Смирнягин Л. В. - ГЕОГРАФИЧЕСКОЕ РАЗДЕЛЕНИЕ ТРУДА И ЭКОНОМИЧЕСКАЯ ИНТЕГРАЦИЯ
- Экономическое и географическое разделение труда: история возникновения и виды. Межрайонное и международное территориальное разделение труда.
- Мировая торговля - основа международного разделения труда. Основные торговые пути древности и современности. Страны - лидеры мировой торговли.
Особенности специализации в мировой экономике регионов мира.
- Статистические показатели для анализа внешней торговли.
- Внешняя торговля развитых и развивающихся стран (географическая и товарная структура экспорта (импорта).
- Экономическая интеграция. Теория стадий экономической интеграции.
- Основные экономические объединения стран мира: товарные ассоциации, интеграционные объединения в сфере производства, финансов и транспорта. Региональные интеграционные объединения.

Экономическое разделение труда, по мнению Адама Смита, знаменитого автора Исследования о природе и причинах богатства народов (1776г.), является главным фактором роста производительности, всеобщей формой хозяйственного сотрудничества людей в интересах финансового преуспевания.
Разделение труда возникло в глубокой древности. Исторически первыми его формами которые до сегодняшнего дня встречаются у племен, проживающих во влажных экваториальных лесах Амазонки, бассейна Конго, Индокитая, были: половозрастное - между мужчинами и женщинами и между членами племени разных возрастов, а также между общинами, занимавшимися различными видами хозяйственной деятельности из-за различий в природных условиях.
Реликты застывшего разделения труда до сих пор существуют в некоторых районах Индии, где основанная на индуизме кастовая система консервирует экономическую жизнь общества, и скорее способствует не повышению производительности труда, а консервации отсталости.
В современной экономике разделение труда непосредственно связано со специализацией, т.е. сосредоточением производства однородной продукции в самостоятельных отраслях с особым технологическим процессом, специальным оборудованием и кадрами и последующим обменом продукцией между ними.
Экономическое и географическое разделение труда: история возникновения и виды. Межрайонное и международное территориальное разделение труда.
Территориальное, или географическое, разделение труда возникло в древности и связано со специализацией территорий на выпуске видов продукции, производство которых наиболее выгодно при данных природных условиях и уровне социально-экономического развития.
Исторически первое - межрайонное территориальное разделение труда возникло, когда люди стали заниматься скотоводством и земледелием. Обмен продукцией между ними дал толчок формированию взаимосвязанного и взаимозависимого экономического пространства, институтов государства с целью его защиты.
Международное разделение труда возникло в результате длительного процесса специализации на производстве наиболее выгодной продукции в странах, где издержки производства минимальны по сравнению с международными.
С 70-х гг. ХХ в. цены на большинство видов продукции регулируются решениями международных организаций, объединяющих страны-производители, которые заключают соглашения о качестве, квотах производства и цене.
Таким образом устанавливается цена, позволяющая всем участвующим в соглашении получать стабильные доходы, покрывающие издержки производства без количественного роста его объемов, что может привести к превышению предложения над спросом и падению цены на мировом рынке. Такие организации существуют практически по всем сырьевым продуктам - по нефти (ОПЕК, ОАПЕК), кофе, джуту.
Особенности специализации стран на производстве определенных видов товаров влияют на характер и уровень их социально-экономического развития.
Узкая специализация на производстве и экспорте одного-двух видов товаров, с издержками производства меньше среднемировых, с одной стороны, является наиболее оптимальным и выгодным, а с другой, ставит всю экономику в зависимость от колебаний конъюнктуры и цен на мировом рынке этих товаров, от погодных условий и стихийных бедствий. Например, заморозки в Бразилии в начале 1980-х гг. привели к гибели кофейных плантаций и резкому падению производства кофе - главного экспортного товара и источника валютных поступлений, и как следствие этого - к кризисным явлениям в экономике.
