Справочник узлов и деталей машин
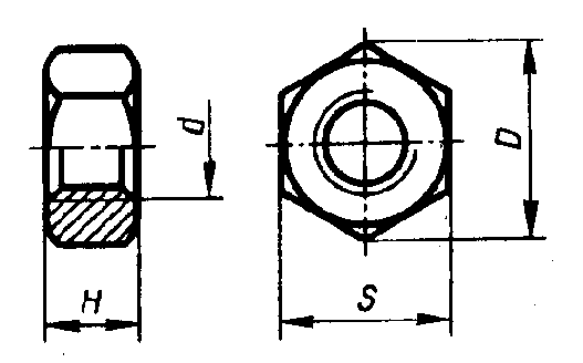
Болты с шестигранной уменьшенной головкой класса точности В (из ГОСТ 7796-70), мм
Примечания:. 1. В порядке понижения точности изготовления различают болты классов точности А, В и С.2. Размер l (мм) в указанных пределах брать из ряда чисел: 8, 10, 12, 14, 16, 20, 25, 30, 35, 40, 45, 50, 55, 60, 65, 70, 75, 80, 90, 100, 110, 120, 130, 140, 150, 160, 170, 180, 190, 200, 220, 240, 260, 280, 300.
Пример условного обозначения болта диаметром резьбы d= 12 мм, длиной /=60 мм, с крупным шагом резьбы и полем допуска 6g, класса прочности 5.8, с цинковым покрытием 01 толщиной 6 мкм, хроматированным: "Болт M12-6g x 60.58.016 ГОСТ 7796-70"
| d | S | D | H | l | l0 | d | S | D | H | l | l0 |
| 8 | 12 | 13,1 | 5 | 8-100 | l0= l при l <= 25 l0 = 22 » l >= 30 |
16 | 22 | 23,9 | 9 | 20-300 | l0= l при l <=30 l0 = 30 » l >= 35 |
| 10 | 14 | 15,3 | 6 | 10-200 | l0= l при l <=30 l0=26 » l >=35 |
20 | 27 | 29,6 | 11 | 25-300 | l0= l при l <= 40 l0 = 38 » l >= 45 |
| 12 | 17 | 18,7 | 7 | 14-260 | l0= l при l <= 30 4=30» l >= 35 |
24 | 32 | 35,0 | 13 | 35-300 | l0= l при l <= 50 l0 = 46 » l >=55 |
Гайки круглые шлицевые класса точности А (из ГОСТ 11871-88), мм
Примечание:1. * - предпочтительные размеры.2. Пример условного обозначения гайки с диаметром резьбы d= 64 мм, с мелким шагом и полем допуска резьбы 7H, из углеродистой стали марки 35 (материал группы О5), с покрытием химическим окисным и пропитанным маслом:
"Гайка М64х 2-7Н.05.05 ГОСТ 11871-88"
| Резьба, d | D | D1 | H | b | h | c<= | Резьба, d | D | D1 | H | b | h | c<= |
| M20xl,5* | 34 | 26 | 8 | 6 | 2 | 1 | М48х1,5* | 75 | 58 | 12 | 8 | 3,5 | 1 |
| М22х1,5 | 38 | 29 | 10 | 6 | 2,5 | 1 | М52х1,5 | 80 | 61 | 12 | 10 | 3,5 | 1 |
| М24х1,5* | 42 | 31 | 10 | 6 | 2,5 | 1 | М56х2,0* | 85 | 65 | 12 | 10 | 4 | 1,6 |
| М27х1,5 | 45 | 35 | 10 | 6 | 2,5 | 1 | М60х2,0 | 90 | 70 | 12 | 10 | 4 | 1,6 |
| М30х1,5* | 48 | 38 | 10 | 6 | 2,5 | 1 | М64х2,0* | 95 | 75 | 12 | 10 | 4 | 1,6 |
| М33х1,5 | 52 | 40 | 10 | 8 | 3 | 1 | М68х2,0 | 100 | 80 | 15 | 10 | 4 | 1,6 |
| М36х1,5* | 55 | 42 | 10 | 8 | 3 | 1 | М72х2,0* | 105 | 85 | 15 | 10 | 4 | 1,6 |
| М39х1,5 | 60 | 48 | 10 | 8 | 3 | 1 | М76х2,0 | 110 | 85 | 15 | 10 | 4 | 1,6 |
| М42х1,5* | 65 | 52 | 10 | 8 | 3 | 1 | М80х2,0* | 115 | 90 | 15 | 10 | 4 | 1,6 |
| М45х1,5 | 70 | 55 | 10 | 8 | 3 | 1 | М85х2,0 | 120 | 98 | 15 | 10 | 4 | 1,6 |
Гайки шестигранные с уменьшенным размером "под ключ" класса точности В (из ГОСТ 15521-70), мм
Примечание:Пример условного обозначения гайки с диаметром резьбы d=12 мм, крупным шагом и полем допуска резьбы 6Н, класса прочности 5: "Гайка M12-6H.S ГОСТ 15521-70"".| d | 8 | 10 | 12 | 16 | 20 | 24 |
| s | 12 | 14 | 17 | 22 | 27 | 32 |
| D | 13,1 | 15,3 | 18,7 | 23,9 | 29,6 | 35 |
| H | 6,5 | 8 | 10 | 13 | 16 | 19 |
Электродвигатели серии АИР, основные размеры, мм
|
Тип двигателя |
Число полюсов |
Исполнение | ||||||||||||
| IM1081, IM2081, IM3081 | IM1081 | IМ1081 и IM2081 | ||||||||||||
| d1 | l1 | l30 | b1 | h1 | d30 | l10 | l31 | d10 | b10 | h | h10 | h31 | ||
| 71А,В |
2, 4, 6, 8 |
19 | 40 | 273 |
6 |
6 |
170 | 90 | 45 | 7 | 112 | 71 | 9 | 188 |
| 80А |
22 |
50 |
297 |
190 |
100 |
50 |
10 |
125 |
80 |
10 |
205 | |||
| 80В | 321 | |||||||||||||
| 90L | 24 | 337 |
8 |
7 |
210 | 125 | 56 | 140 | 90 | 11 | 225 | |||
| 100S |
28 |
60 |
360 |
240 |
112 |
63 |
12 |
160 |
100 |
12 |
247 | |||
| 100L | 391 |
140 | ||||||||||||
| 112М | 2, 4, 6, 8 | 32 |
80 |
435 |
10 |
8 |
246 | 70 | 190 | 112 | 285 | |||
| 132S | 4,6,8 |
38 |
460 |
288 |
89 |
216 |
132 |
13 |
325 | |||||
| 132М | 2,4,6,8 | 498 |
178 | |||||||||||
| 160S | 2 | 42 |
110 |
630 |
12 |
334 |
108 |
15 |
254 |
160 |
18 |
385 | ||
| 4,6,8 | 48 | 14 | 9 . | |||||||||||
| 160М | 2 | 42 |
660 |
12 | 8 |
210 | ||||||||
| 4,6,8 | 48 | 14 | 9 | |||||||||||
| 180S | 2 | 48 |
630 |
14 | 9 |
-375 |
203 |
121 |
279 |
180 |
20 |
448 | ||
| 4 | 55 | 16 | 10 | |||||||||||
| 180М | 2 | 48 |
680 |
14 | 9 |
241 | ||||||||
| 4,6,8 | 55 | 16 | 10 |
|
Тип двигателя |
Число полюсов |
Исполнение | ||||||
| IM2081 и IM3081 | IM3081 | |||||||
| l20 | l21 | d20 | d21 | d24 | d25 | h37 | ||
| 71А,В |
2, 4, 6, 8 |
3,5 |
10 |
165 |
12 |
200 |
130 |
117 |
| 80А |
125 | |||||||
| 80В | ||||||||
| 90L |
4 |
12 |
215 |
15 |
250 |
180 |
135 | |
| 100S |
14 |
147 | ||||||
| 100L | ||||||||
| 112М | 2, 4, 6, 8 | 16 | 265 | 300 | 230 | 173 | ||
| 132S | 4,6,8 |
5 |
18 |
300 |
19 |
350 |
250 |
193 |
| 132М | 2,4,6,8 | |||||||
| 160S | 2 |
15 |
225 | |||||
| 4,6,8 | ||||||||
| 160М | 2 | |||||||
| 4,6,8 | ||||||||
| 180S | 2 |
18 |
350 |
400 |
300 |
260 | ||
| 4 | ||||||||
| 180М | 2 | |||||||
| 4,6,8 |
Канавка под язычок стопорной шайбы, мм
| Резьба, d | a1 | a2 | a3 | a4 | d1 | Резьба, d | a1 | a2 | a3 | a4 | d1 |
| M20xl,5 | 6 | 2 | 3,5 | 1,0 | 16,5 | М48х1,5 | 8 | 3 | 5 | 1,5 | 44,5 |
| M22xl,5 | 6 | 2 | 3,5 | 1,0 | 18,5 | M52xl,5 | 8 | 3 | 5 | 1,5 | 48,0 |
| М24х1,5 | 6 | 2 | 3,5 | 1,0 | 20,5 | М56х2,0 | 8 | 3 | 5 | 1,5 | 52,0 |
| М27х1,5 | 6 | 3 | 4,0 | 1,5 | 23,5 | М60х2,0 | 8 | 3 | 6 | 1,5 | 56,0 |
| М30х1,5 | 6 | 3 | 4,0 | 1,5 | 26,5 | М64х2,0 | 8 | 3 | 6 | 1,5 | 60,0 |
| M33x1,5 | 6 | 3 | 4,0 | 1,5 | 29,5 | М68х2,0 | 8 | 3 | 6 | 1,5 | 64,0 |
| M36xl,5 | 6 | 3 | 4,0 | 1,5 | 32,5 | М72х2,0 | 10 | 5 | 6 | 1,5 | 68,0 |
| М39х1,5 | 6 | 3 | 4,0 | 1,5 | 35,5 | М76х2,0 | 10 | 5 | 6 | 1,5 | 72,0 |
| М42х1,5 | 8 | 3 | 5,0 | 1,5 | 38,5 | М80х2,0 | 10 | 5 | 6, | 2,0 | 75,0 |
| М45х1,5 | 8 | 3 | 5,0 | 1,5 | 41,5 | М85х2,0 | 10 | 5 | 6 | 2,0 | 80,0 |
Кольца пружинные упорные плоские наружные эксцентрические (из ГОСТ 13942-86) и канавки для них, мм
Примечание:Пример обозначения кольца для вала d = 30 мм: "Кольцо 30 ГОСТ 13942-86"| Диаметр вала, d |
Канавка | Кольцо | |||||
| d1 | B | r | s | b | l | Допускаемая осевая сила, кН | |
| 20 22 23 24 25 26 28 29 30 |
18,6 20,6 21,5 22,5 23.5 24,5 26,5 27,5 28,5 |
1,4 |
0,1 |
1,2 |
3,2 | 3 | 10 11 12 13 14 |
| 4 | 14 16 16 17 |
||||||
| 32 34 |
30,2 32,2 |
4,4 | 21 22 |
||||
| 35 36 37 38 40 42 45 46 48 |
33 34 35 36 37,5 39,5 42,5 43,5 45,5 |
1,9 |
0,2 |
1,7 |
4,9 | 6 | 26 27 28 29 |
| 5,5 | 38 39 42 43 45 |
||||||
| 50 52 54 55 56 58 60 62 |
47 49 51 52 53 55 57 59 |
2,2 |
2 |
6 | 57 59 61 62 64 66 68 71 |
||
| 6,5 | |||||||
| 65 68 70 72 75 |
62 65 67 69 72 |
2,8 | 0,3 | 2,5 | 74 78 80 82 86 |
||
| 7 | |||||||
| 8 |
Кольца пружинные упорные плоские внутренние эксцентрические (из ГОСТ 13941-86) и канавки для них, мм
Примечание:. Пример обозначения кольца для отверстия d=50 мм: "Кольцо SO ГОСТ 13941-86"| Диаметр отверстия, d | Канавка | Кольцо | |||||
| d1 | B | r | s | b | l | Допускаемая осевая сила, кН | |
| 40 | 42,5 | 1,9 |
0,2 |
1,7 |
4,2 |
12 |
40 |
| 42 | 44,5 | 42 | |||||
| 45 | 47,5 | 14 |
45 | ||||
| 46 | 48,5 | 45 | |||||
| 47 |
49,5 |
4,5 | 47 | ||||
| 48 | 50,5 | 48 | |||||
| 50 | 53 | 60 | |||||
| 52 | 55 | 5,1 | 16 |
62 | |||
| 54 | 57 | 64 | |||||
| 55 | 58 | 66 | |||||
| 56 | 59 | 67 | |||||
| 58 | 61 | 69 | |||||
| 60 | 63 | 72 | |||||
| 62 | 65 | 74 | |||||
| 65 | 68 | 78 | |||||
| 68 | 71 | 81 | |||||
| 70 |
73 |
6,1 |
84 | ||||
| 72 |
75 |
18 |
86 | ||||
| 75 | 78 | 89 | |||||
| 78 | 81 | 2,2 |
1 2 |
93 | |||
| 80 | 83,5 | 112 | |||||
| 82 | 85,5 | 114 | |||||
| 85 |
88,5 |
20 | 118 | ||||
| 88 | 91,5 | 123 | |||||
| 90 | 93.5 | 7,3 |
125 | ||||
| 92 | 95,5 | 128 | |||||
| 95 | 98,5 | 133 | |||||
| 98 | 101,5 | 137 | |||||
| 100 | 103,5 | 139 | |||||
| 102 | 106 | 2,8 |
0,3 |
2,5 |
22 |
163 | |
| 105 | 109 | 168 | |||||
| 108 |
112 |
8,5 | 173 | ||||
| 110 | 114 | 175 | |||||
| 112 | 116 | 178 | |||||
| 115 | 119 | 183 | |||||
| 120 | 124 | 191 | |||||
| 125 |
129 |
9,7 |
198 | ||||
| 130 |
134 |
24 | 206 |
Концы валов конические (из ГОСТ 12081-72), мм
Примечания:1. Размеры l1 и l2 приведены для исполнения 1 -длинные конические концы валов.2. На концах валов типа 1 должны быть гайки по ГОСТ 5915-70 или ГОСТ 5916-70 и стопорные шайбы - по ГОСТ 13465-77
| Номинальный диаметр, d | l1 | l2 | dср | b | h | t1 | t2 | d1 | d2 | l3 | l4 | |
| 20 22 |
50 | 36 | 18,2 20,2 |
4 | 4 | 2,5 | 1,8 | М12х 1,25 | М6 | 9 | 11,3 | |
| 25 28 |
60 | 42 | 22,9 25,9 |
5 | 5 | 3,0 | 2,3 | М16х1,5 | М8 | 14 | 15,7 | |
| 32 36 |
80 | 58 | 29,1 33,1 |
6 | 6 | 3,5 | 2,8 | М20х1,5 | М10 М12 М12 М16 М16 М20 М20 М24 |
17 20 20 26 26 32 32 36 |
19,0 22,3 22,3 28,5 28,5 35,0 35,0 39,3 |
|
| 40 45 50 56 |
110 |
82 |
35,9 40,9 45,9 51,9 57,75 65,75 73,5 83,5 |
10 12 12 14 16 18 20 22 |
8 8 8 9 10 11 12 14 |
5,0 | 3,3 | М24х2 М30х2 МЗ6х3 МЗ6х3 М42х3 М48хЗ М56х4 М64х4 |
||||
| 5,5 6,0 7,0 7,5 9,0 |
3,8 4,3 4,4 4,9 5,4 |
|||||||||||
| 63 71 |
140 | 105 | ||||||||||
| 80 90 |
170 | 130 | М30 | 44 | 47,9 |
Манжеты резиновые армшрованные для валов (из ГОСТ 8752-79), мм
Примечание:Пример обозначения манжеты типа 1 для вала диаметром d= 50 мм с наружным диаметром D1 = 70 мм из резины 3 группы (на основе нитрильного синтетического каучука): "Манжета 1-50х 70-3 ГОСТ 8752-79"| Диаметр вала, d |
D1 | h1 | h2 | Диаметр вала, d |
D1 | h1 | h2 | ||
| 1-й ряд | 2-й ряд | 1-й и 2-й ряды | 1-й ряд | 2-й ряд | 1-й и 2-й ряды | ||||
| 20 | 40 |
35 37 38 |
8 |
12 |
42 | 62 | 65 68 |
10 | 14 |
| 44 | — | 62 | |||||||
| 20 | 42 | 10 | 14 | 44 | — | 65 | 10 |
14 |
|
| 21 | 37 42 |
8 10 |
12 14 |
45 | 65 | 62 70 |
|||
| 22 |
35 42 |
8 | 12 | 48 | 70 | 65 72 |
|||
| 10 |
14 | 72 |
|||||||
| 24 | 42 45 |
50 | 72 75 |
||||||
| 25 |
42 |
40 45 45 |
8 10 |
12 14 |
80 | 12 | 16 | ||
| 52 | 75 | 72 | 10 | 14 | |||||
| 26 |
45 |
40 | 8 | 12 | 80 | 12 | 16 | ||
| 47 | 10 |
14 |
55 | 80 | 75 | 10 | 14 | ||
| 28 |
— |
45 | 82 | 12 | 16 | ||||
| 47 |
56 | — | 10 | 14 | |||||
| 50 |
58 | 75 | |||||||
| 30 |
52 |
45 47 50 |
82 | 12 | 16 | ||||
| 60 | 85 | 80 82 |
10 |
14 |
|||||
| 32 | 58 |
45 50 | 62 |
— |
80 82 85 90 |
||||
| 35 |
47 50 55 57 |
||||||||
| 12 | 16 | ||||||||
| 63 65 | 90 | 95 | 10 | 14 | |||||
| 36 |
52 55 |
67 | — | 90 | 12 |
16 |
|||
| 68 |
— |
90 95 |
|||||||
| 38 |
55 60 62 |
||||||||
| 70 | 95 | 100 | 10 |
14 |
|||||
| 71 | 95 | — | |||||||
| 40 |
60 |
55 58 62 |
75 |
100 |
— | ||||
| 102 | 12 | 16 |
Нормальные линейные размеры, мм (из ГОСТ 6636-69)
Примечание: под косой чертой приведены размеры посадочных мест для подшипников качения.| 3,2 | 5,6 | 10 | 18 | 32 | 56 | 100 | 180 | 320 | 560 |
| 3,4 | 6,0 | 10,5 | 19 | 34/35 | 60/62 | 105 | 190 | 340 | 600 |
| 3,6 | 6,3 | 11 | 20 | 36 | 63/65 | 110 | 200 | 360 | 630 |
| 3,8 | 6,7 | 11,5 | 21 | 38 | 67/70 | 120 | 210 | 380 | 670 |
| 4,0 | 7,1 | 12 | 22 | 40 | 71/72 | 125 | 220 | 400 | 710 |
| 4,2 | 7,5 | 13 | 24 | 42 | 75 | 130 | 240 | 420 | 750 |
| 4,5 | 8,0 | 14 | 25 | 45/47 | 80 | 140 | 250 | 450 | 800 |
| 4,8 | 8,5 | 15 | 26 | 48 | 85 | 150 | 260 | 480 | 850 |
| 5,0 | 9,0 | 16 | 28 | 50/52 | 90 | 160 | 280 | 500 | 900 |
| 5,3 | 9,5 | 17 | 30 | 53/55 | 95 | 170 | 300 | 530 | 950 |
Подшипники радиальные с короткими роликами (ГОСТ 8328-75).
