Ахметов Д. - Задача статистики занятости и безработицы, источники данных
Занятость - одна из важнейших социально-экономических проблем рыночной экономики. Ее статистическое отражение неоднократно обсуждалось на международных конференциях статистиков труда (1949, 1957, 1982, 1993 гг.), проводимых Международным бюро труда (г.
Женева) - основным рабочим органом Международной организации труда (МОТ).
В соответствии с концепцией рабочей силы, отвечающей международным стандартам, занятость и безработица рассматриваются как две взаимодополняющие характеристики. Равновесию экономической системы соответствует определенный уровень занятости.
При этом обычно спрос на труд превышает существующий объем занятости, что обусловливает наличие безработицы. Вместе с тем это превышение не беспредельно для обеспечения экономической и социальной стабильности общества. Поэтому в странах с рыночной экономикой занятость и безработица изучаются систематически.
Статистические данные необходимы при регулировании рынка труда, обеспечении социальной защиты населения, организации своевременной профессиональной подготовки и переподготовки кадров.
Перед статистикой занятости и безработицы стоят следующие задачи:
- сбор данных о численности занятых и безработных как составных частях рабочей силы;
- измерение уровня занятости и безработицы с целью изучения состояния, тенденций на рынке труда;
- изучение трудоустройства населения для оценки ситуации на рынке труда и ее прогнозирования;
- изучение состава занятых и безработных с тем, чтобы разработать программу занятости;
- измерение взаимосвязи между занятостью, доходом, содержанием и другими мотивациями труда с целью разработки программы занятости.
Выполнение этих задач создает условия для измерения предложения рабочей силы и ее фактического использования. Их решение основывается на сочетании ряда источников информации.
В нашей стране для расчета общей по регионам численности занятых в течение года служат данные текущей отчетности по труду: форма 1-Т "Отчет по труду" (месячная, квартальная, годовая). По этой форме отчитываются не все предприятия. Для малых предприятий численность занятых может быть получена из единовременного отчета: 1-МП "Об основных показателях деятельности малого предприятия" за год. Изучение состава занятых по отраслям народного хозяйства, секторам экономики производится по балансам трудовых ресурсов, составляемым на середину (1 июля), конец (начало - 1 января) года и в среднем за год.
В них обобщается не только информация предприятий, получаемая в порядке текущей отчетности по труду, но и данные налоговой инспекции о численности занятых индивидуальным трудом, работающих по найму у отдельных граждан, а также численность работников, учитываемая в централизованном порядке.
Важным источником информации о численности безработных являются данные служб занятости, объединивших в 1991 г. ранее действовавшие центры и бюро по трудоустройству граждан. Работники служб занятости ведут первичную учетную документацию по трудоустройству и занятости населения, в которую входят карточка персонального учета гражданина, ищущего работу, 1 и карточка обратившегося в службу занятости за консультацией 2, а также ежемесячно представляют в органы государственной статистики "Отчет о трудоустройстве и занятости населения". Однако не все нуждающиеся в работе обращаются к услугам служб занятости.
В них фиксируется лишь численность официально зарегистрированных безработных (на конец периода: месяца, квартала, года).
Наряду с данными текущей отчетности для оценки общей численности безработных начиная с 1992 г. используются материалы выборочных обследований населения по проблемам занятости. Обследованию в течение недели подлежат граждане в возрасте 15-72 лет.
Высокая верхняя возрастная граница позволяет уточнить возможное участие на рынке труда пенсионеров, а низкая - подростков. Результаты обследований позволяют оценить численность безработных, их распределение по обстоятельствам не занятости, по способам поиска работы.
Последнее особенно важно, так как рынок труда может функционировать как в организованной, так и в неорганизованной форме.
Использование выборочных обследований в сочетании с данными текущей отчетности для определения численности безработных рекомендовано МОТ и практикуется в ряде стран. Например, американское Бюро статистики труда информацию о безработице собирает через текущие обследования населения, проводя выборочные обследования 60 тыс. семей, опрашиваемых ежемесячно.
Определенную помощь в сборе данных о занятости могут оказать и материалы выборочных обследований предприятий. С 1991 г. в России ежемесячно проводится мониторинг предприятий и банков организацией Российский экономический барометр (РЭБ). В настоящее время РЭБ является единственной организацией, осуществляющей анализ экономической ситуации в России на основе конвенциональных методов опросной статистики.
Сеть респондентов РЭБ насчитывает свыше 1000 хозяйственных единиц из всех отраслей и регионов России.
Поскольку размер безработицы широко используется в международной практике в качестве общего показателя текущего состояния экономики страны, то естественно включение в программы данных обследований вопросов, уточняющих ситуацию на рынке труда и позволяющих прогнозировать ее. Ввиду важности такой информации Правительство Российской Федерации утвердило от 22 марта 1995 г. положение о всероссийском мониторинге социально-трудовой сферы.