Монотоварная специализация экономики исключительно на добывающей промышленности, типичная для стран с низким уровнем социально-экономического развития, является весьма прибыльной, несмотря на общемировую тенденцию снижения цен на сырье и повышения цен на готовую продукцию. Этот экспорт приносит доходы, намного превышающие издержки производства, так как фактически продаются даровые блага природы. Специализация на добывающих отраслях способствует консервации низкого образовательного уровня населения, поскольку требования к квалификации работающих невысоки.
Анклавы добывающей промышленности, которая, как правило, ориентирована на внешний рынок, слабо связаны с местной экономикой. В результате итоги торгов на сырьевых биржах в Европе или Америке могут оказать непосредственное влияние на жизнь в анклаве добывающей промышленности африканской глубинки.
Мировая торговля - основа международного разделения труда. Основные торговые пути древности и современности.
Страны - лидеры мировой торговли. Особенности специализации в мировой экономике регионов мира.
До середины XVI в., пока Великие географические открытия не расширили пространство экономических и политических интересов европейских держав, в мировой торговле участвовало ограниченное число стран. Главные причины тому - отсутствие достоверной информации народов друг о друге, политическая нестабильность, частые войны и слабое развитие транспортных средств.

Международная торговля состояла в перевозке дорогих и редких товаров - шелка, золотых и ювелирных изделий, пряностей. Главными международными торговыми путями был Великий шелковый путь, связывающий Европу и Азию; путь из варяг в греки - торговля между Северной и Южной Европой.
Конечными пунктами транссахарской торговли, контролируемой арабскими купцами, были богатейшие города на побережье современного Марокко - Сеута и Мелилья, откуда золото переправлялось в Европу.
В ХVI-ХVII вв. торговля европейских государств с Востоком явилась базой первоначального накопления капитала для зарождающейся промышленности, которая, развиваясь, требовала новых рынков сбыта и дешевых источников сырья. С начала XVIII в., когда совершенствование транспортных средств и географические открытия обеспечили экономическое проникновение европейцев в Новый Свет, мировая торговля начала приобретать глобальный характер.
Кардинально изменилась не только ее география, но и товарная структура торговать стали большими по весу грузами -сырьем, сельскохозяйственной продукцией.
За XVIII в. объем мировой торговли возрос в 5 раз, а за XIX в. - почти в 10 раз. К концу XIX в. у Англии, мастерской мира и владычицы морей, лидировавшей в мировой торговле - появились серьезные конкуренты - Германия, Франция, США. Заметную роль в мировой торговле начали играть колонии - Индия, Бразилия, Аргентина, Китай.
К началу XX в. на долю Европы приходилось 50% мирового товарооборота, на долю Северной Америки - 20%, а на все остальные страны мира - 15%.
В течение 20 века утвердились типичные черты участия в международном разделении труда и мировой торговле стран различных социально-экономических типов. С одной стороны, они предопределяются специализацией стран на производстве тех или иных видов товаров, а с другой, сами оказывают влияют на характер социально-экономического развития.
Современная мировая торговля (для большинства стран - это основная форма внешнеэкономических связей) сконцентрирована в руках узкого числа стран; так, на долю 10 стран-лидеров приходится 3/4 всего товарооборота (США, ФРГ, Япония, Франция, Великобритания, Италия, Канада, СНГ, Нидерланды, Бельгия.

В 80-90-е гг. США значительно превосходили все страны мира по объему внешнеторгового оборота (доля в мировом экспорте в среднем - 13%, в импорте - 11%) и вывозу капитала.
Второе место занимала ФРГ. К началу 90-х гг.
Япония вышла на третье место в мире по объему внешней торговли, увеличив свою долю в экспорте всех стран мира в два раза.
Значимые изменения в расстановку экономических сил в мире внесли новые индустриальные страны. За последнее десятилетие объем внешней торговли Гонконга, Южной Кореи, Сингапура, Малайзии, Таиланда и Тайваня, а также Китая, увеличился в среднем в три раза.
Гонконг вышел на одно из первых мест в мире по экспорту одежды и тканей. Ожидается, что к середине 90-х гг. Китай войдет в десятку ведущих торговых держав (в 1980 г. - 20-ый в списке лидеров), а его доля в мировом товарообороте возрастет до 2,5% .