Примечание: предельные частоты вращения n указаны для пластичного смазочного материала (числитель) и жидкого (знаменатель). Подшипники, отмеченные знаком “*” выпускаются опытными партиями.| Размеры, мм | Cr, кН |
Cor кН |
n*10-3 мин-1 |
Обозначение подшипников | |||||||
| d |
D |
В |
r |
r1 | 2000 |
12000 |
32000 |
42000 | |||
| 20 |
42 |
12 |
1,0 |
0,5 |
8,8 |
9,0 |
16,0/20,0 |
2104 |
- |
- |
- |
| 30 |
55 |
13 |
м |
08 |
179 |
15,0 |
170/15,0 |
- |
- |
32106 |
- |
| 35 |
62 |
14 |
1,5 |
0,8 |
21,6 |
23,0 |
10,0/13,0 |
2107 |
- |
32107* |
- |
| 40 |
68 |
15 |
1,5 |
1,0 |
25,1 |
28.0 |
9,5/12,0 |
- |
- |
32108* |
- |
| 45 |
75 |
16 |
1,5 |
1,0 |
31,4 |
33,5 |
9,0/11,0 |
- |
- |
32109 |
- |
| 50 |
80 |
16 |
1,5 |
1,0 |
30,8 |
33,5 |
8,5/10,0 |
2110 |
- |
32110 |
- |
| 55 |
90 |
18 |
2,0 |
1,5 |
34,7 |
45,0 |
7,5/9,0 |
2111 |
- |
32111 |
- |
| 65 |
100 |
18 |
2,0 |
1,5 |
38,0 |
50,5 |
6,3/7,5 |
2113 |
- |
32113 |
- |
| 70 |
110 |
20 |
2,0 |
1,5 |
56,1 |
69,0 |
6,0/7,0 |
- |
- |
32114 |
- |
| 75 |
115 |
20 |
2,0 |
1,5 |
58,3 |
74,5 |
5,6/6,7 |
- |
12115 |
32115 |
- |
| 80 |
125 |
22 |
2,0 |
1,5 |
66.0 |
84,0 |
5,3/6,3 |
- |
- |
32116 |
- |
| 85 |
130 |
22 |
2,0 |
1.5 |
68,2 |
89,0 |
5,0/6,0 |
- |
- |
32117* |
- |
| 90 |
140 |
24 |
2,5 |
2,0 |
80,9 |
107,9 |
4,8/5,6 |
- |
- |
32118 |
- |
| 95 |
145 |
24 |
2,5 |
2,0 |
84,2 |
112,0 |
4,5/5,0 |
- |
- |
32119 |
- |
| 20 |
47 |
14 |
1,5 |
1,0 |
14,7 |
13,0 |
15/18 |
2204 |
12204 |
32204 |
42204 |
| 25 |
52 |
15 |
1,5 |
1,0 |
16,8 |
15,5 |
12/15 |
2205 |
- |
32205 |
- |
| 25 |
52 |
15 |
1,5 |
1,0 |
28,6 |
27,0 |
12/15 |
- |
- |
- |
42205А |
| 30 |
62 |
16 |
1,5 |
1,0 |
22,4 |
21,5 |
10/13 |
2206 |
- |
32206 |
42206 |
| 35 |
72 |
17 |
2,0 |
1,0 |
31,9 |
31,5 |
9,0/1 1 |
2207 |
12207 |
32207 |
42207 |
| 40 |
80 |
18 |
2;0 |
2,0 |
41,8 |
43,0 |
8,5/10 |
2208 |
12208 |
32208 |
42208 |
| 45 |
85 |
19 |
20 |
70 |
440 |
46,0 |
7 5/9,0 |
2209 |
- |
32209 |
42209 |
| 50 |
90 |
20 |
2,0 |
2,0 |
45,7 |
49,5 |
7,0/8,5 |
2210 |
12210 |
32210 |
42210 |
| 55 |
100 |
21 |
2,5 |
2,0 |
56,1 |
61,5 |
6,3/7,5 |
2211 |
12211 |
32211 |
42211 |
| 60 |
110 |
22 |
2,5 |
2,5 |
64,4 |
77,5 |
5,6/6,7 |
2232 |
12212 |
32212 |
42212 |
| 65 |
120 |
23 |
2,5 |
2,5 |
76,5 |
86,0 |
5,3/6,3 |
2213 |
12213 |
32213 |
42213 |
| 70 |
125 |
24 |
2,5 |
2,5 |
79,2 |
92,0 |
5,0/6,0 |
2214 |
12214 |
32214 |
42214 |
| 75 |
130 |
25 |
2,5 |
2,5 |
91,3 |
114 |
4,8/5,6 |
2215 |
- |
32215 |
42215 |
| 80 |
НО |
26 |
3,0 |
3,0 |
106 |
123 |
4,5/5,3 |
2216 |
- |
32216 |
42216 |
| 85 |
150 |
28 |
3,0 |
3,0 |
119 |
141 |
4,3/5,0 |
2217 |
- |
- |
42217 |
| 90 |
КО |
30 |
3,5 |
3,5 |
142 |
190 |
3,8/4,5 |
2218 |
12218 |
32218 |
42218 |
| 25 |
62 |
17 |
2,0 |
2,0 |
28,6 |
24,6 |
9,5/12 |
2305 |
- |
32305* |
- |
| 25 |
62 |
17 |
2,0 |
2,0 |
40,2 |
36,5 |
9,5/12 |
- |
- |
- |
42305А |
| 30 |
72 |
19 |
2,0 |
2,0 |
36,9 |
32,5 |
8,5/10 |
2306 |
- |
32306 |
42306 |
| 35 |
80 |
21 |
2,5 |
2,0 |
44,6 |
44,0 |
8/9,5 |
2307 |
12307 |
2307* |
42307 |
| 40 |
90 |
23 |
2,5 |
2,5 |
56,1 |
53 |
6,7/8,0 |
2308 |
12308 |
32308 |
- |
| 40 |
90 |
23 |
2,5 |
2,5 |
80,5 |
78 |
6,7/8,0 |
- |
- |
- |
42308А |
| 45 |
100 |
25 |
2,5 |
2,5 |
72,1 |
68,0 |
6,3/7,5 |
2309 |
12309 |
32309 |
42309 |
| 50 |
110 |
27 |
3,0 |
3,0 |
88 |
85 |
5,6/6,7 |
2310 |
12310 |
- |
- |
| 50 |
110 |
27 |
3,0 |
3,0 |
110 |
104,3 |
5,6/6,7 |
- |
- |
323 10А |
42310А |
| 55 |
120 |
29 |
3,0 |
3,0 |
102 |
109,5 |
5,0/6,0 |
2311 |
12311 |
3231! |
4231 1 |
| 60 |
130 |
31 |
3,5 |
3,5 |
123 |
125 |
4,8/5,6 |
2312 |
12312 |
- |
42312 |
| 65 |
140 |
33 |
3,5 |
3,5 |
138 |
139 |
4,5/5,3 |
2313 |
- |
32313 |
42313 |
| 70 |
150 |
35 |
3,5 |
3,5 |
151 |
167 |
4,0/4,8 |
2314 |
- |
32314 |
42314 |
| 75 |
160 |
37 |
3,5 |
3,5 |
183 |
182 |
4,5/5,3 |
2315 |
12315 |
32315 |
42315 |
| 80 |
170 |
39 |
3,5 |
3,5 |
190 |
205 |
3,6/4,3 |
2316 |
12316 |
32316 |
42316 |
| 85 |
180 |
41 |
4,0 |
4,0 |
212 |
239 |
3,4/4,0 |
2317 |
- |
32317 |
42317 |
| 90 |
190 |
43 |
4,0 |
4,0 |
242 |
262 |
3,2/3,8 |
2318 |
12318 |
32318 |
42318 |
| 45 |
120 |
29 |
3,0 |
3,0 |
106 |
109 |
5,6/6,7 |
- |
- |
12409* |
42409 |
| 50 |
130 |
31 |
3,5 |
3,5 |
130 |
122,5 |
5,0/6,0 |
- |
12410 |
32410 |
42410 |
| 55 |
140 |
33 |
3,5 |
3,5 |
142 |
135,5 |
4,8/5,6 |
2411 |
- |
- |
42411 |
| 60 |
150 |
35 |
3,5 |
3.5 |
168 |
166 |
4,3/5,0 |
- |
- |
32412 |
42412 |
| 65 |
160 |
37 |
3,5' |
3,5 |
183 |
199 |
4,0/4,8 |
2413 |
- |
32413 |
42413 |
| 70 |
180 |
42 |
4,0 |
4,0 |
229 |
255,5 |
3,6/4,3 |
- |
- |
32414 |
- |
| 75 |
190 |
45 |
4,0 |
4,0 |
264 |
271,5 |
3,4/4,0 |
- |
- |
- |
42415 |
| 80 |
200 |
48 |
4,0 |
4,0 |
303 |
314 |
3,2/3,8 |
2416 |
12416 |
32416 |
- |
| 85 |
210 |
52 |
5,0 |
5,0 |
319 |
357,5 |
3,0/3,6 |
- |
- |
32417 |
42417 |
| 90 |
225 |
54 |
5,0 |
5,0 |
385 |
408 |
2,8/3,4 |
- |
12418 |
32418 |
- |
| 25 |
52 |
18 |
1,5 |
1,0 |
22,9 |
23,0 |
11/14 |
2505 |
- |
32505* |
42505 |
| 30 |
62 |
20 |
1,5 |
1,0 |
31,9 |
34^0 |
9,5/12 |
- |
- |
32506 |
42506 |
| 35 |
72 |
23 |
2,0 |
1,0 |
47,3 |
52,5 |
8,5/10 |
- |
- |
32507 |
42507 |
| 35 |
72 |
23 |
2,0 |
1,0 |
59,4 |
63,0 |
8,5/10 |
- |
12507А |
- |
- |
| 40 |
80 |
23 |
20 |
?0 |
^6 1 |
63,0 |
7 5/9,0 |
- |
- |
32508 |
- |
| 45 |
85 |
23 |
2,0 |
2,0 |
59,4 |
68,5 |
7,0/8,5 |
- |
- |
32509* |
- |
| 50 |
90 |
23 |
20 |
2,0 |
677 |
73,0 |
6 3/7,5 |
- |
- |
32510* |
- |
| 55 |
100 |
25 |
2,5 |
2,0 |
73,7 |
86,5 |
6,0/7,0 |
- |
- |
32511 |
42511* |
| 60 |
110 |
28 |
2,5 |
2,5 |
93,5 |
123 |
5,3/6,3 |
- |
- |
32512 |
- |
| 65 |
120 |
31 |
2,5 |
2,5 |
110 |
138 |
4,8/5,6 |
- |
- |
32513 |
- |
| 70 |
125 |
31 |
2,5 |
2,5 |
117 |
147,5 |
4,8/5,6 |
- |
- |
32514* |
- |
| 70 |
125 |
31 |
2,5 |
2,5 |
154 |
193,5 |
4,8/5,6 |
- |
2514А* |
- |
- |
| 75 |
130 |
31 |
2,5 |
2,5 |
125 |
159 |
4,5/5,3 |
- |
- |
32515* |
- |
| 80 |
140 |
33 |
3,0 |
3,0 |
147 |
208 |
4,0/4,8 |
- |
- |
32516 |
42516 |
| 85 |
150 |
36 |
3,0 |
3,0 |
168 |
220,5 |
3,8/4,5 |
- |
- |
32517* |
- |
| 90 |
160 |
40 |
3,0 |
3,0 |
194 |
271,5 |
3,6/4,3 |
- |
- |
32518 |
- |
| 95 |
170 |
43 |
3,5 |
3,5 |
229 |
307,5 |
3,4/4,0 |
- |
- |
32519* |
- |
| 25 |
62 |
24 |
2,0 |
2,0 |
41,8 |
40,0 |
9,0/1 1 |
- |
12605 |
32605 |
- |
| 30 |
72 |
27 |
2,0 |
2,0 |
51,1 |
47,5 |
8,0/9,5 |
- |
- |
- |
42606 |
| 35 |
80 |
31 |
2,5 |
2,0 |
58,3 |
62,0 |
7,0/8,5 |
- |
- |
32607 |
42607 |
| 40 |
90 |
33 |
2,5. |
2,5 |
80,9 |
83,5 |
6,3/7,5 |
- |
- |
32608 |
- |
| 45 |
100 |
36 |
2,5 |
2,5 |
96,8 |
109,5 |
5,6/6,7 |
2609 |
12609 |
32609 |
42609 |
| 50 |
110 |
40 |
3,0 |
3,0 |
121 |
131 |
5,0/6,0 |
- |
- |
32610 |
- |
| 55 |
120 |
43 |
3,0 |
3,0 |
138 |
160,5 |
4,8/5,6 |
2611 |
- |
32611* |
- |
| 60 |
130 |
46 |
3,5 |
3,5 |
168 |
186,5 |
4,3/5,0 |
2612 |
- |
32612 |
42612 |
| 65 |
140 |
48 |
3,5 |
3,5 |
190 |
211,5 |
4,0/4,8 |
- |
12613 |
32613 |
42613 |
| 70 |
150 |
51 |
3,5 |
3,5 |
212 |
262 |
3,8/4,5 |
2614 |
- |
32614 |
42614 |
| 75 |
160 |
55 |
3,5 |
3,5 |
260 |
328 |
3,4/4,0 |
2615 |
- |
32615 |
42615 |
| 80 |
170 |
58 |
3,5 |
3,5 |
275 |
328 |
3,2/3,8 |
- |
- |
32616 |
42616 |
| 85 |
180 |
60 |
4,0 |
4,0 |
297 |
377 |
3,0/3,6 |
- |
- |
32617 |
- |
| 90 |
190 |
64 |
4,0 |
4,0 |
330 |
393,5 |
2,8/3/4 |
- |
- |
32618 |
42618 |
Подшипники роликовые игольчатые однорядные (ГОСТ 4657 - 82).
Примечание: предельные частоты вращения n указаны для пластичного смазочного материала (числитель) и жидкого (знаменатель). Подшипники, отмеченные знаком “*” выпускаются опытными партиями.| Размеры, мм | Cr, кН |
Cor кН |
n*10-3 мин-1 |
Обозначение | |||
| d | D | В | r | ||||
| 17 | 35 | 18 | 0,5 | 27,0 | 35,2 | 6,7/8,5 | 4074103 |
| 20 | 42 | 22 | 1,0 | 31,7 | 61,5 | 6,3/8,0 | 4074104 |
| 25 | 47 | 22 | 1,0 | 35,0 | 73,2 | 5,0/6,3 | 4074105 |
| 30 | 55 | 25 | 1,5 | 46,8 | 99,4 | 4,5/5,6 | 4074106 |
| 35 | 62 | 27 | 1,5 | 52,1 | 128,0 | 4,0/5,0 | 4074107 |
| 40 | 68 | 28 | 1,5 | 57,9 | 142,1 | 3,4/4,3 | 4074108 |
| 45 | 75 | 30 | 1,5 | 58,8 | 178,5 | 3,2/4,0 | 4074109 |
| 50 | 80 | 30 | 1,5 | 63,0 | 188,5 | 2,6/3,2 | 4074110 |
| 55 | 90 | 35 | 2,0 | 76,7 | 232,2 | 2,6/3,2 | 4074111 |
| 60 | 95 | 35 | 2.0 | 80,4 | 246,7 | 2,2/2,8 | 4074112 |
| 65 | 100 | 35 | 2,0 | 84,5 | 262,0 | 2,0/2,6 | 4074113 |
| 70 | 110 | 40 | 2,0 | 110 | 368,6 | l,8/2,2 | 4074114 |
| 75 | 115 | 40 | 2,0 | 115 | 381,3 | l,6/2,0 | 4074115 |
| 80 | 125 | 45 | 2,0 | 120,8 | 410,5 | 1,3/1,6 | 4074116 |
| 85 | 130 | 45 | 2,0 | 124,7 | 427,7 | I.3/l,6 | 4074117 |
| 20 | 37 | 30 | 0,5 | 33,5 | 51,0 | 95/15 | 4074904 |
| 25 | 42 | 17 | 05 | 26,3 | 49,8 | 5,0/6,3 | 4074905 |
| 35 | 55 | 20 | 1,0 | 39,0 | 81,1 | 4,0/5,0 | 407^1907 |
| 60 | 85 | 25 | 1,5 | 60,8 | 168,5 | 3,2/4,0 | 4074912 |
| 65 | 90 | 25 | 1,5 | 73,1 | 189,2 | 2,5/3,2 | 4074913 |
| 75 | 105 | 30 | 1,5 | 100 | 259 | 2,2/2,8 | 4074915 |
| 80 | 110 | 30 | 1,5 | 83 | 272,8 | 2,2/2,8 | 4074916 |
| 85 | 120 | 35 | 2,0 | 110 | 365,2 | 2,0/2,6 | 4074917 |
| 90 | 125 | 35 | 2,0 | 114,4 | 391,8 | 2,0/2,6 | 4074918 |
| 95 | 130 | 35 | 2,0 | 1I6,6 | 406,7 | 1,8/2,2 | 4074919 |
| 100 | 140 | 40 | 2,0 | 127,0 | 486,5 | l,6/2,0 | 4074920 |
| 20 | 32 | 16 | 0,5 | 14,5 | 22,3 | 10/16 | 6244804 |
| 20 | 37 | 30 | 0,5 | 33,5 | 51,0 | 9,5/15 | 6244904 |
| 25 | 42 | 30 | 0,5 | 36,6 | 59,0 | 8,5/13 | 6244905 |
| 30 | 47 | 17 | 0,5 | 23,2 | 35,5 | 7,5/11 | 4244906* |
| 45 | 68 | 22 | 1,0 | 41,5 | 73,0 | 5,3/7,5 | 4244909* |
| 50 | 72 | 22 | 1.0 | 43,0 | 80,0 | 5,0/7,0 | 4244910 |
| 55 | 80 | 25 | 1,5 | 56,0 | 100 | 4.5/6,3 | 4244911* |
| 70 | 100 | 30 | 1,5 | 78,0 | 156 | 3,6/5,0 | 4244914 |
Подшипники роликовые конические однорядные с упорным бортом на наружном кольце (из ГОСТ 27365-87).