Организация и ведение мониторинга социально-трудовой сферы возложены на Министерство труда РФ и Госкомстат России при участии Министерства экономики, Министерства социальной защиты населения, Федеральной службы занятости, Федеральной миграционной службы России.
УРОВНИ ЗАНЯТОСТИ И БЕЗРАБОТИЦЫ.
В соответствии с рекомендациями МОТ, как было отмечено ранее, статистика рассматривает численность занятых и безработных как две составные части экономически активного населения, т. е. рабочей силы.
Под экономически активным населением (рабочей силой) подразумевается часть населения, обеспечивающая предложение рабочей силы для производства товаров и услуг. Численность экономически активного населения измеряется по отношению к определенному периоду и включает занятых и безработных. Для примера укажем, что численность экономически активного населения к концу апреля 1996 г. составила в России 73,1 млн. человек
Численность экономически активного населения оценивают по данным выборочных обследований населения по проблемам занятости. В международных стандартах рекомендуется указывать минимальный возраст, принятый при измерении экономически активного населения. Он может быть принят на уровне 6 лет (Египет), 10 лет (Бразилия) и повышаться до 16 лет (США, Швеция).
В большинстве стран он составляет 14-15 лет. В некоторых странах предусмотрены два минимальных предела: более низкий -для получения информации об экономической деятельности и несколько более высокий - для группировки экономически активного населения: например, в Канаде - 14 и 15 лет, в Индии - 5 и 15, Венесуэле - 10 и 15, в России - 15 и 16 лет.
Помимо минимального в ряде стран установлен максимальный возраст. Это означает, что лица старше его исключаются из расчета численности экономически активного населения. Например, в Дании, Швеции, Норвегии, Финляндии установлен верхний предел в 74 года. В России при проведении обследований населения по проблемам занятости ограничиваются возрастом в 72 года.
Вместе с тем при дальнейшей группировке населения на занятых и безработных, как и в большинстве стран, максимальный возраст не установлен.
Чтобы иметь представление об уровне экономической активности населения страны (региона), определяется доля экономически активного населения в общей численности населения. В России в конце 1995 г. уровень экономической активности населения был равен 49,4%.
Это значит, что в общей численности населения страны 49,4% составляют жители, обеспечивающие предложение рабочей силы. В их числе 67,1 млн. человек (91,7%) были заняты всеми видами экономической деятельности и 6,0 млн. человек (8,3%) не имели занятия, но активно его искали и в соответствии с методологией МОТ классифицировались как безработные.
Правильное измерение экономически активного населения зависит от того, как точно определены его две составные части: занятые и безработные. Описание этих категорий рабочей силы применительно к национальным особенностям России дано в постановлении Госкомстата России от 25 мая 1993 г.
К занятым относятся лица обоего пола в возрасте 16 лет и старше, а также лица младших возрастов, которые в рассматриваемый период:
- выполняли работу по найму за вознаграждение (на условиях полного либо неполного рабочего времени), а также иную приносящую доход работу (самостоятельно или у отдельных граждан);
- временно отсутствовали на работе из-за болезни, травмы, по случаю отпуска и другим причинам;
- выполняли работу без оплаты на семейном предприятии.
К безработным относятся лица 16 лет и старше, которые в рассматриваемый период:
- не имели работы (доходного занятия);
- занимались поиском работы (обращались в службу занятости, к администрации предприятия, использовали личные связи, помещали объявления в печати и др.) или предпринимали шаги к организации собственного дела;
- были готовы приступить к работе.
При отнесении к безработным должны присутствовать все три критерия, перечисленных выше. К безработным относятся также лица, обучающиеся по направлению служб занятости или выполняющие оплачиваемые общественные работы, получаемые через службы занятости.
По методологии МОТ к безработным могут быть отнесены и учащиеся, студенты, пенсионеры и инвалиды, если они занимались поиском работы и были готовы к ней приступить. В составе безработных выделяются лица, не занятые трудовой деятельностью, зарегистрированные в службе занятости в качестве ищущих работу, а также признанных безработными.
Ситуация на рынке труда оценивается не только через абсолютную численность занятых и безработных, но и через уровень безработицы и уровень занятости, которые определяются как удельный вес соответствующей категории рабочей силы в численности экономически активного населения на начало (конец) периода:
Так, к концу 1995 г. в России уровень безработицы составил 8,3%, соответственно уровень занятости - 91,74%. К концу апреля 1996 г. эти показатели были равны 8,8 и 91,2%.
Уровень занятости характеризует степень использования трудоспособного населения в сфере общественно полезного труда. Величина данного показателя отражает сложившуюся экономическую ситуацию в стране. Она зависит от развития производительных сил, научно-технического прогресса в обществе, уровня благосостояния населения.
Различают полную, частичную и скрытую занятость.
