Коц Я. - Спортивная физиология
Введение
Спортивная физиология - это вторая часть курса физиологии, изучаемого в институтах физической культуры. Основное содержание этого курса - физиология мышечной деятельности человека, частным случаем которой является спортивная деятельность.
В курсе спортивной физиологии можно выделить два-центральных вопроса - физиологическую характеристику различных видов спортивной, деятельности и физиологические механизмы адаптации организма при спортивной тренировке.
Спортивная деятельность связана, как правило, с предельным или почти предельным напряжением ведущих физиологических систем, обеспечивающих ее осуществление. Основная задача спортивной физиологии -дать количественную характеристику физиологических реакций отдельных систем и всего организма для разных видов спортивной деятельности. По существу, первую и с самого начала фундаментальную попытку систематического изложения физиологической характеристики видов спорта представляет собой учебное пособие А. Н. Крестовникова Физиология спорта, вышедшее в 1939 г. Эта книга в значительной мере обобщила исследования по физиологии физических упражнений и спорта, которые были начаты в нашей стране и за рубежом еще в конце прошлого века (см. введение в учебнике Физиология мышечной деятельности.
М., ФиС, 1982).
Ввиду чрезвычайно большого разнообразия видов спортивной деятельности возникает необходимость в их классификации, что позволяет объединить спортивные упражнения в относительно небольшое число групп с общими физиологическими чертами (раздел I). В настоящем учебнике дается общая физиологическая характеристика основных видов спортивной деятельности,- предъявляющих высокие требования к таким физическим (двигательным) качествам, как сила, быстрота и выносливость (раздел II).
III раздел учебника ставит своей целью расширить представления о физиологических реакциях организма при спортивной деятельности, раскрыть особенности приспособления организма спортсмена к разным внешним условиям, что позволит будущему тренеру учитывать их влияние на спортивную работоспособность, планировать тренировочные нагрузки при подготовке спортсмена к соревнованиям в разных условиях с учетом характера и механизмов приспособления к ним - акклиматизации.
Другая важная задача курса спортивной физиологии дата представление о физиологической адаптации организма к физическим нагрузкам, т. е. изложить феноменологию и описать механизмы тех изменений в функциях различных органов и систем, которые возникают в результате систематических тренировок и обеспечивают более высокие функциональные возможности организма тренирующегося Человека. Снова следует отметить, что первое обстоятельное изложение этой проблемы (главным образом в связи с центрально-нервными механизмами адаптации в процессе спортивной тренировки) было дано в книге А. Н. Крестовникова Очерки по физиологии физических упражнений (1951). Заметное влияние на развитие этой проблемы оказала монография В. С. Фарфеля Физиология спорта, вышедшая в 1960 г.
В настоящем учебнике представление о специфических физиологических адаптационных изменениях, возникающих в организме в процессе спортивной тренировки, можно получить при сопоставлении физиологических показателей в условиях покоя и особенно: при стандартных и предельных физических нагрузках у спортсменов разных специализаций и неспортсменов (разделы II и III). Следует, однако, подчеркнуть, что только по результатам такого сравнения (поперечных срезов) не удается выявить чистые эффекты физиологической адаптации организма при систематических занятиях физической культурой и спортом.
Более полную картину должны дать длительные исследования одного и того же контингента занимающихся (лонгитудинальные исследования). К сожалению, пока длительность таких наблюдений редко превышает несколько недель или месяцев, что ограничивает наши представления о физиологических эффектах и особенно о физиологических механизмах спортивной тренировки.
Раздел IV посвящен физиологическим особенностям людей разного пола и возраста в связи с занятиями физической культурой и спортом. Объем учебника не позволил с достаточной полнотой раскрыть эту проблему.
Согласно решению предметной комиссии по физиологии при Спорткомитете СССР физиологические вопросы этой проблемы должны быть обстоятельно изложены в специальном учебнике (учебном пособии) по физиологическим основам физического воспитания.
Глава 1. Физиологическая классификация физических упражнений
В своей повседневной деятельности - в быту, на производстве, во время занятий физической культурой и спортом - человек выполняет самые разнообразные двигательные действия: С точки зрения физиологии совокупность непрерывно связанных друг с другом двигательных действий (движений), направленных на достижение определенной цели (решение двигательной задачи), является упражнением.
В соревновательном спортивном упражнении совокупность двигательных действий (движений) направлена на достижение максимально возможного спортивного результата (примеры спортивных упражнений: прыжок в высоту, метание копья, стрельба, спортивная игра, бег или плавание на определенную дистанцию).
Огромное число физических, в том числе спортивных, упражнений обусловливает необходимость их классификации. Физиологическая классификация объединяет в группы физические упражнения со сходными функциональными характеристиками. С одной стороны, это такие упражнения, для успешного выполнения которых могут быть использованы в определенной степени сходные режимы, средства и методы физического воспитания (спортивной тренировки).