Примечание: предельные частоты вращения n указаны для пластичного смазочного материала (числитель) и жидкого (знаменатель).| Размеры, мм | Cr, кН |
Cor, кН |
e | n*10-3, мин-1 |
Обозначение | |||||||||
| d | D | D1 | T | b | c | H | h | r | r1 | |||||
| 15 | 35 | 38 | 11,75 | 11 | 9 | 5,25 | 2,5 | 1,0 | 0,3 | 10,5 | 10,7 | 0,45 | 10/14 | 67202 |
| 17 | 40 | 44 | 13,25 | 12 | 11 | 4,75 | 2,5 | 1.5 | 0,5 | 14,0 | 15,8 | 0.31 | 9/13 | 67203 |
| 20 | 47 | 51 | 15,25 | 14 | 12 | 6,25 | 3,0 | 1,5 | 0,5 | 27,5 | 28 | 0,35 | 8/11 | 67204А |
| 35 | 72 | 77 | 18,25 | 17 | 15 | 7,25 | 4,0 | 2,0 | 0,8 | 38,5 | 45,7 | 0,37 | 5,3/6,7 | 67207 |
| 40 | 80 | 85 | 19,75 | 20 | 16 | 7,75 | 4,0 | 2,0 | 0,8 | 46,5 | 57,1 | 0,38 | 4,8/6,3 | 67208 |
| 50 | 90 | 96 | 24,75 | 24 | 20 | 9,25 | 4,5 | 2,0 | 0,8 | 82,5 | 100 | 0,43 | 4,3/5,6 | 67510А |
| 60 | ПО | 117 | 29,75 | 28 | 24 | 10,75 | 5,0 | 2,5 | 0,8 | 125 | 160 | 0,40 | 3,4/4,5 | 67512А |
| 65 | 120 | 127 | 32,75 | 31 | 27 | 11,75 | 6,0 | 2,5 | 0,8 | 119 | 172,3 | 0,37 | 2,8/3,8 | 67513 |
Примечание: предельные частоты вращения n указаны для пластичного смазочного материала (числитель) и жидкого (знаменатель).
| Размеры, мм | Cr, кН |
Cor, кН |
e | n*10-3, мин-1 |
Обозначение | |||||||||
| d | D | D1 | T | b | c | H | h | r | r1 | |||||
| 15 | 35 | 38 | 11,75 | 11 | 9 | 5,25 | 2,5 | 1,0 | 0,3 | 10,5 | 10,7 | 0,45 | 10/14 | 67202 |
| 17 | 40 | 44 | 13,25 | 12 | 11 | 4,75 | 2,5 | 1.5 | 0,5 | 14,0 | 15,8 | 0.31 | 9/13 | 67203 |
| 20 | 47 | 51 | 15,25 | 14 | 12 | 6,25 | 3,0 | 1,5 | 0,5 | 27,5 | 28 | 0,35 | 8/11 | 67204А |
| 35 | 72 | 77 | 18,25 | 17 | 15 | 7,25 | 4,0 | 2,0 | 0,8 | 38,5 | 45,7 | 0,37 | 5,3/6,7 | 67207 |
| 40 | 80 | 85 | 19,75 | 20 | 16 | 7,75 | 4,0 | 2,0 | 0,8 | 46,5 | 57,1 | 0,38 | 4,8/6,3 | 67208 |
| 50 | 90 | 96 | 24,75 | 24 | 20 | 9,25 | 4,5 | 2,0 | 0,8 | 82,5 | 100 | 0,43 | 4,3/5,6 | 67510А |
| 60 | ПО | 117 | 29,75 | 28 | 24 | 10,75 | 5,0 | 2,5 | 0,8 | 125 | 160 | 0,40 | 3,4/4,5 | 67512А |
| 65 | 120 | 127 | 32,75 | 31 | 27 | 11,75 | 6,0 | 2,5 | 0,8 | 119 | 172,3 | 0,37 | 2,8/3,8 | 67513 |
Подшипники роликовые конические радиально-упорные двухрядные (из ГОСТ 6364-8).
Примечание: предельные частоты вращения n указаны для пластичного смазочного материала (числитель) и жидкого (знаменатель).| Размеры, мм |
Cr, Кн |
Cor, кН |
e | n*10-3, мин-1 |
Обозначение | |||||
| d | D | C | T | r | r1 | |||||
| 30 |
62 |
41 |
50 |
1,5 |
0,5 |
61,0 |
94,9 |
0,36 |
5,0/6,3 |
97506 |
| 35 |
72 |
46 |
55 |
2,0 |
0,8 |
90,9 |
141,0 |
0,35 |
4,0/5,0 |
97507 |
| 40 |
80 |
45 |
55 |
2,0 |
0,8 |
96,0 |
154,7 |
0,38 |
4,0/5,0 |
97508 |
| 45 |
85 |
45 |
55 |
2,0 |
0,8 |
100 |
146,8 |
0,42 |
4,0/5,0 |
97509 |
| 50 |
90 |
45 |
55 |
2,0 |
0,8 |
105 |
188,1 |
0,42 |
3,2/4,0 |
97510 |
| 55 |
100 |
48 |
60 |
2,5 |
0,8 |
156,4 |
211,0 |
0,36 |
3,2/4,0 |
97511М |
| 60 |
ПО |
55 |
65 |
2,5 |
0,8 |
214,3 |
320,0 |
0,39 |
2,8/3,6 |
97512А |
| 70 |
125 |
62 |
75 |
2,5 |
0,8 |
210,0 |
351,6 |
0,39 |
2,6/3,2 |
97514 |
| 75 |
130 |
62 |
75 |
2,5 |
0,8 |
220,0 |
369,2 |
0,41 |
2,6/3,2 |
97515 |
| 80 |
140 |
65 |
80 |
3,0 |
1,0 |
320,6 |
450,0 |
0,40 |
2,2/2,8 |
97516А |
| 90 |
160 |
78 |
96 |
3,0 |
1,0 |
320,0 |
588,9 |
0,39 |
2,0/2,6 |
97518 |
| 95 |
170 |
90 |
108 |
3,5 |
1,2 |
390,0 |
773,5 |
0,38 |
1,8/2,4 |
97519 |
| 100 |
180 |
92 |
112 |
3,5 |
1,2 |
547,0 |
880,0 |
0,40 |
1,7/2,2 |
97520 |
Подшипники роликовые конические
ВНИМАНИЕ!!! Таблица состоит из двух частей: правой и левой! Убедитесь, что Вы просмотрели обе!Примечания: 1. Предельные частоты вращения n указаны для пластичного смазочного материала (числитель) и жидкого (знаменатель). Подшипники, отмеченные знаком “*” выпускаются опытными партиями.
2. Обозначения установочных размеров d1, D1, a1 и а2 см. разд. 1.12
Правая часть
| d, мм |
Cr, кН |
Cor, кН |
e |
n*10-3, мин-1 |
Обозначение |
| 20 |
24,2 |
27,0 |
0,37 |
8,5/1,2 |
2007104А |
| 25 |
27,0 |
32,5 |
0,43 |
8,0/11,0 |
2007105А |
| 30 |
35,8 |
44,0 |
0,43 |
6,7/9,0 |
2007106А |
| 35 |
32,0 |
42,4 |
0,27 |
6,0/8,0 |
2007107 |
| 40 |
52,8 |
71,0 |
0,37 |
5,3/7,0 |
2007108А |
| 45 |
44,0 |
64,4 |
0,30 |
4,8/6,3 |
2007109 |
| 50 |
60,5 |
88,0 |
0,43 |
4,5/6,0 |
2007110А* |
| 55 |
57,0 |
83,3 |
0,33 |
4,0/5,3 |
2007111 |
| 60 |
82,5 |
122,0 |
0,43 |
3,8/5,0 |
2007 112А |
| 65 |
61,0 |
118,9 |
0,38 |
3,4/4,5 |
2007113 |
| 70 |
77,6 |
132,0 |
0,28 |
3,2/4,3 |
2007114 |
| 75 |
78,3 |
138,3 |
0,30 |
3,0/4,3 |
2007115 |
| 80 |
102,0 |
171,5 |
0,34 |
2,6/3,6 |
2007116 |
| 85 |
140,0 |
224,0 |
0,44 |
2,6/3,6 |
2007117А |
| 90 |
168,0 |
270,0 |
0,43 |
2,2/3,2 |
2007118А |
| 95 |
149,5 |
212,l |
0,36 |
2,2/3,2 |
2007119М |
| 65 |
45 |
83,9 |
0,35 |
3,8/5,0 |
2007913А |
| 75 |
49 |
99,5 |
0,42 |
3,2/4,3 |
2007915 |
| 15 |
10,5 |
10,7 |
0,45 |
10/14 |
7202 |
| 17 |
19,0 |
18,6 |
0,35 |
9,0/13 |
7203А |
| 20 |
27,5 |
28,0 |
0,35 |
8,0/l 1 |
7204А |
| 25 |
30,8 |
33,5 |
0,37 |
7,5/10 |
7205А |
| 30 |
40,2 |
44,0 |
0,37 |
6,3/8,5 |
7206А |
| 35 |
51,2 |
56,0 |
0,37 |
5,3/7,0 |
7207А |
| 40 |
61,6 |
68,0 |
0,37 |
4,8/6,3 |
7208А |
| 45 |
50 |
58,0 |
0,41 |
4,5/6,0 |
7209 |
| 50 |
76,5 |
91,5 |
0,43 |
4,3/5,6 |
7210А |
| 55 |
65 |
80,9 |
0,41 |
3,8/5,0 |
7211 |
| 60 |
99 |
114 |
0,40 |
3,4/4,5 |
7212А |
| 70 |
125 |
156 |
0,43 |
3,0/4,0 |
7214А |
| 75 |
107 |
147,7 |
0,39 |
2,8/3,8 |
7213 |
| 80 |
151 |
183 |
0,43 |
2,4/3,4 |
7216А |
| 85 |
176 |
220 |
0,43 |
2,2/3,2 |
7217А |
| 90 |
194 |
245 |
0,43 |
2,0/3,0 |
7218А |
| 95 |
193,2 |
230,3 |
0,41 |
1,9/2,8 |
7219М |
| 1оо |
185 |
256,7 |
0,40 |
l,9/2,8 |
7220 |
| 85 |
100 |
128,6 |
0,25 |
2,6/3,6 |
3007117М |
| 25 |
47,3 |
56 |
0,35 |
6,7/9 |
3007205 |
| 50 |
114 |
160 |
0,40 |
3,8/5 |
3007210А |
| 75 |
209 |
300 |
0,43 |
2,4/3,4 |
3007215А* |
| 20 |
34,1 |
32,5 |
0,30 |
8/11 |
7304А |
| . 25 |
44,6 |
43 |
0,30 |
6,7/9 |
7305А |
| 30 |
43 |
49,0 |
0,34 |
5,6/7,5 |
7306 |
| 35 |
72,1 |
73,5 |
0.31 |
5,0/6,7 |
7307А |
| 40 |
91,4 |
102 |
0,35 |
4.3/5,6 |
7308А |
| 45 |
83 |
99,7 |
0,28 |
4,0/5,3 |
7309 |
| 50 |
125 |
140 |
0.35 |
3,6/4,8 |
7310А |
| 55 |
142 |
163 |
0.35 |
3,2/4,3 |
7311А |
| 60 |
128 |
160,4 |
0,30 |
3,0/4,0 |
7312 |
| 6S |
194 |
228 |
0,30 |
2,6/3,6 |
7313А |
| 70 |
220 |
260 |
0,35 |
2,4/3,4 |
7314А |
| 75 |
246 |
290 |
0,35 |
2,2/3,2 |
7315А |
| 85 |
230 |
324,1 |
0,31 |
1,9/2,8 |
7317 |
| 90 |
330 |
400 |
0,35 |
l,8/2,6 |
7318А |
| 100 |
290 |
448,7 |
0,318 |
1,7/2,4 |
7320 |
| 30 |
36,6 |
47,5 |
0,36 |
6,3/8,5 |
7506 |
| 35 |
53 |
70,3 |
0,35 |
5,3/7,0 |
7507 |
| 40 |
56 |
77,4 |
0,38 |
4,8/6,3 |
7508 |
| 45 |
60 |
80,9 |
0,42 |
4,5/6,0 |
7509 |
| 50 |
82,5 |
100 |
0,43 |
4,3/5,6 |
7510А |
| 55 |
106 |
129 |
0,40 |
3,8/5,0 |
7511А |
| 60 |
125 |
160 |
0,40 |
3,4/4,5 |
751 2А |
| 65 | 119 | 172,3 | 0,37 | 3,0/4,0 | 7513 |
| 70 | 125 | 177,6 | 0.39 | 2,8/3,8 | 7514 |
| 75 | 161 | 212 | 0,43 | 2,6/3,6 | 7515А |
| 80 | 187 | 245 | 0,43 | 2,4/3,4 | 7516А |
| 85 | 212 | 285 | 0,43 | 2,2/3,2 | 7517А |
| 90 | 251 | 340 | 0,43 | 2,0/3,0 | 7518А |
| 95 | 230 | 395,6 | 0,38 | 1,9/2,8 | 7519 |
| 100 | 319 | 440 | 0,43 | 1,8/2,6 | 7520А |
| 20 | 31,5 | 37 | 0,30 | 7,5/10,0 | 7604 |
| 25 | 60,5 | 63 | 0,30 | 6,0/8,0 | 7605А |
| 30 | 76,5 | 85 | 0,31 | 5,3/7,0 | 7606А |
| 35 | 95,2 | 106 | 0,31 | 4,8/6,3 | 7607А |
| 40 | 123 | 150 | 0,35 | 4,3/5,6 | 7608А |
| 45 | 140 | 170 | 0,35 | 3,6/4,8 | 7609А |
| 50 | 172 | 212 | 0,35 | 3,2/4,3 | 7610AM |
| 55 | 198 | 250 | 0,35 | 3,0/4,0 | 7611А |
| 60 | 229 | 290 | 0,35 | 2,6/3,6 | 7612А |
| 65 | 264 | 335 | 0,35 | 2,4/3,4 | 7613А |
| 70 | 297 | 380 | 0,35 | 2,2/3,2 | 7614А |
| 75 | 336 | 440 | 0,35 | 2,0/3,0 | 7615А |
| 90 | 457 | 610 | 0,35 | 1,7/2,4 | 7618А |
| 100 | 572 | 780 | 0,35 | 1,6/2,2 | 7620А |
| Подшипники с большим углом конуса (15 - 29о) | |||||
| 30 | 35 | 43 | 0,72 | 5,0/6,3 | 27306 |
| 40 | 78,2 | 91,9 | 0,83 | 4,0/5,3 | 27308А |
| 50 | 106 | 120 | 0,83 | 3,2/4,3 | 27310НА |
| 55 | 92 | 123 | 0,81 | 2,8/3.8 | 27311 |
| 60 | 105 | 138 | 0,70 | 2,6/3,6 | 27312 |
| 65 | 190 | 240,4 | 0,83 | 2,6/3,6 | 27313А1 |
| 75 | 150 | 205,2 | 0,83 | 1,8/2,6 | 27315 |
| 85 | 180 | 287,8 | 0,76 | 1,7/2,4 | 27317 |
| 25 | 38 | 40 | 0,83 | 5,6/7,5 | 1027305А |
| 35 | 61,6 | 67 | 0,83 | 4,5/6,0 | 1027307А |
| 70 | 187 | 220 | 0,83 | 2,0/3,0 | 1027314А |
Подшипники роликовые радиальные
Примечания: 1. Предельные частоты вращения n указаны для пластичного смазочного материала (числитель) и жидкого (знаменатель).2. Подшипники типа 113000 имеют посадочное отверстие на вал с конусностью 1:12 (наименьший размер диаметра отверстия равен d)
| Размеры, мм | Cr, кН |
Cor кН |
e | n*10-3 мин-1 |
Обозначение | ||||
| d |
D |
В |
r |
53000, 3000 | 1130001 | ||||
| 75 |
160 |
37 |
2,1 |
235 |
300 |
0,35 |
2,4/3,2 |
533 15Н |
- |
| 80 |
140 |
33 |
3,0 |
176 |
228 |
0,23 |
2,8/3,6 |
53516 |
- |
| 90 |
160 |
40 |
3,0 |
253 |
340 |
0,25 |
2,2/3,O |
53518 |
- |
| 95 |
170 |
43 |
3,5 |
282 |
375 |
0,25 |
2,2/3,0 |
53519 |
- |
| 100 |
180 |
46 |
3,5 |
311 |
415 |
0,25 |
2,0/2,8 |
53520 |
- |
| 40 |
90 |
33 |
2,5 |
115 |
122 |
0,40 |
4,3/5,3 |
53608 |
- |
| 50 |
110 |
40 |
3,0 |
176 |
200 |
0,39 |
3,4/4,3 |
53610 |
- |
| 55 |
120 |
43 |
3,0 |
199 |
232 |
0,38 |
3,0/3,8 |
53611 |
- |
| 60 |
130 |
46 |
3,5 |
235 |
280 |
0,38 |
2,8/3,6 |
53612 |
- |
| 70 |
150 |
51 |
3,5 |
311 |
380 |
0,37 |
2,2/3,0 |
536 14Н |
- |
| 75 |
160 |
55 |
3,5 |
345 |
430 |
0,36 |
2,0/2,8 |
53615 |
- |
| 80 |
170 |
58 |
3,5 |
374 |
455 |
0,36 |
1,9/2,6 |
53616 |
- |
| 90 |
190 |
64 |
4,0 |
477 |
610 |
0,36 |
l,8/2,4 |
53618Н |
- |
| 95 |
200 |
67 |
4,0 |
518 |
670 |
0,35 |
1,7/2,2 |
53619 |
- |
| 100 |
215 |
73 |
4,0 |
610 |
800 |
0,35 |
1,7/2,2 |
53620 |
- |
| 40 |
80 |
23 |
2,0 |
68,4 |
73,3 |
0,32 |
4,5/5,6 |
3508Н |
- |
| 45 |
85 |
23 |
2,0 |
76,8 |
77,0 |
0,29 |
4,3/5,3 |
3509 |
- |
| 70 |
125 |
31 |
2,5 |
158,4 |
206,4 |
0,2 |
2,6/3,4 |
3514 |
- |
| 80 |
140 |
33 |
3,0 |
192 |
259,6 |
0,25 |
2,2/3,0 |
3516 |
113516 |
| 85 |
150 |
36 |
3,0 |
219,6 |
286 |
0,25 |
2,0/2,8 |
3517 |
113517 |
| 90 |
160 |
40 |
3,0 |
259,2 |
349,8 |
0,27 |
1,9/2,6 |
3518 |
113518 |
| 95 |
170 |
43 |
3,5 |
294 |
374 |
0,27 |
1,9/2,6 |
3519 |
- |
| 100 |
180 |
46 |
3,5 |
330 |
466,4 |
0,27 |
1,8/2,4 |
3520 |
113520 |
| 40 |
90 |
33 |
2,5 |
115,9 |
132,4 |
0,42 |
4,3/5,3 |
3608 |
113608 |
| 45 |
100 |
36 |
2,5 |
139,1 |
152,6 |
0,41 |
3,8/4,8 |
3609 |
- |
| 50 |
110 |
40 |
3,0 |
173 |
206 |
0,42 |
3,4/4,3 |
3610 |
- |
| 55 |
120 |
43 |
3,0 |
207,4 |
240,7 |
0,41 |
3,0/3,8 |
3611 |
- |
| 60 |
130 |
46 |
3,5 |
239,1 |
261,1 |
0,40 |
2,8/3,6 |
3612 |
- |
| 65 |
140 |
48 |
3,5 |
268,4 |
289,7 |
0,37 |
2,4/3,2 |
3613 |
- |
| 70 |
150 |
51 |
3,5 |
329,4 |
369,2 |
0,37 |
2,2/3,0 |
3614 |
- |
| 75 |
160 |
55 |
3,5 |
366 |
422,3 |
0,38 |
2,0/2,8 |
3615 |
113615 |
| 80 |
170 |
58 |
3,5 |
392,0 |
480 |
0,36 |
1,9/2,6 |
3616Н |
113616 |
| 85 |
180 |
60 |
4,0 |
397 |
481 |
0,37 |
1,8/2,4 |
3617 |
- |
| 90 |
190 |
64 |
4,0 |
445,3 |
550,8 |
0,47 |
1,8/2,4 |
3618 |
- |
| 100 |
215 |
73 |
4,0 |
580 |
713 |
0,37 |
l,7/2,2 |
3620Н |
- |
Подшипники шариковые радиально-упорные
Примечание: предельные частоты вращения n указаны для пластичного смазочного материала (числитель) и жидкого (знаменатель).| Размеры, мм |
Cr, kH |
Cor kH |
n*10-3 мин -1 |
Обозначение | |||
| d |
D |
В |
r | ||||
| 95 |
145 |
24 |
2,5 |
86,8 |
65.1 |
5,0/6,3 |
176119 |
| 40 |
80 |
18 |
2,0 |
47,8 |
26,6 |
10/13 |
176208 |
| 55 |
100 |
21 |
2,5 |
65,4 |
38,6 |
8,5/10 |
176211 |
| 60 |
110 |
22 |
2,5 |
75,4 |
43,5 |
7,5/9,5 |
176212 |
| 75 |
130 |
25 |
2,5 |
101,9 |
65,9 |
6,3/8,0 |
176215 |
| 90 |
160 |
30 |
3,0 |
144,3 |
92,7 |
5,0/6,3 |
176218 |
| 100 |
180 |
34 |
3,5 |
184,6 |
120,6 |
4,0/5,0 |
176220 |
| 17 |
47 |
14 |
1,3 |
20,9 |
8,5 |
16/20 |
176303 |
| 20 |
52 |
15 |
2,0 |
23,1 |
10,0 |
14/18 |
176304 |
| 25 |
62 |
17 |
2,0 |
32,5 |
14,5 |
13/16 |
176305 |
| 35 |
80 |
21 |
2,5 |
52,0 |
25,0 |
10/13 |
176307 |
| 40 |
90 |
23 |
2,5 |
61,4 |
30,1 |
8,0/10 |
176308 |
| 45 |
100 |
25 |
2,5 |
79,8 |
41,1 |
8,0/10 |
176309 |
| 50 |
110 |
27 |
3,0 |
93,3 |
48,8 |
6,3/8,0 |
176310 |
| 55 |
120 |
29 |
3,0 |
107,6 |
57,3 |
6,0/7,5 |
176311 |
| 65 |
140 |
33 |
3,5 |
146,9 |
83,8 |
5,0/6,3 |
176313 |
| 85 |
180 |
41 |
4,0 |
211,9 |
137,4 |
3,2/4,0 |
176317 |
| 100 |
215 |
47 |
4,0 |
276,9 |
149 |
2,8/3,6 |
176320 |
| 15 |
32 |
9 |
0,5 |
7,2 |
J.25 |
30/36 |
126102 |
| 40 |
68 |
15 |
1,5 |
22,1 |
46 |
10/13 |
126108 |
| 70 |
ПО |
20 |
2,0 |
59,9 |
41,2 |
7,5/9,0 |
126114 |
| 95 |
145 |
24 |
2,5 |
86,8 |
6S,1 |
5,0/6,3 |
126119 |
| 45 |
85 |
19 |
2,0 |
50,3 |
28,3 |
9,5/12 |
126209 |
| 50 |
90 |
20 |
2,0 |
52,8 |
30,5 |
8,5/1 1 |
126210 |
| 55 |
100 |
21 |
2,5 |
65,4 |
38,6 |
8,0/10 |
126211 |
| 60 |
ПО |
22 |
2,5 |
75,4 |
44,2 |
7,5/9,5 |
126212 |
| 65 |
120 |
23 |
2,5 |
78,0 |
50,6 |
7,0/9,0 |
126213 |
| 75 |
130 |
25 |
2,5 |
101,9 |
65,9 |
6,3/8,0 |
126215 |
| 90 |
160 |
30 |
3,0 |
144,3 |
93,3 |
5,0/6,3 |
126218 |
| 100 |
180 |
34 |
3,5 |
184,6 |
121,9 |
4,0/5,0 |
126220 |
Примечание: 1. Комплекты подшипников, сдвоенных по схемам О, X и Т, обозначают добавлением слева к обозначению однорядного подшипника соответственно цифр 2, 3 и 4. Например, комплект из двух подшипников 36108К, сдвоенных по схеме О, имеет обозначение 236108К. Характеристики комплектов сдвоенных подшипников см. в разделе 1.15 методичке под редакцией Фомина М. В.
