Варжапетян А. - Исследование систем управления методами имитационного моделирования
Санкт-Петербургский Государственный университетаэрокосмического приборостроения
Список основных сокращений
АМП - амперпеременная
ВЭ - вычислительный эксперимент
ГСЧ - генератор случайных чисел
ДО - дисциплина обслуживания
FCFS ( устаревшее - FIFO ) - первый пришёл, первый обслужился
SPT (shortest process time ) наикратчайшее время обслуживания
ЕМВ - единица модельного времени
ИМ - имитационное моделирование или модель
ИН - идентификационный номер транзакта
КМ - компьютерное моделирование
КО - канал обслуживания
МАВ - машинное время
МВ - модельное время
ММ - математическое моделирование
МФ - модельный файл
ОБ - оператор блоков
ОО - оператор описания
ОУ - оператор управления
ПО - прибор обслуживания
ПР - пакетный режим
РВ - реальное время моделируемой системы
РРСЧ - равномерно распределённое случайное число
СБС - список ( цепь ) будущих событий
СЛА - стандартные логические атрибуты
СМО - система массового обслуживания
СП - список ( цепь ) пользователя
СЗ ( TG1 ) - счётчик завершений (число терминирований )
ССА - стандартные символьные атрибуты
СТС - список текущих событий
СЧА - стандартные числовые атрибуты
ТР - тестовый режим (режим дебагера)
УО - устройство обслуживания
Ха, Хакт - активный транзакт
ЯИМ - язык имитационного моделирования
Введение
В настоящее время одним из наиболее широко распространенных средств исследования и оптимизации функционирования систем управления (и вообще любых сложных социально-технических систем) является имитационное моделирование, в основном с применением современной вычислительной техники. ЭВМ программируется таким образом, чтобы программный продукт жил по законам, соответствующим условиям существования реальной системы.
Далее на такой имитационной модели можно отрабатывать воздействия различных факторов, влияющих на поведение системы, изучать влияние изменения внутренних параметров на эффективность функционирования и так далее.
Для создания таких моделей возможно использование как традиционных (так называемых универсальных языков программирования УЯП), так и специализированных программных средств (языков имитационного моделирования ЯИМ). Первые из них имеют следующие преимущества:
- доступность (большинство интерпретаторов распространенных УЯП, например, PASCAL, C++, распространяются за символическую плату, причем книги и прочую дополнительную информацию можно найти в любом специализированном магазине),
- возможность решения широкого класса задач,
- простота создание интерактивных дружественных интерфейсов для работы с конечным продуктом.
С другой стороны, специализированные языки имитационного моделирования по некоторым показателям превосходят УЯП. Их достоинства:
- значительно меньшие размеры программы, содержащей модель;
- идеологическое соответствие используемого средства поставленной цели;
- наличие специальных средств для обеспечения независимости случайных величин, генерируемых внутри программы;
- наличие специальных средств для отладки модели;
- относительная простота построения модели (по сравнению с УЯП).
Перечисленные выше особенности позволяют сделать однозначный выбор в пользу специализированных программных средств. Эти средства могут применяться, как в случаях простых моделей, когда на ЯИМ может получаться программа их нескольких строк, так и в случаях сложных моделей, когда написание модели на УЯП будет занимать чрезвычайно много времени из-за необходимости учитывать множество свойств моделируемого объекта.
В последнем случае существенным может стать и то обстоятельство, что модели на ЯИМ обычно требуют значительно меньшего времени на прогон (реализацию моделирования).
По каким же критериям может быть осуществлен выбор ЯИМ для конкретной задачи моделирования? Основные свойства, определяющие предпочтительность того или иного языка моделирования, следующие:
- возможности языка, т.е. способность описывать структуру системы, ее поведение и алгоритмы управления;
- простота применения для построения модели, реализация ее и представление результатов моделирования;
- предпочтение пользователя (удобство, простота, универсальность).
Выделим теперь несколько ЯИМ, приспособленных к решению задач, возникающих при имитационном моделировании человеко-машинных систем: наиболее известны такие языки, как GPSS, SIMSCRIPT и SIMULA. Сравнение этих программных средств по перечисленным выше критериям приведено в таблице 1.
Таблица 1
Сравнительные характеристики языков имитационного моделирования
|
Возможности языка |
Простота применения |
Предпочтение пользователя |
|
SIMULA |
GPSS/H |
SIMSCRIPT |
|
GPSS/H |
SIMSCRIPT |
GPSS/H |
|
SIMSCRIPT |
SIMULA |
SIMULA |
Как видно из сравнения, язык GPSS обладает преимуществом перед другими распространенными языками. Его особая привлекательность для целей обучения обуславливается тем, что он наиболее прост в применении.
На приведенной ниже схеме представлена логика обращения к ЯИМ GPSS, а точнее его последней и наиболее эффективной версии GPSS/H.
Виды моделирования: Физическое
Аналитическое
Компьютерное
Типы компьютерного моделирования:
Монте - Карло
Статистическое
Имитационное
Разновидности ИМ:
Симула
Симулинк
(более 500 разновидностей)
GPSS
Версии GPSS:
GPSS 360 (IBM, 1963, J.Gordon)
GPSS V ( DC, 1971, P. Hall)
GPSS PC (MSW, 1974, T. Springer)
GPSS World (MSW, 1999, A.Cox, T. Springer)
GPSS/H (Wolverine SWC, 1999, T. Henriksen)
GPSS/H является наиболее эффективной версией из текстово-ориентированных версий GPSS (Л.1,2), а последний вариант GPSS World имеет интерфейс, приближенный к Windows. Профессиональная 32- разрядная версия GPSS/H работает под всеми версиями Windows: 98, 2000, NT, XP, версия, используемая для курсового проектирования, является студенческой (ограничение по числу операторов создаваемой модели, не более 100 и работа под МS DOS или предпочтительнее в оболочках NC, Far, VC). Кроме этих отличий студенческая версия дает полное представление о возможностях ЯИМ GPSS/H,
Позволяет получить начальные навыки работы как с самой программой, так и со встроенным отладчиком. Кроме задания по курсовому проектированию желательно, предваряя работу над заданием, провести практическое изучение различных вариантов построения модельного файла - МФ, изучить возможные ошибки и реакцию на них программы, воспользовавшись примером 3.2 параграфа 3.7 рассмотреть влияние разных команд отладчика.
Для использования возможностей программы достаточно РС 486.
Для более успешной работы над курсовым проектом следует предварительно внимательно прочесть главу 3.
Глава 1.Организация выполнения курсового проекта.
1.1 Указания и правила выполнения курсового проекта
В ходе выполнения курсового проекта кафедра назначает руководителя, который составляет задание по типовой форме, намечает график выполнения, проводит консультации и осуществляет процесс защиты курсового проекта.
Для выполнения курсового проекта каждому студенту выдаётся индивидуальное задание, утверждённое заведующим кафедрой, содержащее текстовое описание исследуемой системы - ИС, численные данные о переменных и параметрах, а также характеристики, которые необходимо оценить в процессе моделирования.
В ходе выполнения курсового проекта студент должен:
-выполнить формализацию описания ИС как дискретной системы,
-разработать алгоритмическое описание работы модели ИС,
-составить схему блоков (операторов) на языке GPSS/H-PC,
-провести моделирование в компьютерном классе кафедры,
-провести качественную и количественную оценку результатов,
-составить пояснительную записку.
Основные этапы курсового проекта
Этапы курсового проекта соответствуют этапам моделирования на ЭВМ реальных ИСУ. В основу машинного моделирования положены общие принципы, которые не зависят от вида используемого аналитического описания, формы представления процессов в машинной модели и применяемых языков описания модели.
К основным этапам моделирования сложных ИС относятся:
- Построение концептуальной модели ИС и её формализация.
- Алгоритмизация модели ИС и её машинная реализация.
- Получение и интерпретация результатов моделирования.
На первом этапе проводится изучение ИС с целью выделения основных составляющих процесса функционирования, определяются необходимые аппроксимации, и получается обобщённая схема модели, описывающая дискретные системы, описываемые теорией массового обслуживания. Основные аналитические модели ИСУ представляемые в виде систем массового обслуживания - СМО, приведены в главе 2 настоящих указаний.
На втором этапе полученная концептуальная (аналитическая) модель становится основой для разработки моделирующего алгоритма и построения имитационной модели на основе пакета GPSS/H. Описание особенностей моделирования на языке GPSS/H, описание блоков (операторов), а также примеры приведены в главе 3.
На третьем этапе осуществляется процесс моделирования, определяются заданные характеристики, делаются выводы и даются рекомендации.
Примерные сроки контроля выполнения проекта
Для выполнения курсового проекта достаточно PC IBM 386 DX, а при использовании языка GPSS/H PC v.3 , РС 486 серии или Пентиум. Для контроля процесса курсового проектирования следует
ориентироваться на примерные этапы приведенные ниже.
Подготовительный этап (1 - 4 недели) Студент должен разобраться с полученным заданием, подобрать рекомендованную литературу, выбрать концептуальную модель.
Проектный этап (5 9 недели) Студент должен ознакомиться с возможностями программного пакета (ПП), определить перечень функций, реализуемых блоками ПП, составить блок-схему,
выбрать критерии эффективности.
Реализационный этап (10 13 недели). Студент должен
окончательно отладить программу, получить и проанализировать результаты моделирования на ЭВМ.
Оформительский этап (14 15 недели). Студент должен оформить пояснительную записку в соответствии с принятыми в Университете требованиями. Записка должна давать достаточно полное представление о принципе решения задачи моделирования и включать все необходимые разделы, в том числе: выводы, заключение и список использованной литературы.
Общий объём записки не должен превышать 20 листов. Текст может быть написан от руки или набран на компьютере.
Заключительный этап (16 - 17 недели) - защита курсового проекта, которая осуществляется в соответствии с принятым на кафедре порядком.
Глава 2.Математическое обеспечение моделирования. Основные понятия теории массового обслуживания
Потоки заявок и их характеристики
Большинство событий, происходящих в системе, равно как потоки заявок и потоки их обслуживания чаще всего бывают случайными событиями, и лишь в некоторых случаях эти события детерминированы. Следует ввести две характеристики, имеющие по два состояния, тогда аналитические методы можно свести в классификационную таблицу аналитических моделей, исходя из двух основополагающих понятий:
- протяженности во времени,
- характера возникновения событий (отношения с внешней средой)
Рассмотрим эти понятия подробнее.
Протяженность во времени
Существует только два вида протекания, какого либо процесса во времени. Время может рассматриваться либо как непрерывная переменная t

[ 0 , T ], либо как дискретная переменная - t =i, i = 0,1,M, M= [ T / ], где - шаг дискретизации . Соответственно припишем индексы Н и Д этим двум видам процессов, описываемых аналитическими моделями. Индекс Н соответствует аналоговым сигналам (постоянный, монотонный, синусоидальный и т. д.). Индекс Д дискретным сигналам (импульсный, в виде отдельного импульса или их последовательности; цифровой , подобно 1 и 0 в ЭВМ и т.п. ) .
Характер возникновения событий
При отсутствии случайных возмущений со стороны среды и полной определённости поведения компонентов системы имеем постоянную или детерминированную модель, для которой выберем индекс П. (во избежание путаницы с ранее введённым индексом Д). В большинстве случаев необходимо учитывать вероятностные характеристики всех воздействий, для этого класса моделей введём индекс В.
С учётом сказанного, классификация позволит рассматривать четыре типа моделей, а именно:
НП модели, ДП модели, НВ модели, ДВ модели.
Очевидно, что всё многообразие аналитических моделей можно разнести по этим классам. Обзор аналитических моделей невозможно провести в рамках указаний, подробнее см. (Л.
1,2). Ниже ограничимся сводной таблицей 2-1, которая содержит только некоторые аналитические модели и определяет область их применения.
Отметим, что приводимая ниже таблица иллюстрирует лишь предлагаемую идею классификации и не более того. НВ - модели наиболее подходят для моделирования на GPSS/H.
Таблица 2.1 Классификация математических моделей
Тип ММ
Характеристика |
НП |
ДП |
ДВ |
НВ |
Вид
зависимости
|
Дифференциальные
и интегральные
уравнения |
Теория разностных уравнений, конечные автоматы |
Разностные стохастические уравнения, вероятностный автомат |
Стохастические дифференциальные уравнения, теория массового обслуживания |
Отметим, что любая случайная величина полностью описывается ее функцией распределения, при невозможности получения функции распределения пользуются моментами распределения, которые можно непосредственно оценить на основе имеющихся экспериментальных данных:
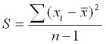
- Моменты первого порядка (мера положения) или математическое ожидание (среднее арифметическое, среднее геометрическое, среднее гармоническое, среднее квадратическое). Чаще всего используется среднее арифметическое:

.
- Момент второго порядка (мера рассеяния) дисперсия

,
или стандартное отклонение

.
Иногда используются моменты и более высокого порядка, называемые мерами формы и оценивающие отклонение от нормального распределения: третьего порядка ассиметрия и четвертого порядка эксцесс.
Среди непрерывных законов распределения случайных величин можно назвать: равномерный, нормальный, экспоненциальный законы и т.д.
Среди дискретных законов: Пуассона, Эрланга, геометрический и т.п.
Концептуальной схемой моделирования на GPSS/H является теория массового обслуживания. Как следует из названия, объект рассмотрения этой теории так называемые системы массового обслуживания (СМО). При моделировании на GPSS/H мы будем иметь дело с двумя потоками событий:
- входными потоками требований (приход клиентов в банк, покупателей в магазин, подъезд машин на заправку или на погрузку и т.д.).
- потоками обслуживания приходящих заявок.
Необходимо четко понимать различие между экспоненциальной и пуассоновской переменной, так как параметры указанных потоков можно задавать той или другой переменной (что и сделано в заданиях на курсовое проектирование).
При обсуждении прихода заявок (транзактов) можно с одной стороны, говорить об интервалах времени, а с другой, о темпе прихода заявок. Так, например, если интервал времени (промежуток между двумя последовательными приходами транзактов) в среднем равен 20 минутам, то темп прихода транзактов равен 3 событиям в час. Обычно при моделировании на GPSS/H чаще интересуются интервалом времени, так как возможно предсказать следующее событие, а программа устроена таким образом, что время рассматривается как непрерывная переменная, т.е. к первому моменту времени прихода транзакта приплюсовывается время прихода второго и т.д.
Поэтому случайное время прихода транзактов непрерывно !, а следовательно описывается непрерывным экспоненциальным распределением. В отличии от времени прихода, темп прихода дискретен по своей сути и измеряется целыми положительными числами. Так время прихода может быть любым, в том числе и дробным в заданном интервале, например

, в то время как темп прихода в единицу времени (минуту, час, сутки, месяц и т.д.) может принимать значения 0,1,2,. Время прихода описывается непрерывным экспоненциальным распределением с параметром потока , а темп прихода дискретным распределением Пуассона с параметром потока . Связь между этими параметрами проста, так

. Например, если время прихода в среднем равно 5 минутам или 0,083 в час, то темп прихода равен 1/0,083 = 12.
Отсюда следует, что процесс прихода событий пуассоновский, а интервалы прихода при этом подчиняются экспоненциальному закону. Чтобы это правило соблюдалось необходимо выполнение ряда условий:
- стационарности,
- ординарности,
- отсутствия последействия.
Стационарность случайного процесса означает, что на любом промежутке времени t вероятность прихода n заявок зависит только от числа n и величины промежутка t , но не изменяется от сдвига t по оси времени. При этом выполняется эргодическое свойство :- статистическое равенство n заявок , полученных при ИМ одной системы , или испытания n систем до прихода первой заявки . Формулирование этого свойства звучит достаточно просто : Совокупное значение по времени наблюдений равняется совокупному по ансамблю наблюдений .
Ординарность потока заявок означает невозможность появления более одной заявки в один и тот же момент времени.
Отсутствие последействия означает, что вероятность прихода n заявок в течение промежутка времени t не зависит от того, сколько пришло заявок до этого момента времени, выполнение этого условия гарантирует случайность и независимость событий . Такой поток называется простейшим, рассмотрим основные свойства простейшего потока
1. Устойчивость
Свойство устойчивости состоит в следующем: при суммировании независимых простейших потоков получается простейший поток с интенсивностью, равной сумме интенсивностей складывающихся потоков:

Для практических задач можно считать, что всякий поток, образующийся из любых нескольких (хотя бы 4-5) независимых ординарных потоков, является простейшим, причем интенсивности суммируются.
2. Разряжаемость
Поток заявок, полученный при исключении заявок с одинаковой вероятностью (при независимости этих исключений), также является простым потоком, причем интенсивность потока уменьшается пропорционально вероятности исключения:

,
где - интенсивность исходного потока.
3. В простейшем потоке распределение вероятности для промежутков времени между событиями таково, что малые промежутки более вероятны, чем большие. На практике это приводит к следующему важному результату: простейший поток заявок создает для системы массового обслуживания наименее благоприятную ситуацию; то есть, если некоторый результат получен в допущении, что поток простой, реальный результат будет не хуже теоретического.
Основные обозначения теории массового обслуживания
Системы массового обслуживания - СМО встречаются на каждом шагу, невозможно назвать область человеческой деятельности, где не возникает проблема обслуживания и создание очереди при занятости органа обслуживания (документооборот, телефонная связь, бизнес, торговля, промышленность, транспорт и т.д.).
В теории СМО разработаны идентичные модели для:
- Проектирования и эксплуатации систем, состоящих из большого числа аналогичных или похожих, но отличающихся производительностью компонентов (количество персонала, число линий связи, количество таможенных пунктов и т.п.).
- Отыскания оптимального количества оборудования (число лифтов в офисном здании, число грузовых терминалов и т.п.).
- Определения производительности той или иной системы
( производительность ЭВМ, пропускная способность канала связи и т.п.).
Очевидно, что можно назвать дополнительные возможности СМО и заключить, что во многих исследуемых системах сочетаются все указанные выше модели. Более того теория СМО быстро развиваеZся и появляются всё новые модели. В связи с этим ниже будут изложены только основополагающие идеи СМО, не претендующие, на какую либо новизну, являющиеся ориентиром для читателей не знакомых с теорией СМО и приводимые для лучшего понимания концептуальных основ ЯИМ GPSS/H .
Потоком заявок называется совокупность событий, случайно распределенных во времени. Соответственно, СМО представляет собой черный ящик, на входе и выходе которого наблюдаются потоки заявок.
Поток заявок рассматривается как случайный процесс, задаваемый функцией распределения промежутков времени между наступлениями двух последовательных случайных событий.
Интенсивность потока заявок среднее число заявок, поступающих в единицу времени. Интенсивность обозначается символом . Величина, обратная интенсивности, представляет собой средний интервал между наступлением соседних событий: tср=1/.
СМО можно описать, задавая (см. рис.2.1):
- входной поток заявок или требований v(t) (в GPSS/H транзакты), задающий вероятностный закон поступления заявок на обслуживание. Заявки могут поступать либо по одиночке, либо группами (пакетами). В GPSS/H входной поток задаётся оператором блока GENERATE .
- поток обслуживания u(t) - задающий вероятностный закон процесса обслуживания заявок. В GPSS/H поток обслуживания задаётся оператором блока ADVANCE.
- прибор обслуживания Pi , i =1,2, , N, состоящий из накопителя Hm емкостью 0 m, при m = 0 происходит потеря обслуживания, а при
m = все заявки ожидают обслуживания, промежуточные значения определяют ёмкость накопителя . В состав прибора также входит канал обслуживания Kp, p=1,2,,P при p =1 обслуживание называется одноканальным, а при p1 - многоканальным.
Если приборы обслуживания соединяются параллельно, то такое обслуживание называется однофазным, а если приборы соединяются последовательно, то многофазным, (ряд последовательных операций).
- очередь - задержка в обслуживании поступающих заявок, характеризующаяся дисциплиной очереди, т.е. порядком обслуживания заявок. Можно назвать разные виды дисциплины обслуживания:
- FIFO - первый пришёл - первый вышел (обслужился), в англоязычной литературе эта известная аббревиатура всё чаще заменяется на FCFS (first come first serve) - первый пришёл - первый обслужился ,
- LCFS - последним пришёл - первым обслужился, эта дисциплина предназначена для заявок с более высоким приоритетом, но эта дисциплина используется крайне редко, а чаще используется дисциплина следующего вида,
- SPT (shortest processing time) - кратчайшее время обслуживания, которое применяется для заявок с приоритетом, в GPSS/H эта дисциплина реализуется оператором блока PRIORITY.
- случайная дисциплина, например система опроса слушателей на практических занятиях.
Подчеркнём, что в GPSS/H факт создания очереди реализуется связанной парой операторов блоков QUEUE / DEPART .
- Выходной поток y ( t )- функция распределения, представляющая собой сумму двух вероятностных законов y1(t ) - поток обслуженных заявок и y2 ( t ) поток потерянных ( не обслуженных ) заявок, который образуется за счёт отказа в обслуживании из-за малого объёма накопителя по принципу m + 1 K, где К число заявок на входе прибора. В отдельных случаях заявка может остаться в приборе из-за окончания времени моделирования, поэтому в неравенстве появляется единица.
Всё сказанное объединим в рис 2.1. На рисунке 2.1 представлена структура прибора обслуживания с входящими и выходящими потоками. На рис. 2.1 б виды СМО, на котором прибор обслуживания для простоты представлен прямоугольником, внутреннее содержание которого представлено на рис.
2.1а.
Таким образом, однофазные ( простые ) СМО могут быть либо одноканальными, либо многоканальными. Многофазные СМО, представляющие последовательность различных операций, выполняемых различными приборами обслуживания, могут представлять собой комбинацию одно и многоканальных СМО.
Логика работы системы моделирования
Модуль 2 - модуль исполнения. В модуле записываются исполняемые операторы в той последовательности, которая предусмотрена логикой модельного файла.
Модуль 3 - модуль управления. Первый ОУ START дает команду на исполнение МФ, последний ОУ END дает команду на прекращение испытаний.
Между ними может быть размещено любое количество операторов управления автоматизацией многократного процесса получения независимых прогонов и операторов очистки данных предыдущего прогона.
В ранних версиях языка для отображения оператора любого типа использовались специальные графические эквиваленты. Однако, при создании модели достаточно сложной системы (более сотни операторов), такое графическое представление становится сложным для восприятия, особенно когда используются многочисленные пересылки.
В связи с этим, в последних версиях ЯИМ отказались от графической интерпретации и пользуются только текстовым описанием. В курсовом проекте не нужно использовать графическое представление!
Логика работы системы моделирования
Языки моделирования, основанные на имитации систем массового обслуживания, имеют некоторые принципиальные отличия в логике работы по сравнению с традиционными языками программирования. В обычных языках операторы выполняются один за другим, в том (или приблизительно в том) порядке, в котором они записаны.
Во всяком случае, исключена ситуация, когда одновременно исполняется несколько команд. Для нормальной работы компилятора типа GPSS/H, напротив, для пользователя ситуация следующая: все операторы (блоки), имеющие отношение собственно к модели, работают параллельно (и часто одновременно). Кроме того, в модели одновременно существует несколько (теоретически неограниченное количество) транзактов, динамических объектов, которые вступают во взаимодействие с ресурсами (устройствами).
Эти динамические объекты могут появляться и удаляться из модели, то есть их количество непредсказуемо наперед. Однако, при любом количестве транзактов в модели, активным в каждый момент времени является только один!
Для лучшего понимания логики работы системы моделирования необходимо разобраться в том, как именно обеспечиваются такие процессы, как определение времени появления очередного транзакта, расчет момента освобождения очередного блока транзактом и т.д.
При запуске программы, содержащей модель на GPSS/H происходит следующее: запускается счетчик времени и генератор случайных чисел. Из последовательности чисел, выдаваемых этим генератором, формируются все случайные процессы, описанные в модели. Затем, после получения реализаций всех необходимых случайных величин (всех промежутков времени, оставшихся до событий типа появления нового транзакта, освобождения очередного блока и т.д.), выбирается наименьший временной интервал (то есть ближайшее по времени событие).
Счетчик прокручивается до возникновения этого события, затем процесс повторяется до окончания моделирования по любому из возможных условий.
Таким образом, промежутки времени для нескольких ближайших событий модели на самом деле становятся известны GPSS/H задолго до их наступления. Фактически, транзакты появляются, то есть приобретают определенные атрибуты, еще до их вхождения в модель в блоке GENERATE.
Продолжая сравнение с обычными языками программирования, можно сказать, что в GPSS/H применяется особый вид псевдопараллелизма, при котором для пользователя события происходят параллельно. На самом же деле такое явление, как истинный параллелизм, то есть действительно одновременное совершение нескольких событий, недоступен в GPSS/H.
Обращение к транзактам происходит поочередно, в каждый отдельный момент реального времени существует только один активный транзакт, тот, с которым происходит ближайшее по времени изменение статуса. Информация об остальных транзактах остается статической, а сами транзакты находятся в списке будущих событий.
При работе модели происходит не только создание, продвижение и уничтожение транзактов; GPSS/H также автоматически собирает информацию (по существу статистические данные) обо всех объектах модели. Происходит подсчет периодов занятости и незанятости всех Iлоков, имитирующих устройства; поддерживаются виртуальные очереди, сведения о них также непрерывно пополняются (максимальная длина очереди, среднее и максимальное время, проводимое транзактом в очереди, количество нулевых входов, то есть транзактов, не испытавших задержки перед попаданием в устройство, и т.д.).
Итак, после сказанного можно сформулировать основные принципы работы модели:
- В каждый момент времени в модели движется только один активный транзакт, следующий начинает движение только после возникновения одного из особых состояний: а) попадания активного транзакта к одному из операторов, запрещающих дальнейшее продвижение, например SEIZE, RELEASE, PREEMPT, в этом случае транзакт ожидает входа перед оператором; б) задержка транзакта для обслуживания в операторе ADVANCE, в этом случае транзакт находится внутри оператора; в) исполнение оператора TERMINATE, в этом случае активный транзакт уходит из модели.
- Движение транзактов происходит последовательно от оператора к оператору из оператора текущего состояния ( Сurrent Block), в котором находится транзакт, в оператор ожидаемого будущего состояния (Next Block Attempted). В том случае, когда по условиям модели необходимо изменить последовательное поступательное (шаг за шагом) движение транзакта, используются специальные операторы исполнения типа (TRANSFER, TEST, LOGIC) см.
3.3.
- Жизненный цикл активного транзакта, состоит из зарождения, попадания в систему, прохождения через последовательность предписанных МФ операторов и терминирования (ухода из системы).
- Каждый транзакт имеет уникальный персональный идентификационный номер- (ID), закрепленный за одним единственным транзактом при его генерации. Номер всегда является целым положительным числом.
Уход из системы не всегда происходит в порядке ID, что зависит от логики работы модели.
- Каждый уходящий из модели транзакт приплюсовывает свое время пребывания в модели ко времени пребывания в системе предыдущего терминированного транзакта. Таким образом достигается непрерывность абсолютного времени моделирования.
- Порядок окончания процесса моделирования определяется соответствующими машинными алгоритмами, подробнее см. 3.5.
Вся эта информация после компиляции и моделирования оказывается записанной в так называемом файле отчета (см. ниже).
Операторы GPSS/H
Основными объектами теории СМО являются заявки (события) и устройства (системы), выполняющие их обслуживание. При моделировании большое внимание уделяется очередям и загрузке устройств.
В соответствии с этим выбран и порядок описания операторов языка GPSS/H.
Каждый оператор ЯИМ GPSS/H состоит из двух частей: названия оператора, которое, в обязательном порядке пишется заглавными латинскими буквами, например GENERATE. Для длинных названий допустимо сокращение до четырех букв, например GENE, короткие имена, состоящие из 5 и менее букв, всегда пишутся полностью. Вторая часть, которая пишется через пробел, содержит характеристики оператора, которые называются операндами, обозначаются латинскими буквами A,B,C, и пишутся через запятую без пробелов. Некоторые операторы имеют до девяти операндов, как GENERATE, другие, как END не имеет ни одного операнда.
Операнд может быть представлен числом, именем или сложным выражением. Операнды, включаемые в квадратные скобки, могут по умолчанию отсутствовать.
Отсутствие, какого либо операнда в середине записи отмечается запятой или запятыми, если отсутствует несколько операндов. Рассмотрение операторов, проведем в соответствии с таблицей 3.2.
Описание операторов дается не по алфавиту как в (Л.2), а по значимости в МФ.
Операторы блоков (исполнения)
GENERATE (Генерировать, произвести, родить)
Этот оператор осуществляет генерирование входного потока заявок, управляет законом распределения временных интервалов между событиями и количеством заявок за все время моделирования.
Формат: GENERATE A,[B,C,D,E,F,G,H,I], где
А - среднее значение интервала времени;
В - разброс или модификатор среднего значения (по умолчанию - ноль);
С - время появления первого транзакта;
D - общее число генерируемых транзактов;
Е - уровень приоритета каждого транзакта (по умолчанию - ноль).
F,G,H,I параметры транзакты.
Примечание: при курсовом проектировании будут использоваться четыре или пять первых операндов.
GENERATE 2,1,,10
Эта запись читается следующим образом:
Генерируется транзакт, распределенный по равномерному закону со средним значением 2 и модификатором 1, всего будет произведено 10 таких транзактов.
Как видно из формата, по умолчанию закон распределения временных интервалов - равномерный с управляемым средним и разбросом, что позволяет, в том числе, моделировать потоки с равными интервалами. Также в GPSS/H предусмотрена возможность задавать более сложные распределения.
В том случае, когда используются встроенные функции (см. ниже), любая встроенная функция ставится на место операнда А, а операнд В отсутствует. Например:
GENERATE RVNORM(1,1,0.5),,1,4
Эта запись читается следующим образом:
Генерируется случайное число (Random Value-RV), распределенное по нормальному закону, взятое с первого генератора случайных чисел - ГСЧ
( первое число в скобках), со средним значением равным 1 и стандартным отклонением 0.5; пришедшее в систему в первую единицу времени. Всего с этого ГСЧ поступит 4 транзакта.
GENERATE RVEXPO(7,0.75),,,,5
Эта запись читается следующим образом:
Генерируется случайное число, распределенное по экспоненциальному закону, взятое с седьмого ГСЧ с параметром потока 0.75, приходящее с приоритетом 5.
В моделях GPSS/H могут применяться более одного блока GENERATE, когда надо представить различные действия для транзактов, например, клиенты банка, приходящие осуществлять различные операции в различном темпе.
Оператор GENERATE не допускает входа транзактов в него! Любой транзакт, вошедший в оператор исполнения GENERATE, вызовет ошибку исполнения и прервет работу программы с выдачей предупреждения в листинге.
TERMINATE (Уничтожить, терминировать)
Служит для удаления транзактов из модели по завершении их обработки. Производит подсчет выведенных из модели транзактов, уменьшая величину специального счетчика - счетчика завершений.
Формат: TERMINATE [A], где:
А - величина, на которую будет уменьшен счетчик завершений. По умолчанию А=0. Операнд А может принимать любые значения в интервале от 0 до плюс бесконечности. Физический смысл числового значения операнда А заключается в задании веса терминирования.
Например, на погрузочную площадку выходят двери 4 складов, большемерная фура занимает всю длину погрузочной площадки, и никакая другая машина не сможет производить погрузку. Окончание погрузки фуры (выход транзакта из системы) освобождает сразу 4 места.
Эта цифра вычитается из числа стартов (счетчика завершений), подробнее см. в 3.5.
В тех случаях, когда счетчик завершений не уменьшается с каждым транзактом, покидающим модель, моделирование может продолжаться бесконечно.
В программе может быть любое количество операторов TERMINATE, но обязательно хотя бы один из них должен иметь операнд А, отличный от нуля, хотя и все TERMINATE могут иметь отличные от нуля значения операнда А. Единственное принципиальное условие ни из одного оператора TERMINATE не должны выходить транзакты.
Итак два оператора исполнения GENERATE и TERMINATE являются особыми: в первый не могут входить транзакты, а из второго не могут выходить транзакты! Все остальные рассматриваемые операторы или блоки имеют и вход и выход.
SEIZE (завладеть), RELEASE (освободить)
Оператор SEIZE, является парным с оператором RELEASE, использование их по одиночке не допустимо. Имена, записываемые в операнде А пары должны быть идентичны.
Оператор служит приглашением ко входу в одно из устройств модели. Транзакт, подойдя к блоку SEIZE, пытается занять устройство, названное в операторе. Если устройство занято, транзакт ожидает освобождения устройства перед этим оператором. Перед оператором SEIZE может находиться любое количество транзактов.
При попадании первого транзакта на обслуживание в устройство, происходит переключение, осуществляемое программой, запрещающее вход в устройство до окончания обслуживания.
Формат: SEIZE А,
где А - имя (или номер) устройства.
Функция оператора RELEASE - моделировать освобождение устройства. Пройдя обслуживание в операторе ADVANCE, и исполнив, оператор RELEASE, транзакт переключает поименованное в операторе устройство из положения занято в положение свободно и разрешает вход в ADVANCE, первому из транзактов, ожидающих перед оператором SEIZE .
Формат: RELEASE А,
где А - имя (или номер) устройства.
ADVANCE ( продвижение вперед, успех)
Этот оператор моделирует задержку транзакта в устройстве (в терминах теории СМО - обработку заявки).
Формат: ADVANCE A,[B], где
А - среднее время задержки,
В - разброс относительно среднего значения (модификатор).
На месте операнда А, как и в операторе GENERATE, может быть задана любая встроенная функция, тогда операнд В отсутствует.
Три описанных выше оператора составляют модель простейшей СМО на языке GPSS/H. Программа, в которой имеется такая последовательность операторов, будет отслеживать все статистические характеристики устройства.
ENTER ( войти), LEAVE (отпустить)
Эта пара операторов выполняет те же функции, что и SEIZE и RELEASE, но не для устройств, а для STORAGE - хранилищ, то есть для ресурсов, к которым может обращаться более одного транзакта. Такие объекты могут быть полезны при моделировании, например, распараллеленного процесса: обработки потока деталей на нескольких одинаковых станках, выхода публики из театра через несколько дверей и т.д. Эти хранилища, или устройства параллельной обработки, должны быть предварительно описаны в программе при помощи оператора описания STORAGE (см. ниже).
По логике своей работы связки операторов SEIZE ADVANCE RELEASE; ENTER- ADVANCE- LEAVE; абсолютно одинаковы, но употребляются для разных объектов.
QUEUE ( образовать очередь), DEPART (выйти из очереди)
Помимо устройств, в которых происходит обработка заявок (задержка транзактов), необходимо собирать сведения о таких объектах, как очереди, образующиеся на входах устройств. В языке GPSS/H по умолчанию очередь образуется и функционирует нормально, но никаких сведений о ней не аккумулируется.
Для организации сбора таких данных используется пара связанных операторов: QUEUE, который отмечает постановку заявки-транзакта в хвост очереди (в терминах модели это называется конец очереди), и DEPART, собирающий статистику об уходе транзактов из очереди при освобождении устройства. Эти два оператора ставятся по желанию пользователя, не влияют на основные статистические результаты листинга и могут быть поставлены для получения интересующей пользователя информации с любого объекта модели, где может происходить образование и накопление очереди.
Они не препятствуют входу транзактов и имеют нулевое время входа. Последовательность постановки операторов:
QUEUE(имя)- SEIZE. RELEASE- DEPART (то же самое имя).
Можно создавать несколько вложенных друг в друга очередей, при этом вначале выходят из более короткой очереди, затем из длинной (см. 3.7).
Формат: QUEUE А,[B], где
А - имя очереди (имена такого рода используются не только для удобства идентификации в процессе работы с моделью, но и для указания необходимых сведений при работе в оболочке);
В - число добавляемых в очередь элементов.
Строго говоря, оператор QUEUE увеличивает текущее содержимое очереди, определенной в поле А, на величину, указанную в поле В.
При прохождении оператора DEPART транзакт покидает указанную очередь, причем счетчик длины очереди уменьшается.
Формат: DEPART A,[B], где
А - имя очереди,
В - число удаляемых из очереди элементов.
Обычно описанные выше операторы применяются в программах языка GPSS/H в традиционном порядке, обеспечивающем моделирование работы устройства (простейшей СМО) с учетом образующейся очереди и со сбором всей необходимой статистической информации. Тело программы на языке GPSS/H может, например, выглядеть следующим образом.
Пример
Предположим, в почтовое отделение приходят посылки приблизительно раз в три часа, независимо от времени суток. В зависимости от размеров посылки, ее обслуживание в отделении может с равной вероятностью занимать два, три или четыре часа. Ниже приведена простейшая программа (точнее, тело программы с опущенной нумерацией) на GPSS/H, моделирующая такой процесс:
|
GENERATE |
3 |
Ввод в модель транзактов - посылок с интервалом в 3 часа |
|
QUEUE |
Q1 |
Постановка транзактов в очередь Q1 |
|
SEIZE |
POST |
Занятие транзактом устройства POST (начало обработки посылки) |
|
ADVANCE |
3,1 |
Задержка транзакта на время от 2 до 4 часов |
|
RELEASE |
POST |
Освобождение устройства POST (окончание обработки посылки) |
|
DEPART |
Q1 |
Выход транзакта из очереди |
|
TERMINATE |
1 |
Вывод транзактов из модели по одному |
Для облегчения процедуры сбора и анализа статистической информации об очередях в GPSS/H предусмотрены следующие стандартные числовые атрибуты очередей:
|
СЧА |
Описание |
|
Q(qname), Q(j) |
Текущая длина очереди |
|
QA(qname), QA(j) |
Средняя длина очереди |
|
QC(qname), QC(j) |
Полное число транзактов, вошедших в очередь |
|
QM(qname), QM(j) |
Максимальное число транзактов в очереди на данный момент |
|
QT(qname), QT(j) |
Среднее время пребывания транзакта в очереди |
|
QX(qname), QX(j) |
Среднее время пребывания транзакта в очереди (за исключением тех, которые прошли без задержки) |
|
QZ(qname), QZ(j) |
Количество транзактов, которые не задерживались в очереди |
TRANSFER (передать)
Этот оператор предназначен для движением транзактов по модели; он применяется в тех случаях, когда необходимо нарушить обычный порядок движения - по прямой, с последовательным прохождением блоков.
Формат: TRANSFER [A],B,[C], где
А - вероятность перехода на метку блока, записанного в поле С;
В и С - метки блоков, между которыми предстоит выбирать.
Существуют 4 следующие основные варианты применения ОБ:
1. Безусловный переход:
TRANSFER , B
А - по умолчанию 0, заменяется обязательной запятой
В не имеет значения по умолчанию, характеризует имя (адрес) блока, к которому направляется транзакт.
2. Условный переход с одним альтернативным адресом (режим BOTH):
TRANSFER BOTH, B, C
А - не имеет значения по умолчанию, операнд заменяется словом BOTH, указывающим тип режима;
В по умолчанию обозначает, что Хакт следует в первый последовательный блок, при именовании операнда В характеризует имя (адрес) блока, к которому направляется транзакт(основной адрес);
С не имеет значения по умолчанию, характеризует собой альтернативный адрес (при невозможности войти в блок с адресом В).
3. Условный переход со многими альтернативами (режим ALL):
TRANSFER ALL, B, C, D
А не имеет значения по умолчанию, операнд заменяется словом ALL, указывающим тип режима;
В по умолчанию обозначает, что Х акт следует в первый последовательный блок, при именовании представляет собой первый адрес;
С не имеет значения по умолчанию, определяет последний адрес;
D не имеет значения по умолчанию, представляет собой константу М, используемую для вычисления возможных адресов движения транзактов: адрес в поле В, затем В+М, В+2М, ..., адрес в поле С.
4. Статистический переход (переход с заданной вероятностью):
TRANSFER А, В, С
А не имеет значения по умолчанию, характеризует вероятность перехода транзакта по адресу С или часть времени используемую ОБ С;
В по умолчанию является следующим последовательным ОБ, при именовании представляет собой альтернативный адрес.
В GPSS/H удобно использовать так называемую относительную адресацию, т.е. обращение к какому-либо блоку, не имеющему метки, осуществляется с помощью его относительного адреса. Для примера рассмотрим три варианта записи блока безусловного перехода.
Примеры.
1. TRANSFER ,CPU2
2. TRANSFER ,*+3
3. TRANSFER ,CPU1+2
В первом примере ОБ (прямая адресация) направляет транзакт к блоку с именем CPU2. Два остальных примеры относительной адресации.
Второй ОБ посылает транзакт к третьему по счету блоку после рассматриваемого ОБ. Блок, к которому направляется транзакт последним ОБ, является вторым по счету от блока CPU1.
Далее приводятся примеры для варианта BOTH
1. TRANSFER BOTH,KASS1,KASS2,
2. TRANSFER BOTH,,TWO.
В примере 1 транзакт первоначально направляется к блоку с отметкой KASS1. При невозможности войти в этот блок транзакт направляется к блоку с меткой KASS2.
В примере 2 транзакт делает попытку войти в следующий блок, если ему это не удается, он направляется к блоку с именем TWO.
Пример для варианта ALL, приведём фрагмент программы :
TRANSFER ALL,FIRST,LAST,3
FIRST GATE LS AAA
ADVANCE 5
GATE LR BBB TRANSFER ,LAST+2
ADVANCE 2
TRANSFER ,LAST+2
LAST GATE LS CCC
ADVANCE 3,1
Транзакт последовательно пытается войти в следующие блоки: FIRST, FIRST+3, FIRST+6 (LAST).
Вариант вероятностного перехода
1. TRANSFER .370,THIS,THAT
В примере с вероятностью 0,37 транзакт перейдет к блоку ТНАТ (37% транзактов), а с вероятностью 0,63 - к блоку ТНIS (63% транзактов).
TEST (проверить)
Этот ОБ определяет направление движения транзакта в зависимости от выполнения условия, заданного алгебраическим соотношением. Оператор имеет расширенное поле операции, включающее общепринятые обозначения логических операций: L(меньше), LE(меньше или равно), E (равно ), NE (не равно ), G ( больше ), GE ( больше или равно ).
Формат записи имеет вид :
TEST XX A, B, C
XX - дополнительный код логической операции (L, LE, E, NE, G, GE.);
А - не имеет значения по умолчанию, представляет собой выражение, левая часть которого сравнивается с требуемой операцией, если сравнение истинно, то Хакт продвигается в следующий последовательный ОБ.
В - не имеет значения по умолчанию, представляет собой выражение, правая часть которого сравнивается с операндом А;
С - не имеет значения по умолчанию и представляет собой имя или номер ОБ к которому направляется Хакт, если результат сравнения ложный ( альтернативный адрес). Если операнд С отсутствует, а результат сравнения ложный, Хакт запрещён вход в ОБ TEST и сравнение проводится каждый раз, пока Хакт находится в СТС.
Такое обстоятельство приводит к избыточному использованию памяти, в этом случае ( операнд С не определён ) следует пользоваться ОБ GATE. Рассмотрим примеры использования ОБ
1. ТESТ LE Q1,10
2. ТЕST NE S1,PF2
3. TEST GE PF1,PF2,CPU
В первом примере транзакт задерживается, если длина очереди 1 больше 10;
Во втором примере транзакт задерживается, если текущее содержимое памяти 1 равно значению 2-го параметра транзакта форматом слово;
В третьем примере транзакт переходит к следующему блоку, если PF1 PF2, либV, в противном случае, направляется к блоку СPU.
ASSIGN (задать)
Этот ОБ изменяет атрибуты транзактов. К числу таких атрибутов относятся значения, записываемые в полях операндов F- I ОБ GENERATE. операнды F,G,H,I, относящиеся к параметрам транзакта, задаются по умолчанию в виде листов параметров и с помощью ОБ ASSIGN могут быть видоизменены.
Формат ОБ ASSIGN имеет вид:
ASSIGN A,B,C,D
A - не имеет значения по умолчанию , определяет имя или номер параметра, которому назначается значение. Если последний символ в операнде А + или -, то параметр уменьшается или увеличивается на значение, определяемое операндом В.
В - не имеет значения по умолчанию, представляет собой замещаемое значение, которое вычитается или прибавляется к значению операнда А, если модифицируется параметр, представляемый числом с плавающей точкой, то операнд В то же должен иметь такой вид.
С не имеет значения по умолчанию, определяет имя или номер оцениваемой функции, значение операнда В умножается на значение функции, предварительно определив знак функции.
Некоторые аналитические модели СМО
Обозначения : Н- накопитель, К - канал обслуживания, кружок - поток входных заявок, прямоугольник - ПО, ромб - поток обслуженных заявок.
В 1953 году Г. Кендалл предложил стандартные обозначения для введённых выше определений, которые и используются исследователями без изменений. Для однофазных СМО символика Кендалла выглядит следующим образом :
A / B / n / m 2.1
Где A и B входной поток и поток обслуживания соответственно ,
n число каналов, n 1,
m - ёмкость накопителя.
Потоки случайных событий могут иметь различный вид:
- М экспоненциальное распределение длительностей интервалов поступления заявок или длительностей обслуживания ( индекс М от определяющего слова марковский процесс, т.е. такой, когда поведение процесса после момента времени t зависит лишь от состояния процесса в момент времени t и не зависит от поведения до момента времени t),
- D - детерминированное распределение длительностей интервалов поступления заявок или длительностей обслуживания,
- Ек - поток Эрланга к го порядка для длительностей интервалов между приходами заявок или длительностей обслуживания,
- GI - рекуррентный поток (длительности интервалов статистически независимы и имеют одинаковое распределение),
- G - общий вид распределения.
Тогда в символах Кендалла вместо А и В подставляется символ одного из упомянутых потоков, например:
M/M/1 - экспоненциальные потоки с одним каналом обслуживания и неограниченной ёмкостью.
D/GI/5/10 - детерминированный входной поток, рекуррентный поток обслуживания, многоканальное СМО с 5 одинаковыми каналами, ёмкость накопителя 10 и т.д.
Описание любого варианта СМО на языке математики достаточно несложно, но практически малоценно, так как не отражает динамики процесса функционирования системы. Поэтому всегда существует необходимость, получив предварительные числовые ориентиры на основе аналитической модели, далее строить имитационную модель, для чего незаменим ЯИМ GPSS/H .
Некоторые аналитические модели СМО
Не будем рассматривать причины, приводящие к искажению сформулированных свойств простейшего потока, отметим только, что процесс прихода заявок подчиняются в этом случае функции распределения Пуассона, а время прихода и обслуживания описывается экспоненциальной функцией распределения. Любые другие функции распределения приведут к лучшим параметром потоков, поэтому считается, что если параметры СМО удовлетворяют условиям простейшего потока, то они наверняка обеспечат удовлетворительную работу СМО при всех других потоках.
В связи с этим в рассматриваемых далее моделях используются функции распределения Пуассона и экспоненциальные.
Распределение вероятности длительности интервалов между заявками
Пусть f(t)- плотность распределения длительностей t интервалов между любой парой смежных заявок. Определим параметр потока , как среднюю частоту появлений заявок, а 1/, как среднее значение длительности интервала, тогда
t f( t )dt = 1/ . 2.2
Например, если за дискрету времени примем 1 час, а = 4, то среднее количество поступлений равняется 15 минутам (1 / = 0.25) и наоборот, если каждые 10 минут в систему поступает одна заявка, то частота поступлений равняется 0.1 заявок в минуту.
Для стационарного потока плотность определяется как:
f ( t ) = e - t t , 2.3
такое распределение называется экспоненциальным.
Вычисляя вероятность попадания n заявок в произвольно выбранный интервал Т, приходим к распределению Пуассона:
P n ( t ) = ((t )n / n! ) e t . n = 0,1,2, 2.4
Полученные распределения отвечают всем свойствам простейшего потока.
Впредь будем полагать, что отсчёт времени начинается с момента Т 0.
Не трудно показать, что экспоненциальная функция распределения заявок и пуассоновский процесс обладают одинаковыми статистиками и их можно считать синонимами, поэтому, и принято обозначение марковский процесс или М процесс.
Распределение вероятностей длительностей обслуживания
Будем считать, что каждый канал в одно и то же время может обслуживать только одну заявку. Следующие друг за другом интервалы обслуживания независимы и имеют идентичное распределение.
Пусть плотность распределения равна g (t), тогда среднее время обслуживания равно:
T0 = t g ( t ) dt = 1 / , 2.5
где - параметр (темп) потока обслуживания.
Так, например, если за дискету времени принять 1 час, а = 5, то в течение часа прибор обслужит 5 требований и среднее время обслуживания равно 12 минутам и наоборот, если на обслуживание заявки уходит 30 минут, то темп обслуживания = 2. При расчёте среднего времени обслуживания учитывается только время занятости прибора обслуживания.
Для получения верхней границы пропускной способности канала обычно полагают, что распределение длительностей обслуживания является экспоненциальным:
G (t) = e -t при t 0, 2.6
при этом вероятность завершения обслуживания в интервале (t + t) не зависит от того, сколько времени уже потрачено на обслуживание этой заявки (пример системы, не обладающей памятью). Таким образом, если в момент t заявка уже обслуживалась, то в силу (2.6) в момент t + t вероятность того, что в этом интервале обслуживание не заканчивается:
P (t + t) e -. 2.7
Следовательно, при очень малых t, вероятность того, что обслуживание в рассматриваемом интервале не заканчивается равна:
P ( t + t )1 - , 2.8
а что заканчивается
P ( t + t ) . 2.9
Рассмотрим пример, в котором имеется возможность аналитического определения показателей эффективности функционирования СМО (М/М/1).
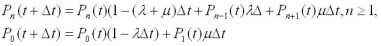
Пусть процесс обслуживания начинается при отсутствии заявок в накопителе, тогда состояние СМО описывается следующей системой уравнений:

2.10
где Рn(t) - вероятность нахождения системы в состоянии

в момент t, т.е. когда в ней находятся n заявок.
Вероятность нахождения в системе n заявок в момент времени (t + t) равна сумме трех вероятностей:
1) вероятности нахождения в системе n заявок в момент t, умноженной на вероятность того, что за время t в систему не поступает ни одной заявки и ни одна заявил не будет обслужена;
2) вероятности нахождения в системе (n - 1) заявки в момент t, умноженной на вероятность поступления одной заявки за время t, и ни одна заявка не будет обслужена;
3) вероятности нахождения в системе (n + 1) заявки в момент t, умноженной на вероятность ухода одной заявки, при условии не поступления ни одной заявки.
Заметим что,

2.11
Образуя разностное уравнение и переходя к пределу, получаем дифференциальные уравнения:

2.12
Найдем выражение среднего числа заявок, находящихся в накопителе, и среднего времени ожидания заявок в накопителе для стационарного состояния при загрузке

, коэффициент иногда называют траффик - интенсивностью, поскольку он также представляет долю полного времени, в течение которого прибор не простаивает, его иногда называют коэффициентом использования или загруженности.
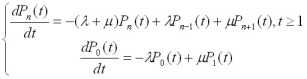
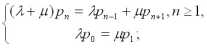
Приравняв производные по времени t к нулю, получим уравнения:

2.13
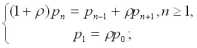
Положим n =1, тогда (1+ )p1 = p2 +

, повторяя эти операции, имеем рn =

, причем

.
Следовательно, получим, что рn = рn(1 - ) геометрическое распределение.
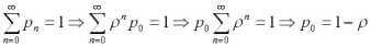
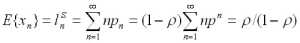
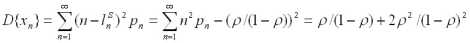
Среднее число заявок в системе равно:

, 2.14

.
Среднее число заявок, находящихся в накопителе, равно:

. 2.15
Среднее время ожидания заявок в накопителе равно:

. 2.16
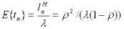
Среднее время пребывания в системе равно:
E{ w } = 1 /

= 1 /

2.17
Сведём основные операционные характеристики рассматриваемой системы с дисциплиной FCFS (FIFO) в таблицу 2.2.
Таблица 2.2 Операционные характеристики СМО
|
|
|
 |
 |
 |
 |
|
1- |
|
Ew |
Etn |
|
Ew |
Etn |
|
0.1 |
0.9 |
0.11 |
0.01 |
1 |
0.11 |
0.01 |
2 |
0.06 |
0.01 |
|
0.3 |
0.7 |
0.43 |
0.13 |
3 |
0.14 |
0.04 |
6 |
0.07 |
0.02 |
|
0.5 |
0.5 |
1.0 |
0.5 |
5 |
0.2 |
0.1 |
10 |
0.1 |
0.05 |
|
0.7 |
0.3 |
2.33 |
1.63 |
7 |
0.33 |
0.23 |
14 |
0.17 |
0.12 |
|
0.8 |
0.2 |
4.0 |
3.2 |
8 |
0.5 |
0.4 |
16 |
0.25 |
0.2 |
|
0.9 |
0.1 |
9.0 |
8.1 |
9 |
1 |
0.9 |
18 |
0.5 |
0.45 |
|
0.95 |
0.05 |
19.0 |
18.05 |
9.5 |
2 |
1.9 |
19 |
1 |
0.95 |
|
0.99 |
0.01 |
99.0 |
98.01 |
9.9 |
10 |
9.9 |
19.8 |
5 |
4.95 |
|
0.999 |
0.001 |
999.0 |
998.0 |
9.99 |
100 |
99.9 |
19.98 |
50 |
49.95 |
Следует обратить внимание, что при возрастании коэффициента использования, такие параметры как число заявок в системе, длина очереди, время пребывания в системе начинают быстро возрастать. При заданной скорости обслуживания , когда коэффициент занятости не велик, основная доля среднего времени пребывания заявки в системе связана только с процедурой обслуживания, при возрастании интенсивности входного потока, большая часть времени пребывания заявки в системе обусловлена ожиданием обслуживания.
Рассмотрим конкретный пример использования Таблицы 2.2. Пусть дискрета времени равна 1 часу, а =0.8. Прибор простаивает в среднем 0.2 часа (12 минут), а среднее количество требований в системе равно 4. При

(скорость обслуживания равняется 10 единиц в час), средняя продолжительность пребывания заявки в системе равняется 0.5 (30 минут), а пребывание в очереди из них занимает 24 минуты.
Возможны ситуации, когда длина очереди ограничена, если в СМО не может быть более L заявок, то длина очереди ограничена величиной L 1 и любая заявка сверх этого значения теряется, и статистическое равновесие в этом случае достигается при любом значении (Л. 2).
В данном разделе не рассмотрены другие более сложные модели использования теории массового обслуживания. Однако, следует подчеркнуть, что теория СМО прекрасно реализуется способами имитационного моделирования с использованием ЯИМ GPSS/H.
Поэтому концептуальная основа теории СМО позволяет решать сколь угодно сложные практические задачи, встречающиеся в технике, бизнесе и информатике.
Глава 3.Средство компьютерного моделирования - ЯИМ GPSS/H
Язык имитационного моделирования GPSS был создан в 1968 году фирмой IBM по заказу военно-морских сил США для моделирования сложнейших процессов снабжения флота, находящегося вдалеке от портов приписки. Поскольку тогда не существовало персональных компьютеров (датой их появления считается, по различным источникам, 1987 1988 год), первая версия GPSS предназначалась для работы в операционной среде и с техническими средствами тех времен (Л.2).
Впоследствии язык неоднократно модифицировался, появилась версия, способная работать не только в операционной системе MS-DOS и в ее эмуляциях, но и непосредственно в ОС Windows’95,98, NT, XP.
Одна из последних версий GPSS, названная GPSS/H, выпущена фирмой Wolverine Software Corporation автор James Henriksen в 1996 году, но к сожалению, пока не нашла широкого применения в России. В то же время ее отличает от старых версий множество новых положительных свойств и возможностей. Перечислим некоторые существенные достоинства:
- отсутствие собственной оболочки, что позволяет сократить время ознакомления с программой и упрощает работу во всех средах;
- наличие так называемого отладчика программ, или дебагера, что позволяет сократить и сделать более эффективным этап отладки программ;
- наличие фортраноподобных переменных (амперсант-переменных), которые позволяют значительно упростить многие операции и сделать модель более информативной для наблюдателя и удобной в работе;
- возможность управления форматом и количеством информации в файле отчета, содержащем результаты моделирования и т.д. (см. Л.1,2).
Назначение и структура GPSS/H
Назначение GPSS/H - General Purpose Simulation System, то есть общецелевая система моделирования. Это средство (ниже будут для краткости использоваться термины язык или ЯИМ) предоставляет пользователю возможность создавать и испытывать имитационные модели различных по своему физическому устройству и назначению систем.
Необходимо только, чтобы решаемая с помощью моделирования задача могла быть описана средствами теории систем массового обслуживания (которая перекрывает широкий класс задач). Строго говоря, под это определение подпадают объекты, процесс функционирования которых можно представить в виде состояний и правил перехода из одного состояния в другое, определяемых в дискретной пространственно-временной области.
Объекты и элементы GPSS/H. Объекты GPSS/H классифицируются по категориям (см. таблицу 3.1), в таблице в графе функции операторов блоков приведены характерные (или единственные) представители операторов рассматриваемой категории.
Таблица 3.1. Объекты GPSS/H
|
кат. |
Категория объекта |
типа |
Тип объекта |
Мнемонич. обозначение |
Функции операторов блоков |
|
1 |
Динамическая |
1 |
Транзакт |
--------- |
Создание транзактов: GENERATE, SPLIT
Уничтожение транзактов: TERMINATE, ASSEMBLE |
|
2 |
Операционная |
2 |
ОБ ( блок ) |
------------ |
Объяснены в главе 5 |
|
3 |
Аппаратная
|
3 |
Устройства |
F
(facilities) |
Занятие освобождение SEIZE RELEASE
Захват возврат PREEMPT RETURN
Доступно - не доступно FAVAIL FUNAVAIL
Выбор обусловленного направления GATE |
|
4 |
Памяти (накопители ) |
S
(storages) |
Войти покинуть ENTER LEAVE
Свободна занята SAVAIL - SUNAVAIL
Ожидание изменения статуса GATE
Изменение емкости памяти BSTORAGE |
|
5 |
Логические ключи |
L
(logic switch |
Включение, выключение, инверсия LOGIC
Ожидание изменения положения L GATE |
|
4 |
Вычислительная |
6 |
Арифметическая переменная |
V
(variable ) |
Целочисленное значение
VARIABLE
Плавающая точка FVARIABLE |
|
7 |
Булева
переменная |
BV |
Задается логическими атрибутами СЛА |
|
8 |
Функция |
FN |
Задается пользователем или встроенной функцией |
|
5 |
Статистическая |
9 |
Очереди |
Q |
Создание очереди покидание
QUEUE DEPART |
|
10 |
Таблицы |
T |
Создать таблицу TABULATE |
|
6 |
Запоминающая |
11 |
Ячейки |
Х |
Создание скалярной переменной |
|
12 |
Матрицы |
М |
Создание 2-х размерных матриц |
|
13 |
Амперперемен. |
|
Создание переменных 5-ти типов |
|
7 |
Группирующая |
14 |
Списки польз. |
С |
Включить исключить LINK - UNLINK |
|
15 |
Группы |
G |
Поместить удалить JOIN REMOVE
Проверка принадлежности EXAMINE
Определение вида транзакта SCAN
Изменение атрибутов - ALTER |
Каждому объекту соответствуют арифметические или логические атрибуты, описывающие состояние объекта в текущий момент модельного времени. Большинство из атрибутов не доступны для программиста.
Атрибуты, к которым в ИМ можно обращаться, называются стандартными числовыми атрибутами (СЧА). Основными объектами GPSS/H являются транзакты и операторы исполнения ОБ (блоки).
Транзакты (сообщения) описывают единицы исследуемых потоков (зHявки на обслуживание), например: задания пользователей в вычислительной системе; детали, подлежащие обработке в ГПС; автомобили в очереди у бензоколонки; корабли, разгружающиеся в порту и т.п.
Операционная категория включает блоки, которые задают логику функционирования ИМ системы и определяют пути движения транзактов между объектами аппаратной категории. Практически все изменения состояний ИМ (события) системы S происходят в результате входа транзактов в блоки и выполнения блоками своих функций.
Основные функции блоков следующие:
создание (генерация) и уничтожение транзактов;
изменение числовых атрибутов объектов;
задержка транзакта на определенный интервал времени;
- изменение маршрута движения транзакта и др.
Проиллюстрируем эти функции на простом примере.
Пример. Блок, создающий транзакты в модели, обеспечивает поступление заявок в СМО через определенные интервалы времени. Занятие или освобождение заявкой канала обслуживания (или места в накопителе) приводит к изменению состояния канала (накопителя). В модели это осуществляется с помощью изменения СЧА объекта GPSS/H, описывающего состояние канала обслуживания (накопителя).
В случае занятости одного из каналов СМО заявка может быть направлена на другой канал. Для этого в модели используется блок изменения маршрута движения транзакта. Блок, осуществляющий задержку транзакта, имитирует процесс обслуживания заявки в течение определенного времени.
Выход обслуженной (или потерянной по каким-либо причинам) заявки из СМО в модели имитируется с помощью блока уничтожения транзактов.
- Объекты аппаратной категории служат для описания единиц оборудования или ресурсов, имеющих ограниченную ёмкость. Воздействуя на эти объекты, транзакты могут изменять их состояния и влиять на движение других транзактов. Ресурсы включают в себя три типа объектов
Устройства описывают оборудование, которое в любой момент времени может быть занято только одним транзактом (одноканальные СМО): обрабатывающий центр, терминал, центральный процессор, АЦПУ, кассир и т.д., а также оборудование, на котором обслуживание одной заявки может быть прервано поступлением другой заявки (например, с более высоким приоритетом).
Памяти (многоканальные устройства) описывают оборудование, которое может использоваться несколькими транзактами одновременно (многоканальные СМО): оперативную память ЭВМ, бункер-накопитель в ГПС, стоянки автомобилей и т.д.).
Логические ключи используются для блокировки или изменения движения транзактов в зависимости от ранее наступивших в ИМ событий.
- Объекты вычислительной категории описывают связи между элементами СС, задаваемые с помощью аналитических или логических соотношений. Они могут служить для задания вероятностных законов распределения случайных величин в ИМ; для численного или логического описания условий, определяющих движение транзактов.
- Статистические объекты обеспечивают вычисление и представление в стандартном виде для показателей эффективности функционирования СС: средних значений, стандартных отношений, эмпирических функций распределения и т.п.
- Запоминающие объекты служат для задания условий моделирования, хранения, накопления и обработки информации, получение которой не предусмотрено стандартными средствами GPSS/H.
- Объекты группирующей категории содержат информацию о транзактах, находящихся в модели. Продвигаясь по модели, транзакты, имитирующие заявки на обслуживание, могут приводить к наступлению таких событий, как: поступление заявки в СМО; занятие (освобождение) места в накопителе; занятие (освобождение) канала обслуживания; прерывание обслуживания заявки с более низким приоритетом; совпадение значений определенных числовых атрибутов двух и более транзактов, называемых синхронизируемыми и т.п. При этом соответствующие транзакты помещаются в один из пяти списков (цепей, в оригинале chain):
-список текущих событий - СТС (время наступления меньше либо равно текущему модельному времени),
-список будущих событий - СБС (время наступления больше текущего модельного времени);
- список прерываний (транзакты, обслуживание которых прервано);
- список синхронизируемых транзактов (находящихся в состоянии сравнения);
- список пользователя содержит транзакты, удаленные программистом из списка текущих событий.
Чтобы при дальнейшем изложении придерживаться единой терминологии введем единое понятия оператора (Таблица 3.2), которое отличается от дословного перевода терминов оригинальной версии языка.
Таблица 3.2 Соответствие английских и русских названий
|
Обозначения оригинальной версии языка |
Обозначения, введенные в материале |
BLOCKS
Блоки |
Операторы блоков
(блоки) |
Сontrol Statements
Инструкция управления |
Операторы управления |
Compiler Directive
Директива компиляции |
Операторы описания |
Кроме указанных в Таблице 3.2 операторов для эффективного решения задач исследования системы необходимо иметь средства управления процессами модификации и отладки программ, сбора и обработки статистики и т.п. Решение любой задачи ИМ получается в результате реализации прогона или ряда прогонов модельного файла МФ, получения и обработки собранной статистики и принятие решений на основе статистического анализа.
Длительность испытаний зависит либо от заданной статистической точности, либо от заданного числа реплик в одном прогоне, либо от времени рассмотрения функционирования реальной системы (см. параграф 3.5).
В связи со сказанным необходимо чётко понимать какие времена рассматриваются при ИМ и представлять их различие.
- Тр - реальное время функционирования исследуемой системы S, которое
может быть очень большим, например 10n лет при исследовании космогонических процессов, либо, наоборот, очень малым 10 n секунд при исследовании процессов происходящих в микромире.
- Ти - машинное время имитации, отражающее затраты ресурса времени ЭВМ на организацию ИМ. В случае использования суперкомпьютеров, производительность которых превышает сотни гигафлоп, минута машинного времени может стоить несколько тысяч долларов. Это ограничение должно учитываться создателями ИМ и далее не рассматривается.
- Тм модельное время, используемое в ИМ. Оно может быть сжато при исследовании процессов макромира или растянуто при оперировании со сверхбыстрыми процессами в реальной системе. Кроме того, именно модельное время позволяет избежать сложностей моделирования поведения реальной системы, так в реальной системе события могут происходить одновременно в разных компонентах системы, в обычных не мультипроцессорных ЭВМ параллельные события воплотить нельзя. Модельное время позволяет синхронизовать все события и реализовать квазипараллелизм. При создании ИМ задание временной дискреты модельного времени является обязательным условием до начала процесса ИМ. Естественно, что разные значения времени процессов обязательно должны быть выражены в едином масштабе временной дискреты модельного времени. Так, например, если временная дискрета задана в минутах, другие временные периоды: часы, сутки, годы должны быть так представлены в минутах.
Введем обозначения:

- временной интервал моделирования системы S (интервал модельного времени), где:
- t0 время начала моделирования (обычно полагают t0 = 0);
- Тм время окончания моделирования;
- текущее значение модельного времени.
В заключение параграфа приведем ряд определений:
программа или модельный файл - МФ на языке GPSS/H представляет собой описание поведения исследуемой системы, составленное согласно синтаксису языка. Делается это при помощи операторов (таблица 3.2), которые определяют правила перехода системы из одного состояния в другое. Изменение состояния модели называется событием модели.
Одно проигрывание МФ называется реализацией, исполнение всех реализаций, оговоренное параметрами модели (числом стартов или временем моделирования) называется прогоном.
Описание языка моделирования
3.2.1. Структура модели
Модель на языке GPSS/H содержит несколько видов информации, а именно: что происходит с транзактом внутри модели (и с какой вероятностью), в каком режиме должна выполняться модель, сколько должно быть сгенерировано транзактов в этом прогоне модели и т.п., что собой представляют отдельные объекты, встречающиеся в программе. На рисунке 3.1 представлена блок-схема модельного файла.
Модели GPSS/H всегда состоят из нескольких частей, соответствующих этим группам сведений.
Модуль 1 модуль описания и управления. Начинается всегда с ОУ SIMULATE, что дает команду на компиляцию модельного файла.
Модуль также может содержать другие операторы описания и управления. Содержимое модуля задает условия моделирования и само не исполняется.
Операторы описания
1. SAM TABLE M1,100,100,10
2. SAM TABLE M1,100,100,W10
3. 10 TABLE IA,50,50,5
4. ARRIV TABLE RT50,50,10,1000
Первый и второй примеры для таблицы SAM, отличаются только тем, что вторая таблица взвешенная. В них верхняя граница первого интервала равна 100 , ширина промежуточных интервалов равна 100, число интервалов 10.
В третьем примере для таблицы с номером 10, определяются промежутки между приходами транзактов, верхняя граница первого интервала равна 50, ширина промежуточных интервалов равна 50, число интервалов равно 5. В четвёртом примере для таблицы с именем ARRIV определяется доля приходов в долях 1000 ( операнд Е ), верхняя граница первого интервала равна 50, ширина промежуточных интервалов равна 50 , число интервалов равно 10.
В. Операторы управления логикой моделирования
DO/ENDO( Выполнить/ Завершить выполнение )
Эти два парных оператора служат для организации петли управления процессом ИМ. Когда необходимо провести несколько независимых прогонов МФ, существует два способа получения этих прогонов не выходя из процесса ИМ.
Первый из них осуществляется с помощью ОУ CLEAR и парного с ним ОУ START , при этом число этих парных ОУ равняется числу желательных прогонов . Естественно, что при большом числе прогонов запись МФ перегружается этими указаниями. Второй способ - организация компактной записи с помощью парных ОУ DO/ENDDO, формат этих ОУ имеет вид :
[label] DO A,B,[C]
[label] ENDDO
label - не обязательный ярлык , который чаще всего отсутствует, характеризует собой имя организуемой пели ,
А - не имеет значения по умолчанию, символизирует собой индекс начала петли, представляющий собой целочисленную скалярную АМП, записываемый в виде I=1.
B - не имеет значения по умолчанию, характеризует собой предельный номер конечного члена петли,
С не обязательный операнд, по умолчанию равен единице, задаёт приращение индекса.
Когда индекс достигает предельного значения , исполняется ОУ ENDDO и петля управления прекращает своё существование. Если значения заданы числом с плавающей точкой, то число усекается до целого значения, отрицательные приращения программой не поддерживаются.
Количество петель управления может достигать 19, причём они вкладываются друг в друга, создавая своеобразную иерархию, второстепенные петли в МФ изображаются с отступом вправо от основной петли, следующая вложенная петля также отступает вправо. Между ОУ DO/ENDDO размещаются другие ОУ , например CLEAR/START. Отметим важные особенности петли ОУ DO/ENDDO :
- DO/ENDDO создают структуру петли управления, а не петли транзактов, поэтому в петле присутствуют только ОУ, а не ОБ.
- Необходимо помнить, что операнды в петле должны записываться по правилам записи операндов, предусмотренных программой, т.е. без пробелов, появление пробела справа воспринимается программой как начало комментарий.
Рассмотрим пример записи петли управления:
DO I=1,10,1
START 1
CLEAR
ENDDO
END
В примере петля управления задана операндами ОУ DO, операнд D можно было бы не писать, так как его значение по умолчанию и так равно 1, петля начинается с первого шага и заканчивается на 10 -м шаге. При каждом значении индекса происходит исполнение ОУ START/CLEAR . При отсутствии петли управления эту пару ОУ надо было бы написать 10 раз подряд.
Отметим также, что при введении петли управления на первое место в модуле управления встаёт ОУ DO.
ОУ DO/ENDDO являются важными компонентами мощного и гибкого языка операторов управления (control statement language -CSL), являющегося частью GPSS/H .
Другие ОУ управления логикой
Другими компонентами CLS являются ОУ, обеспечивающий простоту вычислений - LET, ОУ ввода и вывода информации GETLIST и PUTPIC, логические операторы IF,ELSEIF,ELSE ,ENDIF, ОУ способный обращаться и вызывать внешние подпрограммы - CALL , ОУ безусловного обращения GOTO . Все эти операторы представляют несомненный интерес , но их рассмотрение выходит за рамки предлагаемого материала.
Операторы описания
Ниже рассмотрим только основные ОО, которые будут использоваться в материале, приводимые ОО даются в алфавитном порядке.
INTEGER
Этот ОО используется для описания целочисленных АМП, представляющих собою скалярную одноразмерную переменную. Все целочисленные АМП должны быть определены в ОО INTEGER до их первого появления в МФ. Формат записи ОО INTEGER имеет вид :
INTEGER A,B,C,
label - не имеет значения по умолчанию, появление ярлыка воспринимается как ошибка компиляции.
А не имеет значения по умолчанию, отсутствие операнда воспринимается как ошибка компиляции, определяет имя целочисленной АМП.
В,С - имеют тот же смысл, что и операнд А и при необходимости определяют дополнительные целочисленные АМП.
Таким образом, ОУ INTEGER может определять несколько АМП одновременно. При этом АМП разделяются запятыми, если определяется одноразмерный массив, то число членов массива заключается в круглые скобки. Рассмотрим пример использования ОУ INTEGER
1. INTEGER I,J,K
2. INTEGER IVEC(25)
В первом примере задаются 3 различных АМП, во втором примере определяется массив, включающий в себя 25 членов. Существует ещё четыре ОО, описывающие другие типы АМП ( см.3.3.4).
OPERCOL ( переназначить начало записи операндов )
Этот ОО используется для переназначения стартовой позиции записи операндов, которая по умолчанию начинается с 25-ой колонки ( подробнее см. параграф 3.4) и может меняться от 10-ой до 60-ой колонки. Формат записи ОО OPERCOL (ORERand start COLumn ) имеет вид:
OPERCOL A ,
А по умолчанию равен 25, при наличии операнда меняет позицию начала записи операндов, в соответствии с числом стоящим в поле операнда (10 60 ).
Приведём пример записи ОО OPERCOL :
OPERCOL 35
В примере стартовая позиция начала записи операндов изменена на 35.
Применение ОО OPERCOL особенно полезно, когда создаются одинарные или вложенные петли управления, ОО OPERCOL располагается в модуле описания.
REALLOCATE ( перераспределять )
Этот ОО используется для указания об увеличении общей памяти, которая в студенческой версии имеет объём равный 32720 байт, а обычно используется 10000 байт. Располагается ОО REALLOCATE в любом месте МФ, но разумней располагать его в модуле описания, чтобы не дожидаться появления сообщения об ошибке 411 out of COMMON - переполнение общей памяти. Формат записи ОО REALLOCATE имеет вид :
REALLOCATE A,B
А - не имеет значения по умолчанию, представляет собой имя переназначаемого объекта (в нашем случае памяти),
В - по умолчанию равен 10000 байт, представляет собой число, обозначающее запрашиваемый объём памяти ( до 32720 байт ).
В программе существует другая возможность увеличения объёма общей памяти, непосредственно в командной строке можно записать опцию MAXCOM после имени файла, что автоматически увеличивает объём общей памяти до максимума, действие этой опции перекрывает эффект действия ОО REALLOCATE , но увеличивает время ИМ.
Рассмотрим пример применения ОО REALLOCATE :
REALLOCATE COM,20000
В примере общая память переназначается до значения 20000 байт.
Переменные( амперпеременные АМП)
В языке GPSS/H имеется мощное средство для хранения данных, получаемых при моделировании; сбора статистики и создания собственных образцов файла отчета. Это так называемые -переменные -АМП (они начинаются со знака - "амперсант").
Эти переменные могут быть целочисленными (integer), вещественными (real), или символьными (character).
Для использования таких переменных в вашей модели необходимо объявить об их использовании в начале программы с помощью следующих операторов описания:
INTEGER
Этот ОО используется для описания целочисленных -переменных. Формат оператора следующий:
INTEGER avar, ,
где avar имя очередной целочисленной -переменной.
REAL
Используется для описания вещественных -переменных. Формат:
REAL avar, ,
где avar имя очередной целочисленной -переменной.
CHAR
Формат этого оператора, описывающего символьные -переменные, несколько отличается от формата двух предыдущих:
CHAR *N avar,,
где N количество символов в переменной.
VCHAR
Аналогично предыдущему оператору, но описанная таким образом переменная может быть любой длины, но не более N.
В описанных выше операторах есть возможность придать переменной новое качество: описать ее как линейный массив (вектор). Для этого количество элементов массива указывается в скобках после имени переменной (подобно аналогичным операторам в других языках программирования).
LET
Этот оператор описания используется для присвоения -переменным любых видов новых значений. Располагается этот оператор в разделе описания и имеет формат:
LET avar=xpress,
где avar имя переменной, а xpress любое математическое выражение с использованием функций, -переменных, стандартных числовых атрибутов и т.д., либо число или строка (для строчных -переменных). Этот оператор описания может располагаться в модели непосредственно после описания соответствующих переменных.
В случаях, когда необходимо задать значение переменной непосредственно в теле программы, используется оператор BLET. С его помощью можно записывать математические выражения с участием СЧА, амперсант-переменных, постоянных и математических функций.
Случайные числа и функции
На практике часто встречаются случайные величины, распределение которых неравномерно, а подчиняется, например, нормальному закону, закону Эрланга или Вейбулла. Для моделирования процессов, связанных с этими величинами, предназначены такие средства языка GPSS/H, как генераторы случайных чисел и функции.
В GPSS/H имеется восемь встроенных генераторов случайных чисел (ГСЧ), которые реализуют процедуру генерации псевдослучайного числа из диапазона (0;1) с равномерным распределением вероятности. Как известно, из распределенных таким образом может быть получен поток чисел, распределенных по любому другому закону.
Именно таким приемом пользуется GPSS/H для получения разнообразных законов.
При работе программы GPSS/H встроенный ГСЧ при каждом запросе выдает случайное число. Чтобы получить это число в явном виде, можно воспользоваться СЧА потока случайных чисел:
|
СЧА |
Описание |
|
RN(j) |
Создает поток псевдослучайных чисел с генератора с номером j. Если используется в качестве аргумента функции, числа получаются с плавающей запятой, равномерно распределенные в интервале (0,1), исключая концы интервала. В прочих случаях числа целые, распределены равномерно в интервале (0,999), включая концы интервала. |
|
FRN(j) |
Создает число из потока псевдослучайных чисел с номером j. Числа получаются с плавающей запятой, равномерно распределенные в интервале (0,1), исключая концы интервала. |
Используя СЧА потоков случайных чисел, можно задавать случайные функции. В GPSS/H обычно используется табличный способ задания функций.
Для определения функции служит управляющий оператор FUNCTION (см. 3.3.2).
В GPSS/H имеется также библиотека встроенных функций, реализующих часто применяемые законы распределения случайных чисел. Ниже перечислены некоторые из них.
RVBIN
Описывает дискретное биномиальное распределение. Параметрами являются: номер ГСЧ, количество испытаний и вероятность успешного испытания.
RVERL
Описывает М-распределение Эрланга с параметрами: номер ГСЧ, целое положительное m и среднее.
RVEXPO
Описывает экспоненциальное распределение с параметрами: номер ГСЧ, заданное среднее.
RVGAMA
Описывает гамма-распределение. Задаются: номер ГСЧ, параметр формы и параметр шкалы.
RVNORM
Описывает числа с нормальным распределением. Параметры: номер ГСЧ, среднее и стандартное отклонение.
Использование встроенных функций значительно облегчает написание и отладку программ. Ниже приведены примеры использования встроенных функций:
GENERATE RVEXPO(3,1.00),,0.5: первая цифра указывает на номер генератора случайных чисел (номер генератора не влияет на результаты моделирования, так как стартовая позиция генераторов одинакова), вторая указывает на время прихода транзактов распределенное по экспоненциальному закону со средним, равным 1; далее операнд В отсутствует по определению, так как операнд А задает закон распределения, операнд С определяет,что первый транзакт приходит через 0,5 единиц модельного времени,
BLET m=2.17, sigma=3.99
ADVANCE RVNORM (3,m,sigma): ГСЧ номер 3, время задержки транзакта распределено по нормальному закону с математическим ожиданием, равным 2,17 и среднеквадратическим отклонением, равным 3,99.
Порядок работы с GPSS/H
Работа с моделью на языке GPSS/H (студенческая версия) состоит из создания, отладки и использования модели (программы). Рассмотрим эти задачи последовательно в том порядке, в котором они обычно решаются на практике.
Причем режим отладки (дебагера) рассмотрим в параграфе 3.6.
Создание файла, содержащего модель GPSS/H
Студенческая версия GPSS/H даёт полное представление о возможностях ЯИМ, способствует его осознанному изучению и позволяет приобрести необходимые навыки. Отличия от профессиональной версии заключаются:
- в способе управления пакетом, так студенческая версия работает под MS DOS непосредственно или в любой оболочке типа NC, VC, Far. В качестве рекомендации можно посоветовать не выходить в эмуляцию DOS, а работать в любой из указанных оболочек.
- в размере модельного файла - не более 125 операторов блоков ОБ, 250 операторов всех видов, при увеличении числа операторов появляется сообщение: ERROR: STUDENT VERSION IS LIMITED TO 125 BLOCKS.
- в ограничении общей памяти - не более 32720 байтов. Это ограничение особенно заметно при плохом выборе параметров входных потоков и потоков обслуживания, так как обычно используется только 10000 байт памяти.. При этом следует сообщение о переполнении памяти , которого не следует бояться
(Error 411 -Out of COMMON . Add/change REALLOCATE Stmt ?) с просьбой изменить параметры или переназначить объём памяти до 32720 байт командой MAXCOM или изменить значения в пределах больше 10000 и до 30000 командой REALLOCATE имеющей синтаксис:
REALLOCATE COM,byte
- в стоимости пакета - студенческая версия дешевле более чем на полтора порядка.
В остальном , идеология студенческого и профессионального пакетов не отличаются друг от друга .
При инсталяции дистрибутива необходимо проделать следующее:
- Войти в сессию, какой либо командной оболочки,
- Поставить дискету с дистрибутивом в дисковод,
- Выбрать директорию для размещения GPSS/H,
- В меню запуска программы набрать: A:\ INSTALL,
- Внести изменения в AUTOEXEC.BAT,
- Перезапустить компьютер.
Запуск программы осуществляется путём набора в командной строке:
GPSSH filename.gps Enter
filename означает имя модельного файла, выбранного из списка файлов, имеющихся в программе или созданного исследователем с помощью редактора оболочки. После успешного моделирования появляется новый файл (листинг отчёта) с тем же именем, но имеющий расширение .lis, который можно просмотреть, используя клавиши F3 или F4.
В случае наличия в МФ ошибок компиляции появляется усечённый листинг, содержащий указания об ошибках, но не имеющий результатов моделирования.
Предупреждение:
- Несмотря на наличие в командной строке названия GPSS/H после приглашения надо обязательно набирать имя программы GPSSH, и после пробела имя МФ (либо использовать горячие клавиши Ctrl j) , находясь курсором на МФ.
- Вновь создаваемому МФ обязательно присваивать расширение .gps
- Никогда не пытайтесь запускать программу файлом gpssh.exe !
После создания МФ и его записи в редакторе оболочки (формат записи см. ниже) процесс моделирования распадается на две фазы:
Начало компиляции, с появлением на экране сообщения " Pass 1 (with source listing) " , во время этой фазы считывается МФ, проверяются синтаксические ошибки, происходит нумерация строк МФ,
Процесс компиляции, с появлением сообщения " Pass 2 " , во время этой фазы МФ преобразуется в форму удобную для исполнения и производится распределение памяти. При отсутствии ошибок начинается моделирование, предваряемое сообщением "Simulation begins "
Эти сообщения читаются в сеансе DOS, при моделировании в командной оболочке эти сообщения не появляются, процесс моделирования оканчивается практически сразу (время моделирования МФ из 100 операторов исчисляется миллисекундами) и в списке файлов появляется файл отчёта .lis (листинг), либо содержащий данные о процессе моделирования, либо об ошибках. Никакой специальной команды для выхода из процесса моделирования при работе в командных оболочках подавать не надо.
Предупреждение: В процессе работы с программой никогда не вносите никаких изменений в имеющиеся файлы задач основного пакета. Если возникла необходимость изменения данных в задачах пакета - создайте свой файл, скопируйте в него желаемую задачу и только после этого проводите эксперименты с вновь созданным файлом, носящим присвоенное Вами имя.
Модельный файл создаётся в редакторе оболочки по клавише F4, он представляет собой обычный текстовый файл, который можно создавать в любом текстовом редакторе. Необходимо только, чтобы текст был записан в ASCII-кодах.
Файлу обязательно присваивать собственное имя с расширением *.gps , форматы записи МФ рассмотрены ниже.
В GPSS/H допускается два формата записи операторов: - фиксированный и свободный, далее в тексте будет использоваться только фиксированный формат.
А. Фиксированный формат.
Представление о фиксированном формате представлено на рис. 3.3 (для 80 колонкового редактора).
1. В первой колонке может быть поставлен знак *, тогда эта строка не читается симулятором и воспринимается как строка комментарий. В этой строке можно писать любые сообщения, в том числе и на русском языке, например, Модуль задания для модели банка или продолжать длинный текст комментарий предыдущей строки.
2. Ярлык может состоять из 6 буквенно-цифровых литер, начинаясь всегда с буквы, правда, некоторые ОУ могут иметь только цифровой ярлык, ОБ никогда не имеют цифровой ярлык. Появление одинаковых ярлыков для разных объектов не допустимо.
Также нельзя допускать, чтобы ярлык совпадал с именем оператора или кодом операции. осле написания ярлыка следует пробел до 9-ой колонки. У ОУ ярлык может быть, например, ОУ TABLE, а может и отсутствовать, так он может быть лишним в ОУ STORAGE .
3. Код действия. Он является ключевым словом (названием) ОБ ,ОУ и ОО, оно начинается с 9-ой колонки, как уже говорилось выше код действия может быть сокращён до 4-х первых букв, однако для лучшей читаемости МФ сокращениями надо пользоваться осторожно и редко. Для новых ОБ, начинающихся на букву В такие сокращения просто не допустимы
( например , BGETLIST , BGETSTRING). Вспомогательные коды в силу их краткости не могут быть сокращены.
После кода действия обязательны пробелы до значения OPERCOL.
