение желаемого результата путем распределения ресурсов организации в соответствии с эффективным планом действий[3].
Стратегический менеджмент – это процесс, посредством которого менеджеры устанавливают долгосрочные направления развития организации, ее специфические цели, развивают стратегии их достижения в свете всех возможных внутренних и внешних обстоятельств и принимают к исполнению выбранный план действий[4].
Стратегический менеджмент – это процесс формирования целей организации и управления для их достижения[5].
Стратегический менеджмент – это процесс оценки внешней среды, формулирования организационных целей, принятия решений, их реализация и контроль, сфокусированные на достижение целей в настоящей и будущей внешней среде организации[6].
Можно подойти к определению стратегического менеджмента, определив сначала понятие стратегия. Единого определения стратегии тоже не существует, хотя история этого понятия длиннее, чем понятия «стратегический менеджмент». Оно широко используется в теории игр и было дано в книге Фон Неймана и Моргенштерна по теории игр в следующем виде: стратегия – это полный план, указывающий какие выборы (ходы) будет делать игрок в каждой возможной ситуации[7].
Позднее, делались различные попытки дать определение стратегии в контексте вопросов стратегического менеджмента. Сформулируем некоторые из них.
Стратегия – это формулировка миссии организации, ее намерений и целей, политики, программы и методов их достижения[8].
Стратегия – это унифицированный, интегрированный и понятный план, разработанный таким образом, чтобы быть уверенным в достижении целей предприятия[9].
Стратегия – это модель (образец поведения) в потоке будущих действий или решений[10].
В более ранних определениях акцент делался на формулировании миссии и целей организации. Миссия представляет собой формулировку долгосрочного видения смысла организации и выражение сути ее деятельности. Цели в свою очередь дают более конкретное и детальное представление о предполагаемом развитии организации в той или иной сфере ее деятельности. Стратегия – это выражение пути достижения целей и, наконец, тактика – это конкретные планы действий.
Позднее сформировался взгляд на стратегический менеджмент как на процесс оценки сильных и слабых сторон организации, рыночных внешних возможностей и угроз и формирования на их основе пути достижения устойчивой конкурентоспособности компании.
В одной из последних книг по стратегическому менеджменту вводится следующее определение:
Стратегия – это модель размещения ресурсов, которая позволяет организации улучшить результаты ее хозяйственной деятельности[11]. «Хорошая» стратегия – это стратегия, которая нейтрализует угрозы, использует рыночные возможности, опираясь на свои сильные стороны и укрепляя свои слабые стороны.
В этом определении специального пояснения требует термин «результаты хозяйственной деятельности». В англоязычной литературе используется выражение «organizational performance», которое очень часто и переводят как термин «результаты хозяйственной деятельности». Прямое же значение слова «performance» - исполнение. В том смысле как это, например, применяется в спорте, когда говорят об исполнении прыжка или упражнения. В театре можно говорить об исполнении балета, пьесы или отдельного танца. Именно в этом смысле употребляется слово «performance» - как исполнение организацией своей миссии или роли на рынке.
Англоязычный термин намного шире, чем его русский перевод «результаты хозяйственной деятельности». Поэтому предыдущее определение можно было бы переформулировать следующим образом.
Стратегия – это модель взаимодействия всех ресурсов, позволяющая организации наилучшим способом исполнить ее миссию и добиться устойчивых конкурентных преимуществ.
Стратегия в той или иной форме присуща любой системе управления, хотя и будет отличаться спецификой в зависимости от ее типа– портфельная, или корпоративная; конкурентная, или бизнес-стратегия; функциональная. Выделяются соответственно и три уровня стратегических решений.
Корпоративные (портфельные) решения касаются деятельности предприятия в целом. Исторически бизнес был однопродуктовым, затем наступила его диверсификация, поэтому данный уровень в настоящее время связан с управлением многопродуктовым (многопрофильным) предприятием. Основной целью портфельной стратегии является выбор тех подразделений, в которые следует направлять инвестиции. Главные моменты такой стратегии охватывают распределение ресурсов между подразделениями на основе портфельного анализа; диверсификацию производства с целью снижения хозяйственного риска и получения эффекта синергии; изменение организационной структуры корпорации; выработку единой стратегической ориентации подразделений.
Конкурентные решения распространяются на хозяйственные подразделения предприятия. Цель их – обеспечить бизнес-план, показать, как предприятие будет конкурировать на конкретном товарном рынке, кому и по каким ценам будет продаваться продукция, как ее рекламировать, как побеждать конкурентов и т.д.
Функциональные решения принимаются в интересах отделов и служб предприятия. Это стратегии производства, маркетинга, финансов, персонала, инноваций и т.д. Их цель – рациональное распределение ресурсов отдела (службы), а также поиск эффективного поведения в рамках заданной функции. Считается, что независимое формирование функциональных стратегий – неподнятая целина менеджмента, где скрыты огромные резервы эффективности.
Корпоративная стратегия на предприятиях с одним видом деятельности будет совпадать с бизнес-стратегией. В свою очередь иерархическая структура управления предполагает, что корпоративная стратегия состоит из ряда бизнес- и функциональных стратегий. Кроме того, стратегия высшего иерархического уровня выступает в качестве целей на более низком уровне.
Философия современного стратегического менеджмента (в отличие от технократического рационализма) основана на системном и ситуационном подходах. Деловая организация рассматривается как «открытая» система. Главные предпосылки успеха изыскиваются не внутри, а вне ее, т.е. успех деятельности связывается с тем, насколько быстро и удачно фирма приспосабливается к экономическому, социально-политическому, социально-культурному окружению.
Западные эксперты считают, что стратегический менеджмент 90-х годов – это менеджмент в быстро изменяющихся условиях. Выдвигаются новые цели и задачи, и, естественно, требуются адекватные ответные изменения внутри самой компании. В числе таких главных обстоятельств, на которые необходимо реагировать организации, следует выделить, прежде всего усиливающуюся глобализацию, более интенсивную конкуренцию, высокие цены на сырье и материалы, сокращение жизненного цикла изделий, трудности в получении средств на исследования и разработки, необходимость постоянно увеличивать внутрифирменную гибкость и адаптивность организации, внедрять новые формы кооперации, в том числе международной.
Стратегические решения в новых условиях имеют следующие характеристики: существенно влияют на способность компании приносить прибыль, касаются компании в целом, принимаются высшим исполнительным органом и советом директоров, имеют долгосрочных характер и поэтому принимаются не столь часто, отражают ценности высшего эшелона управления и обязательно согласуются с корпоративной философией и культурой организации.
Содержанием стратегического менеджмента являются:
- определение назначения и главных целей бизнеса фирмы;
- анализ внешней среды фирмы;
- анализ ее внутренней обстановки;
- выбор и разработка стратегии фирмы;
- анализ портфеля диверсифицированной фирмы, проектирование ее организационной структуры;
- выбор степени интеграции и систем управления;
- управление комплексом «стратегия - структура – контроль»;
- определение нормативов поведения и политик фирмы в отдельных сферах ее деятельности;
- обеспечение обратной связи результатов и стратегии компании;
- совершенствование стратегии, структуры, управления.
Можно выделить основные принципы и тенденции стратегического управления предприятиями в современных российских условиях.
1. Разделение управления имуществом (функция собственника) и производством (компетенция директора, правления, менеджера). Согласно российскому законодательству в акционерном обществе только собрание акционеров-собственников может принимать решения об изменении уставного капитала, продаже, покупке, сдаче в аренду дорогостоящего (более 10% общих активов) имущества, распределении прибыли (после уплаты налогов), эмиссии ценных бумаг, реорганизации предприятий, открытии и закрытии филиалов и т.д. В то же время собственник (в том числе фонд государственного имущества) не вправе вмешиваться в управление производством (выбор поставщиков, сбыт продукции, набор и увольнение работников и т.д.). Арендодатель следит за изменением стоимости своего имущества, соотношением активов и пассивов, прибылей и убытков, внесением арендной платы, но не может указывать арендатору условия реализации продукции и распределения доходов.
2. Основой стратегии предприятия становится планирование доходов и расходов, внимание руководителей перемещается из снабженческо-производственной в финансово-сбытовую сферу. В условиях кризиса средства можно вкладывать лишь в наиболее надежные и перспективные проекты, которые не только обеспечат заданный уровень доходности, но и укрепят рыночные позиции фирмы. Высокий уровень риска (зависимость ожидаемой выручки от изменения цен на ресурсы, ссудного процента, темпов инфляции, валютного курса и других независящих от предприятия факторов) может быть компенсирован повышенной эффективностью вложений.
Оценка эффективности производства в конечном счете характеризует результативность конкретных проектов и управления предприятием в целом.
Она включает четыре основных этапа:
1) исчисление производственных расходов;
2) определение требуемых инвестиций (капиталовложений);
3) прогнозирование ежегодных доходов с учетом износа активов;
4) определение срока окупаемости капиталовложений и его соответствия нормативу.
3. Разделение функций стратегического и оперативного управления производством. Первые осуществляет руководитель (совет директоров) и штаб (консультативный совет, не имеющий права давать прямые указания исполнителям), вторые – правление, директора по производству, маркетингу и сбыту и т.д., подчиненные им отделы управления. К числу обязанностей руководителя относится определение общих целей на основе анализа и прогнозирования рыночных позиций фирмы, утверждение соответствующих планов и программ, структуры управления, концепции маркетинга, основных направлений НИОКР, разработка кадровой, социальной, финансовой, инвестиционной, закупочной и производственной (что и как выпускать) политики, координация работы структурных единиц и служб управления, подбор непосредственно подчиненных сотрудников. Вмешательство генерального директора в оперативное управление поставками, запасами, календарное планирование и т.д. неприемлемо в рыночной экономике.
4. Многообразие стратегий управления в зависимости от рыночных позиций фирмы и сфер деятельности, где она может рассчитывать на успех.
5. Организация сотрудничества крупного и малого бизнеса. 80-е годы XX века стали во всем мире периодом возрождения малого бизнеса. Стратегический менеджмент учитывает развивающиеся в настоящее время виды кооперации, малого и крупного бизнеса. Во-первых, это предпринимательская сеть, то есть объединение большого числа малых предприятий для производства определенной конечной продукции, которую не под силу произвести одному малому предприятию. Заключается соглашение, разделяются функции между участниками, каждый специализируется на том виде деятельности, который может выполнить наиболее эффективно.
Во-вторых, следует выделить франчайзинг – систему сотрудничества крупного и малого бизнеса, при которой крупная фирма имеет договоры с большим количеством (до 3 тысяч) малых компаний. При этом крупная корпорация предоставляет свой товарный знак, предоставляет свою технологию и оборудование, ведет обучение кадров, контролирует качество продукции.
Рассмотрим основные этапы стратегического менеджмента.
Стратегический анализ требует четкого понимания со стороны руководства того, на какой стадии развития находится предприятие, прежде чем решать, куда двигаться дальше[12]. Для этого необходима эффективная информационная система, обеспечивающая данными для анализа прошлых, настоящих и будущих ситуаций. Хорошо проведенная бизнес-диагностика сильных и слабых сторон деятельности предприятия дает реальную оценку его ресурсов и возможностей, а также является отправной точкой разработки стратегии. Важны и знания о конкурентном окружении, в котором работает фирма.
Особенностью стратегического менеджмента является его ориентация в будущее, а, следовательно, необходимо определить: к чему стремиться, какие цели ставить.
В зависимости от специфики отрасли, особенностей состояния среды, характера и содержания миссии в каждой организации устанавливаются свои собственные цели. Классифицировать цели можно по следующим функциональным областям:
Рыночные цели (или внешние программные цели): в области маркетинга и Public Relations, например:
- объем продаж в натуральном и в стоимостном выражении;
- число клиентов;
- доля рынка.
Производственные цели (внутренние программные цели) являются следствием рыночных. Включают в себя все, что необходимо для достижения рыночных целей (за исключением организационных ресурсов), например:
- обеспечить определенный объем производства (объем производства = объем продаж - существующие запасы + планируемые запасы);
- построить цех (объем капитального строительства);
- разработать новую технологию (проведение НИР и ОКР).
Организационные цели – все, что касается управления, структуры и персонала организации, например:
- принять на работу трех маркетологов;
- довести средний уровень зарплаты сотрудников до уровня зарплаты у лидера на рынке;
- внедрить систему управления проектами.
Финансовые цели – увязывают между собой все цели в стоимостном выражении:
- чистый объем продаж (из «рыночных целей»);
- величина издержек (из «производственных» и «организационных» целей);
- валовая и чистая прибыль;
- рентабельность продаж и т.п.
Можно устанавливать цели и в другом порядке: от финансовых – к рыночным и производственным.
На наш взгляд, данная классификация отличается простотой понятийного аппарата. Кроме того, она обеспечивает связность целей, так как последние логически вытекают друг из друга (из рыночных – производственные, затем организационные и финансовые).
Процесс установления целей предполагает прохождение четырех фаз:
Выявление и анализ тех тенденций, которые наблюдаются во внешней среде фирмы.Руководство должно стремиться предвидеть то, в каком состоянии окажется внешняя среда, и устанавливать цели в соответствии с этим предвидением. Цели должны быть сформулированы таким образом, чтобы, не абсолютизируя тенденции, отражать их.
Установление целей для организации в целом. Важно определить, какие из широкого круга возможных характеристик деятельности организации следует взять в качестве целей. Важное значение имеет также система критериев, которыми пользуются при определении целей организации. Решение по целям также всегда зависит от тех ресурсов, которыми располагает организация.
Построение иерархии целей. Определение таких целей для всех уровней организации, достижение которых будет приводить к достижению отдельными подразделениями общеорганизационных целей. Предполагает построение «дерева целей», в котором фиксируется четкая зависимость «цель-средство».
Установление индивидуальных целей. Для того, чтобы иерархия целей внутри организации стала реальным инструментом выполнения целей и задач, она должна быть доведена до уровня отдельного работника. В этом случае достигается одно из самых важных условий успешной деятельности организации: каждый работник как бы включается в процесс совместного достижения конечных целей организации.
Установленные цели должны иметь статус закона для организации, для всех ее подразделений и для всех членов. Однако из требования обязательности никак не следует неизменность целей. Возможны несколько подходов к проблеме изменения целей:
- цели корректируются всякий раз, когда того требуют обстоятельства;
- упреждающее изменение целей. При этом подходе устанавливаются долгосрочные и краткосрочные цели, после достижения краткосрочных целей разрабатываются новые долгосрочные и краткосрочные цели и т.д.
Одним из наиболее важных моментов, определяющих процесс установления целей в организации, является степень делегирования права принятия решений по целям нижних уровней организации. На практике процесс установления целей в различных организациях происходит по-разному. Однако общим является то, что решающая роль во всех случаях должна принадлежать высшему руководству.
Наряду с анализом внутренней среды, организации необходима также диагностика внешнего окружения, чтобы знать возможности и угрозы развития в будущем.
Анализ внешней среды осуществляется в семи областях (сферах), каковыми являются экономика, политика, рынок, технология, конкуренция, международное положение и социально-культурное поведение. Таким образом, стратегический анализ выступает важнейшим этапом управления при выработке эффективной стратегии, которая основывается, как правило, на трех составляющих:
- правильно выработанных долгосрочных целях;
- глубоком понимании внешнего конкурентного окружения;
- реальной оценке собственных ресурсов и возможностей.
Стратегический выбор включает формирование и оценку альтернативных направлений развития предприятия. Принимается наиболее предпочтительный вариант. Есть специальные методы прогнозирования и оценки будущих ситуаций на базе сценариев развития и портфельного анализа. Считается, что формирование и оценка альтернативных вариантов развития представляет самостоятельную ценность для управления и реализуется в ходе стратегического планирования. При этом определяются временные рамки, ресурсы, источники и объемы финансирования и ответственные за реализацию намеченных мероприятий.
При разработке стратегии необходимо учитывать, что любая компания имеет этические обязательства перед владельцами, служащими, покупателями, поставщиками и обществом.
Обязательство компании перед покупателем основывается на ожиданиях, которые присутствуют при покупке товаров или услуг. Неадекватная оценка этого обязательства привела к принятию законов о защите прав потребителей и к созданию множества регулирующих органов для их защиты[13]. В России «Общество по охране прав потребителей» тоже имеет влияние и может испортить репутацию любой организации, на которую жалуются потребители.
Реализация выбранной стратегии предусматривает корректировку двух предыдущих этапов. Деятельность руководства направлена на модернизацию (при необходимости) системы управления, приведение в соответствие со стратегическими целями организационной структуры фирмы, выделение необходимых ресурсов, а также на подготовку персонала. Другими словами, стратегический менеджмент формируется таким образом, чтобы помочь руководству организации предвидеть тенденции развития бизнеса, отслеживать внешние влияния.
К числу стратегических решений на данном этапе можно отнести: реконструкцию предприятия, внедрение новой продукции и технологий, организационные изменения правовой формы предприятия, структуры производства и управления, оплаты труда и т.д., выход на новые рынки сбыта, а также приобретение (слияние) предприятий и др.
Стратегическому менеджменту присущ также свой алгоритм: что надо делать (концептуальный аспект, формирование генеральной цели); как делать (технологический аспект); с использованием каких средств (ресурсный аспект); в какие сроки и какой последовательности (временной аспект); кто будет делать (кадровый аспект); какой должны быть организационная структура управления (организационно-управленческий аспект).
В последние годы значительно изменилась парадигма разработки стратегии фирмы. Если раньше считалось, что стратегия должна быть известна лишь узкому кругу высших руководителей и не должна предаваться гласности, то в наши дни отдается предпочтение открыто сформулированной. Стратегия должна быть делом не только руководства фирмы, но и всех ее рядовых сотрудников.
Представляется, что экономическая масса и мобильность определяются в первую очередь ресурсами предприятия. В различных сферах экономики они различаются как по объему, так и по содержанию. Именно недостаток ресурсов – финансовых, материально-технических, информационных, интеллектуальных – не позволяет экономическим субъектам успешно разрабатывать и реализовывать корпоративную стратегию даже подчас в самых благоприятных внешних условиях[14].
Роль ресурсов в стратегическом менеджменте принципиально важна не только потому, что без них субъект не достигнет стратегической цели. Ресурсы – это потенциал организации. Их стратегическое значение состоит, во-первых, в заключающихся в них возможностях разрабатывать оптимальную для субъекта стратегию (источник формирования), во-вторых, в принципиально возможном воздействии на внешнюю среду предприятия (характер использования), в-третьих, в специфически стратегической постановке целей субъекта (направления действия).
В большинстве публикаций справедливо указывается, что выработка и реализация стратегии предприятия требуют больших затрат ресурсов. С одной стороны, это позволяет большинству экономических субъектов ставить вопрос о стратегии лишь в схоластически теоретическом плане, с другой – именно поэтому совершаются крупные стратегические ошибки.
Далеко не все фирмы способны одинаково точно избрать стратегически выгодный для себя рынок. Ошибочно оценивая свои потенциальные возможности стабильно действовать в течение длительного времени, они оказываются, по существу, в чуждой для них стратегической зоне хозяйствования. Причем в данном случае речь идет не просто об обладании ресурсами или возможностях их приобретения. Огромное значение имеет качество менеджмента, его способность стратегически рационально сочетать эти ресурсы, увязывать их с очевидной компетенцией организации. Отсюда важнейшая характеристика «стратегичности» субъекта – находить адекватную имеющимся ресурсам рыночную нишу и действовать в ней.
Разработка стратегии предприятия не ограничивается затратами материальных и финансовых ресурсов, а также времени. Огромное значение имеют информационные и интеллектуальные ресурсы. Разработка и реализация стратегических решений предполагают обладание огромной информацией – собираемой, систематизируемой и анализируемой в течение всего времени ведения бизнеса. Без информации нет стратегии, но информационные ресурсы предприятия тесно связаны с интеллектуальными – предприятие должно располагать кадрами, которые в состоянии не просто разработать очередной бизнес-план по одной из методик, но определить тенденции развития внешней среды, перспективы того или иного бизнеса, сформулировать направления развития организации, обосновать необходимость концентрации средств в стратегических целях.
Особо следует обратить внимание на организационно-структурный стратегический потенциал предприятия. Элементарная и функциональная оргструктуры большинства экономических субъектов перегружают высшее руководство решением текущих задач, не позволяя в должной степени сосредоточиться на стратегических проблемах организации. Если добавить к этому характерное для российского менеджмента нежелание «делиться» правами с подчиненными, то станет ясно, почему многим руководителям объективно не хватает стратегической направленности действий.
Переход к дивизиональной оргструктуре ( она характерна, например, для крупных коммерческих банков), повышая гибкость и адаптивность организации и создавая возможности концентрации внимания высшего руководства на стратегических вопросах, вместе с тем создает определенные трудности с точки зрения стратегической совместимости отдельных подразделений. Хотя трудности разработки и реализации стратегии есть и в более развитых оргструктурах, общий вывод бесспорен – их стратегический потенциал существенно различается. Поскольку оргструктура предприятия не должна быть более сложной, чем это необходимо исходя из его размера, характера деятельности, технологии и территориального размещения, то большинство российских (да и западных) экономических субъектов функционируют в рамках простых оргструктур. При этом стратегические аспекты функционирования оргструктуры остаются для них в тени, объективно затрудняя разработку и реализацию экономической стратегии.
Обладание стратегическими по сути ресурсами позволяет экономическому субъекту принципиально определить характер их использования во взаимоотношениях с внешней средой предприятия. Выражение «приспособление к новым условиям», которое часто используется для характеристики деятельности успешно развивающихся фирм, представляется не совсем удачным, поскольку он создает впечатление пассивной и направленной преимущественно на внутренние изменения экономической стратегии организации. Бесспорно, приспособляемость к изменяющимся условиям среды может быть основанием для длительного и успешного существования предприятия. Однако стратегия означает не столько следование за изменениями окружения и осуществление стратегических изменений в организации, сколько активное взаимодействие с внешней средой. Стратегически активное предприятие должно направленно воздействовать на среду, изменяя и приспосабливая ее к реализации стратегии, создавая условия для достижения стратегических целей. В определенном смысле можно утверждать, что это и будут стратегические изменения, важнейшая составная часть собственно реализации стратегии.
Вряд ли следует доказывать, что воздействие на внешнюю среду не означает и не предполагает изменение макроэкономической ситуации в стране. Оно направлено в первую очередь на формирование среды непосредственного окружения предприятия – потребителей, поставщиков, конкурентов, региональные и местные органы власти. Формы и методы этого воздействия могут быть разнообразны – реклама, выбор партнеров по бизнесу и условия сотрудничества с ними, ценовая политика, методы конкурентной борьбы и способы защиты собственных экономических интересов, влияние на органы государственной власти, привлечение средств массовой информации (в том числе создание собственных). Нельзя не отметить здесь некоторые особенности современной российской государственности (коррупция, бесконтрольное использование бюджетных средств), создающие широкие возможности для деловых кругов формировать необходимую среду обитания.
Очевидно, что для использования специфического инструментария при разработке стратегии, прежде всего, необходимо решить проблему информационного обеспечения и выбора методов обработки информации (таблица 1.1.). Не случайно на долю данных из прейскурантов и анализа ценовой политики конкурентов приходится 56% сведений, полученных путем промышленного шпионажа, на долю сведений о создании новых изделий – 33%, информации о методах производства – 6%, результатов фундаментальных исследований и изучения стратегии компаний - 5%[15].
Таблица 1.1. – Методы и технологии стратегического менеджмента
|
Вид работ (операций, действий) |
Методы, подходы, технологии |
|
Ситуационный анализ Макроокружение организации: • экономика и политика; • технология и экология; • правовое обеспечение; • демография, общество. |
• обзоры, информационные обобщения, проекты, отчеты, библиографические справки, статистические рефераты; • кабинетные исследования, разнообразные методы сегментации, сбора данных, анализа и статистической оценки; • PEST-анализ. |
|
Непосредственное окружение (внешние связи, субъекты рынка): • заказчики; • посредники; • конкуренты; • внешние влияния; • общественность; • поставщики. |
• анализ рыночной позиции, отношения к торговой марке и престижа организации; • анализ конкуренции и прочих влияний (кабинетные исследования и непосредственные наблюдения). |
|
Собственно организация: • результаты реализации целей прошлой стратегии; • оценка состояния маркетинговой совокупности; • возможности, ресурсы; • маркетинговая инфраструктура. |
• сравнительный анализ «цели – план – факт – оптимизация – отклонения»; • причинный анализ, пирамидальная структура; • анализ, балльная оценка возможностей и способностей; • информационная служба, бухгалтерский и оперативный учет. |
Продолжение таблицы 1.1.
|
Вид работ (операций, действий) |
Методы, подходы, технологии |
|
Конфронтационный анализ (организация – конкуренция): идентификация слабых и сильных сторон на основе оценки возможностей с помощью инструментария маркетинговой совокупности. |
• анализ SWOT; • методы сравнительного анализа. |
|
Детальный анализ параметров маркетинговой совокупности: • анализ позиций стратегических единиц в области рыночных цен; • анализ процесса продаж продукции, затрат и прибыли в течение жизненного цикла изделия; • анализ доли торговых расходов; • анализ цикла «продукция – рынок - товарооборот – прибыль – затраты». |
• анализ портфеля заказов (по методике Boston Consulting Group, Mc Kinsey, сочетание анализа портфеля и поступления денежных средств); • классификация продукции по П. Дракеру; • метод анализа сбыта в течение жизненного цикла изделий; • АВС-анализ, оптимум Парето. |
|
Синтез: определение актуальных проблемных областей, узких мест, ограничений, шансов, опасностей, рисков. |
• причинный анализ; • анализ SWOT, анализ портфеля заказов. |
|
Прогнозы и предсказания • динамика окружения организации; • динамика параметров рынка; • динамика параметров организации. |
• сценарий развития; • нормативный метод; • анализ временных рядов, экстраполяция тенденций, анализ критических связей; • операционные исследования, имитационные модели; • методы экспертных оценок Дельфи, мозговой атаки и др. |
|
Планирование целей • миссия организации, ее идентификация, путь развития; • выбор целевого рынка (сегментов и локальных рынков); • профилирование предложений; • целевые приоритеты, целевые траектории; • масштабы целей (технико-экономическая оценка, эффективность с учетом временных и пространственных параметров). |
• портфель заказов (план); • SWOT (план); • модели принятия решений, методы оценки вариантов; • операционные исследования, моделирование; • анализ риска; • методы творческого мышления при стоимостном анализе; • методы экспертных оценок. |
|
План стратегических операций • выделение стратегических предпринимательских подразделений; • типовая стратегия роста, конкурентная стратегия; • стратегические операции с помощью инструментария маркетинговой совокупности; • формулирование стратегических вариантов; • идентификация и оценка потенциально узловых проблем и рисков; • коррекция на основе обратной связи. |
• портфель заказов (план); • SWOT (план); • операционные исследования, моделирование; • методы теории запасов, теории массового обслуживания (очередей); • методы сетевого анализа; • анализ риска; • метод мозговой атаки, прочие методы стоимостного анализа; • методы экспертных оценок. |
При определении стратегических целей, а также выборе вида и типа стратегии применяются разнообразные методы анализа (прогнозирования), подходы и технологии. В таблице приведен перечень основных методов и технологий, которые предъявляют высокие требования к специальной подготовке работников, занимающихся стратегическим менеджментом.
Особенности разработки стратегии предприятия в рыночной экономике
Виды стратегий и особенности их реализации.
Необходимость адаптации российских компаний к сложным условиям реформирования экономики обусловила активизацию интереса к выработке стратегий компаний, так как без выявления перспектив и предвидения будущих тенденций развития практически невозможна и выработка тактических мер в сложных рыночных условиях. Выработка стратегии – это, во-первых, получение определенного представления о будущем развитии компаний; во-вторых, активное использование компанией современных методов управления, обеспечивающих определенную сбалансированность и будущие направления развития компании.
Современные стратегии основываются на активном учете современных условий, в рамках которых работает определенная компания, на осознании задач, стоящих перед ней, что способствует возникновению самых разнообразных проектов развития, которые в свою очередь обусловливают выбор такого варианта стратегии развития, который обеспечит стабильность компании и хорошие экономические результаты.
Стратегическая концепция развития компании должна формироваться с учетом основных тенденций реализуемой государственной экономической политики. В практическом плане это обусловливает необходимость постоянной корректировки стратегической парадигмы развития компании в рамках схемы: ситуация в экономике – государственная экономическая политика – стратегия компании – эффективность реализации.
Нельзя разделить планы компании и государства, основополагающие принципы их политики. Все попытки их отделения друг от друга можно рассматривать как негативные. Компания, естественно, имеет свои корпоративные интересы, и это логично, но они не должны противостоять экономическим интересам государства. Упрочение положения компании на внутреннем и внешнем рынках соответствует интересам как компании, так и государства.
Понятие стратегии взято из армейского лексикона, где оно означает план действий в конкретной ситуации, зависящей от поступков противодействия. Это понятие вошло и в лексикон делового управления: появились термины – «стратегическое планирование», «стратегическое управление», «стратегический менеджмент», «стратегическое мышление»[57].
В других трактовках[58] стратегия рассматривается как план, маневр, позиция, взгляд в будущее. Представляется, что все это можно рассматривать в качестве элементов стратегии. А наиболее обобщающей формулировкой может быть следующая: стратегия компании представляет собой обобщающую модель действий, необходимых для достижения поставленных целей путем координации и распределения ресурсов компаний. Ее цель – добиться долгосрочных конкурентных преимуществ, которые обеспечат компаниям высокую рентабельность.
![]() |
Стратегия компании – это идеология развития, качественного конкретизирования в виде ориентиров и состояний компании, последовательности действий по их достижению в рамках сформированных целей (рисунок 6.1.).
![]() |
Рисунок 6.1. – Общая схема технологии выработки стратегии компании
Понятие «стратегия компании» тесно коррелируется с понятием «потенциал компании», которое можно определить как совокупность находящихся в распоряжении компании стратегических ресурсов, определяющих возможности, ограничения и перспективы деятельности компании. Важной составляющей потенциала компании является наличие ее конкурентных преимуществ: инноваций, интеллектуального ресурса, рыночного ресурса продукта, нематериальных активов (патентов, лицензий).
По большому счету потенциал компании определяет ее возможности и перспективы работы в определяемом сегменте рынка. При исследовании потенциала необходимо иметь в виду первоочередность анализа потенциала по отношению к анализу рынка ее деятельности.
Сложность формирования стратегии связана с необходимостью учета множества динамичных, нечетких, не всегда нормализуемых целей и ориентиров, возникает возможность формирования стратегии на основе противоречивых ориентиров
Отличительные черты стратегии крупных и средних предприятий можно сформировать следующим образом[59]:
- стратегия не завершается ее немедленной реализацией;
- стратегия используется для разработки конкретных стратегических проектов методом потока;
- стратегия не нужна, когда желаемое достигнуто;
- нельзя предвидеть всех альтернатив;
- успешное пользование стратегий требует обратной связи;
- для отбора проектов применяются стратегии и ориентиры, которые взаимодополняемы.
Успех стратегии – во внутрифирменных возможностях: функциональных (НИОКР, маркетинг, производство) и общеуправленческих (система управления, кадры).
Стратегия компании – сложный комплексный инструмент регулирования, который может классифицироваться с учетом ряда принципов, в частности:
- стратегии рыночного поведения компании (активного развития, адаптационной стабилизации);
- стратегии, учитывающие различия в тенденциях организационного развития и ресурсного обеспечения (интеграционные стратегии, стратегии, ориентированные на дифференциацию);
- функциональные стратегии компании как составные элементы общей стратегии (маркетинговая, финансовая, продуктовая стратегия, стратегия изменений (развития), кадровая стратегия).
Это один из вариантов выделения классификационных принципов и видов стратегий, который может модифицироваться и дополняться.
Анализ стратегий, реализуемых рядом зарубежных и отечественных предприятий, позволяет классифицировать эти стратегии с точки зрения их поведения на рынке: это стратегии активного развития и экспансии и стратегии адаптационной стабилизации (или выживания)[60].
Стратегия развития и экспансии ориентирована на достижение следующих основных целей: увеличение оборота, увеличение доли рынка, расширение компании, достижение положительной динамики. Реализация этой стратегии связана с поглощением конкурирующих компаний, с экспансией, привлечением новой клиентуры и с разработкой новых продуктов. Особое внимание при этом уделяется укреплению капитальной базы, для чего отдельно разрабатывается стратегия формирования капитала.
Стратегии развития присущи определенные риски, на предотвращение негативного влияния которых в первую очередь следует обратить внимание при реализации стратегии. К факторам негативного влияния относятся:
- неадекватность внешним условиям развития рынков;
- потеря контроля над рисками;
- снижение показателей эффективности деятельности (доходность на рубль активов и капитала, производительность труда);
- возможность потерь из-за ухудшения качества активов в результате быстрого роста;
- избыточное инвестирование, его низкая эффективность;
- неадекватность структуры компании потенциальным масштабам;
- снижение управляемости.
Данные недостатки преодолимы в процессе активной и правильно ориентированной политики компании.
В теории существует множество подходов к стратегиям развития, но применительно к организационному развитию крупных компаний целесообразно выделить два основных (таблица 6.1.).
Таблица 6.1. – Аналитическая оценка основных подходов к организационному развитию крупных компаний
|
Интеграционная стратегия |
Стратегии, ориентированные на дифференциацию |
|
Жесткое внутреннее регулирование, регламентирование Структурирование ответственности Использование элементов планирования Тенденции к укрупнению организации |
Усиление функций, связанных с развитием Усиление аналитических начал в управлении Структурированный маркетинг Организационная аморфность |
|
Ресурсное обеспечение |
Ресурсное обеспечение |
|
Крупные инвестиции Организационно-технологическая интеграция Концентрация усилий на решении отдельных задач Внутрисистемная интеграция ресурсов |
Активная кооперация Стратегический маркетинг Инжиниринг продукции Новые виды ресурсов в рамках отдельных бизнес-процессов |
Риски, связанные с данной стратегией, сводятся, как правило, к возможности захвата конкурентами, к потере позиций на рынке, уменьшению капитала, отсутствию инвестиций в технологии, демотивации сотрудников, срывам в отношениях с партнерами.
Практически всем видам стратегий присущи такие риски, как:
- риск принятия неправильных решений в результате усложнения целей и их неконкретности;
- риск несоответствия организационной структуры ее стратегическим целям;
- риск ухода от стратегической цели при реализации оперативных планов.
Ключевой характеристикой такой сложной экономическо-производственной системы как промышленное предприятие является устойчивость, причем имеются в виду не просто пассивные формы устойчивости – прочность, сбалансированность, гомеостазис, а и ее активные формы – надежность, выживаемость, адаптивность, способность к самосохранению и саморазвитию.
