ОСНОВНЫЕ ПОНЯТИЯ И ОПРЕДЕЛЕНИЯ ЭКОНОМИКИ РЕГИОНА
Есть области знаний и жизненный опыт, о которых может рассуждать любой из нас. Кроме политики к таким сферам относятся медицина и, конечно, экономика. И это не случайно, ведь экономика — наука эмпирическая, непосредственно связанная с практикой. Каждый человек повседневно сталкивается с экономическими явлениями и процессами.
Все мы — активные участники повседневной экономической жизни, но далеко не все имеют полное представление о том, чем является экономика в действительности.
Как наука экономика — это область знаний, изучающая экономического человека, его действия и интересы. Она призвана определять, как максимально эффективно использовать ограниченные ресурсы — природные запасы, капиталы, трудовые резервы. Подобно всем другим отраслям знаний экономика включает набор аксиом и доказательств, пригодных для анализа в любых конкретных условиях. Экономика как наука не может быть национальной, так же как не может существовать американской физики или немецкой математики.
Цены товаров повсюду определяются соотношением спроса и предложения. С ростом дохода происходят уменьшение потребляемой его части и возрастание — накопляемой.
Но у экономики есть принципиальное отличие от точных и естественных наук: она имеет дело не с отдельным человеком на необитаемом острове, а с членом общества, подверженным воздействию традиций, национального менталитета, политических институтов и пристрастий. Поэтому инструментарий экономиста имеет национальную специфику. Наука формируется примерно так же, как строится здание, фундаментом которого служит микроэкономика.
Великие экономисты прошлого создали теорию — микроэкономику, которая изучает отношения между предпринимателями и наемными работниками, продавцами и покупателями.
Отправляясь от аксиом, экономическая наука формулирует законы: спроса и предложения, редкости, убывающей доходности, предельной производительности труда и капитала. Микроэкономика непосредственно связана с предпринимательской деятельностью, является как бы справочником, руководством для бизнесмена. Вместе с тем группы предприятий и отрасли государства тоже работают в соответствии с какими-то правилами, подчиняются действию определенных экономических законов, которые изучает экономическая теория.
В XVIII—XIX вв. была создана классическая экономическая теория. Она отвечала потребностям развития индустриального общества, основанного на частной собственности и свободе экономического выбора. Ее основоположником считается Адам Смит, значение учения которого подобно изобретению колеса; колесо национального хозяйства вращает сложные системы взаимозависимых отраслей, формирует мировое хозяйство. Между тем в общественной жизни и деловой практике возникают проблемы, которые нельзя разрешить только при помощи традиционных средств.
Экономисты начинают интересоваться вопросами общего порядка, совокупного спроса, денежного обращения. Нельзя не вспомнить в этой связи о Леоне Вальрасе, создателе теории общего экономического равновесия.
XX век явился в истории экономической мысли этапом макроэкономики. Большая система — это не только множество малых подсистем (фирм и отраслей), но уже и новое качество. Ее действиями управляют иные механизмы. Макросистема не может быть описана категориями микроэкономики (ценой, прибылью, конкуренцией и др.).
Здесь необходимы новые макропоказатели, новые методики и инструменты.
Обычно экономику относят к наукам гуманитарным. Это неверно и спорно. Сегодня экономики без математики просто не существует. Что касается макроэкономики, то она специально изучает количественные и пространственные соотношения с помощью формул, графиков, геометрических фигур. Математика дает возможность упорядочить поток информации.
Западные экономисты в основном математически формализуют свои идеи, к примеру гипотезу Шумпетера, теорему Коуза, эффект Питу, уравнение Фишера, парадокс Леонтьева и т.п.
Есть еще одна сфера человеческого знания, с которой у экономики обнаружилось совпадение интересов и методов анализа: это психология — социальная и личностная. Появившись на свет в виде поэтической сказки о странствиях человеческой души (в образе Психеи), присягнув поиску гармонии, психология превратилась в науку о человеческом сознании, эмоциях и интеллекте, о личности и социуме. Психологический подход впитался и ткань экономики. Великое открытие XIX в. — рождение теории предельной полезности, или маржинализма, явилось, пожалуй, самым очевидным и плодотворным результатом взаимопроникновения этих наук.
Современные экономисты не могут обойтись без таких понятий, как поведенческая реакция, рациональные ожидания, ажиотажный спрос, денежные иллюзии и т.д. Макроэкономический анализ становится основой государственной региональной политики, опирается на нее.
Макроэкономические знания отнюдь не являются далекими от предпринимательства. Ведь такие формулы, как обратная зависимость между инфляцией и безработицей в масштабе общества или между банковским процентом и темпами роста валового продукта, между ростом инфляции и понижением обменного курса отечественной валюты необходимо знать хотя бы для того, чтобы предвидеть изменения конъюнктуры и вероятные контрдействия управленческих региональных стрктур или правительств.
Подводя итог сказанному, отметим, что экономика — это наука об общих законах экономического развития хозяйства, рассматривающая это хозяйство в развитии и во взаимосвязях с внешней средой.
Однако кроме понятия экономики как науки существует понятие конкретная экономика, или реальная экономика, которая может быть представлена различными уровнями хозяйствования: общегосударственным, региональным, корпораций, предприятий, организаций и т.д. С этими понятиями и категориями нам и предстоит ознакомиться в предлагаемом вашему вниманию пособии.
1. ОСНОВНЫЕ ПОНЯТИЯ И ОПРЕДЕЛЕНИЯ
ЭКОНОМИКИ РЕГИОНА
1.1. Национальная экономика как сфера
организации воспроизводственных процессов
Понятие национальная экономика введено в научный оборот XIX в. представителями исторической школы. Почти 100 лет назад ее основатель — Густав Шмоллер (1838—1917) сформулировал генетический подход к исследованию экономики. По его мнению, хозяйственный облик страны формируют социально-исторические, национально-психологические, этнические и даже антропологические факторы.
Шмоллер впервые обратил внимание на экономическую психологию того или иного народа, придающую неповторимость национальной экономике. Он высказал и другую, звучащую весьма актуально, мысль: в экономической политике не может быть универсальных правил и решений, пригодных для всех стран и времен.
Примыкавший к исторической школе социолог Макс Вебер (1864—1920) исследовал воздействие религии на хозяйственную жизнь народов и стран. Его труды Протестантская этика и дух капитализма и Экономическая этика мировых религий снискали мировую известность. Примечательны рассуждения М. Вебера о двух началах: мистическом, призывающем к уходу от мира к пассивному созерцанию событий, общению с Богом, и аскетически активном самоограничении, направленном на преобразование мира в соответствии с заветами Его.
В мировых религиях присутствуют оба начала, однако в различных сочетаниях. Особенно значителен аскетический акцент в протестантстве — религии первых американских переселенцев европейских (британских) предпринимателей XVIII в. Он становится символом рационального поведения, формирует дух капитализма. Согласно религиозному учению Бог предопределяет человеческие судьбы, но свидетельством богоизбранности являются твоя энергия, твои успехи.
Предпринимательство получало тем самым нематериальный стимул активной деятельности.
Русский религиозный философ Сергей Николаевич Булгаков (1871—1944) в основу своего учения о путях национального ведения хозяйства заложил следующие начала:
• предпочтение соборности, общности личной свободе,
• отказ от корыстолюбия и предпрPнимательского отношения к природе;
• отчуждение от матери-земли.
С. Булгаков исследовал историческое значение церковного раскола, считая его аналогом протестантского движения, свойственного раннему капитализму в Европе. О национальном он говорил, что ... национализм есть форма человеческого единства, которая не только соединяет, но и разъединяет. И национальное мессианство слишком легко переходит в национальную исключительность. Российское православие несло в себе глубокое нравственное чувство, но мало способствовало воспитанию характера, активного отношения к жизни. Благовест плыл над Нижним Новгородом! (М.
Горький). Немалую роль здесь сыграли и потеря церковью (еще со времен Бориса Годунова), независимости, ее подчинение властям, повлекшие за собой потерю доверия прихожан.
Еще одним энциклопедически образованным представителем исторической школы является немецкий экономист, социолог и философ Вернер Зомбарт (1863—1941). Он предложил типизацию экономических систем и периодизацию экономической истории, основываясь на следующих постулатах:
• исходным является жизнь духа, которая определяет национальный образ мыслей и активность тех интеллектуальных компонентов, которые отвечают за хозяйственную ориентацию;
Централизации или децентрализации?
• организация работы по санации предприятий, исходя из концептуальных позиций структурной и инвестиционной деятельности региона;
• организация рациональных хозяйственных связей предприятий региона в интересах последнего путем возможной интеграции усилий предприятий различных территориальных образований (как внутри России, так и за рубежом);
• обеспечение устойчивости функционирования основных систем жизнеобеспечения и предотвращение разрушения ключевых элементов производственной системы субъекта Федерации;
• недопущение технологических и экологических катастроф, в том числе за счет вливания минимума поддерживающих инвестиций;
• изменение рыночной структуры путем поддержки предпринимательства, особенно малого и среднего бизнеса, создающего новые рабочие места, увеличивающего предложение товаров и услуг на местном рынке, снижающего роль отраслевых монополий;
• поиск потенциальных инвесторов, организация получения и эффективного использования иностранных кредитов (особенно в сфере рекреационного бизнеса, туризма), создание благоприятного климата для прямых иностранных инвестиций, в первую очередь в сферу материального производства;
• формирование региональной системы институциональных инвесторов, внебюджетных источников, способных аккумулировать накопления и эффективно обращать их в инвестиции;
• активное продвижение на зарубежные рынки товаров местных экспортеров во взаимодействии с централизованными экспортными программами Федерации;
• создание налоговой системы, учитывающей ее трехуровневую организацию.
При возрастающем значении региональных организационных форм и функций управления в субъектах Федерации и их региональных центрах необходимо обновлять структуру органов управления в соответствии с происходящими изменениями. Это касается всей системы органов управления, занимающейся региональной политикой. Очевидно, что аппарат Президента РФ является центром этой работы.
В то же время необходимо иметь специальный исполнительный аппарат в Правительстве РФ, который может и должен систематически осуществлять региональную политику. Таким органом в настоящее время является Министерство по делам национальностей и федеративных отношений. Его эффективность может быть повышена, если главной целью деятельности министерства будет не спонтанное тушение национальных и территориальных конфликтов, а стратегическая работа по налаживанию федеративных основ взаимодействия Федерации, ее субъектов и местного самоуправления (как по вертикали, так и по горизонтали).
Иначе говоря, в России для обеспечения действенности конституционных принципов управления (по вертикали и горизонтали) нужна система органов представительной и исполнительной властей: от президентской до муниципальной, при которой верховенство федерального законодательства должно найти отражение в уставах и положениях о республиканских, краевых и областных структурах власти, а также в законодательных актах органов самоуправления (муниципалитетов) на местах. При этом нужно руководствоваться комплексным подходом к решению всех экономических проблем на различных уровнях управления.
Контрольные вопросы
1. Какие типы организационных структур управления используются в региональном управлении?
2. Каковы основные отличия организационных структур управления интенсивного и экстенсивного типов?
3. В чем особенности организации и управления социально-экономическими системами?
4. Каковы особенности мягких и жестких факторов управления?
- ПРИНЦИПЫ УПРАВЛЕНИЯ
Наука управления имеет в своей основе систему исходных положений — принципов, которые обеспечивают функционирование и развитие управляемой системы.
15.1. Принципы, обеспечивающие функционирование
объекта управления
Принцип правовой защищенности управленческого решения. Предпринимательская деятельность всегда сопряжена с определенным риском, а в России после ее вступления в конкурентные рыночные отношения и при не устоявшихся еще правовых нормах — особенно. Выполнять или хотя бы считаться с действующими законами необходимо, иначе неминуемы крупные штрафы или даже решения о полном прекращении работы предприятия.
Многие сферы бизнеса, сулящие несомненную и быструю прибыль, находятся или в противоречии с действующими законами (торговля оружием, наркотиками), или на грани с их нарушением (игорные заведения, многочисленные массажные кабинеты и другие фирмы по организации элитного отдыха). Решения о вложении капитала в подобные акции при всей их коммерческой заманчивости практически неминуемо приведут к краху как не имеющие правовой защищенности, не говоря уж о морально-этической стороне подобного бизнеса. Нельзя путать деловой риск с риском преступить закон.
С переходом России к открытой экономике, с резким возрастанием роли международных связей предприятиям стало необходимо знать и постоянно изучать законодательные акты стран — партнеров по бизнесу и в первую очередь учитывать действующие торговые ограничения этих стран — величины налогов на ввозимые товары, размеры квот, перечни запрещенных видов импорта, особенности валютного контроля, нетарифные барьеры. Что касается последних, то отдельные страны налагают жесткий запрет на ввоз товаров, не соответствующих принятым в стране стандартам, причем не только по критериям экологичности. Например, Голландия запрещает импорт тракторов, которые двигаются со скоростью более 10 миль в час.
Принцип правовой защищенности требует от руководителей предприятий знания действующего законодательства и умения принимать управленческие решения только с учетом их соответствия действующим правовым актам, нормам морали и этики.
Принцип оптимизации управления. Этот основополагающий принцип управления дает ответы на важнейшие, принципиальные, имеющие большое практическое значение вопросы: какое решение должен принять руководитель — сконцентрировать полноту власти в своих руках или раздать большую ее часть своим коллегам? Чему отдать предпочтение — централизации или децентрализации?
В каких случаях централизация необходим? Сколько сотрудников должно непосредственно подчиняться руководителю: трое, пятеро, а может быть десять или даже больше? Какая структура управления в конкретной производственной ситуации является оптимальной?
Централизация управления, как свидетельствует теория и подтверждает практика, имеет несомненные преимущества при решении глобальных, стратегических задач. Она позволяет оптимально распределять резервы и ресурсы, но одновременно неизбежно подавляется творческая инициатива исполнителей, не всегда оптимально решаются тактические задачи. Подтверждение этому — печальный опыт социалистического строительства в нашей стране, трагические эпизоды Великой Отечественной войны, изуродованные судьбы миллионов советских людей, особенно творческих профессий.
Яркий пример всемирной истории — разгром непобедимой армии Наполеона в битве при Ватерлоо результат неоправданно жесткой централизации управления.
Но в некоторых, чаще всего экстремальных, ситуациях единоначалие совершенно незаменимо: война, пожар, стихийные бедствия.
Централизация управления имеет важное следствие: работник должен получать приказы только от одного непосредственного начальника. Это ясное и понятное всем правило нарушается постоянно, начальнику трудно преодолеть искушение самому вмешаться в производственный процесс и его указания кажутся ему самыми мудрыми.
Децентрализация управления освобождает членов коллектива от постоянной докучливой опеки, эффективно стимулирует инициативу, полнее раскрывает потенциальные возможности личности. Рядовой работник выполняет задание с удвоенной энергией, если ему предоставляется хотя бы минимальная возможность действительного контроля ситуации.
Однако децентрализация управления имеет опасную тенденцию к превращению управляемого процесса в анархию, хаос. Часто даже опытные руководители обоснованно опасаются потерять контроль над децентрализованной управляемой системой, а слабые боятся появления компетентного неформального лидера, который может подменить своего начальника, подорвать его авторитет. Нередко случается, что, делегировав свои полномочия исполнителям, руководитель оказывается не в состоянии ответить на конкретные вопросы как своего непосредственного начальства, так и сотрудников коллектива.
Итак, как разумнее должен распорядиться своей властью руководитель, первое лицо предприятия, особенно если это предприятие — частная фирма? Теория управления дает четкие, однозначные рекомендации: руководитель должен взять всю организационно-распорядительную власть в свои руки, делегировав при этом значительную часть своих полномочий опытным заместителям, специалистам своего дела, не мешать их работе мелкой опекой, постоянным контролем, если они в основном успешно выполняют свои служебные обзанности. Лишь при явной угрозе срыва запланированных работ или очевидном несоответствии исполнителя занимаемой должности руководитель обязан активно вмешаться в работу отстающего структурного подразделения, применив всю полноту власти вплоть до подмены собой исполнителя.
Остается еще один весьма существенный вопрос: сколько можно и нужно иметь подчиненных, какова норма управляемости руководителя?
Что представляет собой экономическая система?
В пользу термина переходная система, или экономика переходного периода, говорит и то, что у этой системы уже есть немало моделей (восточноевропейская, прибалтийская, среднеазиатская). В своеобразных формах переходная система существует в КНР и Вьетнаме. Перспективы формирования высокоэффективного механизма хозяйственного управления в нашей стране связаны с освоением и использованием всего того положительного, что выработала отечественная и мировая практика в этой области.
Окончательный выбор конкретной модели переходной системы и тем более модели современной рыночной экономики в России будет в конечном счете определяться соотношением политических сил в стране, характером проводимых преобразований, масштабами и эффективностью поддержки реформ международным сообществом, а также историческими традициями.
Контрольные вопросы
1. Что представляет собой экономическая система?
2.. Каковы элементы экономической системы?
3. Что включает в себя хозяйственная система?
4. Каковы типы хозяйственных систем?
5. Какие факторы определяют тип и вид рыночной экономики?
3. ТЕОРИИ РАЗМЕЩЕНИЯ РЕГИОНАЛЬНОГО
ПРОИЗВОДСТВА
3.1. Теория сельскохозяйственного штандорта6 Й. Тюнена
Становление теории размещения (локализации) принято связывать с выходом в 1826 г. книги немецкого экономиста Й. Тюнена Изолированное государство в его отношении к сельскому хозяйству и национальной экономии. Главным содержанием этого фундаментального труда было выявление закономерностей размещения сельскохозяйственного производства.
Исследование Й. Тюнена отличали высокий уровень абстракции, точные формулировки поставленных задач. Он предполагал наличие экономически изолированного от остального мира государства, в пределах которого имеется центральный город, являющийся единственным рынком сбыта сельскохозяйственной продукции и источником обеспечения промышленными товарами. Здесь цена каждого продукта в любой точке пространства отличается от его цены в городе на величину транспортных затрат, которые принимаются прямо пропорциональными весу груза и дальности перевозки.
Й. Тюнен ставит вопрос: какие формы примет при установленных предпосылках сельское хозяйство, и какое влияние на его размещение будет оказывать расстояние от города? Он находит ответ на поставленный вопрос методом сопоставления транспортных затрат на перевозку продукции от места производства до рынка, в результате чего выявляются зоны, наиболее благоприятные (с точки зрения минимизации транспортных затрат) для размещения в их пределах тех или иных видов сельскохозяйственного производства.
Й. Тюнен доказывает, что в рамках сделанных допущений оптимальная схема размещения сельскохозяйственного производства — это система концентрических кругов (поясов) разного диаметра вокруг центрального города, разделяющих зоны размещения различных видов сельскохозяйственной деятельности. Чем выше урожайность (продуктивность), тем ближе к городу должно размещаться производство. В то же время чем дороже тот или иной продукт на единицу веса, тем дальше от города целесообразно его размещение.
В результате интенсивность ведения хозяйства снижается по мере удаления от города.
Й. Тюнен выделяет шесть поясов (колец) размещения сельскохозяйственной деятельности, основываясь на условиях ведения хозяйства в своем имении в Мекленбурге (рис. 3.1)7. Ясно, что при других условиях конкретный состав поясов будет другим, но принцип их чередования сохранится.
Рис. 3.1. Графическая схема размещения
сельского хозяйства по Й. Тюнену
Нахождение расстояния, отделяющего зоны размещения тех или иных видов сельскохозяйственной деятельности от центра сбыта, осуществляется по простым формулам. Пусть имеются не сельскохозяйственные культуры, доходность которых на единицу продукции составляют т1 и т2 а объемы их производит — v1 и v2 . Транспортный тариф (на 1т) равен t. Тогда r — расстояние от центра, разграничивающее посевы двух культур, находится из уравнения безразличия (равенства разностей между доходом и транспортными затратами):
v1 m1 rtv1 =, v2 m2 rtv1
Одновременно Й. Тюнен обосновал основные положения теории земельной ренты по местоположению. Определенный продукт продается по одной и той же цене независимо от места своего производства. Земельная рента равна величине экономии на транспортных издержках в хозяйствах, расположенных относительно ближе к центру.
Она максимальна в первом кольце и падает по мере удаления земельного участка от центра. В наиболее удаленном кольце, где еще ведется сельское хозяйство, величина ренты равна нулю. Минимум транспортных затрат на доставку сельскохозяйственной продукции соответствует максимуму земельной ренты.
По-видимому, Й. Тюнен не знал теории ренты по местоположению Д. Рикардо. Тем не менее, начиная свой анализ с принципиально иных посылок, он приходит к тем же выводам, что Д. Рикардо.
Работа Й. Тюнена была первым и весьма показательным пpимером использования абстрактных математических моделей в теории пространственной экономики. Ее важное методическое значение признано в новой экономической науке.
3.2. Рациональный штандорт промышленного
предприятия В. Лаунхардта
Главное открытие немецкого ученого В. Лаунхардта, основная работа которого была опубликована в 1882 г., — метод нахождения пункта оптимального размещения отдельного промышленного предприятия относительно источников сырья рынка сбыта продукции.
Решающим фактором размещения производства у В. Лаунхардта, так же как и у Й. Тюнена, являются транспортные издержки. Производственные затраты принимаются равными для всех точек исследуемой территории. Точка оптимального размещения предприятия находится в зависимости от весовых соотношений перевозимых грузов и расстояний. Для решения этой задачи В. Лаунхардт разработал метод весового (или локационного) треугольника (рис.
3.2).
Пусть требуется найти пункт размещения нового металлургического завода. Известны пункт добычи железной руды — точка A пункт добычи угля — точка В и пункт потребления металла — точка С (рис.3.2). Транспортный тариф равен t (на 1 т/км).
Расходы руды на выплавку 1т металла составляют: а; расход угля — b. Известны также расстояния между пунктами (стороны локационного треугольника): АС = S1; ВС = S2; АВ = S3.
Возможным пунктом размещения металлургического завода может быть в принципе каждая из трех точек размещения источников руды, угля и потребителя металла. В этих случаях суммарные затраты, связанные с перевозкой всех необходимых грузов для потребления 1т металла, будут равны:
(b S3 + S1) t — при размещении завода в точке А;
(a S3 + S2) t — при размещении завода в точке В;
(a S1 + S2) t — при размещении завода в точке С.
Рис. 3.2. Локационный треугольник В. Лаунхардта
Наилучшим пунктом размещения завода из рассмотренных трех будет тот, в котором транспортные затраты минимальны. Однако искомый пункт размещения может не совпадать ни с одной из вершин локационного треугольника, а находиться внутри него в некоторой точке М.
Расстояние от внутренней точки М до вершин треугольника составляют: AM = r1 ВМ = r2 СМ = r3. Тогда транспортные издержки при размещении металлургического завода в точке М будут равны Т = (ar1+ br2 + + r3) t. Выполнение требования Т > min дает точку оптимального местоположения предприятия.
Данная задача имеет геометрическое и механическое решения.
Геометрический метод нахождения точки размещения в том, что на каждой из сторон локационного треугольника строится треугольник, подобный весовому (стороны которого относятся как а : b : 1). Затем вокруг построенных таким образом треугольников описываются окружности, точка пересечения которых и является точкой минимума транспортных издержек. Этот метод применим для случая, когда соотношения расстояний S1, S2, S3 соответствуют свойству треугольника (одна сторона меньше суммы двух других).
В противном случае (например когда S1 S2 + S3) точка минимума транспортных затрат будет совпадать с одной из вершин локационного треугольника.
Механическое решение рассматриваемой задачи основывается на аналогии с методом нахождения точки равновесия сил. При этом веса руды, угля, металла выступают в качестве сил, с которыми притягивают производство соответствующие вершины локационного треугольника. Искомая точка является точкой равновесия трех связанных нитей, проходящих через вершины локационного треугольника.
При этом к концам нитей подвешены грузы (Qa, Qb, Qc), пропорциональные a, b, 1. Весовой треугольник В. Лаунхардта — одна из первых в экономической науке физических моделей, используемых для решения теоретических и практических задач.
Изложенный метод нахождения оптимального размещения предприятия применим и для большего числа точек (видов сырья) при условии, что они образуют выпуклый многоугольник.
3.3. Теория промышленного штандорта А. Вебера
Основной труд немецкого экономиста и социолога А. Вебера О размещении промышленности: чистая территория штандорта был опубликован в 1909 г. Ученый поставил перед собой дачу создать общую чистую теорию размещения производства на основе рассмотрения изолированного предприятия.
Что такое район?
Оно имеет организацию, границы и название. Оно имеет записанную историю. Но что такое район?
Конечно, это не политическая и не административная единица. Мы можем сказать лишь, что это территория, отличающаяся достаточно характерными признаками для того, чтобы отделить ее от соседей1.
На запрос подкомитета по районированию Комитета национальных ресурсов конгресса США от различных научных центров, занимающихся проблемами регионоведения и экономического районирования, были получены следующие ответы:
— Чикагский университет, профессор В. Джонс: Район это территория, внутри которой имеется однородность в одно или нескольких отношениях.
— Северная Каролина, профессор Вуфтер: Район — территория, в пределах которой сочетание природных и экономических факторов создало однородность экономической, социальной структуры.
— Миннесотский университет, профессор Р. Хартсхорн: Район — это непрерывная территория, в пределах которой имеется в некоторой степени однородность в общем (природном культурном) ландшафте.
Еще один ученый из Чикаго — Р. Платт сказал, что понятие район — это территория, выделенная на основе общей однородности характера земли и общей однородности ее использования.
На основании полученных суждений, а также исходя из собственных взглядов Комитет по районированию дал такое толкование: Под районом вообще следует понимать территорию, xaрактеризуемую однородностью в одном или нескольких отношениях (аспектах)2.
Крупные российские исследователи районов США, такие как Л. Зиман, М. Половицкая, Л. Смирнягин, не раз подчеркивали, что при выделении районов США сами американцы обращали внимание на разнообразие физико-географических условий, особенности заселения в разные периоды истории Америки, на традиции, а также на экономические и социальные различия. Региональное самосознание американцев — это не только отождествление граждан с определенной территорией, районом, штатом, но и противопоставление себя жителям других регионов, у которых другие привычки и традиции, другой выговор в речи, другие экономические и социальные, а нередко и иные политико-национальные интересы.
С годами за рубежом менялись взгляды на региональный процесс. По мнению Э. Куклински, региональное развитие, региональные проблемы долгое время рассматривались с точки зрения материального подхода. Строительство новых физических объектов, таких как фабрики и дороги, признавалось самым важным вкладом в развитие данного региона.
Ныне наиболее значимым является нематериальный подход. Концепция регионального развития, ориентированная на знания и инновации, доминирует не только в научной, но также и в практической сфере во все возрастающем числе стран3.
Кстати, Э. Куклински рассматривает регионы как составные части пространственной экономической системы, где господствуют силы конкуренции. Регионы, которые — благодаря своей более высокой конкурентоспособности — могут привлечь значиельную долю отечественного и зарубежного рынка... Таким образом, регионы можно в принципе рассматривать как острова инноваций и духа предпринимательства в более широком контексте пространственной сети4.
Необходимо подчеркнуть, что интерес к регионоведению, к социально-экономическому районированию своих территорий характерен не только для США, но и для Канады, Франции, Великобритании, Германии, Китая. Особенно активизировались региональные идеи в Европе. 4 декабря 1996 г. более 300 европейских регионов с различными территориями, политико-административным устройством, представляющих интересы свыше 400 млн. своих граждан, приняли Декларацию о регионализме в Европе. Главный мотив принятия Декларации — стремление к дальнейшей регионализации в институционных рамках своих стран.
Инициатором принятия Декларации была Ассамблея регионов Европы, которая в своей программе действий стремится к признанию регионализма не только в Европейском союзе, но и за его пределами.
В Декларации записано, что понятие регион представляет собой выражение отличительной политической самобытности, которая может принимать самые различные политические формы, отражающие демократическую волю каждого региона принимать ту форму политической организации, которую он сочтет предпочтительной. Регион сам избирает свое руководство и устанавливает знаки различия его представительства.
В последнее время все большее число специалистов в области региональной науки и особенно непосредственных руководителей краев, областей, республик сходятся в одном: регионами России необходимо считать субъекты Федерации.
Понятию регион уделяется много внимания и в современной экономической, географической и градостроительной литературе. Наиболее часто употребляемыми критериями для формирования понятия регион являются:
• географические (расположение, величина территории и количество населения);
• производственно-функциональные (специфика преобладающих видов деятельности);
• градостроительные (характер застройки объектов производственной деятельности, жилья и обслуживания);
• социологические (нормы общения, поведения).
Такое разнообразие критериев затрудняет полное раскрытие сущности региона в одном определении. Ведь регион должен рассматриваться одновременно и как элемент территориальной организации национального хозяйства, и как элемент системы расселения, и как элемент социальной организации общества — места всех сфер жизнеобеспечения и жизнедеятельности человека.
Регион — целостная система со своими структурой, функциями, связями с внешней средой, историей, культурой, условиями жизни населения. Ее характеризуют: высокая размерность; большое количество взаимосвязанных подсистем различных типов с локальными целями; многоконтурность управления; иерархичность структуры; значительное запаздывание координирующих воздействий при высокой динамичности элементов; неполная определенность состояний элементов. В функционировании региона определяющую роль играет население, трудовые коллективы. Эффективное управление регионом, городом принципиально невозможно без учета социального фактора. Зависимости между элементами этой сложной системы не могут быть описаны линейными функциями, так как жизнь общества обычно характеризуется нелинейными процессами.
Изучение общественной жизни в регионе возможно только на основе структуризации, т.е. выделения подсистем, совместное функционирование которых определяет динамику развития региона.
Как социально-экономическая система регион может быть представлен совокупностью пяти основных подсистем, к которым относятся:
• системообразующая база;
• системообслуживающий комплекс;
• экология;
• население;
• инфраструктура рынка.
Главным фактором, обеспечивающим взаимосвязь и взаимодействие указанных подсистем, интегрирующим их в единую социально-экономическую систему, является деятельность людей. Человек — органическая часть каждой из подсистем. Он представляет собой часть природы, основной компонент производительных сил национального хозяйства и, наконец, часть населения, так как через связи и отношения с другими людьми образует собственно социально-территориальную общность.
Итак, основываясь на вышесказанном, можно принять за основу следующее определение региона.
Регион — это территория в административных границах субъекта Федерации, характеризующаяся: комплексностью, целостностью, специализацией и управляемостью, т.е. наличием политико-административных органов управления.
Существует немало вариантов классификации регионов России по уровню социально-экономического развития. Так, специалисты федеральных ведомств России и ученые РАН выделяют три группы регионов с качественно различными характеристиками состояния экономики и социальной сферы: развитые регионы с достаточно высоким уровнем производства и жизни людей; регионы со средним экономическим потенциалом; проблемные регионы с низким уровнем социально-экономического развития. В группе последних выделяются депрессивные и отсталые регионы.
Одним из основных признаков регионального определения выступает целостность. Она означает вполне рациональное использование природно-ресурсного потенциала региона, пропорциональное сочетание различных отраслей, формирование устойчивых внутрирегиональных и межрегиональных производственных и технологических связей, наличие особого сообщества людей с определенными традициями и образом жизни.
Комплексность хозяйства региона Vзначает сбалансированность, пропорциональное согласованное развитие производительных сил региона. Это такая взаимосвязь между элементами хозяйства, когда эффективно выполняется основная народнохозяйственная функция — специализация региона, не наблюдается значительных внутрирегиональных диспропорций и сохраняется способность региона осуществлять в своих пределах расширенное воспроизводство на основе имеющихся ресурсов.
Показателями комплексности регионального хозяйства могут быть: процент продукции внутри регионального производства потребляемый в самом регионе; удельный вес продукции межотраслевого применения; степень использования региональных ресурсов. Комплексность и целостность служат предпосылками относительного обособления регионов в рамках национального хозяйства.
Цикл стратегического управления
Бенчмаркинг является той управленческой технологией, которая позволяет формализовать передачу и адаптацию передового управленческого опыта.
Качество предоставляемых услуг становится центральным моментом в работе многих органов местного управления и местных органов власти. Достижение качества должно опираться на соответствующие стандарты, а оценка качества предполагает процедуру внешнего аудита.
Таким образом, цикл стратегического управления ( 8.2) состоит из стратегического планирования, в рамках которого определяются цели, проводится SWOT-анализ, разрабатываются стратегия и способы ее реализации, построенные на философии организации, ее оргструктуре, подготовленности персонала, организации деловых процессов и стратегического контроля.
8.2. Цикл стратегического управления
После того как стратегия выбрана, она реализуется и осуществляется контроль полученных результатов. Затем цикл стратегического планирования начинается снова. Цикл стратегического планирования, выполненный однажды, не способен закрепить и зафиксировать незыблемую или единственно верную успешную стратегию. Процесс стратегического управления непрерывен.
Планы в организациях создаются отнюдь не для того, чтобы неукоснительно их выполнять; они лишь средство успешного управления, адаптирующего возможности организации к постоянно меняющимся условиям.
Таким образом, особенностью современной парадигмы управления экономическим развитием муниципального образования является то, что, во-первых, управление становится стратегическим, а во-вторых, экономическое развитие территории и эффективное управление этим процессом становятся заботой не только управленцев, но и бизнесменов, политиков и, безусловно, всего населения территории.
Контрольные вопросы
1. В чем заключаются экономические, социально-психологические и правовые предпосылки муниципального менеджмента? Можно ли его средствами противостоять углублению кризисных явлений в нашей стране?
2. Какова сущность муниципального менеджмента и как можно радикально повысить его результативность?
3. Как реализовать принцип комплексности в муниципальном менеджменте?
4. Чем характеризуется отечественная культура муниципального менеджмента? Каковы критерии и этапы ее формирования?
5. Каковы уроки истории зарубежного опыта муниципального менеджмента для практики подготовки и переподготовки специалистов государственного управления и местной власти Российской Федерации?
9. РЕГИОНАЛЬНОЕ РАЗМЕЩЕНИЕ
И РЕГУЛИРОВАНИЕ РЕГИОНАЛЬНЫХ
ПРОПОРЦИЙ
9.1. Экономическое пространство России,
его макроэкономические региональные пропорции
Экономическое пространство России состоит из территориальных образований, регионов, районов и поселений, имеющих существенные отличия в уровнях экономического развития, отраслевой специализации, природно-климатических условиях. Вместе с тем эти образования взаимосвязаны, причем не столько торговлей, сколько современным глубоко специализированным высокотехнологичным производством.
В ходе длительного совместного развития российских регионов между ними сложились определенное общественное разделение труда и отраслевая специализация в составе целостного экономического пространства страны. Для востока России, включающего шесть экономических регионов Поволжский, Уральский, Западно-Сибирский, Восточно-Сибирский, Дальневосточный и Северный, характерно преобладание ресурсопроизводящих отраслей. В начале 90-х годов в этих экономических регионах производилось более 80% продукции нефтегазовой промышленности всей России, почти 75% угольной промышленности, свыше 75% черной и почти 90% цветной металлургии, около 60% химической промышленности, свыше 65% лесной и лесоперерабатывающей промышленности.
В западных регионах Северо-Западном, Центральном, Волго-Вятском, Центрально-черноземном и Северо-Кавказском в основном сосредоточены ресурсообрабатывающие отрасли. В начале 90-х годов здесь производилось более 70% продукции легкой промышленности всей России, свыше 52% машиностроения и пищевой промышленности. Отраслевая специализация обусловила в каждом регионе высокую долю продукции, производимой для других регионов и получаемой из них.
В конце 80-х годов доля вывоза в производстве продукции и ввоза ее в ресурсах потребления отдельных укрупненных экономических районов характеризовалась следующими данными.
Из табл. 9.1 видно, что объем межрегиональных связей сопоставим с масштабами производства и потребления в экономических районах, поэтому межрегиональные связи оказывают глубокое воздействие на экономические процессы, идущие в российских регионах.
В ходе экономических реформ возникли две устойчивые негативные тенденции в динамике хозяйственных связей между регионами России. Первая ослабление межрегиональных связей из-за спада производства как следствие того, что объемы этих связей из-за отраслевой специализации регионов сопоставимы с масштабами производства в них. Вторая тенденция сокращение числа и наполняемости хозяйственных связей вследствие увеличения поставок на экспорт российской продукции ресурсного назначения имеет в качестве базового условия исторически сложившуюся замкнутость российского экономического пространства.
Разумеется, наряду со спадом производства и увеличением экспорта производственных ресурсов на процесс сокращения связей между российскими регионами заметно влияют рост тарифов на услуги транспорта, масштабная «бартеризация» экономики.
Таблица 9.1
Доля укрупненных районов в вывозе продукции
производства и ввозе ресурсов потребления, %7
Экономические районы
|
Вывоз
|
Ввоз
|
Северный
|
25,3
|
29,1
|
Северо-Западный
|
25,5
|
31,4
|
Центральный
|
25,2
|
29,8
|
Волго-Вятский
|
24,0
|
25,0
|
Центрально-черноземный
|
22,4
|
25,8
|
Поволжский
|
24,8
|
22,9
|
Северо- Кавказский
|
20,0
|
24,4
|
Уральский
|
24,7
|
22,9
|
Западно-Сибирский
|
24,0
|
22,4
|
Восточно-Сибирский
|
23,2
|
28,5
|
Дальневосточный
|
15,8
|
24,9
|
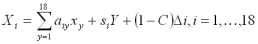
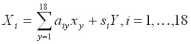
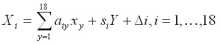
Для количественной оценки степени зависимости экономики регионов от их внешних связей используется специальная экономико-математическая модель. Она представляет собой оптимизационную статистическую 18-отраслевую модель межотраслевого баланса региона России. С ее помощью устанавливается зависимость изменения объема внутреннего конечного продукта региона от уровня изменения его внешних связей.
При этом внешние связи включают в себя как связи с другими регионами России, так и международные экономические связи с ближним и дальним зарубежьем. Формализованная запись экономико-математической модели выглядит следующим образом:
(формула А);
(формула В);
(формула С).
В уравнениях модели приняты следующие обозначения:
Xi объем производства продукции отрасли i данного региона (i =
= 1, ..., 18);
Y величина внутреннего конечного продукта региона;
aiу коэффициенты матрицы прямых затрат межотраслевого баланса региона;
Si показатель доли отрасли i в отраслевой структуре внутреннего конечного продукта региона;
i сальдо вывоза-ввоза отрасли i данного региона;
С параметр, характеризующий меру ослабления внешних связей региона: если С = 0, то это значит, что внешние связи региона полностью сохранены, если С = 1 что внешние связи региона отсутствуют;
xi0 объем производства продукции отрасли i при С = 0, т.е. при полной сохранности внешних связей.
Результаты расчетов для всех регионов могут быть представлены в виде следующей линейной зависимости:
(формула D),
где Y величина внутреннего конечного продукта в условиях полного сохранения внешних связей региона (С = 0);
К коэффициент зависимости внутреннего конечного продукта региона от внешних связей, показывающий величину изменения конечного продукта (в %) при изменении его внешних связей на 1%.
В результате расчетов по модели (формулы AD) были получены значения коэффициента зависимости К для каждого экономического района России, представленные в табл. 9.2.
Таблица 9.2
Экономическая зависимость регионов страны, %
Районы
|
Коэффициент зависимости |
Уральский
|
0,49
|
Западно-Сибирский
|
0,62
|
Поволжский
|
0,65
|
Центральный
|
0,67
|
Северный
|
0,69
|
Дальневосточный
|
0,71
|
Восточно-Сибирский
|
0,74
|
Северо-Кавказский
|
0,75
|
Волго-Вятский
|
0,76
|
Северо-Западный
|
0,78
|
Центрально-черноземный
|
0,92
|
Анализ полученных результатов позволяет объединить все экономические районы России в три группы. В первую группу попадает наиболее независимый регион Уральский, объем конечного продукта которого наименее зависим от внешних связей. При их изменении на 1% внутренний конечный продукт изменяется менее чем на 0,5%. Вторую группу образуют Западно-Сибирский, Поволжский, Центральный, Северный, Дальневосточный, Восточно-Сибирский, Северо-Кавказский, Волго-Вятский и Северо-Западный экономические районы. У них при изменении внешних связей на 1% конечный продукт изменяется на 0,60,8%.
Третью группу представляет самый зависимый Центрально-черноземный район, у которого каждый процент уменьшения внешних связей снижает его внутренний конечный продукт более чем на 0,9%.
Какой может быть стратегия экономического поведения регионов России в условиях ослабления хозяйственных связей?
Доля запада и востока России в общероссийском валовом общественном продукте
Различия в экономическом положении запада и востока России, о которых свидетельствуют данные табл. 9.3 и 9.4, обусловлены существенно различными темпами спада производства в ресурсопроизводящих и ресурсообрабатывающих отраслях российской промышленности.
Таблица 9.4
Доля запада и востока России
в общероссийском валовом общественном продукте, %
Экономические районы России
|
1987
|
1990
|
1995
|
Запад России
|
45,7
|
46,3
|
42,4
|
Восток России
|
54,3
|
53,7
|
57,6
|
Отрасли первой группы нефтегазовая, черная и цветная металлургия сконцентрированы в основном на востоке России; отрасли второй группы машиностроение, легкая и пищевая промышленность на западе страны. Замедление темпов спада в ресурсопроизводящих отраслях было вызвано резким увеличением экспорта их продукции на мировой рынок, несмотря на продолжающийся спад производства в российской промышленности, о чем свидетельствуют статистические данные, приведенные в табл. 9.5.
Из табл. 9.5 видно, что, несмотря на спад в промышленном производстве, начиная с 1993 г. экспорт России увеличивается возрастающими темпами. В основе этого рост экспортных поставок продукции востока России нефтегазовой промышленности, а также продукции черной и цветной металлургии (с 1994 г.).
Одновременно наблюдается резкое увеличение импорта, прежде всего продовольствия, в котором особенно остро нуждается восток России.
Таблица 9.5
Сопоставление темпов спада в промышленности с темпами спада и роста экспорта и импорта России
|
% к предшествующему году
|
1992
|
1993
|
1994
|
1995
|
Промышленность*
|
-18,5
|
-14,1
|
-22,8
|
-5
|
'Экспорт**
|
-16,7
|
+4,5
|
+ 13,1
|
+25
|
Импорт**
|
-16,8
|
-27,6
|
+5,6
|
+ 12
|
* по крупным и средним предприятиям;
** с дальним зарубежьем (в долларах США).
Таким образом, в 19931994 гг. в едином экономическом пространстве России появились новые тенденции, имеющие различную направленность в разных частях страны. В ресурсопроизводящих отраслях и соответствующих регионах востока России вследствие их переориентации на мировой рынок началось интенсивное замедление спада производства. Экспортные поставки производственных ресурсов позволили им резко увеличить импорт продовольствия, а также продукции машиностроения и легкой промышленности.
Это свидетельствует о переходе ресурсопроизводящих регионов востока России к стратегии регионального фритредерства.
В свою очередь в ресурсообрабатывающих регионах российского запада уменьшились поставки им ресурсов и спрос на их продукцию со стороны востока России, что принуждает регионы запада России к стратегии региональной автаркии. Спад производства в их ведущих отраслях машиностроении, легкой и пищевой промышленности усилился.
Все это позволяет сделать вывод, что развитие событий в российской экономике в последние годы подтвердило правомерность гипотезы о возможности возникновения в едином экономическом пространстве России двух альтернативных стратегий поведения его составных частей: регионального фритредерства для ресурсопроизводящего востока и региональной автаркии для ресурсообрабатывающего запада. Разнонаправленность их развития становится, по-видимому, фактором существенного изменения характера кризиса в российской экономике. Так, в последнем десятилетии ожидалось замедление спада производства в промышленности до 810% (табл.
9.5), однако это не подтвердилось. За последние годы уменьшение объемов промышленного производства по сравнению с началом перестройки составило почти 23%, т.е. оказалось самым глубоким за все годы реформ и, главное, в 2,53 раза (!) больше, чем ожидалось. Это говорит о качественных изменениях в причинах спада производства в экономике России и прежде всего о нарушении единства ее воспроизводственного процесса и ослаблении целостности российского экономического пространства.
Негативные тенденции в изменении макроэкономических региональных пропорций России требуют действенных способов их регулирования.
9.3. Задачи федерального, регионального
и муниципального управления в современных условиях
Возникновение угрозы ослабления целостности российского экономического пространства в значительной мере объективно обусловлено действием «невидимой руки» рынка, т.е. фундаментальных экономических закономерностей, свойственных рыночным отношениям. Поэтому остановить такой процесс может только система государственного регулирования рыночных отношений. Посмотрим, в какой мере она осуществляет функции по обеспечению целостности экономического пространства России в современных условиях.
Основой анализа роли этой системы послужили результаты исследований, ведущихся с 1993 г. в Институте народнохозяйственного прогнозирования РАН8. Они позволили выявить следующие функции федерального и регионального государственного регулирования по обеспечению целостности российской экономики.
1. Обеспечение существования экономических районов-доноров. Уровень донорства районов изменялся, начиная с 90-х годов, следующим образом (табл. 9.6).
Таблица 9.6
Доля положительного сальдо вывоза-ввоза в производстве районов-доноров (внешнеторговые цены 1989 г.), %
Экономические районы-доноры
|
1987
|
1990
|
1993
|
1994
|
1995
|
Поволжский
|
5,6
|
4,9
|
3,1
|
3,5
|
5,3
|
Уральский
|
7,7
|
7,2
|
6,7
|
7,9
|
10,6
|
Западно-Сибирский
|
18,6
|
19,0
|
27,0
|
28,5
|
29,6
|
Восточно-Сибирский
|
|
|
|
1,1
|
5,1
|
Северный
|
|
|
|
1,3
|
5,0
|
Из табл. 9.6 следует, что за это время число экономических районов-доноров возросло с трех до пяти, причем все они принадлежат ресурсопроизводящему востоку России. В течение последнего времени уровень донорства экономических регионов-доноров непрерывно увеличивался.
В табл. 9.7 представлена доля каждого района-донора в общем положительном сальдо районов-доноров. Данные свидетельствуют, что к важнейшим экономическим районам-донорам в экономике России относятся Западно-Сибирский и Уральский, общая суммарная доля которых в текущем десятилетии превышала 85%.
В это время доля всех районов-доноров, за исключением Западно-Сибирского, в общем положительном сальдо районов-доноров заметно росла.
Таблица 9.7
Региональная структура общего положительного
сальдо регионов-доноров, %
Регионы-доноры
|
1987
|
1990
|
1993
|
1994
|
1995
|
Общее положительное сальдо регионов-доноров
|
100
|
100
|
100
|
100
|
100
|
В том числе регионы: Поволжский
|
14,6
|
12,7
|
6,7
|
6,5
|
8,0
|
Уральский
|
26,9
|
24,9
|
18,2
|
18,2
|
20,9
|
Западно-Сибирский
|
58,5
|
62,4
|
75,1
|
73,5
|
64,3
|
Восточно-Сибирский
|
|
|
|
0,8
|
2,7
|
Северный
|
|
|
|
1,0
|
4,1
|
2.Обеспечение существования экономических районов-реципиентов. Для этих районов (получателей) уровень реципиентности изменялся в пределах, характеризуемых данными табл. 9.8.
Из данных табл. 9.10 следует, что за анализируемые годы число районов-реципиентов уменьшилось с восьми до шести, причем пять из оставшихся шести районов образуют ресурсообрабатывающий запад России. В течение 19901995 гг. уровень реципиентности большинства районов-реципиентов заметно снизился, и только у двух из них Центрального и Северо-Западного существенно возрос (у первого в 2,4 раза, у второгов 1,5 раза).
Таблица 9.8
Доля отрицательного сальдо вывоза-ввоза в объеме ресурсов потребления районов-реципиентов (внешнеторговые цены 1989 г.), %
Районы-реципиенты
|
1987
|
1990
|
1993
|
1994
|
1995
|
Северный
|
3,9
|
5,3
|
0,6
|
|
|
Северо-Западный
|
6,4
|
6,7
|
7,7
|
9,8
|
9,9
|
Центральный
|
4,4
|
4,2
|
6,1
|
9,4
|
10,2
|
Волго-Вятский
|
1,2
|
0,7
|
1,3
|
1,5
|
0,1
|
Центрально-черноземный
|
8,1
|
7,7
|
6,6
|
6,2
|
4,4
|
Северо-Кавказский
|
7,2
|
8,0
|
7,7
|
7,8
|
7,5
|
Восточно-Сибирский
|
3,7
|
4,2
|
1,2
|
|
|
Дальневосточный
|
10,4
|
11,9
|
8,2
|
7,9
|
5,7
|
Изменение доли каждого реципиента в общем отрицательном сальдо российских экономических регионов-реципиентов за 19871995 гг. представлено в табл. 9.9. Как следует из этих данных, главными реципиентами России являются Центральный и Северо-Западный регионы, общая суммарная доля которых в 1995 г. превышала 70%.
В течение 19901995 гг. доля большинства районов-реципиентов в их общем отрицательном сальдо заметно снизилась и снова лишь у двух из них Центрального и Северо-Западного существенно возросла (у первого в 2,3 раза, у второго в 1,3 раза).
Таблица 9.9
Региональная структура общего отрицательного сальдо российских регионов-реципиентов, %
Районы-реципиенты
|
1987
|
1990
|
1993
|
1994
|
1995
|
Общее отрицательное сальдо районов-реципиентов
|
100,0
|
100,0
|
100,0
|
100,0
|
100,0
|
Северный
|
5,3
|
6,7
|
0,8
|
|
|
Северо-Западный
|
11,5
|
6,7
|
13,5
|
14,8
|
15,0
|
Центральный
|
25,8
|
23,4
|
38,2
|
49,1
|
55,1
|
Волго-Вятский
|
2,0
|
1,1
|
2,3
|
2,2
|
0,1
|
Центрально-черноземный
|
11,7
|
10,5
|
10,3
|
7,8
|
6,2
|
Северо-Кавказский
|
17,5
|
18,8
|
18,0
|
14,7
|
15,0
|
Восточно-Сибирский
|
6,8
|
7,3
|
2,3
|
|
|
Дальневосточный
|
19,4
|
20,
|
14,6
|
11,4
|
8,6
|
3. Обеспечение перераспределения ресурсов между востоком и западом России. Наличие в российской экономике регионов-доноров и регионов-реципиентов (первые на востоке, вторые в основном на западе России) свидетельствует о неэквивалентном перераспределении ресурсов между востоком и западом России.
Европейская хартия о местном самоуправлении.
— установления минимальных государственных социальных стандартов как основы расчетов при осуществлении межбюджетных отношений;
• активное формирование муниципальной собственности как важного компонента финансово-экономической базы местного самоуправления;
• развитие рынка недвижимости;
• проведение инвестиционной политики, обеспечивающей привлечение доходов населения и ориентированной на участие представителей малого и среднего бизнеса.
Механизмом решения вышеперечисленных проблем должно быть установление такого бюджетного и налогового регулирования, которое обеспечивает формирование минимальных местных бюджетов и создает условия для оптимизации базы налогообложения муниципальных образований.
При упоминании основных финансово-бюджетных проблем местного самоуправления, указанных в Основных положениях государственной политики... важно отметить, что подобные проблемы существуют на протяжении многих лет. Несмотря на некоторые изменения в практике принятия федеральных законов, бюджеты муниципальных образований все еще несбалансированны и бедны. Между тем во всех странах, имеющих местное самоуправление, местные органы самоуправления играют решающую роль в достижении социального консенсуса, экономического благосостояния и стабильного развития не только в пределах подотчетной им территории, но и в стране в целом.
Для этой цели местные органы должны обладать необходимыми финансовыми ресурсами.
Все страны — члены Совета Европы сталкиваются в настоящее время с проблемой выбора соответствующего баланса контроля и сокращения государственных расходов, с одной стороны, и предоставления большей финансовой самодостаточности местным органам — с другой. Таким образом, они изыскивают возможности справедливого распределения средств на всех уровнях государственного управления.