В условиях взаимосвязанного и взаимозависимого мира география внешней торговли сильно зависит от политической ориентации. Торговые санкции и экономическая блокада государств, нарушающих нормы международного права, стали действенным оружием в современном мире (например, запреты на торговлю с ЮАР, Ираком, Сербией).
География внешней торговли стран Восточной Европы существенно изменилась после второй мировой войны, что было следствием переориентации их внешней политики на СССР. Структурная перестройка хозяйства, произошедшая за 50-80-е гг. в рамках Совета экономической взаимопомощи (СЭВ), привела к изменению структуры, размещения и специализации всех отраслей.
Переход к рыночным отношениям в 90-е гг. и политическая ориентация на связи со странами Западной Европы вызвали изменения как в структуре производства, так и в географии внешней торговли.
Статистические показатели для анализа внешней торговли
К числу важнейших показателей, используемых при анализе географии внешней торговли относятся следующие:
1) Объемы экспорта, импорта, внешнеторгового оборота (сумма стоимости экспорта и импорта.
2) Объем экспорта, импорта, внешнеторгового оборота в расчете на душу населения, 1 кв. км национальной территории.
3) Индексы экспорта, импорта, внешнеторгового оборота,
рассчитываемые как отношение объемов предыдущего года к настоящему.
4) Доля экспорта, импорта, внешнеторгового оборота в соответствующих мировых показателях.
5) Сальдо внешней торговли - разница между экспортом и импортом.
6) Структура импорта (экспорта) - соотношение стоимости товарных групп в общей стоимости импорта (экспорта).
7) Доля импорта в потреблении показывает зависимость национальной экономики от международной торговли.
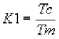
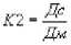
8) Коэффициенты международной специализации:
где
К1 - коэффициент специализации
Тс - доля страны в мировом экспорте данного товара
Тм - доля страны в мировом экспорте
где
К2 - коэффициент специализации
Дс - доля данного товара в экспорте страны
Дм - доля товара в мировом экспорте
Внешняя торговля развитых и развивающихся стран (географическая и товарная структура экспорта (импорта)
Специализация в международном разделении труда на производстве и экспорте продукции обрабатывающей промышленности, типичная для экономически развитых стран, предполагает значительные капиталовложения в экономику и наличие высоко квалифицированной рабочей силы. Например, такие небольшие по площади страны как Бельгия, Нидерланды, Люксембург, не имеющие своих значимых природных ресурсов, входят в число стран - лидеров мировой торговли.
Они импортируют сырье и полуфабрикаты, экспортируют готовую продукцию, обеспечивая высокие прибыли экономике и доходы населению.
В структуре экспорта и импорта экономически развитых стран преобладает продукция обрабатывающей промышленности, прежде всего, машины и оборудование. В импорте значительна доля сырья и топлива.
Подобная структура внешней торговли объясняется ее географией (экономически развитые страны торгуют прежде всего между собой), а также развитой подетальной специализацией их промышленности.
РАЗВИВАЮЩИЕСЯ СТРАНЫ В МИРОВОЙ ТОРГОВЛЕ. Структура и география внешней торговли развивающихся стран была заложена в колониальный период.
Экономические и политические связи с бывшими метрополиями, однотипная структура хозяйства (главные статьи экспорта - топливо и сырье, культуры тропического земледелия, не пользующиеся спросом на внутренних рынках) препятствовали развитию межрегиональной торговли.
Мировая тенденция снижения цен на сырье (главной статьи экспорта развивающихся стран) и роста цен на продукцию обрабатывающей промышленности, (главной статьи экспорта промышленно развитых стран) ставит первые в условия неэквивалентного обмена: они должны продавать все больше и больше, чтобы купить необходимые для модернизации хозяйства машины и оборудование.