Средняя устойчивость крупных систем имеет определенную тенденцию к понижению; только консервативные простейшие экономические системы обладают устойчивостью элементов внутри системы, которая связана с прочностью и сбалансированностью. Для крупных предприятий, как более сложных систем, характерна динамичная структурная устойчивость, сохраняемая непрерывной модификацией составляющих ее элементов. Это особенно важно, если учитывать различие между содержанием понятий «рост» и «устойчивое развитие», принимая во внимание, что последнее в отличие от первого предполагает не только количественные изменения экономических параметров, но и качественное сохранение позитивных сдвигов в хозяйстве компании.
Возникает потребность в разработке стратегии компании, специально ориентированной на работу в условиях сложной, динамичной и нечеткой среды. В этих условиях она должна искать компромисс между многими, на первый взгляд, заведомо противоречивыми критериями. С этим связана проблема разработки методологии формирования согласованной стратегии современной компании в условиях динамично развивающейся экономики.
Любая стратегия формируется для реализации определенной цели. Практически стратегия есть путь, основание для достижения цели. Проблема стратегии лежит в плоскости принятия решения, так как каждое решение является основой для реализации намеченной цели.
В этом качестве выбор того или иного решения совпадает с выбором стратегии. Какое решение будет принято в данной конкретной ситуации, в значительной степени зависит от подхода, выступающего в качестве методологического средства.
Реализация любой стратегии предусматривает организационные меры по реализации выбранной стратегии, разработку проекта и плана, реструктуризацию, контроль (мониторинг) аналитического процесса, реализацию решений.
Конкурентное преимущество зависит не только от позиции компании. Его можно считать реальной и движущей силой лишь при должной активности руководства компании, качестве выбираемых и реализуемых путей развития, уровне мобилизации потенциала, способности привлекать капиталовложения и т.д.
Важнейшим аспектом активности компании является качество реализуемой стратегии. Последняя имеет потребительские свойства, соответствующие цели развития, цели и предназначению фирмы, ценностным ориентирам руководства и персонала, внешним и внутренним возможностям, глубине проникновения в сложившуюся ситуацию. Качественная стратегия создает стабильное конкурентное преимущество, повышает интенсивность деятельности компании. В конечном счете, именно этот фактор является решающим в условиях неспадающего кризиса[61].
Опыт работы показывает, что сложившийся порядок принятия и реализации стратегических решений не систематизирован должным образом, а специалисты и руководители слабо вооружены методологией и технологией управления. Область стратегических решений обширна: выбор направлений деятельности, приоритета ресурсов, главных долговременных партнеров, организационной формы партнерства, способов развития потенциала, возможностей использования сильных сторон предприятия, снижения отрицательных последствий слабых сторон и угроз внешней среды, конкурентной и инновационной антикризисной политики.
Стратегический характер приобретают применение ресурсов (потоки, распределение, хранение, доставка), функции структурных звеньев, деловые процессы и продуктовые проекты.
Важно видеть долговременное развитие как самой производственно-хозяйственной системы в целом, так и каждого ее элемента. Это обусловливает необходимость отработки четкой схемы взаимодействия отдельных видов работ, методов и технологий, используемых при формировании стратегии компании (таблица 6.2.).
Таблица 6.2. – Схема используемых видов работ, методов и технологий при формировании стратегий компании[62]
|
Вид действий |
Методы и технологии |
|
Анализ Оценка компании с позиций макроэкономических индикаторов Оценка угроз компании со стороны изменения внешней среды и поведения конкурентов Прогнозы Динамика параметров рынка Динамика параметров компании Обоснование и выбор целей Цели, их идентификация Выбор рыночных сегментов и локальных рынков Целевые приоритеты, целевые траектории Технико-экономическая оценка экономической эффективности Формирование стратегических параметров Типовая стратегия роста, конкурентная стратегия Стратегические операции Формирование стратегических вариантов Идентификация и оценка узловых проблем и рисков |
Информационные обзоры, проекты, отчеты, справки, статистические оценки Исследования, методы сбора данных, анализа и статистической оценки Сценарий развития Нормативный метод Экстраполяция тенденций Операционные исследования, имитационные модели Методы экспертных оценок Модели принятия решений, методы оценки вариантов Операционные исследования Анализ риска Методы творческого мышления Методы экспертных оценок Портфель заказов Методы теории запасов, теории массового обслуживания Методы сетевого анализа Анализ риска Методы стоимостного анализа Методы экспертных оценок |
Так, эффективно использование сочетания методов программно-целевого управления с методами позицирования предприятий на основе анализа эффективности. Такое сочетание наиболее эффективно для относительно стабильной ситуации в экономике и на финансовых рынках.
Стратегическое планирование направлено на достижение успеха в долгосрочной перспективе, однако, поскольку в рыночном хозяйстве этот успех в значительной мере обусловлен конкурентоспособностью и сохранением позиций на рынке, опережающая ориентация компании приобретает огромное значение. Такую ориентацию можно осуществлять с помощью системы раннего предупреждения.
Стратегическое планирование невозможно без наличия соответствующей информации. И здесь повышается роль системы раннего предупреждения, которая призвана сообщать не только о возможных угрозах, но и потенциальных шансах рынка. Задачей раннего предупреждения является своевременная ориентация компании или системы планирования на изменения, происходящие в компании или во внешней среде.
По уровню развития система раннего предупреждения подразделяется на три сегмента:
1) краткосрочная информационная система (большей частью базируется на сравнительных расчетах затрат и эффекта);
2) система индикаторов (показателей) (с учетом кризисной ситуации система индикаторов должна включать пороговые значения индикаторов экономической безопасности);
3) система, функционирующая как «стратегический радар».
Исходя из степени неопределенности имеющейся информации из внутренних и внешних источников различают следующие стратегии действия (реакции):
- ненаправленное проведение наблюдения (поиска) для «нащупывания» необходимого стратегического хозяйственного поля, включая творческое обсуждение и оценку тенденций товарных рынков и состояние индикаторов экономической безопасности;
- наблюдение, направленное на определенную сферу (ориентированное на внутренние и внешние факторы);
- создание потенциала противодействия негативным факторам и старым и новым угрозам на основе повышения внутренней гибкости в сфере управления и в процессе производства;
- глобальное альтернативное планирование программ, разработка портфеля имеющихся и желаемых стратегических хозяйственных полей;
- альтернативное планирование продуктов (или проектов) внутри стратегического рыночного сегмента;
- непосредственные действия на рынке, базирующиеся на кратко- и среднесрочном планировании бюджета и осуществлении оперативных мероприятий.
Эти стратегии, направленные на повышение гибкости компаний в рамках стратегического планирования, следует дополнять портфельным анализом.
Уровень компании, ее значимость на рынке, устойчивость и эффективность во многом зависят от качества принятия стратегических решений. Реальная стратегия – это не просто документ с подобным названием, главное – это достижение соответствия стратегии и тактики, отражение стратегии в практических ориентирах, способность ее развиваться на рынках в определенной индикативной системе безопасности. Причем согласование стратегии и тактики особенно необходимо на уровне взаимосвязи «бизнес - компания».
Поиск инструментов согласования стратегии и тактики является основным содержанием работы при подготовке годового плана компаний.
Стратегия устойчивого развития предприятия.
Переход к рынку поставил перед компаниями нашей страны задачу перестройки работы в соответствии с происходящими переменами, при этом компании столкнулись с рядом проблем, к которым они оказались не готовы.
В настоящее время меняется система связей в сфере производства и сбыта продукции. Для многих компаний и фирм неприятным открытием явился тот факт, что их неконкурентоспособная продукция никому не нужна. Сегодня уже ни одна компания не сможет рассчитывать на некогда стабильное существование своих поставщиков и потребителей выпускаемой продукции. Появляются новые партнеры, изменяются цены на ресурсы, происходят глобальные перемены на рынке труда, вводятся в действие новые законодательные акты. Анализ свидетельствует, что лишь незначительное число компаний приспособилось к рынку, остальные обрастают задолженностями и не выполняют обязательств перед акционерами.
Фискальные меры, предпринимаемые государством для исполнения доходной части бюджетов всех уровней и решения социальных проблем, легли значительным грузом на функционирующие компании.
Все это вносит элемент нестабильности в деятельность компаний и заставляет искать новые пути развития, требует разработки теоретических и методических аспектов решения проблемы устойчивого развития, позволяющих выживать в рыночных условиях. Проблема обеспечения устойчивого развития компании представляется крайне важной, так как напрямую связана с социально-экономическим развитием регионов и страны в целом[63].
В экономических публикациях представлено многообразие взглядов на устойчивое развитие, даны многочисленные толкования многогранного понятия «развитие». Различные методологические основы исследования данной проблемы позволяют предположить, что в настоящее время не существует однозначного единого подхода к ее решению.
Проведенный анализ отечественной экономической литературы показывает, что российские ученые в обеспечении устойчивого развития предприятия делали акцент в основном на развитие производства, использование внутренних резервов предприятия. Очевидно, что необходимо расширение аспектов изучения проблемы, учитывая специфические условия хозяйствования российских предприятий.
Устойчивость функционирования компании, как индикатор состояния нормального развития, является сложным социально-экономическим понятием, что обусловливает необходимость не ограничиваться в ее характеристике только экономической устойчивостью, а рассматривать ее как результирующий показатель экономической, рыночной и социальной устойчивости. Это позволяет обеспечить проведение наиболее полного анализа устойчивости компании, необходимого для принятия мер для ее устойчивого развития со стороны самой компании и общества, в котором она функционирует.
Исследование теоретических вопросов устойчивого развития компании позволяет обосновать необходимость уточнения понятийного аппарата применительно к современным рыночным условиям хозяйствования.
Устойчивость компании – это состояние компании, сложившееся под воздействием системы факторов внешней и внутренней среды, характеризующееся экономическими индикаторами устойчивости и определяющее в динамике перспективы ее развития.
Устойчивое развитие компании – состояние функционирования в результате выполнения стратегии развития, характеризуемое постоянством или положительным изменением значения индикаторов устойчивости, находящихся в определенных границах, принятых для оценки устойчивого функционирования в определенный период времени.
На устойчивость и устойчивое развитие компании оказывают влияние кроме внутренних многочисленные внешние факторы. В условиях рыночной экономики компания никоим образом не может игнорировать влияние внешней среды. Игнорирование этого фактора сегодня означает банкротство компании завтра. Всю совокупность действующих факторов целесообразно подразделять на объективные внешние факторы (имеющие прямое воздействие на функционирование и развитие компании), на субъективные внешние факторы (имеющие косвенное воздействие) и факторы внутренней среды компании, для чего могут использоваться систематизированные модели анализа факторов внешней и внутренней среды, действующих на компанию. При этом должна быть обоснована необходимость выявления действия таких факторов, как национальный менталитет, политическая и социальная ситуация и др.
Одним из основополагающих принципов, обеспечивающих устойчивое развитие, является стратегическое управление компаний. В условиях жесткой конкурентной борьбы и быстро меняющейся ситуации на рынке компания должна не только концентрировать внимание на внутреннем состоянии дел, но и вырабатывать долгосрочную стратегию, которая позволяла бы успевать за изменениями, происходящими в ее окружении.
Стратегическое управление, нацеленное на стабильное, устойчивое развитие компании, укрупненно можно рассматривать как динамическую совокупность взаимосвязанных управленческих процессов: определение миссии и стратегических целей, анализ внешней и внутренней среды, определение стратегии развития компании, разработка функциональных стратегий, разработка стратегических планов, их выполнение, контроль и оценка выполнения.
Обеспечение устойчивого развития компании должно сопровождаться постоянной диагностикой хозяйственной деятельности, позволяющей определить и сопоставить величину устойчивого развития. Именно на основе данной диагностики компания может выработать или скорректировать стратегию деятельности, определяющую ее устойчивое развитие.
Основные принципы, на которых базируется методика анализа устойчивого развития компании, заключаются в следующем:
- используемые показатели должны иметь прикладной характер и определять результат устойчивости функционирования компании по разным направлениям и в динамике характеризовать состояние ее устойчивого развития;
- полученные показатели должны быть сопоставимыми с факторами внешней и внутренней среды, которые оказали влияние на полученные результаты;
- в полученных показателях должна быть заинтересована как сама компания, так и сторонние пользователи информации (инвесторы, партнеры, местные органы власти).
Следует отметить, что на показатели устойчивости действуют многие факторы. Но влияние отдельных факторов может непосредственно в большей мере сказываться на отдельных индикаторах устойчивости или их группы (рисунок 6.2.).
Как видно на рисунке, отдельные факторы оказывают непосредственное влияние практически на все показатели устойчивости компании, а некоторые лишь на один – два. Приведенная схема систематизирует влияние факторов внутренней и внешней среды и помогает принять соответствующее решение при анализе полученных результатов устойчивости компании.
Сложность и важность сущностно-методологической оценки категории «финансовая стратегия» компании обусловливает необходимость ее углубленного анализа. При определении понятия «финансовая стратегия» целесообразно исходить из того, что стратегия в общем смысле слова – это конечная цель, четко выраженное намерение, которое ставит перед собой предприниматель. Она тесно связана с задачами, ее конкретизирующими, и критериями, ее ограничивающими. В общем плане задача состоит в том, чтобы не только достигнуть финансового равновесия, но и защитить компанию на рынке.
![]() |
Рисунок 6.2. – Влияние факторов внешней и внутренней среды на индикаторы устойчивости компании
Обобщение специальной литературы и практики показывает, что высшей целью предпринимательской деятельности является получение прибыли. Каждое предприятие на практике понимает первостепенность финансовой стратегии и руководствуется этим в своей деятельности. В теории же ее зачастую относят не к базовым и общим, а к функциональным стратегиям. Нельзя согласиться с недооценкой финансовой стратегии, так как это затрудняет не только объективный анализ реальной стратегии, но и дезориентирует российские компании в методике ее разработки и реализации.
Мы разделяем точку зрения ученых и специалистов, рассматривающих финансовую стратегию как обобщающую модель действий, необходимых для достижения поставленных целей в рамках корпоративной миссии, в процессе аккумулирования, распределения и использования финансовых ресурсов компании.
Очевидно, что наличие финансовой цели при формулировке любой стратегии (маркетинга, менеджмента, инвестиций), по существу, превращает ее в финансовый выбор (выбор собственных и заемных источников финансовых ресурсов, разработка схем их привлечения на наиболее выгодных для предприятия условиях, их эффективное использование). Это позволяет подходить к финансовой стратегии как общей и базовой и классифицировать ее как финансово-экономическую, что обеспечивает достижение взаимосвязи целей и задач экономического субъекта через планирование всех сфер его деятельности и возможность учета их особенностей.
Системный анализ значительного числа методов реализации финансовых стратегий компаний позволяет сделать специфический вывод: стратегии компании стабильны, а методы их реализации постоянно трансформируются.
В настоящее время можно считать, что создание общих условий хозяйствования – правовых, управленческих, ценовых – позволяет реализовать финансовые стратегии компаний. В сложный комплекс анализируемых направлений и условий деятельности компаний при выработке стратегии входят:
- наличие и цена источников финансирования сырья, рабочей силы;
- инвестиционный комплекс в стране и регионах;
- политическая и экономическая стабильность в стране;
- внешнеэкономическая политика государства;
- удаленность от регионов сбыта;
- условия производства;
- инновационное обеспечение.
Практически именно эти условия и факторы определяют стратегию организационно-структурного развития предприятий и генеральные направления их деятельности. Необходимо учитывать, что в настоящих условиях финансовые стратегии компаний и методы их реализации обусловлены интенсификацией процесса глобализации мировой экономики. Это определяет тенденции глобализации всех направлений деятельности компаний, и, прежде всего, финансовых, в части использования современных финансовых инструментов и операций, трансформации институциональных форм компаний. Это обусловливает необходимость сохранения тенденции интеграции, усиления контроля за движением товарных и денежных потоков.
Большое значение в реализации стратегий компании отводится изменению их отраслевой специализации, акцент делается на высокотехнологичные и сервисные отрасли, производство дефицитных продуктов, обеспечивающих максимизацию прибыли.
В качестве примера рассмотрим особенности реализуемой схемы стратегического планирования в ОАО «Волжский Оргсинтез».
В компании реализуется современная схема стратегического планирования, адаптированная к особенностям компании и ее подразделений. Стратегическое планирование рассматривается как комплекс программ развития различных направлений деятельности ОАО в целом. Это является принципиальной особенностью разработанной и используемой системы планирования. Функционально ориентированная стратегическая программа дополняется системой бюджетирования, реализуемой для отдельных подразделений и направлений деятельности компании.
Инициатором идеи использования механизмов стратегического планирования выступает Дирекция ОАО во главе с генеральным директором, поддерживаемым Правлением, Советом директоров и акционерами компании.
В системе планирования компании можно выделить четыре основных блока:
- программу стратегического развития на 2000-2008 гг.;
- стратегический план компании;
- систему бюджетирования;
- комплекс бизнес-планов по проектам новых продуктов и направлений деятельности компании.
Схема разработки стратегического плана компании имеет следующий вид:
1. На основе анализа тенденции изменения рынка, а также на основе информации, получаемой от крупнейших потребителей продукции ОАО «Волжский Оргсинтез» и ее поставщиков, и анализа возможностей производства определяются темпы роста ОАО на пятилетний период. Главная роль в этом процессе принадлежит генеральному директору.
2. Показатели и направления развития обсуждаются и согласовываются в Дирекции компании.
3. Перспективные показатели передаются в отдел маркетинга, экономический отдел, производственно-технический отдел и НИЦ для анализа возможностей (потенциал мощностей компании).
4. Названные подразделения подготавливают проект стратегического плана с учетом внутренних и внешних факторов развития компании.
5. Проект плана распространяется по всем подразделениям предприятия для анализа, внесения предложений и замечаний.
6. После ознакомления подразделений с проектом и сбора предложений экономический отдел составляет окончательную версию стратегического плана компании.
7. Стратегический план обсуждается Правлением компании и утверждается Советом директоров.
Стратегический план компании является основным регламентирующе-регулирующим документом для осуществления других видов планово-проектных работ в компании.
Схема организации бюджетирования в ОАО включает следующие этапы и основные механизмы:
- перед началом планового периода (в конце года) руководство компании определяет генеральные цели и задачи, стоящие перед ней;
- с учетом определенных среднесрочных целей и задач каждое подразделение компании формирует бюджет на следующий год;
- каждое подразделение (начиная с сентября месяца) начинает разрабатывать собственную смету затрат для формирования расходной части бюджета компании;
- в процессе формирования сметы затрат подразделения учитываются потребности внутренних заинтересованных сторон (смежные подразделения, информация от которых поступает по разным каналам);
- проводится работа по определению отношений с внешними партнерами (возможности поставщиков сырья) на основе фактических показателей за прошлый отчетный год;
- утвержденные генеральным директором или директорами по принадлежности сметы затрат по подразделениям передаются в экономический отдел для анализа, согласования с планами других подразделений предприятия и составления окончательного годового бюджета подразделения;
- ежемесячно подразделения, опираясь на годовой бюджет и тенденции изменения рынка, составляют поддерживающие (краткосрочные) бюджеты.
Важнейшим сегментом планирования является проектная работа и разработка соответствующих бизнес-планов. При составлении бизнес-планов по новым продуктам и новым направлениям деятельности экономическим отделом совместно с НИЦ и отделом маркетинга дается не только прогноз сегмента рынка, но и полный анализ конкурентов и организаций, достигших наилучших показателей в планируемом новом направлении деятельности. Кроме того, отдел маркетинга проводит периодические целевые исследования конкурентов по сегментам занимаемого рынка и по номенклатуре производимой продукции.
Компания имеет значительный резерв в повышении эффективности внутрифирменного планирования, учитывая недостаточно высокое качество и уровень проработки планово-регламентирующих документов для отдельных подразделений компании. Так, достаточно формальный вид имел годовой план работы НИЦ компании на 2000 г. В частности, план ограничивался простым перечнем мер с указанием исполнителей и общим сроком реализации (достаточно неопределенным по большинству позиций).
К позитивным моментам научно-технического, опытно-конструкторского планирования можно отнести ориентацию работ на выпуск новых (для компании) видов продукции (ускорители серной вулканизации, стабилизаторы и антиоксиданты), решение ряда проблем технологического обеспечения производства (усовершенствование схемы получения БКК, обследование работы ректификационной компании ДМС, аналитического контроля на стадиях выпаривания и гидролиза и др.).
План включает работы по патентному поиску по технологическим исследованиям (по профилю компании), позволяет сделать вывод о современной направленности поисковых исследований.
Программа стратегического развития ОАО «Волжский Оргсинтез» разработана на 2000-2008 гг. Ориентация программы в основном производственная и содержит комплекс технико-организационных мероприятий перспективного порядка, связанных с обновлением продукции, созданием новых производств, реконструкцией традиционных производств, обновлением инфраструктуры компании.
К достоинствам Программы можно отнести ее конкретность по срокам, затратам и исполнителям, что превращает ее гипотетический инструмент в инструмент реальной производственной политики руководства компании. Недостатки Программы – отсутствие общих финансово-экономических перспективных параметров развития компании.
Анализ Программы показывает, что в нее включен ряд позиций, пока недостаточно проработанных в ресурсном и технологическом плане. Отдельные положения только определены (как идея) – без указанных сроков, затрат, исполнителей и других технико-экономических параметров, что значительно снижает качественный уровень и реальную ориентацию данного важного документа.
Понятие конкурентоспособности: сущность, формы и методы оценки
Решающий фактор коммерческого успеха товара на конкурентном рынке – его конкурентоспособность КСП. Чтобы дать общее представление о роли КСП товара необходимо дать определение КСП. Понятие КСП, как и маркетинга, многозначно, поэтому универсального ее определения не существует. Например:
Под конкурентоспособностью понимается «… текущее положение предприятия на рынке (в первую очередь, занимаемая доля рынка - объем продаж в сопоставлении с общими по рынку и объемами продаж предприятий-конкурентов) и тенденции его изменения»[43].
Конкурентоспособность – это понятие, включающее в себя «… уровень экономических, технических и эксплуатационных параметров, которые позволяют выдержать соперничество (конкуренцию) с другими аналогичными фирмами/предприятиями/товарами на рынке»[44].
Конкурентоспособность можно определить как сравнительную характеристику товара, содержащую комплексную оценку всей совокупности производственных, коммерческих, организационных и экономических показателей относительно выявленных требований рынка или свойств другого товара.
Это некая относительная интегральная характеристика, отражающая отличия товара/фирмы от товара/фирмы-конкурента и, соответственно, определяющая его/её привлекательность в глазах потребителя. Но вся проблема заключается в правильном определении содержания этой характеристики.
Большинство новичков сосредотачивается на параметрах товара и затем для оценки конкурентоспособности сопоставляет между собой некоторые интегральные характеристики такой оценки для разных конкурирующих товаров. Нередко эта оценка просто-напросто охватывает показатели качества, и тогда (нередкий случай) оценка конкурентоспособности подменяется сравнительной оценкой качества конкурирующих аналогов. Практика же мирового рынка наглядно доказывает неверность такого подхода. Несмотря на тесную взаимосвязь между понятиями «конкурентоспособность» и «качество», «конкурентоспособность» и «технический уровень», они неравнозначны.
Понятие «конкурентоспособность» существенно шире понятий «качество» и « технический уровень» товара, хотя последние являются важнейшей составной частью КСП товара[45]. Кроме того, если качество продукта в каждый небольшой отрезок времени представляет собой определенную неизменяемую совокупность его свойств, то КСП товара может значительно меняться при его неизменных характеристиках в зависимости от изменения таких важнейших факторов, как условия реализации, спроса и предложения, поведение конкурентов.
КСП – это многоаспектное понятие, означающее соответствие товара условиям рынка, конкретным требованиям потребителей не только по своим качественным, экономическим, техническим, эстетическим, эргономическим характеристикам, но и по коммерческим и иным условиям его реализации (сроки поставки, цена, каналы сбыта, сервис, реклама).
КСП товара, т.е. возможность коммерчески выгодного его сбыта на конкурентном рынке, можно определить, только сравнивая товар с конкурентами-аналогами. Иными словами, КСП – понятие относительное, четко соотносящееся с конкретным (целевым) рынком и временем продажи. Поскольку каждый покупатель имеет индивидуальный критерий оценки удовлетворения собственных потребностей, КСП приобретает еще и индивидуальный оттенок.
Этим, однако, не исчерпывается понятие КСП. Число ее параметров зависит от вида и сложности продукта в техническом и эксплуатационном отношениях, а также от требуемой точности оценки, цели исследования и других внешних факторов.
Особое место в обеспечении и поддержании КСП товара занимает сервис – при его отсутствии товар теряет потребительскую ценность (или часть ее), становится неконкурентоспособным и отвергается потребителем. Напротив, хорошо отлаженный сервис, во-первых, помогает изготовителю формировать перспективный, достаточно стабильный рынок для своих товаров, во-вторых, повышает КСП товара, в-третьих, сам по себе является довольно прибыльным делом, в-четвертых, - это непременное условие высокого авторитета (имиджа) товаропроизводителя.
Изучение КСП товара должно вестись непрерывно и систематически, с использованием методики, приведенные на рисунке 4.1.[46] и с обязательным учетом фаз жизненного цикла товара, что позволит своевременно выявить момент начала снижения показателя КСП и принять соответствующие решения (снять продукт с производства, модернизировать его, перевести на другой сегмент рынка и т.п.). При этом исходят из того, что выпуск нового товара, в то время как прежний товар еще не исчерпал возможности поддержания своей КСП, обычно экономически нецелесообразен.
Рисунок 4.1. – Типовая схема оценки КСПВместе с тем любой товар после выхода на рынок начинает постепенно расходовать свой потенциал КСП. Этот процесс можно замедлить и даже временно задержать, но остановить его невозможно. Поэтому новый товар проектируется по графику, обеспечивающему ему выход на рынок к моменту значительной потери КСП прежним продуктом. Иначе говоря, конкурентоспособность новых товаров должна быть опережающей и достаточно долговременной.
Особое внимание следует уделять не столько улучшению технических параметров продукта, сколько снижению цены его потребления – как свидетельствует мировая практика, именно этот параметр зачастую становится решающим для коммерческого успеха нового товара, хотя он продается по существенно более высокой цене.
Необходимо уточнить, что полная цена потребления складывается из цены, уплаченной потребителем при приобретении товара, и издержек потребления. При этом учитываются выплачиваемые покупателем таможенные пошлины, налоги и сборы, а также выплаты по полученным кредитам.
Общая эмпирическая формула конкурентоспособности товара имеет вид:
КСП = К + Ц + О, (4.1.)
где КСП – конкурентоспособность;
К – качество;
Ц – цена;
О – обслуживание.
Конкурентоспособность товара – понятие относительное, ее можно прогнозировать в процессе разработки образцов, однако реальная конкурентоспособность оценивается только на рынке при сопоставлении как с характеристиками, так и с условиями продажи и сервиса аналогичных товаров-конкурентов.
При оценке конкурентоспособности экспортируемых отечественных товаров необходимо учитывать наличие таких факторов, как недостаточность технической и экономической информации, так как изготовителями в основном используются проспекты и каталоги конкурентов; длительность сроков и частые сбои при исполнении заказов; отсутствие достаточно развитых и приближенных к иностранным потребителям сетей сбыта товара; отсутствие объективной оценки уровня издержек потребления у конкурентов и т.д. Влияние этих факторов должно быть по возможности сведено к минимуму.
На рынке товаров конкурентоспособность рассматривается с точки зрения потребителя. При этом совершенно очевидно, что покупателя прежде всего интересует эффективность потребления, определяемая как отношение суммарного полезного эффекта, т.е. суммарных потребительских свойств товара к полным затратам на приобретение и использование товара. Следовательно, условия конкурентоспособности товара со стороны потребителя принимают вид:
Эп= P / С ® max, (4.2.)
где Эп – эффективность потребления;
P – суммарные потребительские свойства товара;
С – полные затраты на приобретение и использование товара.
В этих условиях изготовитель никогда не забывает о своих собственных интересах. Рентабельность его собственной деятельности – основное условие коммерческого успеха. Для обеспечения преимуществ поставляемого товара по уровню цены, качеству, условиям поставки и сервису производитель вынужден, как правило, расходовать дополнительные средства, выделяемые им из прибыли. Поэтому для производителя условия конкурентоспособности его товара в практическом плане оцениваются как отношение общей выручки от реализации к совокупным издержкам на изготовление, доставку товара и его сервисное обслуживание.
Подход к оценке товара с позиции производителя традиционен и выражает, прежде всего, стратегию продаж, достижения их безусловной рентабельности. При этом продавцы непременно должны использовать оценку конкурентоспособности их товаров с позиции покупателей, как один из важнейших ориентиров в своей работе в условиях рыночной конкуренции.
Поскольку КСП – это ключ к рыночному успеху товара и его производителя, а решение проблемы КСП – самая сложная задача в деятельности любой фирмы-товаропроизводителя, требующая согласованной целенаправленной работы всех подразделений при лидирующей роли службы маркетинга, особым направлением деятельности фирмы является разработка стратегических подходов к решению этой проблемы.
Особое внимание при разработке стратегий КСП уделяется созданию конкурентных преимуществ (желательно подавляющих). Эта часть стратегии КСП представлена на рисунке 4.2.[47], на котором приведена основная направленность создания ключевых конкурентных преимуществ и возможная динамика любого стратегического преимущества фирмы во времени в условиях конкурентной среды.
![]() |
Рисунок 4.2. – Базовые стратегии конкуренции и конкурентных преимуществ
Другое важное направление в стратегии КСП – достижение экономического превосходства над конкурентами посредством снижения издержек производства, сбыта, транспортирования продуктов, повышения эффективности проводимых НИОКР, рекламы, маркетинговой деятельности в целом. Отмечена тесная взаимосвязь между нерентабельностью и долей фирмы на рынке: рентабельность повышается по мере увеличения рыночной доли фирмы. Это означает, что конкурентные преимущества, предрешая успех фирмы и соответственно увеличение ее доли на рынке, в свою очередь усиливаются вследствие повышения рентабельности деятельности фирмы.
Существенное внимание уделяется фактору транспортных издержек, которые в совокупных издержках могут составить (в зависимости от вида товара) 10 – 50% и более. По дешевизне перевозок и перевозочной способности лидирует водный транспорт, а по частоте отправлений, надежности соблюдения графиков и географической доступности – автомобильный транспорт[48].
Сейчас мы можем наблюдать эволюцию подходов методов оценки КСП товара в российском бизнесе. Тенденция развития и изменения методов стала появляться совсем не давно.
Ведь в первые годы рыночных отношений наблюдалась, в буквальном смысле, паника из-за наплыва высококачественного и порой дешёвого товара из-за рубежа. Большинство предприятий не смогли адаптироваться к быстро меняющейся окружающей среде и, как результат, конкурентоспособность их товара молненостно упала. Методы оценки конкурентоспособности не исходили из принципа, что «клиент всегда прав» и «всё для потребителя». В результате чего «в главу угла» ставили товар и его характеристики, не придавая значение потребительской ценности. Оценка производилась путем сопоставления параметров анализируемой продукции с параметрами базы сравнения[49].
Сравнения проводились по группам технических и экономических параметров. При оценке использовались дифференциальные, комплексные и смешанные методы оценки.
Сначала появились дифференциальные методы оценки. Дифференциальный метод оценки основан на использовании единичных параметров взятого продукта и сопоставляемого с ним образца (или потребности). В результате определяют, достигнут ли уровень в целом, по каким параметрам он отстает, какие из них максимально отличаются от базовых.
Если за базу оценки принимается образец, расчет единичного показателя конкурентоспособности проводился по формуле:
(i = 1, 2, 3,...,n), (4.3.)
, (4.4.)где qi`, qi – единичный показатель конкурентоспособности по i-му техническому параметру;
Pi – величина i-го параметра для анализируемой продукции;
Piо – величина i-го параметра для изделия, принятого за образец.
Анализ результатов оценки: из формул (4.3.) и (4.4.) выбирают ту, в которой росту единичного показателя соответствуют повышение конкурентоспособности (например, для оценки производительности – формула (4.3.), а для удельного расхода топлива – формула (4.4.); если технические параметры продукции не имеют физической меры (например: комфортность, внешний вид, соответствие моде), для придания этим параметрам количественных характеристик необходимо использовать экспертные методы оценки в баллах.
При оценке КСП по нормативным параметрам единичный показатель может принимать только два значения: 1 и 0. Если анализируемый товар соответствует обязательным нормам и стандартам, этот показатель равен 1; в противном случае показатель приравнивается к нулю.
Однако дифференциальный метод дает возможность лишь констатировать факт КСП продукта или наличия у него недостатков по сравнению с товарами-аналогами и фактически не позволяет решать более сложные задачи.
Вслед за дифференциальным методом, появился комплексный метод оценки КСП продукта. Он основан на применении комплексных (групповых, обобщенных и интегральных) показателей или сопоставлении удельных полезных эффектов анализируемого продукта и образца.
Расчет группового показателя по нормативным параметрам производится по формуле:
, (4.5.)где Iнп – групповой показатель конкурентоспособности по нормативным параметрам;
qнi – единичный показатель конкурентоспособности по i-му нормативному параметру, рассчитывается по формуле (4.3.);
n - число нормативных параметров, подлежащих оценке.
Если хотя бы один из единичных показателей равен 0 (то есть продукция по какому-либо параметру не соответствует обязательной норме), то групповой показатель также равен 0, что говорит о неконкурентоспособности данного товара на рассматриваемом рынке.
Расчет группового показателя по техническим параметрам (кроме нормативных) производился по формуле:
, (4.6.)где Iтп – групповой показатель конкурентоспособности по техническим параметрам;
qi – единичный показатель конкурентоспособности по i-му техническому параметру, рассчитывается по формулам (4.3.), (4.4.);
ai – весомость i-го параметра в общем наборе из n технических параметров, характеризующих потребность;
n – число параметров, участвующих в оценке.
Полученный групповой показатель Iтп характеризовал степень соответствия данного товара существующей потребности по всему набору технических параметров, чем он выше, тем в целом полнее удовлетворяются запросы потребителей; основой для определения весомости каждого технического параметра в общем наборе являются экспертные оценки, основанные на результатах рыночных исследований, спросов потребителей, семинаров, выставок образцов; в случае трудностей, возникающих при проведении рыночных исследований, а также в целях упрощения расчетов и проведения ориентировочных оценок из технических параметров могла быть выбрана наиболее весомая группа или применен комплексный параметр – полезный эффект, который в дальнейшем участвует в сравнении (для повышения точности оценки необходимо учесть влияние на его величину эргономических, эстетических и экологических параметров).