С другой стороны, в одну группу объединяются физические упражнения, которые могут быть в равной мере использованы в системе физического воспитания (спортивной тренировки) для повышения функциональных возможностей одних и тех же физиологических органов, систем и механизмов, а следовательно, одного и того же физического качества. Так, возможности сердечно-сосудистой и дыхательной систем, в наибольшей степени определяющие уровень развития выносливости, могут успешно повышаться при использовании разных физических упражнений одной группы: длительного бега, езды на велосипеде, плавания, бега на лыжах.
Общая физиологическая классификация физических упражнений
Наиболее общая физиологическая классификация физических упражнений может быть проведена на основе выделения трех основных характеристик активности мышц, осуществляющих соответствующее упражнение:
1) объем активной мышечной массы;
2) тип мышечных сокращений (статический или динамический);
3) сила или мощность сокращений.
Локальные, региональные и глобальные упражнения
В зависимости от объема активной мышечной массы все физические упражнения классифицируют на локальные, региональные и глобальные.
К локальным относятся упражнения, в осуществлении которых участвует менее 1/3 всей мышечной массы тела (стрельба из лука, из пистолета, определенные гимнастические упражнения).
К региональным относятся упражнения, в осуществлении которых принимает участие примерно от 1/3 до 1/4 всей мышечной массы тела (гимнастические упражнения, выполняемые только мышцами рук и пояса верхних конечностей, мышцами туловища и т. п.).
Глобальными называются упражнения, в осуществлении которых принимает активное участие более 1/г всей мышечной массы тела (бег, гребля, езда на велосипеде и др.). Подавляющее большинство спортивных упражнений относится к глобальным.
Статические и динамические упражнения
В соответствии с типом сокращения основных мышц, осуществляющих выполнение данного упражнения, все физические упражнения можно разделить соответственно на статические и динамические.
К статическим упражнениям относится, например, сохранение фиксированной позы при удержании стойки на кистях (у гимнастов), в момент выстрела (у стрелка).
Большинство физических упражнений относится к динамическим. Таковы все виды локомоций: ходьба, бег, плавание и др.
Силовые, скоростно-силовые упражнения и упражнения на выносливость
При классификации физических упражнений по силе сокращения ведущих мышечных групп следует учитывать две зависимости: сила - скорость и сила - длительность мышечного сокращения.

В соответствии с зависимостью сила - скорость (рис. 1) при динамическом сокращении проявляемая сила обратно пропорциональна скорости укорочения мышц (скорости движения перемещаемого звена тела): чем больше эта скорость, тем меньше проявляемая сила. Другая, формулировка этой зависимости: чем больше внешняя нагрузка (сопротивление, вес), тем ниже скорость укорочения (движения) и тем больше проявляемая сила, и наоборот, чем меньше внешняя нагрузка, тем выше скорость движения и меньше, проявляемая мышечная сила.
Произведение силы на скорость мышечного сокращения определяет его мощность (см. рис. 1).
Зависимость сила - длительность мышечных сокращений, выражается в том, что чем больше сила (или мощность) сокращений мышц, тем короче их предельная продолжительность. Это справедливо как для локальной и региональной статической и динамической работы (рис.2), так и для глобальной работы (рис.3).
По проявляемым силе и мощности мышечных сокращений и связанной с ними предельной продолжительности работы все физические упражнения можно разделить на три группы: силовые, скоростно-силовые (мощностью) и на выносливость.

Силовыми можно считать упражнения с максимальным или почти максимальным напряжением основных мышц, которое они проявляют в статическом или динамическом режиме при малой скорости - движения (с большим внешним сопротивлением, весом). На рис. 1 силовым упражнениям соответствует левая часть кривой сила - скорость. Предельная продолжительность упражнений с максимальным проявлением силы исчисляется несколькими секундами.
Сила является основным двигательным качеством, определяющим успех выполнения силовых упражнений.
Скоростно-силовыми (мощностными) являются такие динамические упражнения, в которых ведущие мышцы одновременно проявляют относительно большие силу и скорость сокращения, т. е. большую мощность. Максимальная мощность мышечного сокращения достигается в условиях максимальной активации мышцы при скорости укорочения около 30% от максимальной для ненагруженной мышцы.
На кривой сила - скорость скоростно-силовые упражнения занимают срединное положение - до 50-60% от максимальной скорости (см. рис. 1). Максимальную мощность мышцы развивают при внешнем сопротивлении (грузе), составляющем 3050% от их максимальной (статической) силы.
Предельная продолжительность упражнении с большой мощностью мышечных сокращений находится в диапазоне, от 3-5 с до 1-2 мин - в обратной зависимости от мощности мышечных сокращений (нагрузки). Мощность играет важнейшую роль в скоростно-силовых упражнениях.