Полная занятость предполагает создание таких условий жизни, при которых каждому трудоспособному человеку предоставляется возможность при его желании быть занятым или незанятым. Полная занятость не означает, что все трудоспособное население в трудоспособном возрасте должно быть обязательно занятым.
В силу ряда обстоятельств отдельные трудоспособные лица могут и не участвовать в процессе труда (женщины, ухаживающие за детьми; люди, не работающие потому, что желают сменить профессию и др.). Полная занятость достигается, когда спрос на рабочую силу совпадает с ее предложением, что является довольно редким событием в условиях рыночной экономики.
Частичная занятость предполагает заранее обусловленную работу в течение неполного рабочего дня, неполной рабочей недели. Она присуща странам с высоким уровнем экономического развития, где состояние науки создает экономические условия для частичной занятости.
В настоящее время удельный вес численности частично занятых в экономически активном населении составляет: в Норвегии - 25,6%, Великобритании - 24,7%, Швеции 24,7%, Австралии - 20,2%, США - 17,3%, в Японии - 12%. Рост категории частично занятого населения предполагает достаточно высокий уровень оплаты труда.
Неполный рабочий день (неделя) может более широко использоваться и в нашей стране, особенно среди женщин, не как вынужденная, а как сознательно выбранная форма организации труда.
Особого внимания заслуживает скрытая занятость (потенциальная безработица), при которой работники трудятся не по своей воле в режиме неполной занятости, пользуются отпусками по инициативе администрации без сохранения или с частичным сохранением заработной платы. Такая неполная видимая занятость преуменьшает реальное число безработных.
По данным Госкомстата России, к концу 1994 г. 4,8 млн. человек вынужденно трудились в режиме неполной рабочей недели и находились в неоплачиваемых или частично оплачиваемых отпусках. Поэтому с учетом данной категории работников общий потенциал безработицы составлял 10,1 млн. человек, или 13,5% экономически активного населения.
Занятые и безработные (экономически активное население) являются составной частью трудовых ресурсов региона. Поэтому в литературе нередко уровни занятости и безработицы определяются как удельный вес занятых и удельный вес безработных в общем объеме трудовых ресурсов.
Найденные так показатели уровней занятости и безработицы по своим величинам оказываются ниже, чем рассмотренные ранее.
Сумма показателей уровней занятости и безработицы в трудовых ресурсах дает удельный вес экономически активного населения в трудовых ресурсах. По данным 1995 г.: 81,9 + 7,1 = 89%.
Недостающие (до 100) 11% - экономически не активное население в трудоспособном возрасте, т. е. население, которое не входит в состав рабочей силы. К нему относятся:
- учащиеся и студенты, слушатели и курсанты, посещающие дневные учебные заведения и не занятые никакой деятельностью, кроме учебы,
- лица, занятые ведением домашнего хозяйства, уходом за детьми, больными, родственниками и т. п.;
- лица, прекратившие поиск работы, исчерпав все возможности ее получения, но они могут и готовы работать;
- лица, которым нет необходимости работать независимо от источника их дохода.
По методологии МОТ экономически не активное население включает еще две категории лиц, не входящие в состав трудовых ресурсов:
- лица, получающие пенсии (по старости, на льготных условиях, по потере кормильца) и не занятые никакой деятельностью;
- инвалиды, получающие пенсии и не занятые никакой деятельностью.
Поскольку численность экономически активного населения, численность занятых и безработных связаны аддитивно, динамика этих показателей характеризуется следующим образом:
Кэ = КзУз + КбКб0
где Кэ коэффициент роста численности экономически активного населения;
КзУз коэффициенты роста численности занятых и безработных; КбКб0 Уровни занятости и безработицы в базисном периоде.
Предположим, что по региону имеется следующая информация, приведенная в табл.1
Динамика численности занятых, безработных и экономически активного населения региона (табл.1)
|
Период |
Численность, млн. человек |
Уровень, % |
|
занятых |
безработных |
экономически активных |
безработицы |
занятости |
|
Базисный год |
20,0 |
1,5 |
21,5 |
7,0 |
93,0 |
|
Отчетный год |
19,0 |
2,0 |
21,0 |
9,5 |
90,5 |
|
Коэффициент роста |
0,95 |
1,333 |
0,977 |
1,357 |
0,973 |
В соответствии с приведенным ранее равенством (9.1) получим:
0,95-0,93+1,333-0,07=0,977.
В службах занятости среди граждан, обратившихся с просьбой о трудоустройстве, выделяются три группы:
- работающие, но желающие переменить место работы или трудится по совместительству в свободное от основной работы время;
- студенты, учащиеся общеобразовательных школ и других учебных заведений, желающие работать в свободное от учебы время;
- не занятые на момент обращения с просьбой о трудоустройстве.