Существовала целая система расчётов таких показателей, которые могли давать довольно-таки точную картину ситуации. После кризиса 1998 года появилась возможность проявить себя и занять рыночные ниши, которые до этого занимали иностранные фирмы и компании. Стала рассматриваться потребность покупателя, в этом случае расчет единичного показателя конкурентоспособности производится по формуле:
(i = 1, 2, 3,...,n), (4.7.)где qi – единичный параметрический показатель конкурентоспособности по i-му параметру;
Pi – величина i-го параметра для анализируемой продукции;
Piо – величина i-го параметра, при котором потребность удовлетворяется полностью;
n - количество параметров.
Групповой показатель по техническим параметрам характеризует степень соответствия данного товара существующей потребности n всему набору технических параметров.
Подсчет группового показателя по экономическим параметрам производится путем определения полных затрат потребителя, связанных с приобретением и потреблением товара.
Подсчет интегрального показателя КСП производится по формуле, включающей групповой показатель по нормативным параметрам, групповой показатель по техническим параметрам (исключая нормативный) и групповой показатель по экономическим параметрам.
Популярен и смешанный метод оценки КСП. Он основан на совместном применении единичных и комплексных (интегральных) показателей. При использовании смешанного метода часть единичных параметров объединяют в группы и для каждой группы определяют соответствующий комплексный (групповой) показатель. На основе получаемой совокупности единичных параметров и групп параметров оценивается КСП продукции дифференциальным методом.
Перечисленные выше методики до сих пор используются на предприятиях России, но всё большое и большое распространение получает параметрический анализ и рейтинговая оценка конкурепнтоспособности товара. Особенность данных методик в том, что они основываются на разных типах информационного обеспечения.
Параметрический анализ используется в том случае, когда заказчиком выступает отдельное предприятие и получение даже публичной сводной финансовой отчетности и данных Госкомстата затратно с точки зрения траты времени и ресурсов. В этом случае информационное обеспечение – это интервью с менеджерами предприятия-заказчика. Как правило, эти данные основываются на субъективных суждениях и неформальных источниках информации, поэтому анализ в большой степени носит качественный (не формализованный) характер.
Можно предложить следующую последовательность проведения анализа конкурентного положения предприятия, используя метод параметрического анализа[50]:
1. Выявление основных конкурентов предприятия.
2. Выявление основных сегментов рынка, на которых происходит конкуренция.
3. Выявление характера конкуренции на данном сегменте рынка (ценовая, конкуренция качества, конкуренция в сфере каналов сбыта пр.).
4. Определение общих тенденций конкурентного положения предприятия на этих сегментах рынка (динамика доли в рыночном объеме продаж).
5. Проведение параметрического анализа предприятия и конкурентов по следующим блокам:
- уровень цен;
- обеспеченность материально-техническими ресурсами;
- обеспеченность кадрами;
- ценовая политика;
- политика в области снабжения сырьем и материалами;
- политика в области сбыта (продажи в кредит, предоставление сопутствующих услуг, развитие сбытовой сети, рекламная кампания и пр.);
- административные ограничения;
- прочее.
На основе проведенного анализа менеджер предприятия может сделать определенные выводы о факторах, лежащих в основе тенденций рыночной доли предприятия, и внести соответствующие коррективы в управленческую политику (например, если параметрический анализ выявил отставание в области обеспеченности материально-техническими ресурсами, то целесообразно, возможно, производить инвестиции в модернизацию машин и оборудования; если предприятие теряет рынок вследствие завышенных цен - пересмотреть ценовую политику и пр.).
Таким образом, анализ изменения рыночной конъюнктуры и конкурентного положения предприятия:
а) Оценивает состояние рынка с точки зрения его емкости и эластичности и исследует сравнительную ценовую конъюнктуру по видам реализуемой продукции.
б) Оценивает состояние рынка с точки зрения его сегментации и монополизации. Сравнительный параметрический анализ предприятия и конкурентов вскрывает факторы, лежащие в основе динамики доли продаж предприятия в общем объеме сбыта на рынке.
Необходимо заметить, что параметрический анализ с меньшей точностью позволяет формулировать управленческие рекомендации на основе формализованной обработки данных. Это связано как с объективными причинами (неразвитость рынка в нашей стране и с силу этого громадная роль административных и личных факторов в положении предприятия на рынке), так и с субъективными причинами (отсутствие информации о важнейших параметрах регионального и отраслевого рынка, таких как отраслевой объем выпуска, эластичность потребительского спроса и т.п., а также отсутствие какой бы то ни было документальной информации о конкурентах). Все эти факторы затрудняют качественное проведение анализа конкурентного положения предприятия на рынке. Тем не менее, на основании бесед со специалистами предприятия представляется возможным нарисовать определенную картину конкурентного состояния предприятия на рынке.
Ниже предлагается один из возможных вариантов алгоритма параметрического анализа положения предприятия на рынке (сравнительный анализ предприятия и конкурентов):
Основные конкуренты предприятия: делается классификация конкурентов предприятия на местном, региональном, национальном и внешнем рынках.
Сегменты рынка, на которых происходит конкуренция: по каждому конкуренту должна приводиться номенклатура товаров (работ, услуг), по которым происходит конкуренция и предполагаемая емкость рынка по данным позициям.
Ценовая политика предприятия в свете конкуренции: сравниваются цены предприятия и конкурентов по аналогичным позициям, и производится анализ ценовых расхождений (если таковые есть). К ним может относиться, например, более низкая себестоимость производства (необходимо проанализировать по каким позициям себестоимости), сознательно завышенная рентабельность, более выгодное ЭГП и, как следствие, более низкие транспортные издержки и т.д.
Сравнение материально-технических условий предприятия и конкурентов: здесь производится сравнение предприятия и конкурентов в плане обеспеченности основными фондами (разная прогрессивность оборудования), трудовыми ресурсами (разная квалификация специалистов) и технологией.
Снабжение сырьем и материалами предприятия и конкурентов: анализируется положение предприятия и конкурентов в этой области с точки зрения каналов поставок – есть ли какие-либо фондовые поставки по твердым ценам, долгосрочные хозяйственные связи с поставщиками и пр. Два главных критерия – цены поставок и ритмичность (устойчивость) поставок.
Прочие факторы конкуренции: к прочим анализируемым факторам конкуренции относятся условия поставок и платежа (предоплата, аккредитив и др.; СИФ, ФОБ, ФОР и др.), наличие лицензий, квот и других административных ограничений, а также предоставление сопутствующих услуг заказчикам (например, по ремонту поставленного оборудования).
Таким образом, на основе проведенного анализа конкурентного положения предприятия определяются:
- Емкость рынка, на котором происходит конкуренция.
- Слабые и сильные места предприятия и конкурентов перед потребителем (по всем перечисленным параметрам).
В соответствие с этим определяются приоритеты конкурентной политики предприятия в соответствии с проведенным анализом. Например, приоритетным является рынок Х, где для борьбы с конкурентом У необходимо снижение цен поставок на 5 пунктов. Рынок Z не является приоритетным в силу достаточной емкости и невысокой рентабельности производства. Рынок N не является приоритетным в силу слабых позиций предприятия перед конкурентом М, поэтому необходимо сворачивать производство реализуемых на нем продуктов.
Параметрический анализ фокусируется строго на факторах рыночной эффективности (конкурентных преимуществах) предприятия без учета текущего уровня финансовой устойчивости. Поэтому данный анализ является в определенной степени односторонним и недостаточным, например, при оценке предприятия как потенциального объекта инвестиций.
Рейтинговая оценка используется в том случае, когда заказчиком выступает правительственная или международная организация. В этом случае информационное обеспечение, как правило, включает в себя: сведения, полученные путем интервьюирования менеджеров предприятия-заказчика (или предприятий-объектов исследования организации-заказчика); сводную финансовую отчетность предприятий-объектов сравнения; фрагментарную управленческую информацию в виде формализованных учетных таблиц, которые достаточно просты для заполнения. Как правило, эти таблицы в форме запроса рассылаются на предприятия объекты сравнения.
При составлении рейтинга предприятий также используется идеология параметрического анализа, однако нормативные выводы производятся уже на базе количественного сравнения, то есть на основе выбранных показателей (коэффициентов), «взвешенных» по их относительной важности, рассчитывается совокупная балльная оценка предприятий, являющаяся базой для определения итогового места предприятия в рейтинге.
Двумя основными условиями отбора показателей рейтинговой оценки являются:
1) Теоретическое – они должны отражать существенные аспекты хозяйственной деятельности и финансового состояния предприятия.
2) Практическое – их можно рассчитать на основе реально имеющейся информации о хозяйственной деятельности предприятия.
С теоретической точки зрения показатели можно разделить на объективные и субъективные.
Объективными являются показатели, характеризующие эффективность деятельности и финансовую стабильность предприятия (например, коэффициент текущей ликвидности или рентабельность продукции). Субъективные показатели не характеризуют эффективность деятельности предприятия, однако они могут влиять на эффективность работы с клиентом по внедрению системы финансового управления. К таким показателям относится, например, объем продаж, совокупные активы или число занятых, характеризующих, как правило, размер предприятия и уровень деловой активности. В силу экономии на масштабах производства, как правило, система финансового управления на больших предприятиях более эффективна, нежели на малых.
Другим примером является доля частного капитала в УК предприятия, так как существует предпосылка, что частные предприятия менее «зарегулированы» со стороны государства и, тем самым, более восприимчивы к внедрению системы финансового управления.
Важным моментом является определение «веса» того или иного показателя в итоговой оценке предприятия. При этом опять же используются два основных критерия:
- Теоретический: значение для оценки эффективности и финансового состояния предприятия. Так, при проведении рейтинговой оценки на предмет выбора предприятий в качестве объектов краткосрочного кредитного финансирования, «веса» показателей финансового состояния для расчета совокупного балла (рейтинга) выше, а «веса» показателей эффективности – ниже, нежели, соответственно, при оценке предприятий как объектов институционального или долгосрочного кредитного финансирования.
- Практический: достоверность показателя на основе имеющейся информации
Помимо абсолютного значения показателей на последнюю отчетную дату, существенным фактором является также динамика отдельных показателей при составлении рейтинговой оценки. Понятно, что перспективы финансового состояния двух предприятий с одинаковым уровнем ликвидности могут быть весьма различными, если для одного из них этот уровень – результат повышательной динамики, а для другого – понижательной. Поэтому фактор тренда отдельных факторов эффективности деятельности и финансовой стабильности должен учитываться в итоговой балльной оценке предприятия через введение поправочных коэффициентов.
Уже сейчас многие предприятия, начинают понимать насколько это важно и полезно использовать методы оценки конкурентоспособности. Это позволяет им дать чёткую картину ситуации внешней и внутренней среды фирмы, определяет сильные и слабые стороны товара и позволяет быстро и главное правильно адаптироваться к рынку.
Существуют случаи, при которых нельзя не использовать методы оценки КСП. Например:
- при осуществлении программ правительственной или международной организации, занимающейся проектом финансирования отрасли или региона (например, проекты ЕБРР или Мирового Банка).В этом случае необходимо выявить предприятия отрасли и/или региона, максимально эффективные с точки зрения отдачи на вложенные средства;
- при анализе конкурентного положения предприятия работниками планово-экономических служб или приглашенными консультантами;
- при проведении предприятием специального маркетингового исследования рынка для улучшения собственной сбытовой политики.
Понятие производственного потенциала в рыночной экономике: сущность, содержание, формы проявления
Жизнедеятельность соответствующей экономической системы во многом определяется наличием и использованием собственного потенциала.
Слово «потенциал» происходит от латинского «potentia» - прямой перевод которого – возможность, мощность. Само слово имеет двойное смысловое содержание: первое – это физическая характеристика – величина, характеризующая запас энергии тела, находящегося в данной точке поля; второе – в переносном смысле - степень мощности (скрытых возможностей) в каком-либо отношении[52].
В экономике имеет место понятие «производственного потенциала», который можно охарактеризовать следующим образом:
Производственный потенциал (ПП) – это система экономических отношений, возникающая между хозяйствующими субъектами на макро- и микроуровнях по поводу получения максимально возможного производственного результата, который может быть получен при наиболее эффективном использовании производственных ресурсов, при имеющемся уровне техники и технологий, передовых формах организации производства.
При этом, необходимо различать ПП национальной экономики как совокупность экономических отношений между хозяйствующими субъектами – самостоятельными бизнес единицами всех форм собственности, объединенных в рамках национальной экономики хозяйственными связями и общностью интереса к получению прибыли и сохранению своей экономической ниши на рынке собственной продукции.
Эти интересы весьма противоречивы, так как определяются внутренними потребностями самих субъектов хозяйствования и необходимостью выживания в условиях конкурентной среды.
Кроме того, необходимо отметить, что ПП как система экономических отношений, имеет еще и отраслевой и региональный срез. Противоречия между предприятиями внутри отрасли и между регионами возникают по поводу места на рынке своей продукции, возможности использования результатов НТП, ресурсов и т.д.
Производственный потенциал предприятия (ППП) – это отношения, которые возникают на микроуровне между работниками самого предприятия по поводу получения максимально возможного производственного результата, который может быть получен при наиболее эффективном использовании производственных ресурсов, при имеющемся уровне техники и технологий, передовых формах организации производства, и вне зависимости от состояния внешней среды.
Противоречивый характер этих отношений определяется внутренней средой самого предприятия, а ППП заключается в поиске и реализации внутренних источников саморазвития.

Подытоживая вышесказанное, определим место ППП в системе экономических отношений в целом (рис.5.1).
- Производственный потенциал национальной экономики
- Производственный потенциал региона
Рисунок 5.1. – Место производственного потенциала экономической микросистемы (предприятия) в макроэкономической системе
Уровень ПП отдельного хозяйствующего субъекта во многом зависит от состояния отрасли, в которой функционирует организация, и региона, в котором оно существует. В свою очередь, ПП региона в какой-то его части определяется ПП национальной экономики в целом. Отсюда следует, что предприятие, находящееся в состоянии динамического равновесия, обладающее «экономическим здоровьем», без особых трудностей переносит процессы адаптации. Однако, экономический кризис, сопровождающийся значительными темпами инфляции, высокими ставками налогов, кредитов и т.д., может привести к нарушению объемов продаж, сроков формирования «приходящих» и «уходящих» денежных потоков, что неизбежно повлечет за собой проблемы, связанные с формированием оборотного капитала, а затем (как следствие) снижение объемов производства, что, в свою очередь, приведет к неплатежам. Другими словами, ППП во многом определяется состоянием макроэкономической системы, экономической подсистемы, и как следствие – самой микросистемы.
К производственным ресурсам, характеризующим ППП, следует отнести (рисунок 5.2.):
- основные фонды предприятия;
- оборотные средства предприятия (материальные ресурсы);
- трудовые ресурсы предприятия.
Другими словами, ППП – это потенциальный объем производства продукции, потенциальные возможности основных средств, потенциальные возможности использования сырья и материалов, потенциальные возможности профессиональных кадров[53].
Основные производственные фонды предприятия – это стоимостное выражение средств труда.
Главным определяющим при знаком основных фондов выступает способ перенесения стоимости на продукт – постепенно: в течение ряда производственных циклов; частями: по мере износа. После реализации продукции начисленный износ накапливается в особом амортизационном фонде, который предназначается для новых капитальных вложений. Таким образом, единовременно авансированная стоимость в уставный капитал (фонд) в части основного капитала совершает постоянный кругооборот, переходя из денежной формы в натуральную, в товарную и снова в денежную.
-
![]() |
Влияние внешних факторов
![]() |
- Внутренняя среда предприятия
Рисунок 5.2. – Структура производственных ресурсов, характеризующих ППП
Материальные ресурсы предприятия – это предметы труда, подготовленные для запуска в производственный процесс. В их составе можно, в свою очередь, выделить следующие элементы: сырье, основные и вспомогательные материалы, топливо, горючее, покупные полуфабрикаты и комплектующие изделия, тара и тарные материалы, запасные части для текущего ремонта и т.д.
К трудовым ресурсам относится та часть населения, которая обладает необходимыми физическими данными, знаниями и навыками труда в соответствующей отрасли.
Характеризуя трудовые ресурсы предприятия, от которых во многом зависит конкретный результат производственной деятельности, предлагаем рассмотреть понятие «интеллектуального капитала».
Сущность интеллектуального капитала как экономической категории профессор Эскиндаров М.А. определяет как систему «…отношений различных экономических субъектов по поводу рационального, устойчивого его воспроизводства на основе прогрессивного развития науки в целях производства конкретных товаров, услуг, дохода, повышения жизненного уровня, решения проблемы неравномерности мирового и регионального развития на основе персонифицированных экономических интересов субъектов»[54].
Основные особенности интеллектуального капитала определяются следующими обстоятельствами:
- охватом всей совокупности факторов, формирующих способность человека к труду (рабочую силу);
- развитием и широким использованием наукоемких технологий во всех сферах человеческой деятельности (в производстве, распределении, обмене и потреблении);
- преобразованием общественного разделения труда мировой экономической системы, усилением неравномерности, в основе которой лежат технологические различия производства;
- материализацией в технологиях, а также в патентах, лицензиях, моделях, программах отраслевого, функционального, территориального характера, во всех фазах воспроизводства;
- качественным преобразованием рабочей силы – выходом на первый план умственных способностей к труду, требующих в свою очередь всеобщности и непрерывности образования;
- превращением обучения из процесса запоминания в процесс творческого осмысления;
- расширением границ и глубины познаний, приобретенных в процессе обучения, для общего и отраслевого образования;
- усилением контроля за потреблением, управлением демографическими процессами: сбалансированностью потребностей и возможностей общества, созданием стратегических резервов накопления, в том числе в знаниях, науке;
- опережающим развитием природоохранных, экологически безопасных технологий.
Интеллектуальный капитал постепенно обретает собственную оригинальную форму движения, системообразующим элементом которого является наука. В связи с этим имеет смысл вернуться к трактовке понятия интеллектуального капитала, которое все чаще встречается в современных экономических исследованиях. Во-первых, определение этой категории у различных авторов ограничивается упоминанием набора различных признаков – образование, квалификация и т.п.; во-вторых, ни одно определение не содержит критерия, отличающего общую способность к труду, в том числе предпринимателей, менеджеров, от качественно новой характеристики этой способности, то есть умения постоянно в течение всего воспроизводственного цикла создавать (а не только присваивать) избыточную стоимость (прибыль, доход); в-третьих, определение содержания, функций интеллектуального капитала основывается на отдельных качествах способности к труду.
Между тем способность к труду характеризуется устойчивым воспроизводством сис темы свойств. Причем этими свойствами обладают все работники любого конкретного труда в сфере материального производства, духовной и институциональной сферах, на любых должностях. Каждая эта способность имеет конкретные, индивидуальные качества, условия воспроизводства.
Интеллектуальный капитал, называемый нередко в современной литературе человеческим капиталом, связан с качественными свойствами рабочей силы. Он имеет сложную системную форму бытия, рождаясь на основе качественного преображения рабочей силы (работника, предпринимателя, банкира и др.), получающей реальную возможность создавать избыточную прибавочную стоимость, часть которой становится основой его дополнительной оплаты (дохода). Эта способность предопределяет новое качественное содержание творческих способностей работника. Но для этого недостаточно одного творческого потенциала. Чтобы реализовать его, рабочая сила должна обладать природными качествами (здоровье, психофизиологическая устойчивость и т.п.), соответствующим воспитанием, давшим индивиду возможность и желание упорно, дисциплинированно, трудиться, систематически работая над собой, профессиональной подготовкой, квалификационным уровнем, сочетающимся с неуклонной работой над его повышением, поиском новых решений, постоянным повышением культурного уровня, расширяющим горизонт знаний и мышления, чувством хозяина, ответственного и за свое дело, и за характер труда окружающих. В целом это формирует определенный творческий креативный менталитет, который является неотъемлемой движущей частью интеллектуального капитала
Базируясь на понятии «интеллектуального капитала» экономической системы, дадим понятие «интеллектуального капитала» экономической микросистемы (предприятия).
Интеллектуальный капитал предприятия – это вклад в производственную деятельность, осуществляемый человеком посредством характеристик, определяющих качество работника предприятия, материализуемое или проявляющееся в процессе труда, который создает товар, услуги в целях их воспроизводства на основе персонифицированного экономического интереса каждого субъекта и их совокупности.
Человек – это форма существования интеллектуального капитала, а интеллект – его сущность (рисунок 5.3.).
Первичными являются фундаментальные научные исследования, которые разрабатывают основополагающие идеи, открывают законы движения материи в любой ее форме — природной, организационной, экономической и др. Обычно – это теоретические разработки, находящие материальное воплощение в виде опубликованных монографий, статей, диссертаций, докладов (распространяемые по информационным сетям) и т.д.
![]() |
Рисунок 5.3. – Структура интеллектуального капитала
Это и разработки технологические, определяющие порядок воплощения той или иной идеи, необходимые для этого материалы, модели и др. Они представляют собой патенты, лицензии, ноу-хау, модели, программы, проекты и т.п. В современном производстве они находят воплощение в виде нематериальных факторов производства (нематериальных активов). За ними следуют разработки организационно-экономические в виде методик, инструкций, программ, справочников.
Вышеперечисленные виды интеллектуальной деятельности представляют собой определенные, готовые к потреблению, продаже, использованию товары, занимающие соответствующее место в процессе разработок, обучения, деятельности.
Таким образом, можно сказать, что в условиях НТР, постоянного изучения и внедрения в производственный процесс новых технологий, в результате повышения уровня программного обеспечения, в связи с постоянным ростом потребности в получении оперативной информации и по множеству других причин, необходимо обратить пристальное внимание на значимость интеллектуального капитала предприятия, наряду с основным и оборотным.
![]() |
Учитывая введенное понятие интеллектуального капитала, преобразуем структуру производственных ресурсов, характеризующих ППП (рисунок 5.4.). Заменим понятие «трудовых ресурсов» определением «интеллектуального капитала».
- Внутренняя среда предприятия![]() |
- Влияние внешних факторов
Рисунок 5.4. – Трансформированная структура производственных ресурсов, характеризующих ППП
Таким образом, уровень ПП любой экономической микросистемы во многом зависит от уровня знаний, способностей человека, желание совершенствования которых определяется качеством и эффективностью управления на внутренних и внешних рынках труда.
Или, как сказал один из основных основоположников теории фирмы Фрэнк Х. Найт, «…подбор людей, способных эффективно управлять делами, и обеспечение их ответственными должностями – это, возможно, наиболее важная из отдельных проблем экономической организации с точки зрения эффективности»[55].
Повышение эффективности использования ППП – это не обособленный процесс внутри самого предприятия, т.к. ПП любого хозяйствующего субъекта является частью ПП другого хозяйствующего субъекта.
Авторами предлагается схема взаимозависимости ПП хозяйствующих субъектов друг с другом (рисунок 5.5.).
Рассмотрим в качестве примера ПП хозяйствующего субъекта и проследим цепочку влияющих на него факторов, прямо или косвенно зависящих от производственного потенциала окружающих его микроэкономических систем региона, в котором взаимодействует данный хозяйствующий субъект, или других экономических подсистем.
Рассматривая первую составляющую ППП – его материальные ресурсы, следует отметить, что их качество, своевременность поставок зависят от уровня материальных ресурсов другого хозяйствующего субъекта (поставщика). Чем выше уровень материального обеспечения поставщика, тем выше будет уровень ПП рассматриваемого предприятия. В свою очередь, качество производимых материальных ресурсов поставщика будет напрямую зависеть от уровня состояния его ОФ и уровня интеллектуального капитала: более совершенное оборудование, передовая техника и новейшие технологии повышают эффективность использования ПП предприятия-поставщика; желание работников качественно выполнять свои обязанности, вызванное достаточным стимулированием труда, также позволит повысить уровень производства предприятия-поставщика.
Очевидно, что все составляющие ПП предприятия-поставщика, взаимодействуя друг с другом, кроме того, оказывают прямое воздействие на уровень ПП рассматриваемого предприятия.
Следующей составляющей ППП является состояние его основных фондов. В данном случае наблюдается такая же цепочка: качество строительных, ремонтных, посреднических работ и услуг также зависит от другого предприятия, а, следовательно, от уровня его ПП. Чем выше уровень интеллектуального капитала предприятия, осуществляющего обслуживание рассматриваемого хозяйствующего субъекта, вызванное достаточным стимулированием его работников, тем качественнее будут произведены работы по строительству, ремонту, модернизации, зданий, сооружений, замене техники, оборудования и прочих основных фондов. Кроме того, от состояния материальных ресурсов организации, предоставляющей свои услуги, будет зависеть качество и надежность рассматриваемой составляющей (основного капитала).
![]() |
- производственный потенциал предприятия
Рисунок 5.5. – Взаимозависимость ПП хозяйствующих субъектов друг с другом
Уровень третьей составляющей ППП – интеллектуального капитала, также зависит от уровня ПП другого хозяйствующего субъекта, что выражается о получении работниками рассматриваемого предприятия дополнительных знаний, образования, особых навыков и т.д. Очевидно, что качество обучения будет зависеть от состояния интеллектуального капитала обучающего предприятия: от уровня их заработка, поощрений, премий и прочих условий. Кроме того, на качество обучения будет влиять уровень технической оснащенности обучающего предприятия: от степени компьютеризации, внедрения новейших программ в области обучения и т.д.
Следует отметить, что каждое предприятие, несомненно, должно постоянно оценивать возможности своего производственного потенциала, но, в свою очередь, не забывать о том, что уровень его ПП во многом зависит от уровня ПП тех предприятий, с которыми оно связано производственно-хозяйственными отношениями. И прежде чем начинать сотрудничать с тем или иным хозяйствующим субъектов нужно обращать особое внимание на уровень его производственного потенциала, конечно, если финансовые ресурсы позволяют делать такой выбор.
Разработка этапов внедрения системы качества на промышленных предприятиях
Внедрение системы качества выступает как процесс изменений на предприятии. Перед тем как представить этапы внедрения системы качества особое внимание следует уделить причинам сопротивления переменам и рассмотреть существующие программы изменений. Это поможет при реализации стратегии внедрения системы избежать возникающих трудностей, связанных с происходящими организационными, техническими, кадровыми и другими изменениями.
Сопротивление переменам может иметь разную силу и интенсивность. Оно проявляется как в форме пассивного, более или менее скрытого неприятия перемен, выражающегося в виде абсентеизма, снижения производительности или желания перейти на другую работу, так и в форме активного, открытого выступления против перестройки (например, в виде забастовки, явного уклонения от внедрения новшеств). Причина сопротивления может крыться в личных и структурных барьерах[33].
К личным барьерам относятся, например:
- страх перед неизвестным, когда предпочтение отдается привычному;
- потребность в гарантиях;
- отрицание необходимости перемен и опасение явных потерь (например, сохранение той же заработной платы при увеличении затрат труда);
- угроза сложившимся на старом рабочем месте социальным отношениям;
- невовлеченность в преобразования затрагиваемых переменами лиц;
- недостаток ресурсов и времени из-за оперативной работы, что тормозит перемены, которые не могут быть реализованы «между делом».
В качестве барьеров на уровне организации выступают:
- инертность сложных организационных структур, трудность переориентации мышления из-за сложившихся социальных норм;
- взаимозависимость подсистем, ведущая к тому, что одно «несинхронизированное» изменение тормозит реализацию всего проекта;
- сопротивление передаче привилегий определенным группам и возможным изменениям в сложившемся «балансе власти»;
- сопротивление трансформационным процессам, навязанным консультантами извне («из принципа»).
На основании этого должны строится программы изменений. То есть затрагиваемые переменами лица сами должны быть заинтересованы в том, чтобы изменить свою ориентацию по отношению к старым моделям и выработать новую систему обязанностей.
Содержание этих элементов американский специалист Дж. Коттер определяет следующим образом[34]:
- аргументация необходимости изменений;
- создание коалиции – определение команды влиятельных руководителей, которые могут успешно возглавить процесс перемен;
- разработка перспективы, которая при организационных изменениях выполняет руководящую и направляющую функции и реализуется с помощью соответствующей стратегии;
- содействие реализации перспективы – разъяснение содержания перспективы и стратегии путем проведения всеохватывающей информационной и коммуникационной политики;
- делегирование полномочий по достижению перспективы нижестоящим звеньям – ликвидация барьеров, мешающих переменам, изменение устаревших структур и систем, стимулирование незаурядных идей, создание благоприятных условий для экспериментов, творчества и инноваций;
- планирование и достижение успеха в краткосрочном плане – быстрый успех, в достижении которого по возможности участвует весь персонал, служит базой для долгосрочной мотивации;
- консолидация первых достижений и принятие новых проектов изменений – растущее одобрение перемен коллективом последовательно используется для закрепления адекватных методов, структур и т.п. и концентрации усилий на внедрении новых процессов;
- институционализация нового образа действия – увязка отношений между новыми моделями поведения и организационным успехом, создание систем оплаты труда и стимулирования, способствующих утверждению новых моделей поведения.
Американские исследователи Р. Кантер, Б. Стайн и Т. Джик предлагают другой вариант программы организационных изменений, который включает следующие элементы[35]:
- обеспечение поддержки предлагаемых изменений – вовлечение ключевых и заинтересованных групп, а также отдельных лиц в поиск оптимальных решений. В процесс включаются высшие руководящие звенья, неформальные лидеры, эксперты и т.д.;
- определение общей перспективы – отображение желательного направления изменений без подробного анализа деталей.
Перспектива здесь служит ориентиром для постановки конкретных целей, разработки стратегии и выбора мероприятий и должна носить мотивационный характер, т.е. убедительно показывать необходимость изменений и стимулировать позитивные ожидания коллектива;
- установление областей индивидуальной ответственности в процессе изменений – закрепление за каждым членом организации его роли и задач, вытекающих из процесса преобразования, для избежания неопределенности и конфликтов;
- обеспечение информацией и обучение персонала – своевременное ознакомление по тщательно разработанной программе членов организации с новыми обязанностями, процедурами, техникой и моделями поведения;
- постоянная проверка ключевых параметров организации – успешно функционирующие предприятия стремятся к достижению максимальной согласованности стратегии, распределения ресурсов, организационной структуры, оперативной деятельности, систем менеджмента, методов управления персоналом, условий труда и организационной культуры. Все эти параметры нуждаются в регулярной оценке, так как необходимо застраховаться от возникновения любого несоответствия их в результате изменения отдельных взаимозависимых элементов;
- обеспечение участия в процессе изменений – сопротивления изменениям можно избежать по крайней мере частично, если привлечь к участию в них всех затрагиваемых лиц. Если привлечь всех членов организации к принятию принципиально важных решений не удается, можно ограничиться «локальным» сотрудничеством по конкретным вопросам в рамках внедрения новшеств. Это тем более важно, что идеи и рациональные предложения опытных сотрудников на местах часто приводят к лучшим результатам, чем общие, стандартные решения «сверху», не учитывающие в полной мере детали каждой отдельной ситуации;
- гарантия стимулов – параллельно с изменениями должны обеспечиваться и стимулы, которые содействуют внедрению и институциональному закреплению изменений в структуре организации.
Для любой организации внедрение системы качества является масштабным и достаточно сложным проектом, охватывающим всех ее работников – от первого руководителя до обслуживающего персонала.
Приступая к внедрению системы качества, руководители и специалисты организации должны представлять себе сложность и трудоемкость предстоящих работ. В связи с этим, на основе выше представленных суждениях о стратегиях управления переменами, разработаны основные этапы внедрения системы качества на предприятии, которые позволят руководителям предприятий более четко и организованно осуществить работы по внедрению системы качества.
Этап 1. Организация работ по созданию системы качества:
1.1. Принятие решения о внедрении стандартов;
1.2. Выбор консалтинговой фирмы;
1.3. Определение вида системы качества и стратегии внедрения стандартов;
1.4. Создание руководящих и рабочих органов по разработке и внедрению системы качества;
1.5. Базовое обучение руководителей и ведущих специалистов;
1.6. Разработка политики и целей в области качества.
Этап 2. Построение бизнес-модели предприятия:
2.1. Выявление производственных и непроизводственных бизнес-процессов;
2.2. Ликвидация основных несоответствий реального хода процессов;
2.3. Установление основных видов деятельности в проектируемой системе;
2.4. Формирование на основе действующих бизнес-процессов оптимальной бизнес-модели соответствующей внедряемой системе качества;
2.5. Выявление операций, полученных бизнес-процессов;
2.6. Распределение ответственности, полномочий и ресурсов по каждой операции и бизнес-процесса в целом;
2.7. Освоение руководителями всех уровней, работниками (в пределах своих полномочий) принципов и правил системного менеджмента качества.
Этап 3. Документирование внедряемой системы качества:
3.1. Определение состава, структуры и правил кодирования документации системы качества;
3.2. Составление календарного графика разработки документов системы качества;
3.3. Формирование и обучение группы разработчиков документов;
3.4. Организация консультирования и контроля за разработкой документов.
Этап 4. Внедрение системы качества:
4.1. Создание в организации службы внутреннего аудита;
4.2. Разработка процедуры внутреннего аудита;
4.3. Введение в действие документов системы качества;
4.4. Проверка соблюдения требований документов;
4.5. Анализ внедрения системы качества и необходимое корректирование;
4.6. Составление акта о внедрении системы качества.
Этап 5. Подготовка к сертификации системы качества.
Рассмотрим данные этапы более подробно.
Этап 1. Организация работ по созданию системы качества.
Необходимость применения стандартов ИСО может мотивироваться либо внешними заинтересованными сторонами, либо руководством предприятия.
Говоря о втором способе, следует отметить, что система качества на предприятии начинается с «волеизъявления» руководства. Желание внедрять качественную систему контроля не может исходить «из низов», оно может возникнуть только «наверху». Руководство должно, в первую очередь, осознать необходимость такого шага и очень сильно этого захотеть.
Однако следует помнить, что самостоятельные попытки внедрения системы качества могут привести к значительным трудностям, вызванным не знанием руководства предприятия всех особенностей данной процедуры. Вот почему первостепенной задачей предприятия на первом этапе внедрения является выбор вида системы и стратегии внедрения стандартов. Например, внедрение стандарта ИСО 9001, отказавшись от опережающего использования стандарта ИСО 9004-1, может привести к значительным корректировкам и переделкам системы качества в процессе ее разработки и внедрения, а также к трудностям, обусловленным необходимостью преодоления социально-психологических барьеров.
