Анализ модели дуаполии
Автор - Иванников С.
Дуаполия - это частный случай олигополии. В дуаполии рассматривается 2 конкурирующие фирмы. Причем каждая из них при выборе объема выпуска учитывает не только прямое влияние на рынке, но и косвенное влияние конкурента.
Условия
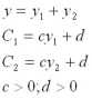
2 компании производят однородный товар. Цены с объемом рационального выпуска связаны линейно следующим соотношением:
P=a-by; a 0; b 0
где
Р - цены
у- совокупный объем выпуска
С - издержки каждой фирмы
с - предельные издержки, которые не зависят от объема выпуска
d - фиксированные издержки

Каждая фирма должна выбрать такой объем выпуска, который максимизирует прибыль. Обе фирмы принимают решение одновременно.
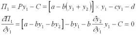
Прибыль будет равна:

- предположительная вариация (реакция второй фирмы на изменение объема выпуска первой фирмы.
Существует несколько моделей, описывающих поведение фирм, входящих в дуаполию.
Модель Курно
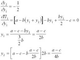
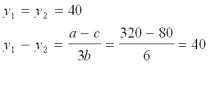
В модели Курно предположительные вариации равны нулю. Каждый из дуаполистов считает, что изменения в его собственном выпуске продукции не повлияет на конкурента, то есть объем выпуска конкурента постоянен.
Пара объемов выпуска у1 и у2 - решение системы (равновесие Курно).

;

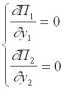
- кривая реализации первой фирмы
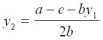
Определим оптимальный объем выпуска фирмы №1 в зависимости от объема выпуска конкурента.

- кривая реализации второй фирмы

Графически такое равновесие определяется кривыми реакции. Основной предпосылкой модели Курно является постоянство объема выпуска конкурента.
Это разумно в следующих случаях:
- Фирмы выбирают объем выпуска один раз и впоследствии его не меняют
- Объем выпуска соответствует равновесию Курно - у конкурентов нет резона их менять.
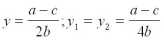
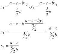
Модель Стэкельберга
В данной модели допускается ненулевая предположительная вариация. Пусть первая фирма предполагает, что вторая фирма будет реагировать соответственно кривой реакции Курно.

Исходя из этого, вычислим предположительную вариацию:

итак, у1 и у2 - равновесие Стэкельберга для фирмы №1.
Договорное решение
В данной модели фирмы договариваются с целью максимизации прибыли.
П=П1+П2
П=a-by-by-c=0

Исход Курно значительно выгоднее для фирм, чем идеальная конкуренция, но не так выгоден, как результат договорных сделок (например организация картеля).
Рассмотрение примера
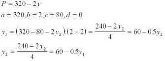
Теперь, используя для рассмотрения примера вышеприведенные модели определим объемы выпуска и прибыли фирм по следующим данным:
Дано:
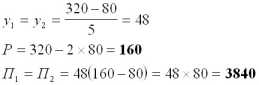
P=320-2y
Ci=cyi+d
d=0; c=80; y = y1+y2
Модель Курно

- в точке равновесия.
Модель Стэкельберга

Итак, пусть участвуют обе фирмы, тогда возможность изменений в объеме выпуска конкурента выражается так:

Объем выпуска - неравновесие Стэкельберга.
Модель договорного решения

Результат выразим в виде таблицы (матрицы выплат)
|
Курно
|
Стэкельберг
|
Дог.решение
|
Курно
|
3200
40
|
3200
40
|
-
|
-
|
-
|
-
|
|
Стэкельберг
|
3600
60
|
1800
30
|
3840
48
|
3840
48
|
3600
30
|
3600
30
|
|
Дог.Решение
|
-
|
-
|
-
|
-
|
-
|
-
|
|
Вывод:
Данная матрица выплат подтверждает наше предположение о том, что максимальная прибыль получается при использовании следующих данных:
Дуаполия
П1=П2=3600
Оптимальный объем выпуска - 30
Договорная сделка, то есть модель договорного решения.
История: Деньги - Экономика