Не существует универсальной модели в области местных финансов и местного бюджета, применимой для всех европейских стран. Каждая модель характерна своими нуждами и решениями. Тем не менее ст. 9 Европейского закона о местном самоуправлении (принятого и действующего в России с 1 сентября 1998 г.) предусматривает некоторые общие принципы, касающиеся финансовых ресурсов, выделенных местным органам. Она гласит, что в рамках государственной экономической политики в соответствующей стране местные органы имеют право обладать достаточными собственными финансовыми ресурсами, которыми они могут свободно распоряжаться в пределах своих полномочий.
Такие финансовые ресурсы должны отвечать объему полномочий, возложенных на местные органы, в соответствии с конституцией и действующим законодательством.
Федеральное законодательство, регулирующее общие организационные принципы и финансовую базу местного самоуправления в Российской Федерации, провозгласило принципы оказания финансовой поддержки в исполнении обязательств, возложенных на местные органы; но как региональные, так и федеральные органы власти ими пренебрегают.
Контрольные вопросы
1. Что лежит в основе финансово-экономической деятельности местного самоуправления?
2. Как формируется финансовая база органов местного самоуправления?
3. Какие принципы обеспечивают эффективную систему денежных поступлений?
ЛИТЕРАТУРА
1. Алексеев Ю.П. Основы местного самоуправления. — М., 1996.
2. Брячихин А.М. Россия — город — власть. — М., 1995.
3. Велихов Л.А. Основы городского хозяйства: — Обнинск, 1995.
4. Гаврилов А.И. Проблемы повышения эффективности местного самоуправления. — М.: БЕК, 1994.
5. Гапоненко А.Л. Управление экономическим развитием. — М., 1993.
6. Гладышев А.В. Правовые основы местного самоуправления. М., 1996.
7. Дульщиков Ю.С. Региональная политика и управление. — М, 1997.
8. Европейская хартия о местном самоуправлении. Совет Европы, Страсбург, 1990.
9. Концепция перехода Российской Федерации к устойчивому развитию // Российская газета. — 1996. — 9 апреля.
10. Мацнов Д.А. и др. Анализ экономического взаимодействия регионов России // Проблемы прогнозирования. — 1995. — №7.
11. Мацнов Д.А. Сохраним ли целостность общероссийского экономического пространства? // Российский экономический журнал. — 1995. — № 7.
12. Мельников С.Б. Корпоратизм — российский путь реформ. — М., 1996.
13. Менеджмент в сфере услуг / Под. ред. В.Ф.
Уколова. — М., 1995.
14. Мельников С.Б. Формирование корпоративного управления муниципальными образованиями в России в условиях кризиса. — М., 1996.
15. Местное самоуправление в зарубежных странах. Информационный обзор. — М., 1994.
16. Местное самоуправление в России: Сборник материалов по проблемам становления местного самоуправления в Российской Федерации. Вып.
1. — М., 1995.
17. Местное самоуправление в России: технологии, проблемы, перспективы. Спецкурс. Вып.
6. — М., 1997.
18. Моргачев В.Н. Формы и методы территориального управления в США и Канаде. — М., 1987.
19. Об общих принципах организации местного самоуправления в Российской Федерации. Федеральный закон // Российская газета. — 1995.— 9 апреля.
20. Омаров А.М. Руководитель. Размышления о стиле управления.
М., 1987.
21. Региональное управление. Зарубежный опыт / Отв. ред. Г.И. Иванов.
М., 1993.
22. Региональная экономика / Под ред. Т.Г.
Морозовой. — М., 1993.
23. Регион и Федерация: в поисках оптимума. — Невельск, 1966.
24. Регулирование территориального развития в условиях рыночной экономики / Под общ. ред. Б.М.
Штульберга. — М., 1997.
25. Экономика: Учебник / Под ред. А.С.
Пулатова. — М.: БЕК, 1994.
ОГЛАВЛЕНИЕ
Введение 3
Глава 1. Основные понятия и определения экономики региона
1.1. Национальная экономика как сфера организации воспроизводственных процессов
1.2. Понятия регион, экономический район
Глава 2. Типы и виды экономик. Экономические системы и их сущность
2.1. Экономическая система и ее элементы
2.2. Типы хозяйственных систем
2.3. Типы и виды рыночных экономик
Глава 3. Теории размещения регионального производства
3.1. Теория сельскохозяйственного штандорта Й. Тюнена
3.2. Рациональный штандорт промышленного предприятия В. Лаунхардта
3.3. Теория промышленного штандорта А. Вебера
3.4. Теория центральных мест
3.5. Региональные рынки и пространственная теория цены
3.6. Теории региональной специализации и межрегиональной торговли
Глава 4. Пространственная организация и специализация хозяйства
4.1. Теоретические разработки о пространственной организации хозяйства
4.2. Принципы и факторы размещения производительных сил региона
4.3. Теория образования региональных комплексов
4.4. Методы регулирования развития территориальных комплексов
4.5. Новые парадигмы и концепции региона
4.6. Размещение деятельности
4.7. Пространственная организация экономики
4.8. Межрегиональное экономическое взаимодействие
Глава 5. Методы исследований в региональной экономике
Глава 6. Основы регионального управления экономикой
6.1. Особенности организации регионального управления
6.2. Сущность и задачи регионального управления
6.3. Принципы и методы регионального управления
6.4. Разделение функций, ресурсов и ответственности на федеральном, региональном и муниципальном уровнях
Глава 7. Региональное развитие: цели, критерии и методы управления
7.1. Что такое развитие?
7.2. Цели и критерии социально-экономического развития региона
7.3. Методы управления региональным развитием
Глава 8. Основы муниципального менеджмента
8.1. Муниципальный менеджмент как область практики
8.2. Принципы муниципального менеджмента
8.3. Особенности муниципального менеджмента
8.4. Муниципальный менеджмент как учебная дисциплина
8.5. Механизм управления муниципальным образованием
Глава 9. Региональное размещение и регулирование региональных пропорций
9.1. Экономическое пространство России, его макроэкономические региональные пропорции
9.2. Проблема размещения производительных сил в региональной экономике
9.3. Задачи федерального, регионального и муниципального управления в современных условиях
Глава 10. Организация муниципального управления в условиях корпоративной экономики
10.1. Корпоративная экономика как условие развития муниципальных образований (городов, районов)
10.2. Сущность корпоративного метода ведения хозяйства
10.3. Социально-финансовые группы муниципальных образований — управленческая основа корпоративной экономики
10.4. Корпоративная экономика и социальная жизнь
Глава 11. Факторы социально-экономического развития и конкурентоспособности регионов
11.1. Организационно-экономические факторы
11.2. Сравнительный анализ отечественных и зарубежных факторов
11.3. Новые тенденции в соотношении отдельных факторов
Глава 12. Методы управления региональной экономикой
12.1. Общая характеристика методов управления
12.2. Классификация методов
12.3. Экономическое моделирование
Глава 13. Воспроизводственные процессы в регионе
13.1. Территориальное разделение труда и воспроизводственные процессы на региональном уровне
13.2. Особенности организации воспроизводственного процесса в регионе
Глава 14. Организация управления экономикой региона
14.1. Сущность организации управления экономикой региона
14.2. Классификация организационных структур управления
14.3. Современные проблемы развития организационных структур управления
Глава 15. Принципы управления
15.1. Принципы, обеспечивающие функционирование объекта управления
15.2. Принципы, обеспечивающие развитие и совершенствование управляемой системы
Глава 16. Финансовая система региона
16.1. Финансово-экономическая основа местного самоуправления
16.2. Финансовая база деятельности органов местного самоуправления (МСУ)
16.3. Виды межбюджетных поступлений
16.4. Рамки для установления межправительственных перечислений
16.5. Цели финансовых отношений между различными уровнями управления в Российской Федерации
16.6. Финансовая основа осуществления местного самоуправления
Литература
1 Гаврилов А.Н. Организация воспроизводственных процессов в регионе. — М.: Курсы повышения квалификации РАГС, 2000.
ФАКТОРЫ СОЦИАЛЬНО-ЭКОНОМИЧЕСКОГО РАЗВИТИЯ И КОНКУРЕНТОСПОСОБНОСТИ РЕГИОНОВ
Проблемы доходов, не вызывающих социальных потрясений и не приводящих к значительному полярному разделению общества на антагонистические группы (имущие и неимущие; владеющие и не владеющие; богатые и нищие), могут быть урегулированы непосредственно корпоративным методом хозяйствования.
Контрольные вопросы
1. Как вы понимаете местное самоуправление?
2. Какова сущность корпоративной экономики?
3. Охарактеризуйте механизм местного самоуправления, его принципы и методы.
4. Для чего необходимы социально-финансовые группы в муниципальных образованиях?
5. Каковы критерии эффективности управления развитием муниципального образования?
11. ФАКТОРЫ СОЦИАЛЬНО-ЭКОНОМИЧЕСКОГО РАЗВИТИЯ И КОНКУРЕНТОСПОСОБНОСТИ РЕГИОНОВ
11.1. Организационно-экономические факторы
Социально-экономическое развитие регионов в настоящее время испытывает возрастающее влияние трех главных факторов.
1. Рыночного взаимопроникновение региональных, национальных и мирового рынков. Для России и ее регионов наиболее значимыми являются либерализация внешней торговли и снятие протекционистских ограничений в ближайшем будущем в результате вступления в силу соглашения с ЕС и возможного принятия в ВТО.
2. Конкурентного усиление конкуренции на всех перечисленных рынках, особенно неценовой конкуренции конкуренции в области качества жизни и инноваций.
3. Производственного постепенный переход от фордизма к постфордизму как способу организации производства, что подразумевает: замену массового производства мелкосерийным; заменой вертикальной организации труда горизонтальной; низкой индивидуальной ответственности соучастием индивида в производственном процессе.
Эти факторы ведут от территориальной дифференциации и разделения труда к его территориальной интеграции, от гомогенных региональных рынков к диверсифицированным, а в целом от национальной региональной политики к собственно региональной на уровне отдельных субъектов Федерации.
Факторы, благоприятные сегодня для размещения на территории предприятий, завтра означают дополнительные возможности для привлечения инвестиций, увеличения занятости и решения других назревших региональных проблем. То есть они одновременно становятся условиями, индикаторами успешного социально-экономического развития регионов в будущем.
Необходимо учитывать, таким образом, воздействие этих изменений на конкурентоспособность и хозяйствующих субъектов, и регионов. Например, для регионов это означает, что одни развиваются как экономически наиболее сильные области, способны мобилизовать собственные ресурсы и привлечь дополнительные инвестиции. Другие остаются на периферии, третьи развиваются лишь в отдельных специфичных сферах (пример туризм).
Нужно выяснить, следовательно, какие факторы должны в первую очередь учитывать хозяйствующие субъекты, и какие факторы должны улучшать регионы для повышения своей конкурентоспособности.
Как и всякая экономическая система, регион имеет внутреннюю и внешнюю среду, которые взаимодействуют. Эти связи могут быть как прямого, так и косвенного воздействия.
Для качественной характеристики и оценки динамики изменения внутренней среды достаточно проанализировать следующие группы факторов, характеризующих:
производственно-ресурсный потенциал региона;
структуру регионального рынка;
кадровый потенциал региона;
региональный бюджет;
стратегию развития региона.
Внешняя среда региона прямого воздействия включает взаимосвязи с партнерами:
внешними поставщиками товаров и услуг;
внешними потребителями;
регионами-конкурентами;
финансовыми организациями;
транспортными предприятиями.
Среда косвенного воздействия на регион может включать следующие группы факторов влияния:
общеэкономические;
общеполитические;
научно-технические;
природно-экологические;
демографические.
11.2. Сравнительный анализ отечественных
и зарубежных факторов
Традиционно в отечественной экономической литературе выделяются следующие группы факторов размещения: природные, демографические, экономико-географические, экономические. Наиболее употребительные факторы названы в гр. 1 табл.
11.1.
Характерно, что сами названия (не говоря уже об общеизвестной практике применения) несут отпечаток эпохи построения индустриального общества первой половины XX в. с присущим ей экстенсивным способом хозяйствования при ограниченном применении рыночных регуляторов.
В зарубежной теории и практике в настоящее время принят несколько иной стандартный набор факторов. В первую очередь различают две большие группы факторов: так называемые «жесткие» и «мягкие».
Под «жесткими» понимаются количественно измеряемые факторы: а) ориентированные на производственные ресурсы (земля, рабочая сила, капитал); б) ориентированные на производство и сбыт продукции (близость партнеров по кооперации, инфраструктура, структура населения и потребления); в) установленные государством (налоги, система хозяйствования, субсидии и программы поддержки). Наиболее часто используют факторы, показанные и гр. 2 табл.11.1.
Если между отечественными и жесткими факторами еще можно провести параллели, то мягкие факторы в число первых пока не включены вообще. Они касаются прежде всего количественно трудноизмеряемых категорий: уровня развития социальной среды населенного пункта, его, если можно так выразиться, дружественности экономике. В качестве мягких факторов чаще всего упоминают:
стабильность политической ситуации;
.стабильность общественного климата;
квалификацию занятых по найму;
региональную структуру экономики и отдельных предприятий;
качество системы образования и профессиональной подготовки кадров;
оснащение региона вузами, технологическими центрами, исследовательскими организациями;
Таблица 11.1
Соответствие некоторых отечественных и зарубежных факторов10
Отечественные факторы
|
Зарубежные факторы |
Сырьевой наличие сырья и его экономическая оценка
|
Расходы на используемое сырье
Расходы на комплектующие, полуфабрикаты
и услуги со стороны
|
Топливно-энергетический обеспеченность ресурсами ТЭК
|
Расходы на энергию
|
Водный обеспеченность водными ресурсами
|
|
Земельный обеспеченность земельными ресурсами
|
Цена земельных участков
|
Трудовой обеспеченность трудовыми ресурсами соответствующей квалификации
|
Уровень заработной платы, включая отчисления на социальные нужды
Наличие соответствующих трудовых ресурсов
|
Транспортный:
наличие коммуникаций
стоимость перевозок
|
Транспортное положение и транспортные связи Транспортные издержки
Наличие телекоммуникаций
|
НТП уровень НТП, обеспечивающий эффективное применение ресурсов
|
Наличие технологии и ноу-хау
|
Потребительский наличие основной массы потребителей товаров и услуг
|
Покупательная способность населения
|
Экономико-географическое положение
|
Территориальное расположение,
близость рынков
|
Агломерационные эффекты
|
Нагрузка на окружающую среду, инфраструктурное оснащение,
эффекты синергии
|
наличие факторов, ориентированных на производство услуг (экономический и налоговый консалтинг, реклама, маркетинг);
отношение к экономике основных действующих лиц региона (предприятий и союзов предпринимателей, работающих по найму и профсоюзов, коммунальных и региональных администраций, политиков);
качество жизни в регионе (качество жилья, экологическая ситуация, культурные и рекреационные возможности и т.д.).
11.3. Новые тенденции в соотношении отдельных факторов
Соотношение между отдельными факторами размещения их значимость находятся в постоянном движении. Все же середины 90-х годов можно зафиксировать несколько o6щих изменений, которые в еще большей степени будут действовать на рубеже веков.
Важнейшей тенденцией является то, что значение жестких факторов размещения снизилось в пользу мягких. Именно мягкие факторы все чаще становятся условиями экономического успеха (1).
По группе жестких факторов в соответствии со структурной перестройкой экономики от первичного (сельское хозяйство) ко вторичному (промышленность) и третичному (услуги и информация) секторам факторы «земля», «близость к источникам сырья», «издержки на заработную плату и первоначальный капитал» теряют свое значение в пользу агломерационных преимуществ (близости рынков, оснащения инфраструктурой и т.д.) (2).
Таблица 11.2
Ранжирование факторов по стадиям производственного цикла
(в порядке убывания значимости)11
Факторы
|
Производство
|
Распределение
|
Управление
/маркетинг/
сбыт
|
Исследования
и развитие
|
Надежность энергоснабжения
|
1
|
|
|
|
Наличие телекоммуникаций
|
2
|
1
|
1
|
2
|
Стабильность политического положения
|
3
|
5
|
2
|
1
|
Издержки на заработную плату
|
4
|
4
|
3
|
|
Наличие квалифицированной рабочей силы
|
5
|
|
|
4
|
Близость к сети магистральных автодорог
|
|
2
|
|
|
Транспортные издержки
|
|
3
|
|
|
Близость к аэропорту
|
|
|
4
|
|
Здоровая экономическая
ситуация
|
|
|
5
|
|
Стабильность социального климата
|
|
|
|
3
|
Возможность сотрудничества с исследовательскими организациями
|
|
|
|
5
|
В ходе дальнейшего развития транспорта и коммуникаций снизилась роль транспортных издержек.В то же время качество транспортных соединений (наличие международных аэропортов, скоростных железнодорожных линий) играет первостепенную роль.
Среди мягких факторов определяющий вес получают стабильность экономического, социального и политического положения. Возрастает значение близости к исследовательским центрам, хороших условий жизни для высококвалифицированных трудовых ресурсов. Важным фактором становится и само наличие у управленческих структур региона стратегии согласованного развития, которая главной своей целью должна иметь создание благоприятного имиджа региона (3).
Если дифференцировать факторы не по принципу мягкий жесткий, а по стадиям производства, то современные предпочтения распределятся следующим образом (4).
Безусловно, учет этих тенденций на практике подразумевает, что не все они одинаково важны для конкретного населенного пункта или конкретного предприятия. Например, издержки на факторы производства будут, очевидно, и дальше играть решающую роль при изготовлении трудоемкой конечной продукции или для молодых предприятий с высокой потребностью в капитале.
В аспекте конкретных регионов более высокую значимость будут иметь те факторы, которые характерны для отраслей специализации регионального социально-экономического комплекса.
В более общем плане вес фактора будет зависеть от его способностей локализоваться и быть мобильным: наиболее привязанными к территории будут факторы с сильной концентрацией и немобильные ( 11.1).
Итак, управленческому звену предприятий и организаций, работникам территориальных подразделений по экономике и прогнозированию, финансам, промышленной и инвестиционной политике необходимо адекватно оценивать реальные факторы размещения производительных сил, постоянно и своевременно улавливая современные тенденции.
1 Речь идет об объеме функций, а не об эффективности их осуществления.
2 Оптимизация федеральных и региональных структур управления. М., 1993.
3 Тодаро М.П. Экономическое развитие. М., 1997.
С. 651.
4 Тодаро М.П. Цит. произв. С.7374.
5 Горбунов А.А. и др. Реформирование экономики при дефиците инвестиций / ИСЭП РАН, СПб. Отд. академии инвестиций и экономики строительства.
СПб., 1995.
6 Елфимов Г.М. Возникновение нового: Философский очерк. М.: Мысль, 1983.
С.50Ї100.
7 Гапоненко А.Л. Основы менеджмента. М.: РАГС, 2000.
8 Клоцвог Ф.Н. и др. Новые тенденции межрегиональных связей российской экономики // Проблемы прогнозирования. 1996. №2.
Эти исследования, финансируемые Российским гуманитарным фондом, продолжаются и в настоящее время.
9 «Об общих принципах организации местного самоуправления в Российской Федерации». Федеральный закон Российской Федерации. М., 1995. С. 3.
10 Составлено по: Региональная экономика /Под ред. Т.Г. Морозовой.
Гл. 4. М.: Банки и биржи, ЮНИТИ, 1995, а также Carmona-Schneider J.J., а.а.О., S.7, Krдtke S., a.a.O., S.25.
11 Источник : Carmona-Schneider J.J., а.а.О., S.9.
Финансовая основа осуществления местного самоуправления
• поступления от приватизации имущества, от сдачи муниципального имущества в аренду, от местных займов и лотерей;
• часть прибыли муниципальных предприятий, учреждений и организаций;
• дотации, субвенции, трансфертные платежи и иные поступления в соответствии с Законом и решениями органов местного самоуправления; другие средства, образующиеся в результате деятельности органов местного самоуправления.
Кроме того, законодатель установил, что органы местного самоуправления в соответствии с федеральными и региональными законами получают плату, в том числе в натуральной форме, от пользователей природными ресурсами, которые добываются на территории муниципального образования.
Указанные нормы должны заработать в полную силу при развитии соответствующих отраслей права (налогового, бюджетного, гражданского и др.), а также с установлением и законодательным закреплением государственных минимальных социальных стандартов.
Федеральный закон О финансовых основах местного самоуправления в Российской Федерации, вступивший в силу 30 сентября 1997 г., разработан и действует в соответствии с пунктом н ст. 72 Конституции РФ. Закон также развивает соответствующие положения Федерального закона Об общих принципах организации местного самоуправления в Российской Федерации.
Федеральный закон О финансовых основах местного самоуправления в Российской Федерации внес в действующее и бюджетное законодательства ряд новых моментов. В нем, в частности, установлены полномочия и ответственность органов исполнительной власти в решении вопросов организации местных финансов.
Закон несколько детализировал основные положения Федерального закона Об общих принципах организации местного самоуправления в Российской Федерации. В отношении доходной части местных бюджетов Федеральный закон О финансовых основах местного самоуправления... установил, что доходная часть местных бюджетов состоит из:
• собственных доходов;
• поступлений от регулирующих доходов;
• финансовой помощи в различных формах (дотации, субвенции, средства Фонда финансовой поддержки муниципальных образований);
• средств по взаимным расчетам.
К собственным доходам местных бюджетов Федеральный закон О финансовых основах местного самоуправления... отнес:
• местные налоги, сборы, установленные в соответствии с федеральными законами;
• другие собственные доходы местных бюджетов;
• доли федеральных и региональных налогов, закрепленные за местными бюджетами на постоянной основе.
К другим собственным доходам местных бюджетов законодатель отнес:
• доходы от приватизации и реализации муниципального имущества;
• не менее 10% доходов от приватизации государственного имущества, находящегося на территории муниципального образования, проводимой в соответствии с государственной программой приватизации;
• доходы от сдачи в аренду муниципального имущества, включая аренду нежилых помещений, и муниципальных земель;
• платежи за пользование недрами и природными ресурсами, установленные в соответствии с законодательством Российской Федерации;
• доходы от проведения муниципальных денежно-вещевых лотерей;
• штрафы, подлежащие перечислению в местные бюджеты в соответствии с федеральными и региональными законами:
• государственная пошлина, установленная в соответствии с законодательством Российской Федерации;
• не менее 50% налога на имущество предприятий (организаций);
• подоходный налог с физических лиц, занимающихся предпринимательской деятельностью без образования юридического лица.
К собственным доходам законодатель отнес также доли федеральных налогов, распределенные между бюджетами разных уровней и закрепленные за муниципальными образованиями на постоянной основе:
• часть подоходного налога с физических лиц в пределах не менее 50% в среднем по субъекту Российской Федерации;
• часть налога на прибыль организаций в пределах не менее 5% в среднем по субъекту Российской Федерации;
• часть налога на добавленную стоимость по товарам отечественного производства (за исключением драгоценных металлов и драгоценных камней, отпускаемых из Государственного фонда драгоценных металлов и драгоценных камней Российской Федерации) в пределах не менее 10% в среднем по субъекту Российской Федерации;
• часть акцизов на спирт, водку и ликероводочные изделия в пределах не менее 5% в среднем по субъекту Российской Федерации;
• часть акцизов на остальные виды подакцизных товаров (за исключением акцизов на минеральные виды сырья, бензин, автомобили, импортные подакцизные товары) в пределах не менее 10% в среднем по субъекту Российской Федерации.
Кроме того, законодатель подтвердил право органов местного самоуправления (установленное Федеральным законом Об общих принципах организации местного самоуправления в Российской Федерации) осуществлять целевые займы.
Следует отметить, что законодатель не включил в Федеральный закон О финансовых основах местного самоуправления в Российской Федерации положения, относящиеся к использованию части прибыли муниципальных предприятий, хотя в Федеральном законе Об общих принципах организации местного самоуправления... установлено, что в доходы местных бюджетов зачисляется часть прибыли муниципальных предприятий, учреждений и организаций.
Налоговый кодекс Российской Федерации, принятый 16 июля 1998 г., определил, что местные налоги и сборы устанавливаются нормативными правовыми актами, принятыми представительными органами местного самоуправления в пределах, установленных Налоговым кодексом.
К местным налогам законодатель отнес:
• земельный налог;
• налог на имущество физических лиц;
• налог на рекламу;
• налог на наследование и дарение;
• местные лицензионные сборы.
Предусмотрено также установление налога на недвижимость, который в соответствии с Налоговым кодексом РФ устанавливается субъектами Российской Федерации (региональный налог). С его введением в действие на территории соответствующего субъекта Федерации прекращается действие налога на имущество организаций (региональный налог), налога на имущество физических лиц и земельного (местные налоги).
Таким образом, с введения в действие регионального налога на недвижимость, количество местных налогов автоматически сокращается на два вида — налог на имущество физических лиц и земельный налог. В результате органы местного самоуправления будут вправе устанавливать лишь два налога и местные лицензионные сборы, названные законодательством.
В первой части Налогового кодекса РФ (ч.1 ст.6) перечислены обстоятельства, при которых нормативные правовые акты о налогах и сборах признаются несоответствующими Налоговому кодексу РФ. В части 2 ст.6 в отношении законов установлено, что они признаются не соответствующими Налоговому кодексу РФ при наличии хотя бы одного из обстоятельств, перечисленных в ч.1 ст.6.
До настоящего момента не приняты: законодательные акты, устанавливающие процедуры и порядок межбюджетных отношений, основанных на принципах объективности и прозрачности; государственные минимальные социальные стандарты, социальные нормы и нормативы в расчете на одного жителя; порядок расчетов затрат на исполнение органами местного самоуправления переданных государственных полномочий; порядок компенсации органам местного самоуправления расходов и недополученных доходов, вызванных решениями органов государственной власти.
Кроме федерального регулирования вопросов местных финансов существенна доля законодательного регулирования этой сферы субъектами Российской Федерации. Вместе с тем лишь в небольшом количестве субъектов Федерации приняты законы о минимальных местных бюджетах, закреплены на долговременной основе нормативы отчислений в местные бюджеты от регулирующих доходных источников, определен порядок расчета средств, передаваемых муниципальным образованием из Фонда финансовой поддержки муниципальных образований, установлен порядок компенсаций органам местного самоуправления расходов и недополученных доходов, вызванных решениями органов государственной власти субъектов Российской Федерации.
16.6. Финансовая основа осуществления местного самоуправления
Конституцией РФ предусмотрены следующие условия осуществления полномочий местными органами местного самоуправления:
• четкое разграничение компетенции между уровнями публичной власти, наделение органов местного самоуправления правами в сфере местных финансов;
• независимое формирование, утверждение и исполнение местных бюджетов, установление местных налогов и иных взносов;
• завершение формирования финансово-экономической базы местного самоуправления в рамках системы налогообложения и бюджетных реформ;
• улучшение системы бюджетного и налогового регулирования, прежде всего посредством:
— перераспределения средств, выделенных из федерального бюджета для консолидированных бюджетов субъектов Российской Федерации, обеспечения финансовой независимости муниципальных образований для решения проблем, относящихся к их компетенции;
— выработки принципов взаимодействия между государственными органами власти и местными органами, включая взаимодействие при осуществлении определенных государственных полномочий, переданных местным органам;
ФИНАНСОВАЯ СИСТЕМА РЕГИОНА
Однако опыт крупнейших фирм Европы, Америки, Японии показывает, насколько эффективной оказывается настойчивость в проведении политики тотального повышения квалификации и переподготовки кадров. Тысячи институтов, колледжей, постоянно действующих семинаров и курсов проводят различные виды обучения персонала любого уровня, на что предприятия расходуют большие средства, так как видят в этом гарантию развития своих производств. Например, в США подготовкой профессиональных менеджеров занимаются около 1500 высших учебных заведений.
Только фирма ИБМ в 1986 г. затратила на обучение и подготовку своих работников 750 млн. долл. В 1985 г. на все формы обучения менеджменту в США было затрачено 60 млрд. долл. Японские фирмы тратят на обучение в расчете на одного занятого в 3—4 раза больше, чем американские.
Другим методом обучения является ротация по службе, когда специалистов различного профиля перемещают на срок от трех месяцев до года из отдела в отдел. Ротация позволяет ознакомить сотрудников фирмы со многими сторонами ее деятельности, уяснить необходимость координации и взаимосвязи отделов. Необходимость ротации и постоянного повышения профессионального мастерства объясняется особенностями человеческой психики. Поступая на работу, человек обычно полон честолюбивых надежд, оптимизма, новая работа и новый коллектив стимулируют инициативу. Не всегда эти надежды сбываются, но после периода разочарования, фрустрации работник осваивается на новом рабочем месте и начинает компетентно разбираться в стоящих перед ним задачах.
Следующие этапы — приобретение прочных навыков, мастерства и новая волна недовольства собой, своим местом в коллективе; человек ощущает потребность в дальнейшем творческом развитии и материальном стимулировании своего труда.
Опытный руководитель, заинтересованный в профессиональном развитии сотрудников, должен чутко уловить период спада деловой активности человека, помочь ему преодолеть разочарование при несоответствии желаемого и действительного, и в период потери профессиональной заинтересованности в освоенном уже участке работ. В таких случаях необходим перевод сотрудника на новый участок раоты или направление его на повышение квалификации.
Руководителя и специалиста, ответственного за обучение, ждет много трудностей на этом пути. С одной стороны, не все преподаватели имеют педагогические способности, владеют необходимыми методиками. С другой стороны, потенциальным обучающимся и особенно их руководству часто бывает жаль рабочего времени, не отданного работе, жаль недополученной за время обучения прибыли. Можно выделить следующие наиболее существенные и характерные барьеры, стоящие на пути повышения результативности обучения и имеющие своими истоками, в том числе и профессиональные педагогические ошибки:
• изучаемые новые технологии, производственные приемы, экономические или управленческие правила и нормы, которые обычно кажутся специалистам ясными и простыми. Слушатели, робея перед авторитетом и боясь показаться некомпетентными, стесняются переспросить, задать дополнительные, иногда действительно наивные вопросы.
Необходимо проявить терпение и чаще применять один нехитрый педагогический прием: сложную тему лучше изложить дважды, один раз — увлекательно, интересно, может быть даже упрощая, вульгаризируя проблему, а второй раз — академически строго, четко и грамотно;
• обилие нового материала. Преподаватель, которому все, конечно, ясно, иногда не может оценить новизну и объем потока неожиданной для слушателей информации и искренне удивляется плохой стартовой подготовке учащихся: Да как же вы этого не знаете? Чему вас раньше учили? Преподаватель обязан заранее получить информацию об уровне знаний слушателей, быть готовым к неоднородности их подготовки и чаще давать возможность слушателям отдохнуть от усвоения сложного материала с помощью дружелюбной шутки, анализа какого-нибудь производственного казуса, вовлечения слушателей в непринужденную дискуссию;
• атмосфера скуки, уныния — ничего я не понимаю и, конечно, ничего не пойму.... Преподаватель может, например, громко прочитать должностную инструкцию, где все написано верно, понятно, а уж если слушатели не понимают ничего — это их проблема, я-то умный, все это знаю. Слушатели очень быстро вынесут такому наставнику свой нелицеприятный вердикт.
Далеко не каждый специалист может быть хорошим педагогом; необходимо тщательно подбирать кандидатуры преподавателей (принцип соответствия).
Контрольные вопросы
1. Что такое метод управления? Суть административных и экономических методов.
2. Какие принципы обеспечивают функционирование объекта управления? Дайте их краткую характеристику.
3. Какие принципы обеспечивают развитие управляемой системы? Дайте их краткую характеристику.
4. Формула Грейкунаса.
16. ФИНАНСОВАЯ СИТЕМА РЕГИОНА
16.1. Финансово-экономическая основа местного самоуправления
Выводы, изложенные в данной главе, касаются налоговой и финансовой ситуации, которая самым непосредственным образом влияет на то, в какой степени органы местного самоуправления (ОМС) могут исполнять свои полномочия в рамках децентрализации.
Вплоть до 1989 г. органы местного самоуправления не испытывали проблем в выполнении своих обязательств в основном благодаря их стабильной финансовой базе. Их финансовая сила подкреплялась денежными перечислениями со стороны федерального/регионального правительства, которые согласно предварительно разработанной схеме были нацелены на развитие местности, жилищно-коммунальные услуги (ЖКУ), социальную поддержку, культуру, содействие в трудоустройстве, физическое развитие и спортивные мероприятия, а также на оздоровительные услуги.
С 1989 г. в сфере предоставления услуг органами местного самоуправления наметилась тенденция к спаду, которая достигла колоссальных размеров за последние годы. Данный спад был обусловлен внешними и внутренними факторами. Среди наиболее важных можно выделить следующие факторы: результаты макроэкономической деятельности, управление налоговой политикой, наблюдение за финансовыми средствами для общественного сектора и коллапс механизмов распределения.
Значительную роль в решении финансовых вопросов играют федеральные, региональные органы государственной власти, в структуре которых действуют субнациональные органы управления. Сегодня наблюдается слабое проявление управленческих функций представительных органов местного самоуправления, слабая система их подотчетности.
В условиях экономических реформ федеральные органы власти приступили к изменению законов. На органы местного самоуправления была возложена ответственность за все или часть активов на их территориях, им было передано бремя ответственности без компенсации потерь в доходных статьях, а также без обеспечения дополнительными финансовыми средствами, необходимыми для осуществления новых задач. В то же время органам местного самоуправления не были предоставлены полномочия для выработки собственных необходимых финансовых ресурсов.
Им не были созданы условия для сбора собственных налоговых доходов, а жесткое регулирование все еще действовало в отношении тарифов, пользовательских взносов и иных платежей для обеспечения необходимой доходной базы для местного самоуправления. Поскольку в сфере предоставления услуг продолжалась тенденция спада, которая в дальнейшем усугубилась, то было отмечено снижение уровня доходов населения, что оказало сильное влияние на изменение спроса на услуги и слабое управление снижающимися ресурсами в самой структуре органов местного самоуправления.
Федеральное и региональные правительства также испытали дефолт по выплатам субсидий. Федеральное и/или региональные министерства финансов не только не выделяли субсидии, как предусмотрено законодательством, но также не могли приступить к пересмотру базы для установления доходов, например касательно ставки тарифов, где все еще учитывалось положение о неполной оплате гражданами жилищно-коммунальных услуг. Потери в доходной части были значительными, принимая во внимание тот факт, что в прошлом выплата субсидий практически полностью покрывала общий бюджет местных Советов.
Макроэкономические показатели, в особенности продолжающийся спад в темпах роста реальной экономики в течение нескольких лет, и высокий уровень инфляции и безработицы — все эти факторы не могли не сказаться на низком качестве предоставления услуг населению органами местного самоуправления.
Введение системы децентрализованных местных органов в 1990 г. Законом о местном самоуправлении позволило переложить большую часть ответственности с федерального/регионального правительства на органы местного самоуправления без предоставления им необходимых финансовых ресурсов.
Эти проблемы существуют в муниципальных образованиях и по сей день. Усилия по разрешению некоторых из них, к примеру увеличение платы за ЖКУ, не увенчались успехом.
16.2. Финансовая база деятельности органов
местного самоуправления (МСУ)
Доходная база муниципалитетов включает их собственные налоги, налоги совместного ведения и межправительственные трансферты. Немногим менее двух третей всех поступлений собирается за счет налогов, пошлин и сборов, приблизительно одна треть — за счет трансфертов, оставшуюся часть — 2—4% составляют неналоговые сборы.
Экономические реформы
стимулирования экономической и социальной активности населения, местной власти и их ответственности;
мониторинге, маркетинге, кадровом сопровождении муниципального менеджмента и др.
Экономические реформы, осуществляемые сегодня в России, объективно способствуют усилению внимания к территориальному аспекту управления, инициируют его серьезную модернизацию.
Именно на региональный, местный уровень перенесен центр тяжести практического решения проблем реформирования ее социальной сферы, обеспечения действующих социальных стандартов, экологических нормативов. От того, насколько успешно будут проходить процессы реформирования и развития экономики, зависят результаты социально-экономического роста страны в целом. В современных условиях территориального хозяйствования, связанных со становлением регионального и местного самоуправления, унифицированный подход, ориентация только на руководство из федерального центра уже показали свою несостоятельность.
Однако процесс реформирования общества не приемлет строительства нового без учета использования всего рационального из ранее накопленного. Именно поэтому на начальном этапе реформ политические и идеологические противоречия в выборе путей их проведения привели не к перестройке плановой экономики, а к ее разрушению. Между тем мировая экономическая наука сегодня занята поиском новой парадигмы планологии и государственного регулирования экономики не только в национальных границах, но и в мировой экономической системе.
Этим вопросам, например, была посвящена Римская всемирная конференция по планологии5.
Сегодня стало очевидным, что не следует отрицать некоторые аспекты функционирования директивного планирования, которое являлось лишь одним из инструментов системы административного управления. Ведь анализ практики управления хозяйством стран с рыночной экономикой показывает, что целый ряд достижений отечественной плановой науки там успешно используется. Необходимо отказаться от идеологических штампов, осмыслить и взвесить положительные и негативные стороны накопленного опыта территориального управления и сформировать на этой основе новую, отвечающую современным требованиям экономического реформирования систему управления территориальным социально-экономическим развитием, в том числе муниципальных образований.
Экономическая реформа привела к существенному ослаблению вертикальных связей, сложившихся в условиях действия административной системы управления. Следствием этого явились: перераспределение экономической компетенции между различными уровнями управления и появление новых точек взаимодействия региональных и муниципальных органов управления с экономически самостоятельными предприятиями; многоукладность экономики; усиление экономического обособления предприятий, обусловленное противоречиями между коммерческими интересами отдельных юридических лиц и территории в целом.
Причины таких противоречий носят объективный характер, ибо, оказавшись в новой экономической ситуации, предприятия уже не вписываются в полностью сложившуюся ранее систему взаимоотношений с территориальными властными структурами, на которых остается ответственность за обеспечение комплексного экономического и социального развития территории, выполнение государственных стандартов качества жизни населения.
В развитии современной мировой экономики четко прослеживается тенденция усиления взаимодействия механизмов рыночного саморегулирования и государственного планирования. Такая тенденция носит объективный характер, ибо сам механизм рыночного равновесия спроса и предложения, формирования продажной цены не позволяет обеспечить эффективного решения проблем комплексного территориального развития.
Функционирование современного механизма территориального хозяйствования опирается на два основных взаимосвязанных принципа: самоответственность и самофинансирование. Соблюдение принципа самоответственности означает, в частности, возможность принятия территориальными органами власти решений (в пределах своей компетенции) по всем вопросам разработки и проведения социально-экономической политики на подведомственной территории. Реализация принципа самофинансирования предполагает формирование в регионе, муниципальном образовании финансовой базы, обеспечивающей практическую возможность реализации принятых решений.
Поэтому в современных условиях сущность управления социально-экономическим развитием муниципального образования состоит в целенаправленном воздействии органов местного самоуправления на все субъекты хозяйствования, расположенные в границах муниципального образования, с соблюдением принципа баланса интересов преимущественно на договорной основе при условии полной экономической ответственности партнеров, обеспечивающем повышение качества жизни населения.
Из сущности управления социально-экономическим развитием вытекают задачи местного самоуправления. Главная из них состоит в разработке и реализации социально-экономической политики, соответствующей специфике настоящего этапа экономической реформы: органы местного самоуправления сохраняют ответственность за решение проблем комплексного социально-экономического развития подведомственной территории, включая задачи ослабления негативных последствий политического и экономического реформирования для населения.
Развитие многоукладной экономики привело к тому, что работники органов местного самоуправления зачастую уклоняются от решения проблем в условиях, когда их слово не является решающим. Между тем никто не снимал с них ответственности за все, что происходит на подведомственной им территории, хотя, конечно, методы воздействия на те или иные субъекты хозяйствования зависят от форм собственности, ведомственной принадлежности, организационно-правовой формы предприятия. Поэтому объектом управления являются все отрасли и сферы жизнедеятельности муниципального образования, а также протекающие в рамках его территории экономические и социальные процессы.
Новые экономические условия заставили исследователей и практиков искать адекватные формы, методы и инструменты территориального управления, в частности пытаться (по опыту зарубежных стран) применять принципы и технологии стратегического планирования, реализуемые на уровне предприятия, к социально-экономическим территориальным системам.
Между тем прямая аналогия между хозяйственной социально-экономической системой, какой является корпорация (фирма), и социально-экономической территориальной системой муниципальным образованием (городом), весьма сомнительна, поскольку миссии указанных систем имеют принципиальные различия и применение моделей проектного управления не способно обеспечить выполнение всех задач, стоящих перед муниципалитетом и охватить все направления его деятельности. Применение теории организаций для сферы государственного и муниципального управления требуют серьезной адаптационной работы на уровне методологических научных исследований.
Таким образом, в настоящее время многие аспекты управления социально-экономическим развитием муниципальных образований носят дискуссионный характер. Высказываются различные, а порой и взаимоисключающие точки зрения. Тем не менее их анализ дает основания для следующего вывода: потребность в адаптации экономики муниципальных образований и эффективном их функционировании и развитии объективно обусловливает необходимость постоянного обновления механизма управления территорией.
Что мы подразумеваем под термином «обновление управления»?
Понятие «обновление» отражает наличие прогрессивной направленности изменений рассматриваемого объекта, их временную последовательность и преемственность. Оно как бы аккумулирует в себе содержание категорий: становление, движение, развитие, устойчивость и изменчивость, качество и количество, целое, система, структура и ее элементы6. На этом основании можно определить понятие «обновление управления», под которым подразумевается процесс модернизации, реконструкции и замены отдельных звеньев, методов и инструментария системы управления, с тем чтобы повысить ее действенность и эффективность. Такое обновление может быть частичным или комплексным.
Как правило, оно должно осуществляться поэтапно. При этом могут существенно меняться организационная и кадровая структуры управления.
Особое теоретическое и практическое значение приобретает решение вопросов обновления регионального управления, организующего главную сферу жизнедеятельности человека, материальное производство, где без использования созидательных организационно-экономических факторов, без коренных изменений в характере, содержании, условиях, в уровне использования мотивов и стимулов, без организационных мероприятий, затрагивающих интересы каждого члена, преобразования будут носить разрушительный характер.
В настоящее время объективно возрастает значение обновления форм регионального и государственного управления, повышения его эффективности. Соглашаясь с возможностью применения региональных экономических рычагов, стимулирующих прогрессивное развитие экономики предприятий, необходимо кардинально менять систему управления муниципальных образований, регионов и страны в целом.
Экономическое моделирование
В результате замедлялся процесс принятия решений и не обеспечивалась требуемая оперативность управления, снижались его компетентность и качество.
Использование системы экономических методов на государственных предприятиях даст должный эффект только в том случае, если принцип прибыльности ведения хозяйства будет охватывать все звенья организационной структуры управления, образуя замкнутую систему с распределением материальной ответственности между всеми ее звеньями.
12.3. Экономическое моделирование
В практике управления часто приходится решать задачи, связанные с изменением условий функционирования объекта. Подчас изменения системы управления в ходе различных экспериментов достигаются методами проб и ошибок, которые порой оборачиваются немалыми просчетами для потребителей. Нередко судьбу эксперимента определяют внешние условия функционирования объекта управления, не регулируемые им. Существенная часть внутренних факторов и внешних условий постоянно находится в развитии во времени и пространстве.
В результате все сложнее становится без специальных методов, опираясь лишь на простые расчеты и тем более на интуицию, прогнозировать поведение объекта управления при переходе на рыночные механизмы хозяйствования, разрабатывать альтернативные решения.
Разрешение возникающих в связи с этим проблем в значительной мере облегчается благодаря экономическому моделированию. Процессы, поддающиеся количественному измерению, можно описать в виде экономических моделей, введя условные обозначения для составляющих их факторов и результатов. Рассчитав такие модели, легко использовать их для научно обоснованного управления объектом анализа, прогнозирования, распределения ресурсов и маневра ими, для контроля за эффективностью работы и реализации иных функций управления.
Административные и экономические методы управления имеют наряду с характерными отличиями и много общего. В практике управления они дополняют друг друга. Важно подчеркнуть, что административные решения — это не просто некие директивы, а решения, обоснованные с точки зрения их экономической целесообразности.
Эффективное повседневное применение в управлении предприятием экономических методов предполагает наличие объективных предпосылок и умений пользоваться такими инструментами рыночной экономики, как цены и налоги, кредиты и банковские ставки, котировки ценных бумаг.
Контрольные вопросы
1. Что такое методы управления?
2. Как классифицируются методы управления?
3. Чем характерны административные и экономические методы?
4. В чем различия и каковы возможности применения административных и экономических методов управления?
13. ВОСПРОИЗВОДСТВЕННЫЕ ПРОЦЕССЫ
В РЕГИОНЕ
13.1. Территориальное разделение труда и воспроизводственный процесс на региональном уровне
Общественное разделение труда (ОРТ) — родовое понятие для форм общественной организации производства: концентрации, специализации, кооперирования и комбинирования. Все формы организации производительных сил взHимосвязаны и взаимообусловлены. Они позволяют наиболее рационально организовать производство, сокращают затраты живого и прошлого труда, сводят к минимуму отходы производства и потери сырья, уменьшают транспортные расходы.
В конечном счете появляется возможность снижения общих издержек производства, роста его эффективности и прибыльности.
Общественное разделение труда обычно подразделяется на общее, частное и единичное. При этом первые два вида относятся к разделению труда внутри общества, а третий является формой организации трудовых процессов внутри предприятия. Такой подход дает возможность исследовать ОРТ по вертикали общественного производства.
Остается, однако, в тени вторая сторона ОРТ, определяющая горизонтальные структуры общественных взаимосвязей, — территориальное разделение труда (ТРТ).
Территориальное разделение труда чаще всего рассматривается как процесс производственной специализации экономических районов и усиления межрайонной кооперации, обмена специализированной продукцией и услугами, как пространственное проявление разделения общественного труда вообще, обусловленное экономическими, социальными, природными, национально-историческими особенностями различных территорий и их географическим положением.
Выражаясь в закреплении отдельных отраслей за определенными территориями, территориальное разделение труда показывает степень экономической освоенности пространства, уровень развития производительных сил и интеграции страны.
Процесс территориального разделения труда предполагает выделение из хозяйственной деятельности различных ее видов и разновидностей, территориальное их обособление и связывание в единую хозяйственную систему.
Рассмотрим, как территориальное разделение труда влияет формы организации производства региона. Специфичность под углом ТРТ специализации состоит в сосредоточении в данных территориальных границах определенных производств, для развития которых именно в данной местности имеются благоприятные условия. Такими условиями могут быть: наличие природно-сырьевой и топливно-энергетической базы; обеспеченность необходимым капиталом; уровень квалификации и наличие рабочей силы; уровень социально-экономического развития территории и т.д. Например, для размещения крупных химических производств важны топливно-энергетический и сырьевой факторы, составляющие вместе до 90% издержек на производство продукции.
Для специализации на производстве строительных материалов важно прежде всего правильная оценка рынка сбыта (т.е. потребительского фактора), поскольку велик удельный вес расходов на доставку продукции к потребителю.
При подетальной или технологической специализации в рамках отдельной территории закрепляются отдельные производства и системы предприятий; при предметной специализации — отдельные предприятия. При этом предприятия производят продукцию с наименьшими затратами в силу территориальной дифференциации природных, экономических и социальных условий. Появляется возможность не только удовлетворить собственные потребности территории, но и вывезти продукцию для обмена за ее пределы, получив одновременно нужную продукцию из других районов.
Территориальная кооперация, являясь по сути обратной стороной специализации, представляет собой единые скоординированные в масштабах территории действия товаропроизводителей, направленные на сбалансированное, комплексное развитие территории, всестороннее использование ее ресурсов. Она способствует сокращению нерациональных перевозок, уменьшению сроком поставок, в целом удешевляет производство продукции.
Пространственные ограничения концентрации производств носят двоякий характер. Во-первых, чрезмерной концентрации производства на определенной территории мешают глобальные факторы: уровень транспортных издержек, наличие сырьевой базы; во-вторых, играют роль и локальные факторы: ограниченный размер подходящей для хозяйственного освоения территории, отсутствие площадок под расширение предприятий.
Концентрация, будучи обусловленной специализацией, закономерно ведет к определенной локализации хозяйства, усиливает центростремительные тенденции в пределах территорий, что может вызвать как позитивные, так и негативные последствия. Если агломерационные эффекты дают неоспоримую экономию общественных затрат (например, при компактном размещении с общей инфраструктурой капиталовложения уменьшаются в среднем на 20%, объем выпуска продукции возрастает до 30% при экономии 30% территории), то чрезмерная территориальная концентрация сможет вызвать нежелательные последствия в размещении производительных сил и нарушить сбалансированность экономики территории. К числу таких последствий можно отнести разрыв между добывающими и обрабатывающими отраслями, зависимость трудоемких производств от размещения трудовых ресурсов, отставание обслуживающих и вспомогательных производств от специализированного, нарушение экологического равновесия и др.
Для комбинирования связь с территориальными границами фактически означает появление локальных территориально-производственных образований типа территориально-производственного объединения, комплекса. Комбинирование способствует возникновению технологического и территориального единства между предприятиями различных отраслей, расположенными на одной территории, а значит, и укрепляет ее целостность. Тем самым закладывается одна из основ территориальной интеграции труда.
В целом, чем более развиты концентрация, специализация, кооперирование и комбинирование, тем шире ограничивающие их территориальные рынки, и наоборот, расширение географических границ разделения труда способствует его углублению, поскольку возможности форм организации труда зависят от масштабов производства и рынка.
В период господства административно-командной экономики ключевым по отношению к ТРТ служило понятие единого народно-хозяйственного комплекса страны (ЕНХК), в рамках которого ТРТ определялось сверху и базировалось на жестком централизованном межрегиональном и межотраслевом перераспределении ресурсов. Каждый регион имел установленные задания по поставкам продукции внутри страны, реже — в страны СЭВ (международное социалистическое разделение труда), ещё реже — на мировой рынок.
Классификация организационных структур управления
Особенность интенсивного типа заключается в значительном повышении роли социальных факторов общественного развития, что требует сбалансированности всех элементов организационной структуры управления. Смена приоритетов изменяет все связи между элементами структуры, акцентирует внимание руководителей различных уровней управления не на командных функциях по поводу распределения производственных планов и заданий, а на выявлении общих проблем развития предприятий и на удовлетворении запросов потребителей. Следовательно, интенсивный тип производства и адекватный ему тип организационной структуры приобретают стратегическое значение.
Общими предпосылками создания качественно новых организационных структур управления интенсивного типа являются:
• перевод социально-экономических функций министерств и ведомств, региональных структур управления, предприятий и организаций, всех существующих и создающихся, формирующихся государственных, коммерческих и общественных организационных структур на социально ориентированные рыночные отношения;
• реализация социальных целей большим количеством государственных, региональных, муниципальных, коммерческих структур. Акценты расставляются таким образом, чтобы все элементы, составляющие социальный комплекс, были задействованы при решении текущих и перспективных социальных задач. Разнообразные духовные и физические запросы человека становятся тем общественным индикатором, с помощью которого определяются направления инвестиционной, научно-прикладной, экономической и технической политики.
Критерием качества организационных структур производства и управления выступает наибольший конечный социально-экономический и даже психологический результат.
Экстенсивный тип организационных структур управления, действующий до последнего времени, характеризуется следующими чертами: многоголовым централизмом управления; бюрократическим методом работы; подчинением зачастую этнополитическим и элитно-групповым интересам; примитивизмом (формализмом) рыночных отношений, что устраивает ведомственные, но не потребительские интересы.