Кроме тог, предприятие должно воспользоваться услугами консультационных фирм, так как роль консультантов при внедрении системы качества выражается в систематическом разъяснении особенностей стандартов ИСО, экспертизе разработанных документов, а также обучении и поддержке разработчиков.
Далее на первом этапе необходимо создать руководящие и рабочие органы, подготовить программу необходимых работ и организованно изучить стандарты ИСО. На данном этапе необходимо учитывать следующие психологические моменты.
Во-первых, достаточно частые заседания созданных руководящих органов, необходимые на данном этапе, и обязательное протоколирование результатов, может вызвать ощущение излишней документированности и формальности проводимых заседаний. Во-вторых, изучение стандартов ИСО, как правило, воспринимается как формальный акт. Для того, чтобы этого избежать автором предлагается проведение внеочередной аттестации руководителей и специалистов по основным положениям стандартов.
При разработке политики и целей в области качества особое внимание следует уделить доведению основных ее положений до всех работников предприятия. Кроме того, на основе политики в области качества руководителями всех подразделений рекомендуется разработка перечня целей и задач подразделения, что значительно облегчило бы ее доведение до персонала предприятия.
Этап 2. Построение бизнес-модели предприятия.
В управлении качеством существуют параллельно протекающие бизнес-процессы отличающиеся объектами контроля и управления, целевой ориентацией функциональной направленностью и обрабатываемыми данными, но имеющие принципиально одинаковые алгоритмы peaлизации. Данные процессы можно разделить на следующие группы согласно классам объектов организации: продукция (услуга); ресурсы; технология; организация; кадры; условия труда; социально-бытовые условия; управленческие условия.
Эти процессы управления можно наблюдать практически в любой организации различных отраслей промышленности и типов производств Они могут выполняться параллельно в разрезе:
- критериев управления (например темпов снижения затрат ресурсов на переделку продукции не соответствующей установленным требованиям; темпов снижения числа случаев возникновения несоответствии технологических элементов производства; темпов увеличения степени удовлетворенности потребителей и др.);
- этапов «петли качества» (от маркетинга до утилизации продукции после ее использования);
- уровней управления, структурных подразделений, функциональных служб и должностных позиций;
- функциональных задач (финансово-экономических, производственно-технологических, социально правовых и т.д.);
- временных особенностей решаемых задач (от оперативных до стратегических).
После выявления всех существующих процессов на предприятии целесообразно провести их оценку с точки зрения эффективности, последовательности выполнения и налаженности. В данном случае такого рода диагностика может быть проведена специалистами со стороны (консультантами).
Все процессы должны быть разложены на «элементарные частицы»: необходимо нарисовать схему и посмотреть, как происходят связи – кто, с кем и как связан. Вполне возможно обнаружить связи, которые никуда не ведут. И в случае прохождения по этой цепочке некоего события (например, конфликта – нестандартной ситуации с заказчиком либо на производстве, которую нужно разрешить) оно просто «зависает» - никто им не занимается. Отсюда истоки и «матрицы ответственности» - все процессы должны быть замкнуты на кого-то.
После выявления иррациональных бизнес-процессов необходимо составить оптимальную бизнес-модель соответствующую внедряемой системе качества.
Внешние входы и выходы, обеспечивая связь с внешней средой, определяют границы основных бизнес-процессов (бизнес-процессы первого порядка). Вместе с этим внутри организации должны существовать потоки работ, обеспечивающие основные бизнес-процессы (бизнес-процессы второго, третьего и т.д. порядка) или, другими словами, операции. Они также имеют свои границы, свои входы и выходы.
Таким образом, выявление операций полученной бизнес-модели – это не что иное, как детальное составление порядка действий каждого процесса, который должен быть описан в Политике предприятия в области качества.
При разработке бизнес-процессов и операций определяются ответственные за каждую из данных процессов и процедур. Далее каждый работник предприятия уже не поверхностно знакомится со стандартами, разработанной Политиков системы качества и прочими регламентирующими документами, а непосредственно с информацией, относящейся в его сфере деятельности.
Руководству и сотрудникам компании необходимо осознать, что генеральный уполномоченный и группа аудиторов имеют всю полноту власти для управления системой качества. В советские времена такие функции были у ОТК. Никто не имеет права остановить действия группы аудиторов и генерального уполномоченного. Если накладывается табу (в основном это приводит к убыткам в компании, потере заказа), никто не имеет права его снять. Никакими инструкциями, никакими должностными распоряжениями. Если нарушается закон, то это приводит к повторяемости этого явления – поскольку нарушать законы значительно легче, чем их выполнять.
Этап 3. Документирование внедряемой системы качества.
При внедрении системы качества особое внимание должно быть уделено документированию системы менеджмента качества, которое обеспечивает воспроизводимость работ в системе, их проверку и доказательность. Входными данными для документирования являются требования и рекомендации стандартов ИСО, а также национальных законодательных нормативных и методических документов в области качества. Выходными же данными документирования являются разработанные и утвержденные полномочными должностными лицами организаций внутренние документы системы менеджмента качества: Руководство по качеству, процедуры, инструкции, методики, программы. На рисунке 3.5. приведена структура документации системы менеджмента качества[36].
![]() |
Рисунок 3.5. – Структура документации системы менеджмента качества
В состав документации системы менеджмента качества, наряду с внутренней документацией, включена внешняя документация, необходимость управления которой устанавливает стандарт ИСО. Документы на продукцию могут быть как внешнего, так и внутреннего происхождения.
В состав внутренней документации включены документы, определяющие и дополняющие политику в области качества (миссия и базисные ценности организации, цели и философия в области качества). Эти документы отражают сегодняшнее и перспективное видение организации в рыночной экономике с позиций системного менеджмента качества.
В состав документации системы менеджмента качества включены:
- положения о подразделениях и должностные инструкции, устанавливающие функции, обязанности, полномочия, ответственность и права области качества;
- зарегистрированные данные о качестве (записи о качестве), которые слу жат объективными доказательствами деятельности, осуществленной в рамках системы менеджмента качества, и отражают достигнутые при этом результаты.
Особенностью предложенной структуры документации системы качества является необходимость разработки внутренней документации предприятия, основанной на анализе внешней документации и документов на продукцию, прежде всего, с учетом согласования с миссией организации, ее философией и базисными ценностями. В каждом разрабатываемом документе должна быть отражена первичная цель, преследуемая при внедрении системы качества.
Построение, изложение и оформление документов системы менеджмента качества становятся образцами для создания документов в других сферах деятельности организации. В этом плане многие документы системы менеджмента качества (прежде всего те, что устанавливают процедуры управления документацией, проведения аудита и др.) приобретают общесистемный характер. Следовательно, на документах системы менеджмента качества может и должно базироваться построение всего менеджмента организации.
Документация системы качества должна формулироваться простым и понятным языком, содержать больше иллюстраций, быть конкретнее. Служба качества должна уделять внимание не только разработчикам документации, но и тем работникам предприятия, которым по этим документам предстоит работать. Это обеспечит им сопричастность к разработке документации.
Такой подход позволит быстро преодолеть психологический барьер «непричастности» персонала и упростит процедуру внедрения системы качества.
Как заставить работников предприятия изучать разработанную документацию по системе качества? Можно применить такой прием, как проведение деловых игр и разъяснение руководителям подразделений содержания документов на совещаниях.
Этап 4. Внедрение системы качества.
Прежде всего, необходимо создать в организации службу внутреннего аудита и разработать процедуры внутреннего аудита.
Аудиторы должны быть независимы от руководителя проверяемого подразделения, обладать достаточными знаниями в области качества, пройти специальный курс обучения, знать предприятие, процессы и продукцию, а также быть объективными и независимыми в принятии решений по аудитам.
Внутренние проверки при внедрении системы качества, а также все последующие проверки должны базироваться на следующих принципах.
Принцип регулярности. Внутренние проверки должны проводиться по годовому плану, составленному службой качества и утвержденному директором по качеству. Планом должно быть предусмотрено, что на предприятии проводятся регулярные внутренние проверки, которым подвергаются все подразделения. Кроме того, по решению руководства предприятия может быть проведена дополнительная внутренняя проверка, не предусмотренная планом.
Принцип открытости устанавливает: каждое подразделение в начале года получает утвержденный план внутренней проверки с указанием месяца проведения проверки в подразделении.
Принцип независимости обеспечивается тем, что во всех подразделениях внутренние проверки проводят специалисты службы качества, которые не подчинены руководителям проверяемых подразделений. Иногда в группу проверяющих могут включаться прошедшие соответствующую подготовку специалисты подразделений, которые функционально связаны с проверяемым подразделением, не несут непосредственной ответственности за выполнение проверяемых работ, но «страдают» от встречающихся несоответствий.
Принцип единообразия состоит в том, что внутренние проверки всех подразделений проводятся в соответствии с регламентирующим документом, в котором определен порядок проведения проверки, а также обязанности и права как специалистов, проводящих проверку, так и персонала проверяемого подразделения.
Принцип системности заключается в том, что, с одной стороны, внутренняя проверка осуществляется последовательно во всех подразделениях предприятия, а с другой, - деятельность каждого подразделения оценивается в двух аспектах.
Во-первых, рассматривается выполне ние функций, возложенных на данное подразделение утвержденной схемой распределения ответственности и полномочий в системе качества предприятия. Во-вторых, каждое подразделение рассматривается, как отдельная подсистема, в которой с определенной спецификой реализуются те же элементы системы качества, что и на предприятии в целом.
Принцип документированности требует оформления документов по результатам каждой внутренней проверки.
Основные этапы проведения внутренней проверки системы качества включают:
- подготовку проверки (план проверки, подбор команды аудиторов, рабочая документация);
- проведение проверки (проверка соответствия документации и действующей системы качества требованиям ИСО 9000);
- документы проверки (подготовка отчета аудиторов о результатах проверки,
Структуру внутренней проверки при внедрении системы качества, а также последующих внутренних проверок можно представить в виде таблицы 3.6[37].
Таблица 3.6. – Структура процедуры внутреннего аудита системы качества
|
Классы объектов организации |
Уровень материального потока |
Уровень организационного управления |
|
Продукция (услуга) |
Диагностика системы качества по фактам выявления дефектов продукции. Формирование решений по устранению дефектов. Формирование корректирующих и предупреждающих действий. |
Оценка стабильности процессов качествообразования. |
|
Ресурсы |
Диагностика системы качества по фактам несоответствия качественных характеристик ресурсов. Формирование решений по устранению несоответствий. Формирование корректирующих и предупреждающих действий. |
Оценка стабильности обеспечения организации требуемыми ресурсами и поддержания их в соответствующем состоянии. |
|
Технология |
Диагностика системы качества по фактам несоответствия качественных характеристик технологических элементов. Формирование решений по устранению несоответствий. Формирование корректирующих и предупреждающих действий. |
Оценка стабильности поддержания технологических элементов в надлежащем состоянии. |
|
Диагностика системы качества по фактам несоблюдения технологических норм и режимов. Формирование решений по устранению несоответствий. Формирование корректирующих и предупреждающих действий. |
Оценка стабильности соблюдения технологических норм и режимов. |
|
|
Организация |
Диагностика системы качества по фактам несоответствия организационных регламентов. Формирование решений по устранению несоответствий. Формирование корректирующих и предупреждающих действий. |
Оценка стабильности поддержания оргрегламентов обеспечения качества в надлежащем состоянии. |
|
Диагностика системы качества по фактам несоблюдения организационных регламентов. Формирование решений по устранению несоответствий. Формирование корректирующих и предупреждающих действий. |
Оценка стабильности соблюдения оргрегламентов обеспечении качества. |
|
|
Кадры |
Диагностика системы качества по фактам несоответствия квалификации специалистов. Формирование решений по устранению несоответствий. Формирование корректирующих и предупреждающих действий. |
Оценка стабильности поддержания квалификации специалистов на должном уровне. |
|
Условия труда |
Диагностика системы качества по фактам несоответствий условий труда. Формирование решений по устранению несоответствий. Формирование корректирующих и предупреждающих действий. |
Оценка стабильности обеспечения надлежащих условий труда. |
|
Социально бытовые условия |
Диагностика системы качества по фактам несоответствия социально бытовых условий. Формирование решений по устранению несоответствий. Формирование корректирующих и предупреждающих действий. |
Оценка стабильности обеспечения надлежащих социально бытовых условий. |
Продолжение таблицы 3.6.
|
Управленческие решения |
Диагностика системы качества по фактам невыполнения принятых решений по обеспечению (улучшению) качества Формирование решений по устранению несоответствий. Формирование корректирующих и предупреждающих действий. |
Оценка стабильности выполнения решении по обеспечению (улучшению) качества. |
|
Диагностика системы качества по фактам низкой эффективности реализованных решений по обеспечению (улучшению) качества. Формирование решений по устранению несоответствий. Формирование корректирующих и предупреждающих действий. |
Оценка стабильности принятия эффективных решении по обеспечению (улучшению) качества. |
Этап 5. Подготовка к сертификации системы качества.
Применение предприятиями и в России сертификации продукции в условиях рыночных отношений дает следующие преимущества:
- обеспечивает доверие внутренних и зарубежных потребителей к качеству продукции;
- облегчает и упрощает выбор необходимой продукции потребителям;
- обеспечивает потребителю получение объективной информации о качестве продукции;
- способствует более длительному успеху и защите в конкуренции с изготовителями несертифицированной продукции;
- уменьшает импорт в страну аналогичной продукции;
- предотвращает поступление в страну импортной продукции не соответствующего уровня качества;
- способствует повышению организационно-технического уровня производства;
- стимулирует ускорение НТП.
Сертификация основывается на следующих основных принципах:
- государственности – обеспечении государственных интересов при оценке безопасности продукции;
- добровольности – использование сертификации изготовителем в целях рекламы;
- объективности – независимость от изготовителя и потребителя;
- достоверности – использование профессиональной испытательной базы;
- исключение разделения товаров и услуг на отечественные и зарубежные;
- демократичности – предоставление изготовителю самому выбрать орган по сертификации;
- установление ответственности участников сертификации;
- многофункциональности использования результатов сертификации (изготовителем, торговлей, потребителем, таможней и т.д.);
- открытости полученной информации;
- разнообразия форм и методов проведения сертификации с учетом спецификации данной продукции.
Сертификации могут быть обязательными и добровольными.
Обязательная сертификация имеет место в тех случаях, когда:
1. Стандарты в законодательном порядке становятся обязательными к применению и требуют подтверждения уполномоченных органов.
2. При проведении государственной политики в области повышения конкурентоспособности продукции и т.д.
3. Присоединение страны к международной системе сертификации.
4. Принятие законов о безопасности конкретных видов продукции, с указанием конкретных ссылок на определенный стандарт.
В России формирования системы обязательной сертификации регулируется Законами РФ «О защите прав потребителей» и «О сертификации продукции и услуг».
Организация и проведение сертификации включает в себя 2 стадии:
1. Обеспечение и реализация условий для создания и производства продукции, подлежащей сертификации (речь идет о производстве продукции, которая должна быть сертифицирована);
2. Организация и проведение сертификации продукции как подтверждение ее соответствия требованиям нормативно-технической документации (подтверждение соответствия нормативному документу или иному виду требований).
Вышеуказанные стадии органически взаимосвязаны и составляют единую систему проведения и обеспечения сертификации.
На основании изложенного представляется возможным сделать следующие выводы[38]:
Руководителям всех уровней необходимо освоить принципы и правила системного менеджмента качества.
Для изменения отношения к менеджменту качества необходимо усилить горизонтальные связи, создавать атмосферу доверия.
Участие в работах по качеству всего персонала предприятия требует большей информированности каждого работника. Однако выполнение этого требования может вступить в противоречие с интересами отдельных руководителей и групп. Большие психологические трудности связаны с необходимостью регистрации и фиксации любых отклонений от требований к деятельности персонала и качеству продукции. Возникающий при этом психологический дискомфорт может быть преодолен путем демонстрации практической пользы документов, разработанных в рамках системы качества.
Постепенное внедрение серьезных изменений, осуществляемое в противовес традиционным структурным преобразованиям, также является одним из факторов внедрения системы качества. Тем не менее, такие структурные изменения, как правило, оцениваются более высоко, чем постепенные улучшения путем кропотливой работы в области качества.
При внедрении системы качества на предприятии наибольшее внимание следует уделять тем руководителям и специалистам, которые поддерживают внедрение системы, а не «бороться» с теми руководителями, которые еще не восприняли должным образом менеджмент качества.
Социально-психологические аспекты разработки и внедрения системы качества не должны рассматриваться как второстепенные. Внимание к ним должно быть не меньшим, чем к вопросам организации работ, документирования системы, обучения персонала и др.
Мощным резервом повышения производительности и качества является положительная мотивация труда. Рабочие должны чувствовать себя полноправными членами коллектива, быть уверенными в том, что руководство относится к ним справедливо, учитывает их нужды и думает об их благополучии.
Процесс внедрения системы качества включает в себя следующие стимулы:
Экономические: зависимость величины заработной платы от качества выполняемых работ соответствующего стандартам (для руководителей – качество управления; для работников – качество выпускаемой продукции); увеличение уровня экономического потенциала и финансовой устойчивости предприятия в зависимости от качества выполняемых работ работником.
Социальные: возможность самореализации личности, степень участия работников в самоуправлении, социальный статус работника на предприятии.
Морально-этические: деловой имидж фирмы, непосредственно зависящий от внедрения стандартов качества, и престижность работы в ней.
При внедрении системы качества используются следующие основные, относительно самостоятельные методы мотивации:
Методы подкрепления. Методы подкрепления охватывают различные системы индивидуального и группового поощрения и направлены на стимулирование результатов труда, выявляемых в результате внутренних проверок качества. В рамках создания мотивации путем внедрения системы качества методы подкрепления конкретизируются в соответствующих формах материального и морального стимулирования.
Предоставление самостоятельности. Данный метод представляется возможным, так как внедрение системы качества предполагает описание всей последовательности производственных и непроизводственных бизнес-процессов и процедур, что в свою очередь исключает возможность неверного принятия решения в той или иной ситуации. Предоставление непосредственным исполнителям самостоятельности в принятии оперативных решений (в рамках выполняемой работы) существенно влияет на мотивацию и результативность. Исключение постоянного (особенно недостаточно компетентного) вмешательства, необходимости согласований и ожиданий разрешений – все это повышает заинтересованность и инициативность работников. Для повышения производительности труда работников, предоставление самостоятельности должно также распространяться и на производственные коллективы. В таких условиях возрастает творческая активность широкого круга работников, что способствует возникновению новых идей и инициативных предложений.
Вовлечение работников в процесс принятия решений. При реальной поддержке высшего руководства применение перечисленных методов мотивации показывает на деле, что процесс внедрения системы качества как мотивирующего фактора, является значимым для предприятия.
Тем самым создается особый климат, который делает новаторство на предприятии естественным процессом.
Методы вовлечения работников в процесс принятия решений (так называемые партисипативные методы) обеспечивают:
- совместное выявление проблем;
- участие при решении проблем;
- совместное принятие решений;
- улучшение коммуникации и сотрудничества между специалистами, руководителями и подразделениями, в том числе между производственными подразделениями и аппаратом управления.
Особую роль в системе мотивации работников играют «кружки качества». Кружок качества представляет собой небольшую группу (не менее 3 и не более 12 человек) самостоятельно работающую (но не работающую в рамках единой административной системы предприятия), выполняющую работу по контролю качества (работу, касающуюся качества, безопасности, стоимости и т.д.) на одном рабочем месте (руководитель и подчиненный составляют одно целое).
Кружки качества:
- вносят вклад в существенное улучшение и развитие работы предприятия;
- позволяют улучшить моральный климат среди членов рабочей группы;
- создают условия для повседневного роста, развития творческих способностей человека.
Руководители большинства российских предприятий никак не хотят понять, что достаточно большие затраты, связанные с разработкой, организацией и внедрением любого механизма мотивации труда, в конце концов окупятся.
На большинстве российских фирм преобладает форма материального стимулирования успешной работы. И руководители не понимают, что вклад в прибыль предприятия за счет успешной работы, в частности, кружков качества уже сам по себе воспринимается работниками как стимул к дальнейшей работе, а труд, в результате которого получен этот вклад, - приносит удовлетворение. Система управления строится таким образом, что рабочие практически не могут не участвовать в работе кружков. Пропагандируется, что это – выполнение обязательств перед самим собой, своей профессией, группой и фирмой в целом.
Таким образом, внедрение системы качества на предприятиях позволяет найти инструмент воздействия на исполнителей, выражающийся в том, что каждый работник предприятия четко представляет себе цепочку производственного процесса, он обладает информацией о планируемых и фактических результатах работы предприятия и весь его трудовой процесс четко расписан и позволяет видеть конечные результаты деятельности.
В системе мотивации процесс внедрения системы качества позволяет:
1. Четко распределить обязанности между работниками.
2. Справедливо оплачивать труд работников по конечным результатам работы.
3. Видеть конечный результат работы каждого отдельно взятого сотрудника предприятия.
4. Налаживать информационные потоки и эффективно взаимодействовать с другими подразделениями в связи с возникновением зависимости между ними.
На основании вышеизложенных критериев, сформируем мотивационную концепцию, которую можно использовать при внедрении системы качества (рисунок 3.6.). Дадим ее краткое описание.
1. Отправной точкой процесса внедрения системы качества на предприятии должны являться процессы приобретения необходимых знаний, а именно, обучающие процессы. Это изучение необходимой информации о системах качества, о стандартах ИСО, специальной литературы и прочей информации, необходимой для начала внедрения.
2. На основании изученной информации формируется представление о месте и роли организации в будущем, то есть формируется новый образ будущего с учетом внедряемой системы качества.
3. На основании полученных знаний, или в процессе получения этих знаний, должны развиваться преимущественно аналитические навыки сотрудников, с помощью которых происходит разработка целей системы качества, политики и прочих сопутствующих документов.
4. Новый образ будущего должен определять те конкретные требования, которые будут предъявлены к персоналу (гуманитарно-социальной подсистеме) организации. То есть образ будущего должен определять не виды требуемых работ, а характеристики персонала.
5. На основании обладания образом будущего, отождествленного с гуманитарно-социальной подсистемой, реализуется развитие персонала. Например, на основе концепции «Самообучаемая организация» (Learning organization, LO), разработанной Питером Сэнджем и описанной в его книге «Пятая дисциплина»[39]. Эта модель организации опирается на 5 основных принципов:
- системный подход. Этот принцип позволяет понять, как нужно подходить к принятию решений.
Решения должны приниматься на основе комплексной оценки ситуации, учете различных факторов. Здесь, вероятно, подразумевается также учет влияния факторов внешней среды, но он не несет при этом ключевого значения;

Рисунок 3.6. – Мотивационная концепция, используемая при внедрении системы качества
- личное мастерство. Каждый на своем рабочем месте должен обладать индивидуальным мастерством. Здесь имеется в виду не только достижение превосходства над людьми или вещами, но также и приобретение особого уровня профессионализма. Люди с высоким уровнем индивидуального мастерства способны настойчиво добиваться результатов, которые для них имеют наиболее важное значение. Способность концентрироваться на сокровенных внутренних желаниях, а не только на вторичных целях является основой, краеугольным камнем индивидуального мастерства;
- построение совместного видения. У организации, у всех ее работников должно быть общее видение будущего, к этому будущему они должны совместно стремиться. Когда сформирован истинный образ компании (в противоположность привычному, обыденному представлению), люди совершенствуются и учатся, но не потому, что их заставляют, а потому что они сами этого хотят. Образ компании кристаллизуется в результате совместных усилий людей;
- обучение командному образу жизни. Этот принцип акцентируется на умении работать в команде, умении учиться в команде, и т.д. Когда группы действительно учатся, а не только стремятся к экстраординарным результатам, то профессионализм членов группы растет быстрее, чем в других условиях. Группа начинает процесс «самоизучения» с диалога, где раскрывается способность всех членов группы временно «забыть» основные предписания. Диалог включает процесс совместного мышления, а также построение моделей взаимодействия в группах;
- ментальная модель. За фактом декларирования этого принципа стоит попытка осознать скрытые мотивы поступков человека. Человек, оценивая свои или чужие поступки, должен задумываться о скрытых мотивах, устремлениях, представлениях.
Этот принцип развивает человека как личность, способствует развитию понимания окружающих, направлен на полноту удовлетворения потребностей индивида.
Достичь уровня организации, занимающейся «самоизучением», можно, если руководители упорно способствуют развитию климата, в котором принципы индивидуального мастерства ежедневно претворяются в жизнь. Такой подход означает создание организации, где обеспечены гарантии безопасности для людей, формирующих образ компании, где постановка вопросов и приверженность истине являются нормой и где считается приемлемой критика сложившегося положения.
6. Процессы развития персонала и функционирования в общем, должны подкрепляться соответствующим лидерским поведением. Необходимо помнить, что стиль лидерства, это ситуативная переменная внутренней среды. То есть выбор эффективного стиля лидерства в значительной степени определяется воздействием параметров внешней и внутренней среды. И именно лидеры должны обеспечивать достижение поставленных внедрением системы качества целей.
7. Процессы развития персонала и функционирования в целом должны подкрепляться соответствующими материальными и моральными поощрениями.
Описанная концепция может применяться для развития общей гибкости и адаптивности системы качества (через повышение «гибкости» людей, как самого универсального инструмента).
Разработка системы анализа и оптимизации документооборота промышленного предприятия
Сегодня уже многие пришли к мысли, что культура работы с документами – это часть производственной культуры, являющейся важной предпосылкой успешной деятельности в условиях рынка. Поэтому система документооборота – такая же часть производственной инфраструктуры, абсолютно равноправная и необходимая, как и оборудование, ресурсы и персонал. Эта идея понятна любому руководителю, который теряет много времени от неправильно или несвоевременно оформленных документов, от неверных управленческих решений или от невозможности быстро найти нужный документ.
В связи с этим авторами предлагается алгоритм анализа документооборота предприятия, основанный на выявлении «проблемных» участков документооборота и оптимизации движения документов согласно рациональной организации труда.
Предлагается провести данный анализ по следующим этапам (рисунок 2.4.).
На первом этапе следует определить основные подразделения, отдельных исполнителей, отвечающих за процесс движения документооборота на предприятии. В основном данная функция возлагается на работников приемной руководителя организации. На небольших предприятиях эта работа поручается секретарю, который ведет регистрацию документов в специальных журналах. Следует также иметь в виду, что с внедрением технических средств на предприятии, а также использованием локальных сетей, за процесс оборота одних и тех же документов могут отвечать несколько работников: фактически работающие с бумажными документами и работающие с этой же информацией в сети.
Перед тем, как перейти в дальнейшему описанию методики, рассмотрим проблемы, возникающие при организации службы документационного обеспечения управления (ДОУ) на предприятии, так как от ее эффективного функционирования во многом зависит качество функционирования системы документооборота на предприятии.
Рациональная организация службы ДОУ требует решения следующих проблем[28].
Первой проблемой остаётся определение статуса службы в структуре организации. Это обязательно должно быть самостоятельное структурное подразделение, подчинённое непосредственно руководителю.
И хотя об этом много писалось и говорилось, осознание, что служба, руководящая всем информационно-документационным ресурсом фирмы, организации, предприятия – одна из важнейших, происходит в стране очень медленно. Вместе с тем именно в плохой работе этой службы кроется несвоевременность принятия решений, отправки ответов, посылки запросов, плохая подготовленность командировок руководителя, неграмотный ответ по телефону, неэффективное и неоперативное проведение совещаний и т.д.
Кроме того, место службы ДОУ коренным образом меняется с внедрением компьютерных технологий, созданием баз данных. Чаще всего внедрением компьютерных систем в организации занимается специально созданный отдел (служба информационного обеспечения). На наш взгляд, это должна быть единая с ДОУ служба, имеющая соответствующую структуру.
![]() |
Рисунок 2.4. – Этапы анализа и оптимизации документооборота предприятия
Второй проблемой является комплектование службы ДОУ только высококвалифицированными, профессионально подготовленными кадрами, имеющими высшее и среднее специальное образование.
Однако, не всё обстоит благополучно в кадровом вопросе. По-прежнему и в новых квалификационных характеристиках должностей руководителей, специалистов и других служащих, утвержденных постановлением Минтруда России 21.08.1998 № 37 для заведующего канцелярией в требованиях к квалификации стоит не высшее, а «среднее профессиональное образование без предъявлений требований к стажу работы или начальное профессиональное образование и стаж работы по специальности не менее 3-х лет». Секретарь, в том числе секретарь руководителя, в этом же справочнике отнесён к категории не специалистов, а технических исполнителей и для секретаря по требованиям к квалификации достаточно «начальное профессиональное образование без предъявлений требований к стажу работы или среднее (полное) общее образование и специальная подготовка по установленной программе без предъявлений требований к стажу работы». Такие квалификационные характеристики не учитывают ни изменившиеся взгляды на информационные ресурсы и организацию информационно-документационного обслуживания, ни потребности рынка, ни развернувшуюся широкую профессиональную подготовку специалистов.
Наличие таких официально утверждённых должностных характеристик принижает значение специалистов, подготавливаемых как вузами, так и техникумами.
Третья проблема, решаемая при организации службы ДОУ – это разработка полного пакета нормативно-правовых актов и методических документов, определяющих порядок документирования (создания) документов и организации работы с ними в конкретной организации.
К ним относятся:
Положение о службе ДОУ – основной правовой акт, в котором закрепляется место службы ДОУ в структуре организации, её цели, задачи, функции, права и ответственность. Какие права будут записаны в Положение о службе ДОУ – те она и будет иметь. Разработка Положения – ответственейший момент в организации работы службы ДОУ и закреплении её высокого статуса в структуре организации, учреждения или фирмы.
Должностные инструкции на каждого работника службы ДОУ, закрепляющие распределение обязанностей и права каждого работника.
Инструкция по делопроизводству, устанавливающая в организации рациональный, на базе новейших технологий, порядок создания документов и работы с ними.
Это минимальный пакет документов, наличие которых, если они составлены качественно, гарантирует порядок и оперативность в информационно-документационном обеспечении деятельности организации.
Четвёртая проблема, решаемая при организации службы ДОУ сегодня – это внедрение компьютерных технологий и их постоянная модернизация. Именно поэтому сегодня службы ДОУ должны быть объединены в единую структуру со службами, занимающимися автоматизацией или в крайнем случае они должны работать в теснейшем контакте. Компьютерные технологии развиваются очень быстро. Их ведение требует постоянно обучающегося специалиста, периодической модернизации компьютерной техники и программного обеспечения.
Только комплексное решение всех указанных проблем позволяет поставить работу по информационно-документационному обеспечению деятельности фирмы, предприятия, организации или учреждения на уровень потребностей XXI века.
Вернемся к методики оценки эффективности движения документов предприятия между подразделениями.
После выделения сектора, ответственного за документооборот на предприятии, необходимо определить подчиненность выделенных подразделений и разграничить их функции по видам выполняемых работ. После данной процедуры следует сформировать существующую модель документооборота на предприятии.
Воспользовавшись существующей организационной структурой, следует составить блок-схему взаимосвязи всех подразделений, не отвечающих за процедуру документооборота, с ранее сформированной схемой подразделений, отвечающих за документооборот на предприятии. После этого необходимо показать схему движения документов и между самими подразделениями.
На втором этапе производится анализ структуры документооборота предприятия.
Группировку документов по признаку документационного обеспечения рекомендуется проводить в виде таблицы. Для более подробного анализа можно рассчитать количество обращающихся документов в среднем в месяц, в день. Возможен также более детальный анализ приказов с разбивкой на приказы: по основной деятельности; по командировкам; по личному составу. Внутренние документы можно рассмотреть в разрезе финансовых и служебных.
Период, в течение которого проводится анализ, выбирается предприятием самостоятельно. Для выявления динамики в движении документов определяются темпы роста входящих, исходящих и внутренних документов предприятия.
Группировка документов предприятия по подразделениям, позволяет определить: какие из подразделений наиболее сильно загружают документооборот. Количество документов определенное в предыдущем виде анализа необходимо перегруппировать по подразделениям, которые были определены при формировании существующей модели документооборота на предприятии. Данный вид анализа также рекомендуется проводить в виде таблицы с указанием доли документов каждого подразделения в общей их сумме.
Критерии отнесения документов к тому или иному подразделению выглядят следующим образом:
- для входящих и внутренних документов – какое подразделение будет выполнять предписания по данному документу или лицу, какого подразделения адресован данный документ;
- для исходящих документов – каким подразделением или должностным лицом составлен данный документ.
Выявление сезонности в объеме документооборота целесообразно проводить также в виде таблицы с разбивкой входящих, исходящих и внутренних документов по месяцам.
Кроме того, предприятие по своему желанию может более детально проанализировать каждую из рассмотренных категорий документооборота.
В качестве примера, рассмотрим методологию анализа приказов на ОАО «Молочный завод «Волгоградский» за IV квартал 1997 г., I квартал 1998 г.
При рассмотрении типологии принимаемых решений по степени личного вклада руководителя выявились следующие основные группы:
детерминированные, т.е. решения, жестко предопределенные, на содержании которых индивидуальные особенности руководителя практически не сказываются (это решения, касающиеся ГО, ТБ, санитарных норм и т.п. и заранее определенные вышестоящими органами);
рутинные, стандартизованные, т.е. решения, касающиеся выдачи очередной заработной платы, изменения режима работы в связи с праздниками, проведения каких-либо ежегодных мероприятий и т.п. Зачастую эти решения основаны «на прецеденте», т.е. они касаются выполнения стандартизованных, обычных обязанностей. Но они не являются жестко детерминированными, здесь уже может в той или иной мере проявляться стиль управления, их содержание предполагает индивидуальный вклад субъекта решения. Особенность этой группы заключается в том, что часть этих решений руководителя могла быть принятой на более низких уровнях организации;
инициативные - реорганизационные, т.е. решения, касающиеся технологических нововведений, изменения существующей производственной или управленческой системы и т.д. Принятие этих решений свидетельствует об активности руководителя в управлении предприятием, о его личном вкладе в развитие предприятия.
Количественное соотношение между данными типами решений показано в таблице 2.1.
Таблица 2.1. – Основные типы решений ОАО «Молочный завод «Волгоградский» и их соотношение
|
Вид решений |
Доля решений, % |
|
1. детерминированные |
6,9 |
|
2. рутинные |
91,1 |
|
3. реорганизационные |
2,0 |
- Техника безопасности и гражданская оборона – детерминированные решения, затрагивающие вопросы техники безопасности, правил работы, гражданской обороны, пожарной безопасности и т.п.;
- Режим труда – вопросы, касающиеся изменений рабочего режима, вызванных какими-либо обстоятельствами;
- Наказания – выговоры, взыскания, наказания работников предприятия за нарушение трудовой дисциплины, срыв сроков выполнения заданий и т.п.;
- Поощрения:
- Оплата труда – установление форм и систем заработной платы для отдельных работников (групп работников);
- Контроль – вопросы контроля, отчетности, соблюдения правил работы;
- Вопросы общего управления;
- Персонал – кадровые, социально-бытовые вопросы и т.п.