Для регулирования в регионе уровня безработицы наибольший интерес представляет третья группа граждан, обратившихся с просьбой о трудоустройстве. Большая часть из них учитывается как официально признанные законодательным путем безработные.
Например, к концу апреля 1996 г. Федеральной службой занятости было зарегистрировано граждан, не занятых трудовой деятельностью, 3,1 млн. человек, а статус безработного получили 2,8 млн. человек, т. е. 90% из незанятых и обратившихся за помощью в трудоустройстве граждан.
Как правило, уровень безработицы, определенный по данным выборочного обследования, в 3-6 раз выше, чем уровень, зарегистрированный в службах занятости: в 1995 г. численность безработных, зарегистрированных в органах государственной службы занятости, составляла 38,5% общей численности безработных. Следовательно, из каждых 100 безработных, определенных по методологии МОТ, лишь 38 по России (по некоторым регионам меньше) регистрировались в службах занятости.
Различия этих показателей еще более весомы, если учесть состав безработных по полу (табл. 2).
Существенность различия по полу в доле безработных, зарегистрированных в службах занятости (последний показатель табл. 9.2), может быть оценена с помощью F-критерия Фишера:
F = Dфакт:Dост
где Dфакт и Dост факторная и остаточная дисперсии на одну степень свободы.
Уровень общей и зарегистрированной безработицы среди мужчин и женщин Санкт-Петербурга в октябре 1994 г. (табл. 2)
|
Показатель |
Мужчин |
Женщин |
Всего |
|
Всего безработных (в % к экономически активному населению) |
8,7 |
9,6 |
9,2 |
|
Зарегистрировано безработных в службах занятости (в % к экономически активному населению) |
1,7 |
3,6 |
2,7 |
|
Процент зарегистрированных безработных в службах занятости в общей численности безработных |
20,0 |
37,5 |
29,2 |
Для определения этих дисперсий можно использовать следующие формулы, учитывающие правило сложения дисперсий альтернативного признака:
Dфакт=
Dост=

, где
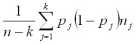
pj - доля безработных, зарегистрированных в службах занятости, в общей численности безработных (отдельно среди мужчин и среди женщин);
- средняя доля безработных в целом по населению;
nj - численность безработных - отдельно для мужчин и женщин;
n - общая численность безработных;
k - число групп населения по полу.
В выборочном обследовании в Санкт-Петербурге численность безработных составила: 145 мужчин и 160 женщин (без студентов и пенсионеров). Используя данные формулы, получим значения факторной и остаточной дисперсий на одну степень свободы:
Dфакт=

характеризует различия уровня безработных по полу и среднего уровня безработных по региону;
Dост=

оценивает вариацию доли безработных внутри региона независимо от пола граждан.
Отсюда F-критерий составит:
F=

Эта величина значительно превышает табличное значение при 5% вероятности ошибки, равное 3,87. Следовательно, состав безработных по полу обусловливает существенные различия в уровне официально зарегистрированной в службах занятости безработицы: по данным табл.
2, они составляют 1,9 процентного пункта. Данные текущей статистики служб занятости о трудоустройстве населения используются для оценки общей численности безработных в периоды между обследованиями населения по проблемам занятости.
Для расчета численности безработных в месяцы между двумя обследованиями применяется интерполяция соотношения численности безработных, полученной по данным обследования, и численности незанятого населения, учтенной в службах занятости на соответствующую дату. Методика подобных расчетов может быть разной в зависимости от принятой концепции интерполяции.
ТРУДОУСТРОЙСТВО НАСЕЛЕНИЯ
В поисках работы в органы Федеральной службы занятости обращаются как занятые, так и не занятые трудовой деятельностью граждане. С позиции оценки ситуации на рынке труда прежде всего определяется численность зарегистрированных службой занятости граждан, не занятых трудовой деятельностью.
Вместе с тем при прогнозировании состояния рынка труда важна информация и о численности граждан, занятых трудовой деятельностью, но желающих сменить место работы, опасающихся возможного сокращения на своих предприятиях, а потому и обратившихся за помощью в трудоустройстве.
Статистика изучает не только численность, но и структуру обратившихся в службы занятости за помощью в трудоустройстве по категориям граждан:
- занятые трудовой деятельностью;
- учащиеся;
- не занятые трудовой деятельностью;
- пенсионеры.
С ростом экономической нестабильности в обществе может возрастать доля лиц, занятых трудовой деятельностью, но желающих сменить место работы. Соответственно может возрастать и доля пенсионеров, желающих на ниве труда улучшить свое материальное положение.
Так, в 1995 г. в России в органы государственной службы занятости обратилось по вопросу трудоустройства 5,1 млн. человек. Из них не занятые трудовой деятельностью составили 76,9%; учащиеся, желающие работать в свободное от учебы время, - 16,6%; занятые трудовой деятельностью - 3,3% и пенсионеры - 3,2%.