Рис. 3. Кривая зависимости рекордного (предельного) времени от скорости в беге (Б), плавании (Я) и беге на коньках (К) (В.
С. Фарфель).
Упражнениями на выносливость считаются такие упражнения, при выполнении которых ведущие мышцы развивают не очень большие по силе и скорости сокращения, но способны поддерживать или повторять их на протяжении длительного времени - от нескольких минут до многих часов (в обратной зависимости от силы или мощности мышечных сокращений). Выносливость - ведущее физическое качество для упражнений этой группы.
Более подробная физиологическая характеристика силовых и скоростно-силовых упражнений дается в гл. 3, упражнений на выносливость - в гл. 4.
Энергетическая характеристика физических упражнений
Энергетическая стоимость служит важнейшей характеристикой упражнения. Для определения энергетической стоимости физического упражнения, используют два показателя: энергетическую .мощность и валовый (общий) энергетический расход.
Энергетическая мощность - это количество энергии, расходуемое в среднем за единицу времени при выполнении данного упражнения. Она измеряется обычно в физических единицах: ваттах, ккал/мин, килоджоулях в минуту, а также в физиологических:
Скорости потребления О
2 (мл О
2/мин) или в МЕТах (метаболический эквивалент, т. е. количество О2) потребляемого в 1 мин- на 1 кг веса тела в условиях полного покоя лежа. 1 МЕТ равен 3,5 мл О2/кг мин).
Валовый (общий) энергетический расход - это количество энергии, расходуемой во время выполнения всего упражнения в целом. Валовый энергетический расход (общая энергетическая стоимость упражнения) может быть определен как произведение средней энергетической мощности на время выполнения упражнения.
При беге валовый энергетический расход на преодоление одинаковой дистанции в определенных пределах не зависит от скорости передвижения. Дело в том, что при увеличении скорости (энергетической мощности) время преодоления данной дистанции уменьшается, а при снижении скорости, наоборот, увеличивается, так что произведение энергетической мощности на время, т. е. общий энергетический расход, остается неизменным.
Общая энергетическая стоимость преодоления одной и той же дистанции выше при беге, чем при ходьбе (до скорости около 8 км/ч): на каждый километр дистанции при ходьбе расходуется в среднем 0,72 ккал/кг веса тела у женщин и 0,68 ккал/кг веса тела у мужчин, а при беге соответственно 1,08 и 0,98 ккал/кг веса тела.
По показателям энергетической мощности физические упражнения обычно подразделяют на легкие, умеренные (средние), тяжелые и очень тяжелые (табл. 1).
| Таблица 1. Классификация физических упражнений по расходу энергии (ккал/мин) у мужчин и женщин разного возраста. |
| Пол и возраст |
Упражнения |
| |
легкие |
умеренные (средние) |
тяжелые |
очень тяжелые |
| Мужчины: |
|
|
|
|
| 20-29 |
4,2 |
4,3-8,3 |
8,4-12,5 |
12,5 |
| 30-39 |
3,9 |
4,0-7,8 |
7,9-11,7 |
11,7 |
| 40-49 |
3,7 |
3,8-7,1 |
7,2-10,7 |
10,7 |
| 50-59 |
3,2 |
3,3-6,3 |
6,4- 9,5 |
9,5 |
| 60-69 |
2,5 |
2,6-5,0 |
5,1- 7,5 |
7,5 |
| Женщины: |
|
|
|
|
| 20-29 |
3,2 |
3,3-5,1 |
5.2-7,0 |
7,0 |
| 30-39 |
2,9 |
3,0-4,2 |
4,3- 6,5 |
6,5 |
| 40-49 |
2,7 |
2,8-4.0 |
4,1- 6,0 |
6,0 |
| 50-59 |
2,2 |
2,3-3,8 |
3,9- 5,5 |
5,5 |
| 60-69 |
1,9 |
2,0-3,5 |
3,6- 5,0 |
5,0 |
|
При оценке тяжести упражнения по энергетическим показателям необходимо учитывать еще целый ряд факторов: характер выполняемой работы (статический или динамический), объем активной мышечной массы (локальное, региональное или глобальное упражнение), размеры или вес тела, возраст, пол и степень тренированности (физической подготовленности) человека, выполняющего данное упражнение, внешние условия выполнения данного упражнения.