Количественное соотношение между данными типами решений показано в таблице 2.2.
Таблица 2.2. – Распределение решений по сферам деятельности ОАО «Молочный завод «Волгоградский» и их соотношение
|
Сфера действия решений |
Доля решений, % |
|
1. ТБ и ГО |
6,9 |
|
2. Режим труда |
6,9 |
|
3. Наказания: Выговоры, замечания Депремирование |
17,8 36,4 63,6 |
|
4. Поощрения: Работникам-ветеранам предприятия и пр. За инициативу, качество работы |
7,7 75,5 24,5 |
|
5. Оплата труда |
27,9 |
|
6. Контроль |
10,9 |
|
7.Общее управление: Назначения Замещения Другие вопросы управления |
19,1 6,4 76,6 17 |
|
8. Персонал |
2,8 |
1. Производство – решения, затрагивающие вопросы изготовления продукции, ее испытаний и другие производственные вопросы, в том числе:
1.1. Технология – вопросы технологии производства, ее изменения, совершенствования и пр.;
1.2. Конструкторское обеспечение производства – вопросы, связанные с проектированием нововведений и их внедрением;
1.3. Общие производственные вопросы.
2. Снабжение – решения, касающиеся проблемы своевременного обеспечения материалами, комплектующими, оборудованием и т.п.;
3. Ремонт - задания по работам, связанным с ремонтом технологического и вспомогательного оборудования, с техникой безопасности и пр.;
4. Сбыт – вопросы складирования, хранения и реализации, поиска новых рынков сбыта и т.п.;
5. Наказания – выговоры, взыскания, наказания работников предприятия за нарушение трудовой дисциплины, срыв сроков исполнения заданий и т.д.;
6. Коммуникации – вопросы связи с внешними организациями, партнерами, заключения договоров, командировок, поездок и т.п.;
7. Персонал – кадровые вопросы, решения по принятию-увольнению работников, повышению их квалификации, социально-бытовые вопросы и т.п.;
8. Организация – вопросы общего управления, назначений, режима работы, реорганизации, а также планирования и организации производства.
Количественное соотношение между этими категориями представлено в таблице 2.3.
Таблица 2.3. – Распределение решений по сферам деятельности ОАО «Молочный завод «Волгоградский»
|
Сфера действия решений |
Доля решений, % |
1. Производство
|
38,3 25,3 12,1 62,6 |
|
2. Снабжение |
23,2 |
|
3. Ремонт |
18,6 |
|
4. Сбыт |
8,0 |
|
5. Наказания |
5,9 |
|
6. Коммуникации |
0,8 |
|
7. Персонал |
0,4 |
|
8. Организация |
4,8 |
Таким образом, первоначально необходимо имеющуюся структуру документооборота разбить на три подструктуры:
- структура документооборота, где обращаются входящие документы;
- структура документооборота, где обращаются исходящие документы;
- структура документооборота, где обращаются внутренние документы.
Другими словами, требуется исключить связи между подразделениями, не участвующих в документообороте рассматриваемого вида.
Организационные структуры крупных и даже средних предприятий достаточно громоздки, а, следовательно, схема документооборота по движению внутренних документов будет очень сложна. В связи с этим, автором предлагается рассматривать общую схему оборота внутренних документов в разрезе функций управления на предприятии. Предположим, что для каждой пары должностных позиций известны функции управления. Рассмотрим заданную группу функций и выделим по каждому типу контакта только те взаимосвязи, в причины возникновения которых входит движение внутренних документов по рассматриваемой группе.
Автором предлагается рассматривать следующие общие функции управления:
- общее руководство и контроль;
- планирование и оперативный учет;
- организация и координация производства;
- бухгалтерский учет, анализ хозяйственной деятельности, финансирование и отчетность;
- активизация и стимулирование труда.
Чтобы выявить проблему совершенствования взаимодействия, надо определить, как контактирует служба со службой при каждом из видов документооборота. Для этого составляется карточка-анкета связей всех подразделений, включенных в каждый из видов спроектированной структуры организационных взаимодействий, для определения балов связей. Пример данной карточки представлен в таблице 2.4.
Таблица 2.4. – Карточка-анкета связей между подразделениями
|
Административный отдел – Бухгалтерия |
Виды связей между подразделениями по критерию налаженности документооборота |
Итого |
||
|
Тип контактов |
Систематические, налаженные связи |
Периодические, слабо налаженные связи |
Редкие, не налаженные связи |
|
|
Прямая связь: |
||||
|
1. … |
7 |
|||
|
2. … |
4 |
|||
|
3. … |
10 |
|||
|
ИТОГО |
17 |
4 |
21 |
|
|
Обратная связь: |
||||
|
1. … |
5 |
|||
|
2. … |
2 |
|||
|
3. … |
1 |
|||
|
ИТОГО |
5 |
3 |
8 |
|
Данная карточка- анкета составляется по каждому типу контактов, участвующих в процессе документооборота.
Под «прямой связью» понимается поток документов, передаваемых подразделением другой службе, под «обратной связью» - документы, поступающие от службы в рассматриваемое подразделение.
Каждый отдел самостоятельно формулирует типы контактов, указываемые в карточке-анкете. Предприятие также самостоятельно может определить количество контактов «прямой» и «обратной» связей.
Каждый контакт между подразделениями оценивается на основе опроса руководителей и конкретных исполнителей данных подразделений в баллах от 1 до 10. Бальная шкала может формироваться самим предприятием, в качестве примера предлагается следующая:
- систематические налаженные связи – 7 – 10 баллов;
- периодические слабо налаженные связи – 4 – 6 баллов;
- редкие не налаженные связи – 1 – 3 балла.
После того, как каждому типу контакта присвоен балл, происходит их суммирование по каждому виду связей. Принимая условие, что каждый тип контактов может быть оценен максимум в 10 баллов, необходимо определить максимально возможное количество баллов по каждому виду связей. Эта сумма будет равна количеству типов контактов по каждому виду связей в отдельности умноженному на 10 баллов.
После этого необходимо определить вес каждой связи, отражающего организационную структуру по каждому типу документооборота. Иначе говоря, определим долю фактически сложившихся баллов карточки-анкеты в общей сумме баллов.
В нашем примере вес связи «Административный отдел – Бухгалтерия» будет иметь следующие значения:
Для «прямой связи»: (21 / 30) = 0,7;
Для «обратной связи»: (8 / 30) = 0,3.
Далее полученные значения веса каждой связи наносятся на спроектированные схемы документооборота и выявляются наиболее проблемные участки, тормозящие процедуру документооборота.
Таким образом, проводится анализ документооборота всех видов. Далее полученные схемы и рекомендации «накладываются» друг на друга и дается итоговая оценка разработанных мероприятий и анализ возможности их реализации.
Особенность именно такого подхода к оценке состояния документооборота на предприятии заключается в следующем:
- анкетный опрос работников (даже с учетом бальной оценки) не дает целостного представления о не налаженных связях в движении документов между отделами, в то время как путем составления итоговой организационной структуры по предлагаемой методике наглядно видны «проблемные» участки;
- бальная оценка «прямых» и «обратных» связей при составлении карточки-анкеты определяется не передающими документы подразделениями, а получающими документы. Например, при оценке связи «Главный бухгалтер – Бухгалтерия» «прямую» связь (главный бухгалтер – Бухгалтерия) оценивает Бухгалтерия, «обратную» связь (Бухгалтерия – главный бухгалтер) оценивает главный бухгалтер.
Кроме того, предлагается проводить на предприятии рейтинговую оценку эффективности документооборота подразделений. В качестве исходных данных для такой оценки можно выделить следующие:
- количество работников подразделения;
- количество документов (входящих, исходящих, внутренних), обращающихся в подразделении за определенный промежуток времени;
- уровень ответственности, которую несет подразделение за выполнение документов (входящих, исходящих, внутренних);
- уровень компьютеризации документооборота подразделения и т.д.
Таким образом, предложенная авторами методика является частью системы оценки документооборота предприятия. Ее основной задачей служит определение состояния документооборота с точки зрения межличностных контактов на предприятии. Поэтому кроме такого рода диагностики необходимо тщательное изучение структуры и содержания всех документов, находящихся в обороте. Это позволит выявить несоответствия при их составлении, неполноту предоставляемых сведений. Комплексная оценка состояния самих документов, анализ их структуры, динамики изменения, а также составление схемы документооборота по предложенной методике, позволят повысить не только эффективность документооборота на предприятии, но и разрешить существующие разногласия, препятствующие нормальному функционированию подразделений.
Система показателей анализа эффективности использования составляющих производственного потенциала
Авторами предлагается система показателей анализа эффективности использования составляющих производственного потенциала, которую можно использовать при оценки уровня ППП по методике, которая будет рассмотрена в параграфе 5.3.
I. Анализ эффективности использования основных фондов предприятия.
Анализ основных фондов производится по нескольким направлениям, разработка которых в комплексе позволяет дать оценку структуры, динамики и эффективности использования ОФ и долгосрочных инвестиций (таблица 5.1.)[56].
Таблица 5.1. – Основные направления анализа основных средств
|
Основные направления анализа |
Задачи анализа |
Виды анализа |
|
Анализ структуры и динамики ОС |
Оценка размера и структуры вложения капитала в ОС Определение характера и размера влияния стоимости ОС на финансовое положение и структуру баланса |
Финансовый анализ |
|
Анализ эффективности использования ОС |
Анализ движения ОС Анализ показателей эффективности использования ОС Анализ использования времени работы оборудования Интегральная оценка использования оборудования |
Управленческий анализ |
|
Анализ эффективности затрат по содержанию и эксплуатации оборудования |
Анализ затрат на капитальный ремонт Анализ затрат по текущему ремонту Анализ взаимосвязей объема производства, прибыли и затрат по эксплуатации оборудования |
Управленческий анализ |
|
Анализ эффективности инвестиций в ОС |
Оценка эффективности капитальных вложений Анализ эффективности привлечения займов для инвестирования |
Финансовый анализ |
Источники информации для проведения анализа: форма №11 «Отчет о наличии и движении ОС», фБМ «Баланс производственной мощности», форма №7-ф «Отчет о запасах неустановленного оборудования», инвентарные карточки учета ОС и др.
Анализ движения основных средств (ОС).
Данные о наличии, износе и движении ОС служат основным источником информации для оценки производственного потенциала предприятия.
Оценка движения ОС проводится на основе коэффициентов (таблица 5.2.), которые анализируются в динамике за ряд лет.
Таблица 5.2. – Показатели движения и состояния основных средств
|
Наименование показателя |
Методы расчета |
Экономическая интерпретация показателей |
|
Коэффициент обновления ОФ |
Стоимость поступивших ОФ Стоимость ОФ на конец года |
Отражает интенсивность обновления ОФ за отчётный период. |
|
Коэффициент выбытия ОФ |
Стоимость выбывших ОФ Стоимость ОФ на начало года |
Характеризует долю выбывших за отчётный период ОФ. |
|
Коэффициент прироста |
Сумма прироста ОФ . Стоимость ОФ на начало года |
Характеризует темп прироста основных средств |
|
Коэффициент износа ОФ |
Сумма износа ОФ . Первоначальная стоимость ОФ |
Значение данного показателя свидетельствует о наличии или отсутствии проблем, связанных с накопленным износом ОФ. |
|
Коэффициент годности |
Остаточная стоимость ОФ Первоначальная стоимость ОФ |
Отражает степень годности основных средств |
Оценка эффективности использования ОС основана на применении общей для всех ресурсов технологии оценки, которая предполагает расчет и анализ показателей отдачи и емкости.
Показатели отдачи характеризуют выход готовой продукции на 1 руб. ресурсов.
Показатели емкости характеризуют затраты или запасы ресурсов на 1 руб. выпуска продукции.
Под запасами ресурсов понимают наличный объем ресурсов на отчетную дату по балансу, под затратами – текущие расходы ресурсов, в частности по основным средствам – амортизация.
При сопоставлении запасов ресурсов с объемом выручки за период необходимо рассчитать среднюю величину запасов на тот же период.
Обобщающим показателем эффективности использования ОС является фондоотдача (ФО):
ФО = ВП / Сос, (5.1.)
где ВП – объём производства продукции за отчётный период, руб.;
Сос – средняя первоначальная (восстановительная стоимость) основных фондов.
При расчете показателя учитываются собственные и арендованные ОС, не учитываются ОС, находящиеся на консервации и сданные в аренду.
Показатель фондоотдачи анализируют в динамике за ряд лет, поэтому объем продукции корректируют на изменение цен и структурных сдвигов, а стоимость ОС – на коэффициент переоценки.
Повышение фондоотдачи ведет к снижению суммы амортизационных отчислений, приходящихся на один рубль готовой продукции или амортизационной емкости.
Рост фондоотдачи является одним из факторов интенсивного роста объема выпуска продукции. Эту зависимость описывает факторная модель:
ВП = Сос * ФО. (5.2.)
На основе факторной модели рассчитывают прирост объема выпуска за счет увеличения ОС и роста фондоотдачи:
?ВП = ?ВП(Сос) + ?ВП(ФО). (5.3.)
Прирост выпуска продукции за счет фондоотдачи можно рассчитать способом абсолютных разниц:
?ВП(Сос) = ?Сос * ФО, (5.4.)
?ВП(ФО) = ?ФО * Сос1. (5.5.)
или интегральным методом:
?ВП(Сос) = ?Сос * ФО0 + (?Сос * ?ФО) / 2, (5.6.)
?ВП(ФО) = ?ФО * ?Сос0 + (?Сос * ?ФО) / 2. (5.7.)
где Сос0, Сос1 – стоимость основных средств в базисном и отчетном периоде соответственно;
ФО0,ФО1 – фондоотдача базисного и отчетного периода соответственно.
Другим важным показателем, характеризующим эффективность использования ОС, является фондоемкость ОС:
ФЕ = 1 / ФО. (5.8.)
Изменение фондоемкости в динамике показывает изменение стоимости ОС на один рубль продукции и применяется при определении суммы относительного перерасхода или экономии средств в основные фонды (Э):
Э = ( ФЕ1 – ФЕо ) * V1, (5.9.)
где ФЕ1, ФЕо – фондоемкость отчетного и базисного периода соответственно;
V1 – объем выпуска продукции в отчетном периоде.
Для разработки технологической политики предприятия необходим углубленный факторный анализ показателей эффективности использования ОС и в первую очередь фондоотдачи.
Факторный анализ фондоотдачи.
Для того, чтобы раскрыть влияние на фондоотдачу действия экстенсивных и интенсивных факторов использования основных фондов (в том числе машин и оборудования), необходимо использовать в анализе более полную модель:
ФО = (ОПФа/Сос)*(ОПФм/ОПФа)*(Тсс/(К*t))*(1/Sср)*(Тсч/Тсс)*(Vвп/Тсч), (5.10.)
где ОПФа – активная часть основных фондов;
Vвп – объём валовой прибыли за отчётный период, руб.;
ОПФм – стоимость установленных (действующих) машин и оборудования;
Тсс – количество отработанных станко-смен;
Sср – средняя стоимость оборудования;
К – количество единиц действующего оборудования;
t – продолжительность отчетного (анализируемого) периода в днях;
Тсч – количество отработанных станко-часов.
Данная формула позволяет определить влияние на динамику фондоотдачи следующих факторов:
- доли активной части фондов в общей их стоимости (ОПФа/Сос);
- доли машин и оборудования в стоимости активных фондов (ОПФм/ОПФа);
- коэффициента сменности работы оборудования (Тсс/(К*t));
- средней стоимости единицы оборудования (Sср);
- продолжительности станко-смены (Тсч/Тсс);
- выработки продукции за один станко-час работы оборудования (Vвп/Тсч).
Одним из важных факторов, оказывающих влияние на эффективность использования основных фондов, является улучшение использования производственных мощностей предприятия и его подразделений. Чтобы установить взаимосвязь между фондоотдачей и уровнем использования производственной мощности, представим показатель фондоотдачи в таком виде:
ФО = (Vвп / По) * (По / ПМср) * (ПМср / ОПФа) * (ОПФа / Сос), (5.11.)
где По – основная (профильная) продукция предприятия;
ПМср – среднегодовая производственная мощность.
Данная формула позволяет определить влияние на динамику фондоотдачи изменений в уровне следующих факторов:
- уровня специализации предприятия (Vвп / По);
- коэффициента использования среднегодовой мощности предприятия (По / ПМср);
- доли активной части фондов в общей их стоимости (ОПФа / Сос);
- фондоотдачи активной части фондов, исчисленной по мощности (ПМср / ОПФа).
Для анализа действия внешних факторов показатель фондоотдачи можно «развернуть» в факторную модель следующего вида:
ФО = (МЗ / Сос) + (П / Сос) + (Ч / Сос), (5.12.)
где МЗ – стоимость материальных затрат без стоимости покупных деталей и полуфабрикатов;
П – стоимость покупных деталей и полуфабрикатов;
Ч – стоимость чистой продукции (добавленная стоимость).
Анализ использования оборудования.
Анализ работы оборудования основан на системе показателей, характеризующих его использование по численности, времени работы и мощности.
![]() |
Для анализа количественного использования оборудования его группируют по степени использования (рисунок 5.3.).
Рисунок 5.3. – Состав наличного оборудования предприятия
Для характеристики степени привлечения оборудования рассчитывают:
- коэффициент использования парка наличного оборудования (Кнал):
Кнал = Qд / Qнал, (5.13.)
где Qд – количество действующего оборудования;
Qнал – количество наличного оборудования.
- коэффициент использования парка установленного оборудования (Куст):
Куст = Qд / Qуст, (5.14.)
где Qуст – количество установленного оборудования.
- коэффициент использования оборудования сданного в эксплуатацию (Кэксп):
Кэксп = Qуст / Qнал. (5.15.)
Если значения показателей близки к единице, то оборудование используется с высокой степенью загрузки, а производственная программа соответствует производственной мощности.
Для характеристики экстенсивной загрузки оборудования анализируют использование оборудования по времени: баланс времени работы и коэффициент его сменности.
Таблица 5.3. – Показатели, характеризующие фонд времени использования оборудования
|
Показатель фонда времени |
Условное обозначение |
Формула расчета |
Примечания |
|
Календарный фонд |
Тк |
Тк = Тк.д * 24 |
Тк.д - число календарных дней за анализируемый период, дн. |
|
Номинальный (режимный) фонд |
Тн |
Тн = ТP.СМ * tсм |
ТP.СМ - число рабочих смен за анализируемый период; tсм – продолжительность рабочей смены, час |
|
Эффективный (реальный) фонд |
Тэфф |
Тэфф = Тн - Тпл |
Тпл – время планового ремонта, час |
|
Полезный (фактический) фонд |
Тф |
Тф = Тэфф - Тпр |
Тпр – время внеплановых простоев, час |
Кз = Тф / Тк. (5.16.)
или
Кз = Тф / Тн. (5.17.)
или
Кз = Тф / Тэфф. (5.18.)
Уровень условного использования оборудования характеризует коэффициент сменности (Ксм):
Ксм = ССф / ССм, (5.19.)
где ССф – фактическое отработанное число станко-смен за период;
ССм – максимально возможное число станко-смен, отработанных установленным оборудованием за 1 смену периода.
Под интенсивной загрузкой оборудования понимают оценку его производительности.
Коэффициент интенсивной нагрузки оборудования (Ки) определяется:
Ки = Вф / Вп, (5.20.)
где Вф – средняя часовая выработка оборудования фактическая;
Вп – средняя часовая выработка единицы оборудования плановая.
Обобщающим показателем, характеризующим комплексное использование оборудования, является показатель интегральной нагрузки (Кинт):
Кинт = Кз * Ки. (5.21.)
Характеристика производственной мощности предприятия.
Под производственной мощностью предприятия подразумевается возможный выпуск продукции при достигнутом или намеченном уровне техники, технологии и организации производства.
Степень использования производственных мощностей характеризуется следующими коэффициентами:
- общий коэффициент (Кобщ):
Кобщ = V / ПМср, (5.22.)
где V – фактический или плановый объем производства продукции.
- интенсивный коэффициент (Кинт):
Кинт = Vсут / Мсут, (5.23.)
где Vсут – среднесуточный выпуск продукции;
Мсут – среднесуточная производственная мощность предприятия.
3) экстенсивный коэффициент (Кэкс):
Кэкс = Тф/п / Тр/ч, (5.24.)
где Тф/п – фактический или плановый фонд рабочего времени;
Тр/ч – расчетный фонд рабочего времени, принятый при определении производственной мощности.
В ходе анализа изучается динамика этих показателей, выполнение плана по их уровню и причины изменений: например, ввод в действие новых и реконструкция старых предприятий, техническое переоснащение производства, сокращение производственных мощностей.
Анализируется уровень использования производственных площадей предприятия: выпуск продукции в руб. на 1 м2 производственной площади.
II. Анализ эффективности использования материальных ресурсов предприятия.
Необходимым условием организации производства продукции является обеспечение его материальными ресурсами: сырьем, материалами, топливом, энергией, полуфабрикатами и т.д.
Стоимость материальных ресурсов входит в себестоимость продукции по элементу «Материальные затраты» и включает в себя цену их приобретения (без учета НДС и акцизов), наценки, комиссионные вознаграждения, уплачиваемые снабженческим и внешнеэкономическим организациям, стоимость услуг бирж, таможенных пошлин, плату за транспортировку, хранение и доставку, осуществленные сторонними организациями.
![]() |
Удовлетворение потребности предприятия в материальных ресурсах может обеспечиваться двумя путями: экстенсивным и интенсивным (рисунок 5.6.). Экстенсивный путь предполагает увеличение добычи и производства материальных ресурсов и связан с дополнительными затратами.
Кроме того, рост объема производства при существующих технологических системах привел к тому, что темпы истощения природных ресурсов и уровень загрязнения окружающей среды вышли за допустимые пределы. Поэтому рост потребности предприятия в материальных ресурсах должен осуществляться за счет более экономного их использования в процессе производства продукции или интенсивным путем.
Рисунок 5.6. – Основные пути улучшения обеспеченности материальными ресурсами
Изыскание внутрипроизводственных резервов экономии материальных ресурсов составляет содержание экономического анализа, который предполагает следующие этапы:
1. Оценка качества планов материально-технического снабжения и анализ их выполнения;
2. Оценка потребности предприятия в материальных ресурсах;
3. Оценка эффективности использования материальных ресурсов;
4. Факторный анализ общей материалоемкости продукции;
5. Оценка влияния стоимости материальных ресурсов на объем производства продукции.
Источники информации для анализа материальных ресурсов: план материально-технического снабжения, заявки, спецификации, договоры на поставку сырья и материалов, формы статистической отчетности о наличии и использовании материальных ресурсов и его затратах на производство и реализацию продукции, плановые и отчетные калькуляции себестоимости выпускаемых изделий, данные о нормативах и нормах расходов материальных ресурсов.
Оценка качества планов материально-технического снабжения.
Важным условием бесперебойной нормальной работы предприятия является полная обеспеченность потребности в материальных ресурсах (MPi) источниками покрытия (Ui):
MPi = Ui . (5.25.)
Различают внутренние (собственные) источники и внешние.
К внутренним источникам относят сокращение отходов сырья, использование вторичного сырья, собственное изготовление материалов и полуфабрикатов, экономию материалов в результате внедрения достижений научно-технического прогресса.
К внешним источникам относят поступление материальных ресурсов от поставщиков в соответствии с заключенными договорами.
Потребность в завозе материальных ресурсов со стороны определяется разностью между общей потребностью в i-м виде материальных ресурсов и суммой внутренних источников ее покрытия. Степень обеспеченности потребности в материальных ресурсах договорами на их поставку оценивается с помощью следующих показателей:
- коэффициент обеспеченности по плану (Коб.пл.):
Коб.пл. = Сд / Пп, (5.26.)
где Сд – стоимость материальных ресурсов по заключенным договорам;
Пп – плановая потребность в материальных ресурсах.
- коэффициент обеспеченности фактический (Коб.ф.):
Коб.ф. = Сф / Пп, (5.27.)
где Сф – стоимость фактически поставленных материальных ресурсов.
Анализ данных коэффициентов проводится по каждому виду материалов.
Проверяется также качество полученных от поставщиков материалов, соответствие их стандартам ТУ, условиям договора и в случаях их нарушения предъявляются претензии поставщикам.
Особое внимание при анализе уделяется выполнению плана МТС по срокам поставки материальных ресурсов или ритмичности поставок.
Для оценки ритмичности поставок используются показатели:
- коэффициент неравномерности поставок материалов (Кнер):
Кнер = v ((? (хi - 1002) * f) / ?f, (5.28.)
где x – процент выполнения плана поставки по периодам (дням, декадам, месяцам);
f – план поставки за те же периоды.
- коэффициент вариации (Квар):
Квар= (v ((? ?f)2 / k)) / f ср, (5.29.)
где ?f – отклонение объема поставки по периодам от плана;
k – количество анализируемых периодов;
f ср – средний объем поставки материалов за период.
Неритмичная поставка материальных ресурсов ведет к простоям оборудования, потерям рабочего времени, необходимости сверхурочных работ. Оплата простоев не по вине рабочих и сверхурочных работ ведет к увеличению себестоимости выпускаемой продукции и соответственно к снижению прибыли предприятия.
Оценка потребности в материальных ресурсах.
Условием бесперебойной работы предприятия является полная обеспеченность материальными ресурсами. Потребность в материальных ресурсах определяется в разрезе их видов на нужды основной и не основной деятельности предприятия и на запасы, необходимые для нормального функционирования на конец периода.
Потребность в материальных ресурсах на образование запасов определяется в трех оценках:
- в натуральных единицах измерения, что необходимо для установления потребности в складских помещениях;
- в денежной (стоимостной) оценке для выявления потребности в оборотных средствах и увязки с финансовым планом;
- в днях обеспеченности – в целях планирования и контроля за выполнением графика поставки.
Обеспеченность предприятия запасами в днях исчисляется по формуле:
Здн = Зmi / Pдi, (5.30.)
где Здн – запасы сырья и материалов, в днях;
Зmi – запасы i-ого вида материальных ресурсов в натуральных или стоимостных показателях;
Pдi – средний дневной расход i-ого вида материальных ресурсов в тех же единицах измерения.
Средний дневной расход каждого вида материалов рассчитывается делением суммарного расхода i-ого вида материальных ресурсов за анализируемый период (MРi) на количество календарных периодов (Д):
Pдi = MРi / Д, (5.31.)
В процессе анализа фактические запасы важнейших видов сырья и материалов сопоставляют с нормативными и выявляют отклонение.
Проверяют также состояние запасов сырья и материалов на предмет выявления излишних и ненужных. Их можно установить по данным складского учета путем сравнения прихода и расхода. К неходовым относят материалы, по которым не было расходов более одного года.
Оценка эффективности использования материальных ресурсов.
В процессе потребления материальных ресурсов в производстве происходит их трансформация в материальные затраты, поэтому уровень их расходования определяется через показатели, исчисленные исходя из суммы материальных затрат.
Для оценки эффективности материальных ресурсов используется система обобщающих и частных показателей (таблица 5.4.).
Таблица 5.4. – Показатели эффективности использования материальных ресурсов
|
Показатели |
Формула расчета |
Экономическая интерпретация показателя |
|
1. Обобщающие показатели |
||
|
Материалоемкость продукции (ME) |
Сумма материальных затрат Стоимость продукции |
Отражает величину материальных затрат, приходящуюся на 1 руб. выпущенной продукции |
|
Материалоотдача продукции (МО) |
Стоимость продукции Сумма материальных затрат |
Характеризует выход продукции с каждого рубля потребленных материальных ресурсов |
|
Удельный вес материальных затрат в себестоимости продукции (УМ) |
Сумма материальных затрат полная себестоимость продукции |
Отражает уровень использования материальных ресурсов, а также структуру (материалоемкость продукции) |
|
Коэффициент использования материалов (KM) |
Сумма фактических материальных затрат Сумма материальных затрат по плану при фактическом выпуске продукции |
Показывает уровень эффективности использования материалов, соблюдения норм их расходования |
|
2. Частные показатели |
||
|
Сырьеемкость продукции (СМЕ) |
Сумма потребленных сырья и материалов Стоимость продукции |
Показатели отражают эффективность потребления отдельных элементов материальных ресурсов на 1 руб. выпущенной продукцией |
|
Металлоемкость продукции (ММЕ) |
Стоимость потребленного металла Стоимость продукции |
|
|
Топливоемкость продукции (ТМЕ) |
Стоимость потребленного топлива Стоимость продукции |
|
|
Энергоемкость продукции (ЭМЕ) |
Стоимость потребленной энергии Стоимость продукции |
|
|
Удельная материалоемкость изделия (УМЕ) |
Стоимость всех потребленных на изделие материалов Цена изделия |
Характеризует величину материальных затрат, израсходованных на одно изделие |
Применение обобщающих показателей в анализе позволяет получить общее представление об уровне эффективности использования материальных ресурсов и резервах его повышения.
Частные показатели используются для характеристики эффективности потребления отдельных элементов материальных ресурсов (основных, вспомогательных материалов, топлива, энергии и др.), а также для установления снижения материалоемкости отдельных изделий (удельной материалоемкости).
В зависимости от специфики производства частными показателями могут быть: сырьеемкость – в перерабатывающей отрасли; металлоемкость – в машиностроении и металлообрабатывающей промышленности; топливоемкость и энергоемкость – на предприятиях ТЭЦ; полуфабрикатоемкость – в сборочных производствах и т.д.
Удельная материалоемкость отдельных изделий может быть исчислена как в стоимостном, так и в условно-натуральном и натуральном выражении.
В процессе анализа фактический уровень показателей эффективности использования материалов сравнивают с плановым, изучают их динамику и причины изменения.
Факторный анализ общей материалоемкости продукции.
Материалоемкость, так же как и материалоотдача, зависит от объема товарной (валовой) продукции и суммы материальных затрат на ее производство. В свою очередь объем товарной (валовой) продукции в стоимостном выражении (ТП) может измениться за счет количества произведенной продукции (VВП), ее структуры (УД) и уровня отпускных цен (ЦП). Сумма материальных затрат (МЗ) также зависит от объема произведенной продукции, ее структуры, расхода материала на единицу продукции (УР) и стоимости материалов (ЦМ). В итоге общая материалоемкость зависит от структуры произведенной продукции, нормы расхода материалов на единицу продукции, цен на материальные ресурсы и отпускных цен на продукцию (рисунок 5.7). Факторная модель будет иметь вид:
![]() |
Рисунок 5.7. – Схема факторной системы материалоемкости
Влияние факторов первого порядка на материалоотдачу или материалоемкость можно определить способом цепной подстановки:
МЕпл = МЗпл (при VВПобщпл, УДплi, УРплi, ЦМплi) / ТПпл (при VВПобщпл, УДплi, ЦПплi);
МЕусл1 = МЗусл1 ( при VВПобщф, УДплi, УРплi, ЦМплi) / ТПусл1 (при VВПобщф, УДплi, ЦПплi);
МЕусл2 = МЗусл2 (при VВПобщф, УДфi, УРплi, ЦМплi) / ТПусл2 (при VВПобщф, УДфi, ЦПплi);
МЕусл3 = МЗусл3 (при VВПобщф, УДфi, УРфi, ЦМплi) / ТПусл3 (при VВПобщф, УДфi, ЦПплi);
МЕусл4 = МЗусл4 (при VВПобщф, УДфi, УРфi, ЦМфi) / ТПусл4 (при VВПобщф, УДфi, ЦПплi);
МЕф = МЗф (при VВПобщф, УДфi, УРфi, ЦМфi) / ТПф (при VВПобщф, УДфi, ЦПфi).
?ММЕоб = МЕф – МЕпл,
?ММVВП = МЕусл1 – МЕпл,
?ММУДi = МЕусл2 – МЕусл1,
?ММУР = МЕусл3 – МЕусл2,
?ММЦМ = МЕусл4 – МЕусл3,
?ММЦП = МЕф – МЕусл4.
Для расчета нужно иметь следующие данные:
I. Затраты материалов на производство продукции:
а) по плану: МЗпл = ?(VВПплi * УРплi * Мплi);
б) по плану, пересчитанному на фактический объем производства продукции: МЗусл1 = ? (VВПплi * УРплi * ЦМплi) * Кпп;
в) по плановым нормам и плановым ценам на фактический выпуск продукции: МЗусл2 = ? (VВПфi * УРплi * ЦМплi);
г) фактически по плановым ценам: МЗусл3 = ? (VВПфi * УРфi * ЦМплi);
д) фактически: МЗф = ? (VВПфi * УРфi * ЦМфi).
II. Стоимость товарной продукции:
а) по плану: ТПпл = ? (VВПплi * ЦПплi);
б) по плану, пересчитанному на фактический объем производства, при плановой структуре: ТПусл1 = ? (VВПфi * ЦПплi) ± ?ТПудi;
в) фактически по плановым ценам: ТПусл2 = ? (VВПфi * ЦПплi);
г) фактически: ТПф = ? (VВПфi * ЦПфi).
На основании приведенных данных о материальных затратах и стоимости товарной продукции рассчитываются показатели материалоемкости продукции. Расчеты удобно свести в таблицу 5.5.
Таблица 5.5. – Факторный анализ материалоемкости продукции
|
Показатель |
Условия расчета |
Порядок расчета материало- емкости |
Уровень материало- емкости |
||||
|
Объем производства |
Структура продукции |
Удельный расход сырья |
Цена на материалы |
Отпускная цена на продукцию |
|||
|
План |
План |
План |
План |
План |
План |
||
|
Усл.1 |
Факт |
План |
План |
План |
План |
||
|
Усл.2 |
Факт |
Факт |
План |
План |
План |
||
|
Усл.3 |
Факт |
Факт |
Факт |
План |
План |
||
|
Усл.4 |
Факт |
Факт |
Факт |
Факт |
План |
||
|
Факт |
Факт |
Факт |
Факт |
Факт |
Факт |
||
Затем переходят к изучению материалоемкости отдельных видов продукции и причин изменения ее уровня. Она зависит от норм расхода материалов, их стоимости и отпускных цен на продукцию.
МЕi = УРi * ЦМi / ЦПi. (5.32.)
Оценка влияния материальных ресурсов на объем производства продукции.