Статистика изучает состав населения, ищущего работу и обратившегося в службы занятости по полу, возрасту и образованию. В общей численности обратившихся более половины составляют женщины, при этом наиболее высока их доля среди лиц, не занятых трудовой деятельностью, а также среди пенсионеров.
Из общей численности обратившихся выделяется молодежь в возрасте до 30 лет. В ее составе также преобладает доля женщин. Как результат деятельности служб занятости определяется численность трудоустроенных ими граждан в общей численности обратившихся в органы службы занятости. В настоящее время наблюдается рост доли трудоустроенных граждан среди обратившихся в поисках работы в центры занятости, особенно среди учащихся (табл.
3). Наибольший удельный вес среди трудоустроенных составляют не занятые трудовой деятельностью граждане как наиболее нуждающиеся в поддержке лица.
Высок процент трудоустройства молодежи: в 1995 г. среди трудоустроенных не занятые трудовой деятельностью составляли 61,4%, а учащиеся - 36,4%.
Информация о нуждающихся в работе предусматривается в разрезе отраслей и секторов экономики. Это позволяет изучать предложения рабочей силы: межотраслевое и межсекторное. Для анализа дифференциации трудоустроенных по секторам экономики составляется таблица следующего вида (пример табл.
4).
Удельный вес трудоустроенных граждан в общей численности обратившихся в органы службы занятости (по данным федеральной службы занятости, %) (Таблица 9.3)
|
Категория населения обратившегося по вопросам трудоустройства |
% трудоустроенных среди соответствующих категорий населения |
% каждой категории населения в общей численности трудоустроенных |
|
1993г. |
1994г. |
1995г. |
1993г. |
1994г. |
1995г. |
|
Занятые трудовой деятельностью |
18,4 |
10,0 |
10,5 |
1,5 |
1,0 |
0,8 |
|
Учащиеся, желающие работать в свободное от учебы время |
77,9 |
87,8 |
94,9 |
5,7 |
16,5 |
36,4 |
|
Не занятые трудовой деятельностью |
39,0 |
30,2 |
34,6 |
91,2 |
80,8 |
61,4 |
|
Пенсионеры |
17,5 |
12,5 |
18,9 |
1,6 |
1,7 |
1,4 |
|
Всего: |
38,7 |
32,2 |
43,3 |
100 |
100 |
100 |
Источник: Россия в цифрах: 1995 год. Краткий статистический сборник/Госкомстат России. - М.: Финансы и статистика, 1996. - С. 43.
Таблица 4
|
Места прежний трудовой деятельности |
Места трудоустройства с помощью службы занятости |
Всего трудоустроено |
Не трудоуст-роено |
Количество обратив- шихся в службы занятости |
|
1 |
2 |
3 |
Секторы 1
экономики 2
3 |
Среди секторов экономики выделяются: государственные и муниципальные предприятия и организации, общественные организации и фонды, совместные предприятия, частные предприятия, предприятия смешанной формы собственности.
В настоящее время среди обращающихся в центры занятости чаще преобладают граждане, работавшие ранее в государственном секторе экономики, что обусловлено доминированием государственных предприятий в национальной экономике. Абсолютное большинство из работавших ранее в государственном секторе трудоустраивается через службы занятости также в государственный сектор.
Иными словами, структура трудоустроенных по секторам экономики мало дифференцирована по местам прежней трудовой деятельности граждан.
Анализ структуры предложения рабочей силы по отраслям экономики ведется по таблице аналогичного вида в которой секторы экономики заменены соответствующими отраслями. Распределения трудоустроенных и обратившихся за помощью по -(судоустройству по отраслям экономики позволяют видеть, в какой мере пополнение кадров идет за счет преимущественно внутриотраслевого притока рабочей силы и за счет межотраслевого движения кадров.
СОСТАВ БЕЗРАБОТНЫХ
Наибольшими возможностями для трудоустройства через службы занятости в 1992-1995 гг. обладали лица, работавшие ранее в торговле и общественном питании, на транспорте, в промышленности, строительстве, в сфере управления, а наименьшими - уволившиеся из науки и научного обслуживания. Пополнение кадров за счет преимущественно внутриотраслевого притока характерно в основном для промышленности.
Межотраслевое движение кадров, трудоустроенных через центры занятости, зачастую имеет место в жилищно-коммунальном хозяйстве, бытовом обслуживании населении и в управлении.
Связанные с развитием рыночных отношений структурные преобразования в экономике приведут к изменению спроса и предложения на рабочую силу не только в отраслевом разрезе, но и по секторам экономики. Различные организационно-правовые формы предприятий (государственные, частные, акционерные и др.) предоставляют неодинаковые возможности решения проблемы занятости: они дифференцированы по уровню эффективности производства, резервам его роста, доходам работающих, а соответственно и по перспективам развития.