Здесь повторим определение оператору OPERCOL (operand start column), который назначает колонку, с какой начинается написание операндов в обоих возможных форматах записи. Значение этого оператора по умолчанию 25-я колонка, однако, это можно переназначить написав
OPERCOL n где n может принимать значения от 10 до 60. Значение этого оператора больше 25 оправданно, когда используется петля DO, сдвигаемая вправо.
Этот оператор равно применим в обеих типах форматов.
4. Операнды. Их запись начинается с колонки, определённой OPERCOL. GPSS/H позволяет кодировать операнды в виде аналитических выражений, что придаёт ЯИМ большую гибкость.
В случае, когда выражения имеют большую длину, запись операндов возможно производить на следующей строке, предваряя запись символом " _ ", что воспринимается симулятором, как продолжение предыдущей строки. Когда рассматривается последовательность объектов, то в этом операнде последовательность объектов пишется через " ", например, FUNAVAIL 1-5 . В написании операндов можно использовать скобки. Сами операнды А,В,С,.. пишутся через запятую без пробелов.
Отсутствие, какого либо операнда отмечается двумя запятыми без пробела. Рассмотрим примеры записи операндов:
SAVEVALUE (PH3 - 5 )- (PH3 + 5 ),25,XH
GENERATE RVEXPO(1,2),,10,,5
После написания последнего операнда обязателен как минимум один пробел, а при наличии макроса (оператор MACRO) как минимум два пробела.
5. Комментарий. При отсутствии у кода действия операндов, запись комментарий возможна в любой колонке, начиная с OPERCOL + 1, до 72 колонки 80-ти колонкового редактора или до конца строки при 132 колонках.
При необходимости написать более длинные комментарии, переход на новую строку предваряется *. Комментарий имеет смысл писать всегда для лучшей читаемости как МФ, так и выходного отчёта.
Б2 Свободный формат
- Gрлык может начинаться в 1-ой или 2-ой колонке и иметь от 1 до 8 литер.
- Код операции отделяется от ярлыка одним или большим числом пробелов. При отсутствии ярлыка код операции может начинаться с 3-ей колонки, но не попадать в поле OPERCOL.
- Операнды начинаются через один или большее число пробелов и пишутся до или непосредственно в поле OPERCOL .
- Комментарий пишется через один или два пробела (при наличии макросов), если код операции не имеет операндов, комментарии начинаются с колонки OPERCOL + 1 и продолжаются до конца строки.
Далее в тексте будет использоваться только фиксированный формат, так как его отображение в МФ имеет стандартный вид.
Интерпретация результатов
Файл отчета содержит большое количество информации, и для упрощения ее восприятия мы приводим пояснения некоторых обозначений, которые используются при отображении результатов моделирования.
В начале файла отчета содержится информация о модели: номера строк (в том числе присвоенные компилятором), все блоки и их операнды, указанные комментарии. Далее следует так называемый словарь объектов ENTITY DICTIONARY. Эта часть отчета представляет собой список всех объектов, применяемых в данной модели, с указанием номеров, присвоенных им компилятором. Следующая часть отчета указатель перекрестных ссылок (CROSS REFERENCE), где указывается, к каким типам принадлежат упомянутые объекты.
В секции счетчик блоков BLOCK COUNT приводится основная статистика работы блоков. Ниже приводится расшифровка терминов, используемых GPSS/H в выходном файле.
Фраза Simulation begins означает, что модель была исполнена, и после этой фразы приводятся результаты исполнения.
--AVG-UTIL-DURING-- - заголовок части выходного файла, посвященной основной статистике модели; эта часть представляет из себя таблицу (к сожалению, границы столбцов в таблице не прорисовываются, из-за чего чтение результатов иногда требует внимательности) со следующими заголовками:
FACILITY: указывает название устройства;
TOTAL TIME: полное время работы устройства;
AVAIL TIME: время, в течение которого устройство было свободно;
UNAVL TIME: время, в течение которого устройство было занято;
ENTRIES: количество транзактов, вошедших в устройство;
AVERAGE TIME/XACT: среднее время пребывания транзакта в устройстве;
CURRENT STATUS: текущее состояние (занято - свободно);
PERCENT AVAIL: доля времени, в течение которого устройство было занято.
В случае, если в модели используются операторы QUEUE и DEPART, в выходном файле будет также содержаться информация об очереди.
Правила окончания процесса ИМ
Как уже отмечалось выше, одним из главных моментов ИМ является выработка команды на прекращение процесса ИМ при выполнении заданного условия. Этот вопрос достаточно очевиден, но, тем не менее, вызывает определённые трудности у студентов, поэтому он выделен в отдельный параграф.
Процесс ИМ в GPSS/H прекращается при выполнении одного из двух условий:
1. Окончание ИМ по числу стартов, когда показания счётчика завершений - CЗ (TG1) обнуляются или приобретают отрицательное значение.
2. Окончание ИМ по времени испытаний, когда накопленное время движения транзактов превышает заданное время испытаний.
Операторы управления
D - не имеет значения по умолчанию, определяет формат параметра PF(fullword), PH(halfword), PB(byte), PL(floating point) (по умолчанию PH ). Если функция отсутствует ( операнд С), то формат параметра сдвигается влево на место операнда С.
Рассмотрим несколько примеров :
- ASSIGN 3+,5,,PB
- ASSIGN 1-7,3
- ASSIGN 5,2.5,,PL
В первом примере производится прибавление к значению параметра 3 5 единиц. Во втором примере параметрам с 1 по 7 приписывается значение 3 форматом полуслово.
В третьем примере задаётся значение параметру форматом плавающая точка.
PRIORITY
В процессе моделирования иногда приходится менять как дисциплину обслуживания, так и приоритет транзакта. Для этой цели используется ОБ PRIORITY, формат ОБ имеет вид :
PRIORITY A ,
A - не имеет значения по умолчанию, определяет новое значение приоритета для Хакт. Транзакты удаляются при этом из СТС и возвращается обратно с новым приоритетом, становясь последним в список данного приоритета. Уровень приоритета в последней версии GPSS/H может изменяться от - 2147483632 до + 2147483632 .
Приведём пример использования ОБ
1. PRIORITY 5
В примере у транзакта переназначается приоритет.
TABULATE (Создать таблицу )
Этот ОБ используется для сбора дополнительной информации, которая не выводится в стандартном отчёте. Структура таблицы задаётся ОУ TABLE (см. параграф 3.3.2). МФ может содержать несколько таблиц, которые описываются в отчёте и каждая содержит размер выборки, стандартное выборочное отклонение, относительные и накопленные частоты Каждая таблица имеет свои СЧА, формат ОБ имеет вид:
TABULATE A,[B]
A - не имеет значения по умолчанию, определяет имя или номер таблицы, в которую вносятся желаемые наблюдения, описание таблицы даётся в модуле описания с помощью ОУ TABLE .
В - по умолчанию равен 1, является не обязательным и служит в качестве весового коэффициента при создании взвешенных таблиц.
Рассмотрим примеры применения ОБ
1. TABULATE BLACK
- TABULATE 2
- TABULATE BLACK,2
В первом примере заполняется таблица с именем BLACK, во втором примере, таблица за номером 2, в третьем примере все данные вносятся с коэффициентом 2.
LOGIC( проверить логику ), GATE ( запирать )
Эта комбинация ОБ LOGIC(Проверить логику) GATE (Запирать) и ОУ INITIAL может находиться в одном из двух состояний включено - выключено и служит для сигнализации о состоянии моделируемой системы по отношению к сложившимся условиям. По терминологии GPSS/H логический переключатель может быть в установочном состоянии (set) - код состояния LS, либо свободен (clear)- код состояния LC. ОУ INITIAL задаёт начальное состояние или изменение состояния логического переключателя, а также сохраняемых величин ( Savevalue ) и матричных величин ( Matrix Savevalue ), его формат имеет вид:
INITIAL А(n)/ A(n)/,
А - не имеет значения по умолчанию и обозначает один из кодов состояния LS, LС, содержимое скобок указывает на имя инициализируемого устройства, слэш "/" символизирует возможный набор устройств, например:
INITIAL LS(KEY)/LC(KNOB).
В этом примере начальное состояние логического переключателя KEY в положении "установить", а начальное состояние логического переключателя KNOB в положении " свободен ".
ОБ LOGIC изменяет состояние логического переключателя. Кроме кода действия, ОБ имеет дополнительные коды: S- установлен, C- свободен или переустановлен -R (reset ) и инвертирован I, т.е. изменил состояние на противоположное, ОБ имеет формат:
LOGIC X A ,
X - дополнительный код S ,C( R ), I
A - не имеет значения по умолчанию и обозначает имя или номер логического переключателя, устанавливаемого в одно из состояний, задаваемых дополнительным кодом, например :
1. LOGIC S SWCH
2. LOGIC I KL1
В первом примере проходит команда на установку переключателя SWCH
Во втором примере инвертируется переключатель KL1.
Существуют два СЧА, относящихся к логическому переключателю, введённые выше, а именно LS и LC , которые обозначают следующее:
LC (имя или номер )- истинно, когда логический переключатель свободен, если это так, то СЧА равен 1, в противном случае СЧА равен 0.
LS ( имя или номер )- истинно, если логический переключатель установлен, если это так, то СЧА равен 1, в противном случае СЧА равен 0.
Используемый в этой цепочке ОБ GATE, препятствует входу следующего транзакта, если определяемые условия ложны, что делается с помощью дополнительных кодов ОБ, отличающихся от условий применения ОБ GATE. Вначале рассмотрим его использование в общем виде, формат ОБ GATE в этом случае имеет вид:
GATE XXX A[,B ] ,
XXX - дополнительный код.
Для логического переключателя это LS и LC.
Для устройств:
- I- прервано, NI не прервано, U - захвачено или прервано, NU ни захвачено и ни прервано, FV- доступно, FNV - не доступно, FS готово к захвату, FNS - не готово к захвату.
Для памятей:
- SE пуста, SNE - не пуста, SF- полна,SNF- не полна, SV-доступна, SNV не доступна.
Для транзактов, имеющих одинаковые характеристики (групп, ансамблей):
- M- является членом группы, NM - не является членом группы.
А - не имеет значения по умолчанию ни для одного объекта, представляет собой имя или номер логических переключателей, устройств, памятей или ОБ, проверяющих наличие транзактов, отвечающих заданным условиям. ( К числу таких ОБ относятся ASSEMBLE ,GATHER , MATCH ).
В - при умолчании 0, в режиме перехода относится ко всем формам ОБ и указывает на имя или номер дополнительного , не последовательного блока к которому направится Х акт при ложности дополнительного кода , т.е указывает альтернативный адрес.
Приведём несколько примеров :
1. GATE LS 1
2. GATE FNV 7
3. GATE SF 16
4. GATE FNI 21,ALTR
В первом примере транзакт блокируется до установки ключа 1 .
Во втором примере транзакт блокируется пока устройство 7 занято .
В третьем примере транзакт блокируется до заполнения памяти 16 .
В четвёртом примере транзакт после прерывания устройства 21 переходит к ALTR.
В данном параграфе рассмотрены только те операторы блоков, которые потребуются для выполнения курсового проекта, на самом деле ОБ в языке больше и они участвуют в разделении транзактов, их группировании, выделении необходимых и т.д. Кроме того, в последней версии появилось 12 операторов управления с первой буквой В (индекс блока), которые могут включаться в модуль исполнения, упрощая функции управления моделью.
Подробнее см. (Л.1,2).
Операторы управления
Как было указано выше, эти операторы используются для управления выполнением программы языка GPSS/H и описания других объектов, встречающихся в программе. Вначале рассмотрим три главн х ОУ, без которых процесс моделирования не может быть осуществлен.
А. Главные операторы управления
SIMULATE (моделировать, воспроизвести)
Этот оператор указывает, что программа на языке GPSS/H должна быть выполнена после успешной компиляции. Располагается в начале модели, меток не имеет по определению, операндов при практической работе не имеет, хотя иногда используется операнд А, задающий лимит времени моделирования.
При курсовом проектировании операнд не используется.
START (начать)
При исполнении этого ОУ происходят следующие события:
- счетчик завершений устанавливается в начальное значение,
- инициализируется процесс поступления транзактов в модель,
- начинается последовательное движение транзактов от ОБ к ОБ.
Формат ОУ имеет вид:
START А,
А начальное значение счетчика завершений, от 1 и выше.
Метка у ОУ отсутствует по определению.
ЕND (окончить)
ОУ выполняет две функции, во первых, его наличие свидетельствует о физическом окончании модельного файла, а во вторых, его исполнение останавливает процесс моделирования и передает управление ОС.
ОУ не имеет операндов и меток.
Б. Операторы управления процессом моделирования
Далее рассмотрим ряд операторов управления, приводимых в алфавитном порядке, подробнее см.(Л.1,2).
CLEAR (очистить)
Этот ОУ позволяет провести от двух и более последовательных прогонов модели. Исполнение ОУ происходит после окончания одной реплики и началом другой, таким образом осуществляется связь между репликами.
ОУ CLEAR всегда располагается в модуле управления между первым ОУ START и последним ОУ END, появление ОУ CLEAR требует обязательного парного ему ОУ START, т.е. при наличии в модуле управления нескольких ОУ CLEAR, обязательно должно быть столько же ОУ START, не считая первого, стоящего в начале модуля. Исполнение ОУ CLEAR приводит к следующим последствиям :
- Относительное и абсолютное время обнуляются .
- Все транзакты, находящиеся в модели к моменту окончания процесса ИМ, т.е. вошедшие в модель, но не дошедшие до ОБ TERMINATE уничтожаются.
- Все устройства и памяти модели возвращаются в состояние готовности ( не занятости ).
- Все статистические данные обнуляются (число использованных ОБ, число входов в устройства, памяти и очереди, максимальное содержание памятей и очередей и т.д. ).
Повторение нового прогона необходимо для сбора статистических данных о модели, однако при этом нельзя забывать того обстоятельства, что при простом повторении прогона генераторы случайных чисел -ГСЧ Yтартуют с одной и той же позиции и выходная статистика от прогона к прогону не будет изменяться. Для того, чтобы прогоны сделать статистически независимыми необходимо, чтобы ГСЧ не возвращались в исходное положение. ОУ CLEAR позволяет, дополнительно к вышесказанному, сделать это за счёт реализации следующих положений :
- ГСЧ остаются в том положении, в котором они находились на момент окончания предыдущего прогона, т.е. начальное положение ГСЧ следующего прогона отличается от предыдущего, что позволяет сделать результаты прогонов статистически независимыми.
- Счётчик ИН транзактов также не обнуляется и номера транзактов нового прогона являются продолжением после последнего номера транзакта предыдущего прогона ( например, если предыдущий прогон кончился ИН 104, то новый начинается с ИН 105).
Формат ОУ CLEAR имеет вид :
CLEAR
Необходимо отметить , что ОУ никогда не имеет ни меток (ярлыков), ни операндов. Пример применения ОУ CLEAR будет приведен непосредственно при рассмотрении примера в 3.7.
FUNCTION ( функционировать )
Этот ОУ используется для определения характера функции, связывающей независимую переменную с рядом зависимых величин. Эта связь может иметь непрерывный или дискретный вид.
Кроме того функция может быть представлена в символьном виде, когда значение функции вычисляется из выражения, приводимого в списке. Формат ОУ FUNCTION имеет вид:
label FUNCTION A,B,[C] основной формат
X1,Y1/X2,Y2/,/Xn,Yn точки функции
Label ярлык употребляется в обязательном порядке и служит для идентификации функции .
А - не имеет значения по умолчанию, определяет независимую переменную функции (аргумент), например, если используется равномерное распределение и БСВ берётся с 3-го генератора, то запись будет иметь вид RN3 (random number). Операнд может кодироваться дополнительным выражением.
Единственным ограничением является то, что аргумент не может прямо или косвенно ссылаться на функцию для которой он является независимой переменной. Значения функции могут задаваться числом с плавающей точкой.
B - не имеет значения по умолчанию, состоит из двух символов ( без пробела), первый из которых представляет собой обозначение типа функции, вида: C- непрерывная числовая, D дискретная числовая, L - список числовых значений, E - дискретная символьная, M список дискретных символов, S- селектор объектов; второй символ представляет собой целое число связанных пар значений функции, которые представляют собой точки функции и приводятся во торой строке описания формата. Если используется символ S, то он уточняется операндом С, используемым только в этом случае .
С - по умолчанию равен 0, применяется для перечисления типов объектов, если используются объекты разных типов, то приводятся их символы, разделяемые запятой без пробелов.
Рассмотрим пример записи функции :
SERVTIME FUNCTION RN7,D5
.2,4/.55,7.5/.7,10.5/.8,13.5/1,16.5
В примере описывается ОУ FUNCTION, имеющая ярлык SERVTIME, равномерно распределённое время обслуживания берётся с ГСЧ 7, распределение времени дискретно, функция имеет 5 пар точек, х - представляет собой накопленную частоту, а у- время обслуживания. Необходимо отметить, что начало и конец записи точек функции не выделяется никакими символами, пары точек отделяются слэшем, значения внутри пары разделяются запятой, 0 не пишется, а запись начинается с точки.
INITIAL( Начальное значение )
Этот ОУ используется для установления начальных значений сохраняемым величинам ( Savevalue ), матричным величинам и логическим переключателям . Формат ОУ INITIAL имеет вид :
INITIAL символ инициализации[ / символ инициализации ].
В формате под символом инициализации понимается обозначение величины, представляемое как символ величины отделённый от имени величины знаком $, например X$SAM,25 - что значит полнословная сохраняемая величина SAM, имеющая значение 25. Если в качестве начального значения используется выражение, то оно представляется в скобках.
При нескольких символах инициализации, они отделяются друг от друга слэшем, который не ставится в начале и конце наименований. Например :
1. INITIAL XH1-XH10,13/XB$SAM-XB$JOE,(5+XH$INIT)
2. INITIAL LS10/LR1-LR5
Из первого примера следует, что в первом символе полусловные сохраняемые величины с 1-ой по 10-ю имеют значение 13, а во втором сохраняемые величины SAM JOE имеют значение, указанное в скобках, т.е. к полусловному значению сохраняемой величины INIT добавляется 5. Во втором примере, относящимся к логическим переключателям устанавливается, что логический переключатель 10 находится во включённом состоянии, а переключатели с1-го по 5-ый выключены.
RESET(установить, сбросить в нуль)
Этот ОУ похож на ОУ CLEAR, также используется для целей сбора статистических данных, но имеет ряд отличительных черт, так при исполнении ОУ RESET не происходит разрушения транзактов, абсолютное время не обнуляется (обнуляется только относительное время). Использование ОУ RESET эффективно при определении момента времени, когда процесс ИМ становится установившимся .
RMULT (Переустановить )
Этот ОУ используется для управления текущей позицией ГСЧ, вводя данные с помощью ОУ RMULT можно переназначать положение любого ГСЧ, что позволяет достигать статистической независимости ИМ и избегать корреляции между отдельными потоками БСВ. Формат ОУ RMULT имеет вид :
[label] RMULT A,B,C,D,.
label - отсутствует по определению, наличие ярлыка приводит к ошибке.
А- по умолчанию текущее значение ГСЧ1, появление операнда А устанавливает новую текущую позицию для ГСЧ1 (RN1),
В по умолчанию текущее значение ГСЧ2, появление операнда В устанавливает новую текущую позицию для ГСЧ2 и т.д.
Приведём несколько примеров использования ОУ RMULT :
1. RMULT 50000
2. RMULT ,125000
3. RMULT 25000,,100000
В первом примере устанавливается значение ГСЧ1 равное 50000, остальные остаются неизменными. Во втором примере начальные значения всех ГСЧ остаются неизменными, а новое текущее значение ГСЧ2 равняется 125000 . В третьем примере все ГСЧ сохраняют неизменное положение , кроме первого и третьего .