Влияние материальных ресурсов на объем производства продукции рассчитывается на основе следующей зависимости:
ВП = МЗ * МО, (5.33.)
или
ВП = МЗ / МЕ. (5.34.)
Для расчета влияния факторов на объем выпуска продукции по первой формуле можно применить способ цепных подстановок, абсолютных или относительных разниц, интегральный метод, а по второй – только прием цепных подстановок или интегральный метод.
Результаты анализа материальных затрат используются при нормировании расходов сырья и материалов на изготовление продукции, а также при определении общей потребности в материальных ресурсах на выполнение производственной программы.
Решение аналитических задач по оценке эффективности использования материальных ресурсов и обеспеченности предприятия сырьем и материалами является задачей логистики, в частности по составлению заявок, выбору поставщиков, управлению запасами, определению оптимальной партии поставляемых ресурсов.
На основе проведенного анализа в заключение производят подсчет резервов повышения эффективности использования материальных ресурсов, не используемых в отчетном году. Ими могут быть повышение технического уровня производства за счет внедрения новых производственных технологий, механизации и автоматизации производственных процессов, изменения конструкций и технологических характеристик изделий, улучшения организации и обслуживания производства, улучшения МТС и использования материальных ресурсов и др. Экономия (Э) от данных мероприятий может быть определена по формуле:
Э = (М1 – М0) * ЦП * VBПm – Змр, (5.35.)
где М1, М0 – норма расхода материала до и после внедрения мероприятия;
ЦМ - цена материала;
VBПm – выпуск продукции в натуральном выражении с момента внедрения мероприятия и до конца года;
Змр – затраты, связанные с внедрением мероприятия.
III. Анализ эффективности использования трудовых ресурсов предприятия.
Рациональное использование персонала предприятия – непременное условие, обеспечивающее бесперебойность производственного процесса и успешное выполнение производственных планов. Для целей анализа весь персонал следует разделить на промышленно-производственный и непромышленный персонал. К промышленно-производственному персоналу относят лиц, занятых трудовыми операциями, связанными с основной деятельностью предприятия, а к непромышленному персоналу относят работников учреждений культуры, общественного питания, медицины и пр., принадлежащих предприятию.
Работники промышленно-производственного персонала подразделяются на рабочих и служащих. В составе служащих выделяют руководителей, специалистов и других служащих (конторский учётный и т.п. персонал).
Рабочих подразделяют на основных и вспомогательных. В анализе трудовых ресурсов предприятия можно выделить три направления:
1. Анализ использования рабочей силы.
1.1. Анализ обеспеченности предприятия трудовыми ресурсами.
1.2. Анализ уровня квалификации персонала.
1.3. Анализ форм, динамики и причин движения персонала.
1.4. Анализ использования рабочего времени.
2. Анализ производительности труда.
2.1. Анализ выполнения плана по росту производительности труда и определение прироста продукции за счёт этого фактора.
2.2. Факторный анализ производительности труда.
2.3. Резервы роста производительности труда.
3. Анализ оплаты труда.
3.1. Анализ состава и динамики фонда заработной платы.
3.2. Факторный анализ фонда заработной платы.
3.3. Анализ эффективности использования фонда заработной платы.
Источники информации для анализа:
План по труду, форма №1-Т «Отчёт по труду», форма №5-3 «Отчёт о затратах на производство и реализацию продукции (работ, услуг) предприятия (организации), статистическая отчётность отдела кадров по движению рабочих» и др.
Анализ использования рабочей силы.
В ходе анализа обеспеченности трудовыми ресурсами проводят сравнение фактической численности персонала с предыдущим периодом и плановой численностью отчётного периода по всем классификационным группам. В процессе анализа изучается соотношение между группами и тенденции изменения этого соотношения.
Влияние изменения удельного веса основных рабочих в общей их численности на выработку продукции одним работающим определяется по формуле:
?СВ = (УД1 – УД0) * СВ0, (5.36.)
где УД1, УД0 – удельный вес основных рабочих в общей их численности по плану (базисному периоду) и отчёту;
СВ0 – среднегодовая выработка одного работающего по плану.
Сокращение вспомогательных рабочих может быть достигнуто за счёт концентрации и специализации вспомогательных работ: по наладке и ремонту оборудования, повышению уровня механизации и совершенствованию труда этих рабочих.
Численность рабочих Чр определяют исходя из нормы трудоёмкости работ планируемого периода (Т), эффективного (действительного) годового фонда времени рабочего (Тэф) и планируемого коэффициента выполнения норм Кnn по формуле:
Т / (Тэф * Кnn). (5.37.)
Численность рабочих, занятых на аппаратурных, агрегатных работах, где действия рабочих заключаются в основном в управлении механизированными или автоматизированными процессами, определяют по рабочим местам и нормам обслуживания:
Чр = ? (ni * ЧPi * kЗi), (5.38.)
где ni – количество агрегатов на i-й операции;
ЧPi – количество рабочих, необходимое для обслуживания i-го рабочего места;
kЗi – коэффициент загрузки рабочих на i-й операции при совпадении профессий;
i – наименование операций.
Численность служащих определяется исходя из организационной структуры предприятия и рациональной численности, необходимой для обеспечения функций управления.
Численность непромышленного персонала определяется по типовым отраслевым нормативам, по нормам обслуживания.
Анализ профессионального и квалификационного уровня рабочих производится путём сопоставления наличной численности по специальностям и разрядам с необходимой для выполнения каждого вида работ по участкам, бригадам и предприятию в целом. При этом выявляется излишек или недостаток рабочих по каждой профессии.
Для оценки соответствия квалификации рабочих сложности выполняемых работ по участку, цеху, предприятию сравнивают средние тарифные разряды работ и рабочих
, которые можно определить по средневзвешенной арифметической формуле:![]() |
(5.39.)
![]() |
(5.40.)
где Тр – тарифный разряд;
Чp – общая численность (количество) рабочих;
Чpi – численность рабочих i-го разряда;
Vрi – объём работ i-го вида;
V - общий объем работ.
Если фактический средний тарифный разряд рабочих ниже планового ниже среднего тарифного разряда работ, то это может привести к снижению качества выпускаемой продукции и следовательно, необходимо предусмотреть повышение квалификации персонала. Если средний разряд рабочих выше среднего тарифного разряда работ, то рабочим необходимо производить доплату за использование их на менее квалифицированных работах.
В ходе анализа квалификации управленческого персонала проверяют соответствие уровня образования каждого работника занимаемой должности, изучают вопросы, связанные с подбором кадров, их подготовкой и повышением квалификации.
Квалификационный уровень работников зависит во многом от возраста, стажа работы, образования и т. д. Поэтому в процессе анализа изучают изменения в составе рабочих по возрасту, стажу работы, образованию.
Ответственным этапом в анализе использования предприятия кадрами является изучение движения рабочей силы. Анализ осуществляется в динамике за ряд лет на основе следующих коэффициентов (таблица 5.6.).
Таблица 5.6. – Показатели движения рабочей силы
|
Наименование показателя |
Методы расчета |
Экономическая интерпретация показателей |
|
Коэффициент оборота по приёму (Кn) |
Количество принятых работников . Среднесписочная численность работников |
Характеризует удельный вес принятых работников за период |
|
Коэффициент оборота по выбытию (Кв) |
Количество выбывших работников . Среднесписочная численность работников |
Характеризует удельный вес выбывших за период работников |
|
Коэффициент текучести кадров (Кт) |
Количество уволившихся по собственному желанию + нарушения трудовой дисциплины Среднесписочная численность работников |
Характеризует уровень увольнения работников по отрицательным причинам |
|
Коэффициент постоянства кадров (Кпост) |
1 - Кв |
Характеризует уровень работающих на данном предприятии постоянно в анализируемом периоде (году, квартале) |
В ходе анализа тщательному изучению подвергают причины выбытия работников за нарушение трудовой дисциплины, т. к. это часто связано с нерешёнными социальными проблемами.
Однако выпуск продукции зависит не столько от численности работающих, сколько от количества затраченного на производство труда, определённого количеством рабочего времени. Поэтому анализ использования рабочего времени является важной составной частью аналитической работы на предприятии.
Анализ использования рабочего времени осуществляется на основе баланса рабочего времени. Основные составляющие баланса представлены в таблице 5.7.
Таблица 5.7. – Основные показатели баланса рабочего времени одного рабочего
|
Показатель фонда времени |
Условное обозначение |
Формула расчета |
Примечания |
|
Календарный фонд |
Тк |
Тк = 365 дней |
tвых – время выходных и праздничных дней; tнеяв – дни неявок: отпуска, по болезни, по решению администрации, прогулы и пр.; t – номинальная продолжительность рабочего времени; tвп – время внутрисменных простоев и перерывов в работе, сокращенных и льготных часов. |
|
Номинальный (режимный) фонд |
Тном |
Тном = Тк – tвых |
|
|
Явочный (реальный) фонд |
Тяв |
Тяв = Тном – tнеяв |
|
|
Полезный фонд |
Тп |
Тп = Тяв * t - tвп |
Фонд рабочего времени (ФРВ) зависит от численности рабочих (Чр), количества отработанных одним рабочим дней в среднем за год (Д), средней продолжительности рабочего дня (t):
![]() |
(5.41.)
Если фактически одним рабочим отработанно меньше дней и часов, чем предусматривалось планом, то можно определить сверхплановые потери рабочего времени: целодневные (Дпот) и внутрисменные (tпот):
![]() |
(5.42.)
![]() |
(5.43.)
![]() |
(5.44.)
В ходе анализа необходимо выявить причины образования сверхплановых потерь рабочего времени. Среди них могут быть: дополнительные отпуска с разрешения администрации, невыходы на работу по болезни, прогулы, простои из-за неисправности оборудования, отсутствие работы, сырья, материалов, топлива, энергии и т. д. Каждый вид потерь должен быть подробно оценен, особенно тот, который зависит от предприятия. Уменьшение потерь рабочего времени по причинам, зависящим от трудового коллектива, является резервом увеличения производства продукции, который не требует дополнительных капитальных вложений и позволяет быстро получить отдачу.
Изучив потери рабочего времени, выявляют непроизводительные затраты труда, которые складываются из затрат рабочего времени в результате изготовления забракованной продукции и исправления брака, а также в связи с отклонениями от технологического процесса (дополнительные затраты рабочего времени). Для определения непроизводительных потерь рабочего времени используются данные о потерях от брака (журнал-ордер №10). На основании этих данных составляется аналитическая таблица 5.8.
Таблица 5.8. – Исходные данные для расчета непроизводительных затрат рабочего времени
|
Показатель |
Условные обозначения |
Сумма |
|
Производственная себестоимость товарной продукции |
Спр |
|
|
Заработная плата рабочих |
ЗПр |
|
|
Заработная плата производственных рабочих |
ЗПпр |
|
|
Материальные затраты |
МЗ |
|
|
Себестоимость забракованной продукции |
Сб |
|
|
Затраты на исправление брака |
Зб |
- удельный вес заработной платы производственных рабочих в производственной себестоимости товарной продукции (УДзп):
![]() |
(5.45.)
- сумму заработной платы в себестоимости окончательного брака (ЗПоб):
![]() |
(5.46.)
- удельный вес заработной платы производственных рабочих в производственной себестоимости товарной продукции за вычетом материальных затрат (УДtЗП):
(5.47.)
- заработную плату рабочих по исправлению брака (ЗПиб):
![]() |
(5.48.)
- заработную плату рабочих в окончательном браке и в затратах на его исправление (ЗПб):
(5.49.)
- среднечасовую заработную плату рабочих (ЗПЧ):
![]() |
(5.50.)
- рабочее время, затраченное на изготовление брака и его исправление (Тб):
![]() |
(5.51.)
Сокращение потерь рабочего времени – один из резервов увеличения выпуска продукции. Чтобы подсчитать его, необходимо потери рабочего времени (Тпот) по вине предприятия умножить на плановую среднечасовую выработку продукции (СВпл):
(5.52.)Потери рабочего времени не всегда приводят к уменьшению объёма производства продукции, т.к. они могут быть компенсированы повышением интенсивности труда работников. Поэтому при анализе использования трудовых ресурсов важное значение придаётся изучению показателей производительности труда.
Анализ производительности труда.
Для оценки уровня производительности труда применяется система обобщающих, частных и вспомогательных показателей.
Обобщающие показатели: среднегодовая, среднедневная и среднечасовая выработка продукции одним рабочим, среднегодовая выработка на одного работающего в стоимостном выражении.
Частные показатели: трудоемкость продукции определенного вида в натуральном выражении за 1 человеко-день или человеко-час.
Вспомогательные показатели: затраты времени на выполнение единицы определённого вида работ или объём выполненных работ за единицу времени.
Наиболее обобщающим показателем производительности труда является среднегодовая выработка продукции одним работающим (ГВ):
![]() |
(5.53.)
где ТП – объём товарной продукции в стоимостном выражении;
Ч – численность работающих.
Факторы, влияющие на годовую выработку, представлены на рисунке 5.8.
Отсюда факторная модель для показателя среднегодовой выработки будет иметь следующий вид:
(5.54.)Расчёт влияния этих факторов может быть проведён способами цепной подстановки, абсолютных разниц, относительных разниц или интегральным методом.
Трудоёмкость – затраты рабочего времени на единицу или весь объём изготовленной продукции: (5.55.)
где ФРВi – фонд рабочего времени на изготовление i-го вида изделий;
VВПi – количество изделий одного наименования в натуральном выражении.
Данный показатель является обратным среднечасовой выработке продукции.
![]() |
Рисунок 5.8. – Взаимосвязь факторов, определяющих среднегодовую выработку продукции работника предприятия
Снижение трудоёмкости продукции – важнейший фактор повышения производительности труда. Рост производительности труда происходит в первую очередь за счёт снижения трудоёмкости продукции. Достигнуть снижения трудоёмкости возможно за счёт внедрения мероприятий НТП, механизации и автоматизации производства и труда, а также увеличения кооперированных поставок, пересмотра норм выработки и т.д.
В процессе последующего анализа изучают показатели удельной трудоёмкости по видам продукции. Изменение среднего уровня удельной трудоёмкости может произойти за счёт изменения её уровня по отдельным видам продукции (ТЕi) и структуры производства (УДi). При увеличении удельного веса более трудоёмких изделий средний её уровень возрастает и наоборот:
![]() |
(5.56.)
Влияние этих факторов на средний уровень трудоёмкости можно определить методом цепной подстановки через средневзвешенные величины:
![]() |
(5.57.)
(5.58.)![]() |
(5.59.)
Изменение в уровне трудоёмкости не всегда оценивается однозначно. Трудоёмкость может возрастать при значительном удельном весе вновь осваиваемой продукции или улучшении её качества. Чтобы добиться повышения качества, надёжности и конкурентоспособности продукции, требуются дополнительные затраты средств и труда. Однако выигрыш от увеличения объёма продаж, более высоких цен, как правило, перекрывает проигрыш от повышения трудоёмкости изделий.
Поэтому взаимосвязь трудоёмкости продукции и её качества, себестоимости, объема продаж и прибыли должна находиться в центре внимания аналитиков.
В заключение анализа определяют резервы снижения удельной трудоёмкости продукции по отдельным изделиям и в целом по предприятию:
![]() |
(5.60.)
где Тф – фактические затраты рабочего времени на выпуск продукции;
Тн – затраты рабочего времени, связанные со снижением трудоёмкости, Тд – дополнительные затраты рабочего времени, связанные с внедрением мероприятия по снижению трудоёмкости;
ВПф – фактический объём валовой продукции;
ВПн – объём валовой продукции, полученный в связи со снижением трудоемкости.
В заключение анализа производительности труда необходимо выявить факторы ее повышения (таблица 5.9.)
Таблица 5.9. – Резервы роста производительности труда
|
Направления поисков резервов |
Результат (сумма) |
|
1. Изменение трудоемкости продукции |
Суммарное снижение трудоемкости от все мероприятий разделить на полезный (календарный) фонд рабочего времени |
|
1.1 за счет совершенствования техники |
|
|
1.2 за счет совершенствования технологии |
|
|
1.3 за счет внедрения новых методов организации труда |
|
|
……………………. |
|
|
Итого изменение трудоемкости в целом по предприятию составило |
|
|
2. Улучшение использования рабочего времени |
Суммарное устранение потерь рабочего времени нужно разделить на полезный фонд рабочего времени в часах рабочего |
|
2.1 Устранение потерь рабочего времени по внутрипроизводственным причинам (частые отклонения от технологии, переработка брака, неудовлетворительная организация труда) |
|
|
2.2 Ликвидация опозданий, прогулов и других нарушений трудовой дисциплины |
|
|
2.3 Устранение потерь рабочего времени из-за внешних факторов (недопоставка сырья, сбой электроэнергии, плохое качество ремонтных работ) |
|
|
……………………… |
|
|
Итого улучшение использования рабочего времени |
|
|
3. Направление использования кадров |
Все мероприятия рассчитать в стоимостном выражении |
|
3.1 Сокращение текучести кадров |
|
|
3.2. Совершенствование структуры управления |
|
|
3.3 Изменение соотношения основных и вспомогательных рабочих |
|
|
3.4 Целесообразное сокращение аппарата управления |
|
|
………………………. |
|
|
Итого использование кадров |
|
|
4. Структурные сдвиги, связанные с выпуском продукции, выгодной по трудоемкости |
Оценить в стоимостном выражении |
|
……………………….. |
|
|
Итого |
|
|
Всего резервов роста производительности труда |
|
Анализ фонда заработной платы.
Анализ использования фонда заработной платы начинают с расчёта абсолютного и относительного отклонения фактической его величины от плановой.
Абсолютное отклонение (?ФЗПа) определяется сравнением фактически использованных средств на оплату труда (ФЗПф) с плановым фондом заработной платы (ФЗПпл) в целом по предприятию, производственным подразделением и категориям работников:
![]() |
(5.61.)
Однако абсолютное отклонение рассчитывается без учёта степени выполнения плана по производству продукции. Учесть этот фактор поможет расчёт относительного отклонения фонда заработной платы (?ФЗПот).
Для этого переменная часть фонда заработной платы (ФЗПпер) корректируется на коэффициент выполнения плана по производству продукции (Кпп). К переменной части фонда заработной платы относят зарплату рабочих по сдельным расценкам, премии рабочим и управленческому персоналу за производственные результаты, сумму отпускных, соответствующую доле переменной зарплаты, другие выплаты, относящиеся к фонду заработной платы и которые изменяются пропорционально объёму производства продукции.
Постоянная часть оплаты труда (ФЗПпост) не изменяется при увеличении или спаде объёма производства – это зарплата рабочих по тарифным ставкам, зарплата служащих по окладам, все виды доплат, оплата труда работников непромышленных производств и соответствующая им сумма отпускных. Относительное отклонение фонда заработной платы составит:
![]() |
(5.62.)
В процессе последующего анализа определяют факторы, вызвавшие абсолютное и относительное отклонения по фонду заработной платы.
Факторная модель переменной части фонда зарплаты представлена на рисунке 5.9.
![]() |
Рисунок 5.9. – Схема факторной системы переменного фонда зарплаты
Для расчёта влияния этих факторов на абсолютное и относительное отклонение по фонду зарплаты необходимы следующие данные:
1. Фонд заработной платы:
а) по плану:
![]() |
(5.63.)
б) по плану, пересчитанному на объём производства, при плановой структуре:
(5.64.)
в) по плану, пересчитанному на фактический объём производства продукции и фактическую структуру:
(5.65.)д) фактически при фактической удельной трудоёмкости и плановом уровне оплаты труда:
![]() |
(5.66.)
е) фактически:
(5.67.)2. Отклонение от плана:
абсолютное:
(5.68.)
относительное:
![]() |
(5.69.)
Расчёт влияния факторов на изменение переменной части фонда оплаты труда проводят по формулам:
- влияние объёма производства продукции:
(5.70.)
- влияние изменения структуры произведённой продукции:
![]() |
(5.71.)
- влияние изменения удельной трудоёмкости продукции:
![]() |
(5.72.)
- влияние изменения оплаты труда:
![]() |
(5.73.)
В конце анализа необходимо провести проверку произведённых расчётов:
(5.74.)![]() |
(5.75.)
Факторная модель постоянной части фонда оплаты труда представлена на рисунке 5.10.
![]() |
Рисунок 5.10. – Схема факторной системы постоянного фонда зарплаты
Согласно этой схеме модель будет иметь следующий вид:
![]() |
(5.76.)
Аналогично можно представить факторную модель для фонда заработной платы служащих.
В процессе анализа необходимо также установить эффективность использования фонда заработной платы.
Для расширенного воспроизводства получения необходимой прибыли и рентабельности необходимо, чтобы темпы роста производительности труда опережали темп роста его оплаты. Если этот принцип не соблюдается, то происходит перерасход фонда зарплаты, повышение себестоимости продукции и, соответственно, уменьшение суммы прибыли.
Изменение среднего заработка работающих за период характеризуется его индексом (JЗП):
JЗП = ЗПср/отч / ЗПср/б, (5.77.)
где ЗПср/отч – средняя зарплата за отчетный год;
ЗПср/б – средняя зарплата за базисный год.
Изменение среднегодовой выработки определяется аналогично на основе индекса производительности труда (Jпт):
Jпт = Вср/отч / Вср/б, (5.78.)
где Вср/отч – средняя выработка за отчетный год;
Вср/б – средняя выработка за базисный год.
Темп роста производительности труда должен опережать темп роста средней заработной платы. Для этого рассчитывают коэффициент опережения Коп и анализируют его в динамике:(5.79.)
Затем производят подсчёт суммы экономии (перерасхода) (Э) фонда заработной платы в связи с изменением соотношений между темпами роста производительности труда и его оплаты:
![]() |
(5.80.)
В условиях высокой инфляции при анализе индекса роста средней заработной платы необходимо базисный показатель средней зарплаты (СЗ0) скорректировать на индекс роста цен на потребительские товары и услуги (Jу)
![]() |
(5.81.)
где СЗ1 – средняя зарплата в отчётном периоде.
В процессе анализа целесообразно рассчитать и сравнить в динамике или с межзаводскими данными такие показатели, как производство товарной продукции, сумму валовой прибыли, сумму отчислений в фонд накопления на рубль зарплаты.
При оценке эффективности использования трудовых ресурсов дополнительно определяется система показателей, дающих информацию об улучшении использования трудовых ресурсов. Система показателей может включать в себя сравнение следующих величин:
1) Сравнение производительности труда в стоимостном выражении с уровнем производительности труда предприятий-аналогов. За аналог принимается передовое предприятие. Для большей наглядности это сравнение может быть выполнено по прибыли на одного работника, что особенно важно для перспектив развития.
2) Сравнение темпов роста объемов производства, товарной продукции, численности работников, производительности труда, прибыли. В результате сравнения выясняется наличие опережения роста производительности труда, прибыли, объема производства над ростом численности.
3) Абсолютное высвобождение численности в разрезе категорий работников и по причинам. В качестве причин нужно рассмотреть сокращение выпуска нерентабельной продукции, ликвидацию ненужных рабочих мест.
Совершенствование системного управления качеством на примере предприятия химической отрасли
В качестве примера рассмотрим деятельность ОАО «Волжский Оргсинтез» в области качества.
ОАО «Волжский Оргсинтез» определило для себя основное направление развития – стать «компанией европейского класса». Это может быть достигнуто только за счет высоких требований к качеству, которое для ОАО «Волжский Оргсинтез» является основной ключевой целью. Под высоким качеством понимается в первую очередь удовлетворение требований и желаний потребителей, удовлетворение работников и акционеров, положительное влияние на общество.
Поскольку эти требования постоянно растут, качество должно непрерывно совершенствоваться. Это является необходимым условием технического обеспечения и фактором укрепления позиций предприятия на рынке.
Эта цель достигается на основе реализации следующих принципов:
Ориентации на потребителя. Это наиболее полное выполнение требований потребителя к продукции завода по техническим характеристикам, упаковке, надежному транспортированию, соответствие продукции и производства нормам и законам. Только потребитель может оценить качество продукции. Задача ОАО «Волжский Оргсинтез» - немедленно реагировать на его замечания, предложения и предлагать продукцию по приемлемым ценам.
Рационального использования ресурсов. Сохранение и увеличение ресурсов, снижение затрат, финансовая стабильность достигаются в первую очередь за счет предупреждения несоответствий, постоянного совершенствования продукта, производства и процессов управления.
Взаимной ответственности. Все работники предприятия являются одновременно заказчиками и поставщиками и ответственны за качество своей работы перед своими внутренними и внешними потребителями.
Создания социально-психологического климата. Отношения между работниками и руководителями строятся на основе справедливости и признания достижений. При равной квалификации – равные возможности в продвижении по службе.
Непрерывного обучения. Система постоянного повышения квалификации является основой высокого интеллектуального потенциала ОАО и, соответственно, конкурентного преимущества.
Сотрудничества с поставщиками. С поставщиками ОАО работает в духе сотрудничества, взаимного доверия и помогает развивать их системы качества.
Взаимных гарантии работников и акционерного общества. Все работники бережно относятся к имуществу общества, а общество гарантирует им безопасные условия труда и сохранение экологической среды.
Руководство предприятия берет на себя обязательства по обеспечению ресурсами основных направлений развития акционерного общества, реализации политики и доведения её до каждого работника.
Кроме общезаводских целей в области качества на ОАО «Волжский Оргсинтез» разрабатываются цели для каждого структурного подразделения предприятия.
Отдел системы качества разработал следующие цели в области качества на 2001-2003 годы:
1) Сертификация системы качества по модели ИСО 9002, что позволит предприятию:
- минимизировать риск отказа покупателя от продукции или ее возврата (вследствие нестабильности качества) и связанных с этим потерь и ухудшения экономических показателей деятельности предприятия;
- повысить конкурентоспособность ОАО «Волжский Оргсинтез» и, как следствие, расширить внутренний рынок и увеличить экспортные возможности;
- повысить престиж предприятия в глазах потребителей и общества, укрепить доверие к фирменной марке. Следствием сертификации, таким образом, станет рост заказов, поступающих как от отечественных, так и от зарубежных потребителей и увеличение объемов сбыта продукции;
- повысить эффективность менеджмента качества за счет использование недвусмысленных процедур и рационального распределения полномочий и ответственности в области качества;
- улучшить отношение исполнителей к работе вследствие наличия необходимых инструкций, обучения, более простого представления информации о проблемах качества, ощущения надежности работы;
- получить возможность «говорить на одном языке» со специалистами по качеству на международном уровне.
2) Сертификация системы управления окружающей средой по ИСО 14000.
3) Совершенствование системы качества предприятия с целью продвижения ее к TQM.
4) Постоянное повышение квалификации персонала в области качества.
Система качества – это целостная система, состоящая из организационно самостоятельных, но взаимосвязанных элементов. На ОАО «Волжский Оргсинтез» по каждому элементу разработаны методологические инструкции.
В качестве путей совершенствования системного управления качеством на ОАО «Волжский Оргсинтез» можно представить следующие: внедрение статистических методов для анализа данных по качеству и создание подсистемы оценки затрат на качество.
Проанализировать данные по качеству, найти причины брака можно при помощи статистических методов. На ОАО «Волжский Оргсинтез» такие методы не внедрены, хотя давно признана целесообразность их внедрения на предприятиях, так как они позволяют:
- изучать и управлять процессами, обнаруживая случайные и закономерные влияния;
- оценивать возможности процессов (технологическая точность);
- самообучаться персоналу;
- управлять персоналом;
- проверять эффективность мероприятий, постоянно улучшать качество продукции.
Статистические методы применяют для сравнения и анализа больших множеств данных, представляя их в какой-либо наглядной форме (диаграмма Парето, столбиковые диаграммы, контрольные карты, причинно-следственные диаграммы)[40].
Одним из методов совершенствования управления качеством является построение контрольных карт.
Контрольные карты – наиболее мощные средства анализа вариаций большинства процессов как производственных, так и управленческих. В 1931 году эти карты были предложены Уолтером Шухартом в книге «Экономный контроль качества промышленной продукции». Контрольные карты – это линейные графики, показывающие динамику поведения процесса[41].
Контрольная карта состоит из центральной линии, двух контрольных пределов (над и под центральной линией) и значений характеристики (показателя качества), нанесенных на карту для представления состояния процесса.
В определенные периоды времени отбирают (все подряд; выборочно; периодически из непрерывного потока и т.
д.) n изготовленных изделий и измеряют контролируемый параметр.
Результаты измерений наносят на контрольную карту, и в зависимости от этого значения принимают решение о корректировке процесса или о продолжении процесса без корректировок.
Для вычисления верхнего и нижнего контрольных пределов надо иметь около 100 точек данных на контрольной карте.
Все карты можно разделить на два типа, в зависимости оттого, что является объектом исследования:
- контрольные карты для количественных переменных (температура, размер, товарная масса и т.п.);
- контрольные карты для качественных переменных (число рекламаций, частота прогулов, число дефектов).
На ОАО «Волжский Оргсинтез» целесообразно внедрить карты второго типа, в частности p-карты, которые отражают долю дефектов в объеме продукции. Такие карты позволят проследить тренды и циклы, оценить изменения в процессе.
Рассмотрим правила построения р-карт. Исходные данные:
- объем подгрупп больше, чем 50;
- среднее число дефектов или дефектных изделий равно или больше 4;
- если фактический объем подгруппы отличается на ±50% от среднего объема подгруппы, то нужно либо выбросить эту точку, либо вычислить для нее индивидуальные контрольные пределы.
В качестве примера применения контрольных карт для качественных переменных построим р-карту для определения динамики появления дефектов при производстве анилина, одного из продуктов ОАО «Волжский Оргсинтез». По данным из таблицы 3.7. найдем `n (средний объем подгруппы) и `p (средний процент брака):

Таблица 3.7. – Исходные данные для построения контрольной карты для доли дефектов в объеме произведенного анилина за январь 2000 года
|
Номер партии |
Объем партии (п, переменный), т |
Число дефектов в выборке (пр) |
Процент брака в каждой выборке, % |
|
1 |
50 |
2 |
4,0 |
|
2 |
50 |
10 |
20,0 |
|
3 |
60 |
6 |
10,0 |
|
4 |
65 |
4 |
6,2 |
|
5 |
50 |
5 |
10,0 |
|
6 |
50 |
10 |
20,0 |
|
7 |
55 |
5 |
9,1 |
|
8 |
60 |
8 |
13,3 |
|
9 |
50 |
2 |
4,0 |
|
10 |
55 |
4 |
7,3 |
![]() |
|
![]() |
Внешний контрольный предел (ВКПр) и нижний контрольный предел (НКПр) определим по формуле:
(3.7.) или в цифровом выражении:

Построим контрольную карту для качественного признака доля дефектов в объеме произведенного анилина за январь 2000 года (рисунок 3.7.).

Рисунок 3.7. – Р-карта качественного признака: доля дефектов в объеме произведенного анилина за январь 2000 года
Из рисунка видно, что в процессе производства анилина появление дефектов имеет скачкообразный характер. Причинами этого могут быть изменения в составе сырья или технологии, неполадки в контролирующем оборудовании и др. Таким образом, процесс нестабилен, и нормализировать его можно после анализа причин появления дефектов.
Еще одним распространенным и эффективным статистическим методом, позволяющим произвести анализ причин появления того или иного дефекта является метод построения причинно-следственной диаграммы Исикавы. Данный метод позволяет:
- разбить проблемы на составляющие;
- показать, как взаимодействуют различные причины, при помощи построения иерархии этих причин;
- представить многие причины графически.
Построение диаграмм включает следующие этапы:
- выбор результативного показателя, характеризующего качество изделия (процесса и т. д.);
- выбор главных причин, влияющих на показатель качества. Их необходимо поместить в прямоугольники («большие кости»);
- выбор вторичных причин («средние кости»), влияющих на главные;
- выбор (описание) причин третичного порядка («мелкие кости»), которые влияют на вторичные;
- ранжирование факторов по их значимости и выделение наиболее важных.
На рисунке 3.8. построена причинно-следственная диаграмма Исикавы для дефекта «высокая доля примесей в анилине». Рассматривая рисунок можно сделать вывод, что отклонения в качестве получаемого анилина из-за сырья возникают вследствие наличия примесей в нитробензоле (воды и сернистых соединений), перебоев с поставкой нитробензола, недостаточного запаса водорода в газгольдере, а также из-за плохого качества катализатора.
Персонал тоже выступает причиной низкого качества анилина, в частности из-за невнимательности, прогулов и текучести кадров. В процессе производства данного вида продукции были выявлены причины отклонений от установленных требований из-за технологии производства. Ошибки, вызывающие брак, возникают на стадии очистки нитробензола от примесей (от воды и от сернистых соединений), при отгонке летучих соединений и на стадии получения товарного анилина. Также на качество продукта влияет то, что внедренная новая линия производства еще недостаточно отлажена.
![]() |
Рисунок 3.8. – Причинно-следственная диаграмма Исикавы для дефекта «высокая доля примесей в анилине»
Причинно-следственная диаграмма Исикавы позволяет увидеть многие проблемы, но не дает ответа на вопрос какие из них решать в первую очередь, чтобы добиться улучшения качества продукции или процесса. В данном случае применяется метод построения диаграммы Парето.
Диаграммы Парето – это специфические формы столбчатых графиков. С их помощью можно установить приоритеты для выявления основных проблем. Эти диаграммы могут помочь руководству получить ясную картину и определить, где можно оказать самое большое воздействие.
Принципы построения диаграммы Парето следующие:
- все выявленные при построении причинно-следственной диаграммы Исикавы проблемы делятся на категории. При производстве анилина такими категориями являются: А – сырье; Б – технология; В – персонал; Г – оборудование; Д – окружающая среда;
- определяют, какая категория содержит наибольшее число проблем, распределяют категории на диаграмме в порядке убывания слева на право;
- строят кумулятивную линию, которая наглядно показывает вес каждой категории в общей массе проблем.
![]() |
На рисунке 3.9. построена диаграмма Парето относительно причин дефекта – высокая доля примесей в готовом продукте (анилин) по данным причинно-следственной диаграммы Исикавы.
Рисунок 3.9. – Диаграмма Парето для анализа причин дефекта «высокая доля примесей в готовом анилине»
Рисунок 3.9. позволяет сделать вывод, что в первую очередь следует направить усилия на устранение причин дефекта категории А – сырье, так как они составляют 30 % в общей массе причин. Здесь возможны следующие варианты действий:
- либо работа с поставщиками (поиск новых, у которых качество нитробензола, катализаторов лучше или переговоры со старыми поставщиками о путях повышения качества их продукции);
- либо приобретение оборудования, которое позволит очистить сырье от примесей.