Экстенсивный тип структур управления имеет ряд качественных признаков:
• недостаточная гибкость и восприимчивость к изменениям, вызванным научно-техническим и социальным прогрессом;
• слабая разработанность стратегии развития организационных структур. В производстве отсутствуют приоритеты, связанные с НТП; в управлении организационная структура ориентирована на решение оперативных (текущих) задач и др.
• затратный принцип стимулирования совершенствования организационной структуры. В производстве он характеризуется слабой заинтересованностью в ресурсосбережении, а в управлении — экономией только с помощью сокращения численности аппарата;
• административно-правовые, командно-директивные методы управления, превалирующие над экономическими и коллегиальными, что сдерживает предпринимательскую инициативу и поиск эффективных методов работы коллективов, отдельных членов общества;
• слабая адаптивность организационных структур управления к меняющимся условиям производства, рыночному механизму хозяйствования;
• неадекватность роли органов местного самоуправления их возможностям в решении социальных, экономических технологических территориальных проблем;
• отсутствие социально-политической и экономической стабильности, развитых отношений собственности, способных стимулировать многообразие организационных форм и структур управления. Нельзя не видеть, что управленческие структуры по всей вертикали власти приспосабливаются к происходящим изменениям. На уровне Федерации и региона укрепляются исполнительные органы власти, все отчетливее доминирует авторитарный принцип руководства.
В то же время многие социально-экономические проблемы жизни населения передаются общественным органам управления — муниципальным образованиям.
При недостаточной согласованности структур управления указанной вертикали власти (Федерация — регион — муниципалитет) возникает большое количество проблем, связанных с формированием социально ориентированных рыночных отношений в центре и на меYтах. В структуре общественного производства хозяйственные организации лучше взаимодействуют в удобных для этих структур социально-организационных формах. В настоящее время таковыми являются акционерные компании.
Они сегодня заменяют отраслевые министерства, региональные органы управления, укрепляют статус крупных предприятий и производств.
Развитие рыночной экономики сопровождается пересмотром и реорганизацией практически всех организационных отношений — технико-технологических, социально-экономических, политических. Поэтому предприятие любого размера, любой сферы деятельности представляет собой социальную производственно-экономическую систему, которая в своей деятельности наиболее полно отражает существо и противоречия современного хозяйствования в целом.
14.2. Классификация организационных структур управления
На взаимодействие элементов организационной структуры влияют цели и задачи участников, сложность и динамизм внешних факторов, технологические и территориальные характеристики их производственной структуры, внутрипроизводственные связи и т.д. Эффективна та организационная структура, которая успешно реализует поставленные перед ней цели. С этой позиции организационные структуры могут быть прогрессивными или регрессивными.
Множество типов организационных структур обусловлено разнообразием критериев их классификации. Среди них можно выделить общие, особенные и частные.
К общим критериям относятся специфика воспроизводства, формы обобществления и масштабы производства, к особенным — формы собственности, принципы организации управления, характер связей, к частным — формы организации производства и управления.
По признаку воспроизводственного цикла различаются экстенсивные и интенсивные организационные структуры; по формам связи — горизонтальные (смешанного типа) и вертикальные (стратифицированные); по формам собственности — государственные (административные), кооперативные, смешанные, частные; по принципам организации производства и управления — отраслевые (межотраслевые), территориальные, программно-целевые и производственные; по сферам деятельности — государственные, общественные, коммерческие; по методам хозяйствования — государственные, корпоративные, частные; по уровням управления — федеральные, региональные, муниципальные; по формам организации производства — высокоспециализированные, малые, крупные предприятия; по формам организации управления — концерны, тресты, ассоциации.
Количество и качество организационных структур имеют тенденцию к динамическому изменению. Это происходит в результате сочетания различных объективных и иных обстоятельств, и также качественных изменений в обществе благодаря радикальной реформе в организационных структурах управления на всех уровнях развития рыночных отношений.
Многообразие критериев формирования организационных структур не дает оснований для их противопоставления, важно, чтобы они удовлетворяли общему критерию эффективности давали высокий социальный результат. Мобильность организационных структур, их адаптивность к месту и времени, разнообразие форм их организации возможно и целесообразно регламентировать с учетом исторических особенностей развития государственного, коммерческого и общественного управления.
Организационные структуры призваны быть гибкими, создаваемыми под определенные цели и перестраиваемыми по мере возникновения новых задач. Соответственно предусматриваются нормативные правила не только создания, функционирования организационных структур, но и расформирования организации.
При формировании организационных структур управления необходимо тщательно продумать соотношение единоначалия коллегиальности. Их умелое сочетание не исключает, однако, использования принципа прямой подчиненности. В организационной структуре управления каждый исполнитель должен иметь только одного непосредственного руководителя.
Когда практикуют двойное подчинение или вышестоящий руководитель передав свои решения работникам, минуя их непосредственного начальника, то тем самым подрывается уважение к последнему, создается обстановка необязательности и возникает стремление уйти ответственности.
14.3. Современные проблемы развития
организационных структур управления
В связи с перераспределением функций между центром и субъектами Федерации в органах управления последних неизбежны глубокие структурные преобразования, создание новых управленческих органов, учитывающих особенности восприятия региональных организационных отношений. Они укладываются в следующие функциональные направления:
• поддержание производства на еще жизнеспособных действующих предприятиях для сохранения на региональном рынке приемлемого уровня предложения потребительских товаров, занятости, сдерживания роста социальной напряженности и предотвращения конфликтов;
• обеспечение регулируемого свертывания экономически бесперспективных производств и оказание необходимой селективной помощи приоритетным (с точки зрения региона) направлениям развития и предприятиям;
Механизм управления муниципальным образованием
Региональное развитие подвержено воздействию целого ряда внешних и внутренних факторов. Это связано в первую очередь со сложной структурой экономики региона, с разноплановостью составляющих ее элементов, с социальной неоднородностью и множеством разнопорядковых экономических и социальных связей. Существенное влияние на структуру экономики и ее потенциал оказывают географические, территориальные, демографические, транспортные и другие особенности, существенным образом определяющие специфику экономики и региональную структуру управления.
Функционирование механизма обновления системы управления на региональном уровне должно быть подчинено переводу социально-экономической сферы в режим устойчивого, а затем и динамичного развития с помощью разработок и проведения в жизнь специальных программ в стратегии регионального, муниципального и местного управления. Главная цель постоянно действующего механизма обновления управления в этом процессе заключается в том, чтобы объединить инновационную деятельность, осуществляемую в отдельных «точках роста», в один организационно оформленный управляемый процесс.
Что подразумевается под понятием «развитие» применительно к муниципальным образованиям? Известно, что развитие любого объекта это особый вид изменений, отличающийся качественными преобразованиями, приводящими к возникновению нового. Исходя из этого развитие муниципального образования можно представить как комплексный процесс качественных преобразований его экономической, социальной, пространственной, политической и духовной сфер, приводящий к изменениям условий жизни человека.
Социально-экономическое развитие территории это объективный процесс, происходящий как в самом регионе, так и в стране в целом под воздействием исторических, географических, ресурсных, демографических и других факторов. Одновременно это и субъективный процесс, происходящий под воздействием управленческих мер в первую очередь со стороны региональной администрации, а также администрации федерального уровня.
Современное состояние регионов России определяется общим состоянием экономики страны, но у каждого региона есть и специфические характеристики его социально-экономического состояния. Перед всеми регионами стоит задача выхода из кризиса и обеспечения устойчивого социально-экономического развития. Специфика кризиса отдельных регионов определяется как объективными факторами (спецификой положения региона в общественном разделении труда, отраслевой структурой, географическим положением, природными ресурсами), так и субъективными (методами регионального управления и стабильностью условий ведения бизнеса).
Именно последние определяют актуальность постановки проблемы эффективного управления социально-экономическим развитием территорий.
Своеобразие развития российских регионов в последние годы состоит в том, что в них проявляются разнонаправленные тенденции. С одной стороны, падал объем производства, прежде всего в обрабатывающей промышленности, старел и деградировал накопленный производственный аппарат, увеличивалась доля добывающей промышленности, что в целом свидетельствует о негативных процессах деиндустриализации. В то же время развивалась сфера нематериального производства, рыночная инфраструктура, что говорит о позитивных тенденциях.
В России после кризиса 1998 г. наблюдается позитивная динамика роста реального сектора.
Сегодня необходимо на основе новых научных идей, подходов, механизмов, методов разработать инновационную концепцию управления, связанную с изменением содержания и структуры общественного развития.
В практику государственного и муниципального управления все больше проникают методы управления, оправдавшие себя на уровне основного производственного звена, прежде всего в частном секторе. Это относится и к формированию временных рабочих групп, и к стратегическому планированию, и к делегированию полномочий, и к маркетингу, и к методам управления корпоративной культурой, и ко многим другим методам и приемам управления. В практику регионального управления внедряются современные информационные технологии, управление развитием региона все в большей мере основывается на управленческих и финансовых нововведениях.
Происходит постепенный переход от традиционной административной модели управления, в которой главным было следование инструкциям, к новой модели менеджмента, в которой центральным системообразующим элементом становится ориентация на достижение результата. При этом результатом становится не только высокая эффективность на всех уровнях управления и в целом по региону, но и повышение уровня жизнеобеспечения и жизнедеятельности населения, инфраструктуры.
Таким образом, концептуальные основы эффективного управления развитием региона неразрывно связаны с созданием условий, обеспечивающих достойную жизнь человека, ее уровень и качество. Главный компонент социально-экономического развития это воспроизводство самого человека и создание всей инфраструктуры его жизнеобеспечения и жизнедеятельности.
8.5. Механизм управления муниципальным образованием
Отечественный опыт показывает, что местное самоуправление это всегда комбинация местных, региональных и государственных интересов. На протяжении почти всей истории России интересы, потребности и запросы жителя местного сообщества оказывались на несколько порядков ниже интересов державы. Человек становился «винтиком» гигантской государственной машины, рабочей силой, статистической единицей, плательщиком многочисленных налогов и сборов.
Сегодня для местного самоуправления при осуществлении организационно-управленческих функций характерным становится доминирование интересов населения местного сообщества, которые выявляются, изучаются и учитываются при подготовке целевых программ развития территорий, формировании местного бюджета, построении структур местного самоуправления, оценке деятельности депутатов и должностных лиц. Местные интересы имеют приоритет перед общегосударственными и корпоративными. России еще предстоит разработать формы и методы эффективного воздействия органов местного самоуправления на социальное, экономическое, экологическое, демографическое и пространственное развитие подведомственной территории.
Для развития системы местного самоуправления и реализации условий постоянного обновления механизма управления муниципальным образованием требуется использование новых, нетрадиционных подходов. Это связано, во-первых, с тем, что проблемы, стоящие перед муниципальными органами управления, отличаются от проблем, решаемых органами государственного управления, поэтому способы их решения по существу мало разработаны; во-вторых, структура органов местного самоуправления не в полной мере соответствует стоящим перед ним задачам, что обусловлено неразвитостью и новизной самого института местного самоуправления. Таким образом, формирование новой парадигмы управления экономическим развитием муниципальных образований становится объективной необходимостью.
В России, как и в других странах, в последнее время произошли большие изменения в условиях функционирования всего государственного сектора. Интернационализация экономических связей, развитие технологий, основанных на новом знании, информатизация всех аспектов жизни людей, обострение конкуренции организаций и государств, новая роль нематериальных нововведений вот лишь неполный перечень новых реалий рубежа XX и XXI вв. Ключевой тенденцией является ускорение перемен.
Точно так же, как в коммерческой сфере изменяются обстоятельства деятельности любой коммерческой организации (меняются технологии производства, появляются новые товары и услуги, меняются методы управления, распространяются новые социальные технологии и финансовые инновации), так и в работе государственных учреждений изменяются обстоятельства их функционирования цели, приоритеты развития, финансовая среда, появляются новые способы обустройства общественной жизни, изменяются функции деятельности государственных учреждений. Особенно зримо происходящие процессы видны на примере регионального развития, где меняются факторы, принципы взаимодействия разных уровней государственной власти, условия социально-экономического развития региональных сообществ, меняется сама парадигма развития.
Работа муниципальных учреждений все в большей мере становится связанной с частными организациями. Расширяется практика формирования муниципальных агентств, которые, действуя наподобие частных организаций, выполняют функции управления. Многие муниципальные учреждения приватизируются, происходит их разгосударствление. Функции, связанные с уборкой мусора на городских улицах, эксплуатацией жилого фонда и, наконец, содержанием тюрем, во многих странах постепенно передаются из государственного сектора в частный. Это заставляет менять базовую модель муниципального управления, так как она перестает отвечать новым условиям развития общества.
Происходит постепенный переход от традиционной административной модели управления, в которой центральным элементом было следование инструкциям, к новой модели менеджмента, в которой центральным системообразующим элементом становится ориентация на достижение результата.
МЕТОДЫ ИССЛЕДОВАНИЙ В РЕГИОНАЛЬНОЙ ЭКОНОМИКЕ
Варианты, принадлежащие кривой АВ, предпочтительнее всех находящихся внутри множества АОВ. Однако для региона 1 не выгодны варианты, лежащие левее точки С, а для региона 2 — лежащие ниже точки D.
Регионы заинтересованы только в экономическом сотрудничестве, обеспечивающем им дополнительный эффект. Этим свойством обладает множество вариантов СЕD. Кривая CD включает варианты с наибольшим выигрышем от экономического сотрудничества.
Это и есть ядро двухрегиональной системы.
Наконец, точка М соответствует экономическому равновесию (торговые или платежные балансы имеют нулевое сальдо в ценах равновесия). Все другие точки ядра CD соответствуют вариантам взаимовыгодного, но не эквивалентного обмена. При этом точки кривой CD, лежащие правее М, более предпочтительны для региона 1 (в частности, это соответствует отрицательному сальдо вывоза-ввоза товаров для региона 1 и положительному сльдо для региона 2).
Точки, лежащие левее М, более предпочтительны для региона 2 (знаки сальдо вывоза-ввоза продукции меняются на противоположные). Заметим, что в точке К, являющейся пересечением луча OF с границей Парето, соотношение целевых показателей f1 и f2 такое же, как в фактическом состоянии.
Для вычисления рассмотренных выше оптимальных состояний и эффектов межрегиональных взаимодействий используются многорегиональные многоотраслевые модели. Информационную их основу составляют национальные и региональные межотраслевые балансы. Влияние межрегионального товарообмена на показатели региональных экономик измеряется посредством специальных экспериментов на этих математических моделях.
Теоретики-регионалисты видели свою главную научную задачу в создании целостной теории пространственной экономики. Эту же цель ставила перед собой в конце 50-х годов Международная ассоциация региональной науки. 30 лет назад X. Ричардсон, автор одной из самых умных книг по региональной экономике, отмечал: Региональная экономика еще находится в эмбриональном состоянии, и теоретический простор все еще довольно свободен. Однако время для главного синтеза может быть близко.
Такой синтез объединит акцентированный анализ связей внутри региона с межрегиональным анализом потоков и одновременно объяснит пространственную организацию регионов, городов, фирм и домашних хозяйств.
Контрольные вопросы
1. В чем заключается вклад в теорию региональной экономики А. Смита, Д. Рикардо, Й. Тюнена, В. Лаунхардта, А. Вебера, Б. Олина, Э. Хекшера, А. Лёша, У. Айзарда?
2. Каковы различия между абсолютными и относительными преимуществами региона при выборе специализации производства и структуры торговли?
3. В чем различия и общность парадигм: регион как квазигосударство, регион как квазикорпорация, регион как рынок, регион как социум?
4. Перечислите материальные и нематериальные факторы в теории размещения.
5. Каковы основные идеи теории диффузии инноваций?
6. Каковы основные предпосылки и выводы теории полюсов роста?
7. В чем состоит суть теории территориально-производственных комплексов?
8. Дайте определения понятий Парето-оптимума, ядра системы и экономического равновесия применительно к региональной экономике.
9. Как определяются и измеряются эффекты межрегиональных взаимодействий?
5. МЕТОДЫ ИССЛЕДОВАНИЙ
В РЕГИОНАЛЬНОЙ ЭКОНОМИКЕ
В исследованиях регионоведов используется широкий комплекс научных методов, важнейшими из которых являются следующие.
Системный анализ. Этот метод опирается на принцип поэтапности (постановка цели, определение задач, формулировка научной гипотезы, комплексное изучение особенностей оптимального варианта размещения отраслей). Это метод научного познания, позволяющий изучать структуры отраслей хозяйства, их внутренние связи и взаимодействие.
Метод систематизации. Он связан с разделением изучаемых явлений (исходя из целей исследования) и избранных критериев на совокупности, характеризуемые определенной общностью и отличительными признаками. Речь идет о таких приемах, как классификация, типология, концентрация и др.
Балансовый метод. Данный метод характеризуется становлением отраслевых и региональных балансов.
Метод экономико-географического исследования. Этот метод подразделяется на три составные части: региональный метод (исследование путей формирования и развития территорий, изучение развития и размещения общественного производства в региональном развитии), отраслевой метод (исследование путей формирования и функционирования отраслей экономики в географическом аспекте, изучение развития и размещения общественного производства в отраслевом разрезе) и местный метод (исследование путей формирования и развития производства отдельного города, селения; изучение развития и размещения производства по его первичным ячейкам).
Картографический метод. Этот метод позволяет наглядно представлять особенности размещения.
Метод экономико-математического моделирования (моделирование территориальных пропорций развития экономики региона; моделирование по отраслям хозяйства региона; моделирование формирования хозяйственных комплексов региона). С использованием современных электронных средств данный метод позволяет с минимальными затратами труда и времени обрабатывать огромный и разнообразный статистический материал, различные исходные данные, характеризующие уровень, структуру, особенности социально-экономического комплекса региона. Кроме того, он дает возможность выбирать оптимальные решения, оптимальные варианты, модели в соответствии с теми целями, которые поставлены перед региональным исследованием.
С этим методом (равно как и с методом систематизации) тесно увязаны методы многомерного статистического анализа. В 70—90-е годы было опубликовано значительное число работ, посвященных методам обработки статистических данных. Одним из распространенных методов анализа многомерной информации является факторный анализ, или кластер-анализ.
Он состоит в переходе к малому числу латентных (скрытых) переменных (факторов) и в классификации объектов по этим факторам.
Одним из первых видов статистических моделей, используемых в региональных исследованиях, была модель так называемой экономической базы. Она была сформулирована ученым Г. Хойтом (США) в 30-е годы и была использована за 40 лет в более чем 100 отдельных региональных исследованиях США.
Модели экономической базы достаточно просты как по теоретическому обоснованию, так и по разработке. Для их построения необходимы только показатели экономической активности (в основном показатели занятости) за два периода времени. Анализ экономической базы является ускоренным методом прогнозирования регионального экономического роста, при этом используется упрощенная теория роста, а потребности в информации минимальны.
Полученные результаты сводятся лишь к прогнозированию развития базисного и обслуживающего секторов.
В исследованиях социально-экономического развития регионов в настоящее время используются метод главных кластеров и метод порядковой классификации объектов регионального анализа.
По мнению академика Н. Некрасова, основой региональных экономико-математических моделей являются следующие положения:
• социально-экономические аспекты каждого конкретного региона рассматриваются как основная часть общей системы регионов страны; отсюда вывод: оценка различных вариантов эффективного формирования региона исходит из оптимальных территориальных экономических пропорций национального хозяйства на определенный период;
• региональные территориальные модели корректируют отраслевые модели размещения экономики на основе территориальной социально-экономической информации перспективного баланса природно-ресурсного и трудового потенциала, сети городских и сельских поселений, транспортных связей и т.д.;
• региональные модели неразрывно связаны с моделями территориальных пропорций, с отраслевыми экономико-математическими расчетами и представляют органичную часть общего научно-методического подхода к вариантной оценке перспективного размещения производительных сил и оптимального формирования экономики всей системы регионов.
Научное направление в региональной экономике, занимающееся применением математических методов, т.е. региональным моделированием, называется регионометрикой. Среди математических методов можно выделить следующие.
Метод таксонирования — процесс членения территории на сопоставимые или иерархические соподчиненные таксоны. Таксоны — равнозначные или иерархически соподчиненные территориальные ячейки, к примеру административные районы, муниципальные образования. Фактически процесс районирования на любом уровне является таксонированием.
Поскольку объектом таксонирования выступают регионы, в данном случае можно употребить понятие регионализация.
Вариантный метод размещения производительных сил региона. Этот метод чаще всего используется при разработке схем размещения производства по территории региона на первых этапах планирования и прогнозирования. Он предусматривает рассмотрение вариантов различных уровней развития хозяйства тех или иных регионов, вариантов территориальных экономических пропорций по регионам.
Методы социологических исследований.
МЕТОДЫ УПРАВЛЕНИЯ РЕГИОНАЛЬНОЙ ЭКОНОМИКОЙ
Мобильность
|
Локализация
|
концентрированные
|
дисперсные
|
Немобильные
|
Агломерационные
преимущества, высокоспециализированная инфраструктура предприятия
|
Неспециализированная
инфраструктура, местные коммунальные земельные участки
|
Маломобильные
|
Высококвалифицированные трудовые ресурсы, внутрифирменное ноу-хау
|
Неквалифицированные
трудовые ресурсы
|
Высокомобильные
|
Специализированная
информация
|
Неспециализированная
информация,
банковский капитал по нормальным условиям
|
Рис. 11.1. Примеры пространственной дифференциации
факторов размещения
Из всей совокупности факторов выделяются главные, действующие в конкретном регионе и/или преимущественно воздействующие на выбор месторасположения конкретного предприятия.
Таблица 11.3
Ранжирование факторов размещения по отраслям
специализации ВВЭР (в порядке убывания значимости)
Факторы размещения
|
Машиностроение
|
Автомобилестроение
|
Электротехника
|
Химическая
промышленность
|
Пищевая
промышленность
|
Издержки на заработную плату
|
1
|
3
|
5
|
|
|
Наличие телекоммуникаций
|
2
|
1
|
1
|
5
|
|
Наличие квалифицированной рабочей силы
|
3
|
|
4
|
2
|
|
Стабильность политического положения
|
4
|
4
|
3
|
4
|
3
|
Надежность энергоснабжения
|
5
|
2
|
2
|
1
|
1
|
Низкие налоги
с предприятий
|
|
5
|
|
|
|
Наличие сырья
|
|
|
|
|
2
|
Близость рынков
|
|
|
|
|
4
|
Возможность посменной работы
|
|
|
|
3
|
|
Близость к сети магистральных автодорог
|
|
|
|
|
5
|
Актуальным требованием становится жесткая работа по анализу и позитивному влиянию на мягкие факторы размещения. Заинтересованные в этом региональные и муниципальные органы власти и управления подталкиваются к долговременной деятельности по улучшению производственной, социальной, институциональной и экологической инфраструктур региона, созданию и поддержанию его имиджа как средства привлечения инвестиций. Иными словами, регион из места реализации маркетинговых решений хозяйствующих субъектов сам превращается в продукт, сбываемый на рынке. Соответственно, ответ на вопрос: как это лучше сделать? — дает новое направление на стыке маркетинга и экономики региона — маркетинг регионов (табл.
11.3).
Рис. 11.2. Организационные формы индустриальных систем
Контрольные вопросы
1.Что характеризуют факторы социально-экономического развития и конкурентоспособности регионов?
2. Что понимается под жесткими факторами?
3.Что понимается под мягкими факторами? Какие мягкие факторы вы можете назвать?
4. Какие новые тенденции существуют сегодня в соотношении отдельных факторов?
12. МЕТОДЫ УПРАВЛЕНИЯ РЕГИОНАЛЬНОЙ
ЭКОНОМИКОЙ
12.1. Общая характеристика методов управления
Методы управления — важнейший элемент в механизме использования объективных законов рынка. Качество и эффективность управленческой деятельности во многом зависят от применяемых методов управления.
Метод управления — это способ целенаправленного воздействия на организацию с целью достижения поставленных перед ней задач.
Сложность, изменчивость объекта управления определяет и многообразие используемых методов.
Различают общие и специальные методы управления, которые реализуются через изучение объекта управления во времени и пространстве, в тесной взаимосвязи и взаимообусловленности с другими объектами, с учетом этнопсихологии населения и т.д. В связи с внедрением компьютеров, электронных вычислительных машин, возникшей потребностью объективного и быстрого обоснования принимаемых решений все чаще используются специальные методы экономического моделирования.
12.2. Классификация методов управления
Классификация включает следующие методы управления:
• административные (организационно-распорядительные);
• экономические;
• социально-психологические;
• воспитательные и др.
Такое деление методов в известной мере условно, так как абсолютно четко обособить каждый из них не представляется возможным: они взаимопроникают и имеют немало общих черт, то же время присущие им различия в способах воздействия на объекты управления позволяют рассматривать каждый из методов в отдельности.
Особую остроту проблема методов управления приобретает в обстановке перехода к рыночным отношениям. Важнейшими отличительными чертами создаваемой в России рыночной экономики является переход от преимущественно административных к преимущественно экономическим методам управления.
Административные методы. Деятельность по управлению невозможна без разумного применения административных методов (которые нередко называют организационно-административными или организационно-распорядительными). С их помощью формируются основные системы управления в виде устойчивых связей и отношений, положений, предусматривающих права и ответственность подразделений аппарата управления, отдельных работников.
Административные методы реализуются путем прямого воздействия руководителей, собственников на подчиненных. Оно может осуществляться на основе заключенных договоров, через административные приказы и распоряжения, различные положения, правила, нормативы и другие документы, организационно регламентирующие деятельность подчиненных лиц, их четкую работу, обеспечивающие надлежащую дисциплину и ответственность.
Формы и масштабы применения административных методов определяются задачами управляющего органа, уровнем организации производства, квалификацией и культурой работников, принимающих решения. Чем полнее представлены эти параметры, тем меньше потребности в административном вмешательстве.
В современных условиях применение административных методов предполагает предварительный анализ материалов, дающих полное, достоверное представление о состоянии управляемого объекта, и несовместимо с каким бы то ни было волюнтаризмом.
Экономические методы. Потребность в экономических методах управления закономерно и существенно возрастает, поскольку в условиях развития частного предпринимательства не всегда возможно и разумно решать с помощью директивного воздействия сложную совокупность задач удовлетворения растущих потребностей населения.
Сущность экономических методов — в воздействии на экономические интересы потребителя и работников с помощью цен, оплаты труда, кредита, прибыли, налогов и других экономических рычагов, позволяющих создавать эффективный механизм работы. Экономические методы основываются на использовании стимулов, предусматривающих заинтересованность и ответственность управленческих работников за последствия принимаемых решений и побуждающих работников добиваться инициативного осуществления поставленных задач без специальных на то распоряжений.
Особенности экономических методов управления состоят в том, что они:
• базируются на некоторых общих правилах поведения, дающих возможность маневрировать ресурсами, тогда как административные характеризуются конкретно-адресными заданиями, ориентированными на достижение целей управляемой системы путем формирования ее четкой структуры, создания условий для подготовки, принятия и реализации решений (хотя некоторые общие правила, касающиеся, например, методики разработки бизнес-планов, режима работы и другие, могут предусматриваться директивными актами);
• оказывают на производителей и потребителей косвенное воздействие, посредством системы отношений учитывают интересы коллектива и отдельных работников (административные методы по своей природе не способны столь полно и непосредственно ориентироваться на экономические интересы объектов управления);
• непременно предполагают самостоятельность предприятия на всех уровнях при одновременном возложении на него ответственности за принимаемые решения и их последствия (в отличие от административных методов, предполагающих значительную долю ответственности вышестоящих органов, принимающих решения);
• побуждают исполнителей к подготовке альтернативных решений и выбору из них наиболее соответствующих интересам коллектива (административные распоряжения большей частью однозначны, требуют обязательного, точного исполнения).
Экономические методы управления должны занять и неизбежно займут доминирующее положение. Это необходимо для обеспечения нормальных условий функционирования ассоциаций, союзов, предприятий в новых условиях хозяйствования. Одновременно сокращается число звеньев управления.
При умелом использовании экономических методов управляющие органы в условиях рынка легче преодолевают инертность в реализации своих задач, обусловленной отсутствием соответствующей экономической заинтересованности в оперативном удовлетворении меняющихся потребностей. Усиливается самоконтроль, до минимума снижается необходимость в административном контроле, который сосредоточивается, если в том есть потребность, конечных результатах обслуживания населения.
Чем шире применяются экономические методы, тем большее число вопросов решается непосредственно в основных звеньях управления, ближе к источнику информации. В прошлом в условиях необоснованно широкого применения административных методов нередко на высоких уровнях управления принимались решения, которые по своему содержанию входили в компетенцию нижестоящих звеньев управления.
Методы управления региональным развитием.
Чем больше развита инфраструктура (вспомогательное производство), тем более гибкой является вся экономика региона, тем на более прочной основе базируется его экономическое развитие и процветание.
Таким образом, в условиях быстрой смены основных производств главным фактором устойчивого экономического развития становится степень развитости всей городской инфраструктуры. Это дает основание по-новому взглянуть на роль так называемых вспомогательных производств, оценить их как первичный фактор экономического развития и залог его процветания в будущем.
При анализе качества регионального развития полезно использовать концепцию теории стадий роста Д. Белла. Во всех странах и регионах экономическое развитие проходит три основных стадии: доиндустриальное, индустриальное и постиндустриальное. Доминирующими отраслями доиндустриального развития являются добывающие отрасли, сельское хозяйство, рыбная, лесная и горнодобывающая промышленность. В индустриальной стадии преобладают перерабатывающие отрасли машиностроение, легкая и пищевая промышленность.
В постиндустриальной стадии основными отраслями, на которых базируется экономическое развитие, становится отрасли нематериального производства: наука, образование, торговля, финансы, страхование, здравоохранение. Характерными чертами постиндустриального общества становятся относительное падение производства товаров и относительное увеличение производства услуг, рост наукоемкого производства, повышение уровня квалификации персонала, опережающая интернационализация производства.
Общие закономерности мирового экономического развития дают возможность качественно оценить предысторию и перспективу экономического развития того или иного города или региона. По доминирующей отраслевой принадлежности можно выделить города доиндустриальные, индустриальные и постиндустриальные. В городах и регионах, находящихся на разных стадиях развития, происходят разные по своей сути процессы, и к ним применимы разные рецепты управления процессом экономического развития.
На стадии индустриального развития в городе или регионе действуют закономерности, определяемые ролью ведущих отраслей, «локомотивов индустрии», которые создают так называемый мультипликативный эффект и определяют весь ход развития города или региона в целом. Ведущая отрасль создает дополнительные рабочие места, вся остальная инфраструктура города как бы обслуживает основное производство. В этих условиях нередко формируются города с моноотраслевой структурой, когда одно или несколько предприятий одной отрасли определяют состояние экономики и социальной сферы всего города ( 7.1).
На постиндустриальной стадии развития города или региона главным фактором, определяющем его благосостояние, становится уровень развития городской инфраструктуры. Насколько развиты дороги, связь, жилищный сектор, сфера услуг и индустрия развлечений, насколько доступны офисные помещения, насколько низок уровень преступности и обеспечен город квалифицированными кадрами все это определяет потенциал развития постиндустриального города. Насколько вся инфраструктура города способна принять новые виды бизнеса и новых людей, насколько быстро и эффективно может вся городская инфраструктура приспособиться к новым условиям все это определяет потенциал постиндустриального развития.
Индустриальное развитие
|
Постиндустриальное развитие
|
отрасль, создающая дополнительные рабочие места
мультипликатор роста
развитие моноотраслевых городов
|
инфраструктура
диверсификация
гибкость
|
7.1. Факторы развития городов разных типов
7.3. Методы управления региональным развитием
Местные органы власти любого уровня региона, города или района выполняют две основные функции: предоставление услуг жителям и предприятиям (содержание дорог, водо-, тепло-, энергоснабжение, уборка мусора, содержание парков, мест отдыха и пр.) и управление социально-экономическим развитием подведомственной территории.
Управление развитием может осуществляться с помощью разнообразного спектра стратегий, программ, конкретных действий и одноразовых управленческих решений, посредством которых местная администрация стремится стимулировать развитие экономики региона, создать новые рабочие места, увеличить налоговую базу, расширить возможности для определенных видов экономической активности, в которых заинтересовано местное сообщество ( 7.2).
Объекты управления функционированием
|
Объекты управления
развитием
|
дороги
уборка мусора
водо-, газо-, тепло-, электроснабжение
состояние и эксплуатация жилого фонда
парки, благоустройство
|
возникновение новых и развитие старых производств
развитие городской инфраструктуры, прежде всего связи и коммуникаций
занятость
уровень благосостояния
|
7.2. Управление функционированием и развитием
Функция социально-экономического развития становится особенно значимой в переходный период, когда к традиционным вопросам экономического развития присоединяются вопросы формирования и развития рыночной инфраструктуры и преодоления кризисных явлений, сопровождающих переход экономики из одного состояния в другое. Выход из кризиса может оказаться болезненным, если экономические процессы пущены на самотек, и в то же время он может быть более гладким, если региональная администрация будет активно воздействовать на процессы экономического развития, используя имеющиеся местные преимущества и создавая новые.
Преодоление кризиса в любой сфере жизни региона напрямую связано с уровнем экономической активности. Социальное развитие, хотя и обладает относительной самостоятельностью, в значительной мере определяется ресурсными возможностями, которые, в свою очередь, зависят от степени экономического развития. Поэтому, только развивая экономическую активность, можно осуществить те или иные прорывы в жизни местного сообщества и поднять уровень благосостояния населения, который в конечном счете всегда определяет успех той или иной социально-экономической политики.
Все возможные методы воздействия региональной администрации на ход экономического развития можно сформулировать так:
создание в регионе благоприятных общих условий для развития деловой активности;
регулирование деловой активности;
прямая кооперация администрации региона и бизнеса.
Рассмотрим эти методы управления региональным развитием.
Создание благоприятных общих условий для развития деловой активности. К таким условиям следует отнести рыночную инфраструктуру, наличие земли и соответствующих прав на нее для развития новых видов экономической активности, хорошо развитые транспорт, связь, офисное хозяйство и др.
В странах Запада администрация все чаще осуществляет инвестиции в региональную инфраструктуру, предпринимает определенные акции по реорганизации земельных участков, а также проводит работу в рамках регионального маркетинга для привлечения новых видов бизнеса в регион. Администрации российских регионов в условиях становления рыночных отношений помимо этих видов косвенного воздействия осуществляют прямую поддержку новых институтов, составляющих основу рыночной инфраструктуры.
Традиционными являются активные действия по созданию и укреплению инфраструктуры, которая является базовой для всех видов бизнеса: дороги, телефон, городские вокзалы, аэропорт и пр. По отношению к земле также можно совершать целенаправленные действия объединять и дробить земельные участки, выкупать и продавать их, сдавать в аренду и даже передавать в безвозмездное пользование. От конкретных действий в отношении земли зависят как общее направление, так и интенсивность новой деловой активности в регионе.
Относительно самостоятельным фактором экономического развития любого региона в последнее время стал международный фактор: чем интенсивнее международные связи, тем больший импульс, как правило, получает экономическое развитие региона. Содействие международным связям и международной торговле, привлечение иностранных инвестиций в регион становятся относительно самостоятельным и весьма эффективным инструментом экономического развития в целом.
Регулирование деловой активности. Администрация формирует побудительные мотивы предпринимателей с целью принятия ими необходимых для развития данного региона решений. Это достигается, в частности, путем уменьшения местных налогов либо предоставления дешевого капитала с помощью инструментов займа, субсидий, гарантий и даже прямых заимствований.
Данные методы воздействия на предпринимателей нередко подвергаются обоснованной критике. В частности, доказывается, что такие меры ведут к прямым потерям ресурсов регионов и городов и не влияют в конечном счете на размещение новых видов бизнеса. Дело в том, что разница в условиях местного налогообложения, как правило, есть величина несоизмеримо меньшая, чем разница по другим условиям бизнеса (расположение, наличие близких поставщиков, близость рынков сбыта и пр.) Более того, конкуренция между регионами и городами часто ведет к выравниванию величин льгот по местным налогам.
При этом ни один из вступающих в такую конкуренцию регионов не получает заметных преимуществ, с одной стороны, а с другой стороны, все они заранее уменьшают поступления в свой бюджет.
Множество вариантов обмена.
и межрегиональной торговли
Теоретические принципы производственной специализации регионов и межрегиональной торговли формально (понятийно, терминологически) были впервые выведены в рамках теорий международных экономических отношений, т.е. международниками а не регионалистами. В связи с этим необходимо назвать классиков английской политической экономики А. Смита и Д. Рикардо и шведских экономистов Э. Хекшера и Б. Олина. Почему же полученные ими научные результаты правомерно относят к теоретическим основам региональной экономики? В гл.
1 мы отмечали наличие многих общих черт и проблем в межрегиональном и международном разделении труда, в межрегиональной и международной торговле, однако имеются и качественные различия.
Межрегиональное разделение труда и международная торговля — процессы, происходящие в рамках различных частей одной национальной зоны свободной торговли, одной таможенной территории, одной валютной системы, одного национального рынка труда и капитала. В межрегиональной торговле, как правило, отсутствуют административные, таможенные, политические, языковые и другие барьеры, в той или иной степени сохраняющиеся в международных экономических отношениях, несмотря на превалирующую тенденцию либерализации и глобализации.
Основные выводы международных теорий Смита — Рикардо и Хекшера — Олина получены в системе постулатов межрегиональных отношений, несмотря на то, что их авторы в своих поясняющих ситуациях упоминают об Англии, Шотландии, Португалии и приводят другие международные примеры. Безусловно, выводы, о которых идет речь, применимы и к международным отношениям (в большей степени это касается валютных и торговых союзов, общих рынков), но они требуют дополнений и корректировок, учитывающих специфику именно международных отношений (включение валютных, таможенных, институциональных и других условий). Б. Олин, лауреат Нобелевской премии, свою главную работу назвал Межрегиональная и международная торговля (1933 г.), подчеркивая общность и различия двух типов торговли.
Теория абсолютных и сравнительных преимуществ Смита — Рикардо
Названные классики политической экономии были идеологами свободной торговли (фритредерства), противостоящими сторонникам экономического меркантилизма. В этом отношении они, безусловно, родственны всем теоретикам региональной экономики. Международная (межрегиональная) торговля — способ получения выгоды для каждого участника. Международное разделение труда, полагал А. Смит, целесообразно осуществлять с учетом тех абсолютных преимуществ, которыми обладает та или иная страна (имеется в виду регион).
Каждая страна (регион) должна специализироваться на производстве и продаже того товара, по которому она обладает абсолютным преимуществом. Если она сконцентрирует свои ресурсы на производстве только таких товаров и откажется от производства товаров, по которым страна (регион) не обладает абсолютными преимуществами, то это приведет к увеличению объемов производства и потребления товаров в сотрудничающих странах (регионах).
Рассмотрим условную ситуацию, когда два региона (А и В) производят два продукта (металл и хлеб) с разными трудовыми затратами.
В каждом регионе имеется по 10 единиц трудовых ресурсов, которые являются единственным ограничивающим фактором. При изолированном (автаркическом) функционировании регионы могут производить продукты в разных соотношениях, сообразуясь со своими внутренними потребностями. В частности, регион А может произвести 1 ед. металла и 5 ед. хлеба, регион В — 0,5 ед. металла и 4 ед. хлеба.
Оба региона при этом полностью используют свои трудовые ресурсы.
Товары
|
Затраты труда на производство единицы
продукта в регионе
|
А
|
В
|
Металл
|
5
|
4
|
Хлеб
|
1
|
2
|
Исходя из принципа абсолютных преимуществ региону А целесообразно специализироваться на производстве хлеба (разница издержек 1 - 2 = -1), а региону В — на производстве металла (разница издержек 4 - 5 = - 1). Тогда регион А сможет произвести 10 ед. хлеба, а регион В — 2,5 ед. металла. При этом возникает множество вариантов обмена.
Допустим, оба региона намерены в результате специализации и обмена увеличить потребление обоих продуктов по сравнению с изолированным развитием. Пусть регион А из произведенных 10 ед. желает 5,2 ед. использовать внутри региона, а 4,8 ед. продать в обмен на металл. Регион В намерен из 2,5 ед. металла использовать у себя 1,3 ед., а 1,2 ед. обменять на хлеб. Очевидно, здесь возникает вопрос о ценах обмена.
Один из компромиссов — справедливые цены, пропорциональные трудовым затратам на производство металла и хлеба, т.е. 4:1. В этом случае предлагаемые на продажу регионом А 4,8 ед. хлеба эквивалентны 1,2 ед. металла, предлагаемых регионом В.
В итоге в регионе А потребление составит: 1,2 ед. металла (+0,2) и 5,2 ед. хлеба (+0,2), в регионе В — 1,3 ед. металла (+0,8) и 4,8 ед. хлеба (+0,8). Существует достаточно широкий диапазон цен обмена, позволяющий обоим регионам получить выгоду от торговли.
Д. Рикардо продвинулся в теории существенно дальше А. Смита. Он доказал, что абсолютные преимущества представляют лишь частный случай общего принципа рационального разделения труда. Главное — не абсолютные, а относительные (сравнительные) преимущества.
Даже страны (регионы), имеющие более высокие производственные издержки по всем товарам, могут выиграть от специализации и обмена благодаря игре, на разнице издержек.
Вернемся к предыдущему примеру. Вместо региона В введем в рассмотрение регион С, где издержки выше, чем в регионе А, по обоим товарам.
Товары
|
Затраты труда на производство единицы
продукта в регионе
|
А
|
С
|
Металл
|
5
|
6
|
Хлеб
|
1
|
2
|
Если придерживаться принципа А. Смита, то торговля региона А с регионом С бессмысленна (там все дороже), а для региона С с регионом А безнадежна (нашу дорогую продукцию не купят). На самом деле это не так.
Сохраним все прежние условия по региону А. Регион С при изолированном развитии производит и потребляет 0,4 ед. металла и 3,8 ед. хлеба, он также располагает 10 ед. трудовых ресурсов.
Замечаем, что регионы А и С имеют существенно разные соотношения издержек. В регионе А металл дороже хлеба в 5 раз, а в регионе С — только в 3 раза. Таким образом, регион А имеет относительное (и абсолютное) преимущество по производству хлеба, а регион С — относительное (но не абсолютное) преимущество по производству металла.
На использовании относительных преимуществ основаны рациональная специализация регионов и межрегиональная торговля.
Допустим, что в условиях разделения труда регион А будет производить 10 ед. хлеба, а регион С — 12/з ед. металла (10 : 6 = 12/з). Существует множество вариантов обмена, при которых оба региона, безусловно, выигрывают в том смысле, что могут увеличить внутреннее потребление обоих товаров по сравнению с автаркической ситуацией. Например:
вариант 1. Регион А вывозит 4,6 ед. хлеба, регион С — 12/9 ед. металла. В регионе А потребление составит: металла — 12/9 (+2/9), хлеба — 5,4 (+0,4). В регионе С потребление составит: металла — 4/9[+ 0,04 (4)], хлеба — 4,6 (+0,8);
вариант 2. Регион А вывозит 4,8 ед. хлеба, регион С — 12/9 металла. Тогда потребление в регионе А: металла — 12/9 (+1/9), хлеба — 5,2 (+0,2). Потребление в регионе С: металла — 5/9[+0,15 (5)], хлеба — 4,8 (+1,0).
Отметим, что обмен по ценам, пропорциональным региональным трудовым издержкам (6 : I), невыгоден для региона А. При таких ценах он в результате обмена не может получить выигрыш в потреблении по обоим продуктам.
Из анализа, проведенного Д. Рикардо, следуют два вывода:
1) выигрыш при обмене происходит не из абсолютного преимущества, а из того, что соотношения издержек в разных регионах различны;
2) производство и потребление всех товаров может быть увеличено, если регионы будут специализироваться на производстве и торговле теми товарами, по которым они обладают сравнительными преимуществами.
К сожалению, имеется масса свидетельств того, что обыденное экономическое мышление по-прежнему тяготеет к представлениям А. Смита, но не Д. Рикардо.
Теория Хекшера — Олина
В теориях А. Смита и Д. Рикардо главным фактором, определяющим рациональную структуру производства и обмена, являются трудовые издержки. В 30-х годах XX в. шведские экономисты Э. Хекшер и Б. Олин развили теорию международного (межрегионального) разделения труда, введя в рассмотрение соотношения основных взаимозаменяемых факторов производства (труда, капитала, земли и др.). Их основные теоретические положения сводятся к следующему:
1) страны (регионы) должны вывозить продукты интенсивного использования избыточных (относительно недефицитных) факторов производства и ввозить продукты интенсивного использования дефицитных для них факторов;
2) в международной (межрегиональной) торговле при соответствующих условиях осуществляется тенденция выравнивания факторных цен;
3) вывоз и ввоз товаров могут заменяться перемещением факторов производства.
Хекшер и Олин обосновывали целесообразность либерализации не только торговли, но и международного (межрегионального) перемещения факторов производства.
Модель управления СФГ МО
Уставный капитал СФГ МО, их финансовых институтов должен соответствовать необходимым нормативным требованиям.
На 10.4 представлена укрупненная модель управления СФГ МО, в которой реализуется основная цель развития МО социальная, экономическая и правовая защита интересов населения города (района).
Размеры корпоративных экономических территорий определяются границами целостных административных единиц. Они начинаются с города или района и могут расширяться до пределов области, края, республики.
СФГ МО, ФПГ городов и районов и их связи перерастают в корпоративный «сплав», за счет которого соответствующие корпоративные экономики районов (городов) сливаются в более крупные хозяйственные единицы.
10.4. Модель управления СФГ МО
10.4. Корпоративная экономика и социальная жизнь
Изучение того, что сегодня в Европе принято называть системой местного самоуправления, приводит к следующему выводу: почти во всех нормативных актах и в Европейской хартии подчеркивается: местное самоуправление не есть децентрализация государственных функций, хотя фактически в большинстве случаев это результат именно децентрализации государственной власти как способа достижения цели. Самоуправление означает прежде всего эффективную ответственность каждого чиновника перед населением. Причем любой чиновник в территориальном самоуправлении может привлекаться к ответственности и при отсутствии каких-либо жалоб со стороны населения на основании процедуры, с которой население согласно.
Самоуправление строится снизу для удовлетворения нужд и в интересах не только социальных групп, но и отдельных граждан. Задача государства обеспечить возможность строительства, а не самому строить. Возможность это материальные ресурсы, законодательные средства, защита порядка, самоуправления, построенного непосредственно гражданами.
Местное самоуправление опирается на определенные принципы, которые определяют сущность его модели. К ним относятся:
ориентация на местные территориальные сообщества;
разграничение полномочий между органами самоуправления разных территориальных уровней;
разделение полномочий между представительной и исполнительной ветвями власти;
наделение представительной власти распорядительными и контрольными функциями;
самостоятельность и независимость в решении вопросов местной жизни в пределах своей компетенции;
ответственность органов самоуправления перед населением, избравшим их.
Можно выделить следующие объекты и сферы осуществления местного самоуправления:
общее управление и муниципальные нормы;
управление муниципальной собственностью;
назначение и сбор местных налогов;
обеспечение общественной безопасности и порядка, в том числе содержание муниципальной тюрьмы;
защита животного мира;
организация дорожных работ и общественного транспорта;
пожарная охрана;
здравоохранение: больницы и родильные дома, амбулатории, службы оказания первой медицинской помощи;
помощь в чрезвычайных обстоятельствах;
пищевой контроль;
гражданская оборона;
образование: дошкольное, начальное и среднее, переподготовка, повышение квалификации, в том числе для иммигрантов, инвалидов;
помощь на дому молодым матерям, беспомощным и старым людям;
организация домов отдыха, центров социальной реабилитации, домов престарелых и инвалидов;
социальное страхование;
управление занятостью;
городское пространственное планирование и регенерация;
строительство дешевого жилья и земельная политика;
водо-, электро- и газоснабжение, отопление;
уборка улиц, дворов и мусора, уход за кладбищами, колумбариями;
охрана окружающей среды;
коммерция и торговля;
религия;
массовые коммуникации: пресса, радио, телевидение;
культура: театры и концертные залы, музеи, галереи, библиотеки;
спорт и отдых: стадионы, парки, открытые пространства;
организация туризма.
Эффективность управления развитием МО и уровень его социально-экономического состояния, уровень качества жизни населения взаимозависимы. Поэтому особую важность имеет выбор, конструирование системы оценки деятельности системы управления МО и качества жизни населения (полученных результатов), используемые в них критерии по признакам и уровням.
Проблема синтеза интегральных оценок социально-экономического состояния МО (городов и районов) Российской Федерации не решается простым набором показателей. Более эффективна оценка значимости свойств каждого из элементов (показателей) целого. В этом случае центральной становится проблема веса каждого показателя (фактора).
Практика показывает, что факторный, регрессионный, корреляционный и другие разновидности анализа оказываются не корректны при описании, оценке состояний сложных систем. С увеличением числа анализируемых показателей (факторов) социально-экономического развития МО объем расчетов растет нелинейно, их надежность падает, а отклонения становятся существенными. Наиболее эффективными остаются модели, учитывающие три-пять показателей (факторов), а то и вовсе один-два, причем удачный выбор факторов чаще оказывается под силу не аналитическому алгоритму, а эксперту, который мыслит синтетическими образами, воспринимая объект-систему как динамичную целостность.
Отбор показателей для формирования индекса социально-экономического состояния МО (города, района) проводится по критериям их способности точно передать не только и не столько производственную активность, сколько формирование нового качества жизни.
Богатство населения зависит от количества и качества произведенных благ для потребления, а самочувствие населения от его соматического здоровья. Установлено, что при индексе соматического здоровья населения МО, равном 2,5 единиц (по шестибалльной шкале оценок), люди могут не более четырех часов в сутки трудиться высокопроизводительно и выполнять производственные задачи любой сложности. Следовательно, произведенный объем благ будет недостаточен для удовлетворения потребностей населения даже на уровне бедности.
В таком МО будет проживать нищее население, здесь будут высокий уровень политической напряженности, низкая производительность труда, многочисленные антисоциальные проявления.
Вот почему здоровье человека как характеристика потенциала (возможностей) населения (семьи, домашнего хозяйства) это в конечном счете здоровье и экономики, и социума, важнейший показатель социально-экономического состояния МО.
Другим интегральным показателем выбирается показатель, характеризующий уровень доходов человека (семьи, домашнего хозяйства). Особенно важна та его часть, которая расходуется на продукты питания после оплаты коммунальных услуг.
Ниже приводятся показатели оценки уровней доходов и здоровья человека, характеризующие качества его жизни:
по доходам (расходам из бюджета семьи на продукты питания после оплаты коммунальных услуг), %:
Группы
населения
|
Голодающие,
А
|
Нищета,
В
|
Бедность,
С
|
Достаток,
D
|
Богатые,
Е
|
Очень
богатые, F
|
Затраты
на питание
|
|
80
|
50
|
10
|
1
|
0,01
|
по состоянию здоровья (индекс соматического здоровья по шестибалльной шкале, в условных единицах):
Качественная оценка
|
Критическое, А
|
Очень плохое, В
|
Плохое, С
|
Удовлетворительное, D
|
Хорошее,
Е
|
Отличное, F
|
Индекс
соматического
здоровья Jсз
|
0,31,09
|
1,12,09
|
2,13,09
|
3,14,09
|
4,15,09
|
5,16,00
|
Главное отличие и преимущество корпоративного метода хозяйствования, по сравнению с другими, заключается в том, что при его использовании богатства одних создаются не за счет других. Бедные становятся более состоятельными, богатые еще богаче, а относительный разрыв между ними сглаживается или даже исчезает. Это происходит не за счет фискальных мер, принимаемых, как правило, государством, а в результате договорных отношений, создающих баланс интересов участвующих субъектов.
Наиболее эффективная социальная политика перераспределения в условиях корпоратизма связана не с перераспределением доходов и богатств, а с предоставлением каждому реальных возможностей получения услуг, определяющих качество жизни (например, получение образования).