Положение занимаемое ОУ RMULT в МФ зависит от задач, стоящих перед исследователем. Если необходимо, c целью исключения корреляции, разнести потоки заявок от потоков обслуживания, то ОУ RMULT помещается в первом модуле описания, если нужно провести переназначение между прогонами, то ОУ RMULT помещается в модуле управления после ОУ START.
STORAGE (Запомнить )
Этот ОУ используется для определения ёмкости одной или нескольких памятей. Исполнение ОУ STORAGE (впрочем, как и всех рассмотренных ОУ) происходит только после успешного завершения процесса компиляции, при этом вводится в действие оговорённое число ресурсов ОУ STORAGE . ОУ STORAGE в силу своей специфики должен располагаться в модуле описания, до того как началось движение транзактов, так как после компиляции программа последовательно исполняет все ОУ, стоящие до первого ОУ START. Формат ОУ STORAGE может быть представлен двумя способами :
1. label STORAGE A ,
Label - не имеет значения по умолчанию, отсутствие ярлыка приводит к ошибке компиляции. Ярлык является идентификатором памяти, ёмкость которой определяется.
При этом формате можно определить только одну память.
А - не имеет значения по умолчанию, отсутствие приводит к ошибке компиляции. Операнд определяет ёмкость памяти, т.е. число моделируемых устройств обслуживания.
Необходимо иметь в виду, что в этом формате можно использовать одну единицу ёмкости в заданный момент времени.
Приведём примеры записи:
1. SAM STORAGE 10,
2. 3 STORAGE 5.
В первом примере памяти SAM определяется ёмкость 10 , во втором примере памяти за номером 3 определяется ёмкость 5.
Используя многоканальное обслуживание можно не определять ОУ STORAGE, в этом случае ёмкость по умолчанию практически равна бесконечности ( а именно , 2147483647 ).
При записи во втором формате :
2. STORAGE Sname1,A/Sname2, B/Sname3,C
можно определять несколько памятей сразу. Определитель памяти представляет пары обозначений, разделённых запятой, между собой пары отделяются слэшем. Вначале пишется символ памяти, а затем её имя первый член пары, после запятой пишется операнд А,В, , характеризующий ёмкость памяти- второй член пары.
Символ S может быть отделён от имени памяти символом $ или имя может быть включено в круглые скобки, памяти одинаковой ёмкости могут записываться через тире.
Приведём комбинированный пример записи ОУ STORAGE
STORAGE S1,10/S$CORE,5/S(SAM)-S(JOE),15
Комментарий : все виды записей воспринимаются программой одинаково и могут комбинироваться.
В примере памяти S1 приписывается ёмкость 10, памяти S с именем CORE приписывается ёмкость 5, а ряд памятей с именами S(SAM) S(JOE) имеют одинаковую ёмкость 15.
В случае если память имеет ёмкость равную единице, то она полностью аналогична устройству, осуществляющему одноканальное обслуживание. Отсюда следует, что в GPSS/H одноканальное обслуживание можно моделировать двумя способами.
Поэтому имеет смысл кратко рассмотреть разницу между этими двумя возможностями . Во первых, обслуживание в устройствах может быть прервано (PREEMPT ) транзактом с более высоким приоритетом, чего не допускается при обслуживании с памятями. Во вторых, у устройств поддерживается понятие готовности - не готовности ( рабочее состояние - состояние ожидания), для памятей их состояния имеют другой смысл , что будет рассмотрено ниже . В- третьих, при исполнении ОБ SEIZE программа записывает ИН Хакт и при исполнении ОБ RELEASE проверяет тот ли транзакт вышел из устройства обслуживания . При исполнении ОБ ENTER ИН Хакт не записывается . Предупреждение: в GPSS/H чётко разделены функции устройств и памятей и необходимо соблюдать внутренние правила программы .
Выше были высказаны замечания в адрес не очень чёткого определения STORAGE, необходимо помнить, что этот термин прежде всего относится к устройству, моделирующему группу идентичных серверов, а не определяет физическое расположение или объём. Следует обратить внимание на обязательность идентичности, как только серверы не идентичны их следует моделировать устройствами, а не памятями!
Для определения числа идентичных серверов используется термин ёмкость ( который, впрочем, также не удачен, кк и память, так как сразу возникает ассоциация с конкретным местом куда что-то можно положить и соответственно забрать). Для определения состояния памятей в GPSS/H используется несколько терминов:
- Память считается заполненной (Full), если каждая единица ресурса
( сервер ) занята в момент обращения к ней,
- Память считается пустой (Empty), если каждая единица ресурса свободна .
- Текущее содержание (Current Contents) памяти определяется числом единиц ресурса, занятых на текущий момент времени.
- Остающаяся ёмкость (Remaining Capacity) памяти, число единиц ресурса свободных на текущий момент. Так например, при заполненности памяти остающийся объём равен 0.
Следует иметь в виду, что все перечисленные термины имеют отношение только к GPSS/H.
TABLE ( составить таблицу )
Этот ОУ позволяет получить дополнительную, по сравнению со стандартным отчётом, статистическую информацию. Например, исследователя интересует текущее содержание памяти в различных репликах. Полученное значение математического ожидания, может использоваться для выбора числа серверов в проектируемой системе.
ОУ TABLE позволяет получить математическое ожидание (среднее значение), стандартное отклонение и относительные частоты попадания в заданный интервал. Формат ОУ TABLE имеет вид:
label TABLE A,B,C,D,[E] ,
label - не имеет значения по умолчанию, отсутствие ярлыка приводит к ошибке компиляции, определяет имя или номер таблицы,
А не имеет значения по умолчанию, определяет вид операций с таблицей. Существует 4 вида возможных таблиц, задаваемых операндом А:
1.Операнд А определяется выражением, на основе которого определяется статистика, помещаемая в таблицу. Эта статистика для совместимости с другими версиями должна представлять собой только простой СЧА и не должна быть представлена в матричных форматах типа MX,MH,MB,ML.
2. Операнд А определяется также как в случае 1, но впереди стоит знак минус. В этом случае таблица называется дифференциальной, т.е. берётся разница между текущим значением и предыдущим и результат помещается в таблицу, текущее значение сохраняется для последующих вычислений.
3. Операнд А имеет впереди символы IA (interarrival ), что обозначает определение промежутков между последовательными входами. При этом определяется разность между текущим значением абсолютного времени и значением абсолютного времени в предыдущий момент, результат помещается в таблицу, текущее значение времени сохраняется для последующих вычислений.
4. Операнд А имеет впереди символы RT (arrival rate), что обозначает определение доли приходов (относительной частоты) в какой то интервал. При этом варианте операндом Е оговаривается интервал времени являющийся шагом таблицы.
Этот вид используется для определения такой статистики как приход в течении часа . Счётчик приходов ОБ TABULATE при каждом исполнении ОУ TABLE увеличивается на единицу. После того как определена таблица, управление осуществляется с помощью контролёра транзактов , располагающегося в СБС, где к текущему значению абсолютного времени прибавляется значение времени, стоящее в операнде Е. При этом каждый раз производятся следующие действия: накопленное время записывается в таблицу, счётчик приходов обнуляется, контролируемый транзакт включается в СБС со временем равным текущему значению абсолютного времени плюс значение операнда Е.
В - не имеет значения по умолчанию, определяет собой верхнее значение первого ( нижнего ) интервала частот, в GPSS/H допускается использование числа с плавающей точкой. Первый интервал может простираться до минус бесконечности.
С не имеет значения по умолчанию, представляет собой ширину интервала и постоянен для всех интервалов кроме первого и последнего. Естественно, что ширина интервала должна быть больше нуля и может представляться числом с плавающей точкой. (Для лучшего восприятия таблицы следует использовать целочисленные значения).
D не имеет значения по умолчанию, определяет число частотных интервалов таблицы. Если первый символ операнда D буквенный - а именно W, то такая таблица является взвешенной . При этом ОБ TABULATE, используя свой операнд В создаёт взвешенные значения средних величин, стандартных отклонений, количества наблюдений.
При построении таблицы используются следующие правила :
- Если, записываемое в таблицу значение меньше или равно верхней границе первого интервала, оно записывается в этот первый интервал ,
- Если, записываемое в таблицу значение больше верхней границы предпоследнего интервала, оно записывается в последний интервал ,
- Все другие значения включаются в свои частотные интервалы, по принципу меньше или равно значению верхнего предела промежуточного интервала,
- Когда происходит запись наблюдаемого значения, показания счётчика частотного интервала увеличивается на единицу.
Рассмотрим примеры запPси ОУ TABLE :
Практические советы по работе с отладчиком
В любом случае при введении запрета появляется сообщение и управление передаётся пользователю
- Условия запрета SYSTEM проявляются каждый раз, когда транзакт, по какой либо причине больше не может двигаться по модели. Среди этих причин можно назвать:
- транзакту запрещён вход в ОБ,
- транзакт попадает в СБС,
- транзакт размещается в списке пользователя ( ОБ LINK),
- транзакт уничтожен ( ОБ TERMINATE , ASSEMBLE ).
Эта форма запрета используется как барьер при изучении движения транзакта, представляющего большой интерес для исследователя. Если вдруг транзакт неожиданно исчезает из поля зрения, то эти условия позволяют определить его судьбу и принять решение о других командах.
2. Условия запрета NEXT возникают всякий раз, когда симулятор вводит Хакт после сканирования СТС. При введения этого запрета Хакт располагается перед его следующим ОБ и появляется сообщение "XACT i POISED at BLOCK j ", где i и j могут быть номерами или именами.
Эти два условия в материале не используются.
3. Условие запрета CLOCK проявляется, когда абсолютное время достигает или превышает заданное время, при этом процесс ИМ останавливается в это время. Если абсолютное время превысило заданное значение, то его величина фиксируется для продолжения процесса ИМ после снятия запрета со значения превысившего заданное время.
4. Условия запрета XACT налагаются на определённый транзакт и всякий раз, когда Хакт с этим номером снимается после сканирования из СТС, появляется сообщение и управление передаётся пользователю. Условия запрета налагаются заранее, и по умолчанию роль отмеченного Хакт прослеживается за весь жизненный цикл.
5. Условия запрета SCAN реализуются каждый раз, когда симулятор готов начать сканирование СТС, при этом появляется сообщение "SCAN TRAP TAKEN (SYSTEM POISED TO BEGIN CEC SCAN)" - запрет по сканированию введён (система готова начать сканирование СТС) и управление передаётся пользователю.
Формат команды TRAP для всех видов запретов имеет вид:
TRAP Y [ Y ] , Y = ( SYSTEM , NEXT , CLOCK , ), например :
TRAP SYSTEM NEXT - наложены запреты SYSTEM и NEXT,
TR XACT=1 XACT=5- наложены запреты на Хакт ИН1 и ИН5,
T CLOCK 1000 - наложено ограничение по времени 1000 дискрет МВ,
t SCAN - наложен запрет на сканирование СТС.
Для снятий условий запрета используется только команда UNTRAP, которая должна предварять любые команды продолжения процесса ИМ, так если будет применена одна из команд RUN, CONTINUE, STEP, то процесс ИМ при отсутствии команды UNTRAP будет продолжаться только до одной из ближайших точек прерывания или запрета. Формат команды UNTRAP аналогичен формату команды TRAP и поэтому приведём лишь примеры использования команды :
UNTRAP SYSTEM NEXT - снятие запретов SYSTEM и NEXT
UNT XAC=1 XACT=5 - снятие запретов с Хакт ИН1 и ИН5.
Программа GPSS/H предусматривает два вида запретов: глобальные и локальные. Команда TRAP налагает только глобальные запреты, которые могут быть сняты только командой UNTRAP.
Локальные же запреты, налагаемые командой CONTINUE, приводимой ниже, действуют только на протяжении одной команды отладчика.
BREAK и UNBREAK
Условия прерывания также могут быть глобальными и локальными и применяться к любому количеству ОБ одновременно. Глобальные условия прерывания действуют до тех пор, пока они не будут специально сняты, локальные условия, устанавливаемые командой CONTINUE, действуют на протяжении одной команды.
Имена или номера ОБ, на которые наложены условия прерывания могут быть отображены на дисплее после команды d BRE . Когда Хакт достигает ОБ, к которому применены условия прерывания, появляется сообщение, содержащее ИН Хакт, ОБ, текущее значение времени, после чего управление передаётся пользователю. Формат команд одинаков и имеет вид :
B[REAK] имя блока
UNB[REAK] имя блока , например
BREAK 5 - прерывание на ОБ 5
B 5 LINE - прерывание на ОБ 5 и LINE
UNBREAK 5 - снятие прерывания с ОБ 5
UNB 5 LINE - снятие прерывания с ОБ 5 и LINE
АТ
Команда АТ обеспечивает в каждый момент времени возможность автоматизации отображения списка команд, относящихся к ОБ, в который пытается войти Хакт. Формат команды АТ имеет вид:
AT имя или номер ОБ
команда 1 командH n
END
:
Когда достигается точка прерывания на заданном ОБ, то при наличии команды АТ, список команд, ассоциирующихся с этой командой автоматически выполняется программой. Таким образом, команда АТ может быть использована, как для задания условий прерывания, так и для запуска процесса выполнения списка команд. Обратите внимание на следующее обстоятельство: как только в командной строке появится команда АТ, так сразу форма приглашения с ( : ) меняется на ( ), которая предваряет каждую команду списка, после исполнения команды end , форма приглашения в командной строке снова принимает привычный вид ( : ). Следует помнить, что выполнение любой команды из списка осуществляется после нажатия пользователем клавиши Enter . Приведём пример использования команды:
: at block6
d blo
r
end
:
Команды, находящиеся в списке для лучшей читаемости специально сдвинуты вправо. В параграфе 6.7.2, будет рассмотрен пример сессии отладчика, где будут использованы многие из приведенных команд.
RUN, CONTINUE, STEP
Все вышеназванные команды используются для запуска или реализации процесса ИМ. Кроме того, эти команды могут использоваться для достижения точек запрета или прерывания.
1. В нормальных условиях (при отсутствии специальных условий) команда RUN обеспечивает проведение процесса ИМ в пакетном режиме с нормальной скоростью моделирования, что, естественно, исключает возможность диалога. При наличии условий запрета или прерывания, команда RUN сразу доводит процесс ИМ до первой специальной точки. Формат команды имеет вид :
R[UN] Y Y= (block ,SCAN,XACT, ) , например:
RUN - отсутствие специальных точек , процесс ИМ идёт до конца,
RUN SAM 17 - движение до глобальных прерываний в ОБ SAM и 17,
R CLOCK 400 запрет процесса ИМ после 400 дискрет МВ,
R XACT=5 3 - запрет на Хакт с ИН5, прерывание на Хакт с ИН3.
2. Команда CONTINUE аналогична команде RUN, т.е. доводит процесс ИМ до конца (при отсутствии специальных условий), а кроме того с её помощью можно установить локальные условия прерывания и локальные условия запрета только для запретов типа NEXT и SYSTEM. Локальность запрета, заключается в том, что его действие распространяется только на период исполнения команды CONTINUE, появление первой глобальной специальной точки прерывает исполнение команды, а, следовательно, отменяет локальные условия.
Формат этой команды имеет такой же вид, как у команды RUN. Приведём примеры:
CONTINUE - отсутствие ограничений, процесс ИМ идёт до конца
CONTINUE SAM 17 - локальные прерывания на ОБ SAM и 17
C NEXT - локальный запрет на типа NEXT
c 12 SYSTEM - прерывание на ОБ 12 и запрет типа SYSTEM
3. Команда STEP используется в, так называемом тактовом или пошаговом режиме, служит для продвижения процесса либо на один такт, что равносильно исполнению одного ОБ или нажатию функциональной клавиши F10, либо на то число тактов, которое задаётся после обязательного пробела за именем команды. Формат команды имеет вид:
S[TEP] n , по умолчанию число тактов равно 1, например:
STEP 5 исполнение 5-ти ОБ,
S - исполнение одного ОБ,
s 2 - исполнение двух ОБ.
Команда Step не налагает ограничений на отдельные транзакты, поэтому необходимо использовать ограничения типа NEXT или SYSTEM . Переход в пошаговый режим исключает возможность использования команды CONTINUE, которая применима только в нормальном режиме.
STOP, SET
1. Команда STOP используется для прерывания сеанса диалога, если в момент прерывания подготавливается итоговый отчёт, то об этом появляется сообщение и необходимо ещё раз написать ту же команду, тогда процесс останавливается . Формат команды имеет простой вид:
STO[P] , пример применения очевиден.
- Команда SET используется для установления предела времени исполнения программы. Когда процесс ИМ достигает предела МВ, заданного либо извне, либо с помощью операнда А ОБ SIMULATE, появляется сообщение, процесс останавливается и управление передаётся пользователю. Формат этой команды имеет вид:
SET TIME [ =] n [ S,M] , например :
SET TIME=1.5M установить предел МВ равный 1.5 минутам
SE TIME 90S - то же самое в секундах
se TIME 20 - появляется сообщение " Minutes assumed" .
Практические советы по работе с отладчиком
Прежде чем начинать работу в режиме отладки для практических целей, а не для тренировки навыков, необходимо чётко представлять специфику работы моделируемой системы. Особенно важно при разработке новой системы уяснить для себя проблемные части будущей системы, поведение которых не до конца очевидны исследователю. Именно для целей практического применения диалогового режима можно дать несколько практических советов:
- Заранее определите количество и расположение критических точек модели.
- Установите режим прерывания в этих точках (break b) и непременно пользуйтесь на каждом шаге процедурой отображения (display d). В непосредственной близости от точки прерывания используйте шаговый режим (step s), чтобы не пропустить каких либо особенностей поведения мVдели. Удаляйте точки прерывания сразу после того, как задача исследования достигнута. Подобное поведение позволяет выявить возможные ошибки и верифицировать логику модели.
- Избегайте длительных диалоговых режимов, чтобы не утомляться и не наделать новых ошибок при длительной отладке. Выйдя из режима диалога, проанализируйте все ваши действия в процессе отладки и продумайте новые изменения, если они необходимы.
- Помните, что выявленная ошибка порой даёт гораздо больше информации, позволяющей исключать подобные ошибки в дальнейшем. Появление второй аналогичной ошибки свидетельствует о том, что либо ваши усилия были не эффективны, либо заданы неверные начальные условия или режимы использования.
- Для выявления влияния поведения транзактов на возможные ошибки, используйте условия запрета (trap- t) , чтобы уточнить логику МФ.
- В случае невозможности определить причины ошибки, попробуйте применять стрессовые методы, например, увеличить размер шага, чтобы локализовать место происхождения ошибки. Порой помогает изменение стратегии контроля, но всё это приходит при накоплении опыта.
Примеры применения ЯИМ GPSS/H
В данном параграфе будут представлены два примера. Первый, моделирование процесса выходного контроля качества телевизионного производства, с использованием большого числа, описанных выше операторов.
Пример имеет логическую структуру, которой следует придерживаться при выполнении курсового проекта!
Второй пример иллюстрирует использование отладчика, в отчете данные об использовании отладчика следует приводить только в том случае, когда это оговорено в полученном задании.
Пример использования ЯИМ
Пример 3.1 моделирования системы контроля качества
- Постановка задачи.
Собранные телевизоры проходят через группу контрольных постов выходного контроля. Если телевизор не проходит выходной контроль , то он отправляется на участок подрегулировки , и после успешного завершения этой операции возвращается в очередь телевизоров , ждущих выходного контроля.