2. Предельные частоты вращения n указаны для пластичного смазочного материала (числитель) и жидкого (знаменатель).
| Размеры, мм | Cr, kH |
Cor kH |
n*10-3 мин-1 |
Обозначение | Схемы сдвоенных подшипников | ||||
| d | D | B | r | r1 | |||||
| а =15° | |||||||||
| 17 | 35 | 10 | 0,5 | 0,3 | 6,76 | 3,6 | 36/48 | 36103К | Т |
| 20 | 42 | 12 | 0 | 0,5 | 8,72 | 5,2 | 30/40 | 36104К | О,Х,Т |
| 25 | 47 | 12 | 0 | 0,5 | 9,56 | 6,3 | 26/36 | 36105К. | O,T* |
| 30 | 55 | 13 | 0,5 | 0,8 | 14,3 | 8,65 | 22/32 | 36106К | O |
| 35 | 62 | 14 | 0,5 | 0,8 | 15,6 | 10,6 | 20/28 | 36I07K | O,T |
| 40 | 68 | 15 | 0,5 | 0,8 | 16,8 | 12,2 | 18/25 | 36108К. | O,T |
| 45 | 75 | 16 | 0,5 | 0,8 | 23,2 | 16 | 16/22 | 36109К | O,T |
| 50 | 80 | 16 | 0,5 | 0,8 | 24,5 | 18,3 | 15/20 | 361 10К | T* |
| 55 | 90 | 18 | 2 | 0 | 34 | 25 | 13/18 | 361ПК | O,T |
| 60 | 95 | 18 | 2 | 0 | 35,5 | 26,5 | 12/17 | 36112К | O,T * |
| 65 | 100 | 18 | 2 | 0 | 36 | 28,5 | 11/16 | 36113К | O*,T |
| 70 | 110 | 20 | 2 | 0 | 46,8 | 36 | 10/16 | 36114К* | O,T* |
| 75 | 115 | 20 | 2 | 0 | 45,5 | 39 | 10/15 | 36115К* | О |
| 80 | 125 | 22 | 2,6 | 0 | 58 | 48 | 9,0/13 | 36116К* | T* |
| 90 | 140 | 24 | 2,5 | 0,2 | 72 | 60 | 7,5/11 | 36118К | O*,T |
| 17 | 40 | 12 | 1.0 | 0,5 | 9,23 | 4,65 | 34/45 | 36203К | О,Х,Т |
| 25 | 52 | 15 | 1,5 | 0,8 | 13,5 | 8 | 24/34 | 36205К | O |
| 30 | 62 | 16 | 1,5 | 0,8 | 24,2 | 12 | 20/30 | 36206К | T |
| 35 | 72 | 17 | 2 | 0 | 39,1 | 15.6 | 18/26 | 36207К | O |
| 40 | 80 | 18 | 2 | 0 | 41 | 20.0 | 16/22 | 36208К. | O,T |
| 45 | 85 | 19 | 2 | 0 | 42,3 | 25 | 15/20 | 36209К | O,T |
| 50 | 90 | 20 | 2 | 0 | 35,5 | 28,5 | 14/19 | 36210К | - |
| 55 | 100 | 21 | 2,5 | 0,2 | 55,3 | 39.1 | 12/17 | 36211К | - |
| 80 | 140 | 26 | 93,0 | 0,5 | 93 | 76,9 | 8,0/12 | 36216К | - |
| а =12° | |||||||||
| 20 |
47 |
14 |
1,5 |
0,8 |
15,40 |
9,00 |
22/30 |
36204 |
О |
| 30 |
62 |
16 |
1,5 |
0,8 |
22,0 |
14,1 |
16/22 |
36206 |
0 |
| 40 |
80 |
18 |
2,0 |
1,0 | 38,9 | 26,1 | 12/17 | 36208 | X |
| 50 | 90 | 20 | 2,0 | 1,0 | 43,2 | 31,7 | 10/14 | 36210 | O |
| 60 | ПО | 22 | 2,5 | ,2 | 61,5 | 46,2 | 8,5/12 | 36212 | Т |
| 65 | 120 | 23 | 2,5 | ,2 | 70,4 | 54,8 | 8,0/1 1 | 36213 | Т |
| 70 | 125 | 24 | 2,5 | ,2 | 80,2 | 64,4 | 7,5/10 | 36214 | O,T |
| 75 | 130 | 25 | 2,5 | ,2 | 80,0 | 67,6 | 7,1/9,5 | 36215 | T |
| 85 | 150 | 28 | 3,0 | ,5 | 104,0 | 86,4 | 6,3/8,5 | 36217 | O |
| 90 | 160 | 30 | 3,0 | ,5 | 118,0 | 97,5 | 5,8/8 | 36218 | - |
| 95 | 170 | 32 | 3,5 | 2,0 | 134,0 | 111,6 | 5,4/7,5 | 36219 | O |
| 17 | 47 | 14 | 1,5 | 0,8 | 15,9 | 8,05 | 12/17 | 36303* | - |
| 40 | 90 | 23 | 2,5 | 1,2 | 53,9 | 36,0 | 11/15 | 36308 | - |
| 90 | 190 | 43 | 4,0 | 2.0 | 174,2 | 146,4 | 5,0/7,1 | 36318 | - |
| а = 25° | |||||||||
| 40 | 68 | 15 | 1,5 | 0,8 | 15,9 | 11,6 | 15/20 | 46108К | O |
| 45 | 75 | 16 | 1,5 | 0,8 | 22,0 | 15,3 | 14/19 | 46109К | O* |
| 50 | 80 | 16 | 1,5 | 0,8 | 23,2 | 19,6 | 13/18 | 46110К | O |
| 55 |
90 | 18 | 2,0 | 1,0 | 32,5 | 23,6 | 11/16 | 46111К | O |
| 60 |
95 | 18 | 2,0 | 1,0 | 33,5 | 25,5 | 11/16 | 46112К | O* |
| 65 | 100 | 18 | 2,0 | 1,0 | 34,0 | 27,5 | 10/15 | 46113К | O |
| 70 |
ПО | 20 | 2,0 | 1,0 | 44,0 | 34,5 | 9,0/13 | 46114К | O |
| 75 | 115 | 20 | 2,0 | 1,0 | 44,0 | 38,2 | 8,5/12 | 46115К | O |
| 80 | 125 | 22 | 2,0 | 1,0 | 56,0 | 45,5 | 8,0/11 | 46116К | - |
| 90 | 140 | 24 | 2,5 | 1,2 | 68,0 | 57,0 | 7,0/10 | 46118К | - |
| а = 26° | |||||||||
| 30 | 55 | 13 | 1,5 | 0,8 | 14,5 | 10,1 | 11/14 | 46106 | - |
| 35 | 62 | 14 | 1,5 | 0,8 | 18,1 | 12,9 | 9,5/12 | 46107* | - |
| 40 | 68 | 15 | 1,5 | 0,8 | 18,9 | 14,1 | 9,0/1 1 | 46108 | - |
| 45 | 75 | 16 | 1,5 | 0,8 | 27,6 | 17,2 | 8,0/' 0 | 46109 | - |
| 50 | 80 | 16 | 1,5 | 0,8 | 27,1 | 22,4 | 7,0/9,0 | 46110* | - |
| 55 | 90 | 18 | 2,0 | 1,0 | 32,6 | 24,8 | 6,3/8,5 | 46111 | - |
| 60 | 95 | 18 | 2,0 | 1,0 | 37,4 | 31,1 | 6,0/7,5 | 46112 | - |
| 70 | 110 | 20 | 2,0 | 1,0 | 46,1 | 36,5 | 5,0/6,7 | 46114 | - |
| 75 | 115 | 20 | 2,0 | 1,0 | 47,3 | 42,8 | 4,8/6,3 | 46115 | - |
| 80 | 125 | 22 | 2,0 | 1,0 | 59,2 | 52 | 4,3/6,0 | 46116 | - |
| 85 | 130 | 22 | 2,0 | 1,0 | 57,4 | 54,1 | 4,3/5,6 | 46117 | - |
| 90 | 140 | 24 | 2,5 | 1,2 | 68.0 | 57,0 | 3,8/5,3 | 46118 | - |
| 20 | 47 | 14 | 1,5 | 0,8 | 12,5 | 8,8 | 13/18 | 46204 | О* |
| 25 | 52 | 15 | 1,5 | 0,8 | 13,7 | 9,6 | 12/15 | 46205 | X |
| 30 | 62 | 16 | 1,5 | 0,8 | 21,9 | 13,8 | 10/13 | 46206 | X |
| 35 | 72 | 17 | 2,0 | 1,0 | 29,0 | 19,3 | 9,0/1 1 | 46207 | T |
| 40 | 80 | 18 | 2,0 | 1,0 | 36,8 | 25,5 | 8,0/10 | 46208 | T |
| 45 | 85 | 19 | 2,0 | 1,0 | 38,7 | 27,1 | 7,0/9,0 | 46209 | T |
| 50 | 90 | 20 | 2,0 | 1,0 | 40,6 | 29,3 | 6,3/8,5 | 46210 | T |
| 55 | 100 | 21 | 2,5 | 1,2 | 50,3 | 37,1 | 6,0/7,5 | 46211 | Т |
| 60 | 110 | 22 | 2,5 | 1,2 | 60,8 | 44,0 | 5.3/7,1 | 46212 | T |
| 65 | 140 | 33 | 3,5 | 2,0 | 113,0 | 83,1 | 4,3/5,8 | 46213 | T |
| 75 | 130 | 25 | 2,5 | 1,2 | 78,4 | 63,3 | 4,3/5,8 | 46215 | T |
| 80 | 140 | 26 | 3,0 | 1,5 | 88,4 | 75,3 | 4/5,4,0 | 46216 | О |
| 85 | 150 | 28 | 3,0 | 1,5 | 98,0 | 81,0 | 3,8/5,0 | 46217 | - |
| 90 | 160 | 30 | 3,0 | 1,5 | 114,0 | 89,7 | 3,6/4,8 | 46218 | - |
| 17 | 47 | 14 | 1,5 | 0,8 | 16,1 | 8,20 | 14/19 | 46303 | O |
| 20 | 52 | 15 | 2,0 | 1,0 | 17,8 | 9,9 | 12/17 | 46304 | - |
| 25 | 62 | 17 | 2,0 | 1,0 | 26,9 | 16,0 | 10/14 | 46305 | O |
| 30 | 72 | 19 | 2,0 | 1,0 | 32,6 | 20,3 | 9,0/12 | 46306 | O,T |
| 35 | 80 | 21 | 2,5 | 1,2 | 42,6 | 25,7 | 8,0/10 | 46307 | O,T |
| 40 | 90 | 23 | 2,5 | 1,2 | 50,8 | 33,6 | 7,0/9,0 | 46308 | X,T |
| 45 | 100 | 25 | 2,5 | 1,2 | 61,4 | 41,0 | 6,3/8,5 | 46309 | Х,Т |
| 50 | ПО | 27 | 3,0 | 1,5 | 71,8 | 48,8 | 5,6/7,5 | 46310 | - |
| 55 | 120 | 29 | 3,0 | 1,5 | 82,8 | 58,7 | 5,0/7.0 | 46311 | T* |
| 60 | 130 | 31 | 3,5 | 2,0 | 100,0 | 72,4 | 4,8/6,3 | 46312 | Х,Т |
| 65 | 140 | 33 | 3,5 | 2,0 | 113,0 | 83,1 | 4,3/5,8 | 46313 | X |
| 70 | 150 | 35 | 3,5 | 2.0 | 127,0 | 94,5 | 4,0/5,3 | 46314 | - |
| 75 | 160 | 37 | 3,5 | 2,0 | 131,0 | 100,1 | 3,8/5.0 | 46315 | - |
| 80 | 170 | 39 | 3,5 | 2,0 | 136,0 | 109,7 | 3,6/4,8 | 46316 | T |
| 85 | 180 | 41 | 4,0 | 2,0 | 153,4 | 125,8 | 3,4/4,5 | 46317 | X* |
| 90 | 190 | 43 | 4,0 | 2,0 | 165,0 | 142,2 | 3,2/4,3 | 46318 | X |
| а = 36° | |||||||||
| 17 | 40 | 12 | 1,0 | 0,5 | 10 | 5,8 | 14/19 | 66203 | Т* |
| 20 | 47 | 14 | 1,5 | 0,8 | 13,4 | 8,1 | 11/16 | 66204* | - |
| 25 | 52 | 15 | 1,5 | 0,8 | 14,6 | 9,4 | 10/14 | 66205* | - |
| 30 | 62 | 16 | 1,5 | 0,8 | 20,2 | 13,1 | 8,5/12 | 66206 | - |
| 35 | 72 | 17 | 2,0 | 1,0 | 27,0 | 18,5 | 7,5/10 | 66207 | - |
| 40 | 80 | 18 | 2,0 | 1,0 | 32,0 | 22,9 | 6,7/9,0 | 66208 | - |
| 45 | 85 | 19 | 2,0 | 1,0 | 36,9 | 26,1 | 6,3/8,5 | 66209* | - |
| 50 | 90 | 20 | 2,0 | 1,0 | 37,5 | 28,0 | 5,6/7,5 | 66210* | о*,х* |
| 55 | 100 | 21 | 2,5 | 1,2 | 46,3 | 35,1 | 5,3/7,0 | 66211 | - |
| 60 | ПО | 22 | 2,5 | 1,2 | 56,0 | 43,7 | 4,8/6,3 | 66212 | - |
| 75 | 130 | 25 | 2,5 | 1,2 | 68,0 | 60,3 | 4,0/5,3 | 66215 | - |
| 85 | 150 | 28 | 3,0 | 1,5 | 90,0 | 79,0 | 3,4/4,5 | 66217* | - |
| 90 | 160 | 30 | 3,0 | 1,5 | 106,0 | 90,4 | 3,2/4,3 | 66218* | - |
| 95 | 170 | 32 | 3,5 | 2,0 | 116,0 | 104,6 | 3,0/4,0 | 66219 | - |
| 17 | 47 | 14 | 1,5 | 0,8 | 17,3 | 8,38 | 22/31 | 66303 | - |
| 20 | 52 | 15 | 2,0 | ,0 | 18,5 | 11,0 | 10/15 | 66304 | - |
| 25 | 62 | 17 | 2,0 | ,0 | 25,1 | 15,6 | 9,0/12 | 66305 | т |
| 35 | 80 | 21 | 2,5 | ,2 | 38,3 | 24,4 | 7,0/9,5 | 66307* | т |
| 40 | 90 | 23 | 2,5 | ,2 | 50,5 | 33,2 | 6,3/8,5 | 66308* | - |
| 45 | 100 | 25 | 2,5 | ,2 | 59,4 | 40,5 | 5,6/7,5 | 66309 | т |
| 55 | 120 | 29 | 3,0 | ,5 | 80,5 | 57,5 | 4,5/6,3 | 66311* | о,т* |
| 70 | 150 | 35 | 3,5 | 2,0 | 119,0 | 87,8 | 3,6/4,8 | 66314 | - |
| 75 | 160 | 37 | 3,5 | 2,0 | 128,7 | 92,2 | 3,4/4,8 | 66315* | т |
| 90 | 190 | 43 | 4,0 | 2,0 | 160,0 | 140,9 | 2,8/3,8 | 66318 | о*,х |
| 95 | 200 | 45 | 4,0 | 2,0 | 173,7 | 141,1 | 2,6/3,6 | 66319 | - |
| 30 | 90 | 23 | 2,5 | 1,2 | 43,8 | 30 | 6,5/9,0 | 66406 | т |
| 40 | ПО | 27 | 3,0 | 1,5 | 72,2 | 45,8 | 5,0/7,0 | 66408 | X |
| 45 | 120 | 29 | 3,0 | 1,5 | 81,6 | 51,0 | 4,8/6,6 | 66409 | т |
| 55 | 140 | 33 | 3,5 | 2,0 | 105,0 | 68,3 | 4,0/5,5 | 66411 | - |
| 60 | 150 | 35 | 3,5 | 2,0 | 125,0 | 89,8 | 3,7/5,1 | 66412 | Х,Т |
| 70 | 180 | 42 | 4,0 | 2,0 | 152,0 | 124,8 | 3,1/4,3 | 66414 | - |
| 90 | 225 | 54 | 5,0 | 2,5 | 208,0 | 188 | 2,5/3,4 | 66418 | - |
/td>
Примечание: предельные частоты вращения n указаны для пластичного смазочного материала (числитель) и жидкого (знаменатель).