Так, если выполняется очень тяжелая локальная работа, которая может продолжаться лишь несколько десятков секунд, скорость энергозатрат организма не превышает 1,2 ккал/мин (табл. 2). Такая же скорость расхода энергии характерна для региональной работы средней (умеренной) тяжести, которая может выполняться много десятков минут, и для глобальной, но очень легкой работы (крайне медленная ходьба .по
ровной местности), которая длится много суток подряд. Очень тяжелая глобальная работа для женщин в возрасте 50-59 лет с расходом энергии более 5,5 ккал/мин, которая может продолжаться лишь десятки секунд, является умеренной для мужчин 20-29 лет и может выполняться ими в течение нескольких часов (см. табл. 1).
| Таблица 2. Классификация тяжести локальных, региональных и глобальных упражнений по энерготратам (ккал/мин) |
| Вид работы |
Упражнения |
| легкие |
умеренные (средние) |
тяжелые |
| Локальная кистью |
0,3-0,6 |
0,6-0,9 |
0,9- 1,2 |
| Региональная |
|
|
|
| одной рукой |
0,7-1,2 |
1,2-1,7 |
1,7-2,2 |
| двумя руками |
1,5-2,0 |
2,0-2,5 |
2,5-3,0 |
| Г лобальная |
2,5-4,0 |
4,0-10,0 |
10,0-15,0 |
|
Особенно большие различия при энергетической оценке тяжести упражнений существуют между нетренированными людьми и высокотренированными спортсменами. Последние способны выполнять нагрузки с такими энергетическими затратами, которые недоступны нетренированным людям. У спортсменов в подавляющем числе видов спорта тяжесть физических упражнений по энергетическим (и другим) показателям превышает тяжелые или даже очень тяжелые нагрузки для нетренированных людей и является недоступной для последних (табл. 3).
| Таблица 3. Энергетическая стоимость различных видов физкультурной и спортивной деятельности (по данным Е. М. Берковича, Н. В. Зимкина, Н. И. Волкова и др.) |
| Вид деятельности |
Энерг. стоимость.(ккал/мин) |
| Покой: лежа |
1,5 |
| сидя |
1,6 |
| стоя |
1,7 |
| Ходьба: |
|
| 3 км/ч |
2 |
| 5 км/ч |
4 |
| 7 км/ч |
7 |
| Бег: |
|
| 8 км/ч* |
9 |
| 18 км/ч (5,0м/с)** |
25 |
| 23 км/ч (6,3 м/с)*** |
40 |
| 26 км/ч (7,2 м/с) **** |
60 |
| 32 км/ч (8,8-м/с)***** |
100 |
| Плавание: |
|
| кроль 0,9 м/с |
14 |
| 1,3 м/с |
40 |
| 1,8 м/с |
125 |
| на спине 0,6 м/с |
10 |
| 1,2 м/с |
40 |
| 1,4 м/с |
70 |
| 1,5 м/с |
135 |
| брасс 0,8 м/с |
20 |
|
| 1,1 м/с |
50 |
| 1,2 м/с |
80 |
| Ходьба на лыжах 13 км/ч |
20 |
| Бег на коньках |
|
| 4 м/с |
10 |
| 8 м/с |
15 |
| 10 м/с |
25 |
| Езда на велосипеде |
|
| 9 км/ч |
5 |
| 15 км/ч |
7 |
| 20 км/ч |
10 |
| более 30 км/ч |
20 |
| Г имнастика |
|
| сгибание туловища |
4 |
| обороты на перекладине, |
|
| прыжки |
7 |
| Танцы |
3-8 |
| Волейбол (развлек.) |
3 |
| Теннис |
|
| одиночный |
8 |
| парный |
5 |
| Борьба |
14 |
| Спортивные игры |
|
| (футбол, баскетбол, гандбол) |
10-15 |
* Соответствует скорости бега трусцой.
** Соответствует скорости марафонского бега с результатом 2 час. 20 мин. *** Соответствует скорости бега на 10 000 м с результатом около 28 мин. **** Соответствует скорости бега на 1500 м с результатом около 3 мин 40 с. ***** Соответствует скорости бега на 400 м с результатом 45 с.
С физиологической точки зрения, тяжесть одного и того же физического упражнения сильно изменяется в зависимости от условий его выполнения (например, в горах или при повышенных температуре и влажности воздуха), хотя энергетическая стоимость его остается почти или полностью такой же, что и в обычных условиях.
Таким образом, оценка тяжести упражнения только по энергетическим критериям недостаточна. Поэтому многие классификации физических упражнений наряду с энергетическими характеристиками' (отнесенными к весу или поверхности тела) учитывают также ряд других физиологических показателей (табл.