В отчете о трудоустройстве граждан фиксируется численность направленных на профессиональное обучение из числа не занятых трудовой деятельностью и еще не трудоустроенных, а также численность лиц, получивших консультации: по выбору профессии, по профессиональному обучению, по перемене места работы, по законодательству о труде и занятости и другим вопросам.
Статистика изучает продолжительность поиска работы. С этой целью по карточкам персонального учета обратившихся за помощью в трудоустройстве может быть определена общая продолжительность трудоустройства граждан (человеко-дней).
Продолжительность трудоустройства рассчитывается по всем гражданам, трудоустроенным в отчетном году, исходя из данных о дате снятия с учета по причине трудоустройства и о дне регистрации обратившегося за трудоустройством. На основании данного показателя можно определить среднюю продолжительность трудоустройства граждан за год.
Аналогично по всем безработным, трудоустроенным в отчетном году, рассчитывается общая продолжительность трудоустройства безработных (человеко-дней). При этом продолжительность поиска работы каждого считается со дня регистрации человека как безработный до снятия с учета по причине его трудоустройства. Далее этот показатель может использоваться для расчета средней продолжительности трудоустройства безработных в днях (путем деления его на общее число безработных, трудоустроенных в отчетном году).
Для прогнозных расчетов численности безработных анализируется уровень обращаемости населения в органы службы занятости. Интенсивность спроса на рабочую силу может быть оценена через число обращений по вопросам трудоустройства на 1000 человек трудоспособного населения в трудоспособном возрасте, т. е.
СОСТАВ БЕЗРАБОТНЫХ
Социальный портрет безработного средствами статистики получают при анализе данных от служб занятости по приложению к форме 1-Т (трудоустройство) Отчет о трудоустройстве и занятости населения за год. В нем содержится информация о качественном составе безработных (распределение их по полу, возрасту, уровню образования, причинам увольнения, наличию детей, профессии, специальности).
Изучение качественного состава безработных способствует разработке более эффективной политики занятости (субсидии на расширение рабочих мест, система подготовки и переподготовки рабочей силы, поощрение предпринимательской деятельности и др.).
Чтобы правильно оценить ситуацию на рынке труда, необходимо проанализировать причины, приведшие граждан к статусу безработных. В настоящее время в России острота проблемы безработицы во многом зависит от изменений в структуре экономики и конверсии военно-промышленного комплекса.
В 1993 г. с оборонных производств было высвобождено в связи с конверсией 378 314 человек. Из них 56% были трудоустроены на предприятиях ВПК, а 44% увеличили спрос на рабочую силу на рынке труда.
Поэтому среди причин увольнений первое в 1993 г. и второе места в 1994 г. занимала причина - высвобождение работников (табл. 9.4). Ситуация не изменилась и в 1995 г.
Как видим, среди причин потери работы существенную роль играли такие причины, как высвобождение работников в связи с реорганизацией производства и их увольнение по собственному желанию, за которыми нередко скрываются не только неудовлетворенность содержанием и условиями труда, его оплатой, но и структурные изменения в производстве. Среди безработных преобладают женщины (68% в 1993 г., 63% в 1995 г.) как в целом, так и по причинам увольнений. Высок их удельный вес и среди выпускников общеобразовательной и профессиональной школы. Острота проблемы занятости во многом зависит от структурных изменений в экономике.
Высвобождение работников зачастую связано и с техническим прогрессом, и с падением объемов производства, и с его реорганизацией, и с конверсией военно-промышленного комплекса. Разные причины сокращения рабочих мест обусловливают соответствующую систему мер социальной защиты безработных.
Вместе с тем неодинаковые реальные возможности помощи в трудоустройстве при существенных различиях ситуации на рынке труда приводят к сильной дифференциации регионов по уровню официально зарегистрированной безработицы.
|
Причина увольнения |
Численность безработных на
1 января |
|
1993г. |
1994г. |
|
По собственному желанию |
37,7 |
47,7 |
|
За нарушение дисциплины |
3,6 |
4,6 |
|
Высвобождение в связи с техническим прогрессом и реорганизацией производства |
41,3 |
27,1 |
|
Выпускники средних специальных школ |
3,9 |
4,7 |
|
Выпускники средних специальных и высших учебных заведений |
4,0 |
3,8 |
|
Выпускники ПТУ |
3,7 |
3,7 |
| Другие причины |
5,8 |
9,1 |
|
Итого: |
100 |
100 |
Источник: Народное хозяйство Российской Федерации в 1992 г.: Статистический сборник. - М.: Финансы и статистика, 1993. - С. 139; Социальное положение регионов Российской Федерации: Статистический сборник. - М.: Госкомстат России, 1994. - С. 63.