| Размеры, мм |
Cr, kH |
Cor kH |
n*10-3 мин -1 |
Обозначение | |||
| d |
D |
В |
r | ||||
| 45 |
85 |
19 |
2,0 |
50,3 |
28,3 |
10,0/12,5 |
116209 |
| 55 |
100 |
21 |
2,5 |
64,4 |
38,6 |
8,0/10 |
116211 |
| 65 |
120 |
23 |
2,5 |
78,0 |
50,6 |
6,3/8,0 |
116213 |
Подшипники шариковые радиальные однорядные (из ГОСТ 8338-75)
Примечание: предельные частоты вращения n указаны для пластичного смазочного материала (числитель) и жидкого (знаменатель). Подшипники, отмеченные знаком “*” выпускаются опытными партиями.|
Размеры, мм |
Cr, кН |
Cor кН |
n*10-3 мин |
Обозначение | |||
|
d |
D |
В |
r | ||||
|
10 |
26 |
8 |
0,5 |
4,62 |
1,96 |
30/36 |
100 |
|
12 |
28 |
8 |
0,5 |
5,07 |
2,36 |
26/32 |
101 |
|
15 |
32 |
9 |
0,5 |
5,59 |
2,85 |
22/28 |
102 |
|
17 |
35 |
10 |
0,5 |
6,05 |
3,25 |
19/24 |
103 |
|
20 |
42 |
12 |
1,0 |
9,36 |
5,0 |
17/20 |
104 |
|
25 |
47 |
12 |
1,0 |
11,2 |
6,5 |
15/18 |
105 |
|
30 |
55 |
13 |
1,5 |
13,3 |
8,3 |
12/15 |
106 |
|
35 |
62 |
14 |
1,5 |
15,9 |
10,2 |
10/13 |
107 |
|
40 |
68 |
15 |
1,5 |
16,8 |
11,6 |
9,5/12 |
108 |
|
45 |
75 |
16 |
1,5 |
20,8 |
14,6 |
9,0/11 |
109 |
|
50 |
80 |
16 |
1,5 |
21,6 |
16,0 |
8,5/10 |
110 |
|
55 |
90 |
18 |
2,0 |
28,1 |
21,2 |
7,5/9,0 |
111 |
|
60 |
95 |
18 |
2,0 |
29,6 |
23,2 |
6,7/8,0 |
112 |
|
65 |
100 |
18 |
2,0 |
30,7 |
25,0 |
6,3/7,5 |
113 |
|
70 |
110 |
20 |
2,0 |
37,7 |
31,0 |
6,0/7,0 |
114 |
|
75 |
115 |
20 |
2,0 |
39,7 |
33,5 |
5,6/6,7 |
115 |
|
80 |
125 |
22 |
2,0 |
47,7 |
40,0 |
5,3/6,3 |
116 |
|
85 |
130 |
22 |
2,0 |
49,4 |
43,0 |
5,0/6,0 |
117 |
|
90 |
140 |
24 |
2,5 |
58,5 |
50,0 |
4,8/5,6 |
118 |
|
95 |
145 |
24 |
2,5 |
60,5 |
54,0 |
4,5/5,3 |
119 |
|
100 |
150 |
24 |
2,5 |
60,5 |
54,0 |
4,3/5,0 |
120 |
|
10 |
30 |
9 |
1,0 |
5,90 |
2,65 |
24/30 |
200 |
|
12 |
32 |
10 |
1,0 |
6,89 |
3,1 |
22/28 |
201 |
|
15 |
35 |
11 |
1,0 |
7,80 |
3,75 |
19/24 |
202 |
|
17 |
40 |
12 |
1,0 |
9,56 |
4,75 |
17/20 |
203 |
|
20 |
47 |
14 |
14 |
12,7 |
6,55 |
15/18 |
204 |
|
25 |
52 |
15 |
14 |
14,0 |
7,8 |
12/15 |
205 |
|
30 |
62 |
16 |
1,5 |
19,5 |
11,2 |
10/13 |
206 |
|
35 |
72 |
17 |
2,0 |
25,5 |
153 |
9/11 |
207 |
|
40 |
80 |
18 |
2,0 |
32,0 |
19,0 |
8,5/11 |
208 |
|
45 |
85 |
19 |
2,0 |
33,2 |
21,6 |
74/9 |
209 |
|
50 |
90 |
20 |
2,0 |
35,1 |
23,5 |
7/84 |
210 |
|
55 |
100 |
21 |
2,5 |
43,6 |
29,0 |
6,3/7,5 |
211 |
|
60 |
110 |
22 |
2,5 |
52,0 |
32,5 |
6/7 |
212 |
| 65 | 120 | 23 | 2,5 | 56,0 | 40,5 | 5,3/6,3 | 213 |
| 70 | 125 | 24 | 2,5 | 61,8 | 45,0 | 5/6 | 214 |
| 75 | 130 | 25 | 2,5 | 66,3 | 49,0 | 4,8/5,6 | 215 |
| 80 | 140 | 26 | 3,0 | 70,2 | 55,0 | 4,5/53 | 216 |
| 85 | 150 | 28 | 3,0 | 83,2 | 64,0 | 43/5 | 217 |
| 90 | 160 | 30 | 3,0 | 95,6 | 73,5 | 3,8/4,5 | 218 |
| 95 | 170 | 32 | 3,5 | 108 | 81,5 | 3,6/4,3 | 219 |
| 12 | 37 | 12 | 14 | 9,75 | 4,65 | 19/24 | 301 |
| 15 | 42 | 13 | 1,5 | 11,4 | 5,4 | 17/20 | 302 |
| 17 | 47 | 14 | 14 | 13,5 | 6,65 | 16/19 | 303 |
| 20 | 52 | 15 | 2,0 | 15,9 | 7,8 | 13/16 | 304 |
| 25 | 62 | 17 | 2,0 | 22,5 | 11,6 | 11/14 | 305 |
| 30 | 72 | 19 | 2,0 | 28,1 | 16,0 | 9/11 | 306 |
| 35 | 80 | 21 | 2,5 | 33,2 | 19,0 | 8.5/10 | 307 |
| 40 | 90 | 23 | 2,5 | 41,0 | 24,0 | 74/9 | 308 |
| 45 | 100 | 25 | 2,5 | 52,7 | 31,5 | 6,7/8 | 309 |
| 50 | 110 | 27 | 3,0 | 61,8 | 38,0 | 6,3/74 | 310 |
| 55 | 120 | 29 | 3,0 | 71,5 | 45,0 | 5,6/6,7 | 311 |
| 60 | 130 | 31 | 3,5 | 81,9 | 52,0 | 5/6 | 312 |
| 65 | 140 | 33 | 3,5 | 92,3 | 60,0 | 4,8/5,6 | 313 |
| 70 | 150 | 35 | 3,5 | 104 | 68,0 | 44/5,3 | 314 |
| 75 | 160 | 37 | 3,5 | 114 | 76,5 | 43/5,0 | 315 |
| 80 | 170 | 39 | 3,5 | 124 | 86,5 | 3,8/4,5 | 316 |
| 17 | 62 | 17 | 2,0 | 22,9 | 11,8 | 12/15 | 403 |
| 20 | 72 | 19 | 2,0 | 30,7 | 16,6 | 10/13 | 404* |
| 25 | 80 | 21 | 2,5 | 36,4 | 20,4 | 9,0/11 | 405 |
| 30 | 90 | 23 | 2,5 | 47,0 | 26,7 | 84/10 | 406 |
| 35 | 100 | 25 | 2,5 | 55,3 | 31,0 | 7,0/8,5 | 407 |
| 40 | 110 | 27 | 3,0 | 63,7 | 364 | 6,7/8,0 | 408 |
| 45 | 120 | 29 | 3,0 | 76,1 | 45,5 | 6,0/7,0 | 409 |
| 50 | 130 | 31 | 34 | 87,1 | 52,0 | 5,3/63 | 410 |
| 55 | 140 | 33 | 3,5 | 100 | 63,0 | 5,0/6,0 | 411 |
| 60 | 150 | 35 | 3,5 | 108 | 70,0 | 4,8/5,6 | 412 |
| 65 | 160 | 37 | 3,5 | 119 | 78,1 | 4,5/5,3 | 413 |
| 70 | 180 | 42 | 4,0 | 143 | 105 | 3,8/4,5 | 414 |
| 80 | 200 | 48 | 4,0 | 163 | 125 | 3,4/4,0 | 416 |
| 85 | 210 | 52 | 5,0 | 174 | 137 | 3,2/3,8 | 417 |
| 15 | 32 | 8 | 0,5 | 5,59 | 2,85 | 22/28 | 7000102 |
| 17 | 35 | 8 | 0,5 | 6,05 | 3,25 | 19/24 | 7000103 |
| 25 | 47 | 8 | 0,5 | 7,61 | 4,75 | 14/17 | 7000105 |
| 30 | 55 | 9 | 0,5 | Н,2 | 7,35 | 12/15 | 7000106 |
| 35 | 62 | 9 | 0,5 | 12,4 | 8,15 | 10/13 | 7000107 |
| 40 | 68 | 9 | 0,5 | 13,8 | 9,15 | 9,5/12 | 7000108 |
| 45 | 75 | 10 | 1,0 | 15,6 | 10,8 | 9/11 | 7000109 |
| 50 | 80 | 10 | 1,0 | 16,3 | 11,4 | 85/10 | 7000110 |
| 55 | 90 | 11 | 1,0 | 19,5 | 14,0 | 74/9 | 7000111 |
| 60 | 95 | 11 | 1,0 | 19,9 | 15,0 | 6,7/8 | 7000112 |
| 65 | 100 | И | 1,0 | 21,2 | 16,6 | 6,3/74 | 7000113 |
| 70 | НО | 13 | 1,0 | 28,1 | 25.0 | 6/7 | 7000114 |
| 75 | 115 | 13 | 1,0 | 28,6 | 27,0 | 5,6/6,7 | 7000115 |
| 80 | 125 | 1,4 | 1,0 | 33,2 | 31,5 | 53/64 | 7000116 |
| 120 | 180 | 19 | 1,5 | 61,8 | 64,0 | 3,4/4,0 | 7000124 |
| 150 | 225 | 24 | 2,0 | 92,3 | 98,0 | 2,6/3,2 | 7000130 |
| 20 | 32 | 4 | 0,5 | 1,74 | 1,18 | 20/26 | 7000804 |
| 25 | 37 | 4 | 0,5 | 1,74 | 1,18 | 17/20 | 7000805 |
| 30 | 42 | 4 | 0,5 | 1,82 | 1,18 | 15/18 | 7000806 |
| 35 | 47 | 4 | 0,5 | 1,82 | 1,18 | 13/16 | 7000807 |
| 40 | 52 | 4 | 0,5 | 1,82 | 1,18 | 11/14 | 7000808 |
| 55 | 72 | 7 | 0,5 | 4,69 | 3,7 | 8,5/10 | 7000811 |
| 120 | 150 | 10 | 1,5 | 7,72 | 4,95 | 3,8/44 | 7000824 |
| 170 | 215 | 14 | 1,0 | 28,5 | 31,5 | 2,6/3,2 | 7000834 |
| 15 | 24 | 5 | 0,5 | 146 | 0,83 | 28/34 | 1000802 |
| 20 | 32 | 7 | 0,5 | 2,7 | 14 | 19/24 | 1000804* |
| 25 | 37 | 7 | 0,5 | 345 | 2,8 | 17/20 | 1000805 |
| 30 | 42 | 7 | 0,5 | 4,49 | 2,9 | 15/18 | 1000806 |
| 35 | 47 | 7 | 0,5 | 4,75 | 13/16 | 13/16 | 1000807 |
| 40 | 52 | 7 | 0,5 | 4,94 | 3,45 | 11/14 | 1000808 |
| 60 | 78 | 10 | 0,5 | 8,71 | 7,35 | 7,5/9 | 1000812 |
| 65 | 85 | 10 | 1,0 | 11,7 | 9,15 | 7/8,5 | 1000813 |
| 70 | 90 | 10 | 1,0 | 12,1 | 10 | 6,7/8 | 1000814 |
| 80 | 100 | 10 | 1,0. | 12,4 | 10,8 | 6/7 | 1000816 |
| 85 | 110 | 13 | 1,5 | 194 | 16,6 | 53/64 | 1000817* |
| 90 | 115 | 13 | 14 | 194 | 17 | 54/6,3 | 1000818 |
| 95 | 120 | 13 | 14 | 19,9 | 17,6 | 5/6 | 1000819 |
| 105 | 130 | 13 | 1,5 | 20,8 | 19,6 | 4,5/5,3 | 1000821 |
| 110 | 140 | 16 | 1,5 | 28,1 | 26,0 | 4,3/5.0 | 1000822 |
| 120 | 150 | 16 | 1,5 | 29,1 | 28,0 | 3,8/4,5 | 1000824 |
| 140 | 175 | 18 | 2,0 | 39,0 | 46,5 | 3,4/4,0 | 1000828 |
| 150 | 190 | 20 | 2,0 | 48,8 | 61,0 | 3.0/3,6 | 1000830 |
| 160 | 220 | 20 | 2,0 | 49,4 | 64,0 | 2,8/3,4 | 1000832 |
| 170 | 215 | 22 | 2,0 | 61,8 | 78,0 | 2,6/3,2 | 1000834 |
| 180 | 225 | 22 | 2,0 | 62,4 | 81,5 | 2,4/3,0 | 1000836 |
| 200 | 250 | 24 | 2,5 | 76,1 | 102 | 2,2/2,8 | 1000840 |
| 45 | 58 | 8 | 0,5 | 4,3 | 2,96 | 9,5/12 | 2000809 |
| 15 | 28 | 7 | 0,5 | 4,03 | 2,04 | 24/30 | 1000902 |
| 17 | 30 | 7 | 0,5 | 4,36 | 2,32 | 22/28 | 1000903 |
| 20 | 37 | 9 | 0,5 | 6,55 | 3,65 | 18/22 | 1000904 |
| 25 | 42 | 9 | 0,5 | 7,32 | 4,0 | 16/19 | 1000905 |
| 30 | 47 | 9 | 0,5 | 7,59 | 4,55 | 14/17 | 1000906 |
| 35 | 55 | 10 | 1,0 | 10,4 | 6,2 | 11/14 | 1000907 |
| 40 | 62 | 12 | 1,0 | 13,8 | 9,3 | 10/13 | 1000908 |
| 45 | 68 | 12 | 1,0 | 14,3 | 8,15 | 9/11 | 1000909 |
| 55 | 72 | 7 | 0,5 | 4,69 | 3,7 | 8.5/10 | 7000811 |
| 55 | 80 | 13 | 1,5 | 16,0 | 11,4 | 8,0/9,5 | 1000911 |
| 60 | 85 | 13 | 1,5 | 16,5 | 12,0 | 7,5/9 | 1000912 |
| 65 | 90 | 13 | 1,5 | 17,4 | 13,4 | 6,7/8 | 1000913 |
| 75 | 105 | 16 | 1,5 | 24,3 | 19,3 | 6/7 | 1000915 |
| 80 | ПО | 16 | 1,5 | 27,5 | 20,4 | 5,6/6,7 | 1000916 |
| 85 | 120 | 18 | 2,0 | 31,9 | 30,0 | 5,3/6,3 | 1000917 |
| 90 | 125 | 18 | 2,0 | 33,2 | 31,5 | 5/6 | 1000918 |
| 95 | 130 | 18 | 2,0 | 33,8 | 33,3 | 4,8/5,6 | 1000919 |
| 100 | 140 | 20 | 2,0 | 44,9 | 41,5 | 4,5/5,3 | 1000920 |
| 105 | 145 | 20 | 2,0 | 46,5 | 44,0 | 4.3/5.0 | 1000921 |
| ПО | 150 | 20 | 2,0 | 46,5 | 45,0 | 4,0/4,8 | 1000922 |
| 120 | 165 | 22 | 2,0 | 55,3 | 57,0 | 3,6/4,3 | 1000924 |
| 130 | 180 | 24 | 2,5 | 65,3 | 67,0 | 3,4/4,0 | 1000926 |
| 140 | 190 | 24 | 2,5 | 66,6 | 72,0 | 3,2/3,8 | 1000928 |
| 150 | 210 | 28 | 3,0 | 88,4 | 93.0 | 2,8/3,4 | 1000930 |
| 160 | 220 | 28 | 3,0 | 92,3 | 98,0 | 2,6/3.2 | 1000932 |
| 170 | 230 | 28 | 3,0 | 93,6 | 106 | 2,4/3,0 | 1000934 |
Подшипники шариковые радиальные однорядные гибкие (из ГОСТ 23179-78)
|
Размеры, мм |
Z |
Cr, кН |
Cor, кН |
n*10-3, мин-1 |
Обозначение | ||||
|
d |
D |
В |
r |
Dw | |||||
|
45 |
62 |
9 |
0,3 |
5,953 |
21 |
10,65 |
11,98 |
4,98 |
809 |
|
55 |
72 |
11 |
0,3 |
7,144 |
21 |
13,87 |
16,83 |
4,98 |
811 |
|
60 |
80 |
13 |
0,3 |
7,144 |
23 |
15,48 |
19,25 |
4,98 |
812 |
|
75 |
100 |
15 |
0,6 |
9,128 |
21 |
22,58 |
28,69 |
4,50 |
815 |
|
90 |
120 |
18 |
0,6 |
11,113 |
23 |
34,30 |
46,60 |
4,50 |
818 |
|
110 |
150 |
24 |
0,6 |
14,288 |
21 |
51,50 |
69,00 |
3,48 |
822 |
|
120 |
160 |
24 |
0,6 |
14,288 |
23 |
53,92 |
77,00 |
3,00 |
824 |
|
150 |
2QO |
30 |
0,6 |
19,050 |
23 |
92,12 |
134,38 |
2,52 |
830 |
|
180 |
240 |
35 |
1,0 |
22,225 |
23 |
121,60 |
182,91 |
2,52 |
836 |
|
190 |
250 |
36 |
1,1 |
22,225 |
23 |
136,78 |
212,75 |
2,52 |
838 |
|
220 |
300 |
45 |
1,5 |
28,575 |
23 |
182,33 |
302,26 |
2,52 |
844 |
|
240 |
320 |
48 |
1,5 |
28,575 |
23 |
179,10 |
307,99 |
1,98 |
848 |
|
300 |
400 |
60 |
1,5 |
36,513 |
23 |
252,43 |
502,88 |
1,98 |
860 |
|
310 |
420 |
60 |
1,5 |
36,513 |
23 |
252,43 |
502,88 |
1,98 |
862 |
|
360 |
480 |
72 |
2,1 |
44,450 |
23 |
338,45 |
731,64 |
1,98 |
872 |
Подшипники шариковые радиальные сферические двухрядные (ГОСТ 28428-90)
Примечание: 1. Предельные частоты вращения n указаны для пластичного смазочного материала (числитель) и жидкого (знаменатель).2. Подшипники, отмеченные знаком “*” выпускаются опытными партиями.