Прошедшие выходной контроль телевизоры поступают на склад готовой продукции. Эта схема представлена на рис. 6.6 . Телевизоры поступают на выходной контроль каждые 5.5
2 минуты , на котором находится два контрольных поста, время проверки 103 минуты . С вероятностью 12 % телевизоры не проходят выходной контроль и отправляются на подрегулировку. Время подрегулировки 3010 минут. Как перед постами выходного контроля , так и перед регулировщиком могут скапливаться телевизоры , необходимо определить число потребных стеллажей для хранения поступающих телевизоров. Процесс моделирования прекращается после проверки 100 телевизоров.
В качестве дополнительного условия рассмотрим возможность получения результатов нескольких последовательных реплик в одном цикле ИМ, что достигается размещением в модуле управления петли управления DO- ENDDO, включающей ОУ CLEAR.
2.Допущения, сделанные в модели.
После прохождения выходного контроля телевизоры разделяются на два потока, 88% годных отправляются на склад готовой продукции, 12 % дефектных на подрегулировку. Для исследования вопроса о числе стеллажей контроля создаются две очереди, одна перед постами выходного контроля, вторая на линии регулировки.
Для возвращения отрегулированных телевизоров, в общий поток проверяемых, используется ОБ TRANSFER безусловного вида. Для получения динамики производственного процесса, совместим 5 последовательных прогонов (реплик) в одном цикле ИМ, путём введения петли управления.
Эпюра движения транзактов представлена на рис.3.8 Рис.3.8 Эпюра движения транзактов.
- Таблица обозначений
Обозначения примера 3.1 сведены в таблице 3.6
Таблица 3.6 Временная дискрета: 1 минута.
| Объекты GPSS/H |
Объекты системы |
Транзакты
Фрагмент 1
Фрагмент 2 |
Готовые телевизоры
Телевизоры после подрегулировки |
Устройства
ADJUSTER |
Регулировщик |
Очереди
ADJUSTQ
LASTTEST |
Очередь на подрегулировку
Общая очередь на контроль |
Памяти
TESTERS |
Два контролёра |
4.Модельный файл * Модуль описания
SIMULATE Пример 3.1 . Модель контроля качества
* Временная дискрета : 1 минута
TESTERS STORAGE 2 контролёры выходного контроля
INTEGER ^I индекс петли управления
* Модуль исполнения
* Фрагмент 1 общий выходной контроль
GENERATE 5.5,2 поступление готовых телевизоров,один за другим
RETEST QUEUE LASTTEST организация очереди контроля
ENTER TESTERS запрос контролёра
DEPART LASTTEST выход из очереди контроля
ADVANCE 10,3 время контроля
LEAVE TESTERS освобождение контролёра
TRANSFER .120,,ADJUSTIT 12% на подрегулировку
TERMINATE 1 оставшиеся 88% на упаковку
* Фрагмент 2 осуществление подрегулировки
ADJUSTIT QUEUE ADJUSTQ организация очереди подрегулировки
SEIZE ADJUSTER запрос регулировщика
DEPART ADJUSTQ выход из очереди подрегулировки
ADVANCE 30,10 время подрегулировки
RELEASE ADJUSTER освобождение регулировщика
TRANSFER ,RETEST возврат на общий контроль
* Модуль управления
START 100 СС=100, проведение первой реплики
DO ^I=1,5,1 петля управления для 5 прогонов
START 1 старт первой реплики
CLEAR очистка для следующего прогона
ENDDO окончание петли управления
END окончание процесса ИМ
5.Итоговый отчёт
Отчёт имеет стандартный вид, но в связи с тем, что в рамках одного процесса ИМ проводилось 5 прогонов, для каждого из них даётся свой вариант отчёта в рамках одного листинга. Основные результаты сведены в таблицу 3.7 , которая в столбцах содержит информацию по 5 проведенным прогонам. Для точного сбора информации проведите ИМ в пакетном режиме и оцените полученные результаты по файлу с вашим именем, имеющим расширение .lies .
Таблица 3.7 Перечень основных данных 5-ти реплик примера 3.1
| Объекты |
Данные по пяти прогонам |
| |
Прогон 1 |
Прогон 2 |
Прогон 3 |
Прогон 4 |
Прогон 5 |
| Время |
586.13 |
607.43 |
588.46 |
549.62 |
590.64 |
Устройство
Использование
Число входов
Среднее время |
0.706
14
29.56 |
0.659
13
30.79 |
0.738
15
28.92 |
0.206
5
28.22 |
0.627
13
28.23 |
Память
Использование
Число входов
Среднее число |
0.978
115
9.95 |
0.965
117
10.02 |
0.978
116
9.96 |
0.952
106
9.87 |
0.965
114
10.01 |
Очереди
LASTTEST
Максимум
Среднее
Число входов
Нульвходы
ADJUSTQ
Максимум
Среднее
Число входов нульвходы |
6
2.24
120
10
3
0.603
14
5 |
6
1.335
123
14
4
1.28
16
5 |
6
2.676
120
8
3
0.587
15
5 |
3
0.644
107
24
1
0.033
5
4 |
4
1.388
117
13
2
0.421
13
4 |
Выводы и обсуждение
На основании примера 3.1 можно сделать несколько важных выводов:
А. Для проведения нескольких реплик в пакетном режиме необходимо внести изменения только в модуль управления. Комбинация ОУ DO ENDDO позволяет проводить столько независимых прогонов, сколько раз это задано ОО INTEGER с помощью целочисленного АМП.
При этом обнуляются все данные предыдущего прогона за исключением положения ГСЧ и ИН транзактов. Если обратиться к таблице 3.7 , то имеющийся разброс данных как раз и говорит о независимости реплик.
Б. Если при использовании ОБ TRANSFER в статистической форме, пересылка по пути с большей вероятностью осуществляется к следующему последовательному ОБ (ОБ TERMINATE ) , то операнд В у ОУ может отсутствовать, а ОБ, к которому идёт пересылка при этом не имеет ярлыка , что видно из МФ.
В. Показанная разбивка МФ на фрагменты не является обязательной, зависит только от предпочтений пользователя и может иметь и любой другой вид, при условии сохранения правил записи МФ. Более того сам порядок расположения фрагментов также не является обязательным, так Фрагмент 2 может предварять Фрагмент 1, не влияя на результаты ИМ ( проверьте это на практике, изменив порядок следования фрагментов ).
Г. Отвечая на вопрос примера относительно мест на стеллажах, очевидно, что при максимальном числе членов очереди для общей очереди необходимо 6 мест, а для подрегулировки достаточно 3. Однако если оценивать среднее содержание, то необходимо гораздо меньше мест. Поэтому этот вопрос должен решаться с учётом условий производства и является компетенцией менеджера, а результаты ИМ служат основанием для принятия решения.
Пример использования команд отладчика
Пример 3.2 Обработка деталей в механическом цеху
1. Постановка задачи . Заготовки в темпе 4-1 минуты поступают со склада на конвейерную линию, по которой они в течении 2 минут транспортируются до токарного станка, время обработки на станке составляет 3.75- 1 минута, после чего обработанные детали выходят из системы, поступая на промежуточный склад.
2. Допущения, сделанные в модели. Будем считать, что заготовки не ждут погрузки на конвейер. Система представляет собой одноканальную линию обслуживания.
Задача решается для обработки 100 заготовок.
3. Определения. Транзактами в этой модели являются заготовки, а устройством является токарный станок.
4. Модельный файл
* Модуль описания
SIMULATE модель токарного цеха
* Модуль исполнения
GENERATE 4,1 поступление деталей
ADVANCE 2 транспортировка по конвейеру
SEIZE SERVER занятие станка
ADVANCE 3.75,1 обработка детали
RELEASE SERVER освобождение станка
TERMINATE 1 уменьшение СС на единицу
* Модуль управления
START 100 обработка 100 деталей
END окончание процесса ИМ
А.Сеанс 1 . Произведём запуск отладчика командой
gpssh ex3-2.gps tv ,
после появления 3-х оконного отладчика в командной строке пишем
step 1, s или нажимаем функциональную клавишу F10.
Установим глобальное прерывание на ОБ 4 ( в примере этим ОБ является ОБ ADVANCE )
BREAK 4 или b 4,
для продолжения процесса ИМ используем одну из команд, печатаем в командной строке
RUN или r, либо аналогичную команду CONTINUE или c .
Моделирование продолжается до прихода Хакт в ОБ 4, после этого экран 3-х оконного отладчика приобретает вид , представленный на рис. 3.9 GPSS/H SOURCE-MODE INTERACTIVE DEBUGGER =====
BLOCK CURRENT TOTAL SOURCE FOR MODEL EX3-2.GPS
2 1 ADVANCE 2 транспортирование заготовки
3 1 SEIZE SERVER занятие сервера
4 0 ADVANCE 3.75,1 обслуживание на сервере
5 0 RELEASE SERVER освобождение сервера
6 0 TERMINATE 1 уменьшение СС на единицу
-==================================================
¦S/C: ON ABS CLOCK: 5.5406 REL CLOCK: 5.5406 TTG: 100
¦==================================================
¦XACT: 1 CURBLK: 3 NEXTBLK: 4 CHAINS: CEC PC:
¦MARK-TIME: 3.5406 MOVE-TIME: 5.5406 PRIORITY: 0
L==================================================
Ready!
: s 1
XACT 1 POISED AT BLOCK 2. RELATIVE CLOCK: 3.5406
: b 4
: r
XACT 1 HAS REACHED BREAKPOINT AT BLOCK 4. RELATIVE CLOCK: 5.5406
:
Рис. 3.9 Вид окна отладчика после исполнения первых команд В окне состояния видно, что Хакт1 достиг точки прерывания в ОБ 4 и располагается перед входом в ОБ, т.е. его текущим ОБ является SEIZE . Продолжим процесс ИМ, напечатав "c", в диалоговом окне появляется сообщение:
"XACT 2 HAS REACHED BREAKPOINT AT BLOCK 4" Хакт 2 достиг точки прерывания в ОБ 4.
Что за этот отрезок времени произошло с Хакт 1 , для выяснения напечатаем:
"d XACT=1" ,
после чего следует сообщение: "XACT 1 no longer exist" Хакт 1 больше не существует. Отсюда следует, что Хакт 1 уже терминирован.
Установим новую глобальную точку прерывания на ОБ 3 SEIZE командой "r 3", нажатием Enter процесс ИМ продвигается до одной из точек прерывания. Для того, чтобы выяснить какие заданы точки прерывания печатаем в командной строке "d BRE", что позволяет отобразить заданные точки прерывания.
Установим теперь локальную точку прерывания на ОБ 6 TERMINATE, для этого напечатаем "c 6", с помощью этой команды одновременно задаются локальные ограничения и запускается процесс ИМ. Процесс ИМ прерывается при достижении Хакт любого из ОБ с номерами 3,4,6 . Отобразим ОБ с наложенными ограничениями командой "d BRE".
Все команды проводите в сеансе работы с отладчиком, наблюдая за изменениями на экране. Отметьте , что в появившемся списке есть только ОБ 3 и 4 , ОБ 6 не включён, так как точка прерывания исполняется только при окончании действия команды "c 6".
Удалим действие прерывания на ОБ 3 командой " unb 3" и для проверки исполнения вызовем список ограничений командой "d bre" , в списке окажется только ограничение на ОБ 4, удалим также прерывание с ОБ 4 командой "unb 4".
Предположим, что мы хотим получать информацию об использовании устройства каждый раз, когда Хакт оканчивает процесс обслуживания, для этого введём точку прерывания на ОБ 5 RELEASE командой "r 5". Процесс ИМ останавливается в этом месте, получаем информацию об использовании устройства напечатав "d FAC(SERVER)" и запустив процесс ИМ командой "c", т.е. написав две последовательные команды.
Существует более компактный способ осуществить предыдущие операции:
Вначале снимем ограничение на ОБ 5 командой "unb 5" и установим глобальное ограничение на ОБ 5 командой "AT 5", после чего появится приглашение вида ( ), затем вводим команду "d FAC(SERVER)" и, дождавшись нового приглашения () либо печатаем команду "end", либо нажимаем клавишу Enter , после чего появляется обычное приглашение (:). После осуществления этих операций, программа каждый раз по достижении Хакт ОБ 5 будет в окне диалога выдавать информацию об использовании устройства.
Напечатав команду "c" окончим процесс ИМ, выходим из диалогового режима одним из возможных способов, в частности, наиболее часто применяемым путём подачи команды быстрого выхода "QQ или qq".
Проведите сеанс отладчика несколько раз, вводя свои точки прерывания, для того чтобы убедиться в эффективности отладчика и приобрести практические навыки.
Б. Сеанс 2. В целях приобретения дальнейших навыков в работе с отладчиком, ответим с его помощью на некоторые вопросы по примеру 3.2.
1. Чему равняется коэффициент использования устройства, оцениваемый по каждой заготовке из первой партии равной 10 заготовкам, в какой момент пройдёт 10-я заготовка?
2. Какова загрузка устройства в момент 100 дискрет МВ?
3. Когда 34-я заготовка покинет склад и когда она попадёт на устройство?
4. Когда 35-я заготовка попадёт в цех и остаётся ли в это время 34-я заготовка в модели?
5. Когда 50-я заготовка покинет устройство?
Очевидно, что можно задать любые вопросы, касающиеся моментов процесса ИМ, но и вышеприведенные должны продемонстрировать мощность и эффективность работы отладчика. Исходя из желания подвигнуть читателя на использование компьютера при отработке диалогового режима, видов окон отладчика больше отображаться не будет, а наиболее интересная информация, появляющаяся в диалоговом окне будет приводиться в тексте.
1. Запускаем сеанс отладчика, для ответа на первый вопрос введём прерывание на ОБ 6 TERMINATE командой "b 6" и запускаем процесс ИМ командой "c". Для получения информации об использовании устройства запишем команду
"d FAC(SERVER)". Точка прерывания сработала в 9.7701 дискрет МВ, коэффициент использования устройства равен 0.433.
Для запуска процесса ИМ вводим команду "c" при этом помним, что условия прерывания не сняты. При достижении точки прерывания следующим Хакт, снова получаем информацию об использовании устройства командой " d FAC(SERVER) " . Такие операции надо произвести ещё 8 раз. Очевидно, что это экономичней осуществить с помощью последовательности команд :
"AT d FAC(SERVER - end " и последующей команды "c" . Каждый раз при достижении ОБ 6 будет выдаваться информация о коэффициенте использования устройства. Данные о десяти проходах Хакт через точку прерывания приведены в таблице 3.8
Таблица 3.8 Коэффициент использования устройства
| Хаст |
1 |
2 |
3 |
4 |
5 |
6 |
7 |
8 |
9 |
10 |
| Ки |
0.433 |
0.566 |
0.655 |
0.696 |
0.720 |
0.746 |
0.778 |
0.793 |
0.812 |
0.829 |
Возрастание коэффициента использования объясняется тем, что первоначально предполагалось, что устройство свободно и заготовок в системе нет. Это переходное состояние, через какое то число заготовок перейдёт в установившееся состояние. Десятая заготовка выйдет из системы в 45.802 дискрет МВ.
Снимем прерывание командой "unb 6".
2. Для ответа на второй вопрос используем условия запрета. Введём команду
" t CLO=100 ", а затем команду "c", с помощью которой достигаем значения времени 100.5762 , коэффициент использования устройства в этот момент равен 0.922 .
3. Ответить на третий вопрос можно двумя путями : первый узнать, когда Хаст с ИН 34 появится на конвейере и для этого ввести точку прерывания на ОБ 2 и дождаться появление транзакта, второй более эффективный, наложить запрет на появление Хакт с ИН 34 командой " t XACT=34" после чего появляется сообщение
" XACT 34 HAS NOT YET BEEN CREATED " Хакт 34 пока ещё не определён . Введя одну из команд "c или s или нажав клавишу F10 " , запускаем процесс ИМ и узнаём время появления 34-ой заготовки на конвейере равное 133.7422 дискреты МВ. К устройству 34-я заготовка подъедет в 135.7422 (133.7422 + 2) дискрет МВ.
Обратите внимание, что простота рассматриваемого МФ, в частности, непосредственное поступление заготовки со склада на конвейер, позволяет получить одинаковые значения времени, как для непрерывного, так и для шагового режима. В более сложных случаях влияние этих команд будет различным !
4.Для ответа на четвёртый вопрос, необходимо отменить прежнее условие запрета командой " unt 34 " и наложить новый запрет командой " t 35 " и запустить процесс командой "c ". Исполнение остановится, когда Хакт 35 окажется перед входом в ОБ 1, это произойдёт в момент 137.1532 дискрет МВ. Для того чтобы узнать остался ли при этом Хакт 34 в модели, введём команду "d XACT=34 " в сообщении диалогового окна говорится, что Хакт 34 ещё находится в модели, так как ему запрещён вход в ОБ 3 , так как Хакт ожидает обслуживания .
5. Для ответа на пятый вопрос надо отменить предыдущий запрет командой
" unt XACT=35" и ввести запрет Хакт с ИН 50 командой " t XACT=50" и запустить процесс ИМ командой " c" . Процесс остановится, когда Хакт с ИН 50 окажется на входе в модель, так как в модели его ещё нет, то появится сообщение " REQUEST QUEUED " - запрашиваемый находится в очереди. Введя команду отмены запрета "unt XACT=50", получаем возможность оценить время, когда Хакт 50 покинет модель, для этого вводим команду прерывания на ОБ 6 TERMINATE " b 6 " и команду запуска ИМ "c", получим, что время выхода из модели равно 202.8926 дискрет МВ.
Таким образом, мы получили ответ на все поставленные вопросы и можно прерывать диалог командой "qq" и выходить в командную оболочку. Учитывая , что многие сейчас используют на своих компьютерах ОС Windows 2000 или XP можно все действия с программой проводить в рамках Windows Commander .
ЛИТЕРАТУРА
1. Варжапетян А.Г. , Глущенко В.В. Системы управления. Исследование и компьютерное проектирование. М. Вузовская книга, 2000 , 320с.
2. Варжапетян А.Г. Моделирование на GPSS/H.
СПб Политехника 2004, 390 с. 3.Т. Дж. Шрайбер. Моделирование на GPSS.
М.: Машиностроение, 1988. 595 с.
4. Thomas J. Schriber An Introduction to Simulation Using GPSS/H. John Willey Sons, NY, 1991, 437.
5. Getting started with GPSS/H. Руководство по применению системы GPSS/H.
Wolverine Software Corporation, 1998.
Правило окончания по числу стартов
Рассмотрим оба условия.
Правило окончания по числу стартов.
В данном случае основанием для окончания ИМ является число, задаваемое операндом А ОУ START, сразу после успешной компиляции и начала моделирования это число вносится в счётчик завершений. Проход первого транзакта через ОБ TERMINATE (уничтожение транзакта) приводит к вычитанию значения операнда А ОБ TERMINATE из показаний СЗ, каждый следующий проход транзакта через свой ОБ TERMINATE уменьшает показания СЗ на число, определяемое операндом А (напомним, что ОБ может быть много, но СЗ в МФ один !). Значение операнда А по умолчанию равно 0, т.е. проход Хакт через такой ОБ TERMINATE не изменяет показаний СЗ.
В других случаях значение операнда А может быть любым целым положительным числом. На основании сказанного можно предложить выражение , позволяющее понять логику работы СЗ:
A(START) -
0 , 3.1
которое читается следующим образом для выполнения условия прекращения ИМ по числу стартов, необходимо из числа, первоначально заданного в СЗ операндом А ОБ START, вычитать накапливаемую сумму терминирований, задаваемых операндами разных ОБ TERMINATE (если их несколько в МФ) до выполнения условия, что разность станет равной нулю или примет отрицательное значение.
Рассмотрим несколько простых примеров, решаемых устно, но при желании их можно промоделировать в режиме контроля с помощью отладчика (описание см.3.6).
Примеры.
А)SIMULATE Б) SIMULATE В) SIMULATE
GENERATE 50 GENERATE 50 GENERATE 50
TERMINATE 1 TERMINATE 2 TERMINATE 5
START 3 START 3 START 3
END END END
Г) SIMULATE Д) SIMULATE
GENERATE 50 GENERATE 50
TERMINATE 1 TERMINATE 1
GENERATE 100 GENERATE 75
TERMINATE 0 TERMINATE 1
START 3 START 3
END END
В каждом из этих примеров необходимо ответить на вопрос, - В какой момент времени окончится процесс ИМ? Рассмотрим эти примеры последовательно. Для начала представим себе временную ось, начинающуюся всегда в момент времени 0.0. Временная дискрета выбирается исследователем, предположим, что цифра 50 в ОБ GENERATE соответствует 50 минутам (секундам, часам и т.д.).
На рис. 3.4 представлена эта временная ось.
Используем рисунок для решения примера А. Поскольку задано детерминированное значение операнда А ОБ GENERATE, то транзакты будут поступать каждые 50 временных дискрет, а именно 50,100,150 и т. д. Первый транзакт придёт в момент 50, сразу пройдёт через ОБ TERMINATE, операнд А которого равен единице. В СЗ записано
СЗ=3 СЗ=2 СЗ=1 СЗ=0
0.0 50 100 150
Рис.3.4 Решение примера А)
число 3 из которого вычитается 1, 3-1 =2 . Приход следующего транзакта через 50 единиц, но в 100 единиц абсолютного времени, уменьшит показания ещё на единицу и т. д. Окончательное решение, что ИМ окончится в 150 временных дискрет очевидно из рисунка 3.4. В примере Б) ИМ окончатся в 100 временных дискрет, так как вычитается число 2; в примере В) ИМ окончится в 50 временных дискрет, так как следуя выражению 3.1) из числа 3 (число стартов) вычитается число 5 (значение операнда А ОБ TERMINATE ) и сразу получается отрицательный результат. В примере Г) появление второго ОБ GENERATE ни на что не влияет, так как во втором ОБ TERMINATE операнд А равен 0 (это значение можно было бы и не писать, так как оно задано по умолчанию, но наличие его более наглядно, ошибки при этом не возникает) и время окончания ИМ равно 150 временным дискретам.