Все попытки истребить многовековые корпоративные корни русского экономического развития (община, артель) оказались безуспешными. Возрождение корпоративного социально-экономического уклада жизни в России, на наш взгляд, является обязательным условием роста качества жизни и благосостояния населения. Методы корпоративной экономики с этой точки зрения это путь к прекращению планирования и регулирования из центра.
Вопросы хозяйственной жизни следует регулировать в регионах с участием всех заинтересованных сторон. При этом тон должны задавать не только интересы капитала, администраций или центра, но в равной мере и интересы широких слоев населения, которых нельзя вовлекать в политическую или экономическую борьбу не за хозяйственные результаты, а за власть.
Подлинный корпоративный порядок, в первую очередь в отношении к собственности на средства производства, устанавливается тогда, когда распоряжение капиталом будет находиться в руках собственников: населения-акционеров и наемных работников-акционеров. Тем самым будет поставлен заслон любому безответственному растрачиванию капитала и ресурсов территории, за которые частный собственник отвечает перед самим собой, и положен конец уничтожению капитала путем захоронения в ипотеках.
Нематериальное производство
Нематериальное производство становится парадигмой экономического развития, что заставляет по-новому оценивать степень богатства стран и регионов. Традиционно страны и регионы оцениваются с точки зрения богатства лесом, полезными ископаемыми, почвами, климатическими условиями, основными фондами, географическим положением. Новые представления о нематериальном производстве как о сфере, где создается большая часть стоимости, меняют критерии оценки богатства стран и регионов.
На первое место выдвигаются такие факторы, как богатство людьми и их квалификацией, управленческими технологиями, рыночной инфраструктурой, сетью бизнеса, культурой организаций. Новые представления об источниках и факторах экономического развития позволяют по-новому посмотреть на образование, науку, медицину, телекоммуникации, навыки менеджмента как на те сферы общественной жизни, которые оказывают решающее влияние на темпы и направление экономического развития страны в целом.
Итак, на уровне региона можно рассматривать следующие критерии и соответствующие им показатели социально-экономического развития:
ВНП или ВВП (абсолютная величина и на душу населения) и темпы роста этих показателей;
средний уровень доходов населения и степень их дифференциации;
продолжительность жизни, уровень физического и психического здоровья людей;
уровень образования;
уровень потребления материальных благ и услуг (продуктов питания, жилья, телефонных услуг), обеспеченность домашних хозяйств товарами длительного пользования;
уровень здравоохранения (обеспеченность поликлиниками, аптеками, больницами, диагностическими центрами и услугами скорой помощи, качество предоставляемых медицинских услуг);
состояние окружающей среды;
равенство возможностей людей, развитие малого бизнеса;
обогащение культурной жизни людей.
Стандартным способом оценки экономического развития региона является оценка уровня производства (к тому же, как правило, материального производства). Такая оценка является сегодня односторонней и недостаточной. Разработанные международными организациями подходы к оценке экономического развития стран заставляют при оценке уровня развития региона рассматривать не только объем производства, но и такие, например, аспекты, как образование, здравоохранение, состояние окружающей среды, равенство возможностей в экономической сфере, личная свобода и культура жизни.
Вполне уместно в качестве интегрального показателя развития региона использовать индекс развития человека, разработанный и применяемый Программой развития ООН для оценки развития отдельных стран.
При управлении экономическим развитием отдельного региона целесообразно выделять все вышеперечисленные относительно самостоятельные цели и осуществлять мониторинг их достижения. В частности, наряду с мониторингом состояния регионального производства и динамики денежных доходов населения необходимо отслеживать и другие важнейшие параметры экономического развития.
Наличие и уровень качества школ, детских садов, других образовательных учреждений и их доступность, а также уровень образования и квалификации людей важнейшие параметры уровня развития любого региона. Снабжение продуктами питания, контроль за их качеством, соблюдение прав потребителей на розничном рынке это также параметры оценки уровня регионального развития. Уровень физического и психического здоровья населения, продолжительность жизни, уровень развития системы здравоохранения и ее доступность, состояние окружающей среды также важные оценочные критерии социально-экономического развития региона.
Даже если предположить, что большая часть российских регионов выйдет из экономического кризиса в узком смысле этого слова, т.е. возобладает положительная динамика роста производимой продукции, то вряд ли еще можно будет говорить о позитивных сдвигах в динамике социально-экономического развития в современном понимании, так как экологическая составляющая будет тормозить продвижение регионов вперед.
В настоящее время ближайшие пригороды многих российских городов представляют собой одну большую разрастающуюся свалку. Многие так называемые дачные поселки расположены в месте складирования собственных же отбросов. Значительная часть земель безвозвратно утрачивается под напором наступающего невежества в экологической сфере, усиленного общим недостатком финансовых средств.
Это лишь один незначительный аспект комплексной проблемы экологического благосостояния людей.
Многие города характеризуются многократным превышением допустимых норм загрязнения воды и воздуха. Значительные площади плодородных земель ежегодно безвозвратно утрачиваются и навсегда выводятся из сельскохозяйственного оборота. Все негативные экологические тенденции оказывают влияние на общий тренд социально-экономического состояния российских регионов.
В понятие социально-экономического развития региона входит и такая трудно измеримая субстанция, как культура жизни населения. Положительная динамика экономического развития региона возможна лишь при условии обогащения культурой жизни населения данного региона. Социально-экономическое развитие региона лишь тогда имеет положительную динамику, когда при прочих равных условиях расширяется личная свобода каждого, в том числе и в экономической области, что возможно при эффективной поддержке малого и среднего бизнеса, антимонопольных мерах, защите прав потребителей, обеспечении реальной свободы передвижений, которая обеспечивается развитым рынком жилья.
Тенденции развития регионов и городов. Рассмотрим некоторые базовые теоретические представления, лежащие в объяснении основных тенденций экономического развития регионов и городов.
Первое из них теория пространственных преимуществ, или теория размещения. Согласно этой теории пространственные преимущества проявляются в любой экономической деятельности. Они заставляют те или иные виды производств располагаться во вполне определенных регионах. Так, алюминиевая промышленность тяготеет к источникам дешевой электроэнергии, металлургические заводы к местам добычи железной руды и кокса, любые производства, сильно зависящие от сырья, располагаются, как правило, близко к источникам сырья.
Некоторые производства, ориентированные на местные рынки и предполагающие значительные транспортные издержки, располагаются близко к рынкам сбыта. Каждый регион, каждый город обладает своими территориальными преимуществами, связанными либо с источниками сырья, либо с другими факторами производства (рабочая сила, земля, энергия), либо с близостью к рынкам сбыта. Данная теория в значительной степени объясняет сложившееся размещение производительных сил.
Другие традиционные представления, связанные не только с теорией, но и с практикой экономического развития, основываются на закономерностях агломерации, концентрации и комбинации производства. В крупных городах или городских агломерациях дополнительная экономия или дополнительный экономический эффект образуется в связи с тем, что вокруг успешно действующих производств формируется их окружение и благодаря объединенному использованию общих ресурсов (трудовых, энергетических, инфраструктурных) достигается дополнительная экономия. Высокая концентрация промышленности в крупных городах позволяет получить дополнительную экономию, возникающую благодаря агломерационному эффекту (совокупные затраты всех производств в крупной агломерации меньше, чем сумма затрат каждого производства в случае их одиночного размещения вне пределов данной агломерации).
В крупных центрах возникает дополнительный потенциал их развития благодаря тому, что некоторые виды высококвалифицированной деятельности возможны только в крупных центрах (музеи, крупные театры, медицинские центры и т.п.).
Весьма плодотворной концепцией, позволяющей эффективно анализировать проблемы экономического развития региона, является концепция основного и вспомогательного производства. В любом регионе можно выделить основную промышленность, т.е. ту, продукция которой в основном вывозится из региона, и вспомогательное производство, продукция которого потребляется преимущественно в пределах региона. Как пример можно рассмотреть машиностроительный завод в качестве основного производства и всю обслуживающую его инфраструктуру почту, детские сады, школы, поликлиники, банки, страховые учреждения, экспедиционные и транспортные службы, строительство в качестве вспомогательного.
Обычно при расширении основного производства увеличивается и вся обслуживающая его инфраструктура; возникает так называемый мультипликативный эффект: основное производство можно рассматривать как своеобразный ускоритель экономического роста.
Основное производство может быть не только ускорителем, но и тормозом развития, в частности в том случае, когда количество рабочих мест в основном производстве сокращается в процессе структурной перестройки. При достаточно быстрых структурных сдвигах, обусловленных научно-техническим прогрессом, главным фактором успешного развития региона становится не основное, а вспомогательное производство. Долгосрочное процветание региона зависит от того, насколько развита в нем инфраструктура и насколько она готова взять на себя нагрузку нового основного производства.
Новые парадигмы и концепции региона
И все же в 70—80-х годах в структуре советской регионалистики постепенно накапливались позитивные изменения: значительно расширилось изучение социальных и экологических аспектов, а также экономических механизмов регионального развития межрегиональных отношений.
В заключение обзора основных направлений отечественных исследований по региональной экономике (до современного периода) попытаемся ответить на вопрос: можно ли сопоставить теоретический уровень западной и советской школ региональной экономики? Этот вопрос принципиально неразрешим ввиду отсутствия очевидных критериев для такого сопоставления. Но мы можем вполне уверенно констатировать существенные различия в походах к построению теории и в ее назначении.
Во-первых, в отличие от традиций западных теорий размещения и пространственной организации хозяйства, отправными моментами которых являются абстрактные ситуации, аксиоматика, простые математические модели, советская школа в большей степени ориентировалась на обобщение эмпирики и решение задач, поставленных практикой.
Во-вторых, если западные теории концентрируют внимание па рациональном поведении экономических субъектов (домашних хозяйств и фирм) в экономическом пространстве, то советские теории были исключительно нормативными, т.е. искали решения вопросов: где в интересах единого народнохозяйственного комплекса необходимо размещать новые производства; куда нужно перемещать население; какие новые регионы необходимо осваивать? Безусловно, советская региональная школа была ориентирована на более масштабные проблемы, чем преобладающая часть ученых-регионалистов Запада. Из качественных различий западных и советских теорий следует, что решительную оценку нельзя проводить вне исторического контекста.
4.5. Новые парадигмы и концепции региона
В трудах основоположников региональной экономики регион выступал только как сосредоточение природных ресурсов и населения, производства и потребления товаров, сферы обслуживания и не рассматривался как субъект экономических отношений, носитель особых экономических интересов. В современных теориях регион исследуется как многофункциональная и многоаспектная система. Наибольшее распространение получили четыре парадигмы региона: регион-квазигосударство, регион-квазикорпорация, регион-рынок (рыночный ареал), регион-социум.
Регион как квазигосударство представляет собой относительно обособленную подсистему государства и национальной экономики. Во многих странах такие регионы аккумулируют все больше функций и финансовых ресурсов, ранее принадлежавших центру (процессы децентрализации и федерализации).
Одна из главных функций региональной власти — регулирование экономики региона. Взаимодействие общегосударственных (федеральных) и региональных властей, а также разные формы межрегиональных экономических отношений (например, в рамках межрегиональных ассоциаций экономического взаимодействия) обеспечивают функционирование региональных экономик в системе национальной экономики.
Регион как квазикорпорация — это крупный субъект собственности (региональной и муниципальной) и экономической деятельности. В таком качестве регионы становятся участниками конкурентной борьбы на рынках товаров, услуг, капитала (примерами могут служить защита торговой марки местных продуктов, соревнования за более высокий региональный инвестиционный рейтинг и т.п.). Регион как экономический субъект взаимодействует с национальными и транснациональными корпорациями.
Размещение штаб-квартир и филиалов корпорации, их механизмы ценообразования, распределения рабочих мест и заказов, трансфертов доходов, уплаты налогов оказывают сильное влияние на экономическое положение регионов. В не меньшей степени, чем современные корпорации, регионы обладают значительным ресурсным потенциалом для саморазвития. Расширение экономической самостоятельности регионов (путем передачи экономических прав от центра) — одно из главных направлений рыночных реформ.
Подход к региону как рынку, имеющему определенные границы (ареал), акцентирует внимание на общих условиях экономической деятельности (предпринимательский климат) и особенностях региональных рынков различных товаров и услуг, груда, кредитно-финансовых ресурсов, ценных бумаг, информации, знаний и т.д. Исследования в рамках данного подхода иногда выделяют в особую дисциплину — региональное рынковедение.
Указанные три парадигмы в теории региона включают проблему соотношения рыночного саморегулирования, государственного регулирования и социального контроля. Среди ученых-регионалистов редко встречаются приверженцы крайних позиций: или полностью рыночная экономика (радикальный либерализм), или централизованно-управляемая экономика. Множество теоретических оттенков умещается на платформе социальное рыночное хозяйство, поэтому в теориях экономического региона значительное внимание уделяется преодолению фиаско рынка, принципам развития нерыночной сферы, производству и использованию общественных благ, регулированию естественных монополий, защите от негативных последствий частнопредпринимательской деятельности и т.п.
Подход к региону как социуму (общности людей, живущих на определенной территории) выдвигает на первый план воспроизводство социальной жизни (населения и трудовых ресурсов, образования, здравоохранения, культуры, окружающей среды и т.д.) и развитие системы расселения. Изучение ведется в разрезе социальных групп с их особыми функциями и интересами. Данный подход шире экономического.
Он включает культурные, образовательные, медицинские, социально-психологические, политические и другие аспекты жизни регионального социума, синтезу которых региональная наука с самого начала уделяла большое внимание.
В теории региональной экономики развиваются и другие специализированные подходы, например, регион рассматривается как подсистема информационного общества или как непосредственный участник интернационализации и глобализации экономики.
Теории развития региона опираются на достижения макроэкономики, микроэкономики, институциональной экономики и других направлений современной экономической науки.
Сходство региона и национальной экономики определяет возможности применения для региона макроэкономических теорий (неоклассических, неокейнсианских и др.), особенно тех, которые ставят во главу угла производственные факторы, производство, занятость, доходы. Теории региональной макроэкономики больше соответствуют парадигме регион как квазигосударство. Такое применение более адекватно для однородных (гомогенных) регионов.
Микроэкономические теории целесообразно привлекать тогда, когда представление региона как точки или однородного пространства недостаточно и необходимо принимать во внимание внутренние различия (узловой или поляризованный регион). Теория и методология микроэкономического анализа больше соответствуют парадигмам регион как квазикорпорация и регион как рынок.
Эволюция теории региона отражает повышение роли нематериальных целей и факторов экономического развития, возможности междисциплинарных знаний и перехода регионов на модель устойчивого эколого-социо-экономического развития.
4.6. Размещение деятельности
Теории размещения, разрабатываемые в последние десятилетия, не отвергая наследия классиков размещения сельскохозяйственного и промышленного производства и их последователей, смещают акценты на иные виды размещаемой деятельности и факторы размещения.
Новыми объектами теории становятся размещение инноваций, телекоммуникационных и компьютерных систем, развитие реструктурируемых и конвертируемых промышленно-технологических комплексов. В новых теориях внимание перемещается традиционных факторов размещения (транспортные, материальные, трудовые издержки) сначала на проблемы инфраструктурного обеспечения, структурированного рынка труда, экологические ограничения, а в последние два десятилетия — на нематериальные факторы размещения. К ним относятся: интенсивность, разнообразие и качественный уровень культурной деятельности и рекреационных услуг; творческий климат; привязанное людей к своей местности и т.п.
Поскольку нематериальные факторы труднее, нежели материальные, поддаются количественной оценке, это потребовало создания нового информационно-аналитического инструментария.
Прежние теории ориентировались или на частные интересы производителей, продавцов и потребителей (западная школа) или на интересы государства (советская школа). Более современные теории объясняют закономерности размещения в условиях противоречивости индивидуальных, групповых (корпоративных, региональных) и государственных интересов. Кроме того, в отличие от прежнего детерминистского описания исследуемых ситуаций, новые теории анализируют и прогнозируют поведение участников процесса размещения в условиях риска и неопределенности.
Важным этапом в развитии теории размещения стало исследование процесса создания и распространения инноваций (нововведений). Т. Хегерстранд выдвинул теорию диффузии инноваций (его основополагающий труд Диффузия инноваций как пространственный процесс вышел в свет в 1953 г.).
Диффузия, т.е. распространение, рассеивание по территории различных экономических инноваций (новых видов продукции, технологий, организационного опыта и т.п.), согласно Т.
Обеспечение минимального уровня общественных услуг.
На долю доходов, которые определяются на основе принятия решений на местах, приходится в среднем около 10%, а, кроме того, для некоторых видов этих доходов принимаются решения, касающиеся максимального уровня ставок по налогам, установленных федеральным правительством.
Между органами местного самоуправления в Российской Федерации существуют значительные различия. Их экономическая база и стоимость предоставления услуг сильно отличаются друг от друга. В связи с этим возникла необходимость создания доходной базы, включающей в себя как собственные ресурсы в форме собственных местных налогов, тарифов, пользовательских взносов и иных платежей, так и денежные поступления от федерального/регионального правительства.
Что касается собственных местных доходов, то в настоящее время у органов местного самоуправления практически отсутствуют полномочия на автономию и инновации. Почти все налоги собиратся на местном уровне, но направляются в федеральный/региональный бюджеты. Соответственно органы местного самоуправления очень зависят от трансфертов.
В последние два года муниципальные образования страдают не только от собственной слабой доходной базы из-за финансового кризиса 1998 г., который повлиял на общую экономическую деятельность в сфере бизнеса в рамках их юрисдикции, но и от существенных задержек с платежами федерального и региональных правительств по налогам совместного ведения и трансфертам. В результате во многих случаях расчеты между гражданами, предприятиями и различными уровнями управления воплотились в систему задержек платежей, долговых инструментов, платежей взаимозачетами и натуральным продуктом (произведенными товарами или услугами) и т.д.
Эта система повлияла на наполняемость бюджетов МСУ до такой степени, что инновации в сфере неденежных инструментов уступили риску дефолта и неплатежеспособности МСУ. Возникли нарушения собственных систем налогообложения и механизмов цен в экономике, которые позволяют МСУ получать большие доходы и лучше оказывать услуги населению. Но это одновременно мешает динамике развития экономики в целом.
Экономическими обоснованиями осуществления федеральных трансфертов и дотаций могут быть следующие:
1. Решение проблемы отсутствия вертикального налогового равновесия. Федеральное/региональное правительства удерживают основные налоговые поступления, оставляя незначительные налоговые ресурсы органам местного самоуправления для покрытия расходов на местные нужды. Таким образом, межправительственные поступления необходимы для сбалансированности бюджета на уровне органов местного самоуправления.
2. Обеспечение минимального уровня общественных услуг. В связи с проблемами гуманитарного характера федеральные/региональные органы власти должны поддерживать минимальный стандарт по предоставлению общественных услуг во всех сферах деятельности органов местного самоуправления. Регионы, ресурсы которых недостаточны для достижения данного минимального уровня, должны быть субсидированы.
3. Сокращение разрыва в чистых налоговых льготах среди регионов. Юрисдикции некоторых органов местного самоуправления (ОМС) могут иметь больший доступ к естественным ресурсам или к другим налоговым базам, которые не доступны для других. Некоторые ОМС могут испытывать потребность в дополнительных расходах вследствие таких причин, как огромная численность бедного, старого и молодого населения и/или больших территорий.
Чистые налоговые льготы, которые рассчитываются как разрыв между налоговыми возможностями и налоговыми потребностями, часто являются следствием подобных факторов непреодолимой силы, и поэтому такая проблема Lолжна быть разрешена посредством перечислений со стороны федерального/регионального правительства.
4. Воспрепятствование региональному неравенству, возникшему в результате отсутствия мобильности населения. Если население достаточно мобильно и хорошо передвигается по регионам, то разница в сфере предоставления общественных услуг не будет ощущаться, так как люди всегда могут направиться в ОМС-юрисдикции, которые предоставляют более качественные услуги. С возрастанием численности населения в данной юрисдикции льготы, которые каждый человек может получить, будут уменьшаться, и здесь имеет место выравнивание налоговых льгот.
Тем не менее население не достаточно мобильно в связи с такими факторами, как затраты на переезд и проблемы с трудоустройством, отсутствие полной информацией об уровне и качестве общественных услуг, предоставляемых во всех регионах. Отсутствие мобильности среди населения заставляет создавать модели неравномерного развития по регионам, темпы которого все более увеличиваются, тогда как оказывается, что сильные в финансовом отношении регионы экономят и инвестируют больше и развиваются быстрее, чем слабые в финансовом отношении регионы.
5. Решение проблемы внешнего взаимодействия между ОМС. Некоторые общественные услуги могут оказывать влияние на другие ОМС-юрисдикции, например контроль загрязнений (воды или воздуха), автомагистраль, протянувшаяся между регионами, высшее образование (выпускники могут уезжать работать в другие регионы), пожарные службы (могут быть использованы близлежащими областями) и т.д. Без извлечения всей выгоды от этих проектов местные органы не стремятся их инвестировать. Таким образом, федеральное/региональное правительство должно стимулировать инвестиции или обеспечить муниципальные образования финансовыми ресурсами для решения подобных проблем.
Схемы взаимодействия финансовых институтов разных уровней показаны на рис. 16.1, 16.2.
Рис. 16.1. Взаимодействие финансовых систем разных уровней
Рис. 16.2.
В реальной практике в МО должны соблюдаться следующие принципы формирования системы денежных поступлений.
1. Достаточность доходов: органы местного самоуправления должны иметь достаточно финансовых средств, включая денежные поступления, для обеспечения выполнения возложенных на них обязательств.
2. Разработка законодательных основ местного налогообложения и контроль над расходами.
3. Справедливость: размер денежных поступлений должен варьировать непосредственно исходя из местных финансовых потребностей и местных налоговых возможностей.
4. Прозрачность и стабильность: условия формирования бюджета должны быть всем известны; каждый местный орган должен иметь прогноз собственных общих доходов (включая разнообразные поступления), чтобы сбалансировать бюджет. Такие условия должны действовать на протяжении по крайней мере нескольких лет (3—5 лет) для обеспечения долгосрочного планирования на местном уровне.
16.3. Виды межбюджетных поступлений
В основном, существуют два вида субсидий: долевые и недолевые, которые могут быть целевыми и нецелевыми.
1. Целевые субсидии. Они могут называться субсидиями специального назначения, или категориальными субсидиями. Федеральное/региональное правительство определяет те цели, на которые ОМС могут использовать данные средства.
Подобные субсидии часто используются для решения проблем, имеющих чрезвычайно важное значение на уровне федерального/регионального правительства, но не воспринимаемые таковыми органами местного самоуправления. В структуре целевых субсидий выделяют несколько видов:
• сопоставительные субсидии открытого типа. Подразумевается, что ОМС должны расходовать на определенные цели конкретную сумму денег при получении средств сверху. Например, если местные органы власти потратили рубль на образование, то федеральное/региональное правительство также обязано вложить этот рубль.
Согласно сопоставительным субсидиям открытого типа стоимость для провайдера субсидий полностью зависит от поведения получателя. Если расходы ОМС активно стимулируются программой, то и вложения федерального/регионального правительства примут огромные размеры, и наоборот;
• сопоставительные субсидии закрытого типа. Для установления предела стоимости, покрываемой федеральным/региональным правительством, это правительство может определить максимальную сумму, которую будет вкладывать. Данный механизм очень эффективен там, где основная проблема сводится к контролю бюджета;
• несопоставительные субсидии — в данном случае федеральное/региональное правительство предлагает фиксированную денежную сумму с оговоркой, что она будет потрачена на указанное общественное благо. Здесь не требуется, чтобы вложения ОМС соответствовали вложениям со стороны федерального/регионального правительства.
2. Нецелевые субсидии. Такие субсидии не накладывают никаких ограничений на использование денежных средств. Они представляют собой единовременно выплачиваемые субсидии для получающего органа.
Основным оправданием предоставления нецелевых субсидий регионам и ОМС со стороны федерального/регионального правительства является тот факт, что данные средства могут быть использованы для выравнивания налоговых возможностей среди различных органов местного самоуправления для обеспечения минимального (или разумного) уровня общественных услуг. Выравнивающие субсидии могут формировать поступления со стороны федерального правительства непосредственно для ОМС или осуществляться со стороны региональных органов с налоговыми возможностями выше среднего уровня для региональных органов с налоговыми возможностями ниже среднего уровня.
Определение региональной специализации
Они проявляются в том, что часть воспроизводственных связей ограничивается данной территорией и на этой основе образуется относительная самостоятельность.
Для определения региональной специализации, по мнению регионоведов, наиболее существенными показателями являются:
• индекс уровня специализации региона по отраслям (отношение удельного веса региона в Российской Федерации по производству продукции данной отрасли к удельному весу региона в стране по всей промышленности и сельскому хозяйству);
• индекс эффективности специализации (отношение объема производства на единицу издержек в регионе к такому же показателю по России);
• общий индекс специализации (произведение предыдущих частных индексов).
Как отмечалось выше, важным признаком региона является управляемость, непосредственно связанная с административно- территориальным делением страны. И здесь важно подчеркнуть, что управляемости в определенной степени способствует целостность региона, ибо административно-территориальные органы должны обеспечивать координацию (управление) всех элементов общественного хозяйства: материального производства, природно-ресурсных потенциалов, инфраструктуры, трудовых ресурсов, а также многообразие связей — торговых, финансовых, социальных, экологических, производственных, которые обладают определенной пространственной и временной устойчивостью.
Экономическая самостоятельность региона выражает степень обеспеченности его экономическими (в первую очередь финансовыми) ресурсами для самостоятельного, заинтересованного и ответственного решения социально-экономических вопросов, которые входят в компетенцию регионального уровня хозяйствования.
Выделим еще несколько понятий, которые часто фигурируют в экономической литературе, посвященной региональным проблемам. Рассмотрим такой термин, как национально-территориальное устройство. В нем в качестве одного из критериев членения территории выступает национальный состав населения, а сам национальный вопрос решается путем придания национально-территориальным образованиям элементов государственности.
Непосредственно с регионом связано и другое понятие — территориальная организация общества. В широком смысле слова это понятие охватывает все вопросы, касающиеся: территориального разделения труда; размещения производительных сил; региональных различий в производственных отношениях; расселения людей; взаимоотношений общества и окружающей среды; региональной социально-экономической политики; места региона в международном и общегосударственном разделении труда.
Можно выделить и такое понятие, как региональное разделение труда — специализация регионов на производстве определенных видов товаров и услуг и последующем обмене ими.
Необходимо иметь представление и о следующих терминах.
Промышленный узел — группа предприятий различных отраслей, сосредоточенных в одном месте, построенных, как правило, по единому проекту и имеющих общие обслуживающие и вспомогательные объекты и сооружения.
Агломерация — территориально-хозяйственное сочетание, которое:
• возникает на базе крупного города (нескольких городов) и создает значительную зону урбанизации;
• отличается высокой степенью территориальной концентрации промышленности, инфраструктуры и плотности населения;
• оказывает решающее влияние на экономику и социальную жизнь окружающей территории;
• показывает высокую степень комплексности хозяйства и территориальную интеграцию населения.
Территориально-производственный комплекс (ТПК) значительная территория, где расположена группа взаимосвязанных предприятий и организаций, составляющих единую технологическую цепочку, комплексно использующих природные ресурсы и получающих дополнительный эффект за счет сокращения транспортных затрат.
Межотраслевой территориальный комплекс — интегрированные на территории отраслевые производства, входящие одновременно в общегосударственную систему межотраслевых образований и имеющие единую программу развития.
Экономический район — целостная территориальная часть национального хозяйства страны со своей специализацией и прочными внутренними экономическими связями, основное звено в системе экономического районирования страны. По своему внутреннему содержанию термин соответствует более гибкому понятию регион.
Экономические зоны — группы укрупненных районов, выделяемые по ряду признаков (территориальному, природно-сырьевому, географическому и т.д.).
Контрольные вопросы
1.Что такое национальная экономика?
2. Нарисуйте схему воспроизводственных процессов в экономике.
3. Что подразумевается, когда говорят о реальной экономике?
4. Какое соотношение существует между понятиями регион и экономический район?
5. Дайте определение понятия регион.
6. Что означают целостность региона и комплексность хозяйства региона?
7. Приведите классификацию регионов.
8. Какие показатели используются для определения региональной специализации? Раскройте суть каждого показателя.
9. Раскройте термины промышленный узел, территориально-производственный комплекс, межотраслевой территориальный комплекс экономический район, агломерация, экономическая зона.
2. ТИПЫ И ВИДЫ
ЭКОНОМИК. ЭКОНОМИЧЕСКИЕ
СИСТЕМЫ И ИХ СУЩНОСТЬ
2.1. Экономическая система и ее элементы
Совокупность всех экономических процессов, совершающихся в обществе на основе действующих в нем имущественных отношений и организационных форм, представляет собой экономическую систему этого общества. Поняв суть системы, можно понять многие закономерности хозяйственной жизни общества.
Элементы экономической системы. Основными элементами экономической системы являются:
• социально-экономические отношения, базирующиеся на сложившихся в каждой экономической системе формах собственности на экономические ресурсы и результаты хозяйственной деятельности;
• организационные формы хозяйственной деятельности;
• хозяйственный механизм, т.е. способ регулирования экономической деятельности на макроэкономическом уровне;
• конкретные экономические связи между хозяйствующими субъектами.
В последние полтора-два столетия в мире действовали различные типы экономических систем: две рыночные системы, в которых доминирует рыночное хозяйство, — рыночная экономика свободной конкуренции (чистый капитализм) и современная рыночная экономика (современный капитализм) и две нерыночные системы — традиционная и административно-командная. В рамках той или иной экономической системы существуют многообразные модели экономического развития отдельных стран и регионов.
Рассмотрим характерные черты основных типов экономических систем.
Рыночная экономика со свободной конкуренцией (чистый капитализм). Хотя эта система сложилась в XVIII в. и прекратила свое существование в конце XIX — в первых десятилетиях XX в. (в разных странах по-разному), однако очень многие ее элементы вошли в современную рыночную систему.
Отличительными чертами рыночной экономики со свободной конкуренцией являлись:
• частная собственность на инвестиционные ресурсы;
• рыночный механизм регулирования макроэкономической деятельности, основанный на свободной конкуренции;
• наличие множества самостоятельно действующих покупателей и продавцов каждого продукта и товара.
Одной из главных предпосылок к возникновению чистого капитализма выступает личная свобода всех участников экономической деятельности — не только капиталиста-предпринимателя, но и наемного работника.
Решающим условием экономического рогресса стала свобода предпринимательской деятельности тех, кто имел капитал. Был достигнут новый уровень развития человеческого фактора — главной производительной силы общества. Наемный работник и капиталист-предприниматель выступали как юридически равноправные агенты рыночных отношений.
Понятие свободный наемный работник предполагает право свободного выбора покупателя рабочей силы, места ее продажи, т.е. свободу передвижения в пределах рынка труда. Подобно всякому товаровладельцу, реализовавшему свой товар и получившему за него деньги, наемный работник обладал свободой выбора предметов и способов удовлетворения потребностей. Обратной стороной свободы выбора направления развития стала личная ответственность за поддержание рабочей силы в нормальном состоянии, за правильность принятого решения, за соблюдение условий трудового соглашения.
Фундаментальные задачи экономического развития в рассматриваемой экономической системе решаются опосредованно, через цены и рынок. Колебания цен, их более высокий или низкий уровень служат индикатором общественных потребностей. Ориентируясь на конъюнктуру рынка, уровень и динамику цен, товаропроизводитель самостоятельно решает проблему распределения всех видов ресурсов, производя те товары, которые пользуются спросом на рынке.
Предприниматели стремятся получать все больший доход (прибыль), предельно экономно использовать естественные, трудовые и инвестиционные ресурсы и максимально широко реализовывать такой ресурс, как свои творческие и организационный (так называемые предпринимательские) способности в избранной ими сфере деятельности. Это служит мощным стимулом развития и совершенствования производства, раскрывает созидательные возможности частной собственности.
Основные задачи государственной политики
Документ также предусматривает, что компетенция между федеральными, региональными и муниципальными органами должна быть определена с учетом особенностей соответствующих территорий (географических, экономических, демографических, этнических и т.д.), чтобы возложить определенные полномочия на органы, способные осуществить их с максимальным результатом. Ряд нерешенных проблем, вызванных экономическими трудностями в стране, слабая система законодательного регулирования (прежде всего отсутствие четкого определения компетенции между федеральным, региональным и муниципальным органами) усугубляют ситуацию и приводят к конфликтам между федеральными/региональными органами власти и местными органами.
Отсутствие соответствующего юридического разграничения полномочий между органами государственной власти (федерального уровня и субъектов Российской Федерации) и местными органами — одна из наиболее острых проблем формирования местного самоуправления, препятствующих эффективному разрешению некоторых важных вопросов, касающихся деятельности местных органов, включая передачу некоторых государственных полномочий местным органам.
Проблема недостаточной поддержки финансово-экономической независимости муниципальных образований включает в себя ряд вопросов, которые должны решаться как на государственном, так на муниципальном уровнях. Речь идет о проблемах формирования муниципальной собственности, в частности муниципальной земельной собственности, создания условий для формирования местных бюджетов в полном объеме, в том числе рассмотрения конкретных шагов муниципальных образований с целью распределения государственных финансовых ресурсов (установление прочной стандартной базы для экономической деятельности муниципальных образований и т.д.).
Раздел 3 предусматривает, что целью государственной политики в области развития местного самоуправления в Российской Федерации является обеспечение дальнейшего развития МСУ и повышения эффективности его деятельности как необходимых условий для формирования демократического государства, развитого в экономическом и социальном отношениях.
Основными задачами государственной политики являются:
• создание условий для реализации органами местного самоуправления права на самостоятельное формирование, утверждение и исполнение местных бюджетов, установление местных налогов и сборов;
• завершение в рамках налоговой и бюджетной реформ формирования финансово-экономической базы местного самоуправления, совершенствование системы бюджетного и налогового регулирования, прежде всего за счет:
— перераспределения средств федерального бюджета, направляемых в консолидированные бюджеты субъектов Российской Федерации, обеспечения финансовой самостоятельности муниципальных образований для решения вопросов, отнесенных к их компетенции;
— выработки принципов взаимодействия органов государственной власти и органов местного самоуправления, в том числе обеспечения реализации отдельных государственных полномочий, передаваемых органам местного самоуправления, и установления минимальных государственных социальных стандартов;
• разграничение полномочий и соответствующих материальных и финансовых ресурсов между:
— федеральными органами государственной власти и органами МСУ;
— органами государственной власти субъектов Федерации;
— органами государственной власти (федеральными и субъектов Российской Федерации) и органами местного самоуправления;
— органами местного самоуправления, в случае если на территории муниципального образования имеются другие муниципальные образования;
• обеспечение минимальных местных бюджетов путем закрепления доходных источников для покрытия минимально необходимых расходов местных бюджетов, устанавливаемых на основе нормативов минимальной бюджетной обеспеченности, с учетом специфики муниципальных образований;
• обеспечение конституционного права местного самоуправления на компенсацию дополнительных расходов, возникших в результате решений, принятых органами государственной власти;
• обеспечение передачи органам местного самоуправления материальных и финансовых средств, необходимых для осуществления этими органами отдельных государственных полномочий, которыми они наделяются.
Основные юридические рамки в отношении местных финансов на федеральном уровне установлены рядом законодательных актов: Конституцией РФ, Федеральным законом Об общих принципах организации местного самоуправления в Российской Федерации, Федеральным законом О финансовых основах местного самоуправления в Российской Федерации, Бюджетным и Налоговым кодексами и др. Конституция РФ провозгласила финансово-экономическую самостоятельность муниципальных образований, которая в соответствии со ст. 132 обеспечивается правом управлять муниципальной собственностью, формировать, утверждать и исполнять местный бюджет, устанавливать местные налоги и сборы, владеть, пользоваться и распоряжаться муниципальной собственностью.
Федеральный закон Об общих принципах организации местного самоуправления в Российской Федерации (далее — Федеральный закон), вступивший в силу 1 сентября 1995 г., был разработан в соответствии с пунктом н ст. 72 Конституции РФ. Федеральный закон реализовал требование Конституции РФ и установил общие принципы организации местного самоуправления, стал основным законом для дальнейшего формирования муниципального права как на федеральном уровне, так и на уровне субъектов Российской Федерации.
К ведению местных сообществ Федеральный закон наряду с вопросами местного значения отнес отдельные государственные полномочия, которыми органы местного самоуправления наделяются только федеральными или региональными законами с одновременной передачей необходимых материальных и финансовых средств.
Федеральный закон, развивая положения Конституции РФ, обязал местные сообщества принимать устав муниципального образования, указывать в нем финансовую и экономическую основу осуществления местного самоуправления, общий порядок владения, пользования и распоряжения муниципальной собственностью.
В отношении финансово-экономической основы местного самоуправления и вопросов хозяйственной деятельности Федеральный закон, в частности, установил, что:
• экономическую основу местного самоуправления составляют муниципальная собственность, местные финансы, имущество, находящееся в государственной собственности и переданное в управление органам местного самоуправления, а также в соответствии с законом иная собственность, служащая удовлетворению потребностей населения муниципального образования;
• в состав муниципальной собственности входят: средства местного бюджета; муниципальные внебюджетные фонды; имущество органов местного самоуправления, а также муниципальные земли и другие природные ресурсы, находящиеся в муниципальной собственности; муниципальные предприятия и организации; муниципальные банки и другие финансово-кредитные организации; муниципальный жилищный фонд и нежилые помещения; муниципальные учреждения образования, здравоохранения, культуры и спорта; другое движимое и недвижимое имущество;
• права собственника в отношении имущества, входящего в состав муниципальной собственности, от имени местного сообщества осуществляют органы местного самоуправления;
• порядок и условия приватизации муниципальной собственности определяются населением непосредственно или представительным органом местного самоуправления;
• органы местного самоуправления вправе в соответствии с законом создавать предприятия, учреждения и организации для осуществления хозяйственной деятельности, решать вопросы их реорганизации и ликвидации;
• органы местного самоуправления в целях комплексного социально-экономического развития в соответствии с Законом вправе координировать участие предприятий, учреждений и организаций, не находящихся в муниципальной собственности;
• органы местного самоуправления самостоятельно формируют, утверждают, исполняют местный бюджет и осуществляют контроль за его исполнением;
• органы государственной власти (федеральные и субъектов Федерации) обеспечивают муниципальным образованиям минимальные местные бюджеты путем закрепления доходных источников для покрытия минимально необходимых расходов местных бюджетов;
• органы местного самоуправления обеспечивают удовлетворение жизненных основных потребностей населения в сферах, отнесенных к ведению муниципальных образований, на уровне не ниже минимальных государственных стандартов, выполнение которых гарантируется государством путем закрепления в доходах местных бюджетов отчислений от федеральных и региональных налогов;
• увеличение расходов или уменьшение доходов органов местного самоуправления, возникшие в результате решений, принятых органами государственной власти, компенсируются органами, принявшими решения.
Федеральный закон установил, что в доходы местных бюджетов зачисляются:
• местные налоги, сборы и штрафы;
• отчисления от федеральных и региональных налогов в соответствии с нормативами, установленными федеральными и региональными законами, закрепленными на долговременной основе;
• финансовые средства, переданные органами государственной власти органам местного самоуправления для реализации отдельных государственных полномочий;
Особенности организации воспроизводственного процесса в регионе
Потребность организма в питании по калорийности в условиях холодного климата повышается в среднем на 20%. Почти в шесть раз различается по России показатель необходимых транспортных затрат. Даже разница в нормативах потребления основных продуктов питания составляет по зонам России от 10% для хлебопродуктов до 67% для картофеля и 64% для фруктов и ягод.
Все это приводит к существенным региональным различиям в условиях воспроизводства рабочей силы. При этом низкая мобильность трудовых ресурсов априори обостряет ситуацию на региональных рынках труда.
Наличие естественных ресурсов служит одним из условий воспроизводства в целом и регионального в частности. Земля, водный и воздушный бассейн, леса, недра, животный и растительный мир и другие компоненты окружающей среды целиком или в основной своей части воспроизводятся в регионе и имеют многоцелевое значение. Они могут быть первичными ресурсами развития хозяйства (полезные ископаемые, ресурсы сельского хозяйства), условиями развития инфраструктуры (водные пути), вторичными ресурсами и техническими средствами.
Сам человек также относится к части природы и поэтому должен стремиться к тому, чтобы представлять с ней одно целое, не нарушая качества используемых им ресурсов.
Интересен вопрос о региональных особенностях ведения предпринимательской деятельности. С одной стороны, нельзя отрицать универсального характера предпринимательских способностей. Умение организовать процесс производства, принимать управленческие решения, рисковать и получать прибыль одинаково ценится во всех регионах страны.
С другой стороны, предпринимательские способности зависят не только от индивидуальных характеристик человека, но и от условий его жизни: условий труда, быта, отдыха, воспитания, общественной атмосферы.
Очевиден прогресс в реформировании одних регионов на фоне отставания других. Это можно объясниь помимо прочих объективных причин такими, как наличие или отсутствие особого территориального нравственного климата, моральной ориентации, нацеленных на предпринимательство. Устойчивая региональная политика по созданию благоприятного предпринимательского климата, общественное признание бизнеса, помощь начинающим предпринимателям, гарантии прав собственности вместе с использованием национальных традиций способны создать на территории стабильную мотивацию населения к предпринимательскому труду.
13.2. Особенности организации
воспроизводственного процесса в регионе
Процесс регионального воспроизводства производственных ресурсов имеет три стадии: производство, распределение (перераспределение, обмен) и потребление (использование).
Региональное воспроизводство, исследуемое с позиций производительных сил как основы общественного развития, выступает в виде циклического процесса перехода производственных ресурсов региона от одной стадии движения к другой. Поэтому для выявления внутренней структуры процесса регионального воспроизводства целесообразно разделить его на ряд звеньев, каждое из которых отражало бы одну из стадий (фаз) движения производственных ресурсов: потребление, распределение и перераспределение (обмен, собственно воспроизводство).
Первая фаза тождественна процессу производства общественного продукта. Расходование ресурсов рабочей силы, средств и предметов труда составляет основное содержание производственного потребления и выражается в осуществлении затрат живого и овеществленного труда, направленных на получение полезной обществу продукции (материальных благ и услуг).
Данный процесс, в отличие от других фаз воспроизводства производственных ресурсов, полностью локализуется в рамках территории региона. Его структуру условно можно представить в виде двух стадий. На первой стадии происходит трансформация производственных ресурсов в затраты общественного труда, которые на второй стадии непосредственно воплощаются в готовую продукцию определенной меновой стоимости. Обе стадии протекают одновременно и составляют единый процесс производственного потребления.
Однако различия между производственными ресурсами и затратами как экономическими категориями существуют, более того — носят принципиальный характер.
Например, ресурсы рабочей силы обычно выражаются в человеко-часах рабочего времени или численности занятых в материальном производстве. В то же время затраты живого труда отражает величина вновь созданной стоимости. Соответственно если средства производства измеряются через объем производственных фондов, то затраты овеществленного труда — через величину перенесенной стоимости.
Один и тот же объем продукции можно получить, используя разное количество производственных ресурсов. Одинаковая величина затрат живого и овеществленного труда дает различный результат. Между объемами осуществленных в течение определенного периода затрат труда и вовлеченных в производство ресурсов практически никогда не наблюдается однозначного соответствия.
Затраты общественного труда на производство продукции в регионе определяют ее региональную стоимость, которая может сильно отличаться от общественно необходимых затрат труда. Соотношения между региональными и общественными затратами труда на производство продукции, выступающей объектом ввоза-вывоза, при полном удовлетворении спроса на нее покажет эффективность межрегионального обмена.
Используемый в регионе продукт формируется как за счет собственного производства и прямого межрегионального обмена, так и в результате поставок, осуществляемых путем централизованного перераспределения продукции. В ходе распределения и территориального перераспределения общественного продукта, произведенного в экономических районах, в каждом из них образуются фонды, в совокупности обеспечивающие воспроизводство региональных производственных ресурсов: фонд потребления, фонд накопления и фонд возмещения израсходованных средств производства.
В натуральном аспекте эти фонды отражают поступление из внутренних и внешних источников материальных благ и услуг, предназначенных для потребления в регионе (предметов потребления и средств производства). Они позволяют, как правило, не только возместить затраты живого и овеществленного труда, но и совершенствовать производственный аппарат, всесторонне развивать физические и духовные способности трудящихся и членов их семей. Поэтому в случае пропорционального производству роста фондов потребления, накопления и отчасти возмещения они могут рассматриваться в качестве результативных признаков регионального воспроизводства в целом.
Личное потребление выступает составной частью процесса регионального воспроизводства производственных ресурсов. Воспроизводство населения и трудовых ресурсов в регионе подкрепляется всей его социальной инфраструктурой, в том числе и ранее созданными фондами непроизводственной сферы. Немаловажное значение имеют также личные накопления трудящихся в виде как финансовых, так и материальных средств.
Однако потребление населением материальных и духовных благ и услуг может отчасти осуществляться и за пределами региона. Тем самым происходит скрытое перераспределение между регионами жизненных средств и услуг, а следовательно и финансовых ресурсов. Следует отметить также, что ресурсы рабочей силы подобно средствам производства вследствие своей миграционной подвижности подвержены непосредственному территориальному перераспределению и нередко используются не в том регионе, где были непосредственно воспXоизведены (подготовлены).
Наряду с трудовыми ресурсами определенной квалификации результатом регионального воспроизводства являются средства и предметы труда. В число последних необходимо включать лишь те виды, которые используются (потребляются) в рассматриваемом регионе.
Помимо количественных параметров воспроизводственных ресурсов целесообразно учитывать и их качественные характеристики. Наиболее простым, хотя и весьма приблизительным способом обобщающей оценки качества производственных ресурсов является расчет коэффициентов эффективности их использования.
Знаменатель показателя эффективности воспроизводства производственных ресурсов региона может быть представлен как в затратном, так и ресурсном виде. В первом случае он будет соответствовать объему используемой в регионе продукции, воплотившей в себе затраты общественного труда, во втором — производственные ресурсы всего общества, стоящие за теми затратами труда и их продуктом. Второй подход позволяет дать только относительную характеристику уровня эффективности регионального воспроизводства (относительную величину ресурсоемкости воспроизводства производственных ресурсов региона).
Однако получение такой оценки имеет большое значение для долгосрочного территориального планирования, так как показатели ресурсоемкости воспроизводства производственных ресурсов, с одной стороны, более объективно отражают влияние региональных условий и особенностей, а с другой — отличаются большей устойчивостью к конъюнктурному изменению цен.
Региональное воспроизводство подавляющего большинства основных видов производственных ресурсов обеспечивается затратами труда и расходом ресурсов всего общества. В меньшей степени это относится к природным ресурсам, которые практически не изменяют своего местоположения.
Принципы и факторы размещения производительных сил региона
Здесь А. Лёш занимает место, подобное месту Л. Вальраса в общей экономической теории.
А. Лёш дал подробное математическое описание рыночного функционирования системы производителей и потребителей, где каждая экономическая переменная привязана к определенной точке пространства. Основными элементами уравнений модели равновесия являются функции спроса и издержек. Состояние равновесия, по А. Лёшу, характеризуется следующими условиями:
1) местоположение каждой фирмы обладает максимально возможными преимуществами для производителей и потребителей;
2) фирмы размещаются так, что территория полностью используется;
3) существует равенство цен и издержек (нет избыточного дохода);
4) все рыночные зоны имеют минимальный размер (в форме шестиугольника);
5) границы рыночных арен проходят по линиям безразличия (изолиниям), что, по мнению А. Лёша, обеспечивает устойчивость найденного равновесия.
В модели А. Лёша число уравнений совпадает с числом неизвестных. Как и Л. Вальрас, он полагал, что это не только необходимо, но и достаточно для существования равновесия. Конечно это не так, однако следует иметь в виду, что математический аппарат для доказательства существования равновесия в сложных моделях был создан значительно позже.
Модели А. Лёша свойственны многие упрощающие допущения, что впоследствии становилось поводом для критических замечаний. Однако для конструктивной критики теоретических допущений и выводов А. Лёша требуется подняться на его уровень мышления и кругозора.
Основной метод А. Лёша — это абстрактно-теоретический анализ в математической форме. Различие позиции А. Лёша и мнений большинства экономистов, мыслящих менее абстрактно, можно показать на примере объяснения такого важного феномена в пространственной экономике, как территориальное (или пространственное) разделение труда.
Заслуга А. Лёша состоит в том, что он ярко продемонстрировал логику и операционализм абстрактного мышления, открыв тем самым своим последователям прямой путь для создания общей теории пространственной экономики.
4.2. Принципы и факторы размещения
производительных сил региона
По этой проблеме в разное время написано большое число трудов. Среди них, к сожалению, нельзя выделить одну — две классические работы, ставшие основой для послеLующего развития науки. Поэтому многочисленные литературные вариации на заданную тему образуют нечеткое множество определений, перечней и характеристик закономерностей, принципов и факторов.
Формулировки закономерностей размещения, наблюдаемые или желаемые тенденции и взаимосвязи в размещении производительных сил, обусловлены системой социально-экономических отношений, стадией экономического развития, научно-техническим прогрессом, требованиями экономической рациональности. В соответствии с парадигмой традиционной советской политической экономии закономерности являются конкретизациями, частными случаями или следствиями объективных экономических законов.
К числу важнейших закономерностей, например, относят: 1) рациональное, наиболее эффективное размещение производства; 2) комплексное развитие хозяйства экономических районов, всех субъектов Федерации; 3) рациональное территориальное разделение труда между регионами и в пределах их территорий; 4) выравнивание уровней экономического и социального развития регионов8. С точки зрения стратегии размещения производительных сил указанные закономерности представляют собой нормативные требования или желаемые тенденции, которые в действительности могут и не быть реализованными (например, выравнивание уровней развития). Другие известные перечни закономерностей включают концентрацию производства, ликвидацию противоположности между городом и деревней, более равномерное размещение производства и населения и т.д.
Некоторые из сформулированных закономерностей идеализируют противоречивые процессы эволюции размещения производительных сил; в более современной литературе они уже трактуются как закономерности. С теоретической точки зрения уязвимы даже не столько отдельные формулируемые закономерности, сколько их сочетания, которые в соответствии с требованиями к теории должны быть непротиворечивы и образовывать логически целостные системы.
Принципы размещения производительных сил, формулируемые в работах отечественных регионалистов, конкретизируют, дополняют и отчасти дублируют закономерности. К наиболее часто называемым принципам относятся: приближение производства к источникам сырья, топлива, энергии и местам потребления готовой продукции; равномерное размещение производства по территории страны; специализация хозяйства отдельных регионов с целью максимального использования эффекта территориального разделения труда; комплексное развитие хозяйства регионов; укрепление обороноспособности страны. Названные принципы представляют собой набор требований или желательных результатов, которые необходимо учитывать или стремиться достигать при планировании размещения предприятий, развития регионов, при разработке общей схемы размещения производительных сил.
Каждый принцип в отдельности имеет рациональный смысл, однако в целом они несовместимы. Например, только в редчайших случаях возможно разместить производство вблизи и от источника сырья, и от источника энергии, и от места потребления готовой продукции. Дальнейшая специализация производства усиливает неравномерность его размещения по территории. Укрепление обороноспособности требует, как правило, такого, размещения производства, которое отклоняется от источников сырья и мест потребления продукции.
Чтобы стать инструментами выработки плановых решений, принципы, так же как и закономерности, должны приобрести более конкретное, операциональное выражение. Кроме того, должны быть установлены правила совместного применения ряда принципов.