4): скорость потребления О2, частоту сердечных сокращений (ЧСС), легочную вентиляцию (ЛВ), температур'у тела, дыхательный коэффициент-(ДК), содержание молочной-кислоты в крови и др.
| Таблица 4. Классификация физической работы по энергетическим и физиологическим показателям (по данным у нетренированных мужчин) |
Тяжесть
работы |
Энергетическая
мощность |
Физиологические показатели |
Вид деятельности (предельное время работы) |
| |
ккал/мин* |
МЕТ** |
VO2
МЛ/КГ*МИН |
VO2***
л/мин |
ЧСС,
уд/мин |
ЛВ,
л/мин |
ДК |
Ректальная
температура |
Лактат
крови,
мг% |
|
| Покой |
1,2 |
1 |
3,5 |
0,25 |
70 |
8' |
0,83 |
37,0 |
10-20 |
|
| Легкая работа: |
|
|
|
|
|
|
|
|
|
|
|
| спокойная |
3,5 |
3 |
10,5 |
0,75 |
100 |
20 |
0,85 |
37,0 |
10-20 |
Неопределенно долго |
| умеренная |
7,5 |
6 |
21,0 |
1,50 |
120 |
35 |
0,85 |
37,5 |
20 |
Обычная трудовая деятельность (до 8 ч в день) |
Средняя
работа:
оптимальная |
10,0 |
8 |
28,0 |
2,00 |
140 |
50 |
0,90 |
38,0 |
20-30 |
Интенсивная трудовая деятельность (8 ч в день неск недель - сезонные работы) |
Тяжелая
работа:
напряженная |
12,5 |
10 |
35,0 |
2,50 |
160 |
60 |
0,95. |
38,5 |
40 |
Занятия физкультурой (1 - 2 ч в день, 3 раза в неделю) |
| Очень тяжелая работа: |
|
|
|
|
|
|
|
|
|
|
| максимальная |
15,0 |
12 |
42,0 |
3,00 |
180 |
80 |
1,00 |
39,0 |
50-60 |
Интенсивная тренировка (до 1-2 ч в день) |
| истощающая |
более 15,0 |
более
12 |
более 42,0 |
более 3,0 |
более
180 |
более
120 |
более
1,00 |
более 39,0 |
более
60 |
Соревновательное упражнение (неск. мин) |
* 1 ккал/мин = 426,85 кгм/мин= 69,767 Ватт= 4,186 кДж/мин.
** 1 МЕТ = 3,5 мл, О2/кг*мин - 0,0175 ккал/кг = 0,0732 КДж/кг. *** 1 л потребления О2 =-5,05 ккал = 21,237 кДж
Физиологическая классификация спортивных упражнений

Все спортивные упражнения можно разделить на две большие группы. Для упражнений первой группы характерны очень большие (на соревновании -предельные) физические нагрузки, которые предъявляют исключительно высокие запросы к ведущим физиологическим системам и требуют предельного проявления таких двигательных физических качеств, как сила, быстрота или выносливость. К таким упражнениям относятся все виды легкой атлетики, плавание, лыжный и конькобежный спорт, гребля, спортивные игры, единоборства и т. д. Вторую, группу составляют технические упражнения: автомотоспорт, парусный, санный, парашютный, конный, авиа- и
дельтапланеризм. Перемещение спортсмена в пространстве при выполнении упражнений первой, наиболее многочисленной группы осуществляется в основном за счет внутренних (мышечных) сил. При выполнении, технических упражнений перемещение спортсмена происходит главным образом за счет внешних (не мышечных) сил: тяги двигателя машины (в автоспорте), гравитационных сил (в санном, парашютном спорте), силы воздушного потока (в.парусном спорте, авиа- и
дельтапланеризме). Успех в технических упражнениях в очень большой мере определяется техническим оборудованием (в конном спорте - качествами лошади) и степенью владения им.
Эти спортивные упражнения требуют исключительно высокого развития у спортсменов специфических психофизиологических функций: внимания, быстроты реакции, тонкой координации движений и т. д. В то. же время упражнения в технических видах спорта как правило, не предъявляют предельных требований к энергетической и мышечной системам, к системам вегетативного обеспечения, а также к физическим качествам: силе, мощности и выносливости.

В соответствии с.общей кинематической характеристикой упражнений, т. е. характером протекания во времени, упражнения первой группы делят на. циклические и ациклические (см. схему на рис.)
К циклическим упражнениям локомоторного (переместительного) характера относятся бег и ходьба, бег на коньках и на лыжах, плавание, гребля, езда на велосипеде. Для этих упражнений характерно многократное повторение стереотипных циклов движений. При этом относительно постоянны не только общий рисунок движений, но и средняя мощность нагрузки или скорость перемещения спортсмена (велосипеда, лодки) по дистанции.
Исключение составляют очень короткие циклические упражнения (дистанции) и начальный отрезок любой дистанции, т. е. период разгона, на протяжении которых скорость перемещения изменяется очень значительно. Иначе говоря, циклические упражнения - это упражнения относительно постоянных структуры и мощности.