Значительно более интересен пример Д) и его поясним с помощью рис.3.5. Поскольку в МФ появилось два самостоятельных ОБ GENERATE необходимо рисовать временные оси для движения транзактов из каждого источника, а временные засечки отдельных ОБ GENERATE сносить на ось абсолютного времени АС1.
СЗ=2 СЗ=0
ОБ1
50 100
ОБ2 СЗ=1
50 75 100
AC1
100
Рис.3.5 Решение задачи Д)
В момент времени 50 появляется транзакт с ОБ1 и отмечается также на оси абсолютного времени АС1, показания СЗ уменьшаются на единицу, приход первого транзакта с ОБ2 во временную дискрету 75, уменьшает СЗ до 1, приход второго транзакта с ОБ1 в 100 единиц времени и его терминирование останавливает процесс ИМ в момент времени 100.
3.5.2 Правило окончания по времени испытаний
Довольно часто в процессе ИМ требуется определить не средние значения атрибутов объектов, а значения зависящие от времени: производительность, динамику процесса, суммарные затраты за какой то период времени и т.д. В этом случае в качестве контрольной точки берётся не число стартов, а период времени (рабочая смена, сутки, месяц и т.д.).
Основным условием при этом является приведение всех рассматриваемых при моделировании интервалов времени к одному масштабу, например, если предельное время задано в сутках, а темп прихода транзактов в минутах, то правильнее все интервалы времени исчислять в минутах. Для реализации правила окончания ИМ по времени программа должна проделать следующие действия :
1. Принять предельный интервал абсолютного времени АС1 - Ту за условную единицу отсчёта (машинная единица).
2. Суммировать времена движения транзактов
.
3. Проверять условие АС1 -
0. 3.2
Проиллюстрируем условие 3.2) на рис.3.6. Первый уничтоженный транзакт отмечает своё время на оси АС1, второй приплюсовывает время своего движения к точке Т1, третий к точке Т2 и т. д., до тех пор, пока последний у ый интервал текущего времени транзакта не сравняется или
АС1пр
0.0 Т1 Т2 Ty-1 АС1 Ty
Рис.3.6 Иллюстрация правила окончания ИМ по времени
не превысит значение АС1пр. На рисунке это значение Ту больше предельного значения.
4. Выполнение условия 3.2 приводит к появлению машинной единицы (см. п.1), которая сравнивается со значением операнда А =1 ОБ START, результат обнуляется, что приводит к выдаче сигнала о прекращении процесса ИМ.
Указанные действия программы реализуются следующим образом:
-Обязательно вводится дополнительный парный программный модуль:
GENERATE AC1пр.
TERMINATE 1 ,
называемый таймером, который учитывает накапливаемое время движения транзактов. Значение операнда А ОБ GENERATE равняется заданному предельному интервалу АС1пр., других операндов нет.
- В обязательном порядке обнуляются значения операндов А всех ОБ TERMINATE модуля исполнения МФ.
- Значение операнда А ОУ START в модуле управления устанавливается равным 1.
Рассмотрим этот простой алгоритм на примере Д), который модифицируем для окончания по времени работы в течение 5 ч. или 300 минут.
Д) SIMULATE Е) SIMULATE
GENERATE 50 GENERATE 50
TERMINATE 1 TERMINATE 0
GENERATE 75 GENERATE 75
TERMINATE 1 TERMINATE 0
START 3 GENERATE 300
END TERMINATE 1
START 1
END
Рассмотрим некоторые особенности примера Е).
Транзакты в МФ не терминируются, а лишь отмечают факт своего прохода отметкой на оси АС1 (запомним это важное обстоятельство на будущее), таймер срабатывает при выполнении условия 3.2. Показания операндов А ОБ TERMINATE и ОУ START вычитаются, обнуляются, что служит командой для прекращения процесса ИМ.
Для обратного перехода к управлению с помощью числа стартов необходимо:
- Удалить из модуля управления МФ таймер.
- Записать в поле операнда А ОУ START желаемое число стартов.
- Записать в поля операндов А ОБ TERMINATE желаемые значения.
В примере Е) мы впервые сталкиваемся с весьма важным обстоятельством, когда 2 транзакта из разных ГСЧ приходят в одно и тоже время, такие моменты в нашем примере наступают в 150 и 300 временных дискрет, в эти моменты транзакты становятся связанными по времени. Возникает вопрос, как они проходят по МФ?
Нельзя забывать, что транзакты двигаются один за другим по одному в единицу времени. Для решения этой проблемы в GPSS/H предусмотрены чёткие правила:
- Транзакты одинакового приоритета записываются в списке текущих событий - СТС в порядке возрастания их ИН. Следовательно проблема решается просто: вначале исполняется транзакт с меньшим ИН, а затем с большим ИН, но имеющим одно и тоже время.
При этом засечка на оси АС1 будет одинаковой.
- При разных приоритетах, если транзакты связаны по времени первым движется транзакт, имеющий больший приоритет.
Редактирование и отладка с помощью дебагера
Как уже было отмечено выше, одним из преимуществ GPSS/H является наличие отладчика программ моделирования (дебагера), который позволяет пользователю эффективно работать с программой в диалоговом режиме, осуществляя не только тестовую проверку, но и позволяя вводить необходимые изменения. Работа в пакетном режиме, позволяет оценивать результаты моделирования лишь по окончанию процесса ИМ. Поэтому констатация наличия ошибок в итоговом отчёте мало, что даёт исследователю, удлиняя и удорожая процесс исследования. В связи с этим интерактивный режим оказывается весьма полезным, так как он позволяет не только получать промежуточную информацию о той части МФ, которая вызывает наибольшие сомнения, но и вносить конструктивные изменения.
В пакетном режиме очень трудно до начала ИМ выделить ту часть итогового отчёта, которая бы представила наибольший интерес, а также оценить заранее характер и возможность возникновения ошибок. Тестовый режим в большинстве случаев снимает ограничения, присущие пакетному режиму.
Техника и технология использования возможностей отладчика будет рассмотрена ниже.
Запуск отладчика
Запуск отладчика (тестовый режим, дебагер) осуществляется записью (после появления приглашения в командной строке используемой оболочки или DOS) следующего вида:
gpssh filename tv ,
где filename - имя МФ с расширением .gps, а -tv (test vision), является командой запуска тестового режима. Вызов отладчика возможен только в случае успешной компиляции вашего МФ, не пугайтесь, если отладчик не вызывается, вернитесь к вашему МФ и по F4, основываясь на данных об ошибках, содержащихся в листинге отчёта ( имя вашего файла с расширением .lis ), внесите все необходимые коррективы в основной файл с расширением .gps и лишь затем повторите попытку вызова отладчика.
После исполнения команды вызова отладчика на экране дисплея появляется трёхоконный отладчик , который представлен на рис.3.7 А и В . Вариант А наблюдается на экране дисплея сразу после вызова отладчика. В качестве иллюстрации рассмотрен простейший пример поступления деталей со склада, их перемещения по ленте транспортёра, обработки на станке и ухода из системы.
Процесс ИМ длится до получения данных о 100 обработанных деталях (см. 3.7, пример 3.1).
А. После вызова отладчика
ВLOCK CURRENT TOTAL SOURCE FOR MODEL xx.GPS ==================================================
¦S/C: OFF ABS CLOCK: 0. REL CLOCK: 0. TTG: 0
===================================================
¦XACT: CURBLK: NEXTBLK: CHAINS: PC: ¦
¦ ¦
¦MARK-TIME: MOVE-TIME: PRIORITY: ¦
L===================================================
Ready!
:
В.После инициализации отладчика
BLOCK CURRENT TOTAL SOURCE FOR MODEL xx.GPS
1 1 GENERATE 4,1 поступление заготовок
2 0 ADVANCE 2 транспортирование
3 0 SEIZE SERVER занятие сервера
4 0 ADVANCE 3.75,1 обслуживание на сервере
===================================================¬
¦S/C: OFF ABS CLOCK: 3.5406 REL CLOCK:3.5406 TTG:100 ========================================================
ХACT: 1 CURBLK: 1 NEXTBLK: 2 CHAINS: CEC PC: ¦ MARK-TIME: 3.5406 MOVE-TIME: 3.5406 PRIORITY: 0 ========================================================
Ready!
: s
XACT 1 POISED AT BLOCK 2. RELATIVE CLOCK: 3.5406
:
Рис.3.7 Вид трёхоконного отладчика, А - в начальный момент вызова ; В - после инициализации отладчика ( первый шаг).
На рис.3.7 представлены оба варианта окон отладчикH, вариант А - сразу после вызова окна пусты, первое окно исходного МФ (SOURCE FOR MODEL), следующее статусное окно и последнее диалоговое окно. На рис .3.4В представлены те же окна после инициализации МФ примера .
Инициализация вызванного трёхоконного отладчика производится двумя эквивалентными путями:
- Нажатием клавиши F10, что соответствует одному такту действия отладчика (каждое последующее последовательное нажатие клавиши продвигает процесс ИМ на один такт).
- Написанием в командной строке после приглашения ( : ) команды:
s[tep]_ n ,
где команда может быть написана в любом виде, начиная от четырёх букв до одной первой буквы и через обязательный пробел число тактов, на которые продвинется процесс ИМ (по умолчанию 1), т.е. s 1 =F10. При отсутствии пробела появится предупреждение об ошибке, после которого необходимо написать команду в правильном формате.
Содержание окон.
Рассмотрим теперь более подробно содержание окон, руководствуясь рис. 3.7В, поскольку все названия у окон обеих вариантов одинаковы, но в варианте В присутствует конкретное содержание.
Примечание: Окно диалога варианта А содержит запись - Simulation begins, которая исчезает после инициализации, кроме того, на рисунке не показаны всегда существующие надписи об авторе программы (см. реальное окно отладчика).
Окно исходного модельного файла (окно источника).
Занимает одну треть экрана дисплея и является верхней частью экрана отладчика
- Справа вверху первого окна отладчика следует общее название:
Исходный файл интерактивного дебагера GPSS/H
Далее в окне следуют названия колонок:
- BLOCK обозначает номер ОБ,
- CURRENT показывает ИН Хакт в ОБ,
- TOTAL- показывает общее количество транзактов в ОБ за время ИМ,
- SOURCE CODE (основан на примере ) - показывает 4 или 5 строк исходного МФ, а красная черта указывает на следующий ОБ, куда направится Хакт, если МФ длинный, то высекается только фрагмент, указывающий нахождение Хакт, следующий ОБ и 2-3 сопутствующих ОБ.
Окно текущего положения (статусное окно)
Занимает среднюю часть экрана и содержит информацию о состоянии модели, меняющуюся по мере продвижения Хакт по модели.
- S/C :OFF - положение флага изменения статуса: выключено,
- ABS CLOCK значение абсолютного модельного времени,
- REAL CLOCK значение относительного модельного времени. Оба этих значения в отсутствии ОУ CLEAR или RESET имеют одинаковую величину.
- TTG (termination to go ) - значение счётчика завершений СЗ, поскольку на первом тактM терминирования не происходит, то оно равно значению операнда А ОБ START и уменьшается при каждом терминировании на величину операнда А ОБ TERMINATE.
- XACT - ИН транзакта, активного в данный момент.
- CURBLK- имя или номер ОБ, где находится Хакт.
- NEXTBLK - имя или номер ОБ, куда направляется транзакт.
- CHAINS:CEC имя списка, в котором транзакт находится в настоящий момент, в данном примере список текущих событий СТС.
- PC: - число захватов ( в материалах не используется ).
- MARK-TIME время, отмечаемое при входе Хакт в модель.
- MOVE-TIME - время будущего начала движения, если Хакт находится на обслуживании.
- PRIORITY уровень приоритета Хакт.
Окно диалога
Находится в нижней трети экрана и показывает команды, задаваемые пользователем, реакцию отладчика на эти команды, приглашения разного вида (см. далее по тексту). Информация окна автоматически прокручивается вверх, для освобождения пространства для новой информации.
- Ready! сигнал, что отладчик готов к началу диалога.
- :s - приглашение в начале командной строки
- XACT1 запись после выполнения такта, гласящая, что Хакт 1 располагается перед ОБ 2 , т.е. вышел со склада и готов начать движение на транспортёре. Выражение " poised at " всегда обозначает, что Хакт пытается двигаться в ОБ, номер которого указан в сообщении.
Выход из сеанса отладчика.
Прерывание тестового режима и переход в командную оболочку можно осуществить двумя путями.
- Команда QUIT , написанная в командной строке прерывает сессию отладчика и возвращает управление DOS. Однако при этом, программа вначале проверяет, нет ли какой незавершённой операции, которая должна попасть в листинг отчёта и если такая операция существует и она незавершенна, то программа уточняет, действительно ли вы хотите прервать сессию. При этом у пользователя имеется три выбора: первый повторить запись quit и прервать сессию с потерей неоконченных операций, написать run или continue, позволяющих завершить все операции.
- Команда QQ или равноценная - qq (Quit Quickly ) сразу прерывает сессию отладчика и немедленно возвращается в командную оболочку без какой либо проверки незавершённых операций.
Обе эти команды не имеют никаких операндов.
Функциональные клавиши
После запуска отладчика функциональные клавиши F1 F10 клавиши прокрутки выполняют специфические функции, которые указаны в таблице 3.4. Имеет смысл потренироваться с использованием всех клавиш, чтобы запомнить их назначение.
Таблица 3.4 Роль функциональных клавиш
|
Клавиша |
Выполняемая функция |
|
Стрелка вверх |
Прокрутка окна диалога на 5 строк вверх |
|
Стрелка вниз |
Прокрутка окна диалога на 5 строк вниз |
|
Стрелка влево |
Прокрутка окна диалога влево на 20 символов |
|
Стрелка вправо |
Прокрутка окна диалога вправо на 10 символов |
|
F1 |
Перемещение к началу окна диалога |
|
F2 |
Удаление окон кроме окна диалога |
|
F3 |
Перемещение к концу окна диалога |
|
F4 |
Возвращение к з-м окнам |
|
F5 |
Прокрутка окна диалога влево на 20 символов |
|
F6 |
Прокрутка окна диалога вправо на 10 символов |
|
F7 |
Прокрутка вверх на 1 линию окна МФ |
|
F8 |
Не используется |
|
F9 |
Прокрутка вниз на 1 линию окна МФ |
|
F10 |
Продвижение процесса ИМ на один такт = step |
Команды и коды объектов
Ниже в таблице 3.5 приведен список наиболее применяемых команд, используемых в сеансе отладчика. В таблице, при использовании команд подчёркнуты буквы сокращённой записи команды, которая воспринимается программой аналогично полной записи. В графе таблицы
пояснение приводится основное назначение команды, некоторые команды используются для разных целей, соответственно для них указаны разные операнды.
Таблица 3.5 Команды отладчика( в алфавитном порядке )
|
Команда |
Операнды |
Пояснение |
|
AT |
Имя или номер одного или нескольких ОБ |
Предлагает список команд отладки, исполняемых каждый раз при достижении Хакт назначенного ОБ, прерывается командой END или для ранее установленных точек командой UNBREAK. |
|
BREAK |
Имя или номер одного или нескольких ОБ |
Вводит прерывание процесса для каждого установленного ОБ, глобальное прерывание снимается командой UNBREAK. локальное прерывание снимается командой CONTINUE |
|
CONTINUE |
Ноль или несколько имёнSCAN,NEXT, SYSTEM |
Служит для возобновления ИМ или для снятия локальных точек прерывания |
|
DISPLAY |
Статус или код объекта
См. примечания 1,2 |
Выводит на экран дисплея статистики многих объектов и другую информацию, прерывается нажатием клавиш BREAK ,CTRL-C,CTRL-BREAK |
|
QQ |
Не имеет |
Немедленно прекращает процесс ИМ |
|
QUIT |
Не имеет |
Прекращает процесс ИМ при выполнении условий |
|
RUN |
Ноль или больше имён |
Исполняет процесс ИМ, снимает все условия остановки процесса ИМ |
|
SCAN,SYSTEM, NEXT,CLOCK, ХACT |
Устанавливает глобальные условия запрета. |
|
SET |
TIME =n,nS,nM |
Устанавливает предел времени исполнения процесса в секундах или минутах |
|
TLOG[=]ON,OFF |
Переключает логику действия терминала, при включении отображает на экране |
|
TV[ = ] ON,OFF |
Управляет показом процесса отладки |
|
STEP |
Число тактов |
Задаёт темп продвижения по модели |
|
STOP |
Не имеет |
Прерывает на время процесс ИМ |
TRAP |
SYSTEM |
Определяет, что в каждый момент времени Хакт останавливается, контроль передаётся пользователю |
|
NEXT |
Хакт снимается из СТС, появляется сообщение, контроль передаётся пользователю |
|
SCAN |
Производит сканирование СТС, контроль передаётся пользователю |
|
CLOCK |
Ставит ограничение на абсолютное время, когда оно достигает назначенной величины, контроль передаётся пользователю |
|
XACT |
Ставит ограничение на Хакт с определённым ИН |
|
UNBREAK |
Одно или несколько имён ОБ |
Снимает глобальные условия прерывания |
|
UNTRAP |
SYSTEM, NEXT, CLOCK ,XACT |
Снимает условия запрета со всех точек модели |
Приложение. В списке классов и кодов объектов, упомянутых в таблице 3.5, подчёркнуты допустимые сокращения
1. коды состояния модели
ATL blockname/ num - список AT имён или номеров ОБ
ATP - все точки AT
BREAKPOINTS - все глобальные точки прерывания
CLOCKS - абсолютное и относительное время
COMMON - использование общей памяти
OUTPUT - стандартный отчёт
STATUS - значения ИН Хакт, времени, значения СЗ
TRAPS - все глобальные запреты
2 Имена классов объектов
AMP - отображение всех амперпеременных
BLO - отображение данных ОБ
FAC - отображение данных об устройствах
QUE - отображение данных об очередях
RNO - выходные данные о БСВ
STO - отображение данных о памятях
TAB - отображение данных о талицах
Основы использования отладчика
Наличие отладчика примечательно тем, что после успешно проведённой симуляции и исполнения команды ОУ START, можно передать управление программой пользователю. Пользователь может применить одну или несколько команд отладчика, дальнейшая работа может вестись в диалоговом режиме, с последовательной передачей функций управления от программы к пользователю и обратно. Такой режим способствует отладке программы, уточнению сомнительных мест, выводу на дисплей любой интересующей пользователя информации. Процесс продолжается до подачи команды STOP или любой команды выхода из тестового режима, например, QQ.
Отметим, что в тестовом режиме (сеансе отладчика) невозможно внести какие либо изменения в МФ! Для внесения изменений необходимо прервать сеанс отладчика, вернуться к редактору, с помощью которого вы создавали МФ, внести необходимые изменения и лишь после этого вернуться в тестовый режим.
Далее рассмотрим команды, приведенные в таблице 3.5. Команды рассматриваются не в алфавитном порядке, а по частоте использования и по важности. Первой рассмотрим команду DISPLAY, позволяющую выводить на экран дисплея разнообразную информации о состоянии модели и о данных различных объектов
DISPLAY
Команда используется для выдачи информации о членах классов объектов или о состоянии модели. Классы объектов и коды состояний приведены в комментариях 1,2 таблицы 3.5.
А. Информация о членах классов объектов имеет следующий формат:
D[isplay] класс объекта (имя, номер)
Приведём несколько примеров (обратите внимание на возможные варианты записи команды):
DISPLAY FAC - вывести данные об устройствах
DIS QUEUE(SAM,FRED) - данные об очередях SAM,FRED
D ВLO(110,20)-данные об ОБ с первого по десятый и о 20-м
d AMP -показать все амперпеременные
Если нет членов класса, удовлетворяющих записанной команде, то информация не отображается. Например, если запрашивается информация об устройствах, а ни одно устройство пока не захвачено, то информация на дисплее не появляется.
Б. Информация о статусе модели имеет следующий формат ( впредь будем пользоваться только сокращённой формой записи команды ) :
d код , а для транзактов
d xact=n например ,
d CPU COM- показать время исполнения ЦПУ и загрузку памяти,
d STA - показать состояние модели ( Хакт, время, состояние СЗ ),
d CEC FEC - показать СТС и СБС (списки текущих и будущих ХАСТ),
d ATL 12 - показать список AT команд для ОБ 12,
d XACT=100 - показать транзакт с ИН 100,
d XACT=3 XACT=10 - показать Хакт с ИН 3 и 10.
Информация, показываемая для каждого класса или состояния (за исключением информации об амперпеременных) идентична данным выходного отчёта для объектов. Информация о состоянии модели при введённых условиях запрета и прерывания специфична для отладчика.
Информация о транзактах идентична информации об активных транзактах в окне состояния отладчика, если нет текущих транзактов, то , в ответ на запрос, появляется сообщение об их отсутствии.
TRAP и UNTRAP
Команда TRAP может применяться для установки запрета в самых разных вариантах, которые выбираются пользователем. В GPSS/H существует пять видов наложения условий запрета, рассмотрим их подробнее.