Факторы размещения производительных сил — это существенные условия, которые необходимо принимать во внимание при изучении или решении конкретной проблемы. В состав факторов обычно включают: экономико-географическое положение; население и трудовые ресурсы; созданный производственный аппарат; имеющуюся на территории инфраструктуру; локализованные природные ресурсы (энергетические, минерально-сырьевые, биологические, водные); транспортный фактор; научно-технический потенциал; формы территориальной организации хозяйства; качество управления; социальный климат и др.
Совокупность факторов делится на объективные и субъективные. Они соответствующим образом группируются и оцениваются по важности. Разумеется, состав учитываемых факторов зависит от рассматриваемой проблемы.
Переход от стадии индустриального и экстенсивного развития к инновационной экономике и информационному обществу изменяет состав и соотношения важности учитываемых факторов размещения производительных сил. В России этот процесс сочетается с трансформацией политической и экономической систем, созданием многоукладной экономики, требующей сочетания индивидуальных, групповых (в том числе региональных) и общегосударственных интересов.
Систематизация и актуализация закономерностей, принципов, факторов и эмпирических данных представляет собой начальный этап построения и обновления нормативной теории размещения производительных сил, т.е. этап предтеории. За ним должен следовать этап построения конструктивной, операциональной части теории.
4.3. Теория образования региональных комплексов
Сегодня большое внимание в стране уделяется размещению производительных сил и проблеме экономического районирования. Обосновывается позиция, что правильное разделение страны на крупные экономические районы (от 10 до 20) будет способствовать их комплексному развитию (путем внутренней кооперации), усилит процесс специализации в ее экономике. Возлагаются также надежды на то, что общее экономическое районирование сможет компенсировать недостатки консервативного административно-территориального деления страны и в перспективе даст возможность перейти к государственному управлению по крупным экономическим районам.
Начиная с 20-х годов комиссии ведущих ученых разрабатывали схемы экономического районирования страны, которые использовались в плане ГОЭЛРО и пятилетних планах развития народного хозяйства СССР. Современная сетка из одиннадцати экономических районов сохраняется (с небольшими изменениями) с начала 60-х годов.
Теоретические обоснования экономического районирования и связанного с ним формирования хозяйственных региональных комплексов получили наибольшее развитие в работах Н.Н. Колосовского. Он разработал концепцию экономического районирования, основные положения которой сводятся к следующему.
• Вся территория страны делится на экономические районы, образованные по производственным признакам и представляющие в совокупности законченную систему региональных сочетаний производительных сил.
• Каждый экономический район является всесторонне развитой в экономическом отношении территорией, объединяющей природные ресурсы, производственный аппарат, население с его трудовыми навыками, транспортные коммуникации и другие материальные ценности наиболее выгодным образом в виде производственно-территориального сочетания (ПТС).
Принципы и методы регионального управления
3. Характер и степень воздействия субъекта хозяйствования на экономические, социальные, экологические и другие процессы в регионе.
4. Воспроизводство условий жизнедеятельности населения, удовлетворение потребностей людей вне сферы производства (охрана здоровья, удовлетворение потребностей в образовании и культуре, социальная защита и поддержка).
Анализ приведенной классификации объектов позволяет сделать вывод о том, что к объектам регионального менеджмента можно отнести все хозяйственные единицы региона. Однако непосредственным объектом регионального менеджмента являются предприятия и организации, отнесенные к собственности субъектов Федерации, а также инфраструктурные звенья, деятельность которых направлена на воспроизводство условий жизнедеятельности населения вне сферы производства. На указанные объекты региональный менеджмент оказывает прямое (непосредственное) воздействие, на все другие объекты — опосредованное.
6.3. Принципы и методы регионального управления
Содержание регионального менеджмента как совокупности принципов, методов, форм и средств целенаправленного воздействия на социально-экономические процессы, протекающие в регионе, сложно и разнопланово. Анализ зарубежной практики, а также опыта регионального менеджмента в России показывает, что его эффективность во многом зависит от соблюдения вполне определенных, проверенных самой жизнью принципов, обусловленных законами рыночной экономики.
К основным принципам регионального менеджмента относятся: децентрализация, партнерство, субсидиарность, мобильность и адаптивность, а также принцип выделенной компетенции.
Суть принципа децентрализации заключается в перемещении принятия решений от центральных органов управления к агентам рынка. Этот принцип ограничивает монополию регионального менеджмента на всевластие, обеспечивает экономическую свободу субъектов хозяйствования в регионе и полицентрическую систему принятия решений, а также делегирование функций управления сверху вниз.
Принцип партнерства предполагает отход от жесткой иерархической соподчиненности по вертикали. Он диктует правила поведения объектов и субъектов регионального управления в процессе их взаимодействия как юридически равных партнеров.
Принцип субсидиарности заключается в выделении финансовых ресурсов под заранее определенные цели. Он реализуется в региональном менеджменте через формирование механизмов перераспределения финансовых ресурсов в целях обеспечения минимальных государственных социальных стандартов для всего населения региона, а также минимальной бюджетной обеспеченности.
Содержанием принципа мобильности и адаптивности является способность системы регионального управления чутко реагировать на изменения внешней среды. Этот принцип проявляется через постоянную трансформацию функциональной и организационной структур регионального менеджмента, позволяющую субъектам управления адаптироваться к быстро меняющимся рыночным условиям функционирования.
Принцип выделенной компетенции (в отличие от принципа разграничения функций) состоит в дифференциации функций не между сферами регионального управления, а внутри них. По такому принципу осуществляются перераспределение функций субъектов федерального, регионального и муниципального управления, а также ресурсное обеспечение реализации каждой функции. Принцип выделенной компетенции более детально будет рассмотрен ниже.
Методы регионального менеджмента также обусловлены системой рыночного хозяйства региона. Под методами регионального менеджмента принято понимать совокупность приемов и средств воздействия на хозяйствующие субъекты региона. В практике регионального менеджмента используются два основных метода: методы прямого (непосредственного) воздействия на субъекты хозяйствования и методы опосредованного воздействия.
Как отмечалось ранее, первые из них в большей мере касаются объектов, относящихся к собственности субъектов Федерации, вторые — по всем другим объектам.
6.4. Разделение функций, ресурсов и ответственности
на федеральном, региональном и муниципальном уровнях
Функции регионального менеджмента как конкретные формы воздействия на экономические, социальные, экологические, политические и другие процессы в регионе можно дифференцировать по назначению и содержанию. Такая дифференциация опирается на сущность и социальную ориентацию регионального менеджмента как инструмента рыночной экономики.
Многообразие функций регионального менеджмента опосредуется широким кругом его задач, рассмотренных ранее. При этом выделяют следующие основные функции: целеполагание, регулирование и стимулирование.
Реализация функции целеполагания обусловлена необходимостью осуществления научного прогнозирования социально-экономического развития региона и разработкой региональных целевых программ. Учитывая, что главной целью социально ориентированной рыночной экономики является воспроизводство условий, обеспечивающих высокий уровень жизнедеятельности человека, функция целеполагания реализуется в процессе экономической и социальной трансформации хозяйства региона, обоснования направлений его реструктуризации. Особое значение эта функция приобретает в переходный период, когда каждый регион вынужден искать и завоевывать определенную нишу на российском и мировом рынках, вписываться в межрегиональные и мирохозяйственные экономические связи и рыночные отношения.
Функция регулирования в региональном менеджменте реализуется в основном в системе объектов, относящихся к государственной собственности субъектов Федерации, а также объектов федеральной собственности, переданных в собственность регионов. В реализации функции регулирования могут использоваться методы как прямого, так и опосредованного воздействия. При этом степень воздействия субъекта управления на все объекты, в том числе и на объекты региональной собственности, будет постоянно меняться, поскольку объем и полнота реализации функции регулирования находятся в определенной зависимости от степени зрелости рыночных отношений и их внедрения в хозяйство региона. Например, предприятия автомобильного транспорта, являющиеся собственностью субъектов Федерации, могут быть переданы на договорных условиях акционерному обществу, сданы в аренду любому хозяйствующему субъекту.
В этом случае объем функции регулирования снизится, а сама функция субъекта управления будет сведена по сути к контролю за соблюдением договорных обязательств.
В условиях перевода хозяйства регионов на рыночные отношения особое место в региональном менеджменте отводится функции стимулирования. Это связано прежде всего с ограниченностью использования в региональном менеджменте методов непосредственного воздействия. В многоукладном хозяйстве региона функционируют предприятия и организации, относящиеся к самым разным формам и видам собственности — федеральной, региональной, муниципальной, коллективной, частной и др. Но методы
1 Бутов В. И. Основы регионоведения. — Ростов на Дону, 1998.
2 Бутов В. И. Цит. произв.
3 Там же.
4Бутов В. И. Цит. произв.
5 См., например: Корнай Я. Дефицит. — М., 1990; Гайдар Е. Экономические формы и иерархические структуры. — М., 1990.
6 Штандорт (standort) — местоположение.
7 Кольца Тюнена можно наблюдать на Кубе. Это схемы размещения новых плантаций на равнине вокруг населенных пунктов — мест проживания сельскохозяйственных рабочих и переработки продукции.
8 Региональная экономика / Под ред. Т.Г. Морозовой. — М.: Банки и биржи, ЮНИТИ, 1995.
С. 38.
Принципы муниципального менеджмента
О масштабах муниципального менеджмента в истории России можно судить по тому, что он осуществлялся более чем в тысяче городов, почти в двух тысячах районов, более чем в двух тысячах поселков городского типа, на территории свыше 24 тысяч волостей. Различия между ними были весьма существенными. В стране есть города и районы как находящиеся на стадии становления, так и достигшие передовых рубежей в НТП и являющиеся своего рода «локомотивами прогресса».
Практический механизм муниципального менеджмента включает институциональные и организационные структуры, методы установления правовых и административных норм, разработку, принятие и осуществление управленческих решений, этносоциальных и других императивов, других реальных регуляторов жизнедеятельности населения городов и районов. Организация этой деятельности довольно сложна и включает механизмы политического, социального, административного и экономического менеджмента.
Муниципальный менеджмент реализует следующие функции;
анализ, оценку, разработку прогнозов, сценариев, программ и планов социально-экономического развития городов районов;
стимулирование увеличения и использования трудового потенциала муниципальных образований, их научно-технического и интеллектуального ядра;
поддержание и развитие социальной и производственной инфраструктур;
инициирование конкурентной борьбы по предоставлению услуг населению, в том числе муниципальными структурами;
наполнение местного бюджета и рациональное его использование;
получение внебюджетных ресурсов;
владение и распоряжение муниципальной собственностью, рациональное ее использование;
создание условий для развития рыночной среды, ее инфраструктуры и предпринимательства;
организацию рабочих мест, оптимизацию занятости и демографической нагрузки на экономику муниципальных образований и экономически активное население;
налаживание и укрепление экономических и производственных связей с другими городами и районами;
взаимодействие местной власти с коммерческими банками, инвестиционными, страховыми и другими структурами, в том числе расположенными в других регионах и за рубежами России.
8.2. Принципы муниципального менеджмента
В городах и районах конкретизируются и приобретают территориальную специфику все основные связи и отношения, действующие в обществе. Поэтому научное осмысление принципов муниципального менеджмента и их эффективное применение на практике имеет первостепенное значение.
Принципы муниципального менеджмента разнообразны. В их системе можно выделить принципы общие и специфические.
Среди общих принципов, действующих во всех сферах общественной организации, в том числе в муниципальном менеджменте, следует назвать принципы системности, научности, выделения главного звена, устойчивого развития, социально-экономической эффективности и т.п.
Специфические (частные) принципы обусловлены особенностями объектов и субъектов муниципального менеджмента. К специфическим принципам муниципального менеджмента можно отнести: принцип оптимального сочетания федерального и регионального управления с местным самоуправлением; принцип ориентации структур местного самоуправления на социальное обслуживание населения; комплексность социально-экономического развития городов и районов, их саморазвитие на основе наращивания и наиболее полной реализации потенциала в условиях рынка; принцип целостности территориальных структур.
Принципы лишь по форме являются неизменными. Их содержание динамично и, как правило, соответствует условиям развития страны, ее регионов и муниципальных образований.
Принцип комплексности, например, все чаще понимается как требование создать такую структуру жизнедеятельности городов или районов, при которой население выступало бы не только фактором производства, но и главным образом целью развития экономики, социальным ориентиром для всех структур и технологий практического менеджмента.
Принцип целеполагания в муниципальном менеджменте динамично переориентируется с процессов на результаты экономические, социальные, экологические и др.
Развитие принципа демократизма последовательно связывается с непосредственным участием населения в самоорганизации и общественном контроле за действиями местной власти.
8.3. Особенности муниципального менеджмента
Муниципальный менеджмент как предмет науки стал складываться с конца XIX в. Академического, точного теоретического его обобщения и объяснения еще не сделано. Сама практика создавалась во многом эмпирически, на основе здравого смысла. Исследователи специализировались и специализируются не столько по науке муниципального управления, сколько по отдельным проблемам территориальной организации жизнедеятельности.
В результате научная школа муниципального менеджмента формируется с отставанием от потребностей практики, его академический курс разрабатывается медленно и фрагментарно.
Первоначальное обобщение имеющихся разработок сводятся к следующему.
Во-первых, муниципальный менеджмент существует реально как область специфического управления, научное направление и все более проявляется как относительно самостоятельная учебная дисциплина.
Во-вторых, эта практика имеет ряд аспектов экономический, организационный, социальный, общественно-политический и др., а учебная и научная сферы могут быть охарактеризованы как междисциплинарные.
В-третьих, становление муниципального менеджмента обусловлено разделением труда в управлении, которое становится все более динамичным. Поэтому в структуре муниципального менеджмента в качестве относительно самостоятельных направлений исследования можно выделить менеджмент инвестиционный, кадровый, финансовый, политический и т.п.
В-четвертых, категории «муниципальный менеджмент» и «местное самоуправление» выражают разные по сути явления и процессы.
Местное самоуправление раскрывается как социальный институт, призванный реализовывать интересы населения городов и районов. Федеральным законодательством установлено, что местное самоуправление в Российской Федерации это признаваемая и гарантируемая Конституцией РФ самостоятельная и под свою ответственность деятельность населения по решению непосредственно или через органы местного самоуправления вопросов местного значения исходя из интересов жителей, его исторических и иных традиций местного населения.
Как видно, предмет изучения здесь изложен весьма широко, его познание в рамках существующих научных дисциплин является проблематичным. По-видимому, местное самоуправление это не самостоятельное познавательное пространство, а скорее общее название, под которым условно объединяются многие конкретно-региональные разделы существующих наук об организации общества.
Как предмет науки муниципальный менеджмент понимается нами в основном как процесс включения населения во власть, поэтому его содержание теснее всего связано со способами, приемами осуществления функций местной самоорганизации жителей городов и районов России.
Методологическую основу научной разработки муниципального менеджмента составляют:
1) общенаучные знания история, философия, теория познания, науковедение;
2) теория общего и специального менеджмента, в том числе концепции гуманизации и экологизации управления, теория циклов, роста, развития, кризисов, устойчивого развития;
3) специальные теории территориальной социально-экономической организации, в том числе экономико-географические школы, концепции урбанизации и деурбанизации, территориального комплексирования, социальные теории адаптации населения и т.д. Эти научные дисциплины взаимодействуют, дополняя и обогащая друг друга. Дифференциация их, равно как и объединение, проявляется в полной мере, широкие перспективы открываются на основе междисциплинарных исследований.
Первоочередными научными задачами являются:
обоснование путей преодоления кризиса в муниципальных структурах России и механизмов устойчивого социально-экономического развития;
исследование методов повышения эффективности муниципального менеджмента;
изучение становления новой культуры управления и самоуправления в городах и районах страны;
раскрытие процессов адаптации отечественной практики муниципального менеджмента к процессам государственного и регионального управления.
Обогащение собственных основ регулирования социально-экономических процессов научными выводами и положениями, передовым опытом приведут к возникновению качественно новой отечественной культуры муниципального менеджмента.
8.4. Муниципальный менеджмент как учебная дисциплина
Предметную область муниципального менеджмента составляют научные знания главным образом о:
функциях, принципах, структурах, предпосылках, закономерностях и тенденциях самоорганизации населения, ee территориальных формах в государственных системах разного типа;
территориальной хозяйственной организации Российской Федерации, регионов, городов и районов и перспектива ее оптимизации;
ресурсах местного развития, стратегиях их наращивания способах наиболее эффективного использования;
технологиях прогнозирования и программирования, устойчивого и безопасного развития городов, районов и их систем;
Принципы, обеспечивающие развитие и совершенствование управляемой системы
Принцип автоматического замещения отсутствующего. Очевидная важность принципа автоматического замещения отсутствующего ясна каждому опытному руководителю. Замещение отсутствующих (болезнь, отпуск, командировка) должно решаться автоматически, на основе действующих служебных должностных инструкций и регулироваться формально.
Как часто в нашей производственной практике возникали ситуации, когда из-за болезни главного бухгалтера, например, была парализована работа всего предприятия — только у бухгалтера хранится печать или только его подпись признается банком!
Есть одно несколько неожиданное следствие этого принципа — важность служебных должностных инструкций. Мало найдется людей, имеющих опыт работы в органах управления, которые с симпатией относились бы к предписаниям, инструкциям, циркулярам. Их много, этих должностных документов, и не все из них составлены грамотно, четко и лаконично.
Кроме должностных инструкций, где должны быть четко определены права и обязанности исполнителя (в том числе и замещение им временно отсутствующего коллеги), есть один очень серьезный документ — инструкция по технике безопасности. Каждый новый работник обязан ознакомиться с ней, расписаться в специальном журнале, и лишь после проверки его знаний и инструктажа на рабочем месте он может быть допущен к работе. Невыполнение руководителем требований инструкции по технике безопасности может привести к самым печальным последствиям.
15.2. Принципы, обеспечивающие развитие
и совершенствование управляемой системы
Принцип первого руководителя. Принцип первого руководителя гласит: при организации выполнения важного производственною задания контроль за ходом работ должен быть оставлен за первым руководителем предприятия, так как только первое лицо имеет право и возможность решать или поручать решение любого вопроса, возникающего при внедрении этого мероприятия.
Поскольку основной целью внедрения большинства центральных, важнейших мероприятий является повышение эффективности социально-экономического функционирования предприятия, руководить такими работами должен не просто специалист в определенной области, а только тот, кто может охватить всю проблему, стоящую перед предприятием в целом, глубоко знающий цели и задачи, узкие места в его работе, — первый руководитель.
Чаще всего этот принцип применяется при разработке АСУ предприятия, что всегда сопряжено с решением таких вопросов правового и организационного характера, как изменение структуры управления, введение новых функциональных обязанностей работников аппарата управления и производственного персонала и т.п. Решение всех этих вопросов — прерогатива только первого руководителя предприятия.
Нередко работы по разработке и внедрению АСУ выполняются не по инициативе директора предприятия, а на основании решения вышестоящих организаций. И сегодня, после перехода предприятий и фирм на работу в условиях рыночных отношений не приходится обольщаться, что руководитель филиала фирмы будет инициатором внедрения средств и методов компьютерной обработки информации. В этом случае эффективность автоматизации снижается, так как специалисты в области АСУ не имеют достаточных прав, чтобы обязать службы предприятия перейти на новую технологию управления, а разработка проекта АСУ без участия руководителя предприятия обречена на существенные пробелы и недоработки.
Создание новых управленческих технологий требует проведения комплекса подготовительных работ, что в свою очередь требует участия первого руководителя. Именно он должен решить вопросы финансирования, перераспределить права и обязанности исполнителей, привлечь к работам специалистов других смежных организаций. Анализ срыва выполнения многих важных программ, серьезных заданий показывает, что одной из причин таких срывов является несоблюдение данного принципа управления.
Принцип одноразового ввода информации. В деятельности руководителя оперативность и достоверность информации играют решающую роль, так как она является предметом, средством и продуктом управленческого труда.
Один раз введенная в долговременную память компьютера информация может неоднократно использоваться для решения целого комплекса информационно связанных задач — вот суть этого важного принципа управления. Такой способ накопления и организации производственной, экономической, кадровой и нормативно-справочной информации является основой для создания баз и банков данных, незаменимым инструментом для получения руководителем и всеми структурными подразделениями предприятия объективных и достоверных сведений о ходе технологического процесса.
Еще одно важное следствие реализации принципа одноразового ввода информации и создания на его основе банков и баз данных — возможность прямого доступа конечного потребителя к хранящейся информации без какого-либо посредника.
Базы и банки данных всегда создаются с определенной степенью избыточности, т.е. с учетом динамичного и непрерывного развития системы в целом, что ведет к увеличению объемов обрабатываемой информации и появлению новых типов управленческих задач.
Принцип новых задач. Применение современных систем математического программирования и технических средств обработки информации позволяют решать и накапливать принципиально новые производственные и научные задачи. Неразумно создавать автоматизированные системы только в расчете на традиционные методы управления производством и действующие технологии.
Применение современной компьютерной техники и мощного комплекса программных средств позволяет создавать новые методики планирования и управления, новые информационные технологии, которые в традиционных системах нельзя было применить из-за невозможности обработки большого объема информации в жесткие сроки.
В отраслевых и государственных фондах алгоритмов и программ собран практически весь комплекс задач по технической подготовке производства, технико-экономическому планированию, оперативному управлению, бухгалтерскому учету, управлению финансами, сбыту и реализации продукции, контролю ее качества, по учету кадров, контролю исполнения и т.д. Опытный руководитель всячески содействует внедрению в производственню практику большого комплекса задач, отлаженных и прошедших проверку на реальных массивах информации. Это позволяет быстро обрабатывать и получать любые объективные, достоверные сведения и освободить исполнителей от рутинного, унизительного ручного труда.
Большое количество принципиально новых задач, которые обществу необходимо решать, имеет сложную организационно-технологическую модель и с трудом поддается формализации. Имеющиеся в распоряжении теории алгоритмов и программ методы не всегда могут описать многовариантные ситуации, возникающие в процессе управления. В настоящее время ведутся работы по созданию таких моделей, которые возможно более полно описывали бы анализируемую ситуацию и отражали опыт одного или нескольких высококвалифицированных специалистов по решению возникшей задачи. Системы, действующие на основании таких моделей, получили название экспертных и находят все большее применение при решении новых задач в различных областях науки и техники, в том числе в менеджменте.
Высокий интерес к экспертным системам объясняется тем, что для решения новых сложных ситуационных задач не обязательно привлекать крупных специалистов. Они могут быть решены рядовыми сотрудниками, владеющими компьютерной техникой.
Однако реализация принципа новых задач постоянно встречает заметное сопротивление. Руководитель должен быть подготовлен к этой негативной реакции на нововведения и понимать их причины: боязнь сокращения рабочего дня, а следовательно и заработка и даже потери рабочего места; опасность снижения социального статуса и страх перед возможными новыми нормами и требованиями к интенсификации труда.
Наиболее распространенной причиной сопротивления любым инновациям стала боязнь безработицы, которая за последние годы превратилась в реальную черту нашей повседневности. Есть и другие причины, более личностного характера: критика устоявшихся способов действий со стороны новаторов и их отказ от традиционных методов работы может восприниматься как личная обида. Возможно возникновение опасений по поводу будущей узкой специализации и монотонности новых условий труда, непонимание сути и последствий новшеств и, наконец, главное — боязнь обесценения, девальвации своей личности, ее социального значения.
Принцип повышения квалификации. Характерной чертой любого общества, стремящегося к процветанию, является повышенное внимание к системе образования — от начального до повышения квалификации дипломированных специалистов. Германия, например, декретом Фридриха Великого ввела обязательное начальное образование еще в XVI в. К концу XIX в. 97,5% немецких детей получали школьное образование.
К 1925 г. 99,4% японских детей посещали школу, а к 1927 г. 93% японцев умели читать. Будем объективны и в отношении собственной страны: успехи системы народного образования в СССР тоже были весьма значительны, чего нельзя сказать об организации повышения квалификации.
Реализация принципа обязательного повышения квалификации традиционно встречает сопротивление на всех уровнях управления: работники низших иерархических уровней отказываются от любых форм учебы и повышения квалификации, а руководители считают, что уже все давно знают.
Проблема размещения производительных сил
Из табл. 9.1 видно, что для всех российских районов выполняется условие
О К 1 (формула Е).
Это означает, что для любого региона России все его возможные стратегии экономического развития будут заключены между следующими двумя предельными альтернативными стратегиями:
региональной автаркии, которая исходит из замкнутого регионального развития без внешних связей (К = 0);
регионального фритредерства, которая предполагает максимальную открытость региона (К = 1), его переход к эквивалентным внешним связям на основе мировых цен как с мировым рынком, так и с остальными российскими регионами.
Существенное ослабление межрегиональных связей в экономическом пространстве России ставит российские регионы перед неизбежностью выбора одной из данных стратегий своего выживания. Этот выбор объективно обусловлен реально существующими различиями в уровнях экономического развития регионов, в их отраслевой специализации, обеспеченности природными ресурсами, климатических условиях, пространственно-географическом расположении.
9.2. Проблема размещения производительных сил
в региональной экономике
Для количественной оценки степени зависимости экономики регионов от выбранной стратегии и установления объективно возможных результатов выбора той или иной стратегии каждым из одиннадцати экономических районов России используем соответствующие экономико-математические модели.
1. Модель поведения региона в соответствии со стратегией региональной автаркии. С помощью этой модели устанавливается величина объемов производства продукции каждой отрасли и внутреннего продукта региона при полном разрыве его внешних экономических связей как международных с ближним и дальним зарубежьем, так и с другими регионами России.
Величины общего вывоза из региона и общего ввоза в него по каждой отрасли приравниваются в модели к нулю. Из этого следует, что сальдо вывоза-ввоза продукции по каждой из восемнадцати отраслей также равно нулю. Формализованная запись экономико-математической модели выглядит следующим образом:
(формула 1);
(формула 2);
(формула 3).
В уравнениях данной модели приняты те же обозначения, что и в формулах 13.
Исходная информация: aiy, si, Х0,i .
Неизвестные величины: Xi , Y.
2. Модель поведения региона в соответствии со стратегией регионального фритредерства. Как и предыдущая, данная модель является оптимизационной статистической 18-отраслевой моделью межотраслевого баланса российского региона. С ее помощью определяются объем производства продукции каждой отрасли, величина внутреннего конечного продукта региона и сальдо вывоза-ввоза по каждой отрасли в условиях перехода к эквивалентным внешним связям на основе мировых цен не только с дальним и ближним зарубежьем, но и с остальными регионами России.
В соответствии с требованием эквивалентности суммарный вывоз из региона должен быть равен суммарному ввозу в него. Уравнения экономико-математической модели могут быть представлены в следующем виде:
(формула 9);
(формула 10);
Y max (формула 11);
Xi X0,i (формула 12).
В уравнениях данной модели используются те же обозначения, что и в предыдущей, за исключением следующих:
i сальдо вывоза-ввоза отрасли i в экономике региона;
Pi индекс пересчета внутренних цен во внешнеторговые; определялся на основе данных о вывозе и ввозе продукции по отраслям народного хозяйства России в 1989 г., опубликованных Госкомстатом РФ во внутренних и внешнеторговых ценах; значения оказались весьма близки коэффициентам пересчета показателей межотраслевого баланса России в мировые цены.
Исходная информация: aiy , si , Xi0 , Pi
Неизвестные величины: xi , Y, i .
Моделирование поведения российских регионов в соответствии со сформулированными выше стратегиями дало следующие результаты, приведенные в табл. 9.3. Они представлены в виде сопоставления макроэкономических показателей, достигаемых каждым из регионов в ходе реализации той или иной стратегии, с соответствующими показателями в исходном состоянии регионов в составе единого народнохозяйственного комплекса Российской Федерации, как говорилось в конце 80-х годов, или целостного экономического пространства России, если пользоваться современной терминологией.
Из приведенной таблицы следует, что реализация стратегии региональной автаркии для любого региона России будет иметь катастрофические последствия, поэтому ни один из них самостоятельно, по доброй воле не пойдет на это. Вместе с тем ослабление связей между российскими регионами делает стратегию регионального фритредерства привлекательной, а следовательно, объективно возможной для целого ряда экономических районов России в первую очередь для Поволжского, Уральского и Западно-Сибирского. При переходе к этой стратегии у них происходит даже некоторое увеличение внутреннего продукта, прежде всего за счет продажи продукции нефтегазовой промышленности по мировым ценам, несмотря на существенный спад производства из-за «кувейтизации» экономики.
Для остальных регионов стратегия регионального фритредерства представляется заведомо меньшим злом, чем стратегия региональной автаркии, так как спад в их экономике в рамках первой стратегии будет принципиально меньше, чем в случае второй.
Однако не все экономические районы смогут реально осуществить стратегию регионального фритредерства. Это связано, в первую очередь, с конкурентоспособностью продукции российских регионов на мировом рынке. Для Северного экономического района, вывозящего продукцию черной металлургии и лесной промышленности, а также для Восточно-Сибирского и Дальневосточного регионов, вывозящих продукцию цветной металлургии и лесной промышленности, требование конкурентоспособности их продукции в принципе выполнимо.
Таблица 9.3
Результаты моделирования поведения укрупненных экономических районов России в соответствии с альтернативными стратегиями
Стратегия
региональной автаркии, % к исходному состоянию
|
Экономические районы России
|
Стратегия регионального фритредерства, %
к исходному состоянию
|
Экономические районы
|
Экономические районы
|
внутренний конечный продукт
регионов
|
совокупный общественный продукт регионов
|
внутренний конечный продукт регионов
|
совокупный общественный продукт регионов
|
31,0
|
34,8
|
Северный
|
90,1
|
98,3
|
21,8
|
26,6
|
Северо-Западный
|
84,1
|
98,6
|
32,7
|
38,6
|
Центральный
|
88,4
|
98,8
|
24,3
|
26,0
|
Волго-Вятский
|
96,5
|
99,6
|
7,9
|
8,7
|
Центрально-
черноземный
|
74,3
|
84,8
|
34,6
|
33,9
|
Поволжский
|
100,3
|
73,3
|
24,8
|
28,2
|
Северо-Кавказский
|
81,0
|
98,0
|
51,3
|
49,2
|
Уральский
|
100,3
|
58,0
|
38,5
|
41,8
|
Западно-Сибирский
|
100,2
|
41,3
|
25,5
|
31,5
|
Восточно-Сибирский
|
90,0
|
98,4
|
28,6
|
37,6
|
Дальневосточный
|
72,5
|
89,0
|
Вместе с тем для Северо-Западного, Центрального и Волго-Вятского экономических районов доминирующая в их вывозе продукция машиностроения и легкой промышленности вряд ли сможет в ближайшее время стать конкурентоспособной на мировом рынке. То же касается машиностроения, пищевой и легкой промышленности Центрально-черноземного и Северо-Кавказского экономических районов. Поэтому пять ресурсообрабатывающих районов Северо-Западный, Центральный, Волго-Вятский, Центрально-черноземный и Северо-Кавказский будут лишены возможности на эквивалентной основе по мировым ценам обеспечивать себя ресурсами энергоносителями, конструкционными материалами (или сырьем для их производства), продукцией лесной и лесообрабатывающей промышленности из остальных шести ресурсодобывающих российских районов, ориентированных в рамках стратегии регионального фритредерства в основном на мировой рынок.
Из-за этого ресурсообрабатывающие регионы России помимо своего желания будут обречены на стратегию региональной автаркии.
Таким образом, теоретически возможно, что в условиях ослабления межрегиональных хозяйственных связей в едином экономическом пространстве России начнут осуществляться две альтернативные стратегии поведения его составных частей, что показано в табл. 9.2 стрелками соответствующей ориентации. Это неизбежно приведет к дальнейшему сокращению связей между российскими регионами, неминуемо усилит разнонаправленность их стратегий, будет способствовать увеличению уровня дифференциации в экономическом развитии экономических районов, создаст угрозу целостности российского экономического пространства.
Процессы, идущие в экономике России, подтверждают правомерность данной гипотезы. Чисто внешне новые тенденции в российской экономике проявились в существенно разных темпах изменения объемов производства на западе и востоке России, о чем свидетельствуют данные табл. 9.3.
Таблица 9.3
Темпы изменения валового общественного
продукта (I) и продукции промышленности (II)
Россия и ее экономические районы
|
1990г., % к 1987 г.
|
1995г., % к 1990г.*
|
I
|
II
|
I
|
II |
Россия в целом
|
104,9
|
105,1
|
48,2
|
45,4
|
В том числе:
запад России
|
106,3
|
106,8
|
44,1
|
39,9
|
восток России
|
103,7
|
103,7
|
51,7
|
50,3
|
* по крупным и средним предприятиям.
Значительные различия в спаде производства на западе и востоке России привели к существенному изменению их доли в общероссийском валовом общественном продукте, что следует из приведенных данных.
Пространственная организация экономики
Хегерстранду, может быть трех типов: диффузия расширения (когда инновация равномерно распространяется по всем направлениям от точки возникновения), диффузия перемещения (распространение в определенном направлении) и смешанный тип. Одна генерация (поколение) инноваций имеет четыре стадии: возникновение, диффузию, накопление и насыщение. Теория Т. Хегерстранда отражает волнообразный характер диффузии генераций нововведений.
В идейном отношении она близка теории больших циклов (длинных волн) отечественного экономиста Н.Д. Кондратьева.
С теорией диффузии инноваций тесно связана теория жизненного регионального цикла. Она рассматривает процесс производства товаров как процесс с несколькими стадиями: появление нового продукта, рост его производства, зрелость (насыщение), сокращение. На стадии инноваций требуются большие персональные контакты, поэтому наиболее благоприятным местом для размещения инноваций являются большие города. Активное производство может быть размещено в периферийных регионах, но это создает риск для небольших городов, поскольку вслед за стадией насыщения начинается снижение или прекращение производства, пока не появятся другие инновации в больших городах.
В соответствии с этой теорией региональная экономическая политика должна концентрироваться на создании благоприятных условий для инновационной стадии в менее развитых регионах, например в виде создания плавательных и научных центров (технополисы, наукограды и т.п.).
4.7. Пространственная организация экономики
Теории структуризации и эффективной организации экономического пространства опираются на функциональные свойства форм пространственной организации производства и расселения — промышленных и транспортных узлов, агломерации, территориально-производственных комплексов, городских и сельских поселений разного типа.
Получившая широкое признание теория полюсов роста усиливает теорию центральных мест В. Кристаллера, используя более современные достижения экономической науки (в частности, метд затраты — выпуск В. Леонтьева). Вместе с тем она во многих отношениях соприкасается с теорией производственно-территориальных комплексов Н.Н. Колосовского.
В основе идеи полюсов роста, выдвинутой французским экономистом Ф. Перроу, лежит представление о ведущей роли отраслевой структуры экономики, и в первую очередь лидирующих отраслей, создающих новые товары и услуги. Те центры и ареалы экономического пространства, где размещаются предприятия лидирующих отраслей, становятся полюсами притяжения факторов производства, поскольку обеспечивают наиболее эффективное их использование. Это приводит к концентрации предприятий, формированию полюсов экономического роста.
Западные экономисты показали, что в качестве полюсов роста можно рассматривать не только совокупности предприятий лидирующих отраслей, но и конкретные территории (населенные пункты), выполняющие в экономике страны или региона функцию источника инноваций и прогресса. По их определению, региональный полюс роста представляет собой набор развивающихся и расширяющихся отраслей, размещенных в урбанизированной зоне и способных вызывать дальнейшее развитие экономической деятельности во всей зоне своего влияния. Таким образом, полюс роста можно трактовать как географическую агломерацию экономической активности или как совокупность городов, располагающих комплексом быстро развивающихся производств.
Теоретические положения о полюсах развития используются во многих странах при разработке стратегий пространственного экономического развития. При этом идеи поляризованного развития по-разному приспосабливаются, когда речь идет о хозяйственно освоенных регионах или о новых регионах хозяйственного освоения. В первом случае поляризация происходит в результате модернизации и реструктуризации промышленных и аграрных регионов, создания в них передовых (инновационных) производств вместе с объектами современной производственной и социальной инфраструктуры.
Такой подход применялся во Франции, Нидерландах, Великобритании, Германии и других странах с достаточно высокой плотностью хозяйственной деятельности.
Во втором случае наиболее характерными полюсами роста становятся промышленные узлы и особенно территориально-производственные комплексы (ТПК), которые позволяют комплексно осваивать природные ресурсы, создавая технологическую цепочку производств вместе с объектами инфраструктуры. Основной экономический эффект достигается благодаря концентрации и агломерации.
Теория формирования территориально-производственных комплексов в новых регионах детально разработана учеными новосибирской школы. Эта теория использует математическое моделирование структуры, размещения и динамики ТПК. Она предполагет активное организационное и экономическое участие государства в создании ТПК посредством программно-целевого планирования и управления.
Пример использования теории в новых российских условиях — разработка федеральной целевой программы использования природных ресурсов Нижнего Приангарья.
В современной практике пространственного экономического развития идеи полюсов роста реализуются в создании свободных экономических зон, технополисов, технопарков.
Принцип функциональной дифференциации экономического пространства используется также в теориях (концепциях) взаимодействия центра (ядра) и периферии.
4.8. Межрегиональное экономическое взаимодействие
Современная теория межрегиональных экономических взаимодействий (или взаимодействия региональных экономик) интегрирует частные теории размещения производства и производственных факторов, межрегиональных экономических связей, распределительных отношений. Она использует результаты теории общего экономического равновесия и международной экономической интеграции. Математической базой теории являются многоцелевая оптимизация, теории корпоративных игр, группового выбора и др.
Как и прежде, сохраняется значительная близость теорий межрегиональных и международных экономических взаимодействий.
В системном анализе межрегиональных взаимодействий важнейшую роль играют три фундаментальных понятия: оптимум Парето ядро экономическое равновесие.
Оптимум Парето во многорегиональной системе — это множество вариантов развития экономики, которые нельзя улучшить для одних регионов, не ухудшая положения других. Но разные оптимальные, по Парето, варианты не одинаково выгодны для: отдельных регионов. Существуют возможности, что какие-либо регионы, действуя самостоятельно или в коалиции с другими регионами, могут достичь более выгодных для себя состояний.
Наиболее важным требованием при выборе взаимовыгодных вариантов для регионов является условие принадлежности к ядру.
Ядро многорегиональной системы представляет собой множество таких вариантов развития, в осуществлении которых заинтересованы все регионы в том смысле, что им невыгодно выделяться из системы, образуя коалиции. Ядро, если оно существует, состоит только из оптимальных, по Парето, вариантов.
Понятие экономическое равновесие в многорегиональной системе допускает много модификаций. Например, если каждый регион находит оптимальное решение исходя из интересов своего населения, то при каких условиях общего рынка (ценах обмена, тарифах, налогах и т.п.) сочетание региональных решений даст сбалансированное решение для всей системы регионов? Естественный случай экономического равновесия в системе регионов, когда для каждого из них сальдо межрегионального обмена, измеряемое в ценах равновесия, равно нулю.
Соотношение фактического, гипотетических и потенциальных состояний в двухрегиональной системе представлено на рис. 4.1. Предполагается, что органы регионального управления, выражающие интересы населения своего региона, стремятся найти такие экономические решения, которые при имеющихся возможностях наилучшим образом удовлетворяют потребности населения (максимизируют благосостояние).
Пусть уровни удовлетворения потребностей населения регионов 1 и 2 измеряются целевыми функциями, или целевыми показателями, f1 и f2 . Это могут быть, например, значения некоторого выбранного макропоказателя (ВВП, конечного потребления и т.п.).
Если каждый регион хозяйствует автономно (не вступает в межрегиональное сотрудничество), то максимально достижимыми значениями целевых показателей будут f10 и f20 . Точка Е характеризует состояние автаркического развития обоих регионов.
Пусть F — фактическое состояние, достигнутое в наблюдаемом году. Для региона 1 фактическое значение f1 есть сумма Of10 + EH; для региона 2 — фактическое состояние f2 есть сумма Of20 EH. При этом ЕН — величина эффекта, получаемого регионом 1 от кооперации с регионом 2 (или вклад региона 2 в целевой показатель региона 1); ЕС — величина эффекта, получаемого регионом 2 от кооперации с регионом 1 (или вклад региона 1 в целевой показатель региона 2).
Рис. 4.1. Фактическое состояние (F), граница Парето (AB),
ядро (CD), экономическое равновесие (М) в системе двух регионов
Максимально достижимые значения целевых показателей на рис. 4.1 характеризуются кривой АВ. Это оптимум по Парето.
Каждая точка кривой АВ — вариант, который нельзя улучшить для одного из регионов, не ухудшая положения другого.
Рамки для установления межправительственных перечислений
Нецелевые выравнивающие субсидии приобретают характер всеобщего разделения доходов. Формулы, применяемые для распределения выравнивающих поступлений для ОМС, играют огромную роль для функционирования системы, основанной на неограничивающих субсидиях.
В законодательстве Российской Федерации используются другие термины: дотации — бюджетные средства, предоставляемые бюджету другого уровня бюджетной системы Российской Федерации на безвозмездной и безвозвратной основах для покрытия текущих расходов; субвенции — бюджетные средства, предоставляемые бюджету другого уровня бюджетной системы Российской Федерации или юридическому лицу на безвозмездной и безвозвратной основах на осуществление определенных целевых расходов; субсидии — бюджетные средства, предоставляемые бюджет другого уровня бюджетной системы Российской Федерации, физическому или юридическому лицу на условиях долевого финансирования целевых расходов.
16.4. Рамки для установления
межправительственных перечислений
Отправным пунктом установления надежной и стабильной базы для финансов и, таким образом, для действий муниципалитетов в областях, находящихся в их компетенции, могут служить рекомендации министров Совета Европы. Рекомендации (№R (91)4, 1992) Выравнивание ресурсов между органами местного самоуправления рекомендуют правительствам стран-членов ЕС:
1) создать финансовые системы, которые выравнивают бремя местного налогообложения таким образом, что позволяют органам местного самоуправления, если они желают, предоставлять совершенно одинаковый ассортимент и уровень услуг, устанавливая при этом одинаковые ставки местного налогообложения;
2) удостовериться в том, что подобное выравнивание налоговых возможностей не подрывает местную автономию путем побуждения органов местного самоуправления на практике предоставлять одинаковый уровень услуг или применять одинаковые ставки налогообложения;
3) выработать мероприятия по выравниванию, чтобы как можно больше привлечь местные органы к участию, и если местный орган состоит более чем из одного уровня, то предусмотреть возможность применения целей выравнивания ко всему ассортименту местных услуг и ставок налогообложения в данной области;
4) при оценке нужд органов местного самоуправления на расходы принимать во внимание, по мере возможности, демографические, географические, социальные и экономические характеристики, которые приводят к различиям в затратах на них;
5) удостовериться в том, что расчет нужд с разными затратами не принимает во внимание разницы в эффективности;
6) основывать системы оценки нужд на объективных критериях, над которыми отдельные органы местного самоуправления не имеют прямого контроля;
7) помнить, что ради процесса выравнивания должна быть предпринята попытка соотнести значение, придаваемое индивидуальным показателям нужд, с объективным доказательством касательно цен из расчета за единицу;
8) поскольку оценки нужд включают в себя оценочные суждения относительно значения, придаваемого различным показателям нужд, идентифицировать и проверить подобные суждения, проконсультировавшись с представителями заинтересованных органов местного самоуправления или их ассоциациями;
9) принимая в расчет вышеперечисленные требования, для создания атмосферы понимания и подотчетности стремиться к тому, чтобы модели оценки нужд были как можно более упрощенными;
10) удостовериться в том, что оценки нужд сохраняют свою стабильность как посредством ограничения ввода изменений в информацию, используемую на протяжении одного года, так и путем недопущения модификаций в методе оценки из года в год. Таким образом, изменения в оцененных нуждах отражают реальные изменения ситуации в органах местного самоуправления;
11) помнить: менее вероятно то, что выравнивание с помощью субсидий может создать неблагоприятную ситуацию между местными органами, но там, где возможности местного налогообложения варьируют настолько значительно, что полное выравнивание ресурсов обходится слишком дорого, чтобы его можно было достичь с помощью правительственных субсидий, попытаться предпринять меры по разделению ресурсов, при котором часть налоговых доходов богатых органов переходит к менее богатым;
12) там, где существует более одного местного налога, признать необходимость в выравнивании каждого налога до тех пор, пока ни один налог не будет доминирующим и местные органы практически не будут обладать полномочиями относительно баланса между различными налогами;
13) признать, с одной стороны, несовершенство как инструмент выравнивания определенных субсидий, выделяемых как фиксированный процент от стоимости определенного вида услуг, а с другой — угрозу свободе местной политики, состоящую в дифференцированных определенных субсидиях, приспособленных к нуждам в расходах для отдельных органов (кроме того, когда местный орган должен выполнять представительскую функцию, предписанную федеральным/региональным правительством, что не может быть профинансировано общей субсидией);
14) не отвергая вложения, которое могут составить определенные субсидии, отдавать предпочтение во многих случаях общим субсидиям по причине их всестороннего подхода к выравниванию и вследствие их большей гибкости;
15) в целом выработать мероприятия по выравниванию ресурсов по мере возможности, чтобы создать общие стимулы для действий, соответствующих целям системы развития МСУ.
16.5. Цели финансовых отношений между различными
уровнями управления в Российской Федерации
Для органов местного самоуправления в Российской Федерации целью мер по распределению межправительственных денежных перечислений является создание условий для повышения эффективности деятельности местных органов. Это будет способствовать как установлению лиц, избегающих уплаты налогов, так и развитию базы налогообложения для каждого федерального налога, проценты с которого должны поступать в местные бюджеты. Данные мероприятия приведут к росту доходов на всех уровнях бюджетной системы.
К тому же четкая фиксация собственных источников дохода в пользу муниципальных образований (включая процент федеральных налогов, установленный на постоянной и долгосрочной основе) позволит местным органам осуществить долгосрочное планирование экономического и социального развития муниципальных образований, стабилизировать социальную и политическую ситуацию в регионах и восстановить доверие населения к правительственным структурам.
Отсутствие регулирования межбюджетных отношений создает настроение зависимости в бюджетной сфере, тем самым убивая мотивацию соответствующих государственных органов власти и местных органов к расширению собственной доходной базы и препятствуя долгосрочному экономическому планированию и развитию территорией, и более того, усугубляя сложную ситуацию обыкновенных россиян, подавляющее большинство которых проживает и работает на территориях муниципальных образований.
Предлагаемые меры преследуют несколько основных целей.
1. Стабилизировать местные бюджеты и сохранить социальный и политический баланс на территориях муниципальных образований Российской Федерации.
2. Нормализовать отношения между бюджетами всех уровней (федеральный — региональный, федеральный — местный, региональный — местный) на данном этапе и в ближайшем будущем.
3. Повысить уровень сбора налогов и иных платежей, прежде всего путем увеличения ответственности и активности местных органов власти в области развития доходной базы местных бюджетов и бюджетов на других уровнях.
4. Создать базу для будущего построения эффективной системы межбюджетных отношений и налогового законодательства, обеспечив политическую и экономическую интеграцию государства во взаимодействии с реальным федерализмом и реальным местным самоуправлением в Российской Федерации.
Важное значение в достижении перечисленных целей играет совместное рассмотрение органами государственной власти и органами местного самоуправления дополнений к целому пакету законов и постановлений, которые в целом устанавливают финансовые рамки. Это позволит создать в ближайшем будущем в сфере межбюджетных отношений оптимальную систему формирования бюджетов всех уровней.
Государственная политика в сфере местного самоуправления утверждена Указом Президента РФ № 1370 от 5 октября 1999 г. Об утверждении основных положений государственной политики в области развития местного самоуправления в Российской Федерации. Указ устанавливает систему концепций, относящихся к целям, приоритетам, задачам и принципам государственной политики в области развития местного самоуправления, а также механизм ее внедрения.
Раздел 2 этого документа отмечает, что в ряде случаев местные органы не имеют возможности осуществлять свои полномочия, обусловленные Конституцией РФ, в частности в том, что касается формирования, утверждения и исполнения местных бюджетов, установления местных налогов и сборов, управления муниципальной собственностью. Более того, в городских, сельских поселениях и на других территориях, где отсутствуют органы местного самоуправления, не могут собираться местные налоги и сборы, поскольку правом на их установление обладают исключительно представительные органы местного самоуправления.
РЕГИОНАЛЬНОЕ РАЗВИТИЕ: ЦЕЛИ, КРИТЕРИИ И МЕТОДЫ УПРАВЛЕНИЯ
непосредственного воздействия регионального менеджмента правомерны лишь в отношении объектов региональной собственности. Для всех других объектов эффективными могут быть только методы опосредованного воздействия, и прежде всего, стимулирования деятельности субъектов хозяйствования.
Стимул, как известно, активный побудитель деятельности предприятий и организаций любых форм собственности. Стимулирующая функция регионального менеджмента дает субъекту управления мощные средства для реализации интересов региона, муниципальных образований, предприятий и организаций, социальных групп. Таким образом, сущность функции стимулирования заключается в целенаправленном воздействии субъекта управления на социально-экономические процессы региона через опосредованное воздействие на все объекты, функционирующие на территории региона. Так, администрация области не может обязать предприятие, относящееся к федеральной, муниципальной или другой форме собственности, выделить средства, например, для строительства какого-либо объекта (даже социально значимого и необходимого) общерегионального значения.
Однако администрация области может заключить с этим предприятием договор, в соответствии с которым предприятие обеспечит какую-то часть финансирования строительства, а администрация создаст ему определенные стимулирующие условия хозяйствования освободит от налога на прибыль (части, причитающейся областному бюджету), предоставит льготные условия водо-, энергопользования и т.д.
Рассматривая функциональную структуру регионального менеджмента, следует хотя бы кратко остановиться на проблеме взаимодействия функций субъектов управления на федеральном, региональном и муниципальном уровнях. Как отмечалось ранее, перераспределение и взаимодействие функций указанных субъектов управления осуществляется на основе принципа выделенной компетенции.
Этот принцип, в корне отличающийся от традиционного принципа разграничения функций, не получил освещения ни в отечественной, ни в зарубежной литературе. Дальнейший отказ от использования указанного принципа в российской практике региональных реформ это мощный фактор их сдерживания.
Следует отметить, что и в условиях планово-директивной системы управления хозяйством регионов проблема разграничения функций всегда стояла очень остро. К сожалению, от старой болезни не могут пока избавиться и высшие органы государственной власти новой России, пытаясь искусственно разграничить функции управления между исполнительными и законодательными (представительными) органами, между регионами и центром, между субъектами федерации и муниципальными структурами.
Между тем в странах с рыночной экономикой давно отказались от принципа разграничения функций, взяв на вооружение его противоположность принцип выделенной компетенции. Суть этого принципа состоит в наделении каждого субъекта управления точно очерченными функциями, которые законодательно закрепляются за ним. При этом для реализации каждой функции закон устанавливает соответствующие объемы ресурсов и их источники.