Доля развивающихся стран в мировой торговле в последние десятилетия неуклонно снижается в основном за счет сокращения доли экспорта. В его структуре преобладает продукция добывающей промышленности и тропического земледелия, причем в ряде стран доля главной статьи экспорта составляет более 90% (например, в Катаре, Кувейте, Бахрейне, Иране, Ираке нефть и нефтепродукты являются главной и единственной статьей валютных поступлений).
В структуре импорта преобладают необходимые для развития экономики машины и оборудование, а также продовольствие. Регионы, лишенные энергетических ресурсов, Восточная Африка, Центральная Азия - вынуждены закупать их во все возрастающих объемах.
Продовольственная проблема, обострившаяся в последние десятилетия, привела к резкому росту объема импорта зерна.
СССР - СНГ - РОССИЯ В МИРОВОЙ ТОРГОВЛЕ
В 80-е - начале 90-х гг. СССР стабильно занимал восьмое место в мире по объему внешней торговли, который за десятилетие вырос в абсолютных показателях в 1,5 раза.
Основными торговыми партнерами были страны Восточной Европы, куда поступала почти вся вывозимая нефть и сырье.
Ситуация во внешней торговле стала ухудшаться с конца 80-х гг., когда из-за снижения мировых цен на топливно-сырьевые товары и ухудшения экономической ситуации в стране сократились объемы как экспорта, так и импорта. Несмотря на то, что Россия является важным торговым партнером для многих государств, место, занимаемое ею во всемирном товарообороте, не соответствует потенциалу и потребностям экономического развития.
Экономическая интеграция. Теория стадий экономической интеграции.
Международная интеграция - это объединения на уровне стран, связанных узами экономического сотрудничества, обусловленное углублением международного разделения труда. Результатом интеграционных процессов является проведение общей экономической политики по отношению к третьим странам, создание общих промышленных и других экономических объектов.
СТАДИИ ЭКОНОМИЧЕСКОЙ ИНТЕГРАЦИИ. Виды межгосударственных объединений различаются степенью интеграции национальных рынков, уровнем интенсивности хозяйственных связей, степенью согласованности экономической политики в отношении третьих стран.
По степени усиления взаимозависимости выделяются следующие виды интеграционных межгосударственных объединений.
1. Преференциальная зона объединяет страны, во взаимной торговле которых снижены или отменены таможенные пошлины на ввозимые товары, например, в такую зону входили все члены Британского содружества наций.
2. Зона свободной торговли предполагает устранение тарифных и количественных ограничений на товарооборот между странами (например, Европейская Ассоциация свободной торговли - ЕАСТ, Североамериканская зона свободной торговли - НАФТА, Латиноамериканская Интеграция).
Самая обширная в мире зона свободной торговли - зона Азиатско-Тихоокеанского экономического сотрудничества (APEC - Asia-Pacific Economic Cooperation), в которую входят США и Канада в Северной Америке, Австралия и Новая Зеландия, Япония, быстрорастущие экономики Азии - Китай, Южная Корея, Гонконг, Тайвань и шесть стран - членов АСЕАН (Индонезия, Малайзия, Сингапур, Таиланд, Филиппины, Бруней, Вьетнам, Мьянма).
В начале 90-х гг. страны - члены , контролировали 40% мировой торговли, на их долю приходилось почти 1/2 ВВП мира.
3. Таможенный союз предусматривает отмену всех пошлин и количественных ограничений и унификацию тарифов в торговле с третьими странами.
4. Общий рынок. Его создание предполагает все преимущества таможенного союза плюс свободное передвижение капиталов, рабочей силы, товаров и услуг.
5. Экономический союз предусматривает достижение общих действий в сфере обмена и производства, согласованных структурной, социальной, региональной, бюджетной политики.
6. Полная интеграция возможна, если к экономическим мерам добавляются меры политические - создание надгосударственных органов управления, ликвидация государственных границ.
Этапы интеграционного процесса
|
I. Преференциальное торговое соглашение (preferential trade agreement) |
II.Зона свободной торговли (free trade zone) |
III.