3. Для подшипников, устанавливаемых на валу с помощью закрепительной втулки, указаны длина втулки и диаметр посадочного отверстия втулки на вал d1.
| Размеры, мм |
Cr, kH |
Cor, kH |
n*10-3 мин-1 |
e |
Обозначение подшипников | ||||||
| d | d1 | D | B | r | l | 1000 | 11000 | ||||
| 17 | - | 40 | 12 | 1,0 | - | 7,93 | 2,0 | 18/22 | 0,31 | 1203 | - |
| 20 | - | 47 | 14 | 1,5 | - | 9,95 | 2,6 | 15/18 | 0,27 | 1204 | - |
| 25 | 20 | 52 | 15 | 1,5 | 26 | 12,1 | 3.3 | 13/16 | 0,27 | 1205 | 11204 |
| 30 | 25 | 62 | 16 | 1,5 | 27 | 15,6 | 4,7 | 10/13 | 0,24 | 1206 | 11205 |
| 35 | 30 | 72 | 17 | 2,0 | 29 | 15,9 | 5.2 | 9,0/1 1 | 0,23 | 1207 | 11206 |
| 40 | 35 | 80 | 18 | 2,0 | 31 | 19,0 | 6,6 | 8.5/10 | 0,22 | 1208 | 11207 |
| 45 | 40 | 85 | 19 | 2,0 | 33 | 21,6 | 7,5 | 7,5/9,0 | 0,21 | 1209 | 11208 |
| 50 | 45 | 90 | 20 | 2,0 | 35 | 22,9 | 8,3 | 7,0/8,5 | 0,21 | 1210 | 11209 |
| 55 | 50 | 100 | 21 | 2,5 | 37 | 26,5 | 10,3 | 6,3/7.5 | 0,20 | 1211 | 11210 |
| 60 | 55 | НО | 22 | 2,5 | 38 | 30,2 | 12,0 | 5,6/6,7 | 0,19 | 1212 | 11211 |
| 65 | 60 | 120 | 23 | 2,5 | 40 | 31,2 | 13,0 | 5,3/6.3 | 0,17 | 1213 | 11212 |
| 70 | - | 125 | 24 | 2,5 | - | 34,5 | 24,3 | 5,0/6,0 | 0,18 | 1214 | - |
| 17 | - | 47 | 14 | 1,5 | - | 12,5 | 3,1 | 14/17 | 0,33 | 1303 | - |
| 20 | - | 52 | 15 | 2,0 | - | 12,5 | 3,3 | 12/15 | 0,29 | 1304 | - |
| 25 | - | 62 | 17 | 2,0 | - | 17,8 | 5.0 | 9,5/13 | 0,28 | 1305 | - |
| 30 | 25 | 72 | 19 | 2,0 | 31 | 21,2 | 6,4 | 9,0/11 | 0,26 | 1306 | 11305 |
| 35 | 30 | 80 | 21 | 2,5 | 35 | 25,1 | 8,0 | 7,5/9.0 | 0,25 | 1307 | 11306 |
| 40 | 35 | 90 | 23 | 2,5 | 36 | 29.6 | 9,7 | 6,7/8,0 | 0,24 | 1308 | 11307 |
| 45 | 40 | 100 | 25 | 2,5 | 39 | 37.7 | 12,8 | 6,3/7,5 | 0,25 | 1309 | 11308 |
| 50 | 45 | ПО | 27 | 3.0 | 42 | 43,6 | 14,5 | 5,6/6,7 | 0,24 | 1310 | 11309 |
| 55 | 50 | 120 | 29 | 3,0 | 45 | 50,7 | 18,0 | 5,0/6,0 | 0,23 | 1311 | 11310 |
| 60 | 55 | 130 | 31 | 3,5 | 47 | 57,2 | 21,0 | 4,5/5,3 | 0,23 | 1312 | 11311 |
| 65 | 60 | 140 | 33 | 3,5 | 50 | 61,8 | 23.3 | 4,3/5,0 | 0,23 | 1313 | 11312* |
| 70 | - | 150 | 35 | 3,5 | - | 74,1 | 28,1 | 4,0/4,8 | 0,22 | 1314 | - |
| 20 | - | 47 | 18 | 1,5 | - | 12,5 | 3,2 | 14/17 | 0,48 | 1504 | - |
| 25 | - | 52 | 18 | 1,5 | - | 12,4 | 3,5 | 11/14 | 0,43 | 1505 | - |
| 30 | 25 | 62 | 20 | 1,5 | 31 | 15,3 | 4,6 | 9,5/12 | 0,39 | 1506 | 11505 |
| 35 | 30 | 72 | 23 | 2,0 | 35 | 21,6 | 6,6 | 8,5/10 | 0,37 | 1507 | 11506 |
| 40 | - | 80 | 23 | 2,0 | - | 22,5 | 7,5 | 7,5/9,0 | 0,33 | 1508 | - |
| 45 | 40 | 85 | 23 | 2,0 | 39 | 23,4 | 8.3 | 7,0/8,5 | 0,31 | 1509 | 11508* |
| 50 | 45 | 90 | 23 | 2,0 | 42 | 23,4 | 8,7 | 6,3/7,5 | 0,28 | 1510 | 11509* |
| 60 | - | 110 | 28 | 2,5 | - | 33,8 | 13,0 | 5,3/6,3 | 0,28 | 1512 | - |
| 65 | 60 | 120 | 31 | 2,5 | 50 | 43,6 | 16,8 | 5,0/6,0 | 0,28 | 1513 | 11512 |
| 20 | - | 52 | 21 | 2,0 | - | 18,2 | 4,6 | 11/14 | 0,52 | 1604 | - |
| 25 | - | 62 | 24 | 2,0 | - | 24,2 | 6,4 | 9,5/12 | 0,47 | 1605 | - |
| 30 | - | 72 | 27 | 2.0 | - | 31,2 | 8,7 | 8,5/10 | 0,44 | 1606 | - |
| 35 | 30 | 80 | 31 | 2,5 | 43 | 39,7 | 11,0 | 7,0/8,5 | 0,46 | 1607 | 11606 |
| 40 | - | 90 | 33 | 2,5 | - | 44,9 | 13,2 | 6,3/7,5 | 0,43 | 1608 | - |
| 45 | - | 100 | 36 | 2,5 | - | 53,8 | 16,5 | 5,6/6,7 | 0,43 | 1609 | - |
| 50 | 45 | 110 | 40 | 3,0 | 55 | 63,7 | 19,9 | 5,3/6,3 | 6,43 | 1610 | 11609 |
| 55 | - | 120 | 43 | 3,0 | - | 76,1 | 23,6 | 4,5/5,6 | 0,41 | 1611 | - |
| 60 | 55 | 130 | 46 | 3,5 | 62 | 87,1 | 28,1 | 4,0/5,0 | 0,40 | 1612 | 11611 |
| 65 | 60 | 140 | 48 | 3,5 | 65 | 95,6 | 32,3 | 3,6/4,5 | 0,38 | 1613 | 11612* |
| 60 | - | 150 | 35 | 3,5 | - | 78 | 27,6 | 3,2/4,0 | 0,41 | 1412 | - |
| 25 | - | 47 | 12 | 1,0 | - | 7,5 | 2,3 | 15/18 | 0,20 | 1105 | - |
| 30 | - | 55 | 13 | 1,5 | - | 9,3 | 3,2 | 12/15 | 0,19 | 1106 | - |
Подшипники шариковые радиальные
| d, мм | Тип подшипника | |
| 60000 | 80000 | |
| 15 | 60202,60302 | 80102,80202* |
| 17 | 60203,60303 | 80103,80203,80303* |
| 20 | 60104,60204,60304 | 80104,80204,80304 |
| 25 | 60105,60205 | 80105,80205 |
| 30 | 60106,60206,60306 | 80106,80206,80306* |
| 35 | 60107*,60207,60307 | 80107,80207,80307* |
| 40 | 60108,60208,60308 | 80108,80208,80308 |
| 45 | 60109,60209,60309 | 80109,80209,80309 |
| 50 | 60110,60210,60310 | 80110*,80210,80310 |
| 55 | 60111*,60211,60311 | 80111*,80211,80311* |
| 60 | 60112*,60212,60312 | 80112,80212,80312 |
| 65 | 60113,60313 | 80213,80313* |
| 70 | 60114*,60214,60314 | 80114,80214,80314 |
| 75 | 60115*60215 | 80115*,80215,80315 |
|
80 |
60116,60216 |
80116,80316 |
|
85 |
- |
80217,80317 |
|
90 |
60118* |
80118*,80218 |
|
95 |
60319 |
80319 |
Примечания: 1. Размеры и характеристики подшипников приведены в табл. 3.1.Например, характеристики подшипников с обозначениями 60211 и 80211 соответствуют характеристикам подшипника 211.
2.Подшипники, отмеченные знаком “*” выпускаются опытными партиями.
Подшипники шариковые упорные одинарные (ГОСТ 7872-89).
Примечание: предельные частоты вращения n указаны для пластичного смазочного материала (числитель) и жидкого (знаменатель).| Размеры, мм |
Cr, kH |
Cor kH |
n*10-3 мин-1 |
Обозначение | |||
| d | D | H | r | ||||
| 25 |
37 |
8 |
0,5 |
8,1 |
15,8 |
5,0/6,7 |
1008905 |
| 30 |
42 |
8 |
0,5 |
8,7 |
18,7 |
4,8/6,3 |
1008906 |
| 35 |
47 |
8 |
04 |
8,9 |
19,7 |
4,5/6,0 |
1008907 |
| 40 |
52 |
9 |
04 |
8,0 |
18,7 |
4,3/5,6 |
1008908 |
| 60 |
75 |
10 |
0,5 |
18,1 |
58,5 |
3,2/4,3 |
1008912 |
| 75 |
90 |
10 |
04 |
16,6 |
55,7 |
2,8/3,8 |
1008915 |
| 90 |
105 |
10 |
0,5 |
17,5 |
65,6 |
2,2/3,2 |
1008918 |
| 20 |
35 |
10 |
0,5 |
12,7 |
21,2 |
5,6/7,5 |
8104 |
| 25 |
42 |
11 | 1,0 |
15,9 |
29,0 |
4,8/6,3 |
8105 |
| 30 |
47 |
11 |
1,0 |
16,8 |
334 |
4,5/6,0 |
8106 |
| 35 |
52 |
12 |
1,0 |
17,4 |
374 |
4,3/5,6 |
8107 |
| 40 |
60 |
13 |
1,0 |
23,4 |
50 |
3,8/5,0 |
8108 |
| 45 |
65 |
14 |
1,0 |
24,2 |
57 |
3,4/44 |
8109 |
| 50 |
70 | 14 | 1,0 | 25,5 | 63 | 3,2/4,3 | 8110 |
| 55 |
78 |
16 |
1,0 |
30,7 |
81,5 |
2,8/3,8 |
8111 |
| 60 |
85 |
17 |
1,5 |
35,8 |
90 |
2,6/3,6 |
8112 |
| 65 |
90 |
18 |
1,5 |
37,1 |
102 |
2,4/3,4 |
8113 |
| 70 |
95 |
18 |
1,5 |
38,0 |
111 |
2,4/3,4 |
8114 |
| 75 |
00 |
19 |
1,5 |
44,2 |
137 |
2,2/3,2 |
8115 |
| 80 |
05 |
19 |
1,5 |
44,9 |
140 |
2,0/3,0 |
8116 |
| 85 |
10 |
19 |
1,5 |
46,2 |
150 |
2,0/3,0 |
8117 |
| 90 |
20 |
22 |
1,5 |
59,2 |
190 |
1,8/2,6 |
8118 |
| 20 |
40 |
14 |
1,0 | 22,5 |
37,5 |
4,5/6,0 |
8204 |
| 25 |
47 |
15 |
1,0 |
27,6 |
50 |
4,0/5,3 |
8205 |
| 30 |
52 |
16 |
1,0 |
25,5 |
47,5 |
3,6/4,8 |
8206 |
| 35 |
62 |
18 |
1,5 |
35,1 |
67 |
3,0/4,0 |
8207 |
| 40 | 68 |
19 |
1,5 |
46,8 |
98 |
2,8/3,8 |
8208 |
| 45 |
73 |
22 |
1,5 |
41,0 |
89 |
2,6/3,6 |
8209 |
| 50 |
78 |
22 |
1,5 |
49,4 |
106 |
2,4/3,4 |
8210 |
| 55 |
90 |
25 |
1,5 |
63,7 |
134 |
1,9/2,8 |
8211 |
| 60 |
95 |
26 |
1,5 |
65,0 |
150 |
1,9/2,8 |
8212 |
| 65 |
100 |
27 |
1,5 |
66,3 |
150 |
1,8/2,6 |
8213 |
| 70 |
105 |
27 |
1,5 |
70,0 |
160 |
1,8/2,6 |
8214 |
| 75 |
110 |
27 |
1,5 |
71,5 |
170 |
1,7/2,4 |
8215 |
| 80 |
115 |
28 |
1,5 |
80,0 |
190 |
1,7/2,4 |
8216 |
| 85 |
125 |
31 |
1,5 |
97,5 |
250 |
1,6/2,2 |
8217 |
| 90 |
135 |
35 |
2,0 |
11,9 |
300 |
1,5/2,0 |
8218 |
| 25 |
52 |
18 |
1,5 |
34,5 |
55 |
3,4/4,5 |
8305 |
| 30 |
60 |
21 |
1,5 |
40,3 |
66,5 |
2,8/3,8 |
8306 |
| 35 |
68 |
24 |
1,5 |
49,4 |
88 |
2,4/3,4 |
8307 |
| 40 |
78 |
26 |
1,5 |
61,8 |
112 |
2,0/3,0 |
8308 |
| 45 |
85 |
28 |
1,5 |
76,1 |
140 |
1,9/2,8 |
8309 |
| 50 |
95 |
31 |
2,0 |
88,4 |
173 |
1,8/2,6 |
8310 |
| 55 |
105 |
35 |
2,0 |
112 |
213 |
1,6/2,2 |
8311 |
| 60 |
110 |
35 |
2,0 |
112 |
213 |
1,6/2,2 |
8312 |
| 65 |
11 |
36 |
2,0 |
114 |
249 |
1,5/2,0 |
8313 |
| 70 |
125 |
40 |
2,0 |
135 |
300 |
1,4/1,9 |
8314 |
| 75 |
13 |
44 |
2,5 |
163 |
360 |
1,2/1,7 |
8315 |
| 80 |
14 |
44 |
2,5 |
159 |
360 |
1,2/1,7 |
8316 |
| 90 | 15 |
50 |
2,5 | 199 |
465 |
1,0/1,5 |
8318 |
Прокатная угловая неравнополочная сталь (из ГОСТ 8510-93)
Примечания:1. А -площадь поперечного сечения.2. х0, у0 -расстояние от центра масс до наружных граней полок.
3. Пример обозначения угловой неравнополочной стали профиля 8/5 с толщиной полки t=5 мм марки СтЗ:
| Номер профиля | B | b | t | R | r | x0 | y0 | A, мм2 | Масса 1 м, кг |
| мм | |||||||||
| 3,2/2 | 32 | 20 | 3 4 |
3,5 | 1,2 | 4,9 5,3 |
10,8 11,2 |
149 194 |
1,17 1,52 |
| 4/2,5 | 40 | 25 | 3 4 5 |
4,0 | 1,3 | 5,9 6,3 6,6 |
13,2 13,7 14,1 |
189 247 303 |
1,48 1,94 2,37 |
| 4,5/2,8 | 45 | 28 | 3 4 |
5,0 | 1,7 | 6,4 6,8 |
14,7 15,1 |
214 280 |
1,68 2,20 |
| 5/3,2 | 50 | 32 | 3 4 |
5,5 | 1,8 | 7,2 7,6 | 16,0 16,5 |
242 317 |
1,90 2,40 |
| 5,6/3,6 | 56 | 36 | 4 5 |
6,0 | 2,0 | 8,4 8,8 | 18,2 18,7 |
358 441 |
2,81 3,46 |
| 6,3/4,0 | 63 | 40 | 4 5 6 8 |
7,0 | 2,3 |
9,1 9,5 9,9 10,7 |
20,3 20,8 21,2 22,0 |
404 498 590 768 |
3,17 3,91 4,63 6,03 |
| 7/4,5 | 70 | 45 | 5 | 7,5 . | 2,5 | 10,5 | 22,8 | 559 | 4,39 |
| 7,5/5 | 75 | 50 | 5 6 8 |
8,0 | 2,7 | 11,7 12,1 12,9 |
23,9 24,4 25,2 |
611 725 947 |
4,79 5,69 7,43 |
| 8/5 | 80 | 50 | 5 6 |
8,0 | 2,7 | 11,3 11,7 |
26,0 26,5 |
636 755 |
4,49 5,92 |
| 9/5,6 | 90 | 56 | 5,5 6 8 |
4,0 | 3,0 | 12,6 12,8 13,6 |
29,2 29,5 30,4 |
786 854 1118 |
6,17 6,70 8,77 |
| 10/6,3 | 100 | 63 | 6 7 8 10 |
10,0 | 3,3 |
14,2 14,6 15,0 15,8 |
32,3 32,8 33,2 34,0 |
958 1109 1257 1547 |
7,53 8,70 9,87 12,14 |
| 11/7 | 110 | 70 | 6,5 8 |
10,0 | 3,3 | 15,8 16,4 |
35,5 36,1 |
1145 1393 |
8,98 10,93 |
| 12,5/8 | 125 | 80 | 7 8 10 12 |
11,0 | 3,7 |
18,0 18,4 19,2 20,0 |
40,1 40,5 41,4 42,2 |
1406 1598 1970 2336 |
11,04 12,58 15,47 18,34 |
Прокатная угловая равнополочная сталь (из ГОСТ 8509-93)
Примечание: 1.А - площадь поперечного сечения.2. х0 - расстояние от центра масс до наружной грани попки.