Таким образом, можно сделать вывод, что внедрение таких статистических методов, как контрольные карты для качественных признаков (р-карты), причинно-следственная диаграмма Исикавы и диаграмма Парето, позволят производить глубокий анализ причин отклонений от установленных требований в процессе производства и рационально использовать ресурсы при устранении этих причин.
Кроме использования статистических методов управления качеством немаловажно внедрить и экономический механизм управления качеством, который будет включать в себя оценку затрат на качество. Это необходимо сделать потому что, любые действия по устранению причин дефектов, освоению нового продукта или предотвращению дефектов влекут за собой дополнительные затраты. Данные затраты являются, несомненно, затратами на качество. На ОАО «Волжский Оргсинтез» во избежание неоправданных расходов целесообразно осуществлять управление этим видом затрат.
Для внедрения на ОАО «Волжский Оргсинтез» можно предложить следующую классификацию затрат на качество:
- для новых продуктов производить подсчет единовременных затрат. Сюда входят затраты, связанные с проведением научно-исследовательских, опытно-конструкторских и технологических работ, организационно-технических мероприятий, техническим перевооружением и реконструкцией производств, подготовкой, повышением квалификации и переподготовкой кадров и других мероприятий, направленных на повышение качества продукции и ее конкурентоспособности;
- для текущего анализа производить расчет затрат: связанных с содержанием подразделений по управлению качеством продукции или реализацией функций управления качеством продукции; с предотвращением дефектов в продукции, их выявлением и устранением, а также потери, обусловленные передачей далее по технологической цепочке и потребителям дефектной продукции.
В общем алгоритм формирования подсистемы оценки затрат на качество продукции можно представить в виде схемы (рисунок 3.10.).
![]() |
Рисунок 3.10. – Формирование подсистемы оценки затрат на качество
Технологический процесс необходимо разделить на блоки (переделы) таким образом, чтобы каждый блок характеризовался относительной самостоятельностью в организации производства (цех, бригада).
Для примера возьмем цех №20 (производство анилина). При определении причин появления дефектов целесообразно воспользоваться причинно-следственной диаграммой Исикавы, которая была построена ранее.
Для цеха №20 может быть предложена следующая группировка способов предотвращения дефектов: мероприятия по устранению причин дефектов для сырья – входной контроль исходного сырья (в соответствии с МИ 4.10-ОТК-01-99), для устранения дефектов из-за технологии – модернизация оборудования (МИ 4.9-НИЦ-02-99), еще одна группа мероприятий по устранению причин дефектов – контроль технологической дисциплины (МИ 4.9-ПТО-07-99).
Следующим шагом при формировании подсистемы оценки затрат на качество является определение расчетных формул[42].
В соответствии с выбранной классификацией затрат определим формулы для каждого вида затрат:
- затраты, связанные с содержанием подразделений по управлению качеством продукции (Зукп) рассчитываются по формуле:
, (3.8.)где Фiукп – месячный фонд оплаты труда i-го подразделения по управлению качеством продукции, руб.;
Аiукп – сумма амортизационных отчислений на возмещение стоимости основных производственных фондов, находящегося в распоряжении i-го подразделения;
п – число подразделений предприятия по управлению качеством.
- затраты на проведение какого-либо мероприятия по предупреждению, выявлению и устранению дефектов (З1) определяются по следующей формуле:
, (3.9.)где аi – величина амортизационных отчислений на возмещение стоимости i-го вида оборудования, руб./год;
n – виды оборудования;
m – виды сырья;
cj – количество j- го вида сырья, израсходованного на переделе в месяц;
цj – оптовая цена j-го вида сырья;
Фа – заработная плата, начисленная за реализацию данного мероприятия.
Потери, связанные с наличием дефектов в полупродуктах и готовой продукции (З2) , определяются по следующей формуле:
, (3.10.)где Сn – фактическая себестоимость единицы готовой продукции;
Д – доход (прибыль) от реализации единицы готовой продукции;
Nc – объем списанной продукции в натуральном выражении;
Cu – стоимость устранения дефекта в единице продукции;
Nu – объем продукции, в которой произведено устранение дефекта.
Произведем расчет затрат на качество при производстве 100 тонн анилина за февраль 2000 года (таблица 3.8.).
Таблица 3.8. – Затраты на обеспечение качества анилина на ОАО «Волжский Оргсинтез» за февраль 2000 года
|
Наименование |
Затраты, тыс. руб. |
Доля затрат на качество в цеховой себестоимости, % |
|
Затраты, связанные с содержанием подразделений по управлению качеством продукции |
4,17 |
1,01 |
|
Затраты на проведение какого-либо мероприятия по предупреждению, выявлению и устранению дефектов, в том числе: |
23,56 |
5,68 |
|
амортизационные отчисления на возмещение стоимости оборудования |
7,56 |
1,82 |
|
стоимость сырья, материалов, энергоносителей |
11,00 |
2,65 |
|
оплата труда работников, участвующих в реализации данного мероприятия |
5,00 |
1,20 |
|
Потери, связанные с наличием дефектов в полупродуктах и готовой продукции, в том числе: |
71,72 |
17,29 |
|
потери, связанные со списанием продукции с неустранимыми дефектами |
12,31 |
2,96 |
|
потери, связанные с устранением дефектов |
59,43 |
14,33 |
|
Итого затрат на качество |
99,43 |
23,99 |
|
Цеховая себестоимость анилина |
414,51 |
100% |
Вывод в такой ситуации можно сделать следующий: уровень затрат на качество необходимо понизить, что позволит уменьшить себестоимость продукции. Например, уменьшение потерь, связанных с наличием дефектов в полупродуктах и готовой продукции на 10% повлечет за собой уменьшение себестоимости на 1,7 % или 7,2 тыс. руб. Также необходимо направлять больше средств на проведение какого-либо мероприятия по предупреждению, выявлению и устранению дефектов и одновременно понижать потери, связанные с дефектами, тем самым повысится эффективность системного управления качеством.
После расчета затрат на качество и их анализа следует свести данные затраты в один банк данных и их дальнейший учет производить при помощи вычислительной техники. Для этого необходимо создать методологическую инструкцию, в которой будут обозначены основные формулы для расчета затрат на качество, определена ответственность.
Подводя итог, можно отметить, что внедрение статистических методов и подсистемы оценки затрат на качество позволят значительно повысить эффективность работы системы качества любого промышленного предприятия.
Структура системы качества на промышленных предприятиях
Для понимания деятельности, осуществляемой в системе качества, исключительно важным является уточнение таких терминов, как «менеджмент качества», «планирование качества», «управление качеством», «обеспечение качества» и «улучшение качества». Это необходимо, так как именно на понимании сущности данных терминов строится основа понимания руководителем предприятия, его командой и непосредственно работниками целей, к которым необходимо стремится при внедрении системы качества и результатов, которые принесет это внедрение.
Под менеджментом качества понимаются те аспекты общей функции руководства, которые определяют политику в области качества, цели и ответственность, и осуществляют их путем планирования качества, управления качеством, обеспечения и улучшения качества в рамках системы качества. Отдельные обязанности по менеджменту качества лежат на руководителях всех структурных подразделений, но руководство деятельностью этих должностных лиц возлагается на первое лицо предприятия.
Планирование качества на наш взгляд, это деятельность, которая устанавливает цели и требования к качеству и применению элементов системы качества. Планирование качества охватывает планирование качества продукции, планирование управленческой и функциональной деятельности, подготовку программ качества и выработку мероприятий по улучшению качества.
Под управлением качеством мы понимаем методы и виды деятельности оперативного характера, используемые для выполнения требований к качеству. Управление качеством в трактовке стандартов ИСО направлено на устранение причин неудовлетворительного функционирования процессов в системе качества.
Обеспечение качества – все планируемые и систематически осуществляемые действия в рамках системы качества, а также демонстрируемые, в случае необходимости, для создания достаточной уверенности в том, что объект будет соответствовать требованиям по качеству. Обеспечение качества наряду с улучшением качества является целевой функцией менеджмента качества. Чем эффективнее менеджмент качества, тем эффективнее обеспечение качества.
Целью обеспечения качества является создание уверенности у руководства предприятия, у потребителя или у других лиц, что требования к качеству выполняются.
Улучшение качества заключается в разработке мероприятий, предпринимаемых повсюду на предприятии с целью повышения эффективности и результативности деятельности и процессов для получения выгоды, как для предприятия, так и для его потребителей. Сущностью улучшения является получение результатов в области качества, превышающих уже достигнутые.
Система менеджмента качества является неотъемлемой частью (подсистемой) системы управления предприятием. Она имеет множество внутренних и внешних связей, по которым проходит большое количество сигналов. Эта система увязана с другими подсистемами общей системы управления предприятием:
- целевой (поставка продукции, ресурсов);
- функциональной (стратегическое планирование, подготовка производства, управление технологическими процессами, сбыт продукции, управление финансами);
- организационной (гибкость управления, новаторство при принятии решения);
- мотивационной (компетентность работников, обучение, наличие комплексной кадровой политики, система премирования и поощрений);
- социальной (социальная защищенность работников, экологическая безопасность);
- информационной (проводимые исследования рынка, наличие операционных баз данных);
- философской (уровень культуры, имидж фирмы, этика управления);
- подсистемой взаимодействия с внешней средой (связь с прессой, рекламная компания, лоббирование, сотрудничество с членами законодательных органов).
Система менеджмента качества имеет свои цели, функции и ресурсы, свое нормативное и информационное обеспечение. Связь с остальными системами предприятия осуществляется в процессе работ, выполняемых в течение всего жизненного цикла продукции.
Говоря о структуре системы качества (СК) необходимо отметить, что подразделение, отвечающее за данную область, функционирует со всеми остальными подразделениями предприятия.
При нарушении связей с тем или иным подразделением нарушается и вся цепочка эффективного функционирования системы качества. Таким образом, следует помнить, что управление качеством – это процедура, которая включает в себя взаимодействие между всеми отделами и службами.
В предлагаемой модели определяется место системы менеджмента качества в системе управления промышленным предприятием (рисунок 3.1.).
![]() |
Рисунок 3.1. – Место системы менеджмента качества в системе управления промышленным предприятием
В зависимости от того, какие цели ставятся перед системой качества (внутренние или внешние), в специальной литературе она отождествляется либо с системой менеджмента качества, либо с системой обеспечения качества. Однако, поскольку в системе качества, согласно концепции стандартов ИСО, выполняются работы и по менеджменту качества, и по обеспечению качества, то, очевидно, что более правильным является применение единого объединяющего термина «система качества».
Система качества – это система, определяющими компонентами которой являются организационная структура, процедуры, процессы и ресурсы. Именно по этим компонентам оценивается способность системы качества обеспечивать ее надлежащее функционирование. Отсутствие любого из этих компонентов делает систему качества неполноценной. Вместе с тем система качества – не набор, а органическая совокупность компонентов, в которой каждый из них связан с остальными определенными отношениями.
Система качества – система, ориентированная на требовании потребителя к качеству продукции. Поэтому она должна включать в себя механизм, обеспечивающий постоянное изучение существующих требований и ожиданий потребителя в области качества.
Система качества - социально-экономическая система; объектом управления при такой системе выступает весь персонал предприятия. При этом разработчики системы должны широко использовать современную философию качества, опираться на опыт и традиции, сложившиеся в коллективе.
Система качества – информационно-насыщенная система, в которой обращается огромный массив разнообразной информации.
Управление качеством является на несколько порядков более информационно емким, чем управление количеством. С учетом этого при проектировании системы качества необходимо обеспечить рационализацию и упорядочение информационных потоков.
Система качества – система, обеспечивающая точность, согласованность, своевременность и полноту принимаемых решений в области качества. Исходя из этого, при проектировании системы, следует четко определить порядок подготовки, принятия, исполнения, контроля и оценки эффективности решений на всех иерархических уровнях административного руководства качеством.
Состав и содержание элементов определяются разработчиками в зависимости от задач, решаемых системой качества, особенностей продукции, производственных процессов и уже сложившейся системы качества.
Таким образом, систему качества можно охарактеризовать как социально-экономическую систему, объектом управления которой выступает весь персонал предприятия, эффективность функционирования которой зависит от степени заинтересованности должностных лиц в повышении качества; степени преобразования организационной структуры под всеобщее управление качеством и уровня инвестиций в интеллектуальный капитал предприятия.
При определении органов управления качеством продукции нужно исходить из того, что управление качеством – органическая составная часть общего управления производством, одна из его ветвей, одна из его функций. В силу этого оно не может противостоять ему. Поэтому, как правило, управление качеством развивается и выполняется в рамках действующего аппарата управления и заключается в более четкой и хорошо организованной деятельности по выявлению потребностей, созданию, изготовлению и обслуживанию продукции.
На уровне предприятия, объединения управление качеством организуется одним из двух способов. Первый заключается в четком распределении функций и задач управления качеством продукции между существующими подразделениями и работниками, периодическом пересмотре как самих функций и задач, так и их распределения ради улучшения деятельности.
При этом не создается специализированный орган – отдел управления качеством.
Второй предполагает в дополнение к первому варианту выделение общей функции координации и создание специального органа – отдела управления качеством. На этот отдел и возлагаются многие специальные функции управления качеством продукции.
Каждый из этих двух вариантов имеет свои преимущества и свои недостатки.
Так, преимущества первого варианта заключается в том, что все участники производственного процесса несут ответственность за качество. Не возникает чувства того, что кто-то за них несет эту ответственность и должен решать все вопросы, связанные с качеством. Недостаток состоит в том, что ряд координирующих функций никто не выполняет, никто не ведет организационных и методических вопросов общего характера.
Второй вариант лишен указанного недостатка, но зато у работников предприятия нередко возникает чувство, что есть специально выделенные люди на предприятии, которые отвечают за качество, следовательно, они и должны решать все проблемы, связанные с качеством.
В любом варианте общее руководство системой управления качеством должен возглавлять руководитель предприятия, отвечающий за всю деятельность предприятия и за экономические результаты, которые в условиях рыночной экономики не могут быть высокими при плохом качестве продукции.
В качестве примера рассмотрим второй вариант, наиболее характерный для средних и крупных промышленных предприятий.
Отдел качества на предприятии должен выполнять следующие задачи:
- осуществлять консультации при разработке документов системы качества, необходимых для осуществления общего руководства предприятия в области качества;
- оказывать методическую помощь при составлении и выполнении программ обучения персонала по СК;
- проводить разъяснительную работу с персоналом, направленную на углубленное понимание Политики в области качества;
- проводить регулярные внутренние проверки СК с целью установления соответствия системы качества установленным требованиям и определения эффективности системы качества с точки зрения достижения целей, установленных в области качества.
Структура и штатное расписание отдела системы качества должны утверждаться генеральным директором, с учетом численности производственного персонала предприятия.
В качестве примера приведем структуру отдела системы качества ОАО «Волжский Оргсинтез» (рисунок 3.2.).
![]() |
Рисунок 3.2. – Структура системы качества ОАО «Волжский Оргсинтез»
На наш взгляд, отдел системы качества на предприятии должен:
- осуществлять организационное руководство разработкой, внедрением и функционированием СК на предприятии;
- осуществлять подготовку и проведение внутренних проверок СК, анализировать их результаты, контролировать выполнение корректирующих мероприятий;
- информировать высшее руководство об эффективности функционирования СК на предприятии;
- принимать участие в организации и проведении совещаний по качеству;
- участвовать в ежегодном установлении целей для реализации Политики в области качества;
- осуществлять подготовку и проведение внешних аудитов СК. Принимать участие в проведении анализа выявленных отклонений и составлении плана мероприятий по их устранению, контролировать их выполнение;
- сопровождать выполнение программы обучения в области качества;
- проводить постоянную актуализацию СК;
- обеспечивать структурные подразделения предприятия (СПП) нормативной документацией СК предприятия.
Отдел системы качества должен предоставлять всем СПП, включенным в СК:
- утвержденные документы СК и изменения к ним;
- перечень контрольных вопросов по проведению внутренних проверок СК;
- отчеты по внутренним проверкам СК и протоколы несоответствий к отчетам;
- планы мероприятий по совершенствованию СК.
От всех СПП, включенных в систему качества, отдел качества должен получать:
- документы СК и изменения к ним, разработанные в СПП;
- протоколы несоответствий к отчету с корректирующими мероприятиями и отчетами о выполнении корректирующих мероприятий.
ОСК на предприятии имеет право:
- требовать от СПП предоставления материалов (планов, справок, информации), необходимых для выполнения функций, возложенных на отдел;
- требовать от СПП разработки необходимых документов СК на основании утвержденных планов-графиков и приказов;
- осуществлять деловые связи и переписку с другими предприятиями и фирмами по вопросам разработки, внедрения и функционирования СК;
- приобретать в установленном порядке учебно-методическую, техническую литературу, наглядные пособия;
- привлекать, при необходимости и в установленном на предприятии порядке, сотрудников соответствующих СПП к выполнению работ в области СК;
- вносить предложения по совершенствованию СК.
Всю работу системы качества можно разделить на следующие виды: общее руководство, организационные мероприятия, проверки, контроль, работа с документами по СК, анализ, обучение, организация и стимулирование труда (таблица 3.1.)[29].
Таблица 3.1. – Структура организации системы качества на предприятии по видам работ
|
Вид работ |
Характеристика работ |
|
Общее руководство |
Разработка концепции построения системы качества и ее актуализация |
|
Разработка Политики и целей организации в области качества |
|
|
Организационные мероприятия |
Подготовка проведения дней качества на предприятии |
|
Организация работы с внешними организациями, привлекаемыми к разработке, внедрению, сертификации СК |
|
|
Подготовка и проведение совещаний по оценке состояния СК |
|
|
Участие в выборе сертифицирующего органа |
|
|
Организация и разработка корректирующих предупреждающих действий в области СК |
|
|
Разработка и согласование проектов организационно-распорядительных мероприятий |
|
|
Проверки |
Руководство проведением внутренних проверок СК |
|
Проведение внутренних проверок СК |
|
|
Работа с внешними аудиторами при проведении сертификационного и последующих аудитов |
|
|
Контроль |
Контролирование соответствия документов СК требованиям стандартов |
|
Контроль выполнения работ в установленные организационно-распорядительными документами сроки, а также своевременное предоставление отчетных и справочных материалов работниками отделов |
|
|
Осуществление контроля за хранением документов СК |
Продолжение таблицы 3.1.
|
Работа с документами по СК |
Разработка плана-графика разработки документов СК |
|
Определение требований к составу и содержанию документов СК |
|
|
Выдача заданий разработчикам документов СК, согласование вопросов в процессе разработки, урегулирование разногласий |
|
|
Обеспечение структурных подразделений предприятия разработанными и утвержденными в установленном порядке документами СК |
|
|
Разработка документов СК и изменений к ним совместно с ответственной за это мероприятие группой |
|
|
Регистрация разработанных документов СК |
|
|
Анализ |
Анализ затрат на качества |
|
Подготовка проекта анализа СК со стороны высшего руководства и проект мероприятий по совершенствованию СК |
|
|
Обучение |
Принятие участия в научно-практических конференциях, семинарах, выставках, связанных с разработкой, внедрением и совершенствованием СК |
|
Планирование обучения и повышения квалификации работников предприятия в области СК |
|
|
Разработка программ обучения работников предприятия по СК |
|
|
Организация и стимулирование труда |
Определение потребности в квалифицированных кадрах в области СК |
|
Осуществление подбора, расстановки и целесообразного использования кадров в области СК |
|
|
Предоставление предложений о поощрении отличившихся работников, наложении дисциплинарных взысканий на нарушителей трудовой дисциплины |
|
|
Создание благоприятного социально-психологического климата в коллективе |
Говоря об организационном аспекте управления системой качества на предприятии, не следует забывать о том, кто займется сбором и анализом данных, составлением отчета по затратам на качество. Это не должно происходить от случая к случаю; должна быть выработана система. При этом, необходимо быть уверенным в том, что все данные согласуются с финансовыми материалами, счетами и т.д. Необходимо опираться на реальные бухгалтерские данные при получении элементов затрат. Так, кажется логичным, чтобы экономисты были привлечены к этой работе.
Однако, они будут нуждаться в помощи по классификации и анализу элементов затрат; это уже работа отдела по качеству.
Информация о расходах на качество должна быть постоянно в центре внимания руководства как для их контроля, так и для увязки этих затрат с другими статьями расходов. В рамках систем качества затраты на качество подразделяют на затраты изготовителя и другие расходы.
К затратам изготовителя относят:
- предупредительные затраты (расходы, связанные с планированием качества; организацией и внедрением системы управления качеством; разработкой требований к контролю качества сырья и материалов, производственных процессов и выпускаемой продукции; подготовкой методик, инструкций и т.д.; анализом качества на допроизводственной стадии; затраты на контроль технологического процесса, контрольного и испытательного оборудования; расходы на создание программ обучения и подготовки кадров);
- оценочные затраты (затраты на испытания и контроль исходных материалов; на проверку, использование и ремонт контрольно-испытательного оборудования; испытание изделий для оценки их эксплуатационных характеристик; аттестацию качества продукции и др.);
- затраты из-за внутренних отказов (образуются по причинам потерь качества, обнаруженных до отправки изделий заказчику);
- издержки из-за внешних отказов (расходы на доработку товара в течение гарантийного срока; расходы по устранению дефектов в процессе технического обслуживания; расходы, связанные с возвратом товаров ненадлежащего качества).
К другим расходам относятся:
- косвенные расходы на качество (эти затраты могут быть снижены за счет сокращения материалов, подлежащих проверке и испытаниям, ликвидации простоев, сертификации продукции, исключающей дополнительную ее проверку потребителем);
- расходы поставщиков на качество;
- непредвиденные расходы (выражаются в уменьшении объема сбыта вследствие возникновения отрицательной реакции потребителей на товары организации);
- затраты на оборудование в рамках информационного обеспечения системы качества (при планировании этих расходов важно выяснить возможность снижения расходов на качество в результате внедрения новых технологий, а также увеличения срока службы оборудования);
- затраты, связанные с потреблением продукции (эта информация крайне важна, т.к. она является основанием для внесения соответствующих изменений в систему обеспечения качества).
По каждой статье расходов на качество в рамках приведенной классификации необходимо ведение строгой отчетности на основе анализа и контроля. Для осуществления разработанной программы важно накопление банка данных и их компьютерная обработка; представление сведений на все уровни управления организацией; анализ тенденций изменения расходов на качество и установление их оптимального уровня; выявление тех звеньев в производстве, где нужно усилить контроль.
По данным американских экспертов, затраты на качество многих фирм достигают 20% от объема продаж, причем наблюдается их ежегодный рост на 5-7%. Внедрение же эффективной системы качества, работающей по принципу предупреждения, а не обнаружения дефектов, позволяет снизить уровень затрат на качество до 2,5%.
Распределение деятельности и ответственности за нее может быть следующее (таблица 3.2.)[30].
Таблица 3.2. – Распределение обязанностей при оценке затрат на качество
|
Деятельность |
Исполнитель |
|
Определение категорий затрат |
Экономический отдел, отдел системы качества |
|
Сбор данных о затратах |
Экономический отдел |
|
Распределение данных по категориям |
Экономический отдел |
|
Предоставление данных о затратах в отдел системы качества |
Экономический отдел |
|
Анализ затрат |
Отдел системы качества |
|
Исследование причин |
Отдел системы качества |
|
Разработка рекомендаций по снижению затрат |
Отдел системы качества |
|
Составление отчета по затратам на качество |
Отдел системы качества |
|
Координация деятельности по управлению затратами внутри предприятия |
Отдел системы качества |
|
Наблюдение за выполнением рекомендаций и корректирующих мероприятий |
Отдел системы качества |
В зависимости от целей, задач анализа затрат на качество и возможностей получения необходимых для его осуществления данных, аналитические методы существенно различаются. Влияет на это различие и прохождения продукцией определенного этапа деятельности предприятия, и ее место в цепочке формирования затрат в конкретный момент.
На этапах проектирования, технологического планирования, подготовки и освоения производства целесообразно применение функционально-стоимостного анализа (ФАС). Это – метод системного исследования функций отдельного изделия или технологического, производственного, хозяйственного процесса, структуры ориентированный на повышение эффективности использования ресурсов путем оптимизации соотношения между потребительскими свойствами объекта и затратами на его разработку, производство и эксплуатацию.
Основными принципами применения ФАС являются:
- функциональный подход к объекту исследования;
- системный подход к анализу объекта и выполняемых им функций;
- исследование функций объекта и их материальных носителей на всех стадиях жизненного цикла изделия;
- соответствие качества и полезности функций продукции затратам на них;
- коллективное творчество.
Цель функционально-стоимостного анализа состоит в развитии полезных функций объекта при оптимальном соотношении между их значимостью для потребителя и затратами на их осуществление, т.е. выборе наиболее благоприятного для потребителя и производителя, если речь идет о производстве продукции, варианта решения задачи о качестве продукции и ее стоимости. Математически цель ФСА можно записать следующим образом:
ПС / З = max, (3.1)
где ПС – потребительная стоимость анализируемого объекта, выраженная совокупностью его потребительных свойств;
З – издержки на достижение необходимых потребительных свойств.
Функционально-стоимостной анализ проводят в несколько этапов.
На первом, подготовительном этапе, уточняют объект анализа – носитель затрат. Это особенно важно при ограниченности ресурсов производителя.
Данный этап завершается, если найден вариант с низкой по сравнению с другими себестоимостью и высоким качеством.
На втором, информационном этапе, собираются данные об исследуемом объекте (назначение, технико-экономические характеристики) и составляющих его блоках, деталях (функции, материалы, себестоимость). Они идут несколькими потоками по принципу открытой информационной сети (рисунок 3.3.)[31].
![]() |
Рисунок 3.3. – Модель информационной сети ФСА
В нее информация по улучшению качества изделия и снижению затрат на его производство поступает из конструкторских (К), экономических (Э) подразделений предприятия и от потребителя (М) к руководителям соответствующих служб. Оценки и пожелания потребителей аккумулируются в маркетинговом отделе. В процессе работы исходные данные обрабатываются, преобразуясь в соответствующие показатели качества и затрат, проходя все заинтересованные подразделения, и поступают к руководителю проекта (А).
На третьем, аналитическом этапе, подробно изучаются функции изделия (их состав, степень полезности), его стоимость и возможности ее уменьшения путем отсечения второстепенных и бесполезных. Это могут быть не только технические, но и органолептические, эстетические и др. функции изделия или его деталей, узлов. Для этого целесообразно использовать принцип Эйзенхауэра– принцип АВС (рисунок 3.4.)[32].

Рисунок 3.4. – Принцип Эйзенхауэра в ФСА
Использование табличной формы распределения функций облегчает такой анализ (таблица 3.3.).
Таблица 3.3. – Распределение служебных функций изделия Х по принципу АВС
|
Детали |
Функции |
Итого по детали |
Предварительный вывод |
||||
|
1 |
2 |
3 |
4 |
----- |
|||
|
1 |
А |
В |
В |
С |
----- |
1С |
–– |
|
2 |
В |
С |
А |
С |
----- |
2С |
усовершенствовать |
|
3 |
В |
А |
В |
С |
----- |
1С |
–– |
|
4 |
С |
В |
В |
А |
----- |
1С |
–– |
|
----- |
----- |
----- |
----- |
----- |
----- |
----- |
----- |
|
Итого по функции |
1С |
1С |
–– |
3С |
|||
|
Предварительный вывод |
–– |
–– |
–– |
ликвидировать |
–– |
–– |
–– |
В итоговые графы заносятся данные о количестве второстепенных, вспомогательных, бесполезных функций по деталям, что позволяет сделать предварительный вывод об их необходимости.
Далее можно построить таблицу стоимости деталей по смете или наиболее важным ее статьям и оценить весомость функций каждой детали во взаимосвязи с затратами на их обеспечение. Это позволит выявить возможные направления снижения издержек путем внесения изменений в конструкцию изделия, технологию производства, замены части собственного производства деталей и узлов полученными комплектующими, замены одного вида материала другим, более дешевым или экономичным в обработке, смена поставщика материалов, размера их поставок и т.д.
Группировка затрат на функции по факторам производства позволит выявить первоочередность направлений снижения стоимости изделия. Такие направления целесообразно детализировать ранжируя по степени значимости, определяемой экспертным путем, и сопоставляя с затратами, выбирать пути удешевления продукции. Для этого можно составить таблицу (таблица 3.4.).
Таблица 3.4. – Сопоставление коэффициентов значимости функций и их стоимости
|
Ранг функции |
Значимость, % (ф) |
Удельный вес затрат на функцию в общих затратах, % (Кз) |
Коэффициент затрат на функцию (Кз/ф) |
|
1 |
2 |
3 |
4 = 3 / 2 |
|
1 2 3 4 5 |
40 30 15 10 5 |
40 50 5 3 2 |
1,00 1,67 0,33 0,30 0,40 |
|
Итого |
100 |
100 |
--- |
Результатом проведенного ФСА является варианты решения, в которых необходимо сопоставить совокупные затраты на изделия, являющиеся суммой поэлементных затрат, с какой-либо базой. Этой базой могут, например, служить минимально возможные затраты на изделие. Теория ФСА предлагает исчислять экономическую эффективность ФСА, которая показывает, какую долю составляет снижение затрат в их минимально возможной величине.
, (3.2.)где КФСА – экономическая эффективность ФСА (коэффициент снижения текущих затрат);
СР – реально сложившиеся совокупные затраты;
СФ.Н. – минимально возможные затраты, соответствующие спроектированному изделию.
На четвертом исследовательском этапе оцениваются предлагаемые варианты разработанного изделия.
На пятом рекомендательном этапе отбираются наиболее приемлемые для данного производства варианты разработки и усовершенствования изделия.
С этой целью можно рекомендовать построение матричной таблицы (таблица 3.5.).
Таблица 3.5. – Таблица решений по вариантам выбора изделий для производства
![]() |
![]() |
А Значимость функции: высокая Затраты: низкие Рентабельность изделия: высокая |
В Значимость функции: высокая Затраты: средние Рентабельность изделия: средняя |
С Значимость функции: высокая Затраты: высокие Рентабельность изделия: средняя |
![]() |
![]() |
D Значимость функции: средняя Затраты: низкие Рентабельность изделия: высокая |
E Значимость функции: средняя Затраты: средние Рентабельность изделия: средняя |
F Значимость функции: средняя Затраты: высокие Рентабельность изделия: низкая (средняя?) |
![]() |
![]() |
G Значимость функции: низкая Затраты: низкие Рентабельность изделия: средняя |
H Значимость функции: низкая Затраты: средние Рентабельность изделия: низкая |
I Значимость функции: низкая Затраты: высокие Рентабельность изделия: низкая |
Существенную помощь в определении затрат на качество продукции могут оказать методы технического нормирования. Они основаны на расчете подетальных норм и нормативов материальных ресурсов (сырья, покупных комплектующих изделий и др.
видов материалов), расчете трудоемкости и иных затрат, включаемых в себестоимость продукции в соответствии с проектными размерами, конкретной технологией ее изготовления, хранения и транспортировки, а также затрат на гарантийное и сервисное обслуживание. Методы технического нормирования позволяют достаточно точно определить затраты как на новое изделие по его составляющим, так и при усовершенствовании продукции.
Если предприятие переходит к производству новой продукции, имевшей ранее аналог по потребительскому назначению и свойствам, то затраты на качество (ЗК) будут определяться разностью между затратами на старую (ЗСТ) и новую (ЗН) продукцию:
. (3.3.)Если предприятие усовершенствует качественные параметры производимого ранее изделия, то затраты на качество можно определить прямым счетом по соответствующим норам и направлениям.
Одним из методов, позволяющих проанализировать изменение затрат, связанных с изменением качества продукции является индексный метод. Сложность его применения к данному предмету исследования заключается в том, что оба признака должны быть выражены количественно. Качество же, не всегда имеет количественное значение и может описываться словесно, например: продукция пригодная и не прошедшая сертификацию, соответствующая и не соответствующая техническим условиям и др.
Если показатели качества имеют числовые характеристики, при построении индексов их можно использовать как весы затрат. В противном случае весами может служить количество элементов конструкции изделия, количество деталей, узлов, изделий.
Для оценки качества и конкурентоспособности изделия возможно применение метода бальной оценки. В соответствии с ним каждому качественному параметру изделия выставляется балл с учетом значимости этого параметра для изделия в целом и избранной для оценки шкалы – 5-ти, 10-ти, 100-бальной. После этого определяется средний балл изделия, характеризующий уровень его качества в баллах. Путем деления цены изделия на средний балл исчисляют стоимость одного среднего балла (
):
, (3.4.)где Р – цена изделия;
– средний балл изделия с учетом параметров его качества.Подобный расчет целесообразно проводить при сравнительном анализе изделий для решения вопроса об их запуске в производство или эффективности предлагаемых качественных усовершенствований.
К параметрам качества можно относить как технико-экономические параметры, так и эстетические, органолептические свойства, соответствие моде и т.п. для расчета цены новой продукции можно использовать следующую формулу:
, (3.5.)где РН – цена новой продукции, ден. ед.;
Рб – цена базовой продукции, ден. ед.;
Бб – сумма баллов, характеризующих параметры качества базовой продукции;
БН – сумма баллов, характеризующих параметры качества новой продукции;
– средняя цена одного балла, характеризующего параметры качества базовой продукции.Аналогичен балльной оценке метод удельной цены. Он заключается в определении цены на основе расчета стоимости единицы основного параметра качества: мощности, производительности и т. д. Для расчета используется формула:
, (3.6.)где ПН – значение основного параметра качества базового изделия в баллах;
– удельная цена единицы основного параметра качества базового изделия, ден. ед.На практике для решения вопроса о выборе изделия для запуска в производство должны проводиться все виды проектного анализа: коммерческий, технический, организационный, социальный, экологический и экономический для чего следует применять все доступные в каждой конкретной ситуации методы. Только такой анализ может считаться полноценным и дать объективный результат для принятия управленческого решения.
Таким образом, анализ затрат на качество – сильный инструмент управления, он в частности используется руководством компании для измерения достигнутого качества и обнаружения проблем, при установлении целей по достижению качества.
Трудовые ресурсы
Управленческое обследование внутренних сильных и слабых сторон предприятия
Руководство организации должно выяснить, обладает ли организация внутренними силами, чтобы воспользоваться внешними возможностями, и существуют ли у нее слабые стороны, которые могут усложнить проблемы, связанные с внешними опасностями. Этот процесс называется управленческим обследованием.
Управленческое обследование представляет собой методическую оценку функциональных зон организации, предназначенную для выявления ее стратегически сильных и слабых сторон.