Таможенный Союз (customs union) |
IV. Общий рынок
(common market) |
V. Экономический союз (economic union) |
Снижение тарифных и иных барьеров
во взаимной торговле Сохранение
национальных тарифов в отношении третьих стран
Межгосударственные органы управления не создаются |
Отмена тарифных
и нетарифных барьеров во взаимной торговле
Свобода межстранового движения товаров и услуг Небольшой межгосударственный секретариат |
|
Единое тарифное и нетарифное регулирование в отношении третьих стран
Межгосударственный совет на уровне министров и секретариат |
|
Свобода движения факторов производства Встречи глав государств, совет министров, секретариат |
Гармонизация экономической политики Межгосударственный орган с функцией наднационального регулирования |
Точно определить, на каком уровне развития действительно находится то или иное интеграционное объединение, довольно сложно в силу как отсутствия достаточно сопоставимой информации, так и зачастую возникающих сильных различий между провозглашенными целями и реальными достижениями. Нередко группировка, называющая себя экономическим союзом, может находиться лишь на ранних этапах взаимной ликвидации таможенных тарифов, то есть еще не достигнуть даже уровня зоны свободной торговли, а объединение, считающее себя таможенным союзом, может вообще существовать только на бумаге, поскольку общий таможенный тариф еще не разработан и не введен.
Основные экономические объединения стран мира: товарные ассоциации, интеграционные объединения в сфере производства, финансов и транспорта. Региональные интеграционные объединения.
Среди множества существующих на сегодняшний день международных интеграционных объединений, к созданию экономического и политического союза непосредственно подошло лишь Европейское сообщество (ЕС) - союз наиболее развитых стран Западной Европы.
Экономическая интеграция в Европе была вызвана необходимостью защиты национальной промышленности от американского рынка, без таможенной защиты от которого не могли успешно развиваться автомобилестроение и авиационная промышленность. Она началась в 1951 г., когда было подписано соглашение о создании Европейского объединения угля и стали (ЕОУС), контролирующее каменноугольную, железорудную и металлургическую промышленность Франции, ФРГ, Италии, Бельгии, Нидерландов и Люксембурга.
В 1957 г. страны ЕОУС подписали Римский договор о создании Европейского экономического сообщества (Общего рынка) и Европейского сообщества по атомной энергии (Евроатома). В конце 60-х гг. в результате объединения трех организаций - ЕОУС, Евроатома, ЕЭС была создана новая интеграционная группировка Европейские Сообщества. Договор предусматривал постепенную отмену таможенных ограничений и установление общей торговой политики в отношении третьих стран, обеспечение свободного передвижения капиталов,
товаров и рабочей силы, разработка и осуществление общей политики в области сельского хозяйства, создание валютного союза, создание политического союза.
В 1960г. Австрия, Исландия, Норвегия, Швейцария, Швеция, Лихтенштейн, Финляндия вошли в Европейскую ассоциацию свободной торговли (ЕАСТ).
В 1973 г. в ЕЭС вступили Великобритания, Дания и Ирландия, в 1981 г. - Греция, в 1986 г. - Испания и Португалия.
К началу 1990-х гг. на долю 12 стран ЕЭС приходилось около 7% населения мира, 24% мирового производства, 40% мировой торговли, 37% валютных резервов мира.
Новый этап в углублении европейской экономической интеграции относится к началу 90-х гг. В 1991 г. были подписаны Маастрихтские соглашения, предусматривающие создание подлинного Европейского Союза - экономического, валютного и финансового и введение единого общеевропейского гражданства.
В мае 1992 г. ЕС и ЕАСТ подписали соглашение о создании единого европейского пространства. В январе 1993 г. восемь стран - Германия, Франция, Бельгия, Нидерланды, Люксембург, Италия, Испания, Португалия, подписали Шенгенские соглашения, по которым открывалось свободное движение через границы этих стран, свободный перевод денежных средств, равные права для учебы и работы, вводились единые стандарты на промышленные и сельскохозяйственные товары.
Ожидается, что экономическим результатом интеграции будет снижение издержек производства в среднем на 7%, в банковском деле, страховании и транспорте - на 15-20%.