3. Пример обозначения угловой равнополочной стали профиля 5 с толщиной полки t=4 мм высокой точности прокатки (А) марки Ст 3 сп, категории 2:
| Номер профиля |
b | t | R | r | x0 | А, мм2 | Масса 1 м, кг |
| мм | |||||||
| 3 | 30 | 3 4 |
4,0 | 1,3 | 8,5 8,9 |
174 227 |
1,36 1.78 |
| 3,2 | 32 | 3 4 |
4,5 | 1,5 | 8,9 9,4 |
186 243 |
1,46 1,.91 |
| 3,5 | 35 | 3 4 5 |
4,5 | 1,5 | 9,7 10,1 10,5 |
204 267 328 |
1,60 2,10 2,58 |
| 4 | 40 | 3 4 5 |
5,0 | 1,7 | 10,9 11,3 11.7 |
235 308 379 |
1,85 2,42 2,98 |
| 4,5 | 45 | 3 4 5 |
5,0 | 1,7 | 12,1 12,6 13.0 |
265 348 429 |
2,08 2,73 3,37 |
| 5 | 50 | 3 4 5 6 |
5,5 | . 1,8 | 13,3 13,8 14,2 14.6 |
296 389 480 569 |
2,32 3,05 3,77 4,47 |
| 5,6 | 56 | 4 5 |
6,0 | 2,0 | 15,2 15.7 |
438 541 |
3,44 4,25 |
| 6,3 | 63 | 4 5 6 |
7,0 | 2,3 | 16,9 17,4 17.8 |
496 613 728 |
3,90 4,81 5,72 |
| 7 | 70 | 4,5 5 6 7 8 |
8,0 | 2,7 |
18,8 19,0 19,4 19,9 20.2 |
620 686 815 942 1067 |
4,87 5,38 6,39 7,39 8,37 |
| 7,5 | 75 | 5 6 7 8 9 |
9,0 | 3,0 | 20,2 20,6 21,0 21,5 21.8 |
739 878 1015 1150 1283 |
5,80 6,89 7,96 9,02 10.07 |
| 8 | 80 | 5,5 6 7 8 |
9,0 | 3,0 | 21,7 21,9 22,3 22.7 |
863 938 1085 1230 |
6,78 7,36 8,51 9.65 |
| 9 | 90 | 6 7 8 9 | 10,0 | 3,3 | 24,3 24,7 25,1 25.5 |
1061 1228 1393 1560 |
8,33 9,64 10,93 12,20 |
| 10 | 100 | 6,5 7 8 10 12 14 16 |
12,0 | 4,0 | 26,8 27,1 27,5 28,3 29,1 29,9 30.6 |
1282 1375 1560 1924 2280 2628 2968 |
10,06 10,79 12,25 15,10 17,90 20,63 23,30 |
| 11 | 110 | 1 7-8 |
12,0 | 4,0 | 29,6 30.0 |
1515 1720 |
11,89 13.50 |
| 12,5 | 125 | 8 9 10 12 14 16 |
14,0 | 4,6 | 33,6 34,0 34,5 35,3 36,1 36,8 |
1969 2200 2433 2889 3337 3777 |
15,46 17,30 19,10 22,68 26,20 29,65 |
Размеры канавок под упорное пружинное кольцо
| Размеры, мм. | |||||
| D | D1 | r | r1 | a | c |
| 35 | 33,2 | 1 | 0,5 | 2,05 | 0,3 |
| 40 | 38,1 | 1 | 0,5 | 2,05 | 0,3 |
| 47 | 44,6 | 1,5 | 0,5 | 2,45 | 0,3 |
| 52 | 49,7 | 2 | 2 | 2,45 | 0,3 |
| 55 | 52,6 | 1,5 | 1,5 | 2,08 | 1,3 |
| 62 | 59,6 | 2 | 2 | 3,25 | 0,9 |
| 68 | 64,8 | 1,5 | 1,5 | 2,49 | 1,9 |
| 72 | 68,8 | 2 | 2 | 3,25 | 1,9 |
| 80 | 76,8 | 2,5 | 2,5 | 3,25 | 1,9 |
| 85 | 81,1 | 2 | 0,8 | 3,25 | 1,9 |
| 90 | 86,8 | 2,5 | 0,8 | 3,25 | 2,7 |
| 100 | 96,8 | 2,5 | 0,8 | 3,25 | 2,7 |
| 115 | 111,8 | 2 | 0,8 | 2,87 | 2,7 |
| 120 | 115,2 | 2,5 | 0,8 | 4,05 | 3,1 |
| 130 | 125,2 | 3,5 | 0,8 | 4,05 | 3,1 |
| 140 | 135,2 | 3,5 | 0,8 | 4,9 | 3,1 |
| 150 | 145,2 | 3,5 | 0,8 | 4,9 | 3,1 |
Шайбы концевые (из ГОСТ 14734-69), мм
Примечание:1. * -болт по ГОСТ 7798-70.2. ** -штифт по ГОСТ 3128-70.
Пример условного обозначения концевой шайбы D = 50 мм: "Шайба 7019-0631 ГОСТ 14734-69"".
| Обозначение шайбы | D | H | A | d1 | d2 | c | D0 | d3 | d4 | l | l1 | Болт* | Штифт** |
| 7019—0623 | 32 | 5 | 9 | 6,6 | 4,5 | 1,0 | 24—28 | М6 | 4К7 | 18 | 12 | М6х16 | 4m6 x 12 |
| 7019—0625 | 36 | 10 | 28—32 | ||||||||||
| 7019—0627 | 40 | 10 | 32—36 | ||||||||||
| 7019—0629 | 45 | 12 | 36—40 | ||||||||||
| 7019—0631 | 50 | 16 | 40—45 | ||||||||||
| 7019—0633 | 56 | 16 | 45—50 | ||||||||||
| 7019—0635 | 63 | 6 | 20 | 9,0 | 5,5 | 1,6 | 50—55 | М8 |
5К7 | 22 | 16 | М8х20 | 5m6 х 16 |
| 7019—0637 | 67 | 20 | 55—60 | ||||||||||
| 7019—0639 | 71 | 25 | 60—65 | ||||||||||
| 7019—0641 | 75 | 25 | 65—70 | ||||||||||
| 7019—0643 | 85 | 28 | 70—75 |
Шайбы пружинные (из ГОСТ 6402-70)
Примечание:Пример условного обозначения пружинной шайбы для болта, винта, шпильки диаметром резьбы 12 мм из стали 65Г: "Шайба 12 65Г ГОСТ 6402-70".| Номинальный диаметр резьбы болта, винта, шпильки | d | s=b | Номинальный диаметр резьбы болта, винта, шпильки | d | s=b |
| 6 8 10 12 |
6,1 8,2 10,2 12,2 |
1,4 2,0 2,5 3,0 |
16 20 24 |
16,3 20,5 24.5 |
3,5 4,5 5,5 |
Шайбы стальные уплотнительные, мм
| Диаметры подшипника | Общие, размеры | Исполнение I | Исполнение II | ||||||
| d | D | s | h | D1 | d | d1 | d2 | D | D2 |
| 20 | 47 | 0,3 | 2 | 41,2 | 20 | 29 | 25,7 | 47 | 37 |
| 52 | 44,8 | 33 | 27,2 | 52 | 40 | ||||
| 25 | 52 | 47 | 25 | 36 | 31,5 | 52 | 42 | ||
| 62 | 2,5 | 54,8 | 40 | 32,2 | 62 | 47 | |||
| 30 |
62 72 |
56,2 64,8 |
30 |
44 48 |
36,3 37,2 |
62 72 |
47 56 | ||
| 35 |
72 80 |
64,8 70,7 |
35 |
48 54 |
43 45 |
72 80 |
56 65 | ||
| 40 |
80 90 |
3 |
72,7 80,5 |
40 |
57 60 |
48 51 |
80 90 |
62 70 | |
| 45 |
85 100 |
77,8 90,8 |
45 |
61 75 |
53 56 |
85 100 |
68 80 | ||
| 50 |
90 110 |
82,8 98,9 |
50 |
67 80 |
57,5 62 |
90 110 |
73 86 | ||
| 55 |
100 120 |
90,8 108,0 |
55 |
75 89 |
64,5 67 |
100 120 |
80 93 | ||
| 60 |
110 130 |
100,8 117,5 |
60 |
85 95 |
70 73 |
110 130 |
85 102 | ||
| 65 | 120 |
110,5 127,5 |
65 |
90 100 |
74,5 76,5 |
120 140 |
95 110 | ||
| 140 | 0,5 | 3,5 | |||||||
| 70 | 125 | 0,3 |
115,8 137,0 |
70 |
95 110 |
79,5 82,6 |
125 150 |
102 120 | |
| 150 | 0,5 | ||||||||
| 75 |
130 160 |
120,5 147,0 |
75 |
100 110 |
85 87,2 |
130 160 |
105 115 |
Шайбы стопорные многолапчатые (из ГОСТ 11872-89), мм
Примечание: Пример обозначения шайбы для гайки круглой шлицевой с резьбой М64 х 2, из стали марки 08 кп, с покрытием химическим окисным и пропитанным маслом: "Шайба 64.O8кп.05 ГОСТ 11872-89"| Резьба, d | d1 | D | D1 | l | b | h | s | Резьба, d | d1 | D | D1 | l | b | h | s |
| М20х1,5 | 20,5 | 36 | 27 | 17 | 4,8 | 4 | 1,0 | М48х1,5 | 48,5 | 77 | 60 | 45 | 7,8 | 5 | 1,6 |
| M22xl,5 | 22,5 | 40 | 30 | 19 | 4,8 | 4 | 1,0 | М52х1,5 | 52,5 | 82 | 65 | 49 | 7,8 | 6 | 1,6 |
| М24х1,5 | 24,5 | 44 | 33 | 21 | 4,8 | 4 | 1,0 | М56х2,0 | 57,0 | 87 | 70 | 53 | 7,8 | 6 | 1;6 |
| М27х1,5 | 27,5 | 47 | 36 | 24 | 4,8 | 5 | 1,0 | М60х2,0 | 61,0 | 92 | 75 | 57 | 7,8 | 6 | 1,6 |
| МЗ0х1,5 | 30,5 | 50 | 39 | 27 | 4;8 | 5 | 1,0 | М64х2,0 | 65,0 | 98 | 80 | 61 | 7,8 | 6 | 1,6 |
| МЗЗх1,5 | 33,5 | 54 | 42 | 30 | 5,8 | 5 | 1,6 | М68х2,0 | 69,0 | 102 | 85 | 65 | 9,5 | 7 | 1,6 |
| МЗ6х1,5 | 36,5 | 58 | 45 | 33 | 5,8 | 5 | 1,6 | M72х2,0 | 73,0 | 107 | 90 | 69 | 9,5 | 7 | 1,6 |
| M39xl,5 | 39,5 | 62 | 48 | 36 | 5,8 | 5 | 1,6 | М76х2,0 | 77,0 | 112 | 95 | 73 | 9,5 | 7 | 1,6 |
| М42х1,5 | 42,5 | 67 | 52 | 39 | 5,8 | 5 | 1,6 | М80х2,0 | 81,0 | 117 | 100 | 76 | 9,5 | 7 | 1,6 |
| М45х1,5 | 45,5 | 72 | 56 | 42 | 5,8 | 5 | 1,6 | М85х2,0 | 86,0 | 122 | 105 | 81 | 9,5 | 7 | 1,6 |
Шпильки классов точности А и В (из ГОСТ 22032-76 - ГОСТ 22039-76), мм
Примечание:Размер l от 60 до 150 мм брать из ряда чисел: 60, 65, 70, 75, 80, 85\90, 100, 110, 120, 130, 140, 150.Пример условного обозначения шпильки с ввинчиваемым концом длиной 1,25d, диаметром резьбы d= 16 мм, крупным шагом и полем допуска резьбы 6g, длиной l=120 мм, класса прочности 5.8: "Шпилька М16-6g x 120.58 ГОСТ 22034-76"
| d | 8 | 10 | 12 | 16 | 20 |
| l1 | 8;10;14;16 | 10;12;16;20 | 12;15;20;24 | 16;20;25;32 | 20;25;32;40 |
| l | l0 | ||||
| 16 | 10 | 8 | — | — | — |
| 20 | 14 | 12 | — | — | — |
| 25 | 19 | 17 | 16 | — | — |
| 30 | 22 | 22 | 21 | — | — |
| 35 | 22 | 26 | 24 | 23 | — |
| 40 | 22 | 26 | 30 | 28 | 25 |
| 45 | 22 | 26 | 30 | 33 | 30 |
| 48 | 22 | 26 | 30 | 38 | 33 |
| 50 | 22 | 26 | 30 | 38 | 35 |
| 55 | 22 . | 26 | 30 | 38 | 40 |
| 60—150 | 22 | 26 | 30 | 38 | 46 |
Шпонки призматические (из ГОСТ 23360-78)
Примечание:. 1. Длину l (мм) призматической шпонки выбирают из ряда: 10, 12, 14, 16, 18, 20, 22, 25, 28, 32, 36, 40,45, 50, 56, 63, 70, 80, 90,100,110,125,140, 160, 180,200, 220, 250,280.2. Пример обозначения шпонки с размерами b = 18 мм, h = 11 мм, l= 80 мм: "Шпонка 18 х 11 х 80 ГОСТ 23360-78"
| Диаметр вала, d | Сечение шпонки | Фаска у шпонки s |
Глубина паза | Длина l | ||
| b | h | вала t1 | ступицы t2 | |||
| Св. 12 до 17 » 17 » 22 » 22 » 30 » 30 » 38 » 38 » 44 » 44 » 50 » 50 » 58 » 58 » 65 » 65 » 75 » 75 » 85 » 85 » 95 |
5 6 8 10 12 14 16 18 20 22 25 |
5 6 7 8 8 9 10 11 12 14 14 |
0,25—0,4 0,4—0,6 0,6—0,8 |
3 3,5 4 5 5 5,5 6 7 7,5 9 9 |
2,3 2,8 3,3 3,3 3,3 3,8 4,3 4,4 4,9 5,4 5,4 |
10—56 14—70 18—40 22—110 28—140 36—160 45—180 50—200 56—220 63—250 70—280 |
Штифты цилиндрические (из ГОСТ 3128-70), мм
Примечание:. I. Длину l (мм) штифта выбирают из ряда: 10, 12, 14, 16, 18, 20, 22, 24, 26, 28, 30, 32, 35, 40, 45, 50, 55, 60, 65, 70, 75, 80, 85, 90, 95, 100.2. Предельные отклонения диаметра d - по m6 (h8, h11).
Пример условного обозначения цилиндрического штифта d=10мм, l=60мм: "Штифт 10 х 60 ГОСТ 3128-70"
| d | 6 | 8 | 10 | 12 | 16 |
| с 1 |
1,2 10—110 |
1,6 14—140 |
2 16—140 |
2,5 20—140 |
3 25—140 |
Штифты конические (из ГОСТ 3129-70), мм
Примечание:Размер l в заданных пределах брать из ряда чисел, приведенных в табл. 24.35.Пример условного обозначения конического штифта d= 10 мм, l = 50 мм: "Штифт 10 х 50 ГОСТ 3129-70"
| d | 6 | 8 | 10 | 12 |
| l | 20—100 | 22—120 | 26—180 | 32—220 |
Штифты конические с внутренней резьбой (из ГОСТ 9464-79), мм
Примечание:Размер l в заданных пределах брать из ряда чисел, приведенных в табл. 24.35.Пример условного обозначения конического штифта с внутренней резьбой и размерами d = 10 мм, l = 60 мм:
"Штифт 10 х 60 ГОСТ 9464-79"
| d | 6 | 8 | 10 | 12 |
| d1 l1 l |
М4 6 18—80 |
М5 8 22—100 |
М6 10 26—120 |
М8 12 32—160 |
Швеллеры стальные горячекатаные (из ГОСТ 8240-89)
Примечания: 1. Швеллеры изготовляют с уклоном внутренних граней 4...10 % (а) не параллельными гранями полок (б).2. А -площадь поперечного сечения.