Таблица 6.1
Полнота реализации1 функций различными субъектами управления в странах с разным типом государственного устройства
Функции
|
А
|
Б
|
В
|
1
|
2
|
3
|
1
|
2
|
3
|
1
|
2
|
3
|
1 . Жилищное хозяйство
|
++
|
+
|
+
|
+
|
++
|
+
|
|
+
|
++
|
2. Торговля и бытовое обслуживание,
продовольственное обеспечение
|
+
|
++
|
|
|
++
|
+
|
|
|
++
|
3. Здравоохранение
|
+
|
++
|
|
|
+++
|
|
|
+
|
++
|
4. Народное образование
|
+
|
++
|
|
|
+++
|
|
|
++
|
++
|
5. Транспорт и связь
|
+
|
++
|
|
|
+++
|
|
|
+
|
++
|
6. Энергоснабжение и водоснабжение
|
++
|
+
|
+
|
+
|
++
|
+
|
|
++
|
+
|
7. Строительство жилья и объектов городского хозяйства
|
++
|
+
|
|
|
+++
|
+
|
|
+
|
++
|
8. Охрана окружающей среды
|
++
|
+
|
+
|
|
++
|
+
|
|
|
++
|
9. Культура и досуг
|
+
|
++
|
|
|
+++
|
|
|
+++
|
+
|
10. Землепользование
|
+++
|
|
|
+
|
++
|
|
|
+++
|
|
11. Охрана правопорядка
|
+
|
++
|
|
+
|
++
|
|
+
|
++
|
|
12. Занятость и рынок труда
|
++
|
|
|
+
|
++
|
|
|
++
|
+
|
13. Социальная защита
|
+++
|
|
|
+
|
++
|
|
+
|
+++
|
|
14. Финансы и налоговая политика
|
+++
|
|
|
++
|
+
|
|
+
|
++
|
|
15. Планировка и застройка населенного пункта
|
+
|
++
|
|
+
|
++
|
|
|
+++
|
|
16. Поддержка рыночных структур и предпринимательства
|
|
|
|
++
|
+
|
|
+
|
++
|
++
|
17. Внешнеэкономическая деятельность
|
+++
|
|
|
++
|
+
|
+
|
+
|
+
|
++
|
В табл. 6.1 приняты следующие обозначения:
А в странах с централизованными экономикой и управлением;
Б страны с переходной экономикой и реформируемой системой управления (Россия);
В в странах с развитой рыночной экономикой и развитым местным самоуправлением;
1 государство;
2 местные органы;
3 население;
(+++) функция практически в полном объеме реализуется данным субъектом;
(++) функция реализуется частично;
(+) объем полномочий в рамках данной функции незначителен;
() полномочия по реализации данной функции у субъекта практически отсутствуют2.
Кардинальное отличие принципа выделенной компетенции заключается в том, что если в российской практике разграничение функций осуществляется между различными сферами деятельности и между различными отраслями хозяйства, то в зарубежной каждый субъект хозяйствования наделяется определенной компетенцией в сфере деятельности или в каждой отрасли хозяйства (табл. 6.1).
В России, например, в сфере образования все субъекты управления (федеральные, региональные, муниципальные) занимаются всеми ее объектами. Руководство общеобразовательной средней школой осуществляют министерства (в республиках), краевые (областные) управления или департаменты образования, районные (городские) отделы народного образования. Таким образом, в условиях, казалось бы, четкого разграничения функций между сферами внутри этих сфер у нас действует принцип «все занимаются всем».
Например, в странах Западной Европы муниципалитет несет ответственность только за состояние средней школы. В нашей стране, если на территории какого-либо города или района находится вуз или профессионально-техническое училище, то глава местной администрации несет за них ответственность наравне с региональными и федеральными органами управления.
Необходимость реализации принципа выделенной компетенции обусловлена ограничивающими факторами рыночного регулирования регионального и муниципального хозяйства. Региональный и муниципальный менеджмент сами по себе не гарантируют социально-экономическую стабильность в стране, не устраняют дифференциации уровней и качества жизни населения регионов и муниципальных образований. В этих условиях принцип выделенной компетенции становится одним из эффективных инструментов реализации государственной региональной социально-экономической политики.
Как отмечалось, компетенция субъектов управления каждого уровня в странах Западной Европы закреплена соответствующими законами.
Например, в Германии принцип выделенной компетенции реализуется на трех уровнях: федеральном, региональном (земля) и локальном (коммуна). Их субъекты управления осуществляют функции в строгом соответствии с принципом выделенной компетенции и объемом средств, предназначенных для реализации этих функций. Анализ данных, приведенных в табл.
6.2, позволяет еще раз убедиться в целесообразности использования принципа выделенной компетенции в процессе формирования и развития механизма взаимодействия федеральных, региональных и муниципальных органов управления.
Контрольные вопросы
1. Почему важно формировать региональный менеджмент?
2. Раскройте принципы и методы регионального менеджмента.
3. Каковы функции регионального менеджмента и механизм их реализации на федеральном, региональном и муниципальном уровнях?
Таблица 6.2
Полнота реализации функций различными субъектами управления и расходы, закрепленные в бюджете в соответствии с принципом выделенной компетенции федерации, земель и коммун
Сфера
выделенной компетенции
|
Сумма средств
|
Таксономические уровни
|
млрд.
ДМ
|
федерация
|
земля
|
коммуна
|
всего
|
млрд. ДМ
|
%
|
млрд. ДМ
|
%
|
млрд.
ДМ
|
%
|
1. Содержание
администрации
|
38,7
|
8,5
|
22,0
|
13,9
|
36,0
|
16,3
|
42,0
|
2. Внешнеэкономическая деятельность
|
24,0
|
24,0
|
100
|
|
|
|
|
3. Оборона
|
55,2
|
55,2
|
100
|
|
|
|
|
4. Общественный
порядок и безопасность
|
21,9
|
2,0
|
9,0
|
13,8
|
63,0
|
6,1
|
28,0
|
5. Правосудие
|
11,2
|
0,4
|
4,0
|
10,8
|
96,0
|
8,0
|
|
6. Школы
|
58,3
|
|
|
44,1
|
76,0
|
14,0
|
24,0
|
8. Наука, НТП
|
12,6
|
9,6
|
76,0
|
2,7
|
21,0
|
0,3
|
3,0
|
9. Культура
|
9,0
|
0,2
|
2,0
|
4,1
|
46,0
|
4,7
|
52,0
|
10. Социальное
обеспечение
|
539,0
|
478,0
|
89,0
|
23,2
|
4,0
|
37,9
|
7,0
|
11. Здравоохранение, спорт
|
48,1
|
2,2
|
5,0
|
12,0
|
25,0
|
33,9
|
70,0
|
12. Жилье, жилищное строительство, охрана окружающей среды
|
42,8
|
2Д
|
5,0
|
10,7
|
25,0
|
30,0
|
70,0
|
13. Сельское хозяйство
|
17,4
|
12,8
|
74,0
|
4,2
|
24,0
|
0,4
|
2,0
|
14. Энерговодоснабжение, грузоперевозки
|
27,2
|
17,6
|
65,0
|
7,7
|
28,0
|
1,9
|
7,0
|
1 5. Связь
|
32,4
|
14,6
|
45,0
|
9,2
|
28,0
|
8,6
|
27,0
|
Региональный потенциал расширенного воспроизводства
Однако разведка полезных ископаемых, мероприятия по охране окружающей среды, восстановление лесных и земельных ресурсов в том или ином регионе зачастую требуют привлечения средств из других регионов страны. Поэтому можно считать, что воспроизводство даже природных ресурсов региона является результатом объединения усилий всех территориальных звеньев национального хозяйства. Эти ресурсы могут быть оценены в стоимостной форме, а именно в виде затрат общества на возмещение выбывших в процессе производства основных фондов, на текущее производственное потребление, производственное и непроизводственное накопление, на личное и общественное потребление в регионе. Вместе с тем в некоторых случаях такая оценка сопряжена с рядом проблем.
Например, при определении эффективности воспроизводства в регионе основных производственных фондов простое отношение ввода фондов к затратам живого и овеществленного труда практически ничего не покажет, так как первая величина в условиях сложившейся системы ее измерения будет расти пропорционально второй — сметной стоимости строительства. Для учета региональной специфики в данном случае приходится использовать специальные коэффициенты удорожания строительно-монтажных работ и оборудования, которые достаточно сложно свести воедино.
Значительно шире область применения затратного способа оценки воспроизводственных расходов в тех случаях, когда результат процесса воспроизводства выражается в натуральных величинах: численности занятых, весовом объеме потребляемых материальных ресурсов и т.п. Однако более универсальной представляется все же ресурсная характеристика эффективности процесса воспроизводства региональных производственных ресурсов, при которой ведется учет не затрат труда на воспроизводство того или иного ресурса, а расхода на эти цели всей совокупности производственных ресурсов общества. На наш взгляд, такой подход в большей мере отвечает задаче поиска путей ускорения процесса интенсификации региональной экономики.
Последний этап движения производственных ресурсов завершается созданием и поддержанием на необходимом уровне потенциала их расширенного воспроизводства в регионе. Здесь речь идет о пяти важнейших предпосылках дальнейшего экономического роста региона: населении, природных ресурсах, основных производственных и непроизводственных фондах, финансовых ресурсах, производственных запасах. Они представляют собой основу формирования производственных ресурсов или собственно производственного потенциала региона: рабочей силы, средств и предметов труда.
И вместе с тем названные элементы в определенном смысле могут рассматриваться как конечный результат регионального воспроизводства во всех его проявлениях, поскольку по своему объему они в значительной мере совпадают с национальным богатством в широком его понимании.
Реализация регионального потенциала расширенного воспроизводства производственных ресурсов протекает в условиях возможного межрайонного перераспределения населения и трудовых ресурсов, временного использования производственных мощностей строительных и транспортных организаций одной республики на территории другой и т.п.
Следующий этап воспроизводства производственных ресурсов связан уже с их использованием в процессе производства. Таким образом, производственные ресурсы совершили свой полный оборот. Его внутреннюю структуру можно представить в виде нескольких стадий (рис.
13.2). На первой и второй стадиях в ходе производственного потребления в регионе создается общественный продукт. Затем он распределяется и перераспределяется (обменивается) согласно народнохозяйственным и региональным потребностям.
Перейдем к анализу воспроизводственного цикла по фазам.
Среди стадий воспроизводства исходным моментом, предопределяющим обмен, распределение и потребление, является производство. На этой стадии создается продукция, следовательно, формируются состав и структура общественного продукта. Роль территории в производстве проявляется прежде всего в том, что процесс представляет собой взаимодействие человека с природой, воздействие человека на вещества и силы природы.
Как было показано выше, воспроизводство и природных ресурсов, и рабочей силы имеет преимущественно территориальный характер. Гораздо менее значительно, но имеет место также территориальное воспроизводство средств производства. Целью производства является удовлетворение потребностей общества в определенных видах продукции.
Если речь идет о промежуточной продукции, продукции производственно-технического назначения, то для нее, как правило, отсутствуют особые региональные потребности. В случае конечной продукции, продукции, идущей на нужды населения, напротив, общественные потребности приобретают специфический характер, обусловленный национальными, демографическими и другими особенностями данной территории.
В целом роль территории в процессе производства заключается в непосредственном соединении всех факторов производства и формировании на этой основе производственных циклов разной степени полноты.
На стадии распределения регионы активно участвуют как в распределении факторов производства, так и в распределении его результатов. В первом случае путем создания благоприятных условий для привлечения рабочей силы, стимулирования приоритетных, по мнению местных органов власти, производств регионы стремятся получить дополнительные трудовые ресурсы и капитал. Во втором случае регионы участвуют в распределении и перераспределении общественного продукта, национального дохода, а также формируют свои бюджеты.
Их интересы заключаются в безусловной максимизации долей в общественном продукте и национальном доходе, повышении показателя бюджетной обеспеченности в расчете на одного жителя региона при одновременном абсолютном и относительном увеличении закрепленных за территорией бюджетных источников (таких, например, как подоходный налог с населения). Тем самым регионы получают возможность влиять на объем и структуру доходов участников воспроизводственного процесса и опосредованно — на формирование их потребностей. Отражением их воздействия на факторы и результаты производства служит территориальная дифференциация уровней платежей, заработной платы, предпринимательских доходов и процента.
В настоящее время у нас в стране она достигает довольно значительных размеров (до сотен процентов), хотя это объясняется, по-видимому, главным образом трудностями формирования единого общенационального рынка.
В сфере обмена на основе внутрирегионального разделения труда и его кооперации складываются, как указывалось выше, региональный и локальный рынки. Они включают в себя рынки: потребительский, средств производства, финансовый, рабочей силы, информации. Отметим также, что регионы можно рассматривать как специфичные части общенационального рынка всех видов ресурсов.
В сфере потребления территориальные границы являются решающим фактором удовлетворения потребностей и завершения процесса воспроизводства. Достаточно сказать, что все так называемое непроизводительное потребление (личное и общественное потребление населением товаров, услуг, духовных ценностей; непроизводительное потребление отраслей общественного хозяйства) сконцентрировано в регионах. Производительное потребление факторов производства (средств производства и рабочей силы) отдельными предприятиями и организациями тоже происходит всегда на фиксированной территории.
Таким образом, потребление может вообще рассматриваться как специфическая функция регионального воспроизводства.
Производственные ресурсы региона
|
Рабочая сила
|
Средства труда
|
Предметы труда
|
Численность занятых
|
Производственные фонды
|
Основные
|
Оборотные
|
|
Ў
|
|
Затраты общественного труда
|
Живого труда
|
Овеществленного труда
|
Вновь созданная стоимость
|
Перенесенная стоимость
|
|
Ў
|
Произведенная в регионе продукция
|
Чистая продукция
|
Материальные затраты
|
Предметы потребления
|
Средства производства
|
Денежные средства Ў Средства производства
Используемая в регионе продукция
|
Фонд потребления
|
Фонд накопления
|
Фонд возмещения
|
Фонд реальных
доходов
|
Капвложения в непроизводственную сферу
|
Прирост
материальных запасов
|
Капвложения производственного назначения
|
Фонд
возмещения материальных
затрат
|
Средства производства Ў Предметы потребления
Предметы потребления Ў Денежные средства
Прибытие населения Ў Выбытие населения
и трудовых ресурсов Ў и трудовых ресурсов
Региональный потенциал расширенного воспроизводства производственных ресурсов
|
Население
|
Финансовые ресурсы
|
Природные
ресурсы
|
Основные непроизводственные
фонды
(в том числе введенные в данный период)
|
Основные
производственные фонды (в том числе введенные в данный
период)
|
Материальные ресурсы
(запасы)
|
Трудовые
ресурсы
|
Ў
Ў
|
Производственные ресурсы региона
|
Рабочая сила
|
Средства труда | Предметы труда
|
Численность занятых
|
Производственный фонд
|
Основные | Оборотные
|
Рис. 13.2. Схема и исходные параметры системы показателей воспроизводства производственных ресурсов региона
Сфера национальной экономики
• психология предпринимательства включает такие личностные особенности, как динамизм, склонность к риску, идейная свобода и такое, свойственное в первую очередь американцам качество, как способность после провала начать все с нуля.
В. Зомбарт подразделяет предпринимателей на завоевателей, организаторов и торговцев. Каждому виду соответствуют характерные черты: уверенность в себе, настойчивость и воля заметны у первых; умение соединять людей в трудовом процессе — у вторых; способность завоевать доверие и расположить к себе, побуждая людей к покупкам, — у третьих. Ученый связывает склонность к предпринимательству того или иного вида с национальной принадлежностью.
Богатство фактического материала, поражающая интуиция и блестящее перо В. Зомбарта до сих пор привлекают внимание читателей. В то же время у него встречаются спорные идеи. Размышляя над будущим социальным плюрализмом, т.е. естественной множественностью вариантов социального развития, он вместе с тем настаивает на необходимости государственного контроля и планирования индустриального прогресса. Идеал для Германии состоит, по его мнению, в системе государственного капитализма.
В 1915 г. вышла книга В. Зомбарта Герои и торговцы, где торговцам — англосаксам противостояла героическая германская нация.
Институциональное направление в общественной науке, родиной которого являются США, разделяет по сути дела многофакторный подход исторической школы. Институционалисты считают экономику сердцевиной многообразных общественных процессов и институтов (государственных форм, законодательства, политических организаций, обычаев, образа мыслей и психологического склада). Но все же большая часть ученых-экономистов прошлого и настоящего пропагандирует рыночные начала в организации экономики и воспевает те или иные принципы, присущие различным типам рыночной экономики и придающие определенную специфику организации воспроизводственных процессов в разных странах.
Говоря о реальной экономике, мы прямо или косвенно подразумеваем организованный способ ведения процессов воспроизводства отношений, материальных благ (товаров, услуг) на территориях стран, регионов, корпораций и т.д. Характер организации воспроизводственных процессов зависит от ряда факторов и в первую очередь от специфики территорий, национальных особенностей, обеспеченности ресурсами, что предопределяет специфику ведения хозяйства и разнообразие типов рыночных экономик.
С воспроизводственных позиций можно дать такое определение понятия национальной экономики: это сфера, в которой организуются процессы производства, распределения, перераспределения, обмена и потребления в рамках национального государства, т.е. сфера, ограниченная рамками государственности, где организуются воспроизводственные процессы. Схематично сформулированное понятие можно отобразить следующим образом (рис. 1.1).
Рис. 1.1. Сфера национальной экономики
1.2. Понятия регион, экономический район
Актуальность рассмотрения проблемы разграничения понятий и определений, выяснение сущностного содержания некоторых экономических категорий обусловливаются возросшей ролью регионального управления, становлением местного самоуправления, влиянием территориальных организаций на социально-экономическое развитие территорий. В связи с этим необходимы:
• учет местных ресурсов и специфики при выработке критериев, методики и инструментария управления использованием социально-экономического потенциала;
• опора на экономическое состояние и уровень развития муниципальных образований и регионов;
• страхование от влияния на происходящие процессы внутренних и внешних факторов, без чего невозможны высокоэффективная организация управления и принятие решений местными органами власти и управления. Проблемы совершенствования управления социально-экономическим потенциалом в целях ускорения социально-экономического развития регионов, муниципальных образований в процессе регионального воспроизводства в условиях децентрализации — тема новая, мало изученная в отечественной науке и практике.
Отечественная экономическая наука с 70-х годов истекшего столетия основное внимание уделяла изучению теории и разработке практических рекомендаций, касающихся регионального воспроизводства и управления ресурсами. Вместе с тем многие вопросы интенсификации использования потенциала развития муниципальных образований, разработки жизнеспособных моделей эффективного использования местных ресурсов остаются недостаточно изученными и дискуссионными в науке и злободневными — в практической деятельности. В их числе:
• эффективность управления социально-экономическим потенциалом в регионах;
• соотношение местных, региональных и федеральных интересов;
• формирование местных и региональных рынков и их инфраструктуры;
• инвестиционная политика;
• управление имуществом при различных формах собственности;
• повышение эффективности использования местных pecypсов;
• интенсификация использования ресурсов и другие проблемы.
Что касается вопросов отработки методики оценки влияния специфики территориальной организации и развитости социально-экономического потенциала на финансово-экономическое состояние муниципальных образований и регионов, выработки инновационных подходов в управлении экономическим развитием учетом объективных внешних и внутренних факторов, то они сегодня остаются на уровне дискуссий.
К числу наиболее существенных причин, оказавших заметное влияние на темпы перехода России к рыночным отношениям, весь ход социально-экономических преобразований в стране, носится явная недооценка территориального (регионального) фактора. Процесс децентрализации государственного управления идет медленно, нередко встречая сопротивление центра. В то же время, получив значительные полномочия, ряд регионов (субъектов Федерации) становится на путь сепаратизма, нарушений конституционных основ политической целостности государства.
Нередки факты, когда принятые субъектами Федерации законодательные акты противоречили Конституции Российской Федерации.
Исключительная важность действительно научного обеспечения радикальных рыночных преобразований, создания (сохранения) единого рыночного пространства в сочетании с формированием региональных рынков, с развитием местного самоуправления определила острую необходимость более углубленного изучения вопросов повышения эффективности деятельности органов государственной власти и местного самоуправления в сфере регионального управления.
В данном курсе нам предстоит изучить две главные проблемы регионального развития:
1) формирование и функционирование социально-экономического комплекса региона;
2) региональное управление (политическое, экономическое, социальное, экологическое) в новых условиях.
Такое изучение предполагает региональный анализ всех факторов и явлений, воздействующих на региональное развитие: исторических, природно-ресурсных, этнических, религиозных, экологических, политических, а также внутрирегиональных и межрегиональных связей. Мы обратимся к научным методикам, использующим управленческие и юридические науки, экономическую историю, экономическую и социальную географию, демографию, социологию, статистику, религиоведение, этнографию, экологию и т.д.
Рассматривая методологические аспекты, важно определиться с понятийным инструментарием, и в первую очередь с понятием регион. Дело в том, что и в нашей, и в зарубежной научной литературе нет четкого определения данного понятия, что является одной из причин многообразия направлений и методологических концепций в современных региональных исследованиях в России и за рубежом.
В экономической литературе чаще всего фигурируют два понятия региона, причем довольно часто между понятиями регион и район ставится знак равенства. Так, ряд авторов под регионом подразумевают определенную часть народнохозяйственного комплекса страны, отличающуюся географическими условиями и природно-ресурсной специализацией. Эти районы являются относительно замкнутыми как в производственно-техническом, так и в экономическом отношениях.
Другие под регионом понимают единицу административного деления страны: край, область, город.
Зарубежные ученые-регионоведы трактуют понятие регион по-своему. Признавая существующую путаницу в определении понятий регион и район, американские профессора П. Джеймс и Дж. Мартин в своем капитальном исследовании Все возможные миры пишут: Обычно под словом регион понимается целостный участок территории, отличающийся некоторой однородностью в своей основе, но не обладающий четкими границами. Более того, это слово часто употребляют для обозначения весьма больших территорий, образующих главные подразделения континентов. Но в профессиональном языке географов, используемом здесь, слово регион, или район, применяют по отношению к территориям самой разной площади, которые характеризуются определенной однородностью, являющейся специфической и служащей основанием для того, чтобы выделить эти территории.
В работах американских ученых, впрочем, как и отечественных исследованиях, встречаются различные определения понятия район. Так, профессор Гарвардского университета Грае писал: Мы можем определить государство.
Социально-финансовые группы муниципальных образований
Возникает ситуация, при которой каждый житель МО (города или района) может заявить: это моя муниципальная социально-финансовая группа, это мой муниципальный банк, это моя страховая компания, это мое предприятие и т.д. При такой организации финансовой ответственности населения и наемных работников (руководителей и специалистов-jисполнителей), даже в случае нанесения убытков или банкротства предприятий, последствия не столь катастрофичны. В условиях корпоративной экономики это не является особо сложной проблемой, так как банкротство предприятия (организации) не является частным делом, да и большие убытки в практике СФГ МС возможны в очень редких случаях, поскольку акционеры, их представительные органы смогут оперативно корректировать экономический курс корпорации.
10.3. Социально-финансовые группы муниципальных
образований управленческая основа
корпоративной экономики
Муниципальное образование как корпорация представляет по сути социально-финансовую группу. Главная функция СФГ МО обеспечение интересов населения, а главная задача корпоративного управления организация оптимальных взаимоотношений участников.
Акционерный и заемный капитал СФГ МО представляют собой лишь один из типов инвестиций, а именно финансовый капитал. В то же время ряд участников инвестируют другие формы капитала (например, работающие по найму работники вкладывают «человеческий капитал», в том числе интеллектуальный).
У населения-акционеров, заинтересованных в уровне и качестве управления корпорацией, имеются в распоряжении несколько внешних механизмов, к каковым относятся Фонд «СЭПИН» рынки, которые могут помочь поставить под контроль деятельность менеджмента. Роль этих механизмов в различных схемах корпоративного управления определяется конкретными условиями и возможностями МО.
Фонд «СЭПИН» некоммерческая общественная организация, созданная при участии администрации МО. В СФГ МО он выполняет роль управляющей компании и представляет собой, но сути фонд населения-акционеров, передавших акции в доверительное управление.
В функции Фонда «СЭПИН» входит выравнивание различий между разными структурами корпорации участниками СФГ МО, в то время как советы директоров каждой из структур разрабатывают и реализуют стратегию, направленную на гармонизацию интересов всех участников.
В предложенном виде СФГ МО это свободные социально-финансовые структуры, которые не являются авторитарно учрежденными государством структурами. Они представляют собой наиболее дееспособные и самостоятельные органы экономической жизни, работающие в интересах населения города или района.
Роль СФГ МО может быть особенно значимой в настоящий момент, когда необходимы оперативная мобилизация ресурсов, их концентрация и эффективное перераспределение в ключевые сферы науки, техники, производства.
В сложившихся условиях хозяйствования важнейшими задачами СФГ МО являются:
сертификация социально-экономического состояния муниципальных образований, мониторинг социально-экономического потенциала населения;
развитие местной финансовой инфраструктуры, работающей на население;
организация местного производства товаров, продуктов и услуг с учетом территориальных особенностей и возможностей, развитие семейного и малого предпринимательства;
обеспечение занятости населения, открытие дополнительных рабочих мест;
разработка стандартов в области социального обслуживания населения, создание эффективной системы контроля за предоставлением социальных услуг;
внедрение оптимальных моделей территориальных социальных служб;
концентрация инвестиционных ресурсов на приоритетных направлениях развития экономики;
формирование рациональных технологических и кооперационных связей в условиях рыночной экономики, развитие конкурентной экономической среды;
защита приватизируемых промышленных предприятий путем передачи пакетов акций в собственность СФГ МО.
Таким образом, под социально-финансовой группой как организационной формой реализации принципа корпоратизма понимается официально зарегистрированное объединение коммерческих организаций, кредитно-финансовых учреждений и инвестиционных институтов, объединение капиталов которых проведено в порядке и на условиях, предусмотренных уставом.
Участниками СФГ МО являются население, корпоративные коммерческие организации и финансовые институты, предприятия любой организационно-правовой формы независимо oт вида собственности, а также иные учреждения, инвестиционные институты и организации, в том числе иностранные.
В составе участников СФГ МО можно выделить три группы институтов и организаций, объединенные общими для них целями.
1. Финансовая группа, включающая банки, страховые компании, негосударственные пенсионные фонды, компании по управлению активами и другие финансовые институты.
2. Производственная группа, объединяющая предприятия, исследовательские, опытно-конструкторские и другие учреждения.
3. Коммерческая группа, в состав которой входят сбытовые, торгово-закупочные и другие обслуживающие обеспечивающие организации.
СФГ МО, являясь юридическим лицом:
выражает корпоративные интересы населения МО;
существует независимо от состава его участников (может существовать бессрочно);
обладает самостоятельной волей, не всегда совпадающей с волей отдельных ее участников;
имеет имущество, обособленное от имущества участников;
несет самостоятельную ответственность по своим обязательствам закрепленным за ней имуществом;
вправе совершать от своего имени сделки, не запрещенные законом;
может взыскивать и отвечать в органах юрисдикции от своего имени.
Такая трактовка СФГ МО имеет свое экономическое обоснование. За рубежом и в нашей стране они появились как форма удовлетворения общественной потребности в механизме аккумулирования капиталов, необходимых для обеспечения роста качества уровня жизни населения сообщества (муниципального образования).
Сущность СФГ МО заключается в том, что это экономическое единство самостоятельных хозяйствующих субъектов. Механизм СФГ МО используется для достижения множества корпоративных интересов в различных социально-экономических сферах жизни сообщества (населения).
Среди основных принципов, определяющих порядок создания СФГ МО, можно выделить следующие:
добровольное вхождение организаций в состав групп;
многовариантность и индивидуальный характер проектов создания каждой СФГ МО на основе единой нормативно-правовой базы как в форме учреждения участниками группы акционерного общества (открытого или закрытого), так и на основе холдинговых или трастовых отношений;
использование разнообразных организационно-правовых форм интеграции финансового, коммерческого и торгового капиталов на основе взаимной заинтересованности в результатах совместной деятельности в качестве определяющего условия создания групп;
государственное содействие и поддержка создания и функционирования СФГ МО, инвестиционные проекты и программы которых отвечают целям и приоритетам социально-экономической политики на основе договоров о партнерстве и взаимной ответственности между СФГ МО, администрациями субъектов Российской Федерации и муниципальными образованиями. Формы государственной поддержки СФГ МО могут быть разнообразными, учитывающими специфику как общей экономической ситуации, так и деятельности конкретных групп.
Правовое положение акционерного общества, права и обязанности акционеров определяются Гражданским кодексом РФ и Федеральным законом «Об акционерных обществах».
Взносы в уставный капитал, создаваемой СФГ МО, могут быть представлены:
денежными средствами в рублях и иностранной валюте, ценными бумагами;
зданиями, сооружениями, оборудованием, а также другими материальными ценностями;
правами пользования землей, водой и другими природными ресурсами;
интеллектуальной собственностью.
При создании СФГ МО инициаторы должны решить ряд управленческих проблем, основными из которых являются:
подбор заинтересованных потенциальных участников, нахождение способов удовлетворения их экономических интересов в рамках совместной деятельности;
формирование единой взаимоприемлемой стратегии поведения на различных рынках: финансовом, товарном, труда и др.;
формирование достаточного начального капитала;
разработка эффективного механизма наращивания собственного капитала;
выбор оптимальных организационно-правовых форм, методов руководства совместной деятельностью и взаимосвязи участников.
СФГ МО формируются в добровольном порядке или в порядке консолидации пакетов акций путем:
учреждения участниками группы акционерного общества открытого типа;
передачи участниками группы находящихся в их собственности пакетов акций входящих в группу предприятий и финансово-кредитных учреждений в доверительное управление одному из участников группы;
приобретения одним из участников группы пакетов акций других предприятий, а также учреждений и организаций, становящихся участниками группы.
При формировании СФГ МО необходимо обязательное предварительное согласование определенных вопросов с руководителями органов исполнительной власти субъектов Федерации, на территориях которых расположены организации-участники.
Содержание развития регионов
7. РЕГИОНАЛЬНОЕ РАЗВИТИЕ: ЦЕЛИ,
КРИТЕРИИ И МЕТОДЫ УПРАВЛЕНИЯ
7.1. Что такое развитие?
Термин «развитие» часто употребляется в следующих сочетаниях: экономическое развитие, социально-экономическое развитие, развитие экономики России (или другой страны), развитие региона, города. В каждом случае под развитием обычно подразумевается любое прогрессивное изменение прежде всего в экономической сфере. Если изменение количественное, говорят об экономическом росте.
При качественном изменении речь может идти о структурных изменениях или об изменении содержания развития, или о приобретении экономической системой новых характеристик.
Наряду с чисто экономическими характеристиками нередко рассматривают социальные параметры развития. Более того, социальные характеристики давно уже стали полноправными показателями, оценивающими степень развития любого региона.
Развитие всегда имеет направленность, определяемую целью или системой целей. Если эта направленность положительна, то говорят о прогрессе, если отрицательна, то о регрессе, или о деградации. Иными словами, природа развития регионов всегда предполагает определенную цель или несколько целей.
Развитие региона многомерный и многоаспектный процесс, который обычно рассматривается с точки зрения совокупности различных социальных и экономических целей. Даже если речь идет только об экономическом развитии, оно обычно рассматривается совместно с развитием социальным. Социально-экономическое развитие включает в себя такие аспекты, как:
рост производства и доходов;
перемены в институциональной, социальной и административной структурах общества;
перемены в общественном сознании;
перемены в традициях и привычках.
В настоящее время основной целью экономического развития большинства стран мира и их регионов является улучшение качества жизни населения. Поэтому процесс социально-экономического развития включает в себя три важнейшие составляющие:
повышение доходов, улучшение здоровья населения и повышение уровня его образования;
создание условий, способствующих росту самоуважения людей в результате формирования социальной, политической, экономической и институциональной систем, ориентированных на уважение человеческого достоинства;
увеличение степени свободы людей, в том числе их экономической свободы3.
Последние две составляющие качества жизни не всегда учитываются при оценках степени социально-экономического развития стран и регионов, однако в последнее время в экономической науке и политической практике им придается все большее значение.
Развитие любого региона многоцелевой и многокритериальный процесс. Содержание развития регионов может сильно различаться. Действительно, развитие Бурятии, Калининградской области, Ямало-Ненецкого автономного округа и Москвы по своему содержанию сильно различаются, и это различие обусловлено не только исходным уровнем развития, но и особенностями каждого региона, его производственной структурой, географическим положением, производственной специализацией и пр.
7.2. Цели и критерии социально-экономического
развития региона
В качестве целей социально-экономического развития региона используются такие, как увеличение доходов, улучшение образования, питания и здравоохранения, снижение уровня нищеты, оздоровление окружающей среды, равенство возможностей, расширение личной свободы, обогащение культурной жизни. Некоторые из этих целей идентичны, но в определенных условиях они могут иметь существенные различия. Так, ограниченные средства можно направить либо на развитие здравоохранения, либо на охрану окружающей среды. Возникает конфликт между целями развития.
В то же время понятно, что чем более чистой будет окружающая среда, тем здоровее будет население и тем в большей степени будет достигнута конечная цель здоровье людей. Поэтому в данном случае конфликт между целями не носит абсолютно неразрешимого характера. Однако в других случаях конфликт целей развития требует особого рассмотрения и специальных методов разрешения.
Соответственно целям развития регионов строится система критериев (характеристик развития) и показателей, которые измеряют эти критерии. Несмотря на некоторые различия между странами и регионами в иерархии ценностей и в целях развития, международные организации оценивают степень развития стран и регионов по некоторым универсальным интегральным показателям. Одним из таких показателей является индекс развития человека, разработанный в рамках Программы развития ООН. Данный показатель ранжирует страны по восходящей от 0 до 1. При этом для расчета используются три показателя экономического развития:
ожидаемая продолжительность жизни при рождении;
интеллектуальный потенциал (грамотность взрослого населения и средняя продолжительность обучения);
величина душевого дохода с учетом покупательной способности валюты и снижения предельной полезности дохода4.
В межрегиональном сравнении, точно так же, как и в международном анализе, можно использовать индекс развития человека и другие аналогичные показатели.
Наряду с интегральными показателями можно использовать и отдельные частные показатели развития региона. Среди них:
национальный доход на душу населения;
уровень потребления отдельных материальных благ;
степень дифференциации доходов;
продолжительность жизни;
уровень физического здоровья;
уровень образования;
степень счастья населения.
Целесообразно выделять долгосрочные и краткосрочные цели и соответствующие им критерии экономического развития страны. Среди долгосрочных целей становление и развитие постиндустриального общества, создание рабочих мест высшей квалификации для будущих поколений, повышение уровня жизни всех граждан страны, включая уровень здравоохранения, образования и культуры. В качестве краткосрочных целей можно рассматривать преодоление кризиса и достижение конкретных величин прироста валового национального продукта в следующем году, квартале, месяце и пр.
Долгосрочные и краткосрочные цели по своему содержанию достаточно сильно различаются, меры по их достижению также неодинаковы.
Критерии экономического развития не всегда играют роль целей или целевых ориентиров, и наоборот. Нередко в качестве тактических целей регионального развития выступают промежуточные задачи, играющие роль необходимых условии успешного развития. Среди таких тактических целей развития региона или города можно назвать:
привлечение новых видов бизнеса;
расширение существующего бизнеса;
развитие малого бизнеса;
развитие центра города;
развитие промышленности;
развитие сферы услуг;
повышение уровня занятости населения региона.
Особое значение в определении уровня экономического развития региона имеют традиционные показатели, оценивающие уровень производства и потребления благ и рост этого уровня в расчете на душу населения (валовой национальный доход (ВНП), валовой внутренний продукт (ВВП), реальный ВНП на душу населения, темпы роста этих показателей).
Для оценки динамики развития целесообразно использовать показатели, оценивающие темпы экономического роста в регионе: темпы роста душевого дохода, производительности труда, а также темпы структурной трансформации производства и общества. Воздействие на темпы экономического роста жизненно важный вопрос для экономической политики как страны в целом, так и отдельного региона.
Чисто экономические показатели, какими являются ВВП, душевой доход, производительность труда и темпы их роста, не могут в полной мере оценить социально-экономическое развитие региона. Не менее важны показатели продолжительности жизни, уровня здоровья населения, степени его образования и квалификации, а также показатели структурных изменений в производстве и обществе.
Экономическое развитие многих стран и регионов сопровождается изменением структуры общественного производства, в частности, на смену индустриальному обществу постепенно приходит постиндустриальное. Все большая часть занятых работает в нематериальном секторе, все меньшая часть непосредственно в промышленности и сельском хозяйстве.
Так называемые базовые отрасли перестают быть таковыми и никогда не станут базовыми опять. Потребление индивидуализируется, тиражность производства падает, происходит так называемая демассификация производства. Углубляется его интеллектуализация, основными факторами производства становятся информационные ресурсы. Добавленная стоимость создается главным образом в нематериальной сфере, при этом труд приобретает новые черты: в нем начинают преобладать творческие функции, превалирующим типом работника становится творческая личность, приверженная своему делу и стремящаяся привнести в свою работу новые элементы.
Стираются различия между низко- и высокотехнологичными отраслями: все отрасли становятся наукоемкими, абсорбируя поток управленческих, финансовых и коммерческих инноваций. Навыки работников и наличие прогрессивной технологии становятся важнее низких затрат на рабочую силу и других обычных факторов конкурентоспособности. Традиционные преимущества стран и регионов начинают утрачивать былое значение.
Все названные тенденции проявляются почти во всех странах мира в большей или меньшей мере.
Составная часть воспроизводства
Составной частью воспроизводства (эколого-экономического) выступает воспроизводство природных ресурсов и среды обитания человека. Изменяется положение человека в системе общественных отношений. Развитие личности, повышение социальной активности человека становятся не только необходимым условием совершенствования производства, но одновременно его главной целью. На первый план среди критериев мотивации трудовой деятельности выходят умение аналитически мыслить, способность работать в коллективе, восприимчивость к новым идеям, творческие способности.
По имеющимся оценкам, уже к концу 2000 г. не менее 70% экономического и социального эффекта обществом получено за счет интеллекта человека.
Все более значительную роль в процессе воспроизводства играют духовные факторы, культурные и нравственные ценности, политика и право. Образуя важную часть национального богатства, они становится составной частью эффективного труда, рациональной организации современного производства. Их учет необходим при принятии любых управленческих решений.
Перечисленные выше характерные черты современного воспроизводства свидетельствуют о приобретении им преимущественно социально-экономической направленности.
Процессы социально-экономического воспроизводства всегда тяготеют к определенной территории, имеют пространственную привязку. В самом деле, мы уже указывали на опережающий рост инфраструктурных отраслей, сферы услуг, образование межотраслевых комплексов. Но все они имеют в своей основе четко выраженные территориальные связи.
На определенной территории локализуются процессы образования совокупного работника. Воспроизводство природных ресурсов и среды обитания человека также имеют естественные пространственные пределы.
Процессы удовлетворения личных и общественных потребностей закономерно объединяются на различном уровне: предприятие, отрасль и, что представляется для нас исключительно важным, регион, территория. Иными словами, экономические интересы людей имеют среди прочих и региональное (территориальное) измерение.
Таким образом, речь может идти о региональном аспекте социально-экономического воспроизводства или региональном воспроизводстве. Оно характеризуется следующими определяющими признаками.
1. Как и в масштабах экономики страны, воспроизводственный процесс представляет собой взаимосвязанное единство производства, распределения, обмена и потребления. Наличие всех фаз воспроизводственного цикла и их законченность во времени позволяют говорить о существовании регионального воспроизводства. Оно занимает свое четко обозначенное место в системе отношений общественного воспроизводства, занимая промежуточное положение между макро- и микроуровнями, соответствующими общественному производству и отдельно взятым хозяйствующи субъектам, и служа своего рода опосредствующим звеном между ними.
2. Процесс регионального воспроизводства носит открытый, незамкнутый характер. Его участники имеют между собой различные виды связей (в том числе производственные, трудовые, торговые, информационные, финансовые) как внутри, так и за пределами региона. Отсутствует жесткая зависимость между имеющимися в регионе ресурсами воспроизводства и его результатами, а также первичными доходами и уровнем потребления за счет возможного централизованного перераспределения средств.
3. Региональное воспроизводство имеет двоякий смысл, соответствующий двум важнейшим признакам региона: комплексности и специализации. В широком смысле региональное воспроизводство означает протекание воспроизводственных процессов общества на части его территории. Иными словами, любой уровень воспроизводства может быть назван региональным, потому что протекает на определенной территории.
В узком смысле термин региональное воспроизводство означает, что часть процессов общественного воспроизводства обособляется исключительно в пределах границ территории. В конечном счете региональное воспроизводство выполняет две основные функции: обеспечения воспроизводства продуктов специализации региона для хозяйства страны и обеспечения воспроизводства проживающего на его территории населения.
4. Важной особенностью регионального воспроизводства следует признать установление макротерриториальных, региональных и внутрирегиональных пропорций. Это, например, пропорции уровня жизни населения, структуры региональной продукции, межотраслевые экономические пропорции и др. Обеспечение пропорциональности хозяйства территории ведет к гармоничному, сбалансированному развитию экономики, повышает интенсивность внутритерриториальных связей и способствует тем самым образованию межотраслевых территориальных комплексов.
5. В зависимости от степени перераспределения результатов воспроизводства в масштабах страны по отдельным регионам выделяют суженный, эквивалентный и форсированный типы регионального воспроизводства.
6. Для регионального воспроизводства характерна определенная инерционность. Она связана с тем, что воспроизводство трех важнейших частей ресурсов региона — природных, рабочей силы и основных фондов — носит долговременный характер и выходит далеко за рамки годового цикла воспроизводства общественного продукта. Например, цикл воспроизводства населения составляет на сегодняшний день в России 25—35 лет в зависимости от конкретного региона.
Рассмотрим более подробно отдельные составные части процесса регионального воспроизводства: воспроизводство по факторам, основным фазам цикла, результатам.
К факторам производства в современной экономической литературе чаще всего относят: капитал, т.е. средства производства или инвестиционные ресурсы; землю и другие естественные ресурсы; рабочую силу (труд); предпринимательскую способность.
Оборот активной части основных фондов, прежде всего машин и оборудования, менее других факторов производства обособляется в рамках территории. В отраслях, производящих и потребляющих машины и оборудование, по сравнению с другими отраслями, наиболее развиты специализация и кооперирование, причем масштаб обмена производимой продукцией соответствует масштабу специализации. Под влиянием НТП зависимость воспроизводства этой части основных фондов от территориальных факторов еще более ослабевает, но тем не менее в ряде случаев достаточно заметна.
Так, накопленные на территории активные основные фонды предопределяют темпы роста выпускаемой продукции, амортизационные отчисления и опосредованно — величину прибыли и налоговых платежей, в том числе в местные бюджеты. В свою очередь изменения в уровне социально-экономического развития региона, его специализации немедленно сказываются на темпах и направлениях обновления активной части основных фондов.
В отличие от активной пассивная часть основных фондов имеет ярко выраженную территориальную привязку. Они могут быть произведены, распределены, обменены, потреблены только па определенной площадке, в определенном месте. Соответственно специализирующийся на их производстве сектор экономики (строительство) имеет в подавляющем большинстве случаев региональное значение (за исключением случаев узкоспециализированных, не массовых по характеру работы строительных организаций),
Обеспечивая непрерывность воспроизводственного процесса, оборотные фонды частично оборачиваются в регионе. Их обособление наталкивается на естественные пределы отсутствия нужных минерально-сырьевых ресурсов, слабость топливно-энергетической базы некоторых регионов, неэффективность мелких и средних комплектующих производств. В свою очередь объем и структура оборотных фондов региона влияют на развитие его инфраструктуры, на направленность и активность межотраслевых и межрегиональных связей.
К оборотным фондам примыкают фонды обращения, образующие денежно-финансовые ресурсы региона. Для них характерна высокая степень локализации при стабильной экономической ситуации. В случаях кризисных явлений в экономике территориальный разрыв, существующий между местом получения и местом реализации финансовых средств (отток их в другие регионы, за границу), может значительно возрастать.
Важнейший фактор производства — рабочая сила — большей частью воспроизводится в рамках отдельных региональных систем. Воспроизводство рабочей силы включает ее формирование, распределение по отраслям хозяйства, потребление, т.е. использование ее физиологически (способность к труду) и социально-экономически (развитие и совершенствование способности к труду, воспроизводство общественных условий функционирования рабочей силы). Полностью локализоваться циклу не дает механический прирост (убыль) населения в результате миграционных процессов.
Каждый регион располагает определенными условиями приложения труда с точки зрения набора отраслей, профессий, соотношения между возрастными группами работников, мужчинами и женщинами и т.д. Отсюда закономерно возникают разные условия для реализации способности к труду и его вознаграждению. Сказываются и другие факторы.
Например, при расчете бюджета прожиточного минимума по регионам России установлено, что наибольшее влияние на его дифференциацию оказывают природно-климатические, демографические, селитебные особенности.
Составные элементы стратегического управления
По мере приватизации и разгосударствления разрушается монополия государственных учреждений на предоставление услуг населению и бизнесу. Особенно ярко это проявляется на примере муниципальных служб: организации, осуществляющие муниципальные услуги, переходят с государственной на частную основу. Это относится к эксплуатации жилья, уборке мусора, строительству дорог, оказанию услуг связи и ко многим другим видам муниципальных услуг.
Традиционная бюрократическая система управления начинает постепенно замещаться новой, в которой присутствуют элементы рыночных механизмов. Человек все в большей мере начинает рассматриваться как клиент и потребитель услуг, предоставляемых государственными учреждениями и ведомствами, и в связи с этим вся деятельность государственных учреждений рассматривается через призму удовлетворения потребностей и конкретных запросов потребителя. Источником успеха работы государственного учреждения становится выполнение дополнительных функций и развитие нетрадиционных видов обслуживания, увеличивающих результат.
В практику управления муниципальным образованием проникают методы количественной оценки результатов, в частности оценки эффективности (отношения результата к затратам), результативности (отношения фактического результата к планируемому) и экономии (отношения планируемых затрат к фактическим).
Измерение эффективности деятельности организаций общественного сектора трудноосуществимо, поскольку есть заметное различие между организациями частного и общественного секторов: частная организация ориентируется на получение прибыли, а организация общественного сектора на удовлетворение общественных потребностей.
В процессе формирования новой модели управления видоизменяются процедуры контроля. На место тотального бюрократического контроля приходит контроль со стороны населения, потребителей услуг регионального управления, который осуществляется как непосредственно, так и при помощи общественных организаций и средств массовой информации. В условиях децентрализации управления контроль должен быть более тщательным и всеобъемлющим (чем больше децентрализация, тем более тщательным должен быть контроль).
Он должен приближаться к непосредственным исполнителям и в значительной мере осуществляться ими самими.
Смещаются и другие акценты, в частности центр тяжести переносится с измерения затрат на измерение результатов. Традиционно в государственном управлении концентрировалось внимание на вопросе о том, сколько потрачено государственных средств, при этом измерение реального результата оставалось в тени.
При новых подходах к управлению основное внимание переносится на постановку целей и задач, выработку инструментов их достижения, измерение и мониторинг результатов, оценку эффективности.
Повышение эффективности деятельности любой организации лежит в основе любого реформирования и реструктуризации. Концепция повышения эффективности деятельности, столь понятная в рамках коммерческой организации, не всегда в полном объеме может применяться к деятельности организации общественного сектора.
В то же время зарубежный опыт показывает необходимость широкого использования в общественном секторе подходов, повышающих эффективность использования бюджетных средств. В связи с этим определенный интерес вызывает концепция Value for money («ценность за деньги»), широко используемая в практике деятельности организаций общественного сектора в Великобритании и некоторых других стран. Данный термин во всех государственных организациях Великобритании стал ключевым в контексте повышения продуктивности их работы. Его смысл состоит в том, что в каждом конкретном случае использование бюджетных средств сравнивается с полученным полезным эффектом (результатом). Таким образом, Value for money это своего рода концепция повышения эффективности расходования бюджетных средств.
Она нашла применение не только в бюджетных, но и в коммерческих организациях.
Ярким примером успешного использования в государственной службе приемов менеджмента коммерческих организаций в последнее время стало стратегическое управление. Методы стратегического управления начинают успешно использоваться при осуществлении антикризисных мер в регионах и муниципальных образованиях, при управлении инвестиционной деятельностью или масштабными инфраструктурными проектами. Однако в полной мере все конструктивные элементы стратегического управления еще предстоит внедрить в практику работы муниципальных органов управления.
Стратегическое управление в значительной степени представляет собой управление развитием. Развиваются все социально-экономические объекты: коммерческие фирмы, органы государственного управления, регионы, города и государства. В процессе развития любой объект может приобрести новые черты в техническом, экономическом, социальном, физиологическом, функциональном, эстетическом, экологическом или любом другом смысле. Новые черты могут проявляться в усилении имеющихся или в построении новых структурных связей.
Поэтому структурная перестройка, обнаруживающая новое свойство, часто становится ведущим критерием развития объекта управления.
Природа развития фирм, организаций, стран и регионов всегда предполагает определенную цель или несколько целей, которые и определяют направленность развития. Если такая направленность положительна, то говорят о прогрессе, а если отрицательна, то о регрессе или о деградации.
Управление развитием становится все более актуальным по мере того, как растет темп социально-экономических изменений. Особенно ярко ускорение социально-экономического развития организаций, стран и сообществ проявлялось в XX в. Увеличивалась скорость распространения информации, формировались новые социально-экономические связи, время «сжималось», соответственно темпы социально-экономического развития увеличивались.
В начале XXI в. страны и народы, компании и организации, лидеры и менеджеры сталкиваются с необходимостью самообновления, так как темпы научно-технического и социального прогресса продолжают ускоряться. Неуклонное обновление мира требует от людей собственного постоянного развития, чтобы успевать за вечно ускоряющимся потоком нового.
В практике муниципального управления приходится решать множество текущих проблем и, как правило, это проблемы функционирования. Вопросы перспективы, т.е. вопросы развития, при этом отходят на второй план. В то же время, стратегически не решая перспективные проблемы, мы обрекаем себя на ухудшение ситуации в будущем.
Традиционно стратегия понималась лишь как результат планирования, как нечто зафиксированное и устоявшееся. В последнее время среди специалистов стало преобладать новое понимание стратегии как соединения рационально выработанной стратегии и случайной, так называемой чрезвычайной, стратегии. Последняя определяется в первую очередь шаблонами, моделями в потоке решений и действий, она является результатом взаимодействия плановых и незапланированных действий.
Новое понимание стратегии обусловлено высокой степенью изменчивости современного мира: будущее непредсказуемо; определенности нет ни в чем; нет достоверных прогнозов; цели подвижны так же, как и внешние условия. Поэтому детальные стратегии не могут быть заранее выстроены. Часто их приходится корректировать по ходу дела.
Секрет успеха - не в предвидении будущего, а в создании организации, которая могла бы процветать в непредсказуемом будущем.
Стратегия Ї это общее направление развития. Если его нельзя указать точно, то все равно полезнее иметь не вполне четкое направление развития, чем никакого. Даже недостаточно четкое, но понятное общее направление можно воплотить в тактических шагах и программах, способствующих развитию регионов, городов и населенных пунктов в нужном направлении.
Компонентами стратегического управления ( 8.1) являются: стратегическое планирование, реализация стратегии и стратегический контроль.
8.1. Составные элементы стратегического управления
В мировой практике в системе стратегического управления получает широкое распространение новый метод контроля бенчмаркинг. Это особая управленческая процедура внедрения в практику работы организации технологий, стандартов и методов работы лучших организаций. В рамках бенчмаркинга осуществляются поиск организаций (предприятий), которые показывают наивысшую эффективность, обучение методам их работы и реализация передовых методов в собственных условиях.
В процессе бенчмаркинга анализируется практика лучших организаций, ищется ответ на вопрос, что, как и почему делают лидеры для удовлетворения потребностей клиентов.
Руководители коммерческих фирм, управляющие организациями общественного сектора и государственные служащие многих стран используют бенчмаркинг как инструмент оценки выполненной работы, а также для передачи передового опыта управления успешно действующих организаций.
Основное содержание бенчмаркинга состоит не столько в том, чтобы определить, насколько другие организации оказались успешнее, сколько выявить факторы и методы работы, которые позволили достичь более высоких результатов.
Национальные и местные правительства многих стран мира ищут способы уменьшить расходы, увеличить эффективность управления, усилить отдачу бюджетных средств, повысить качество услуг, предоставляемых гражданам.