К ациклическим относятся такие упражнения, на протяжении выполнения которых резко меняется характер двигательной активности. Упражнениями такого типа являются все спортивные игры, спортивные единоборства, метания и. прыжки, гимнастические и акробатические упражнения, упражнения на водных и. горных лыжах, в фигурном катании на коньках. Для ациклических упражнений характерны также резкие изменения мощности по ходу их
Некоторые виды спорта включают разные упражнения - циклические и ациклические. Таковы, например.; многоборья в легкой атлетике, лыжное двоеборье, современное пятиборье. Поэтому понятие соревновательное спортивное упражнение и понятия вид спорта или спортивная дисциплина во многих случаях нетождественны. выполнения.
Это справедливо не только для соревновательных, но и для тренировочных упражнений (например, повторное пробегание отрезков с различной скоростью).
Важнейшую классификационную характеристику упражнений, кроме технических, составляет их мощность.
Два основных функциональных эффекта тренировки
3. специфичность тренировочных эффектов;
4. обратимость тренировочных эффектов;
5. тренируемость, определяющая величину тренировочных эффектов.
Два основных функциональных эффекта тренировки
Систематическое выполнение определенного вида (видов) физических упражнений (тренировка) вызывает два основных положительных функциональных эффекта:
1. усиление максимальных функциональных возможностей всего организма в целом и его ведущих систем, обеспечивающих выполнение тренируемого упражнения;
2. повышение эффективности (экономичности) деятельности всего организма в целом и его органов и систем при выполнении тренируемого вида мышечной деятельности.
О первом эффекте свидетельствует- рост максимальных показателей, выявляемых при выполнении предельных, максимальных, тестов (упражнений). Эти показатели отражают текущие максимальные функциональные возможности организма, которые существенны для выполнения данного вида мышечной деятельности.
Например, об эффекте тренировки выносливости свидетельствует повышение максимальных аэробных возможностей организма - максимальной аэробной мощности и максимальной аэробной емкости (продолжительности выполнения аэробной мышечной работы определенной мощности, например на уровне МПК).
О втором эффекте свидетельствует уменьшение функциональных сдвигов в деятельности различных ведущих органов и систем организма при выполнении стандартной немаксимальной нагрузки. Так, при выполнении одинаковой нагрузки у тренированного человека по сравнению с нетренированным или у одного и того же человека после определенного периода тренировки отмечаются меньшие функциональные сдвиги (в ЧСС, легочной вентиляции, количестве и уровне сократительной активности скелетных мышц, температуре тела, концентрации лактата, катехоламинов и других гормонов в крови, симпатической нервной активности и т. д.), а также снижение энергетических расходов при выполнении данной нагрузки (например, снижение потребления О2).
Последний феномен проявляется наиболее заметно в тех видах мышечной деятельности, выполнение которых связано с овладением и совершенствованием сложной координации движений, например в плавании.
Пороговые тренирующие нагрузки
Не всякая даже систематическая физическая активность может рассматриваться как тренировка, поскольку повышение функциональных возможностей отдельных органов, систем и всего организма в целом, т. е. тренировочные эффекты, возникает только в том случае, если систематические функциональные тренирующие нагрузки достигают или превышают некоторую пороговую нагрузку. Такая пороговая тренирующая нагрузка должна заведомо превышать обычную (повседневную бытовую или привычную тренировочную) нагрузку.
Поэтому принцип пороговых нагрузок часто обозначают как принцип прогрессивной (нарастающей) сверх нагрузки.
Наиболее существенное правило при выборе пороговых тренирующих нагрузок состоит в том, что. онк должны находиться в определенном соответствии с текущими функциональными возможностями данного человека (его ведущих для данного упражнения систем). Так, одна и та же тренировочная нагрузка может
быть пороговой или надпороговой (тренирующей) для малотренированного человека и ниже пороговой и потому неэффективной для высокотренированного спортсмена. Следовательно, педагогический принцип индивидуализации в значительной мере опирается на физиологический принцип пороговых нагрузок.
Из последнего также следует, что при определении тренировочных нагрузок преподаватель (тренер) должен иметь достаточное представление о физиологических (функциональных) возможностях занимающегося физической культурой или спортом.
По существу, педагогический принцип постепенности в повышении нагрузки также есть следствие физиологического принципа пороговых нагрузок, так как пороговая тренирующая нагрузка должна постепенно увеличиваться по мере повышения функциональных возможностей тренирующегося человека.
Для решения различных задач тренировки (повышения физической подготовленности, роста спортивного результата, улучшения состояния здоровья, восстановления работоспособности после заболеваний или травм и т. д.), а также для людей разного возраста, пола и степени функциональной подготовленности (тренированности) требуются неодинаковые пороговые нагрузки. Так, относительные и особенно абсолютные пороговые нагрузки, которые используются спортсменами с целью повышения спортивного результата, значительно выше, чем те, которые применяются занимающимися физической культурой с целью улучшения состояния здоровья.
Неодинаковые пороговые нагрузки применяются для повышения функциональных возможностей (физической подготовленности) в одном случае и поддержания их на достигнутом уровне в другом.