3. х0 - расстояние от центра масс до наружной грани стенки. 4. Пример обозначения швеллера профиля 12 с уклоном внутренних граней полок из стали СтЗ:
| Номер профиля | h | b | s | t | R | r | x0 | А, мм 2 | Масса 1 м, кг |
| мм | |||||||||
| 5 | 50 | 32 | 4,4 | 7,0 | 6,0 | 2,5 | 11,6 | 616 | 4,84 |
| 6,5 | 65 | 36 | 4,4 | 7,2 | 6,0 | 2,5 | 12,4 | 751 | 5,90 |
| 8 | 80 | 40 | 4,5 | 7,4 | 6,5 | 2,5 | 13,1 | 898 | 7,05 |
| 10 | 100 | 46 | 4,5 | 7,6 | 7,0 | 3,0 | 14,4 | 1090 | 8,59 |
| 12 | 120 | 52 | 4,8 | 7,8 | 7,5 | 3,0 | 15,4 | 1330 | 10,4 |
| 14 | 140 | 58 | 4,9 | 8,1 | 8,0 | 3,0 | 16,7 | 1560 | 12,3 |
| 16 | 160 | 64 | 5,0 | 8,4 | 8,5 | 3,5 | 18,0 | 1810 | 14,2 |
| 18 | 180 | 70 | 5,1 | 8,7 | 9,0 | 3,5 | 19,4 | 2070 | 16,3 |
| 20 | 200 | 76 | 5,2 | 9,0 | 9,5 | 4,0 | 20,7 | 2340 | 18,4 |
| 22 | 220 | 8'2 | 5,4 | 9,5 | 10,0 | 4,0 | 22,1 | 2670 | 21,0 |
| 24 | 240 | 90 | 5,6 | 10,0 | 10,5 | 4,0 | 24,2 | 3060 | 24,0 |
| 27 | 270 | 95 | 6,0 | 10,5 | 11,0 | 4,5 | 24,7 | 3520 | 27,7 |
| 30 | 300 | 100 | 6,5 | 11,0 | 12,0 | 5,0 | 25,2 | 4050 | 31,8 |
| 33 | 330 | 105 | 7,0 | 11,7 | 13,0 | 5,0 | 25,9 | 4650 | 36,5 |
| 36 | 360 | 110 | 7,5 | 12,6 | 14,0 | 6,0 | 26,8 | 5340 | 41,9 |
| 40 | 400 | 115 | 8,0 | 13,5 | 15,0 | 6,0 | 27,5 | 6150 | 48,3 |
Соединения шлицевые эвольвентные (из ГОСТ 6033-80)
| Модуль m, мм | Номинальный диаметр D, мм | ||||||||||||||||
| 20 | 25 | 30 | 35 | 40 | 45 | 50 | 55 | 60 | 65 | 70 | 75 | 80 | 85 | 90 | 95 | 100 | |
| Число зубьев z | |||||||||||||||||
| 1,25 | 14 | 18 | 22 | 26 | 30 | 34 | 38 | ||||||||||
| 2,0 | .16 | 18 | 21 | 24 | 26 | 28 | 31 | 34 | 36 | 38 | |||||||
| 3,0 | 17 | 18 | 20 | 22 | 24 | 25 | 27 | 28 | 30 | 32 | |||||||
| 5,0 | 15 | 16 | 18 | 18 |
Соединения шлицевые прямобочные (из ГОСТ 1139-80)
| Основные параметры | d, мм | |||||||||||||||
| 18 | 21 | 23 | 26 | 28 | 32 | 36 | 42 | 46 | 52 | 56 | 62 | 72 | 82 | 92 | 102 | |
| Легкая серия | ||||||||||||||||
| D, мм | — | — | 26 | 30 | 32 | 36 | 40 | 46 | 50 | 58 | 62 | 68 | 78 | 88 | 98 | 108 |
| z | — | — | 6 | 6 | 6 | 8 | 8 | 8 | 8 | 8 | 8 | 8 | 10 | 10 | 10 | 10 |
| b, мм | — | — | 6 | 6 | 7 | 6 | 7 | 8 | 9 | 10 | 10 | 12 | 12 | 12 | 14 | 16 |
| f, мм | 0,3 | 0,3 | 0,3 | 0,4 | 0.4 | 0.4 | 0.4 | 0,5 | 0,5 | 05 | 05 | 05 | OS | 05 | ||
| Средняя серия | ||||||||||||||||
| D, мм | 22 | 25 | 28 | 32 | 34 | 38 | 42 | 48 | ' 54 | 60 | 65 | 72 | 82 | 92 | 102 | 112 |
| z | 6 | 6 | 6 | 6 | 6 | 8 | 8 | 8 | 8 | 8 | 8 | 8 | 10 | 10 | 10 | Ю |
| b, мм | 5 | 5 | 6 | 6 | 7 | 6 | 7 | 8 | 9 | 10 | 10 | 12 | 12 | 12 | 14 | 16 |
| f, мм | 0,3 | 0,3 | 0,3 | 04 | 04 | 04 | 04 | 04 | OS | 05 | 05 | 05 | 0.5 | 0,5 | 0,5 | 0,5 |
| Тяжелая серия | ||||||||||||||||
| D, мм | 23 | 26 | 29 | 32 | 35 | 40 | 45 | 52 | 56 | 60 | 65 | 72 | 82 | 92 | 102 | 115 |
| z | 10 | 10 | 10 | 10 | 10 | 10 | 10 | 10 | 10 | 16 | 16 | 16 | 16 | 20 | 20 | 20 |
| b, мм | 3 | 3 | 4 | 4 | 4 | 5 | 5 | 6 | 7 | 5 | 5 | 6 | 7 | 6 | 7 | 8 |
| f, мм | 0,3 | 0,3 | 0,3 | 0,4 | 0,4 | 0,4 | 0,4 | 0,4 | 0,5 | 0,5 | 0,5 | 0,5 | 0,5 | 0,5 | 0,5 | 0,5 |
Технические данные двигателей серии АИР (тип/асинхронная частота вращения, мин-1 )
| Мощность Р, кВт | Синхронная частота, мин-1 | |||
| 3000 | 1500 | 1000 | 750 | |
| 0,37 | — | — | 71А6/915 | — |
| 0,55 | — | 71А4/1357 | 71В6/915 | — |
| 0,75 | 71А2/2820 | 71В4/1350 | 80А6/920 | 90LA8/705 |
| 1,1 | 71В2/2805 | 80А4/1395 | 80В6/920 | 90LB8/715 |
| 1,5 | 80А2/2850 | 80В4/1395 | 90L6/925 | 100L8/702 |
| 2,2 | 80В2/2850 | 90L4/1395 | 100L6/945 | 112МА8/709 |
| 3 | 90L2/2850 | 100S4/1410 | 112МА6/950 | 112МВ8/709 |
| 4 | 100S2/2850 | 100L4/1410 | 112МВ6/950 | 132S8/716 |
| 5,5 | 100L2/2850 | 112М4/1432 | 132S6/960 | 132М8/712 |
| 7,5 | 112М2/2895 | 132S4/1440 | 132М6/960 | 160S8/7273 |
| 11 | 132М2/2910 | 132М4/1447 | 160S6/9704 | 160М8/7273 |
| 15 | 160S2/29101 | 160S4/14552 | 160М6/9705 | 180М8/731 |
| 18,5 | 160М2/29101 | 160М4/14552 | 180М6/9803 | — |
| 22 | 180S2/29191 | 180S4/14623 | — | — |
| 30 | 180М2/29251 | 180М4/14701 | — | — |
Примечание:. 1. Отношение максимального вращающего момента к номинальному Tmax/T= 2,2; для отмеченных знаками: 1 - Tmax/T= 2,7; 2 - Tmax/T= 2,9; 3 - Tmax/T= 2,4; 4 - Tmax/T= 2,5;5 - Tmax/T= 2,6.
2. Пример обозначения двигателя: "Двигатель АИР10012 ТУ 16-525.564-84""
Винты с цилиндрической головкой классов точности А и В (из ГОСТ 1491-80), мм
Примечание:. 1. Размер l в указанных пределах брать из ряда чисел, приведенного в табл. 24.39.2. Винты со стержнем длиной менее длины l0 резьбы изготовляют с резьбой по всей длине стержня.
3 * - предпочтительная длина резьбы.
Пример условного обозначения винта с цилиндрической головкой класса точности В, диаметром резьбы d=12 мм, с крупным шагом и полем допуска резьбы 6g, длиной l=65 мм, длиной резьбы l0=46 мм, класса прочности 5.6, с цинковым покрытием 01 толщиной 6 мкм, хроматированным: "Винт B.M12-fg х 65-46.56.016 ГОСТ 1491-80"
| d | D | H | l | l0 | d | D | H | l | l0 |
| 6 | 10 | 3,9 | 8—60 | 28*; 18 | 12 | 18 | 7 | 18—100 | 46*; 30 |
| 8 | 13 | 5 | 12—80 | 34*; 22 | 16 | 24 | 9 | 30—100 | 58*; 38 |
| 10 | 16 | 6 | 18-100 | 40*; 26 | 20 | 30 | 11 | 40—120 | 70*; 46 |
Винты с цилиндрической головкой
Примечание: Размер l в указанных пределах брать из ряда чисел, приведенного в табл. 24.39.Пример условного обозначения винта с диаметром резьбы d = 10 мм, с полем допуска резьбы 6g, длиной l = 60 мм, класса прочности 6.8: "Винт M10-6g x 60.68 ГОСТ 11738-84".
| d | D | H | l | l0 | d | D | H | l | l0 |
| 6 8 10 |
10 13 16 |
6 8 10 |
10—60 12—80 14—100 |
l0= l при l <= 20 l0 = 24 » l >= 25 l0= l при l <= 25 l0 = 28 » l >= 30 l0= l при l <= 30 l0 = 32 » l >= 35 |
12 16 20 |
18 24 30 |
12 16 20 |
20—130 25—160 30—220 |
l0= l при l <= 30 l0 = 36 » l >= 40 l0= l при l <= 40 l0 = 22 » l >= 45 l0= l при l <= 50 l0 = 22 » l >= 55 |
Значение основных отклонений отверстий, мкм (из ГОСТ 25346-89)
| Интервалы размеров, мм | Обозначение основного отклонения | |||||||||||||||||||||
| Нижнее отклонение ЕL | Верхнее отклонение ЕS | |||||||||||||||||||||
| C | D | E | F | G | H | Js | K | M | N | от P до T | P | R | S | Т | delta, мкм | |||||||
| Квалитеты | ||||||||||||||||||||||
| все | до 8 | св. 8 | до 8 | св.8 | до 8 | св.8 | До 7 | св.7 | 5 | 6 | 7 | 8 | ||||||||||
| св. 3 до 6 | +70 | +30 | +20 | +10 | +4 | 0 |
± IT/2 |
-1+delta | - | -4+ delta | -4 | -8+ delta | 0 | *** | -12 | -15 | -19 | - | 1 | 3 | 4 | 6 |
| »6»10 | +80 | +40 | +25 | +13 | +5 | 0 | -1+ delta | - | -6+ delta | -6 | -10 + delta | 0 | -15 | -19 | -23 | - | 2 | 3 | 6 | 7 | ||
| »10»14 | +95 | +50 | +32 | +16 | +6 | 0 | -1+ delta | - | - 7+ delta | -7 | -12 + delta | 0 | -18 | -23 | -28 | - | 3 | 3 | 7 | 9 | ||
| »14»18 | ||||||||||||||||||||||
| »18»24 | +110 | +65 | +40 | +20 | +7 | 0 | -2+ delta | - | -8+ delta | -8 | -15 + delta | 0 | -22 | -28 | -35 | - | 3 | 4 | 8 | 12 | ||
| »24»30 | -41 | |||||||||||||||||||||
| »30»40 | +120 | +80 | +50 | +25 | +9 | 0 | -2+ delta | - | -9+ delta | -9 | -17 + delta | 0 | -26 | -34 | -43 | -48 | 4 | 5 | 9 | 14 | ||
| »40»50 | +130 | -54 | ||||||||||||||||||||
| »50»65 | +140 | +100 | +60 | +30 | +10 | 0 | -2+ delta | - | -11 + delta | -11 | -20 + delta | 0 | -32 | -41 | -53 | -66 | 5 | 6 | 11 | 16 | ||
| »65»80 | +150 | -43 | -59 | -75 | ||||||||||||||||||
| »80»100 | +170 | +120 | +72 | +36 | +12 | 0 | -3+ delta | - | - 13 + delta | -13 | -23 + delta | 0 | -37 | -51 | -71 | -91 | 5 | 7 | 13 | 19 | ||
| »100»120 | +180 | -54 | -79 | -104 | ||||||||||||||||||
| »120»140 | +200 | +145 | +85 | +43 | +14 | 0 | -3+ delta | - | -15 + delta | -15 | -27 + delta | 0 | -43 | -63 | -92 | -122 | 6 | 7 | 15 | 23 | ||
| »140»160 | +210 | -65 | -100 | -134 | ||||||||||||||||||
| »160»180 | +230 | -68 | - 108 | -146 | ||||||||||||||||||
| »180»200 | +240 | +170 | +100 | +50 | +15 | 0 | -4+ delta | - | -17 + delta | -17 | -31 + delta | 0 | -50 | -77 | -122 | -166 | 6 | 9 | 17 | 26 | ||
| »200»225 | +260 | -80 | -130 | -180 | ||||||||||||||||||
| »225»250 | +280 | -84 | -140 | -196 | ||||||||||||||||||
Значения допусков, мкм (из ГОСТ 25346-39)
| Интервал размеров, мм |
Квалитет | ||||||||||||||
| 3 | 4 | 5 | 6 | 7 | 8 | 9 | 10 | 11 | 12 | 13 | 14 | 15 | 16 | 17 | |
| Св. 3 до 6 | 2,5 | 4 | 5 | 8 | 12 | 18 | 30 | 48 | 75 | 120 | 180 | 300 | 480 | 750 | 1200 |
| » 6 » 10 | 2,5 | 4 | 6 | 9 | 15 | 22 | 36 | 58 | 90 | 150 | 220 | 360 | 580 | 900 | 1500 |
| » 10 » 18 | 3 | 5 | 8 | 11 | 18 | 27 | 43 | 70 | 110 | 180 | 270 | 430 | 700 | 1100 | 1800 |
| » 18 » 30 | 4 | 6 | 9 | 13 | 21 | 33 | 52 | 84 | 130 | 210 | 330 | 520 | 840 | 1300 | 2100 |
| » 30 » 50 | 4 | 7 | 11 | 16 | 25 | 39 | 62 | 100 | 160 | 250 | 390 | 620 | 1000 | 1600 | 2500 |
| » 50 » 80 | 5 | 8 | 13 | 19 | 30 | 46 | 74 | 120 | 190 | 300 | 460 | 740 | 1200 | 1900 | 3000 |
| » 80 » 120 | 6 | 10 | 15 | 22 | 35 | 54 | 87 | 140 | 220 | 350 | 540 | 870 | 1400 | 2200 | 3500 |
| » 120 » 180 | 8 | 12 | 18 | 25 | 40 | 63 | 100 | 160 | 250 | 400 | 630 | 1000 | 1600 | 2500 | 4000 |
| » 180 » 250 | 10 | 14 | 20 | 29 | 46 | 72 | 115 | 185 | 290 | 460 | 720 | 1150 | 1850 | 2900 | 4600 |
| » 250 » 315 | 12 | 16 | 23 | 32 | 52 | 81 | 130 | 210 | 320 | 520 | 810 | 1300 | 2100 | 3200 | 5200 |
| » 315 » 400 | 13 | 18 | 25 | 36 | 57 | 89 | 140 | 230 | 360 | 570 | 890 | 1400 | 2300 | 3600 | 5700 |
| » 400 » 500 | 15 | 20 | 27 | 40 | 63 | 97 | 155 | 250 | 400 | 630 | 970 | 1550 | 2500 | 4000 | 6300 |
Значения допусков t, мм (из ГОСТ 25670-83)
| Класс точности | Интервал размеров, мм | |||||
| До З | Св. 3 до 6 | Св. 6 до 30 | Св. 30 до 120 | Св. 120 до 315 | Св. 315 до 1000 | |
| Точный t1 | 0,1 | 0,1 | 0,2 | 0,3 | 0,4 | 0,6 |
| Средний t2 | 0,2 | 0,2 | 0,4 | 0,6 | 1,0 | 1,6 |
| Грубый t3 | 0,3 | 0,4 | 1,0 | 1,6 | 2,4 | 4,0 |
| Очень грубый t4 | 0,3 | 1,0 | 2,0 | 3,0 | 4,0 | 6,0 |
Значения основных отклонений валов, мкм (из ГОСТ 25346-89)
ВНИМАНИЕ!!! Таблица состоит из двух частей: правой и левой! Убедитесь, что Вы просмотрели обе!Левая часть
| Интервалы размеров, мм | Обозначение основного отклонения | |||||||||||
| Верхнее отклонение es | Нижнее отклонение еi | |||||||||||
| c | d | e | f | g | h | js | k | m | n | p | ||
| Квалитеты | ||||||||||||
| все | 4-7 | св. 7 | все | |||||||||
| св. 3 до 6 | -70 | -30 | -20 | -10 | -4 | 0 | ±IT/2 |
+1 | 0 | +4 | +8 | +12 |
| »6 »10 | -80 | -40 | -25 | -13 | -5 | 0 | +1 | 0 | +6 | +10 | +15 | |
| » 10 »14 | -95 |
-50 |
-32 |
-16 |
-6 |
0 |
+1 |
0 |
+7 |
+12 |
+18 | |
| » 14 »18 | ||||||||||||
| » 18 » 24 | -110 |
-65 |
-40 |
-20 |
-7 |
0 |
+2 |
0 |
+8 |
+15 |
+22 | |
| » 24 » 30 | ||||||||||||
| » 30 » 40 | -120 | -80 |
-50 |
-25 |
-9 |
0 |
+2 |
0 |
+9 |
+17 |
+26 | |
| » 40 » 50 | -130 | |||||||||||
| » 50 » 65 | -140 | -100 |
-60 |
-30 |
-10 |
0 |
+2 |
0 |
+11 |
+20 |
+32 | |
| »65»80 | -150 | |||||||||||
| » 80» 100 | -170 | -120 |
-72 |
-36 |
-12 |
0 |
+3 |
0 |
+13 |
+23 |
+37 | |
| » 100 » 120 | -180 | |||||||||||
| » 120 » 140 | -200 | -145 |
-85 |
-43 |
-14 |
0 |
+3 |
0 |
+15 |
+27 |
+43 | |
| » 140 » 160 | -210 | |||||||||||
| » 160 » 180 | -230 | |||||||||||
| » 180 » 200 | -240 | -170 |
-100 |
-50 |
-15 |
0 |
+4 |
0 |
+17 |
+31 |
+50 | |
| » 200 » 225 | -260 | |||||||||||
| » 225 » 250 | -280 |
ВНИМАНИЕ!!! Таблица состоит из двух частей: правой и левой! Убедитесь, что Вы просмотрели обе!
Правая часть
| Интервалы размеров, мм |
Обозначение основного отклонения | |||||||
| Нижнее отклонение еi | ||||||||
| r | s | t | u | v | x | y | z | |
| все | ||||||||
| св. 3 до 6 | +15 | +19 | - | +23 | - | +28 | - | +35 |
| » 6 »10 | +19 | +23 | - | +28 | - | +34 | - | +42 |
| » 10 » 14 | +23 | +28 | - | +33 | - | +40 | - | +50 |
| » 14 » 18 | +39 | +45 | - | +60 | ||||
| » 18 » 24 | +28 | +35 | - | +41 | +47 | +54 | +63 | +73 |
| » 24 » 30 | +41 | +48 | +55 | +64 | +75 | +88 | ||
| » 30 » 40 | +34 | +43 | +48 | +60 | +68 | +80 | +94 | +112 |
| » 40 » 50 | +54 | +70 | +81 | +97 | +114 | +136 | ||
| » 50 » 65 | +41 | +53 | +66 | +87 | +102 | +122 | +144 | +172 |
| » 65 » 80 | +43 | +59 | +75 | +102 | +120 | +146 | +174 | +210 |
| » 80 » 100 | +51 | +71 | +91 | +124 | +146 | +178 | +214 | +258 |
| » 100 » 120 | +54 | +79 | +104 | +144 | +172 | +210 | +254 | +310 |
| » 120 » 140 | +63 | +92 | +122 | +170 | +202 | +248 | +300 | +365 |
| » 140 » 160 | +65 | +100 | +134 | +199 | +228 | +280 | +340 | +415 |
| » 160 » 180 | +68 | +108 | +146 | +210 | +252 | +310 | +380 | +465 |
| » 180 » 200 | +77 | +122 | +166 | +236 | +284 | +350 | +425 | +520 |
| » 200 » 225 | +80 | +130 | +180 | +258 | +310 | +385 | +470 | +575 |
| » 225 » 250 | +84 | +140 | +196 | +284 | +340 | +425 | +520 | +640 |
Инновации: Менеджмент - Моделирование - Софт
- Инновационный менеджмент
- Разработка программного обеспечения
- Россия и инновации
- Управление инновационным менеджментом
- Моделирование
- Финансовое моделирование
- Системы моделирования
- Виды моделирования
- Практическое моделирование
- Пакет Mechanical Desktop
- Моделирование программ
- Софт для моделирования
- Пакет Simulink
- Моделирование в IBM
- MSC Nastran Моделирование -
- AutoCAD
- Unigraphics
- P-CAD





