Распределение регионов России по уровню безработицы на июнь 1994 г. составляло:
уровень безработицы, % число регионов
до 0,5 7
0,51-1,0 18
1,01-1,5 14
1,51-2,0 12
2,01-2.5 9
2,51-3,0 7
3,01-^,0 6
4,01-5,0 5
5,01-7,0 1
Диапазон вариации регионов по уровню безработицы достаточно широк: коэффициент вариации составил 69,3%. Наиболее остро проблема безработицы стоит в Ивановской области (6,9% безработных). Образовательный уровень безработных в России самый высокий в мире на конец октября 1995 г.- 38% безработных имели высшее и среднее специальное образование, а в крупных городах этот показа гель еще выше.
Безработные женщины, как правило, имеют более высокий уровень образования, чем мужчины: так, в Санкт-Петербурге на 1.03.1993 г. среди безработных женщин 75,8% имели высшее и среднее специальное образование, что на 10 пунктов выше, чем среди мужчин. Образовательный состав безработных можно сравнить с аналогичным составом занятых по данным выборочных обследований населения (табл. 5).
Различия в доли лиц с высшим образованием в составе экономически активного населения - занятых и безработных - существенны: 11,1 процентного пункта. Это подтверждается и расчетом F-критерия Фишера:
F=

что значительно выше табличного при 5%-ном уровне значимости: F0.053.85
Процент лиц с высшим образованием среди экономически активного населения (октябрь 1994 г., Санкт-Петербург)(Табл. 5)
|
Население |
Занятые |
Безработные |
Всего |
|
Экономически активное, человек |
2982 |
349 |
3331 |
|
Лица с высшим образованием, % |
32,6 |
21,5 |
31,4 |
В настоящее время в России образование не выступает фактором социальной защиты от безработицы. В дальнейшем можно ожидать роста устойчивости положения работника на производстве с ростом его образовательного уровня. Эту тенденцию можно наблюдать сегодня в западных странах.
С позиции профессиональной ориентации безработных необходимо изучение их возрастного состава. Основную часть безработных в России сегодня составляют люди зрелого возраста.
Возраст может учитываться и при разработке конкретных мер помощи безработным. Например, во Франции по истечении срока выплаты пособия по безработице (65 месяцев) выделяется помощь по безработице, величина которой зависит от возраста безработного: от 65 - до 130 франков на одного человека в день.
Особую социальную значимость имеет безработица среди молодежи. На конец октября 1995 г. более 40% безработных составляли люди в возрасте до 30 лет.
В ряде регионов страны трудоустройством молодежи занимаются наряду с государственными службами занятости молодежные биржи труда, а также Межрегиональный центр занятости. Чтобы прогнозировать занятость и безработицу, необходима информация о длительности безработицы.
Подобного рода данные имеют место в большинстве стран мира.
С 1994 г. в статистической отчетности имеется информация о продолжительности безработицы инвалидов как одного из социально не защищенного слоя населения, требующего особой заботы со стороны государства. Средний период безработицы у инвалидов длиннее, чем в целом по всей совокупности безработных. Чтобы оказывать инвалидам реальную помощь в трудоустройстве, во многих странах предприятия обязаны определенную часть рабочих мест предоставлять инвалидам или отчислять соответствующие суммы в фонд помощи инвалидам.
В настоящее время в России предприятия, в численности занятых которых инвалиды составляют не менее 50%, имеют некоторые льготы по налогообложению.
СОСТАВ ЗАНЯТЫХ
В статистике накоплен большой опыт изучения состава занятых. Прежде всего рассматривается отраслевой состав занятых как в целом по стране, так и в отдельных ее регионах. С этой целью общая численность занятых в экономике принимается за 100% и определяется удельный вес численности занятых в соответствующих отраслях (табл. 6.).
Как видим, в последние годы наблюдается сокращение численности занятых как в целом, так и в отдельных отраслях материального производства. В непроизводственной сфере по сравнению с 1980 I. отмечается небольшой рост занятости. Это повлекло за собой изменения в отраслевом составе занятых: снижение удельного веса численности занятых в сфере материального производства (на 3,8 пункта в 1990 г. по сравнению с 1980 г. и на 2,4 пункта в 1995 г. по сравнению с 1990 г.) и соответственно его увеличение в непроизводственной сфере.
В 1995 г. соотношение занятости в непроизводственной сфере и в материальном производстве в России оставалось противоположным тому, какое существует в экономически развитых странах.