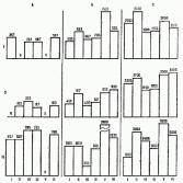
Рис. 97. Зависимость тренировочных эффектов от режима тренировок: А - прирост работоспособности у четырех примерно одинаковых групп с различным объемом тренировочной нагрузки (на велоэргометре); Б ¦ комбинированное влияние частоты и длительности тренировочных нагрузок на физиологический тренировочный эффект - снижение ЧСС при стандартной субмаксимальной аэробной тестовой нагрузке (объем нагрузки оценивался по общему количеству потребленного за тренировочное занятие кислорода, отнесенному к весу тела); В -влияние частоты к длительности тренировочных занятий на прирост МПК; Г-зависимость прироста МПК. от интенсивности тренировочной нагрузки, определяемой в % от МПК
Основными параметрами физической нагрузки являются ее интенсивность, длительность и частота, которые вместе определяют объем нагрузки. Каждый из этих параметров, хотя и играет самостоятельную роль в определении величины тренировочного эффекта, однако их взаимовлияние столь сложно, что выделить относительную роль каждого из них и степень взаимозаменяемости не представляется пока возможным (рис. 97).
Роль каждого параметра физической нагрузки в значительной мере зависит от выбора показателей, по которым судят о тренировочном эффекте.
Так, в двух группах испытуемых, тренирующихся с разной интенсивностью: на уровне МПК и 60% МПК, прирост последнего был выше у 1-й группы. В то же время изменение ЧСС и концентрации лактата в крови при субмаксимальной тестовой нагрузке не отличалось у двух групп.
Если прирост МПК в значительной мере зависит от интенсивности тренировочных нагрузок, то уменьшение рабочей брадикардии больше зависит от частоты, и общей длительности тренировочных занятий, чем от. их интенсивности.
Оптимальные (пороговые) параметры физической нагрузки неодинаковы при определении тренировочного эффекта по повышению МПК, в одном случае, и по снижению веса тела (жировой массы), в другом.
Относительное значение параметров пороговых физических нагрузок зависит также от вида тренировки (силовой; скоростно-силовой, выносливостной, технической или игровой) и от характера тренировки (непрерывной циклической или повторно-интервальной).
Интенсивность тренировочных нагрузок
Существует несколько физиологических методов определения интенсивности нагрузки при выполнении глобальных циклических упражнений в процессе тренировки выносливости. Прямой метод заключается в измерении скорости потребления О2 - абсолютной (л/мин) или относительной (%МПК), или в единицах метаболического эквивалента (МЕТ). Все остальные методы косвенные.
Они основаны на определенной связи между интенсивностью аэробной нагрузки и физиологическими показателями во время ее выполнения. В
качестве таких показателей наиболее употребимы ЧСС и анаэробный порог, Ввиду большей изученности и простоты чаще используется ЧСС.
Определение интенсивности тренировочной нагрузки по ЧСС. В основе определения интенсивности тренировочной нагрузки по ЧСС лежит прямая связь между ними: чем больше аэробная циклическая нагрузка, тем выше ЧСС (см. рис. 44). Для определения интенсивности физиологической нагрузки у людей разного возраста, пола и уровня физической подготовленности (тренированности) более правильно использовать не абсолютные, а относительные показатели ЧСС.
Обычно используется один из двух таких показателей - относительная рабочая ЧСС или относительный рабочий прирост ЧСС.
Относительная рабочая ЧСС (%ЧССмакс)-это выраженное в процентах отношение ЧСС во время нагрузки, т. е. рабочей ЧСС (ЧССр), к максимальной для данного человека ЧСС (ЧССмакс):
%ЧССмакс=(ЧССр/ЧССмакс) * 100%
Приближенно ЧССмакс можно рассчитать по формуле: ЧССмакс = 220 - возраст (в годах). Например, у мужчины 50 лет ЧССмакс в среднем равна 170 уд/мин (220-50). Следует, однако, иметь в виду довольно значительные различия ЧССмакс у разных людей даже одного и того же возраста.
Рабочая ЧСС (ЧССр) должна регистрироваться во время выполнения тренировочного упражнения или в крайнем случае на протяжении первых 10 с сразу после его окончания.
Относительный рабочий прирост ЧСС. Для определения этого показателя необходимо знать пульсовой рабочий резерв (ЧССрз), т. е. разницу между ЧССмакс и ЧСС в условиях полного покоя у данного человека (ЧССп): ЧССрз = ЧССмакс - ЧССп.