Перед проведением обследования необходимо иметь в виду, что мы имеем неограниченное количество сведений, не все из которых одинаково полезны при принятии решений. Поэтому, чтобы ограничить затраты времени, сил и финансовых средств на проведение анализа среды, необходимо найти «фильтры» для определения нужной информации (релевантной информации). Такими фильтрами служат миссия, цели и стратегии организации. Но стратегическое планирование как раз и служит для их разработки, поэтому речь может идти о том, что перед началом анализа среды необходимо получить приблизительную формулировку миссии и, желательно, целей организации. Практически так всегда и происходит, только часто миссия и цели организации не формулируются в явном виде, а только понимаются «на интуитивном уровне». Поэтому крайне желательно получать эти формулировки письменно, чтобы избежать их неоднозначного толкования и иметь возможность точно определить, какая информация из окружения организации имеет значение, а какая не имеет.
Таким образом, для правильной оценки работы предприятий в условиях рыночной экономики необходимо проводить постоянное и всестороннее исследование среды, в которой компания собирается осуществлять свою деятельность. Для этого проводится анализ PEST – оценка политических (Political), экономических (Economic), социальных (Social) и технических (Technical) факторов. Но руководство компании должно четко знать и о внутреннем состоянии своего предприятия.
Поэтому нужен анализ SWOT – оценка сильных (Strong) и слабых (Weak) сторон работы предприятия, а также возможностей (Opportunity) и угроз (Threat), с которыми можно столкнуться в течение своей деятельности.
Томпсон и Стрикланд[16] предложили примерный набор характеристик, положительное заключение по которым должно позволить составить список сильных и слабых сторон организации, а также список возможностей и угроз для нее, заключенных во внешней среде[17].
Сила – это то, в чем компания преуспела, или какая-то особенность, придающая ей дополнительные возможности. Сила может заключаться в навыках, значительном опыте, ценных организационных ресурсах или конкурентных возможностях, достижениях, которые дают фирме преимущества на рынке (например, более качественный товар, прогрессивная технология, известность товарной марки). Сила также может являться результатом альянса или образования совместного предприятия с партнером, имеющим опыт или потенциальные возможности для усиления конкурентоспособности компании.
Сильные стороны:
- выдающаяся компетентность;
- адекватные финансовые ресурсы;
- хорошая квалификация персонала;
- хорошая квалификация у покупателей;
- известный лидер рынка;
- изобретательный стратег в функциональных сферах деятельности организации;
- доступ к получению экономии от размера;
- защищенность (хотя бы где-то) от сильного конкурентного давления;
- подходящая технология;
- преимущества в области издержек;
- преимущества в области конкуренции;
- наличие инновационных способностей и возможности их реализации;
- проверенный временем менеджмент.
Слабые стороны:
- нет ясных стратегических направлений;
- ухудшающаяся конкурентная позиция;
- устаревшее оборудование;
- более низкая прибыльность, потому что...;
- недостаток управленческого таланта и глубины владения проблемами;
- отсутствие некоторых типов ключевой квалификации и компетентности;
- плохое отслеживание процесса выполнения стратегии;
- мучение с внутренними производственными проблемами;
- уязвимость по отношению к конкурентному давлению;
- отставание в области исследований и разработок;
- очень узкая производственная линия;
- слабое представление о рынке;
- конкурентные недостатки;
- ниже среднего маркетинговые способности;
- неспособность финансировать необходимые изменения в стратегии.
Возможности:
- выход на новые рынки или сегменты рынка;
- расширение производственной линии;
- увеличение разнообразия во взаимосвязанных продуктах;
- добавление сопутствующих продуктов;
- вертикальная интеграция;
- возможность перейти в группу с лучшей стратегией;
- самодовольство среди конкурирующих фирм;
- ускорение роста рынка.
Угрозы:
- возможность появления новых конкурентов;
- рост продаж замещающего продукта;
- замедление роста рынка;
- неблагоприятная политика правительства;
- возрастающее конкурентное давление;
- рецессия и затухание делового цикла;
- возрастание силы торга у покупателей и поставщиков;
- изменение потребностей и вкуса покупателей;
- неблагоприятные демографические изменения.
После того, как список сильных и слабых сторон организации, а также угроз и возможностей определен, составляется матрица SWOT, которая показана на рисунке 1.1.
|
Возможности 1. 2. 3. |
Угрозы 1. 2. 3. |
|
|
Сильные стороны 1. 2. 3. |
Поле «СИВ» |
Поле «СИУ» |
|
Слабые стороны 1. 2. 3. |
Поле «СЛВ» |
Поле «СЛУ» |
На пересечении внутренних и внешних характеристик образуются четыре поля: поле «СИВ» (сила и возможности), поле «СИУ» (сила и угрозы), поле «СЛВ» (слабость и возможности), поле «СЛУ» (слабость и угрозы). Далее необходимо рассмотреть все возможные парные комбинации, выделить те, которые наиболее характерны для данного предприятия и которые необходимо учесть при выработке стратегии предприятия.
В отношении тех пар, которые выбраны с поля «СИВ», следует разрабатывать стратегию по использованию сильных сторон, чтобы получить отдачу от возможностей, имеющихся во внешней среде. Для тех пар, которые оказались в поле «СЛВ», стратегия должна быть построена таким образом, чтобы за счет внешних возможностей преодолеть имеющиеся в организации слабости.
Если пары находятся на поле «СИУ», то стратегия должна предполагать использование силы организации для устранения угроз. Если пары находятся на поле «СЛУ», организация должна вырабатывать такую стратегию, которая позволила бы ей как избавиться от слабости, так и попытаться предотвратить нависшую над ней угрозу.
Чтобы извлечь максимум пользы из SWOT-анализа, рекомендуется придерживаться следующих правил.
Правило 1. Тщательно определить сферу каждого SWOT-анализа. Компании часто проводят общий анализ, охватывающий весь их бизнес. Скорее всего, он будет слишком обобщенным и бесполезным для менеджеров. Фокусирование SWOT-анализа, например на конкретном сегменте, обеспечивает выявление наиболее важных для него сильных и слабых сторон, возможностей и угроз.
Правило 2. Необходимо понять различия между элементами SWOT: силами, слабостями, возможностями и угрозами. Сильные и слабые стороны – это внутренние черты компании, следовательно, ей подконтрольные. Возможности и угрозы связаны с характеристиками рыночной среды и неподвластны влиянию организации.
Правило 3. Сильные и слабые стороны могут считаться таковыми лишь в том случае, если так их воспринимает внешнее окружение. Нужно включать в анализ только наиболее относящиеся к делу преимущества и слабости. Сильных и слабых сторон может набраться очень много, так что и не поймешь, какие из них главные. Во избежание этого преимущества и слабости должны быть проранжированы в соответствии с их важностью.
Правило 4. Необходимо быть объективным и использовать разностороннюю входную информацию. Конечно, не всегда удается проводить анализ по результатам обширных маркетинговых исследований, но, с другой стороны, нельзя поручать его одному человеку, поскольку он не будет столь точен и глубок, как анализ, проведенный в виде групповой дискуссии и обмена идеями. Важно понимать, что SWOT-анализ – это не просто перечисление подозрений менеджеров. Он должен в как можно большей степени основываться на объективных фактах и данных исследований.
Правило 5. Избежание пространных и двусмысленных заявлений. Слишком часто SWOT-анализ ослабляется именно из-за того, что в него включают подобные утверждения, которые, скорее всего, ничего не значат. Чем точнее формулировки, тем полезнее будет анализ.
Кроме SWOT-анализа для оценки конкурентной позиции компании все чаще используется методический инструментарий под названием бенчмаркинг – сравнительный анализ ключевых факторов успеха (параметров бизнеса) предприятия и его основных конкурентов.
Сегодня с определенной степенью точности можно утверждать лишь то, что существует огромное количество трактовок данного понятия. Одни считают бенчмаркинг продуктом эволюционного развития концепции конкурентоспособности, другие – программой по улучшению качества, большинство же причисляют его к экзотическим продуктам японской бизнес-практики. В действительности, правда лежит посередине. Бенчмаркинг – продукт эволюционного развития концепции конкурентоспособности, предполагающий разработку программ улучшения качества продукции, впервые появившихся в Японии. В основе бенчмаркинга лежит сравнение продукта конкурента, или какой-либо его части, с продуктом компании, проводящей анализ, с целью повышения конкурентоспособности последнего[18].
Временем рождения бенчмаркинга можно считать конец 50-х годов. Именно в этот период японские специалисты посещали наиболее известные компании, в основном США и Западной Европы, с целью поглощения идей, которые незамедлительно реализовывались в японских компаниях. Вскоре использование лучших мировых технологий и ноу-хау как в области производства, так и менеджмента, которыми до недавнего времени владел только Запад, японцы стали считать своими конкурентными преимуществами. Они тщательно исследовали западные товары и услуги с тем, чтобы выявить их сильные и слабые стороны, а затем произвести более конкурентоспособные модификации, предложив их рынку по более низкой цене. При этом японцы успешно переносили технологии и ноу-хау из одной сферы бизнеса в другую.
Период интенсивного заимствования западных технологий продолжался до конца 60-х годов. К этому времени японские компании догнали западные. Успех японцев в использовании западных технологий, как базы развития национальной промышленности, очевиден и не подлежит сомнению.
На западе бенчмаркинг, в современной его трактовке, впервые был использован корпорацией Xerox в 1979 году в целях преодоления рыночных проблем, обусловленных катастрофически быстро уменьшающейся долей рынка корпорации. У корпорации не было выбора. Конкуренты предложили потребителям аналогичные по качеству товары по более низким ценам. Решение проблемы было найдено немедленно: для определения причин создавшейся ситуации провели сравнительный анализ товаров конкурентов, выявили и оценили их технические характеристики и на этой основе разработали уникальное рыночное предложение. Воодушевленные полученными результатами, сотрудники корпорации детально изучили опыт японской компании Fuji, адаптация и использование которого привели к успеху и процветанию корпорации Xerox. После чего концепция бенчмаркинга стала неотъемлемой частью бизнес-стратегии корпорации Xerox. В настоящее время Xerox по праву является признанным лидером в области использования технологий бенчмаркинга. Сегодня в США владение и эффективное использование технологий бенчмаркинга – неотъемлемое условие рыночного успеха компании. Джексон Грейсон-младший, глава International Benchmarking Clearinghouse, так определил причины сегодняшней популярности бенчмаркетинга:
Глобальная конкуренция. Сегодня, в эпоху глобализации бизнеса, компании осознают необходимость всестороннего и детального изучения и последующего использования лучших достижений конкурентов в целях собственного выживания.
Вознаграждение за качество. В последние годы все большее распространение получают проходящие на национальном уровне кампании по определению и вознаграждению фирм – лидеров качества. Условия участия в подобных программах предполагают, помимо демонстрации компаниями-участниками конкурентных преимуществ выпускаемых ими продуктов, обязательное применение концепции бенчмаркинга в практике управления компанией.
Необходимость повсеместной адаптации и использования мировых достижений в области производственных и бизнес-технологий. Чтобы не остаться позади своих конкурентов, всем компаниям, независимо от размера и сферы деятельности, необходимо постоянно изучать и применять передовой опыт в области производственных и бизнес-технологий.
Так что же все-таки такое бенчмаркинг? Бенчмаркинг – это не только передовая технология конкурентного анализа. Бенчмаркинг, во-первых, концепция, предполагающая естественное развитие у компаний стремления к непрерывному совершенствованию, и, во-вторых, сам процесс совершенствования. Это непрерывный поиск новых идей, их адаптация и последующее использование на практике. Необходимо понять, что сравнительный анализ конкурентных преимуществ и осознание необходимости изменений – не заключительный этап процесса бенчмаркинга. Это лишь первый шаг, на котором необходимо дать ответы на вопросы: «Как?» и «Почему?». Важнейшим компонентом концепции бенчмаркинга являются внутрифирменные технологии ведения бизнеса, на основе которых и определяются критерии и степени сравнения.
Существует много видов бенчмаркинга:
Внутренний бенчмаркинг – бенчмаркинг процесса, осуществляемый внутри организации, сопоставляя характеристики производственных единиц, схожих с аналогичными процессами.
Бенчмаркинг конкурентоспособности – измерение характеристики предприятия и ее сопоставление с характеристикой конкурентов; исследования специфических продуктов, возможностей процесса или административных методов предприятий-конкурентов.
Функциональный бенчмаркинг – бенчмаркинг процесса, который сравнивает определенную функцию двух или более организаций в том же секторе.
Бенчмаркинг процесса – деятельность по изменению определенных показателей и функциональности для их сопоставления с предприятиями, характеристика которых является совершенной в аналогичных процессах.
Глобальный бенчмаркинг – расширение стратегического бенчмаркинга, которое включает также ассоциативный бенчмаркинг.
Общий бенчмаркинг - бенчмаркинг процесса, который сравнивает определенную функцию двух или более организаций независимо от сектора.
Ассоциативный бенчмаркинг – бенчмаркинг, проводимый организациями, состоящими в узком бенчмаркинговом альянсе.
Консультативный бенчмаркинг – сравнение организации с другими, используя контактную консультативную службу. Консультативная служба может действовать совершенно независимо, собирая и анализируя информацию без отвлечения людей из организации. Этот тип сравнения дает неплохие результаты в сочетании с конкурентным бенчмаркингом.
Для эффективной сравнительной стратегии необходимо разработать четкую схему выполнения, состоящую из последовательных шагов. Примером может служить разработанная компанией IBM схема, состоящая из 15 шагов.
Шаг1. Определение потребителей и продукции. Часто бывает так, что потребитель – следующее предприятие, находящееся в цепочке создания какой-либо продукции. Если все производители, входящие в цепочку, удовлетворят своего потребителя, то вероятность, что конечный потребитель будет удовлетворен, намного возрастает.
В организации должны быть четко определены требования к входящей продукции. Если приходится устранять много дефектов в получаемой продукции, это не только потеря времени и средств, но рано или поздно эти дефекты проявятся и в выпускаемой продукции.
Обычно в таких случаях специалисты дают следующие рекомендации:
- попытайтесь получить отзывы и комментарии потребителей о вашей продукции;
- сделайте ясными ваши требования к поставщикам;
- постарайтесь составить соответствующую наглядную документацию для поставщиков;
- для проведения процесса сравнения создайте специальную команду из специалистов различных отделов. Представители этой команды должны быть вовлечены в процесс с самого первого шага, для того чтобы иметь более полную информацию.
Шаг 2. Определение подходящих показателей оценки работы. Необходимо понять и выбрать важные показатели деятельности. Они должны быть в достаточной степени общими для организации, а также той компании, с которой проводится сравнение, но и достаточно специфичными для того, чтобы получить полезные результаты.
Выбор подходящих показателей оценки работы организации можно начать с рассмотрения набора используемых показателей. В некоторых случаях можно использовать широко применяемые стандартные показатели. В процессе сравнения могут обнаружиться новые полезные показатели. Набор показателей может содержать оценку деятельности в главных областях: финансы, технология, управление. Важно также иметь показатели, определяющие качество продукции и удовлетворенность потребителя.
Примером могут служить следующие показатели:
- оценка продукции конкурента в условиях, аналогичных тем, в которых ваша компания тестировала свою продукцию;
- анализ конструкции продукции конкурентов (отдельные детали продукции, используемый материал);
- мнение потребителей о продукции конкурентов (срок службы, доля продажи продукции постоянным клиентам);
- технологии, используемые в процессе производства продукции, и их влияние на качество;
- услуги, предоставляемые производителем продукции.
Некоторые операционные показатели:
- время производственного цикла;
- сравнение времени, в течение которого производится продукция, и непроизводственного времени (т.е. времени ожидания, простоев);
- надежность оборудования;
- доля нового (изношенного) оборудования. Возраст оборудования;
- количество отходов;
- количество затраченных часов по операциям на производство единицы продукции;
- затраты электроэнергии на единицу продукции;
- время, необходимое для изменения процесса (гибкость);
- запасы материальных средств;
- объемы незавершенного производства;
- степень унификации;
- необходимое время для учета изменяющегося спроса рынка;
- время, необходимое для внедрения в производство новой продукции или услуги.
Показатели конкурентоспособности в долгосрочном периоде:
- поддержка проектов научных исследований и направлений развития внутри организации;
- совместное обсуждение технологических нововведений с поставщиками и продавцами;
- регулярные посещения профессиональных мероприятий сотрудниками;
- доля средств, направляемых на осуществление долгосрочных проектов;
- уровень информационных систем и уровень технической библиотеки.
Шаг 3. Пересмотр (уточнение) продукции или процесса. Это действие время от времени должно осуществляться в процессе управления. Так как изменения происходят очень быстро, необходимо знать, что происходит в области упрощения производственного процесса, сокращения производственного цикла, предотвращения появления брака. Выявленные проблемы и вопросы должны быть оформлены документально для последующего анализа.
Шаг 4. Выбор приоритетного объекта для сравнения. Необходимо определить, что будет подвергнуто сравнению в первую очередь, и в какой степени. Выбор приоритетного направления для сравнений может быть сделан с использованием простого анализа, а также с помощью некоторых графических изображений. При анализе полезно задать такие вопросы:
Где больше всего необходимо улучшение?
В каких областях организация наиболее далека от полного удовлетворения потребителя?
Улучшения в каких областях дадут наибольший эффект при сравнительно небольших вложениях ресурсов?
Какое подразделение производит больше всего брака?
Где наблюдаются самые большие потери времени?
Где существуют «узкие места»?
Шаг 5. Выбор партнеров для сравнения. Выполняя общий бенчмаркинг, можно проводить сравнения аналогичных действий в компаниях, которые находятся в разных отраслях. Чтобы определить лучшего партнера для сравнений, можно обратиться к следующим источникам информации:
- мнения экспертов и специалистов организации;
- мнения специалистов других организаций отрасли;
- анализ деятельности организаций отрасли;
- анализ деятельности прямых конкурентов;
- анализ деятельности лидирующих компаний;
- годовые отчеты компаний;
- печатные издания отрасли;
- различные исследования (например, опросы потребителей);
- библиотеки.
Шаг 6. Установление уровня сбора данных. Сбор данных должен носить постоянный характер. Многие организации осуществляют сбор данных (например, наблюдение за развитием отрасли, анализ конкурентоспособности, поиск идей по улучшению качества), даже не думая об этом как о процессе бенчмаркинга.
На более высоком уровне могут проводиться исследования, опросы, работа с консультантами, посещения предприятий компаний партнеров по сравнениям, телефонные разговоры, встречи. Самым высоким уровнем сбора данных считается личный контакт.
Шаг 7. Сбор данных и их анализ. Сбор данных всегда должен быть этичным. Надо быть готовым предоставить партнеру аналогичную информацию о вашей организации.
Как правило, наиболее эффективный сбор данных происходит при личном контакте. Специалисты рекомендуют заранее подготовить список ключевых вопросов. Они не должны быть слишком громоздкими и занимать много времени для ответа. Целесообразно предоставить список вопросов перед телефонным звонком, конференцией или встречей. Это даст время подумать над ответами, собрать необходимые данные, оценить конфиденциальность задаваемых вопросов, пригласить необходимых людей на встречу. Первая встреча должна стать началом долговременного сотрудничества.
После знакомства с работой организации партнера специалисты, входящие в команду, продолжают работать друг с другом. Необходимо послать благодарственное письмо, проверить полученные данные, составить отчет.
Шаг 8. Определение разрыва. Под разрывом понимается разница между настоящим состоянием организации и состоянием, в котором хотелось бы находиться. Разрыв может быть позитивным, нулевым и негативным. При тщательном выборе партнера и аккуратно собранных данных позитивные разрывы возникают не часто. Нулевой разрыв свидетельствует о том, что ваша организация находится на уровне организации партнера по бенчмаркингу. Используя информацию, собранную в процессе сравнений, нулевой разрыв можно превратить в позитивный. Негативный разрыв – это нормальный результат хорошего процесса сравнения. Это призыв к действиям, к внедрению плана улучшений.
Шаг 9. Оценка возможного уровня достижений в будущем. На этом этапе приходит время строить планы на будущее. План улучшений должен брать в расчет стратегию сравнения. Необходимо определить темпы улучшений, которые организация имела в прошлом, спрогнозировать рост, полученный после улучшений.
Для того чтобы стать лучшими, надо помнить, что партнер по бенчмаркингу тоже будет совершенствовать свою деятельность.
Шаг 10. Представление результатов сравнения. Реакция на предполагаемые изменения может быть очень различной: от открытой враждебности или скептицизма до согласия или, что случается редко, энтузиазма. Дело усложняется, если компания осуществляет свою деятельность успешно: тогда требуется больше усилий, чтобы доказать необходимость перемен.
Иногда случается так, что выбранное ранее организацией направление необходимо поменять. Это сложная задача. Для успеха необходимо заручиться поддержкой руководства и тех сотрудников, которым предстоит внедрять эти изменения.
Какую форму убеждения выбрать, зависит от сложившихся обстоятельств, от сотрудников, с которыми предстоит иметь дело. Могут быть приняты следующие формы: письменная (отчеты, составление писем и т.д.); электронная (компьютерные отчеты); устная (презентации).
Если в организации существует группа людей, особенно обеспокоенных предлагаемыми переменами, можно сделать презентацию специально для них перед общей презентацией, для того чтобы нейтрализовать их обеспокоенность или уменьшить ее. Необходимо быть готовым к ответу на вопрос: что будет, если предлагаемые улучшения не удастся внедрить?
Шаг 11. Установление целей и разработка плана действий. На этом этапе разрабатываются как долгосрочные планы, так и краткосрочные. Хорошие цели должны быть труднодостижимыми, но реалистичными. Они не должны быть настолько сложны, чтобы создать у сотрудников состояние разочарования, но и не должны быть слишком легкими. Затем хорошие цели должны быть переведены в хорошие планы. Планы должны учитывать повторяющийся характер процесса сравнения.
Шаг 12. Внедрение плана. Руководитель должен четко знать, какой результат он ожидает от каждого действия. Если это необходимо, должны проводиться подготовительные образовательные программы для руководителей и служащих. Перемены могут проходить эффективно только тогда, когда их понимают, иначе они пугают.
На этом этапе применяются традиционные подходы управления. План лучше всего выполнять по графику, помня о планируемых затратах. Выявление и решение проблем необходимо осуществлять на ранней стадии. Сотрудники, занимающиеся внедрением плана, должны иметь определенную свободу действия.
Шаг 13. Проверка идущего процесса. На этом этапе осуществляется проверка того, насколько хорошо организация использует инструмент сравнения. Можно обратить внимание на следующие направления:
Включено ли в планы, разработанные в продолжение шага 11, продолжение выполнения процесса сравнения?
Какая часть планов базировалась на результатах процесса сравнения?
Приняли ли сотрудники организации идею проведения сравнений как путь внедрения новых улучшений, которые дополняли бы их собственные идеи об улучшениях?
Охватывал ли процесс сравнений всю организацию?
Шаг 14. Оценка движения к целям. Система управления должна включать наблюдение за выполнением планов. Должна быть продумана система измерений, а также система отчетности. Если наблюдения выявили проблему в какой-либо области, корректировку действий необходимо начать как можно скорее. Если при внедрении плана особо крупных проблем не возникает, внимание должно быть уделено системе поощрения участников.
Шаг 15. Пересмотр целей и возврат к первому шагу. Периодическое обновление целей необходимо для достижения и сохранения лидерства. Новые цели обычно устанавливаются на принципиально новом уровне. С каждым разом повторение процесса сравнений будет легче при наличии определенного опыта. Специалисты советуют не сокращать цикл, возвращаясь к шагу 7, - возврат должен осуществляться к шагу 1, а затем должна быть рассмотрена необходимость каждого шага.
Менеджмент компаний, применяющих концепцию бенчмаркинга, должен предусматривать постоянное слежение за тем, чтобы проводимая политика была понята и поддержана всеми сотрудниками компании. Ответственность за успешную реализацию концепции должна быть распределена между всем персоналом компании, выполняющим работу, оказывающую влияние на уровень качества выпускаемых товаров.
Важно понять, что бенчмаркинг – это деятельность не одного человека, а целой команды, деятельность, которую необходимо стратегически встраивать в бизнес-план компании.
В дополнение к описанным выше методам можно провести общий анализ конкурентной позиции и конкурентной силы компании[19]. Он должен ответить на вопросы:
- насколько сильна сегодняшняя конкурентная позиция фирмы?
- какое изменение конкурентной позиции можно ожидать при использовании сегодняшней стратегии (с ее тонкой подстройкой)?
- каков ранг фирмы относительно ключевых соперников в каждом важном компоненте конкурентной силы и отраслевом ключевом факторе успеха?
- каков перечень конкурентных преимуществ фирмы?
- какова возможность фирмы защищать свою позицию в свете отраслевых движущих сил, конкурентного давления и предполагаемых действий соперников?
Таблица 1.2. содержит факторы, которые часто используют для оценки тенденций усиления или ослабления конкурентной позиции фирмы.
Таблица 1.2. – Признаки силы и слабости в конкурентной позиции фирмы
|
Признаки силы |
Признаки слабости |
|
Важные отличительные преимущества |
Отсутствие реальных отличительных преимуществ |
|
Большая доля рынка (или лидер на рынке) |
Потери на рынке относительно главных соперников |
|
Последовательная или отличительная стратегия |
Отсутствие четкой стратегии |
|
Рост базы потребителей и их лояльности |
Падающая репутация у потребителей |
|
Нахождение в фаворитной стратегической группе |
Нахождение в стратегической группе, теряющей позиции |
|
Концентрация на быстрорастущих рыночных сегментах |
Слабости в областях с наибольшим рыночным потенциалом |
|
Ценовое преимущество |
Производитель товаров с высокой себестоимостью |
|
Прибыль выше средней |
Рост доходов ниже среднего |
|
Маркетинговое искусство выше среднего |
Мало главных факторов рыночного успеха |
|
Технологические и инновационные способности выше среднего |
Последователь в разработке продуктов, их слабое качество |
|
Инициативный, предпринимательский подход к опасностям |
Отсутствует хорошая позиция по отношению к возникающим угрозам |
|
Позиция накопления благоприятных возможностей |
Потери относительно главных соперников |
Для оценки конкурентной позиции фирмы используются балльные оценки по ключевым факторам успеха. При этом производится взвешивание оценок таких факторов для фирмы и ее соперников (таблица 1.3.).
Таблица 1.3. – Пример взвешенной оценки стратегической силы компании
относительно соперников (шкала рейтинга: слабейший - 1, сильнейший - 10,
в скобках – произведение веса на рейтинговую оценку)
|
Ключевые факторы успеха/мера силы |
Вес |
Компания |
Соперник А |
Соперник Б |
Соперник В |
|
Качество/исполнение продукта |
0,10 |
8 (0,80) |
5 (0,50) |
9 (0,90) |
6 (0,60) |
|
Репутация/имидж |
0,10 |
8 (0,80) |
7 (0,70) |
10 (1,00) |
6 (0,60) |
|
Материалы/стоимость |
0,05 |
5 (0,25) |
5 (0,25) |
6 (0,30) |
4 (0,20) |
|
Технологическое искусство |
0,05 |
8 (0,40) |
5 (0,25) |
5 (0,25) |
4 (0,20) |
|
Производственные мощности |
0,05 |
9 (0,45) |
7 (0,35) |
10 (0,50) |
6 (0,30) |
|
Маркетинг/распределение |
0,05 |
9 (0,45) |
7 (0,35) |
9 (0,45) |
6 (0,30) |
|
Финансовые ресурсы |
0,10 |
5 (0,50) |
4 (0,40) |
7 (0,70) |
4 (0,40) |
|
Относительная стоимостная позиция |
0,25 |
5 (1,25) |
9 (2,25) |
6 (1,50) |
4 (1,00) |
|
Способность конкурировать по цене |
0,25 |
5 (1,25) |
9 (2,25) |
7 (1,75) |
4 (1,00) |
|
Взвешенный рейтинг силы |
6,15 |
7,30 |
7,35 |
4,60 |
В то же самое время рейтинг сильных сторон соперников показывает, откуда можно ждать их атак и, наоборот, где они слабее.
Если компания имеет важные конкурентные сильные стороны там, где соперники относительно слабы, то можно предпринять действия по эксплуатации этого обстоятельства.
Один из наиболее четких индикаторов ситуации компании – ее ценовая позиция по отношению к конкурентам.
Особенно это относится к отраслям со слабо дифференцированной продукцией, но даже в противном случае компании вынуждены не отставать от соперников, иначе они рискуют потерять конкурентную позицию. Различия в издержках соперников могут вызваться:
- разницей цен на сырье, материалы, комплектующие, энергию и т.д.;
- разницей в базовых технологиях, возрасте оборудования;
- разницей во внутренних себестоимостях из-за различных размеров производственных единиц, кумулятивного эффекта выпуска, уровней производительности, различных налоговых условиях, уровней организации производства и т.д.;
- разницей в чувствительности к инфляции и изменениям курсов валют;
- разницей в транспортных расходах;
- разницей затрат в каналах распределения.
Стратегический стоимостный анализ фокусируется на относительной стоимостной позиции фирмы по отношению к ее соперникам. Первичным аналитическим подходом такого анализа является построение стоимостной цепи по отдельным действиям, показывающей картину стоимости от сырья до цены конечных потребителей (таблица 1.4.).
Эта таблица показывает, что имеется три главных области в цепи действия/издержки, где возможны наибольшие различия для конкурирующих фирм: область снабжения, передовые части каналов распределения, собственно внутренняя деятельность компании. Если фирма теряет конкурентоспособность в задней или передней частях цепи, она может изменять свои внутренние действия с целью восстановления конкурентоспособности.
Таблица 1.4. – Стоимостная цепь в отраслевом разрезе действий
![]() Издержки, связанные со снабжением |
Издержки и действия, связанные с производством |
Издержки в пределах числа каналов распределения |
||||||
|
Покупные материалы, комплектующие, входная логистика |
Действия в процессе производства |
Действия при маркетинге и продаже |
Обслуживание потребителей и выходная логистика |
Внутренние вспомогательные штабные действия |
Общие и административные действия |
Чистая прибыль |
Оптовая торговля и сеть дилеров |
Розничная торговля |
|
Сырье и полуфабрикаты со стороны Энергия Транспортные расходы Расходы на покупку материалов Складирование |
Оборудование и оснастка Производство Сборка и упаковка Труд и наблюдение Ремонт и эксплуатация ОКР и испытания Качество и его контроль Действия по инвентаризации |
Действия при продаже Реклама и продвижение Исследования рынка Техническая литература Командировки и приемы Отношения с дилерами и дистрибьюторами |
Сервис, ремонт и другие процедуры Запчасти Прочие издержки по выходной логистике |
Зарплата Внутренняя связь Компьютерное обслуживание Обеспечивающие функции НИОКР Безопасность и секретность |
Службы финансов и учета Юридические службы Пабликрелейшенз Обслуживание кредита Отчисления по налогам |
Включают все действия, связанные с затратами по дистрибьюторам, оптовой и розничной торговле и другими в каналах доведения продукции до конечного потребителя |
||
Когда стоимостные пробелы лежат в основном в задней части цепи, фирма может использовать шесть стратегических действий:
- добиваться более благоприятных цен у поставщиков;
- работать с поставщиками с целью снижения их издержек;
- предпринять интеграцию назад для контроля над материальными затратами;
- попытаться использовать более дешевые заменители;
- найти новые источники снабжения с приемлемыми ценами;
- попытаться уменьшить разницу путем экономии в других частях цепи.
В случае, если это характерно для передней части цепи, возможны три корректирующие воздействия:
- использовать более привлекательные формы для участников каналов распространения;
- изменить экономическую стратегию, включая возможность передней интеграции;
- попытаться скомпенсировать разницу снижением издержек в других частях цепи.
Когда источник потери конкурентоспособности по стоимости лежит во внутренних областях цепи целесообразно рассмотреть возможность следующих действий:
- ревизия внутренних статей бюджета;
- попытка поднять производительность труда рабочих и дорогостоящего оборудования;
- исследование, не будет ли выгоднее выполнение некоторых технологических процессов на стороне, чем самой фирмой;
- инвестирование ресурсосберегающих технологических улучшений;
- рассмотрение вызывающих опасения компонентов стоимости как объектов новых инвестиций в производство и оборудование;
- модификация продукции с целью снижения ее стоимости;
- балансировка больших внутренних издержек экономией в передней и задней частях цепи.
Для анализа среды также может быть применен метод составления ее профиля. Данный метод удобно применять для составления профиля отдельно макроокружения, непосредственного окружения и внутренней среды. С помощью метода составления профиля среды удается оценить относительную значимость для организации отдельных факторов среды.
Метод составления профиля среды состоит в следующем. В таблицу профиля среды выписываются отдельные факторы среды (таблица 1.5.). Каждому фактору экспертным путем дается:
- оценка его важности для отрасли по шкале: 3 – сильная важность, 2 – умеренная важность, 1 – слабая важность;
- оценка его влияния на организацию по шкале: 3 – сильное, 2 – умеренное, 1 – слабое, 0 – не влияет;
- оценка направленности влияния по шкале: +1 – позитивное влияние, -1 – негативное влияние.
Таблица 1.5. – Профиль среды
|
Факторы среды |
Важность для отрасли (А) |
Влияние на организацию (В) |
Направленность влияния (С) |
Степень важности D = A * B * C |
Качество анализа можно повысить, привлекая к его проведению лиц, не относящихся к организации. Правда, они могут выполнять лишь вспомогательные функции, поскольку не знают организации настолько, чтобы самостоятельно различить ее слабые и сильные стороны. Однако благодаря тому, что они не замешаны во внутренних «раскладах» организации, такие лица могут выступить беспристрастными арбитрами, которые в состоянии оценить предложения, а также, ставя особые вопросы, спровоцировать организацию к более обстоятельному переосмыслению своих положений и действий. Конечно же, эти лица должны пользоваться бесспорным доверием членов организации, ведь во время проведения анализа могут обнаружиться факты, огласка которых может быть очень опасной.
Бухгалтерия: Автоматизация - Система 1С
- Бухгалтерия
- Бухгалтерская отчетность
- Автоматизация бухгалтерии
- Расчет налогов
- Бухгалтерские расчеты
- Бухгалтерский учет
- Бухгалтерия в 1С
- 1С - конфигурации
- 1С версия 7.7
- 1С версия 8.0
- 1С 8.0 программирование












































































Издержки, связанные со снабжением
Издержки и действия, связанные с производством