Совет по изучению производительных сил
• Основная экономическая задача функционирования каждого ПТС заключается в выполнении плановых заданий союзного значения с учетом географического положения района, транспортных условий, выгодности эксплуатации ресурсов, сырья, энергии, труда, а также решения оборонных задач.
• Выполнение основной экономической задачи приводит к специализации каждого экономического района на тех отраслях производства, какие в нем могут быть развиты наиболее полно и выгодно, включая все необходимые промышленные, энергетические и транспортные звенья. Обмен между районами ограничивается строго необходимыми количествами продуктов при отказе от излишне дальних и встречных перевозок. Каждый район осуществляет комплексное развитие хозяйства на своей территории для наиболее полного удовлетворения местных производственных и потребительских нужд за счет местных источников сырья и энергии.
• Научно-техническая политика индивидуализируется по экономическим районам. Наивысшей эффективности достигают комбинированные технологические процессы при переработке сырья, получении энергии, использовании труда и оборудования, приводящие к созданию районных производственных комбинатов и производственно-территориальных комплексов.
• Для каждого экономического района устанавливаются три категории производств: районного значения (продукция потребляется внутри экономического района); межрайонного значения (для группы экономических районов); общесоюзного значения, а также наивыгоднейшие зоны сбыта.
• Развитие каждого района осуществляется в такой форме, чтобы способствовать материальному и культурному развитию всех национальностей страны.
Ключевым понятием в теории экономического районирования Н.Н. Колосовского было понятие энергопроизводственного цикла, под которым понималась вся совокупность производственных процессов, развертывающихся в экономическом районе на основе сочетания данного вида энергии и сырья первичных форм — добычи и облагораживания сырья до получения всех видов готовой продукции, которые возможно получить на месте, исходя из требований приближения производства к источникам сырья и требований комплексного использования всех компонентов сырьевых и энергетических курсов данного типа.
Колосовский выделил восемь совокупностей производственных процессов, являющихся основой для выделения крупных экономических районов и экономических подрайонов: 1) пирометаллургический цикл черных металлов; 2) пирометаллургический цикл цветных металлов; 3) нефтеэнергохимический цикл; 4) гидроэнергетический цикл; 5) совокупность циклов перерабатывающей индустрии; 6) лесоэнергетический цикл; 7) индустриально-аграрный цикл; 8) гидромелиоративный цикл. Сочетание циклов и их сырьевых и энергетических баз на данной территории образует территориально-производственное ядро экономического района.
Создание теоретических основ и методики экономического районирования решало три основные проблемы. Первая состояла в освоении новых источников сырья и энергии в восточных районах страны и развитии тяжелой промышленности, что отвечало политической задаче обеспечения индустриального превосходства СССР и решению проблемы самообеспечения основными промышленными продуктами. Вторая проблема заключалась в создании рациональной системы территориального планирования, обеспечивающей с помощью плановых заданий максимальное использование сравнительных преимуществ экономических районов и минимизацию транспортных издержек.
Третьей проблемой являлось создание единой информационной и интеллектуальной основы для скоординированных действий тысяч работников плановых органов в центре и на местах по разработке и контролю за выполнением плановых заданий.
4.4. Методы регулирования развития
территориальных комплексов
Наиболее сильной стороной отечественной школы региональной экономики были исследования, обеспечивающие планирование размещения производительных сил и регионального развития. Эти исследования были направлены на осуществление радикальных сдвигов в размещении производительных сил (движение на восток и север), разработку региональных программ и крупных инвестиционных проектов, создание методических основ системы территориального планирования и управления (в особенности новых форм территориальной организации хозяйства).
Первым крупным общероссийским научным центром по региональным исследованиям стала Комиссия по изучению естественных производительных сил (КЕПС), созданная академиком В.И. Вернадским в 1915 г. в разгар Первой мировой войны.
Заметными вехами в прикладных исследованиях, начиная с 20-х годов, явились: план ГОЭЛРО, обоснование экономического районирования, разработка регионального разреза первого пятилетнего плана, проекты Урало-Кузнецкого комбината, Ангаро-Енисейской программы, программы Большая Волга и др. Создавались специализированные научные коллективы, входившие в систему Госплана СССР и Академии наук СССР, а также госпланов и академий наук союзных республик, высших учебных заведений. Головной научной организацией по региональным исследованиям с 1930 г. стал Совет по изучению производительных сил (СОПС).
Систематически организовывались крупные экспедиции в малоизученные регионы, а также проводились научные конференции по проблемным регионам.
С 60-х годов разноаспектные и разномасштабные исследования многих научных и проектных организаций синтезируются в предплановом (прогнозном) документе — Генеральной схеме развития и размещения производительных сил СССР. В 70-х госинтетический документ — Комплексная программа научно-технического прогресса (включающая разделы по союзным республикам и сводный региональный том). При этом Генеральная схема как более конкретный документ (на 10—15 лет) разрабатывалась в основном приправительственными (министерскими) научными организациями (привлекалось до 500 научно-исследовательских и проектных институтов), а Комплексная программа как в большей степени стратегический документ (на 20 лет) разрабатывалась при ведущей роли институтов Академии наук СССР.
Последняя Генеральная схема охватывала период до 2005 г., а последняя Комплексная программа — до 2010 г. Важным синтетическим документом являлась также регулярно обновляемая Генеральная схема расселения СССР, обобщавшая схемы районных планировок и проекты развития городских агломераций.
Наряду с подготовкой общесоюзных предплановых документов в 70—80-х годах активизировались региональные исследования во всех союзных республиках. Были разработаны научные основы крупных региональных программ (Западно-Сибирского нефтегазового комплекса, хозяйственного освоения зоны Байкало-Амурской магистрали), программы формирования территориально-производственных комплексов, ориентированных на использование богатых природных ресурсов (Тимано-Печерского, Павлодарско-Экибастузского, Южно-Таджикского, группы комплексов Ангаро-Енисейского региона и др.), локальные программы административно-териториальных образований. Произошла значительная децентрализация региональных исследований.
К середине 80-х годов во всех союзных республиках и многих административных центрах России (преимущественно на востоке и севере) существовало более 50 институтов с преобладанием региональной тематики.
Результаты многих исследований далеко не всегда воспринимались экономической практикой. В первую очередь это было характерно для рекомендаций по комплексному экономико-социально-экологическому региональному развитию. Регионализация и регионализм были чужды законам функционирования командной централизованной экономики, интересы которой представляли даже не Правительство или Госплан, а отраслевые ведомства (министерства), превратившиеся в гигантские государственные монополии с вертикальным управлением.
Усилия регионалистов по поиску приемлемого сочетания отраслевого и территориального управления могли увенчаться успехом, даже если бы удалось избежать ошибок и действовали бы они более целеустремленно и организованно.
Конечно, ученые-регионалисты были причастны не только к достижениям, но и к ошибкам в размещении производительных сил. Определенные их круги поддерживали социально и экологически дефектные идеи гигантомании в промышленном строительстве, узкой специализации хозяйства регионов, перемещения значительных масс населения в регионы с трудными условиями жизни. Возможности централизованного планирования акцентировались в ущерб экономической самостоятельности регионов и предприятий.
В 20-х годах регионалисты прошли мимо возможностей новой экономической политики (нэпа), а во второй половине 60-х годов не слишком активно способствовали переводу экономической реформы на региональный уровень. Однако основные негативные моменты в размещении производительных сил, региональном развитии в СССР были следствием не столько ошибочных научных рекомендаций, сколько систематического их игнорирования. В целом проблематика типовых региональных исследований в СССР соответствовала требованиям расширяющейся экономики на стадии индустриализации с преобладанием экстенсивных факторов роста.
В советской регионалистике по сравнению с западной региональной наукой недостаточный удельный вес составляли проблемы: социальные, демографические, экологические, этнических отношений, развития инфраструктуры и сферы услуг, информационной среды, распространения инноваций.
Структура использования положительного сальдо всех регионов-доноров России
Это подтверждают следующие интегральные оценки (табл. 9.10).
Таблица 9.10
Доля общего положительного сальдо всех регионов-доноров
в их производстве и доля общего отрицательного сальдо
всех регионов-реципиентов в их ресурсах потребления
(внешнеторговые цены 1989 г.), %
Районы России
|
1987
|
1990
|
1993
|
1994
|
1995
|
Все районы-доноры
|
10,8
|
10,7
|
14,5
|
16,6
|
20,1
|
Все районы-реципиенты
|
5,5
|
5,8
|
5,3
|
7,8
|
7,5
|
Из табл. 9.10 следует, что в рыночной экономике России одновременно действовали две нерыночные тенденции: с одной стороны, усиление уровня донорства востока России, с другой усиление уровня реципиентности ее запада. Взаимодействие этих тенденций обеспечивало масштабное неэквивалентное перераспределение ресурсов востока России в пользу ее западных регионов. Так, в 1995 г. более 20% валового общественного продукта востока России было направлено на создание общего положительного сальдо страны.
Однако это сальдо использовалось не только для поддержки запада России (табл. 9.11).
Из табл. 9.11 следует, что доля общего положительного сальдо востока России, идущая на поддержку российских регионов-реципиентов, т.е. используемая внутри страны для укрепления целостности ее экономики, в течение последних лет неуклонно уменьшалась и составила в 1995 г. лишь немногим более 40 %. В то же время доля чистого вывоза из России в основном в страны дальнего зарубежья за тот же период непрерывно возрастала и достигла почти 60%.
Таблица 9.11
Структура использования положительного сальдо
всех регионов-доноров России, %
Направления использования сальдо
|
1987
|
1990
|
1993
|
1994
|
1995
|
Всего
|
100,0
|
100,0
|
100,0
|
100,0
|
100,0
|
В том числе:
на поддержку регионов-реципиентов
|
71,6
|
77,9
|
54,0
|
54,8
|
41,5
|
на чистый вывоз из России
|
28,4
|
22,1
|
46,0
|
45,2
|
58,5
|
Выявление функций федерального и регионального государственного регулирования по обеспечению целостности российского экономического пространства и количественный анализ результатов его деятельности позволяют сформулировать следующие основные направления совершенствования этих функций:
дальнейшее осуществление донорства востоком России ради сохранения экономической стабильности в стране;
использование результатов этого донорства во все большей мере для нужд России, а не для дальнего зарубежья (табл. 9.7);
обеспечение большей равномерности в образовании общего положительного сальдо регионами-донорами востока России и в его распределении между регионами-реципиентами России. Это предполагает значительное снижение доли Центрального, Северо-Западного регионов и одновременное резкое увеличение доли в первую очередь Дальневосточного, Центрально-черноземного экономических районов (см. табл. 9.9).
Таким образом, динамика макроэкономических региональных пропорций современной России объективно требует сохранения и существенного усиления действенности их федерального и регионального государственного регулирования в целях укрепления целостности российского экономического пространства и сохранения социально-экономической стабильности в стране.
Контрольные вопросы
1. Охарактеризуйте схему экономического пространства России и его региональные особенности. Дайте понятие макроэкономических пропорций.
2. Какова взаимозависимость регионов в экономике России?
3. Назовите основные проблемы «Запад-Восток» в современной российской экономике.
4. Дайте определение регионов-доноров и регионов-реципиентов.
5. Каковы задачи федерального и регионального управления по обеспечению целостности российского экономического пространства?
10. ОРГАНИЗАЦИЯ МУНИЦИПАЛЬНОГО УПРАВЛЕНИЯ
В УСЛОВИЯХ КОРПОРАТИВНОЙ ЭКОНОМИКИ
10.1. Корпоративная экономика как условие
развития муниципальных образований (городов, районов)
Цель социально-экономического развития муниципального образования улучшение качества жизни каждого человека сообщества. Уровень социально-экономического развития, качество жизни населения в целом и конкретных граждан в значительной степени определяются уровнем компетентности команды менеджеров муниципального уровня, их способностью осуществлять активную, последовательную, ответственную управленческую деятельность.
В Конституции РФ присутствуют термины «муниципальное образование», «местное самоуправление», «органы местного самоуправления».
Под муниципальным образованием понимается городское, сельское поселение, несколько поселений, объединенных общей территорией, часть поселения, иная населенная территория, в пределах которых осуществляется местное самоуправление, имеются муниципальная собственность, местный бюджет и выборные органы местного самоуправления9.
Местное самоуправление как выражение власти народа самостоятельная и под свою ответственность деятельность населения по решению непосредственно или через органы местного самоуправления вопросов местного значения исходя из интересов населения, его исторических и иных местных традиций.
Органы местного самоуправления выборные и другие органы, наделённые полномочиями на решение вопросов местного значения и не входящие в систему органов государственной власти.
Представительный орган местного самоуправления выборный орган местного самоуправления, обладающий правом представлять интересы населения и принимать от его имени решения, действующие на территории муниципального образования.
Муниципальное образование это не просто место совместного проживания людей. Оно объединяет сообщество в систему, состоящую из элементов (экономика, культура, право, политика и социальные отношения), функционирование которых направлено на достижение генеральной цели рост качества жизни каждого человека.
В структуре муниципального образования (далее МО). ( 10.1) особая роль принадлежит экономической сфере. Она играет ведущую роль в жизнедеятельности населения и тесно взаимосвязана с остальными структурными элементами МО.
Одним из перспективных вариантов управления развитием МО является организационный принцип корпоратизма.
Организация социально-экономического развития сообщества как корпорации с экономической точки зрения, определяет следующую принципиальную схему управления: «население акционеры совет менеджмент», которая является зеркальным отражением системы: «население избиратели представительная власть администрация», реализуемой в сфере политического управления.
Главная цель такой системы управления состоит в необходимости создания ясно очерченной и эффективной системы контроля (отчетности и подотчетности) за социально-экономическим развитием муниципального образования.
10.1. Структура муниципального образования
Основная обязанность представительной власти и совета директоров в представленной модели обеспечить ответственность и отчетность менеджмента (администрации и менеджеров) за качество и результаты деятельности.
* Т - товары, П - продукты, Д - деньги
10.2. Структура экономической сферы муниципального образования
Определив, что субъект менеджмента обязан нести ответственность за результаты социально-экономического развития муниципального образования и рост уровня качества жизни каждого члена сообщества, подходим к следующему вопросу: конкретные цели развития могут быть достигнуты МО в результате своей деятельности?
Решения, касающиеся целей развития МО (качества жизни человека) принимаются избирателями и акционерами, формы и способы их достижения определяются представительной властью и советом директоров. Что касается администрации и менеджеров, то они реализуют эти цели.
Как только население как избиратели и как акционеры определило цели развития МО, администрация и совет директоров обязаны организовать работу по их достижению, одновременно обеспечивая подотчетность. Обеспечение подотчетности менеджеров директорам, а администрации представительной структуре власти одно из условий корпоративного управления.
Ключевым вопросом эффективного управления МО становится обеспечение сбалансированности в реализации принципов подотчетности и невмешательства. Иными словами, чтобы контролировать менеджмент, представительная власть МО и совет директоров должны быть объектами контроля.
10.3. Принципиальная схема корпоративного управления социально-экономическим развитием муниципального образования
Поиски эффективной структуры корпоративного управления неизбежно приводят к переосмыслению роли и места регионального управления, поскольку представительная власть МО и совет директоров являются компонентами гораздо более общей системы управленческих институтов.
Политическое и корпоративное управление, выступая ведущими звеньями в едином процесса управления развития МО, могут быть организованы различными способами в зависимости от специфических для каждого региона экономических и культурных факторов. С течением времени процесс институционализации этих факторов приводит к формированию общих правил их экономического взаимодействия и оформлению стандартов деловой активности.
Система управления МО призвана обеспечить компромисс между противоположными интересами. Представительная власть и совет директоров представляют и гарантируют исполнение воли многообразных слоев электората.
Сущность балансового метода
Они включают: стандартизированные интервью, индивидуальные собеседования с представителями разных отраслей и сфер социально-экономического комплекса региона; контент-анализ интервью и публичных выступлений руководящей элиты регионов, ученых и специалистов и т.д.
Важное место в региональных исследованиях занимают методы сопоставления региональных уровней жизни населения и прогнозирования развития региональной социальной инфраструктуры. Для анализа уровня жизни населения регионов центральными экономическими органами разработана методика сопоставления на основе системы синтетических и частных показателей. В конечном счете основная цель территориального анализа уровня жизни населения заключается в выявлении фактически сложившихся различий в уровне жизни и достижений относительно равной степени удовлетворения потребностей населения всех регионов Российской Федерации, а уровень жизни населения непосредственно связан с развитием региональной социальной инфраструктуры.
Таким образом, изучение региональных социально-экономических систем опирается на довольно широкий круг методов и способов, которыми активно пользовались и пользуются регионоведы.
Контрольные вопросы
1. Какие методы применяются для оценки состояния экономики региона?
2. В чем сущность балансового метода?
3. Какие методы оценки состояния регионов можно считать комплексными?
4. Для каких целей проводится оценка состояния экономики регионов?
6. ОСНОВЫ РЕГИОНАЛЬНОГО УПРАВЛЕНИЯ ЭКОНОМИКОЙ
6.1. Особенности организации регионального управления
Противоречия и неурегулированность взаимоотношений между федеральными, региональными и муниципальными структурами управления являются следствием перехода к новой модели управления экономикой, направленной на рыночные отношения.
Можно выделить следующие условия и предпосылки формирования регионального менеджмента в современных российских условиях.
1. Система новых отношений создается в условиях, когда планово-директивные методы управления региональным хозяйством разрушены, а рыночные находятся в процессе формирования. Следовательно, создаваемой системе региональных и муниципальных субъектов управления приходится постоянно адаптироваться к новым условиям и принципам функционирования.
2. В новых условиях субъекты Федерации сосредоточили большую часть властных и хозяйственных функций. Регион является основным субъектом собственности, который делегирует функции собственника широкому кругу хозяйствующих субъектов. В этих условиях естественно возникает стремление к большей экономической самостоятельности региональных и муниципальных Vбразований.
3. Упразднение государственной отраслевой системы управления экономикой диктует необходимость формирования новых, партнерских отношений в системах: субъект Федерации — муниципалитет; муниципалитет — основное производственное звено; субъект Федерации — основное производственное звено.
4. В этих условиях меняются регулирующая и стимулирующая функции субъектов регионального управления, которые, с одной стороны, поощряют любое предпринимательство, стимулируя субъекты хозяйствования этой сферы деятельности, а с другой — вынуждены формировать механизм взаимодействия с предприятиями и организациями всех форм собственности на взаимовыгодных условиях юридически равных партнеров.
5. Чтобы обеспечить заинтересованность субъектов Федерации в развитии рыночных отношений в производственной и социальной сферах, необходимо законодательно закрепить их функции, компетенцию и ресурсы в строгом соответствии с целями регионального управления и объемом решаемых задач.
6.2. Сущность и задачи регионального управления
Региональный менеджмент как один из видов специального менеджмента представляет собой совокупность принципов, методов, форм и средств воздействия на хозяйственную деятельность региона.
С точки зрения современной российской практики региональный менеджмент — это управление социально-экономическими процессами в регионе в условиях перехода его хозяйства к рыночным отношениям.
Суть перехода от планово-директивной системы управления хозяйством региона к региональному менеджменту состоит в таких изменениях, как:
• ориентация развития региона на решение социальных проблем, на воспроизводство условий, обеспечивающих высокое качество и высокий уровень жизнедеятельности человека как наивысшей ценности общества;
• формирование организационно-экономических условий для реализации всеми хозяйствующими субъектами региона принципов экономической свободы и хозяйственной самостоятельности;
• ориентация инвестиционной и структурной политики региона на спрос и потребности рынка, на запросы внутри- и внерегиональных потребителей и организация производства тех видов продукции, которые пользуются спросом на межрегиональном и зарубежном рынках и могут способствовать повышению финансовой самостоятельности региона;
• формирование и развитие регионального маркетинга как основы разработки и реализации программ текущего и стратегического развития региона;
• переход от региональной статистики к региональному мониторингу с использованием современной информационной базы для осуществления системного анализа и контроля социально-экономической, политической и экологической ситуации в регионе;
• оценка конечного результата регионального менедNмента в зависимости от степени соответствия уровня экономического развития региона и уровня жизнедеятельности населения (социальные стандарты, бюджетная обеспеченность, структура доходов и расходов семей, экология, демографическая ситуация, экологическая безопасность и др.). Региональный менеджмент можно рассматривать как науку и практику управления социально-экономическими процессами региона в условиях рыночной экономики. Научные основы регионального менеджмента — это система научных знаний, которая является его теоретической базой: принципы регионального менеджмента; методы и модели регионального менеджмента; механизмы регионального менеджмента; система регионального менеджмента. Научные основы регионального менеджмента в нашей стране находятся в стадии формирования.
Зарубежный опыт мало пригоден к специфике территориальной организации России с ее огромными пространствами, многообразием природно-климатических, национальных, исторических и других особенностей. Тем не менее опыт формирования регионального менеджмента в странах с рыночной экономикой может быть использован для анализа нашего собственного опыта и практики, а также для использования некоторых его элементов в формирующейся системе регионального менеджмента в России.
Региональный менеджмент функционирует в соответствии с законами развития рыночной системы хозяйствования, и его механизм должен обеспечивать гибкое регулирование социально-экономических процессов в регионе в изменяющихся рыночных условиях.
Перед региональным менеджментом как наукой управления стоит задача найти и разработать механизмы, методы и средства, которые позволят обеспечить наиболее эффективное достижение целей и задач регионального развития.
Задачи и объект регионального управления. Задачи регионального менеджмента многообразны и обусловлены особенностями переходного периода.
В процессе перехода от планово-централизованной к рыночной системе регулирования хозяйства региона разрушаются вертикальные связи, зарождаются и стабилизируются горизонтальные, внутри- и межрегиональные связи. С переводом части хозяйства региона на рыночные отношения изменяется функциональная структура механизма регионального управления, что ведет к деформации и сокращению его организационной и иерархической структур. Резко возрастает роль опосредованных методов взаимодействия субъектов и объектов федерального, регионального и муниципального управления, усложняются их хозяйственные связи, отношения по поводу использования собственности и т.д.
Все это служит объективной основой для становления и развития регионального менеджмента, задачи которого отличаются от задач планово-директивной системы территориального управления.
В число основных задач регионального менеджмента входят:
• обеспечение расширенного воспроизводства условий жизнедеятельности населения региона, высокого уровня и качества жизни;
• экономическая и социальная трансформация хозяйства региона, анализ, прогнозирование и программирование регионального развития;
• оптимизация финансовых потоков, формирование условий и механизмов укрепления экономической базы региона и муниципальных образований;
• обеспечение экологической безопасности в регионе, защита окружающей среды;
• формирование и реализация структурной, инвестиционной и научно-технической политики в регионе, создание и развитие рыночной инфраструктуры.
Исходя из сущности, содержания и задач регионального менеджмента, сформулированных выше, его объект можно классифицировать по следующим основным признакам.
1. Принадлежность объекта к той или иной форме собственности (федеральная, муниципальная, собственность субъекта Федерации).
2. Характер продукции или услуг, производимых субъектом хозяйствования (продукция целиком или в основном потребляется внутри региона, продукция имеет межрегиональное потребление, экспортная продукция и др.).
Сущность корпоративного метода ведения хозяйства
Важнейшим условием этого является оптимизация соотношения между тем, что население МО хочет (цели), и имеющимися в распоряжении МО возможностями, компетенциями, принятыми ценностями.
Корпоративный метод как один из возможных методов хозяйствования способен регулировать политические аспекты жизни и содействовать развитию экономики МО.
10.2. Сущность корпоративного метода ведения хозяйства
Местное самоуправление по существу является системой корпоративного управления МО. Эта система представляет собой организационную модель, с помощью которой население представляет и защищает свои социально-экономические интересы (в дальнейшем СЭПИН социально-экономическая поддержка интересов населения). В истории России корпоративная форма жизнедеятельности населения существовала около девяти веков до 1917 г.
Тип применяемой модели зависит от целей, механизмов их достижения и отражает сам факт разделения функций владения и управления МО. Муниципальное образование как корпорация есть организация лиц, обладающая как самостоятельный экономический субъект определенными правами и обязательствами, которые отличаются от прав и обязательств, присущих каждому члену сообщества в отдельности.
Население (акционеры) передает право управления собственностью менеджерам и совету директоров, делегируя им право принятия решений по целому ряду аспектов деятельности корпорации, за исключением решений принципиальной важности, В условиях, когда корпорация основана населением (акционерами) муниципального образования и когда каждый человек владеет лишь незначительной, но равной для всех частью капитала корпорации, уступка или доверие населением (акционерами) рычагов контроля за ее деятельностью приводит к разделению функций владения и управления (распоряжения).
Разделение функций владения и управления деятельностью корпорации МО не представляло бы никаких проблем, если бы интересы владельцев и менеджеров полностью совпадали. Но в реальной жизни их интересы расходятся.
Во-первых, менеджеры испытывают воздействие целого ряда факторов, таких как власть, размер корпорации, престиж, связанный с занимаемым положением, которые не имеют прямого отношения к интересам владельцев населения (акционеров).
Во-вторых, отличаются друг от друга форма и размер материального вознаграждения, который получают менеджеры и население владельцы корпорации. Менеджерам гарантируется вознаграждение по контракту в форме заработной платы, в то время как население (акционеры) могут получить ту часть прибыли корпорации, которая остается после того, как корпорация отчитается по всем своим обязательствам. Сложность увязки этих двух форм вознаграждения заложена в самой их природе.
Одним из механизмов решения (смягчения) этого противоречия является начисление менеджерам вознаграждения в форме привилегированных акций корпорации.
Проблема корпоративного управления важна для значительного количества заинтересованных лиц для населения (акционеров), кредиторов, покупателей и т.д. Всех их можно назвать «участниками в собственности корпорации». Под этим понятием подразумеваются те, кто произвел различного рода инвестиции и соответственно заинтересован в результатах и качестве работы корпорации.
Эффективность корпоративного управления во многом зависит от успешного развития различных аспектов акционерных отношении. Формирование институтов, способных осуществлять финансирование, управление и контроль за корпорацией, есть предпосылка успешного развития экономики МО, без них сектор корпоративной собственности возникнуть не может. Главными вопросами в связи с этим являются следующие: каким образом должны появиться эти институты; какие реформы должны быть предприняты; какие модели корпоративного управления и контроля за ним могут быть использованы в рамках экономики МО.
Наиболее широко используемым механизмом, с помощью которого население-акционеры (инвесторы) осуществляют внутренний контроль за деятельностью менеджеров корпорации, является привлечение специалистов (агентов), наделенных полномочиями по защите интересов населения-владельцев. Эти лица именуются директорами и образуют представительный орган совет директоров корпорации. В этом состоит их отличие от исполнительных директоров, которые нанимаются на контрактной основе этим советом. Исполнительные директора образуют правление. Эти две группы директоров осуществляют внутреннее управление делами корпорации.
Совет директоров ответствен за решение следующих задач: формулирование стратегических целей; назначение руководителей, способных реализовать эти цели; надзор за реализацией стратегии; информирование населения (акционеров) о результатах управления активами корпорации.
Другим, не менее эффективным механизмом управления, способным обеспечить управление в интересах населения (акционеров), является поглощение. Свободно функционирующий рынок поглощений, называемый рынком корпоративного контроля, представляет собой постоянно действующий аукцион активов компаний. Если стоимость активов оказывается ниже определенного уровня, который корпорация сочтет для себя приемлемым, то она присоединяет к себе неудачника, обеспечивая рост корпоративной собственности.
Акции не только гарантируют право на остаточный, выгодный населению доход корпорации, но и предоставляют своим владельцам (населению) право участвовать в голосовании по определенным вопросам деятельности корпорации, особенно по вопросу членства в совете директоров. Каждая акция дает акционеру право на один голос, причем акционер имеет право выдать доверенность на участие в голосовании другому лицу.
Практика корпоративного управления развитием экономики МО предполагает состязание различных команд менеджеров, представляющих определенные программы социально-экономического развития сообщества, за получение доверенностей населения (акционеров) на управление корпорацией. В случае успеха выигравшая сторона получает контроль над корпорацией, даже не имея контрольного пакета акций.
Охарактеризованные формы не исчерпывают всех возможностей корпоративного управления и предполагают появление новых, более эффективных механизмов и конкретных технологий. Разница в структуре и способах формирования управления определяется различием форм собственности, что находит выражение в самой философии различных моделей корпоративного управления.
В целом все участники корпорации имеют сходные интересы, связанные с ростом их доходов и укреплением здоровья каждого из них. Однако непосредственные способы реализации этих интересов могут не совпадать, так как каждый имеет собственные представления об оптимальной политике корпорации. Создавая систему двойного контроля, исходят именно из этих соображений.
Стабильная система владения имеет огромную важность для обеспечения эффективного руководства корпорацией, поскольку она обеспечивает долгосрочные перспективы для принятия корпоративных управленческих решений. Если владелец корпорации население, то каждый житель является ее равновладельцем, а потому население более терпеливо, чем внешний инвестор (житель другого региона), у которого в постоянном распоряжении есть возможности для ухода.
Возникновение и последующая эволюция структур корпоративного управления протекали в экономике западных стран и Америки как постоянная реакция на развитие рынка. В России, где экономика была командной, саморегулируемый рынок приходится строить с нуля. Структура действующих здесь сил имеет свою специфику.
Первая реальная сила (но не обязательно единственная), имеющая достаточно возможностей для запуска рыночных механизмов, это государство, та самая властная структура, с которой рыночные силы находятся в противоборстве.
Вторая сила население МО, реализующее СЭПИН, создающее социально-финансовые группы муниципальных образований (СФГ МО) и внедряющее корпоративное управление социально-экономическим развитием территории. Через эти формы население имеет достаточно возможностей для запуска рыночных механизмов, увеличивает свои доходы и укрепляет здоровье.
Важно понять и принять внешне парадоксальную идею: усиление роли государства возможно через ослабление функции прямого управления экономикой государством. Только сильное правительство может заниматься в основном защитой экономики на всех уровнях иерархии ее построения, но не управлять ею.
Общей характеристикой функций муниципального менеджмента является то, что качество их выполнения сказывается непосредственно и сразу на самочувствии местного населения. Но их невозможно осуществить, рассчитывая лишь на местные налоги: если некоторые муниципалитеты располагают избыточной налоговой базой, то многим другим не хватило бы всех налогов экономических субъектов на их территориях.
Предполагается, что некий базовый уровень муниципального качества жизни должен быть обеспечен усилиями всего государства, а общая система управления должна создавать возможность экономического успеха всем, кто захочет и сможет жить лучше.
Это и есть основа для частичного лишения местного уровня его суверенитета, превращения самоуправления в децентрализованное управление.
Долевое корпоративное участие населения в СФГ МО выражает экономическую сущность сообщества, дает населению право противодействовать любому распоряжению собственностью, которое противоречит их интересам (например, касающемуся продажи имущества или определения величины выплачиваемого инвестиционного совокупного дохода).
Сущность организации управления экономикой региона
Результатами регионального воспроизводства в традиционном понимании выступают на разных фазах цикла валовой общественный продукт, конечный продукт, произведенный, распределенный и использованный национальный доход региона, наиболее полно отражаемые в межотраслевом балансе региона. Важным результирующим показателем является рост национального богатства региона, который служит одновременно и результатом, и необходимой предпосылкой регионального воспроизводства.
Выделяется также воспроизводство ресурсного потенциала региона, под которым понимаются воспроизводимые и невоспроизводимые природные ресурсы, трудовые ресурсы, овеществленные и неовеществленные (здания, информация) ресурсы.
В настоящее время в регионах страны макроэкономическая статистическая отчетность переводится на систему национальных счетов (СНС). В соответствии с ней изменяются показатели, характеризующие процесс воспроизводства в регионе. Ключевыми показателями регионального развития в системе национальных счетов являются: валовой внутренний и национальный продукт региона; валовая и чистая прибыль; валовой национальный доход; конечное потребление; валовое национальное сбережение; валовое накопление основных фондов; чистые кредиты (чистые долги); доходы и расходы бюджета.
Охватывая кроме производственной и так называемую непроизводственную сферу, показатели национальных счетов полнее отражают процесс и результаты регионального воспроизводства. Они дают возможность балансировать процесс по двум потокам: денежным доходам (расходам) и продукции, отражающим региональные спрос и предложение.
В СНС межотраслевому балансу региона соответствует таблица затраты-выпуск (матрица затраты-выпуск) В. Леонтьева, которая строится на основе не менее 150 продуктов и видов деятельности, пользующихся спросом на рынке.
Подход затраты-выпуск в региональном варианте позволяет объяснить пространственное распределение производства и потребления различных товаров и услуг. Он может использоваться для расчета количества товаров и услуг, которые должны быть произведены и потреблены каждой отраслью при условии сбалансированности суммарного спроса на каждый продукт и суммарного объема его выпуска. Динамическая модель матрицы может служить для прогнозирования объема и структуры производства в зависимости от изменения конечного спроса.
Использование в региональном экономическом анализе матрицы затраты-выпуск позволит, на наш взгляд, решить проблему построения сводных показателей регионального воспроизводства на качественно новом уровне.
Относительное обособление в пределах региона части хозяйственных и социальных связей по воспроизводству факторов производства, его фаз и результатов позволяет говорить не только о существовании единого регионального воспроизводственного цикла, но и о функционировании в его составе ряда локальных воспроизводственных циклов. К ним необходимо отнести следующие:
• использование природных ресурсов;
• использование трудовых ресурсов;
• топливно-энергетический цикл;
• химико-лесной цикл;
• инвестиционно-строительный цикл;
• агропромышленный цикл;
• денежно-финансовый цикл;
• цикл производственной инфраструктуры;
• цикл институционально-информационной инфраструктуры;
• цикл производства непродовольственных товаров для населения.
Все названные циклы могут рассматриваться как самостоятельные структуры со своими целями и задачами, но при этом они естественным образом взаимодействуют на одной территории, связывая интересы хозяйствующих субъектов региона с задачами его развития. Способствуя решению ряда общерегиональных проблем, они одновременно расширяют реальные возможности отдельных предприятий и организаций, предоставляя им инфраструктурные услуги и обеспечивая повышение уровня жизни населения.
Результатами управления воспроизводственными циклами с высоким уровнем локализации и в целом региональным воспроизводственным циклом являются комплексное экономическое и социальное развитие региона, формирование пропорций, отвечающих задачам структурной перестройки экономики, охраны окружающей среды, социальной защиты населения.
Контрольные вопросы
1. Нарисуйте схему воспроизводства производственных ресурсов в регионе.
2. Объясните эту схему.
3. Какие этапы воспроизводства производственных ресурсов в регионе вы мо жете выделить?
4. Что происходит на каждом этапе воспроизводственного процесса в регионе?
14. ОРГАНИЗАЦИЯ УПРАВЛЕНИЯ
ЭКОНОМИКОЙ РЕГИОНА
14.1. Сущность организации управления экономикой региона
Организационная структура управления является социально-экономической категорией, характеризующей отношения совокупности звеньев аппарата управления и существующих между ними организационных связей, выражающих взаимодействие и координацию элементов внутри данной системы. Структура отражает состав элементов, внутреннюю форму организации системы, ее статику, тогда как организационные отношения обеспечивают тесноту и эффективность структурных связей.
Организационные структуры управления имеют три сферы применения: государственную, коммерческую и общественную. Государственная сфера в свою очередь имеет три уровня: федеральный, региональный и казенных предприятий. Коммерческая сфера управления охватывает различные уровни корпоративного (обобществленных собственников) управления: малого, среднего и крупного предпринимательства в различных организационных формах. Это субъекты хозяйствования — кооперативы, концерны, холдинга и др. Общественная сфера в настоящее время приобретает экстраординарный характер.
Если раньше органы общественного самоуправления имели определенные и ограниченные функции, то теперь общественными структурами являются как представительные и судебные органы, государственные общественные фонды, органы самоуправления, так и структуры попечительского характера и вспомоществования, политические движения и партии.
Такая типизация организационных структур обусловливает и соответствующие организационные формы управления: министерства, ведомства, комитеты, ассоциации, акционерные общества, муниципальные образования, частные и казенные предприятия, банки, фонды и т.д.
Элементы организационной структуры в совокупности образуют организационное единство для реализации общей цели.
Каждый элемент наделяется соответствующими функциями. Нет и не может быть чистых функций без их субстанциональных носителей, равно как и не принадлежащих определенной структуре. Поэтому естественны и необходимы изменения в структуре, если меняются функции ее отдельных компонентов.
Формирование рыночной экономики предполагает создание новых организационных отношений и структур управления.
Во-первых, характерным становится перераспределение функций между различными органами государственного, коммерческого и общественного управления, делегирование функций не только сверху вниз, но и снизу вверх. Стремление региональных и муниципальных образований к расширению управленческой самостоятельности имеет под собой убедительные основания. Одно из них — невозможность центральной власти как прежде централизовать доходы от налогов и прибыли; другое — то обстоятельство, что центральная власть фактически не может обеспечить сохранение и развитие социальных стандартов в регионах, в силу чего не только уступает в этом прерогативу местным органам власти, но настоятельно делегирует им функцию социальной поддержки и защиты.
Во-вторых, со временем происходит моральное старение структуры управления, следствием чего становится неизбежной замена структур, не способных мобилизовать организационные резервы. Формируются перспективные организационные структуры. Среди последних важнейшими являются те, которые являются адекватными социально-рыночноQ среде экономического развития России, создают условия для качественных преобразований в системе общественных отношений; через структуры стимулируются интенсивные факторы роста социальной и экономической эффективности.
Факторы, влияющие на организационные структуры. На организационные структуры влияет ряд факторов. С одной стороны, они объективно обусловливают и предопределяют процесс их преобразования, а с другой — подчиняют эти структуры волевому воздействию полномочных органов и ответственных лиц.
Среди объективных факторов, влияющих на организационную структуру производства, особое и все возрастающее значение приобретает научно-технический прогресс. Он является катализатором социальных, экономических, управленческих и других организационных изменений в системе отношений участников процесса производства. Достижения НТП влияют на состав элементов организационных структур производства и управления.
В прошлом дискретный и зачастую случайный процесс формирования организационных структур объясняется тем фактом, что в условиях командно-административной системы управления была непомерно велика роль субъективного фактора. При этом руководствовались волевыми решениями отдельных ведомств, государственных и хозяйственных организаций, субъективным мнением политических лидеров.
Типы организационных структур управления. На начальном этапе перехода на рыночные отношения в экономике России действуют два типа организационных структур: экстенсивный (командно-административный) и интенсивный (товарный, рыночный).
Теоретические разработки о пространственной организации хозяйства
Отметим снова, что в приведенных постулатах и выводах отсутствует какая-либо международная специфика. Эта теория находится полностью в рамках условий межрегиональных отношений, тем более что по сравнению с товарообменом перемещение труда и капитала между регионами одной страны встречает гораздо меньше препятствий, чем между разными странами.
Из выводов Хекшера и Олина следует, что отсталые или развивающиеся страны (регионы), имеющие, как правило, сильный дефицит капитала и избыток рабочей силы, должны специализироваться на производстве и вывозе трудоемкой продукции. Развитые страны (регионы), накопившие большие массы функционирующего капитала (в том числе научно-технического), должны стремиться к вывозу капиталоемкой продукции. Страны (регионы), обладающие большими площадями сельскохозяйственных угодий и относительно низкой плотностью населения, заинтересованы в расширении вывоза сельскохозяйственной продукции.
Заметим, что земля и другие естественные ресурсы являются немобильными факторами, а перемещаться могут только продукты их использования.
Основные допущения и интерпретации теории Хекшера — Олина подвергались проверке и корректировке в последующие десятилетия. В частности, было установлено, что для выбора целесообразной структуры вывоза и ввоза товаров необходимо принимать во внимание не только прямые затраты производственных факторов, но и косвенные, сконцентрированные в потребляемых сырье и материалах. Эту аналитическую задачу реализовал много позже В. Леонтьев на основе метода межотраслевого баланса (input-output analysis).
Полученные им результаты вошли в историю как парадокс В. Леонтьева.
Контрольные вопросы
1.Что лежит в основе теории сельскохозяйственного штандорта Й. Тюнена?
2. В чем сущность рационального штандорта промышленного предприятия В. Лунхардта?
3. Какова основа теории промышленного штандорта А. Вебера?
4. В чем состоят особенности теории центральных мест?
5. Какие критерии взяты за основу в теориях региональной специализации и межрегиональной торговли?
6. Кто считается основоположником общей теории размещения?
4. ПРОСТРАНСТВЕННАЯ ОРГАНИЗАЦИЯ
И СПЕЦИАЛИЗАЦИЯ ХОЗЯЙСТВА
4.1. Теоретические разработки
о пространственной организации хозяйства
Начала теории размещения производства, заложенные Й. Тюненом, В. Лаунхардтом и А. Вебером, получили интенсивное продолжение в первой половине XX в. В этом процессе теоретического поиска можно выделить три основных направления:
• построение чистых теорий (точнее, теоретических конструкций), продолжающих традиции классиков;
• создание более общих теорий, охватывающих новые факторы, условия, аспекты;
• конструирование общей теории размещения на основе моделей пространственного экономического равновесия.
Характерными признаками первого направления — построение чистых теорий размещения — являются выбор относительно простой ситуации или проблемы (абстрагированной от конкретностей и второстепенных свойств) и ее глубокий количественный анализ, завершающийся выведением математической формулы, нахождением особого геометрического места или определением точных правил экономического поведения. Напомним, что именно так строилась теория изолированного государства Й. Тюнена или теория размещения промышленного предприятия В. Лаунхардта.
Типичным примером чистой теории является выявление оптимального размещения производственных фирм, которые при определенном спросе стремятся минимизировать транспортные издержки на единицу площади. Эту проблему, отталкиваясь от идеи В. Кристаллера, поставил А. Лёш. Суть найденного решения состоит в следующем.
Фирмы должны размещаться в вершинах кристаллеровской (гексагональной) решетки, и каждая фирма должна обслуживать покупателей в пределах своего правильного шестиугольника.
Другой типичный пример — феномен X. Хотеллинга: обоснование правила оптимального поведения конкурирующих производителей (продавцов), решающих простую на первый взгляд задачу размещения. X. Хотеллинг в 1929 г. исследовал модель дуопольного рынка. Два производителя, А и В, продают однородный продукт вдоль линейного рынка (например, два продавца мороженого) по ценам РА и РВ. Потребители распределены равномерно, каждый покупает одну единицу продукта в единицу времени. Каждый производитель может удовлетворить весь спрос.
Транспортные затраты на доставку единицы продукта на единичное расстояние равны с. Производители могут свободно размещаться по всей длине рынка, равной d. Каждый производитель гарантирован контролировать рынок с противоположной от конкурента стороны, длины этих гарантированных участков — соответственно а и b. Но рынок между ними — коллективный: для А это длина x, для В — длина у. Рыночная граница определяется равенством РА + сx = Рв + су. Полный анализ данной задачи получен в рамках некооперативной игры двух лиц.
Ко второму направлению — создание более общих теорий — относятся исследования, дополняющие и обобщающие подходы и результаты основоположников теории размещения. Здесь в первую очередь следует назвать имена немецких ученых О. Энглендера и Г. Ритчля, шведского ученого Т. Паландера, которые переходят от рассмотрения отдельного и изолированного промышленного предприятия к анализу взаимосвязанных предприятий, объединяют теории сельскохозяйственного и промышленного штандортов. Для этого теоретического направления характерны переход от минимизации издержек (не только транспортных, но и производственных) к максимизации прибыли и доходов, введение в рассмотрение переменных цен, ренты, функций спроса и предложения, элементов динамики.
Т. Паландер выдвинул всеобщую и специальную теории штандорта: первую — для региона и страны; вторую — для предприятий отрасли или группы отраслей. Он стремился соединить теории размещения предприятий и пространственный анализ рынков. Его основной труд Работы по теории размещения вышел в 1935 г. Т. Паландер стал предтечей новой волны синтетиков теории размещения (А.
Лёш, У. Айзард и др.).
Научным базисом третьего направления развития теории размещения является классическая модель общего экономического равновесия Л. Вальраса, точнее, ее логико-математическая структура. Это обстоgтельство — свидетельство включения теорий региональной экономики в главное русло общей экономической теории.
Построение модели общего пространственного экономического равновесия представляет собой задачу чрезвычайной сложности. Такая модель в принципе должна синтезировать все частные теории размещения и включать математическое описание условий размещения производства и населения, транспортных сетей, формирования региональных рынков, межрегиональной торговли и миграции населения, образования цен на продукты и факторы производства и др. Очевидно, что необходимо находить разумное сочетание общности модели и возможностей ее операционного использования.
Первые попытки конструирования модели пространственного экономического равновесия предпринимали Прёдель и Вайгман, однако создателем первой полной теории пространственного экономического равновесия, несомненно, является А. Лёш. Модель А. Лёша стала кульминацией его многогранного учения о пространственной организации хозяйства.
Во второй половине 50-х годов появляется целая серия работ по общей теории размещения, знаменующих переход к новому этапу развития региональной экономики как науки. Исследования в области теории размещения на основе моделей оптимизации и экономического равновесия (взаимодействия) составляют одно из современных направлений теории пространственной и региональной экономики.
Учение о пространственной организации хозяйства А. Лёша
В своем учении А. Лёш значительно расширяет состав факторов и условий, рассматриваемых при размещении предприятий и их сочетании (налоги, пошлины, эффекты монополий и олигополии и т.д.), насыщая теорию размещения всем разнообразием инструментов макроэкономики. Он анализирует ситуацию размещения фирм в условиях конкуренции, когда выбор местоположения определяется не только стремлением каждой фирмы к максимуму прибыли, но и увеличением числа фирм, заполняющих все рыночное пространство. Соответственно в пространственном ценообразовании отдельные фирмы должны корректировать цены с целью защиты своего рынка от проникновения других фирм.
А. Лёш доказывал оптимальность гексагонального размещения фирм (в вершинах правильных шестиугольников).
А. Лёш рассматривает экономический регион как рынок с границами, обусловленными межрегиональной конкуренцией. Идеальная форма региона — правильный шестиугольник. Он анализирует несколько типов (уровней) регионов, включая рыночные зоны, определяемые радиусами конкурентоспособного сбыта соответствующих видов продукции, и экономический ландшафт — высший тип региона, объединяющий рыночные зоны.
А. Лёш усиливает также теорию межрегиональной торговли (в частности, Б. Олина) при предположениях о мобильности товаров и услуг в краткосрочном периоде и факторов производства в долгосрочном периоде.
Наибольшим научным достижением А. Лёша, поднимающим его над всеми теоретиками пространственной экономики до середины XX в., является разработка принципиальных основ теории пространственного экономического равновесия.
Теория центральных мест
Выведенная формула агломерации f(M) = ARS включает три фактора, от которых зависит агломерация. Требуется учесть еще одно условие — производственную плотность.
Обозначим через р производственную плотность, под которой здесь понимается объем продукции, приходящейся на единицу площади с радиусом R, при равномерном распределении производства на данной площади. Тогда вся производственная масса, притягиваемая к агломерационному центру, будет равна R2p = М.
Отсюда
Сравнивая полученную формулу с ранее выведенной, получаем окончательную формулу агломерации
А. Веберу первому удалось выработать многофакторную теорию размещения промышленного предприятия, опирающуюся на методы количественного анализа (математическое моделирование). Так же как и его предшественник В. Лаунхардт, А. Вебер не вышел за рамки проблемы размещения отдельного предприятия. Однако его исследования стали мощным стимулом для создания более общих теорий размещения.
3.4. Теория центральных мест
Первую теорию о функциях размещения системы населенных пунктов (центральных мест) в рыночном пространстве выдвинул В. Кристаллер в своем труде Центральные места в южной Германии, опубликованном в 1993 г. Теоретические выводы он обосновал эмпирическими данными.
Центральными местами В. Кристаллер называет экономи_еские центры, которые обслуживают товарами и услугами не только себя, но и население своей округи (зоны сбыта). Согласно В. Кристаллеру, зоны обслуживания и сбыта с течением времени имеют тенденцию оформляться в правильные шестиугольники (пчелиные соты), а вся заселенная территория покрывается шестиугольниками без просветов (кристаллеровская решетка). Благодаря этому минимизируется среднее расстояние для сбыта продукции или поездок в центры для покупок и обслуживания.
Теория В. Кристаллера объясняет, почему одни товары и услуги должны производиться (предоставляться) в каждом населенном пункте (продукты первой необходимости), другие — средних поселениях (обычная одежда, основные бытовые услуга и т.п.), третьи — только в крупных городах (предметы роскоши, театры, музеи и т.д.)
Каждое центральное место имеет тем большую зону сбыта, чем выше уровень иерархии, к которому оно принадлежит. Кроме продукции, необходимой для зоны своего ранга (своего шестиугольника), центр производит (предоставляет) товары и услуги, типичные для всех центров низших рангов.
Рис. 3.5. Размещение зон обслуживания
и населенных пунктов по теории В. Кристаллера
Тип иерархии определяется числом центральных мест данного уровня. Число подчиненных центральных мест, увеличенное на единицу, обозначается буквой К. Любой центр всегда имеет зависимое от него одинаковое количество поселений, занимающих более низкую ступень.
Рассмотрим, например, случай, когда имеется трехступенчатая иерархия поселений: город — поселок — деревня. Тогда при К = 7 вокруг каждого города будет расположено 6 поселков, а вокруг каждого поселка — 6 деревень, т.е. вокруг города будет всего 6 поселков и 36 деревень. При четырехступенчатой иерархии (город — поселок — поселение — деревня) вокруг города разместятся 6 поселков, 36 поселений и 216 деревень и т.д. Общая формула для отражения данной зависимости имеет следующий вид:
Mn =(K 1)n ,
где Mn — число зависимых мест на той или иной степени иерархии;
п — ступень иерархии.
Количество возможных типов иерархии в принципе может быть любым. Однако наибольшее внимание В. Кристаллер и его последователи уделяли анализу трех типов, или вариантов, иерархии при К = 3, 4, 7. Эти варианты иерархии систем расселения интерпретируются следующим образом.
Вариант при К = 3 обеспечивает оптимальную конфигурацию рыночных зон (территорий, население которых приобретает товары и услуги в данном центральном месте). Обслуживание территории достигается наименьшим возможным числом центральных мест. При этом каждое центральное место обслуживается тремя центральными местами следующего, более высокого уровня иерархии и находится на равных расстояниях от них.
Вариант при К = 4 создает наилучшие условия для строительства транспортных путей, так как в этом случае наибольшее число центральных мест будет расположено на одной трассе, соединяющей более крупные города, что обеспечит минимальные издержки на строительство дороги, т.е. данное центральное место будет находиться на кратчайшем расстоянии до двух ближайших центров более высокого уровня иерархии.
Вариант при К = 7 представляется целесообразным, если необходим четкий административный контроль. В этом случае все центральные места, зависимые от данного места, полностью входят в его зону.
Из приведенных примеров видно, что функции поселений различны, каждое их них имеет свой радиус влияния и притяжения. В соответствии с этим возможны и разные способы территориальной организации систем расселения, при которых создаются наиболее благоприятные условия для выполнения тех или иных их функций. Рассмотренные три случая, соответствующие значениям показателя К, можно интерпретировать как рыночную, транспортную и административную ориентации в формировании территориальной структуры расселения.
Теория центральных мест В. Кристаллера хотя и носит крайне абстрактный характер, но позволяет сформулировать общие представления о целесообразном расселении на той или иной территории. Ее можно рассматривать как теорию, дающую идеальный эталон системы расселения, с которым следует сравнить складывающиеся в реальности системы расселения с целью выявления направлений их совершенствования. Известны также примеры практического применения теории центральных мест к решению конкретных проблем территориальной организации хозяйства и расселения в различных странах.