С 1 ноября 1993 г., после ратификации соглашений всеми двенадцатью странами-участницами, Европейский экономический союз переименован в Европейский Союз.
В 1995 г. Австрия, Швеция, Финляндия согласовали условия присоединения к ЕС; после проведения в этих странах референдумов, они стали полноправными членами ЕС. Официальные заявления о вступлении в ЕС подали также Кипр, Мальта, Турция, Марокко, страны Восточной Европы.

Соглашение о создании СЕВЕРОАМЕРИКАНСКОЙ ЗОНЫ СВОБОДНОЙ ТОРГОВЛИ (NAFTA= North American Trade Agreement) в составе США, Канады и Мексики вступило в силу с 1 января в 1994 г.
Устранение таможенных барьеров, предусмотренных подписанием НАФТА (в течение 10 лет предполагается полностью снять тарифные ограничения на торговлю товарами легкой промышленности, машинами и запасными частями к ним; 57% таможенных тарифов, ранее действовавших в торговле сельскохозяйственной продукцией устраняются с 1 января 1994 г., через 15 лет на всю номенклатуру продукции аграрного сектора) увеличит объемы взаимной торговли и будет способствовать превращению региона в мощный экономический центр, аналогичный интеграции в Западной Европе.
Подписание соглашения закрепило существующие тенденции торговых отношений в регионе - за 1987-1993 гг. торговый оборот между США и Канадой увеличился на 50%, а между США и Мексикой практически удвоился.
Ожидается, что создание зоны свободной торговли повлечет за собой миграцию капиталов и рабочей силы из США и Канады в Мексику, особенно в трудоемкие отрасли - текстильную промышленность и производство игрушек, что приведет к росту числа высококвалифицированных рабочих мест в этой стране, экономика которой, как ожидается, в наибольшей степени выиграет от участия в НАФТА. Новый импульс развития получит приграничная зона между США и Мексикой.
Рост экспорта из США потребует создания новых рабочих мест в высокотехнологичных отраслях, а также в банковском деле и сфере услуг (по оценке в США будет создано 171 тыс. новых рабочих мест). За счет участия США в НАФТА в 90-е гг. ожидается рост ВВП на 15 млрд. долл. в год.
Международная интеграция в развивающихся регионах мира, как правило не выходит за рамки создания зон свободной торговли.
Уровень развития интеграционных объединений
|
Уровень интеграции (поставленные цели) |
Название, год создания |
Страны-члены и организации |
|
Соглашения об экономическом и торговом сотрудничестве |
Соглашение о сотрудничестве и партнерстве между ЕС и странами бывшего СССР, 1994 |
ЕС, Беларусь, Казахстан, Россия, Украина |
|
Соглашения об ассоциации с ЕС , 1991-1995 |
Болгария, Чехия, Венгрия, Польша, Румыния, Словакия, Эстония, Латвия, Литва, Словения |
|
Инициатива Предприятие для всей Америки, 1990 |
США, большинство латиноамериканских и центральноамериканских государств |
|
Зоны свободной торговли (ЗСТ) |
Европейская ассоциация свободной торговли ЕАСТ, 1960 |
Австрия, Финляндия, Исландия, Лихтенштейн, Норвегия, Швеция |
|
Европейская экономическая зона, 1994 |
Страны Европейского союза, Исландия, Лихтенштейн |
|
Балтийская ЗСТ, 1993 |
Эстония, Латвия, Литва |
|
Центрально-европейская ЗСТ, 1992 |
Чехия, Венгрия, Польша, Словакия |
|
Североамериканская ЗСТ , 1994 |
Канада, Мексика, США |
|
Соглашение о свободе торговли стран АСЕАН, 1992 |
Бруней, Индонезия, Малайзия, Филиппины, Сингапур, Таиланд |
|