Отраслевой состав занятых в экономике России (Табл.6)
|
Отрасль экономики |
Численность занятых в |
|
1980 г. |
1990 г. |
1995 г. |
1980 г. |
1990 г. |
1995 г. |
|
млн. человек |
в % к итогу |
|
Промышленность |
23,8 |
22,8 |
17,2 |
32,5 |
30,3 |
25,7 |
|
Сельское и лесное хозяйство |
11,0 |
10,0 |
10,5 |
15,0 |
13,3 |
15,7 |
|
Строительство |
7,0 |
9,0 |
6,5 |
9,55 |
12,0 |
9,7 |
|
Транспорт и связь |
7,0 |
5,8 |
5,3 |
9,55 |
7,7 |
7,9 |
|
Торговля, материальнотехничес. снабжение, общественное питан. |
6,1 |
5,9 |
6,5 |
8,3 |
7,8 |
9,7 |
|
Здравоохранение, физкульт., образование, культура и т.д. |
12,9 |
14,6 |
13,8 |
17,6 |
19,4 |
20,5 |
|
Бытовое обслуживание населения |
3,8 |
5,0 |
3,3 |
5,2 |
6,6 |
4,9 |
|
Аппарат органов управления |
1,7 |
2,2 |
4,0 |
2,3 |
2,9 |
5,9 |
|
Всего: |
73,3 |
75,3 |
67,1 |
100 |
100 |
100 |
Изменения в структуре экономики не могут не повлечь изменений в составе занятых. В классификации отраслей экономики появляются операции с недвижимым имуществом, общая коммерческая деятельность по обеспечению рынка.
В ближайшем будущем классификация отраслей народного хозяйства по рекомендации Статистической комиссии ООН будет заменена классификацией видов экономической деятельности, продукции и услуг. Соответственно будет изучаться и состав занятых по видам экономической деятельности:
- сельское хозяйство, охота, лесоводство;
- рыболовство;
- горнодобывающая промышленность и разработка карьеров;
- обрабатывающая промышленность;
- электроэнергия, газ и водоснабжение;
- строительство;
- оптовая и розничная торговля, ремонт автомобилей, бытовых приборов и предметов личного пользования;
- транспорт, складское хозяйство и связь;
- гостиницы и рестораны;
- финансовое посредничество (кроме обязательного социального страхования);
- деятельность по операциям с недвижимым имуществом и арендой, исследовательская и коммерческая;
- государственное управление и оборона; обязательное социальное страхование;
- образование;
- здравоохранение и социальные услуги;
- деятельность по предоставлению коммунальных, социальных и персональных услуг;
- деятельность по ведению частных домашних хозяйств с наемным обслуживанием;
- деятельность экс-территориальных организаций и органов.
В настоящее время в России около 90% - это наемные работники, т. е. лица наемного труда, заключившие трудовой договор, контракт с руководителем предприятия или устное соглашение с отдельным лицом об условиях трудовой деятельности и размере оплаты труда. К лицам, работающим на индивидуальной основе, относятся граждане, осуществляющие самостоятельно деятельность, приносящую доход, не используя при этом наемный труд (за исключением случайных или сезонных работ).
В 1994 г. средний возраст лиц, работающих на индивидуальной основе, составлял 36,7 года. Среди них преобладали лица, получившие свои профессиональные навыки в ПТУ, на производстве, в учебно-производственных комбинатах или самостоятельно (56%), лишь 15% окончили высшие учебные заведения и 29% - средние специальные.
К работодателям относятся лица, управляющие собственным частным (семейным) предприятием, фермой или работающие самостоятельно, но постоянно использующие труд наемных работников. В общей численности предпринимателей, осуществляющих свой бизнес с 1994 г., в России, преобладали мужчины (свыше 80%), имеющие высшее (около 37%) или среднее специальное (32%) образование.
Неоплачиваемые работники семейных предприятий - это лица, работающие без оплаты на частном семейном предприятии, которым владеет родственник. Члены коллективных предприятий - лица, работающие на данном предприятии и являющиеся собственниками, совладельцами его. Они принимают непосредственное участие в решении всех вопросов, связанных с деятельностью предприятия, распределением его доходов среди членов коллектива.
Лицами, не поддающимися классификации по статусу в занятости, выступают лица, информации о которых недостаточно и (или) которые не могут быть отнесены ни к одной из перечисленных категорий.
Рассмотренный состав занятых изучается совместно с их распределением по полу. Это позволяет видеть роль женщин в общественном производстве.
В последние годы наметилась тенденция уменьшения занятости женщин: в 1994 г. в общей численности занятых женщины составляли 49%, что на 2 процентных пункта ниже, чем в 1990 г. Наибольшее применение женского труда наблюдается в торговле, общественном питании, снабжении и сбыте, на предприятиях связи, в здравоохранении, социальном обеспечении, народном образовании, культуре и искусстве, в кредитовании и страховании. В связи с наличием потенциальной безработицы статистика учитывает первичную и вторичную занятость. В настоящее время растет вторичная занятость населения, т. е. численность лиц, не ограничивающихся только одним местом работы.
В 1994 г. вторичной занятостью было охвачено в России 8 млн. человек, из них 4 млн. человек имели вторичную занятость на постоянной основе.
Организация: Управление - Планирование - Cтатистика