3.5. Региональные рынки и пространственная теория цены
Многие учебники микроэкономики начинаются с анализ механизма спроса и предложения на товарном рынке, демонстрируя при этом модель рыночного равновесия, где предполагается, что спрос на товар D падает при увеличении цены Р, предложение товара S, наоборот, растет при увеличении цены (рис. 3.6). Пересечение обратных функций спроса и предложения QD = D(P) и QS = S(P) дает точку равновесия спроса и предложения Q* и цену равновесия Р*:
Q* = D (Р*) = S (Р*).
Приведенная широко известная модель имеет, однако, принципиальный недостаток: она игнорирует влияние пространства или (что по сути то же самое) допускает, что рынок является точкой. Для теории пространственной или региональной экономики такие предположения неприемлемы. По-видимому, первым, кто обратил внимание на это несоответствие (еще в 1838 г.), был французский экономист — математик О. Курно.
Начальный шаг анализа механизма спроса и предложения в экономическом пространстве — это рассмотрение пространственно разделенных автономных региональных рынков. Очевидно, что в каждом полностью автономном регионе будут устанавливаться свое рыночное равновесие спроса и предложения и свои цены рыночного равновесия, т.е. в каждом регионе описанная выше модель будет работать автономно.
Ситуация принципиально усложняется, если региональные рынки связываются друг с другом. Проведем анализ двух рынков региональной системы, производящей и потребляющей однородный товар.
Рис. 3.6. Равновесие спроса и предложения
однородного товара на точечном рынке
Пусть А1 — цена равновесия для автономного региона 1; А2 — то же для автономного региона 2; Т1,2 — транспортные затраты на доставку единицы товара из региона 1 в регион 2; Т2,1— транспортные затраты на доставку единицы товара из региона 2 в регион 1. Задача состоит в том, чтобы определить объемы производства, межрегиональные поставки товара и цены равновесия (Р1* и Р2*) в системе связанных региональных рынков.
Пусть для определенности А2 А1. Тогда у производителей (продавцов) возникает стимул для поставки товара из региона 1 в регион 2 с целью реализации его по более высокой цене. Последствие открытия региональных рынков будет зависеть от соотношения разницы А2 — А1 и транспортных затрат Т1,2 .
Если оказывается, что А2 — А1 Т1,2 , то межрегиональная торговля неэффективна, поскольку выигрыш производителя (продавца) региона 1 на цене реализуемого товара меньше транспортных затрат. В этом случае состояние равновесия региональных рынков сохраняются такими же, как и при автономном их функционировании. Более интересен вариант, когда А1 = А2 . Тогда выгодно поставлять товар из региона 1 в регион 2, а на каждом региональном рынке установится новое равновесие. Цены равновесия будут удовлетворять условию Р2* = Р1* + Т1,2 (причем Р1* А1; Р2* А2) , а вывоз товара из региона 1 в регион 2 будет равен ввозу товара в регион 2 из региона 1 (с обратным знаком):
E1,2 = E2,1 .
Выведение условий рыночного равновесия для многорегиональной системы представляет собой принципиально более сложную математическую задачу. До создания мощных компьютеров и алгоритмов нахождения состояния равновесия в задачах большей размерности предпринимались попытки моделирования решений с помощью особых методик. В настоящее время решение таких задач не представляет чрезмерной сложности.
3.6. Теории региональной специализации
Типы хозяйственных систем
2.2. Типы хозяйственных систем
Современная рыночная экономика представлена несколькими типами хозяйственных систем. Английский экономист Фридрих фон Хайек особо отмечает опережающую события деловую активность, инициативу и самостоятельность хозяйствующих субъектов, действующих в специфических условиях данных хозяйственных систем. Сами хозяйственные системы могут подразделяться на несколько типов.
Под хозяйственной системой понимается система производственно-экономических отношений, определяющая порядок взаимодействия хозяйствующих субъектов в рамках определенных правил и условий, оговоренных или установленных законодательством данного государства.
В последние два столетия в мире действовали различные типы хозяйственно-экономических систем.
В рыночной экономике цены на товары и услуги устанавливает рынок под влиянием спроса.
Согласно действующему на рынке закону спроса, объем покупок обратно пропорционален уровню цен. При понижении цен сделать покупку может большее число потребителей, а при повышении цен — количество покупателей сокращается.
1 простая хозяйственная система; 2 рыночная хозяйственная система; 3 планово-распределительная хозяйственная система
Рис. 2.1. Тенденции развития хозяйственных систем
В рамках определенных хозяйственных систем могут существовать различные модели рыночных экономик. Все они широко представлены в современном мире. Из всех хозяйственных систем рыночная система оказалась наиболее гибкой: она способна перестраиваться, приспосабливаться к изменяющимся внутренним и внешним экономическим условиям.
Во второй половине XX в., когда широко развернулась научно-техническая революция и стала особенно быстро развиваться производственная и социальная инфраструктура, государство стало намного активнее воздействовать на развитие национальной экономики. В связи с этим изменился хозяйственный механизм, организационные формы хозяйственной деятельности и экономические связи между хозяйствующими субъектами (табл. 2.1).
В развитой рыночной экономике хозяйственный механизм претерпевает существенные изменения. Плановые методы хозяйствования получают дальнейшее развитие в рамках отдельных фирм в виде маркетинговой системы управления. В то же время на макро-уровне развитие плановых методов связано с государственным регулированием экономики.
Планомерность выступает как средство активного приспособления к требованиям рынка, в результате и ключевые задачи экономического развития получают новое решение. Так, вопрос об объеме и структуре производимой продукции решается на основе маркетинговых исследований в рамках фирм, а также анализа приоритетных направлений НТП, прогноза развития общественных потребностей на макро-уровне. Прогноз рынка позволяет заблаговременно сокращать выпуск устаревающих товаров и переходить к качественно новым моделям и видам продукции.
Маркетинговая система управления производством создает возможность еще до начала производства приводить индивидуальные затраты компаний, выпускающих основную массу товаров данного вида, в соответствие с общественно необходимыми затратами.
Таблица 2.1
Некоторые отличия современного капитализма
от чистого капитализма
Основные черты
|
Капитализм
XVIII-XIX вв.
|
Капитализм второй половины XX в.
|
Масштабы обобществления
производства
|
Обобществление
производства
в рамках предприятия
|
Обобществление
и огосударствление части хозяйства в национальном и интернациональном масштабах
|
Преобладающая форма собственности
|
Экономическая
деятельность
единоличных предпринимателей-капиталистов
|
Экономическая деятельность на базе коллективной,
частной и государственной собственности
|
Регулирование экономики
|
Саморегулирование
индивидуальных капиталов на основе свободного рынка при слабом вмешательстве государства
|
Активное государственное регулирование национальной экономики для стимулирования потребительского спроса и предложения,
предотвращения кризисов, безработицы и т.д.
|
Социальные гарантии
|
Социальная незащищенность граждан в случаях безработицы, болезни, старости
|
Создание государственных и частных фондов социального страхования и социального обеспечения
|
Государственные отраслевые и общенациональные программы (планы) также оказывают существенное влияние на объем и структуру производимых товаров и услуг, обеспечивая их большее соответствие изменяющимся общественным потребностям.
Задача использования ресурсов решается в рамках крупных компаний на основе стратегического планирования с учетом наиболее перспективных отраслей. В то же время перераспределение ресурсов на развитие новейших отраслей происходит за счет бюджетных ассигнований, государственных общенациональных и межгосударственных программ, проведения НИОКР в приоритетных направлениях НТР. Например, в настоящее время реализуются общеевропейские программы Эврика и Эсприт.
Наконец, задача распределения созданного валового национального продукта (ВНП) решается не только на основе традиционно сложившихся форм, но и дополняется выделением все больших ресурсов как крупными компаниями, так и государством для вложений в развитие человеческого фактора (финансирование систем образования, в том числе переподготовки работников различной квалификации, совершенствование медицинского обслуживания населения, социальные нужды).
На социальное обеспечение, реализацию многочисленных программ борьбы с бедностью в развитых странах в настоящее время направляется не менее 30—40% всех государственных бюджетных ассигнований. Одновременно крупные фирмы заботятся о своих сотрудниках, стремясь активизировать работу персонала, повысить производительность труда, сократить потери рабочего времени и тем самым укрепить собственную конкурентоспособность.
Традиционная хозяйственная система. В экономически слаборазвитых странах существует традиционная экономическая система, которая базируется на отсталой технологии, широком распространении ручного труда, многоукладности экономики. Многоукладность экономики означает существование в данной экономической системе различных форм хозяйствования. В ряде стран сохраняются натурально-общинные формы, основанные на общинном коллективном ведении хозяйства и натуральных формах распределения созданного продукта. Огромное значение имеет мелкотоварное производство.
Оно основано на частной собственности на производственные ресурсы и личном труде их владельца. В странах с традиционной системой мелкое товарное производство представлено многочисленными крестьянскими ремесленными хозяйствами, которые доминируют в экономике.
В условиях относительно слабо развитого национального предпринимательства огромную роль в экономике рассматриваемых стран часто играет иностранный капитал. В жизни общества преобладают освященные веками традиции и обычаи, религиозные и культурные ценности, кастовое и сословное деление, сдерживающие социально-экономический прогресс.
Решение ключевых экономических задач имеет специфические особенности в рамках различных укладов. Традиционной системе свойственна активная роль государства. Перераспределяя через бюджет значительную часть национального дохода, государство направляет средства на развитие инфраструктуры и оказаний социальной поддержки беднейшим слоям населения.
Административно-командная система (централизованно-плановая коммунистическая). Эта система господствовала ранее в CCCР, странах Восточной Европы и в ряде азиатских государств. В последние годы многие отечественные и зарубежные экономисты в своих работах попытались дать ее обобщенную характеристику5.
Характерными чертами административно-командной системы являются: общественная (а в реальности государственная) собственность практически на все экономические ресурсы; монополизация и бюрократизация экономики в специфических формах; централизованное экономическое планирование как основа хозяйственного механизма.
Хозяйственный механизм административно-командной системы имеет ряд особенностей. Он предполагает, во-первых, непосредственное управление всеми предприятиями из единого центра — высших эшелонов государственной власти, что сводит на нет самостоятельность хозяйственных субъектов. Во-вторых, государство полностью контролирует производство и распределение продукции, в результате чего исключаются свободные рыночные взаимосвязи между отдельными хозяйствами.
В-третьих, государственный аппарат руководит хозяйственной деятельностью с помощью преимущественно административно-распорядительных методов, что подрывает материальную заинтересованность в результатах труда.
При чрезмерной централизации исполнительной власти развивается бюрократизация хозяйственного механизма и экономических связей. По своей природе бюрократический централизм не способен обеспечить рост эффективности хозяйственной деятельности. Дело здесь прежде всего в том, что полное огосударствление хозяйства вызывает невиданную по своим масштабам монополизацию производства и сбыта продукции.
Гигантские монополии, утвердившиеся во всех областях народного хозяйства и поддерживаемые министерствами и ведомствами, при отсутствии конкуренции не заботятся о внедрении новинок техники и технологии.
Типы и виды рыночных экономик
Для порождаемой монополизмом дефицитной экономики характерно отсутствие нормальных материальных и людских резервов в случае возникновения диспропорций в народном хозяйстве.
В странах с административно-командной системой решение общеэкономических задач имело специфические особенности. В соответствии с господствовавшими идеологическими установками задача определения объема и структуры продукции считалась слишком серьезной и ответственной, чтобы передать ее решение непосредственным производителям — промышленным предприятиям, колхозам и совхозам. Поэтому структура общественных потребностей определялась непосредственно центральными плановыми органами.
Однако, поскольку детализировать и предвидеть изменение общественных потребностей в таких масштабах принципиально невозможно, эти органы руководствовались преимущественно задачей удовлетворения минимальных потребностей.
Централизованное распределение материальных благ, трудовых и финансовых ресурсов осуществлялось без участия непосредственных производителей и потребителей в соответствии с заранее выбранными в качестве общественных целями и критериями на основе централизованного планирования. Значительная часть ресурсов согласно господствовавшим идеологическим установкам направлялась на развитие военно-промышленного комплекса.
Распределение созданной продукции между участниками производства жестко регламентировалось центральными органами посредством повсеместно применяемой тарифной системы, а также централизованно утверждаемых нормативов средств, направляемых в фонд заработной платы. Это вело к преобладанию уравнительного подхода в оплате труда.
Нежизнеспособность этой системы, ее негибкость и инертность в отношении внедрения достижений НТР, неспособность обеспечить переход к интенсивному типу экономического развития послужили причиной социально-экономических преобразований во всех бывших социалистических странах. Сегодня стратегия экономических реформ в этих странах хотя и определяется ориентирами развития мировой цивилизации, однако полностью зависит от внутренних возможностей каждого государства. При определении стратегии развития регионов России также учитываются внутренние возможности территорий страны.
2.3. Типы и виды рыночных экономик
У древних народов рынок возник как эпизодически повторявшаяся процедура обменных операций, чаще всего связанная с ритуальными действиями. Наши представления о рынке, естественно, являются более масштабными. Но сутью рынка остается основанное на взаимном интересе общение продавцов и покупателей.
Девиз А. Смита: Дайте мне то, что хочу я, и я вам дам то, что хотите вы и по сей день остается в силе.
Рынок позволяет реализовать частные интересы продавцов и покупателей, ориентирует разрозненных участников обменных операций в их дальнейшей деятельности, помогает принять решение о том, что производить, в каких размерах, какими методами, обеспечивая тем самым общее экономическое развитие.
Что исторически и логически необходимо для возникновения рыночных отношений? Во-первых, продавцы товара должны быть его владельцами. В рамках общественной собственности отдельный производитель не может владеть продуктом, т.е. свободно им распоряжаться.
Превращение товарного обмена в регулярное явление прочно связано с распространением частной собственности. Она обеспечивает право распоряжения (продажи) и в то же время создает личную заинтересованность в удешевлении производства товара, улучшении его качества и потребительских свойств.
Во-вторых, обмен должен стать необходимостью. Переход от случайного обмена, акта реализации редких излишков к обмену как процедуре, систематически повторяющейся и жизненно необходимой, связан с разделением труда в обществе. От общей массы первобытных племен отделяются пастушеские (т.е. возникает скотоводство как самостоятельная ветвь трудовой деятельности), затем от земледелия отделяется ремесло и возникают его специализированные отрасли.
Начала рыночной экономики мы встречаем в древних рабовладельческих государствах, где она играет уже заметную роль в средневековых городах, хотя там имелось множество внеэкономических рычагов, всякого рода запретов и монополий, тормозящих развитие рыночных отношений.
С переходом к индустриальному (капиталистическому) обществу возникает единый национальный рынок, экономика превращается в преимущественно товаропроизводящую; значительно расширяется ассортимент благ и услуг, предлагаемых на рынке. Покупатели и продавцы реализуют свободу экономического выбора и принятия решений. (Фридрих фон Хайек (1899—1990), основоположник современного либерализма, считал рыночную экономику и свободное общество синонимами).
И главное, экономика получает мощный импульс для своего развития в виде повсеместно распространившейся материальной заинтересованности как предпринимателей, так и наемных рабочих. Рынок — это оптимальная система, позволяющая сообществу, члены которого преследуют собственные интересы, достичь максимальных при данных ресурсных возможностях, уровне развития экономических отношений, при других обстоятельствах совокупных результатов, — говорил еще А. Смит.
Поэтому типы и виды экономик определяются многими факторами, и основными из них являются: ресурсные возможности государства или территории; национальный менталитет; уровень культуры населения, или нации; геополитические особенности территории, что влияет на специфику организации воспроизводственных процессов на всех уровнях функционирования хозяйственных систем — национальном, региональном, первичном и т.д. Особенности ведения хозяйства определяют специфику моделей хозяйствования и в конечном счете типы рыночных экономик.
Типы и виды экономик представлены следующими моделями рыночных систем.
1. Американская модель. Она построена на системе всемерного поощрения предпринимательской активности, обогащения наиболее активной части населения. Малообеспеченным группам создается приемлемый уровень жизни за счет частичных льгот и пособий.
Задача социального равенства здесь вообще не ставится. Модель основана на высоком уровне производительности труда и массовой ориентации на достижение личного успеха.
2. Японская модель. Данная модель характеризуется определенным отставанием уровня жизни населения (в том числе уровня заработной платы) от роста производительности труда, за счет чего достигается снижение себестоимости продукции: и резкое повышение ее конкурентоспособности на мировом: рынке. Препятствий имущественному расслоению не ставится.
Такая модель возможна только при исключительно высоком развитии национального самосознания, приоритете интересов нации над интересами конкретного человека, готовности населения идти на определенные материальные жертвы ради процветания страны.
3. Шведская модель. Она отличается сильной социальной политикой, направленной на сокращение имущественного неравенства за счет перераспределения национального дохода в пользу наименее обеспеченных слоев населения. Здесь в руках государства находится всего 4% основных фондов, зато доля государственных расходов была в 80-х годах XX в. на уровне 70% ВВП, более половины из которых направлялось на социальные цели.
Естественно, что такой тип экономических отношений возможен только в условиях высокой нормы налогообложения. Такая модель получила название функциональная социализация, при которой функция производства ложится на частные предприятия, действующие на конкурентной рыночной основе, функция обеспечения высокого уровня жизни (включая занятость, образование, социальное страхование) и многих элементов инфраструктуры (транспорт, НИОКР) — на государство.
4. Германская модель. Данная модель сформировалась на основе ликвидации концернов гитлеровских времен и предоставления всем формам хозяйства (крупным, средним, мелким) возможности устойчивого развития. При этом особым покровительством пользуются так называемые миттельштанд, т.е. мелкие средние прMдприятия, фермерские хозяйства.
Государство активно влияет на цены, пошлины и технические нормы.
В России в последние годы начали осуществляться экономические реформы, связанные с переходом к рыночным отношениям, демонополизацией экономики, разгосударствлением и приватизации собственности, т.е. с возникновением системы современной рыночной экономики. Однако в настоящее время в стране существует эклектическая экономическая система, состоящая из элементов административно-командной системы, рыночной экономики эпохи свободной конкуренции и современной рыночной системы. В бывших советских азиатских республиках к этому конгломерату добавляются еще и элементы традиционной системы.
Назвать существующие в России имущественные отношения и организационные формы экономической системой (пусть и эклектической) можно лишь условно. Отсутствует важная особенность системы — ее относительная стабильность. Ведь в хозяйственной жизни России все находится в движении, имеет переходный характер.
Этот переход, судя по всему, растягивается на десятилетия, и с этой точки зрения переходная (от административно-командной к современной рыночной) экономика может быть названа системой.
Транспортный и рабочие пункты и изодапаны
Он сделал существенный шаг впред по сравнению с Й. Тюненом и В. Лаунхардтом, введя в теоретический анализ новые факторы размещения производства в дополнение к транспортным издержкам и ставя более общую оптимизационную задачу: минимизацию общих издержек производства, а не только транспортных.
А. Вебер создал подробную классификацию факторов размещения по их влиянию, степени общности и проявлениям. Фактором размещения он называет экономическую выгоду, которая выявляется для хозяйственной деятельности в зависимости от места, где осуществляется эта деятельность. Эта выгода заключается в сокращении издержек по производству и сбыту определенного промышленного продукта и означает, следовательно, возможность изготовлять данный продукт в одном каком-либо месте меньшими издержками, чем в другом месте. В результате отсеивания элементов производственных издержек, не зависящих от местоположения, А. Вебер оставляет три фактора: издержки на сырые материалы, издержки на рабочую силу и транспортные издержки. Однако первый из них — разницу в ценах на используемые материалы — можно, как считает Вебер, выразить в различиях транспортных издержек, исключив из самостоятельного анализа.
Все остальные условия, включающие размещение предприятия, он рассматривает как некоторую объединенную агломерационную силу, или третий штандортный фактор. Таким образом, в конечном счете анализируются три фактора: транспорт, рабочая сила и агломерация.
Дальнейший анализ ведется последовательно по трем факторам. Соответственно выделяются и три основные ориентации в размещении: транспортная, рабочая и агломерационная.
Транспортная ориентация. Согласно Веберу, величина транспортных издержек зависит от веса перевозимых грузов и расстояния перевозки. Под влиянием транспортных издержек промышленное предприятие будет притягиваться к тому пункту, в котором с учетом местоположения потребительского центра и источников сырья транспортные издержки минимальны. Этот пункт есть транспортный штандорт (транспортный пункт). Для его нахождения используется весовой (локационный) треугольник В. Лаунхардта.
При этом важную роль играют два показателя: материальный индекс и штандортный вес.
Например, для производства 100 т продукта требуется 300 т одного материала и 200 т другого. Тогда материальный индекс будет равен (300 + 200) : 100 = 5. Штандортный вес составит 300 + 200 + 100 = 600 (т), или 6 в пересчете на 1т готового продукта, т.е. штандортный вес равен материальному индексу плюс единица. Существуют производства, у которых материальный индекс меньше единицы.
Исходя из соотношения указанных показателей легко установить, что производства с высоким материальным индексом тяготеют к пунктам производства сырья материалов, а производства с небольшим индексом к центру потребления.
Рабочая ориентация. Далее, учитывая различия в издержках на рабочую силу (рабочих издержек), определяется рабочий пункт, т.е. пункт с наименьшими рабочими издержками. Рабочий пункт будет притягивать производство к себе, в результате чего производство либо останется в транспортном пункте, либо переместится в рабочий пункт.
Такое перемещение может произойти тогда, когда экономия на рабочих издержках в данном пункте перекрывает перерасход в транспортных затратах из-за перемещения производства.
Для определения промышленного штандорта с учетом совместного влияния факторов транспортных издержек и рабочей силы А. Вебер прибегает к построениям так называемых изодапан (isodapane), смысл которых заключается в следующем. Приросты транспортных затрат, обусловленные перемещением производства из транспортного пункта в рабочий, увеличиваются с удалением от транспортного пункта, причем более или менее равномерно в любом направлении удаления. Поэтому в каждом направлении должны существовать пункты, для которых приросты транспортных затрат (или издержки отклонения) будут одинаковыми.
Линии, соединяющие эти пункты одинаковых издержек отклонения, и называются изодапанами.
Рис. 3.3. Транспортный и рабочие пункты и изодапаны
Графически (рис. 3.3) такие линии можно представить в виде замкнутых кривых, которые описываются вокруг пункта транспортного минимума (Р) и соединяются точки одинаковых отклонений в транспортных издержках при перемещении пpoизводства в рабочие пункты (P1 или P2). При этом изодапана, соединяющая точки, в которых отклонения транспортных издержек равны экономии на рабочих издержках, называется критической изодапаной для данного рабочего пункта.
Если данный рабочий пункт лежит внутри своей критической изодапаны, то перемещение производства из транспортного пункта в рабочий пункт выгодно, а если вне ее, то перемещение невыгодно. Например, если для рабочего пункта P1 критической изодапаной является А3, то предприятие предпочтительнее разместить в транспортном пункте Р. Если критической изодапаной является А4, то предприятие целесообразно разместить в рабочем пункте P1.
Агломерационная ориентация. Анализ влияния агломерационных факторов на размещение промышленного предприятия Вебер провел на базе оценки изменений, вызываемых процессами агломерации, в оптимальной схеме размещения производства, полученной на основе транспортной и рабочей ориентаций. Для этого он ввел дополнительное понятие — индекс сбережений.
Смысл того понятия поясним на следующем простом примере.
Пусть различным объемам агломерированной массы (например, годовым выпускам продукции) соответствуют различные удельные издержки:
1) 100 т — 10 руб.;
2) 400 т — 6 руб.;
3) 1600 т — 4руб.;
4) 6400 т — 3 руб.
Уменьшение удельных издержек при росте объема производства отражает эффект концентрации. Разница в издержках для агломерированных масс по сравнению с первым уровнем концентрации производства составит: для второго уровня — 4(10 - 6); для третьего — 6(10 - 4); для четвертого — 7(10 - 3). Полученные величины (4; 6; 7) и представляют собой те сбережения, которые получаются для различных степеней агломерации и повышаются при укрупнении производства.
Эти величины Вебер и называл индексами сбережений при агломерации.
Проводимый анализ влияния фактора агломерации на размещение производства предполагает отсутствие влияния всех других факторов, кроме транспортного. Исходя из транспортной ориентации отыскиваются отклонения производства транспортных пунктов, обусловленные действием фактора агломерации. Такие отклонения целесообразны, если издержки отклонения перекрываются сбережениями в агломерационных пунктах.
Дни определения места размещения агломерационного производства вокруг транспортных пунктов проводятся изодапаны, среди которых выделяется критическая изодапана, т.е. геометрическое место точек, где перерасход транспортных затрат равен экономии от агломерации производства. Вебер утверждает, что отклонение изолированных производств от транспортных пунктов имеет смысл только тогда, когда все отклоняющиеся производства, не выходя за пределы своих критических изодапан, соединятся в каком-то одном месте. Таким местом является площадь общего сегмента, образованного пересекающимися критическими изодапанами, так как только внутри этого сегмента издержки отклонения для каждого производства не превышают той выгоды, которая получается от соединения, т.е. не превышает агломерационных сбережений.
Иллюстрацией этого рассуждения является рис. 3.4.
Рис. 3.4. Транспортные пункты
и площадь агломерации производств
Агломерируемые производства должны размещаться в штрихованном сегменте. Выбор точки размещения происходит с учетом транспортного фактора. В более общем случае несколько предприятий образуют не один, а несколько сегментов.
А. Вебер рассматривает различные ситуации при осуществлении агломерации, конкретизируя методику нахождения штандорта. Он предлагает формулы агломерационных эффектов.
Пусть М — производственная масса какого-либо крупного производства. Величина сбережений от агломерации в расчете на единицу продукта будет выражаться в виде функции сбережения — f(M). Тогда общая величина сбережений на всю производственную массу составит:
Э1 = М • f(M).
Допустим, что с крупным производством сливается мелкое производство с производственной массой т. Тогда общая сумма сбережения для двух производств составит:
Э2 = (М + т) • f(M + т).
Определим приращение сбережения, получаемого в результате слияния двух производств:
Э = Э2 Э1 = (М + т) • f(M + т) M • f(M)
Cлияние мелкого производства с крупным происходит, согласно А. Веберу, в том случае, если величина сбережения от слияния предприятий больше (или по крайней мере не меньше) перерасхода транспортных затрат из-за переноса производства т в пункт производства М, т.е.:
где А — штандортный вес;
R — радиус отклонения;
S —ставка транспортного тарифа (т/км)
Отсюда можно определить величину наибольшего, экономики допустимого, радиуса отклонения.
Определяем первую производную функции:
Функция f(M), называемая функцией агломерации, служит выражением притягательной силы крупного производства по отношению к рассеянным мелким производствам. Поскольку f(M) = ARS, то R = f(M) : AS, т.е. максимально допустимый радиус отклонения прямо пропорционален функции агломерации и обратно пропорционален штандортному весу и тарифной ставке.
Виды воздействия на экономическое развитие региона
В целом стратегия налогового и прочего влияния оказывается эффективной лишь тогда, когда у властей имеется подробная информация, в том числе аналитическая, о состоянии того или иного бизнеса и о факторах, влияющих на принятие стратегических решений. Обычно подобной информации у администрации нет. Более того, информация такого рода обычно утаивается с целью получения налоговых и других льгот.
Все это приводит к тому, что налоговые льготы становятся необоснованным и односторонним выигрышем бизнеса.
В то же время особый налоговый режим для новых инвестиционных проектов в современных российских условиях позволяет достичь весьма значимых результатов. Так, администрация Новгородской области установила налоговые льготы для инвестиций на территории области, получила существенный приток иностранных инвестиций, гарантирующих уже сегодня высокий потенциал экономического развития области в будущем.
К регулирующим воздействиям администрации относится установление правил пользования землей. Например, в 90-е годы в отечественной практике организации жилищного строительства стало правилом строительство «с нагрузкой», когда частный инвестор получал право на строительство (или капитальный ремонт здания) лишь в том случае, если соглашался определенную долю готового жилья передать городским властям, а также при условии восстановления или расширения общегородских сетей и коммуникаций.
Выделение соответствующих зон использования земли для жилищного строительства, для торговли и бизнес-центров, для промышленного использования оказывает влияние на частных инвесторов, планирующих развитие своей деловой активности. При планировании и осуществлении того или иного строительства можно изменять обычные правила застройки, тем самым предоставляя конкретные льготы или высвобождая средства под те или иные программы.
Регулирование порядка застройки может дать весьма ощутимый эффект в длительной перспективе. Однако получение соответствующего эффекта возможно только при условии проработки стратегических планов развития города, при четком выделении долгосрочных и краткосрочных целей его развития.
Прямая кооперация администрации и бизнеса. В случае реализации крупных проектов развития городов иногда оказывается целесообразным непосредственное сотрудничество администрации и частных организаций. Примерами такого рода могут служить проекты «Сити» и «Манежная площадь» в Москве.
Будучи масштабными долгосрочными проектами, способствующими развитию города в целом, они осуществляются совместными усилиями частных организаций и администрации города. В ряде случаев для координации деятельности в рамках одного проекта создается смешанная компания. Однако в смешанных компаниях всегда наблюдается конфликт интересов частного и общественного секторов, всегда сложно до конца согласовать интересы развития города конкретными интересами, связанными с извлечением прибыли.
Чтобы избежать ненужного перекоса в сторону частных интересов прямая кооперация должна сопровождаться подробным и обоснованным процессом планирования, достаточно эффективным контролем, находиться под авторитетным и влиятельным руководством со стороны местной администрации.
Общемировой тенденцией последних лет стал рост числа организаций неправительственного, негосударственного характера, вовлеченных в решение проблем экономического развития городов. Как правило, это бесприбыльные организации, которые могут оказывать помощь частному бизнесу, содействовать его развитию. К таким организациям можно отнести местные торгово-промышленные палаты, специализированные агентства по развитию или маркетингу региона.
Кооперация администрации с такими организациями приносит пользу региону в целом.
Обеспечивая процесс экономического развития региона, руководители местной администрации подчас действуют как посредники, как «создатели коалиций», помощники реальных действующих лиц, используя разнообразные подходы к содействию экономическому развитию. Поэтому работа по экономическому развитию может и должна строиться с привлечением руководителей крупнейших предприятий и работодателей региона. В такой кооперации с руководителями предприятий региональная администрация может более эффективно решать вопросы обучения персонала, развития инфраструктуры, стимулирования малого и среднего бизнеса.
Инструментами управления экономическим развитием на региональном уровне, как показано на 7.3, являются создание общих условий бизнеса (дорога, связь, офисы, рыночная инфраструктура), регулирование деловой активности (местные налога, зонирование, особые условия), прямая кооперация администрации и бизнеса (совместные проекты).
Для выхода из кризисного состояния необходимы целевые планы, предусматривающие комбинацию всех методов воздействия на экономическое развитие региона, при этом весьма важным аспектом составления таких программ может стать анализ баланса результатов и затрат, связанных с осуществлением программы.
Независимо от того, какие конкретные методы управления развитием региона применяет администрация, сама по себе функция воздействия на развитие региона обладает рядом особенностей Прежде всего, это нерутинная функция, в отличие от стандартных функций обслуживания населения (водо-, газо-, электроснабжение, ремонт дорог, вывоз мусора, утилизация отходов). Более того, нерутинность этой функции предполагает гибкий, неординарный способ организации работ по управлению региональным развитием. Данная функция предполагает нестандартный подход к решению проблем, организацию переговоров с частными и негосударственными организациями, применение прогрессивных методов современного менеджмента, в том числе стратегического планирования и маркетинга.
Формирование
общих условий бизнеса
|
Регулирование
деловой активности
|
Прямая кооперация
администрации и бизнеса
|
транспорт
связь
гостиницы
рекреации
телекоммуникации
региональная рыночная
инфраструктура:
° банки
° аудит
° страхование
° консультации
|
зонирование
правила землепользования
налогообложение
субсидии
льготы
гарантии
|
совместные проекты
взаимодействие с
некоммерческими организациями:
° торгово-промышленные палаты
° учебно-консультационные центры
|
7.3. Виды воздействия на экономическое развитие региона
Контрольные вопросы
1. Что такое развитие?
2. Каковы цели развития региона?
3. Назовите основные критерии и показатели социально-экономического развития региона.
4. В чем суть концепции стадий роста Д. Белла?
5. В чем разница между управлением функционированием и управлением развитием городов и регионов?
8. ОСНОВЫ МУНИЦИПАЛЬНОГО
МЕНЕДЖМЕНТА
8.1. Муниципальный менеджмент
как область практики
Муниципальному менеджменту более двухсот лет, он осуществляется практически во всех странах. Возникновение этих отношений было связано с действием многочисленных факторов и проходило в различных формах. В истории России, например, мощная побудительная мотивация местной самоорганизации заключалась в необходимости поддержания престарелых членов общин совместными усилиями семей, первоначального обучения детей, самообороны и т.д. В Германии во главу угла ставилось воспитание энергичной нации, способной решать глобальные и местные проблемы инициативно, предприимчиво, ответственно.
Преимущественно бытовая основа характерна для генетической природы английской муниципальной организации; она опирается не столько на формально-юридическую основу, сколько на правосознание населения, которое ценит местные обычаи, бережет их и точно соблюдает.
Муниципальный менеджмент понимают в узком и широком смысле слова. В первом случае речь идет о практике регулирования социально-экономических и общественно-политических процессов в городах и районах, населенных пунктах силами и средствами органов местного самоуправления в пределах их компетенции. Во втором случае муниципальный менеджмент раскрывается как вся совокупность организационно-экономических отношений, реализуемых в этих территориальных системах государственными, региональными, муниципальными органами власти и управления, экономическими негосударственными структурами, политическими партиями и другими общественными самодеятельными организациями населения, конфессиями, средствами массовой информации.
Муниципальный менеджмент возник в результате относительногo обособления и интеграции интересов жителей поселений для реализации этих интересов и связан с появлением специфического вида управленческого труда, нацеленного на удовлетворение потребностей территориальных сообществ. Муниципальный менеджмент реализуется там и тогда, где и когда существует территориальная общность, в рамках которой происходит взаимодействие людей в повседневной жизнедеятельности, ориентация их на сохранение и развитие ценностей и установок, сложившихся в данном типе поселения.
При помощи муниципального менеджмента обеспечиваются все основные условия жизнедеятельности и потребности населения: в жилье, коммуникациях, общественном порядке, образовательных и медицинских услугах. Посредством муниципального бюджета перераспределяется 2040% ВВП, в структуре местной власти занято до 2030% работающего населения, находится до 1/3 собственности городов и районов.
Взаимодействие разделения труда, видов собственности и рынка
При этом было бы неверно отрицать положительное влияние специализации, кооперирования, комбинирования, концентрации на расширение обменов продукцией и услугами. Проблема заключалась в том, что заданные путем властного административного вмешательства пропорции и направления специализации: консервировали сложившуюся производственно-технологическую структуру ЕНХК; не дублировались на микроуровне, т.е. между отдельными предприятиями и организациями; и как следствие, не способствовали повышению эффективности экономики в целом.
На этапе рыночных реформ процессы ТРТ характеризуют противоречивыми тенденциями. С одной стороны, они становятся на естественную экономическую основу. Поле специализации регионов объективно расширяется под влиянием дифференциации затрат на производство и реализацию товаров. С другой стороны, между регионами усиливаются, зачастую неоправданно, экономические и социальные различия, в частности между уровнями жизни населения.
Кроме того, возникает опасность территориального монополизма, когда производство некоторых товаров сосредоточивается в ограниченном количестве субъектов Федерации. Данные тенденции требуют адекватного отражения в мерах региональной политики государства.
Так же, как и в целом ОРТ, ТРТ подразделяют на уровни, ответствующие в общей классификации общему, частному и единичному разделению труда, — международное и межрегиональное, внутрирегиональное, локальное разделение труда, т.е. разделение труда в рамках территории, не имеющей существенного значения.
Важно подчеркнуть, что если международное ТРТ служит основанием специализации отдельных стран, то межрегиональное — отдельных регионов внутри страны, внутрирегиональное — отдельных территорий в рамках региона, локальное — планирования конкретного производства и организации территории населенного пункта, землеустройства. В этом смысле виды ТРТ являются причиной образования соответствующих территориальных совокупностей, а само ТРТ — основой территориальной структуры общества.
Как отмечалось ранее, специализация территорий усиливает их взаимосвязи и прямо пропорциональна последним — степени обмена специализирующихся частей. Отсюда можно сделать вывод о непосредственном влиянии ТРТ (как и разделения труда вообще) на размер рынка. Границы, емкость, товарная номенклатура и другие характеристики рынка определяются в первую очередь устоявшимся во времени ТРТ. Однако это вовсе не означает некоей его незыблемости и отнюдь не исключает возможности перехода от одного вида рынка к другому.
Например, под влиянием достижений НТП или изменения конъюнктуры специализированные в пределах области производства могут выйти на национальные и даже на международные рынки. При неблагоприятном стечении обстоятельств, напротив, возможны и обратные превращения.
Вид
ОРТ
|
Вид
ТРТ
|
Структура территории
|
Вид рынка
|
Форма
собственности
|
Общее
Частное
Единичное
|
Международное
Межрегиональное
Внутрирегиональное
Локальное
|
Союзы государств
Государства
Регионы
Национальное
воспроизводство
|
Мировой
Национальный
Региональный
Местный
|
Крупная акционерная государственная
Региональная,
муниципальная,
индивидуальная
Семейная, частная
|
В то же время конечно нельзя упускать из виду вторую сторону процесса, а именно влияние обмена на степень территориального и в целом — общественного разделения труда. Обмен, складывающийся между отдельными территориями различных размеров и потенциала, сначала случайный и несистематический, с течением времени приводит к устойчивой специализации территорий, работе их на определенный рынок. Степень межрегионального разделения труда при этом определяется размером национального рынка, международного — размером мирового рынка, внутрирегионального — размером регионального рынка и т.д. вплоть до отдельных населенных пунктов с их рынками в буквальном первоначальном смысле слова. В целом взаимосвязь территориальной структуры общественного хозяйства, видов ТРТ, собственности и видов рынка можно проследить на рис.
13.1.
Рис. 13.1. Взаимодействие разделения труда, видов
собственности и рынка
В современных условиях под воздействием НТР воспроизводство стало преимущественно интенсивным, значительно ускорились обновление и модернизация основного капитала на новой технической основе. На первый план выходит воспроизводство организационно-экономических и управленческих отношений, т.е. технологии и организации производства. Быстро развиваются инфраструктурные звенья общественного производства: транспорт, связь, информационное обслуживание, сфера бытовых и сервисных услуг, подготовка и переподготовка кадров.
Основная особенность унаследованной от прошлого структуры экономики — ее несбалансированность, имеющая множество форм проявления, которые можно рассматривать в двух аспектах: во-первых, как неравномерность в развитии отдельных сфер отраслей регионов, материализующихся в структуре совокупного общественного продукта; во-вторых, как неравномерность в техническом и технологическом оснащении различных отраслей и отдельных предприятий.
С точки зрения общих экономических закономерностей, регулирующих движение процесса воспроизводства, происходит интенсивное развитие сферы услуг на фоне спада промышленного производства и сельского хозяйства.
Динамика воспроизводственной структуры ВВП развитых и развивающихся стран (в ценах США 1975 г.) за 1951—1985 гг. и структурных сдвигов в экономике России (в текущих ценах производителя) за 1990—1995 гг. приведена в табл. 13.1.
Таблица 13.1
Динамика воспроизводственной структуры ВПП
Развитых и развивающихся стран1
Воспроизводственный сектор
|
Россия
|
Развитые страны
|
Развивающиеся страны
|
1990
|
1995
|
сдвиг
|
1951-1985
|
1981-1985
|
сдвиг
|
1951-1985
|
1981-985
|
сдвиг
|
Сектор личного потребления
|
24,4
|
14,0
|
10,4
|
13,8
|
9,2
|
4,6
|
41,1
|
23,6
|
17,5
|
Инвестиционный сектор
|
24,5
|
12,4
|
12,1
|
16,6
|
17,4
|
+0,8
|
6,6
|
10,2
|
+3,6
|
Топливно-сырьевой комплекс
|
19.9
|
20.7
|
+0,8
|
13,3
|
15,1
|
+1,8
|
13,0
|
19,9
|
+6,9
|
Сектор обращения услуг
|
27,8
|
50,7
|
+22,9
|
55,3
|
57,5
|
+2,2
|
39,2
|
45,6
|
+6,4
|
Прочие отрасли
|
3,4
|
2,2
|
1,2
|
1,0
|
0,8
|
0,2
|
0,1
|
0,7
|
0.6
|
Итого
|
100
|
100
|
46,4
|
100
|
100
|
9,4
|
100
|
100
|
33,6
|
Анализ приведенных данных позволяет сделать следующие выводы.
1. Структура экономики России отличается весьма интенсивными переменами. Если суммировать положительные и отрицательные сдвиги по четырем основным секторам экономики, а затем рассчитать среднегодовое отклонение, то получим показатель коэффициента интенсивности структурных сдвигов. Народное хозяйство России по этому показателю побило все рекорды, достигнув значения 9,28, что в 8,2 раза больше, чем в развивающихся странах, и в 29,9 раза выше, чем в развитых странах.
2. Отрасли сектора личного потребления (сельское и лесное хозяство, пищевая, легкая промышленность) имеют тенденцию к сокращению. Их доля упала с 24,4 до 14,0%. Еще более резкое падение — с 24,5 до 12,4% произошло в инвестиционном секторе (машиностроение и металлообработка, строительство).
3. Наибольший прирост (+22,9%) имеют отрасли сектора обращения и услуг (торговля, снабжение, сбыт, заготовки, транспорт, связь, услуги, управление). Это отражает определенную тенденцию в воспроизводственном процессе.
4. Воспроизводственная структура России в последнее время изменяется в сторону сближения со структурой воспроизводств развитых стран, но больше приближаясь к развивающимся странам.
5. С развитием отраслей сектора услуг происходит как экстенсивное, так и интенсивное формирование отечественного рынка услуг и прежде всего потребительского рынка.
Динамика изменения воспроизводственной структуры отечественной и, следовательно, региональной экономики в перспективе будет зависеть от действия многообразных и разнонаправленных факторов. Прогнозная оценка структурных сдвигов в период до 2020 г., выполненная Фондом фундаментальных исследований на основе использования многомерной воспроизводственно-цикличной модели и отчетных межотраслевых балансов, показывает, что при благоприятных условиях развития экономики доля сектора обращения и услуг будет снижаться (с 35 % до 23%), а доля сектора личного потребления будет расти (с 29% до 35%) (табл. 13.2).
Таблица 13.2
Прогнозная оценка динамики изменения
воспроизводственной структуры
Воспроизводственный сектор и отрасль
|
2000
|
2005
|
2010
|
2020
|
Сектор личного потребления
(сельское хозяйство, пищевая, легкая промышленность, жилищно-коммунальное
хозяйство, просвещение, здравоохранение, культура)
|
29,0
|
31,0
|
33,0
|
35,0
|
Инвестиционный сектор
(наука, строительство, машиностроение, металлообработка)
|
17,0
|
21,0
|
24,0
|
26,0
|
Топливно-сырьевой сектор
(электроэнергетика / топливная, химическая, нефтехимическая, металлургическая, лесная промышленность)
|
19,0
|
8,0
|
17,0
|
16,0
|
Сектор обращения и услуг — всего
|
35,0
|
30,0
|
27,0
|
23,0
|
В том числе:
торговля, общественное питание, снабжение, сбыт, заготовки
|
11,0
|
10,0
|
9,0
|
8,0
|
транспорт и связь
|
9,0
|
9,0
|
8,0
|
7,0
|
финансы, кредит, страхование и управление
|
14,0
|
11,0
|
9,0
|
8,0
|
Зависимость количества связей руководитель — подчиненные от количества подчиненных
Научные исследования и сотни экспериментов выявили критерии и показатели, характеризующие количество должностных связей между руководителем и подчиненными в процессе взаимодействия. Французский исследователь В.А. Грейкунас обосновал следующую формулу, определяющую количество связей между руководителем и его подчиненными в зависимости от численности последних:
K = n [2n-1+ (n 1)],
где n — число подчиненных;
К — количество взаимосвязей.
Формула Грейкунаса показывает, что если руководителю непосредственно подчинено четыре исполнителя, то количество спорных вопросов, разногласий, а следовательно, и обращений за их решением к начальнику будет находиться на уровне 44 контактов за рабочий день. Перспективы лавинообразного нарастания количества контактов видны из табл. 15.1.
Таблица 15.1
Зависимость количества связей руководитель — подчиненные от количества подчиненных
Количество подчиненных
|
Количество связей
|
4
|
44
|
5
|
100
|
8
|
1080
|
15
|
245970
|
Выводы формулы показывают лишь общую тенденцию, поскольку в единицу времени все должностные связи осуществляться не могут, но бесспорно, что при большом количестве непосредственных исполнителей руководитель фактически не в состоянии полноценно управлять предприятием и может лишь тешить свое самолюбие иллюзией власти.
Норма управляемости руководителя зависит от таких факторов, как:
• тип производства (серийное, мелкосерийное, индивидуальное), его сложность и важность;
• оснащенность труда руководителя техническими средствами управления (персональный компьютер и созданная на его основе база информационных данных, действующие типы коммутационных связей и т.д.);
• знания и опыт руководителя (в том числе овладение искусством управления).
Обычная норма управляемости колеблется от трех до семи непосредственно подчиненных руководителю исполнителей. Любопытное подтверждение давней известности этой нормы дает история. Армия Древнего Рима, однородная по своему составу, строилась по принципу шестерки (6 манипул — центурия, 6 центурий — когорта, 6 когорт — легион). Наполеон Бонапарт, командуя более сложной по своей структуре армией (пехота, легкая и тяжелая кавалерия, минеры, ариллеристы и т.д.), заложил в ее основу принцип тройки, уменьшив норму управляемости (3 взвода — рота, 3 роты — батальон, 3 батальона — полк).
Армия в Советском Союзе длительное время строилась по той же структурной формуле и только в последние годы, когда появились особо сложные и мобильные средства вооружения (ракетные войска, космическое оружие), эти структурные подразделения стали автономными с подчинением лишь одному командиру.
Принцип делегирования полномочий. Рациональное управление предусматривает передачу руководителем части своих служебных функций подчиненным без активного вмешательства в их действия.
Принцип делегирования полномочий состоит в передаче руководителем части возложенных на него полномочий, прав и ответственности своим компетентным сотрудникам.
Главная практическая ценность принципа состоит в том, что руководитель освобождает свое время от менее сложных повседневных дел и может сконцентрировать усилия на решении задач более сложного управленческого уровня. При этом (что весьма важно для руководителя) обеспечивается соблюдение нормы управляемости.
Делегирование полномочий возможно и целесообразно в случае, если руководитель подготовил достойных исполнителей, доверяет им и может искусно руководить ими.
Иерархическая пирамида руководство — подчинение демонстрирует (рис. 15.1) подчиненность исполнителей руководителям вплоть до высшего, где Р — руководитель, З — заместители, НО — начальники отделов, РГ — руководители групп, 1И— 4И — исполнители.
Традиционный бюрократический путь прохождения информации от высшего руководителя до исполнителей и обратно бывает зачастую весьма сложным и длительным. Но нередко возникают ситуации, когда исполнителям необходимо принять оперативные решения на своем иерархическом уровне. Строго говоря, исполнитель 1И для получения санкции на взаимодействие с исполнителем 2И должен передать информацию по долгому пути от 1И до Р и ждать указаний по такому же обратному пути.
Можно избежать губительной потери времени, если руководство делегирует часть своих полномочий непосредственным исполнителям, и необходимые контакты между 1И и 2И будут осуществляться ими напрямую по мостику 1И—2И.
Методы решения производственных и организационных задач всегда многовариантны, и если подчиненный применяет свою, самостоятельную, может быть, пока еще и не оптимальную тактику решений, то в этом проявляется еще одна положительная черта принципа делегирования полномочий: исполнитель проходит хорошую и совершенно необходимую ему школу управленческого развития, приучается к самостоятельности. Исполнитель самоутверждается, растут его уверенность в своих силах и инициатива. При этом важно помнить, что доверенный исполнитель имеет право на ошибку, и в этом случае руководитель обязан оказать ему всемерную помощь в самой тактичной форме.
Ведь одна из основных задач руководителя — развивать способности и мастерство подчиненного.
Рис. 15.1. Иерархическая пирамида
руководство — подчинение
Особо деликатный аспект этого принципа — организация контроля за действиями подчиненных. Мелочная опека ничего кроме вреда не даст, а отсутствие контроля может привести к срыву работ и анархии. Решение проблемы контроля состоит в четко налаженной обратной связи, в свободном обмене информацией между коллегами и, конечно, в достаточно высоком авторитете и управленческом мастерстве руководителя.
Кстати, опытный чиновник высокого уровня, желая составить объективное мнение о качестве работы руководителя, всегда интересуется, как работают его подчиненные (это очень точно характеризует руководителя).
Принцип делегирования полномочий будет эффективен, если:
• подчиненные действительно знают и понимают, какие новые обязанности им переданы;
• подчиненный не будет получать ценных указаний от другого начальника через голову своего непосредственного руководителя;
• исполнитель знает свои права и обязанности без каких-либо неопределенностей. Без выполнения этого условия исполнитель будет напоминать, по словам Н. Винера, евнуха в гареме идей, с которыми обвенчан их султан;
• исполнитель свободен в своих действиях. Чем менее заметно участие руководителя в выборе путей реализации поставленных задач, тем лучше;
• исполнитель уверен в своем праве идти на продуманный риск и в праве совершения ошибок. Это важный способ борьбы с рутиной и косностью в деятельности аппарата управления;
• будут установлены конкретные цели и сроки выполнения задания;
• подчиненный будет правильно понимать необходимость контроля за исполнением и давать объективную информацию об отклонения от плановых показателей.
Следует отметить, что этот принцип управления робко применяют лица, недавно получившими повышение в должности, поскольку им трудно отказаться от привычного стереотипа прошлой деятельности. Руководитель, сам сортирующий корреспонденцию и печатающий на машинке при скучающем секретаре, вызывает сожаление, но не сочувствие.
Важность принципа делегирования полномочий возрастает в условиях доминирования экономических методов управления, реализация которых практически невозможна без самостоятельности и творческой инициативы исполнителей. Этот принцип еще раз подтверждает справедливость известной формулы: никогда не делай сам тоKо, что могут сделать твои подчиненные, кроме тех случаев, когда под угрозой жизнь человека.
Принцип соответствия. Основы этого важного принципа управления были заложены около ста лет назад.
Ф. Тейлор, наблюдая за погрузкой чугунных чушек в железнодорожные вагоны и за работой землекопов, обратил внимание на то, что рабочие по-разному относятся к труду, требующему только физической силы и несложных навыков. Одни, физически крепкие и имеющие средние интеллектуальные способности, работали с удовольствием; для других эта работа была в тягость. Тейлор предложил провести отбор рабочих на основе научно разработанных критериев и внедрить систему тренировки и обучения.
Основа принципа соответствия заключается в том, что выполняемая работа должна соответствовать интеллектуальным и физическим возможностям исполнителя. Производственный и жизненный опыт дает много примеров, когда благодаря случайностям конъюнктуры человек со средними интеллектуальными и организаторскими способностями был вознесен на верх служебной иерархической лестницы и, несмотря на все старания, на работу без отдыха с утра до глубокой ночи, так и не смог добиться каких-либо заметных результатов. Страдает не только работа, под угрозой находятся и здоровье такого человека, благополучие его семьи, дружеские контакты с другими людьми.
Принцип соответствия необходимо применять каждому руководителю при подборе и расстановке управленческих кадров, и в первую очередь — при оценке собственных возможностей, своего соответствия выполняемой работе.
Четко применять принцип соответствия рекомендовал еще Сократ. Он учил, что главная задача и основное свидетельство искусства любого общественного деятеля, военачальника, торговца, строителя — умение дать человеку работу по его способностям добиться выполнения порученного задания.
Государство: Регулирование - Планирование - Бюджет