Австралийско - новозеландское торговое соглашение об углублении экономических связей , 1983 |
Австралия, Новая Зеландия |
|
Бангкокское соглашение, 1993 |
Бангладеш, Индия, Республика Корея, Лаос, Шри-Ланка |
|
Таможенные союзы (ТС)
|
Ассоциация ЕС с Турцией , 1963 |
ЕС, Турция |
|
Арабский общий рынок, 1964 |
Египет, Ирак, Иордания, Ливия, Мавритания, Сирия, Йемен |
|
Центральноамериканский общий рынок,1961 |
Коста-Рика, Сальвадор, Гватемала, Гондурас, Никарагуа |
|
ЗСТ между Колумбией, Эквадором и Венесуэлой,1992 |
Колумбия, Эквадор, Венесуэла |
|
Организация восточно - карибских государств,1991 |
Антигуа и Барбуда, Доминика, Гренада, Монтсеррат, Сент-Китс и Невис, Сент-Люсия, Сент-Винсент и Гренадины |
|
Общий рынок (ОР) |
Совет сотрудничества арабских стран Персидского залива,1981 |
Бахрейн, Кувейт, Оман, Катар, Саудовская Аравия, ОАЭ |
|
андский общий рынок , 1990 |
Боливия, Колумбия, Эквадор, Перу, Венесуэла |
|
Латиноамериканская интеграционная ассоциация ЛАИА, 1960 |
Аргентина, Боливия, Бразилия, Чили, Колумбия, Эквадор, Мексика, Перу, Уругвай, Венесуэла |
|
Общий рынок южного конуса МЕРКОСУР, 1991 |
Аргентина, Бразилия, Парагвай, Уругвай |
|
Карибское сообщество и Карибский общий рынок КАРИКОМ, 1973 |
Антигуа и Барбуда, Багамские Острова, Барбадос, Белиз, Доминика, Гренада, Гайана, Ямайка, Монтсеррат, Сент-Китс и Невис, Сент-Люсия, Сент-Винсент и Гренадины, Тринидад и Тобаго |
|
Экономические союзы (ЭС) |
Европейские сообщества, 1957, позже Европейский союз ЕС , 1993 |
Австрия, Бельгия, Великобритания, Дания, Германия, Греция, Ирландия, Испания, Италия, Люксембург, Нидерланды, Португалия, Финляндия, Франция, Швеция |
|
Экономический союз Бенилюкс , 1948 |
Бельгия, Нидерланды, Люксембург |
|
Содружество независимых государств , 1992 |
Армения, Азербайджан, Беларусь, Грузия, Казахстан, Киргизия, Молдавия, Россия, Таджикистан, Туркменистан, Украина. Узбекистан |
|
Союз арабского Магриба , 1989 |
Алжир, Ливия, Мавритания, Марокко, Тунис |
|
Межстрановая инициатива, 1993 |
Бурунди, Коморские Острова, Кения, Мадагаскар, Малави, Мавритания, Намибия, Руанда, Сейшельские Острова, Танзания, Уганда, Замбия, Зимбабве |
|
Лагосский план действий , 1973 |
Все страны Африки к югу от Сахары |
|
Союз реки Ману, 1973 |
Гвинея, Либерия, Сьерра-Леоне |
|
Западноафриканский экономический и валютный союз, 1994 |
Бенин, Буркина-фасо, Кот-д'Ивуар, Мали, Нигер, Сенегал, Того |
Здесь наибольшее распространение получили торговые и товарные организации (Азиатское кокосовое сообщество, Международная организация по кофе, Азиатский фонд торговли рисом, ОПЕК - Организация стран - экспортеров нефти), контролирующие мировые цены и квоты производства на определенный вид продукции; организации по совместному освоению или эксплуатации месторождений полезных ископаемых или определенных территорий (Организация по развитию нижнего течения реки Меконг, Организация по развитию реки Сенегал и т.д.). Функционирование общеэкономических организаций таких как, например, Арабского общего рынка, АСЕАН, ЭКОВАС Экономическое сообщество стран Западной Африки в соответствии с поставленными задачами часто затрудняется однотипностью хозяйственных структур, низким общим хозяйственным уровнем развития и политической нестабильностью и военными конфликтами между странами членами интеграции.
Экономика: Страны - Деньги - Валюты