Например, у человека с ЧССмакс, равной 200 уд/мин, и ЧССп, равной 70 уд/мин, ЧССрз составляет 130 уд/мйн. Разница между ЧССр и ЧССп называется рабочим приростом ЧСС (ЧССрп). Относительный рабочий прирост ЧСС (ЧССорп) - это выраженное в процентах отношение ЧССрп к ЧССрз:
ЧССорп = (ЧССрп/ЧССрз) * 100%
Если в нашем примере ЧССР составляла 160 уд/мин, следовательно, ЧССрп равнялась 90 уд/мин (160 - 70), откуда ЧССорп составила почти 70% (90/130 * 100%).
При определении интенсивности тренировочных нагрузок по ЧСС используются три показателя: пороговая, пиковая и средняя ЧСС. Пороговая ЧСС - это наименьшая ЧСС (интенсивность), ниже которой не возникает тренирующего эффекта. Пиковая ЧСС - это наибольшая ЧСС (интенсивность), которая может быть достигнута, но не должна быть превышена в процессе тренировки.
Средняя ЧСС - это ЧСС, которая соответствует средней интенсивности нагрузки данного тренировочного занятия.
При определении интенсивности тренировочных нагрузок для молодых здоровых женщин и.мужчин, занимающихся физической культурой, можно ориентироваться на относительные показатели ЧСС, приведенные в табл. 33.
| Таблица 33. Примерные относительные показатели ЧСС для тренировки выносливости |
| Показатель |
Относительная чсс, % |
Относительный рабочий прирост ЧСС, % |
| Пороговая ЧСС |
75 |
60 |
| Пиковая ЧСС |
95 |
90 |
| Средняя ЧСС |
85-95 |
80-90 |
|
Например, у юноши с максимальной ЧСС, равной 200 уд/мин, пороговая, пиковая и средняя тренировочные ЧСС должны составлять (соответственно) 150 уд/мин (75% от 200), 190 уд/мин (95% от 200) и 170- 190 уд/мин (85-95% от 200).
Чем ниже уровень функциональной подготовленности (выносливости) человека, тем ниже должна быть интенсивность (абсолютная и относительная) тренировочной нагрузки: тренировочные занятия должны проходить при более низких относительных уровнях скорости потребления О2 (%МПК) и ЧСС (%ЧССмакс или ЧССорп).
Так, начинать заниматься бегом рекомендуется на уровне 50-60% МПК или 60-70% ЧССмакс. Простая формула для определения тренировочной нагрузки по ЧСС в этом случае: 180 - возраст (в годах). По мере роста тренированности относительная интенсивность нагрузки должна постепенно увеличиваться до 80- 85% МПК (до 95% ЧССмакс).
Другой пульсовой показатель интенсивности тренировочной нагрузки - сумма ЧССп и ЧССорп.
Расчет тренировочной ЧСС в этом случае проводится следующим образом. Пусть у молодого человека ЧССп составляет 70 уд/мин, ЧССмакс - 200 уд/мин, ЧССрз - 130 уд/мин (200 - 70). Рекомендуемая ЧССорп для тренировки - 60%. Следовательно, абсолютный рабочий прирост ЧСС должен составлять 62 уд/мин (60% от 130), откуда предписываемая тренировочная ЧСС должна быть равна: ЧССп + ЧССорп, т. е. 132 уд/мин (70 + 62).
Примерные величины тренировочной ЧСС для людей разного возраста, рассчитанные по ЧССорп, приведены в табл. 34 (ЧССп принята за 75 уд/мин).
| Таблица 34. Примерные величины тренировочной ЧСС для людей разного возраста |
Возраст,
лет |
ЧССмакс,
уд/мии |
Пороговая ЧСС: 60%*(ЧССмакс - 75) + 75 |
Пиковая ЧСС: 90%*(ЧССмакс - 75) +75 |
Средняя ЧСС: 70%*(ЧССмакс - 75) +75 |
| 20-29 |
190 |
144 |
179 |
155 |
| 30-39 |
185 |
141 |
174 |
152 |
| 40-49 |
180 |
138 |
170 |
149 |
| 50-59 |
170 |
132 |
161 |
141 |
| 60-69 |
160 |
126 |
152 |
135 |
|
Определение интенсивности тренировочной нагрузки по анаэробному порогу (АП). В последние годы все большее распространение получает мнение о том, что интенсивность, соответствующая АП (см. IV.3.2.), должна использоваться как основная при тренировке выносливости (аэробной работоспособности).
При определении интенсивности нагрузки по ЧСС в основном удается получить представление о нагрузке на сердечно-сосудистую систему (и прежде всего, на сердце), тогда как АП в значительной мере связан с метаболизмом в рабочих мышцах. Поэтому не всегда между этими показателями обнаруживается отчетливая количественная связь. Однако в среднем АЩ (4 ммоль/л) Достигается при ЧСС, составляющей 70-95% от ЧССмакс и при относительной скорости потребления Ог около 70% от МПК. Следовательно, при тренировочной нагрузке на уровне АП ЧССР должна чуть превышать 85% от ЧССмакС, или 80% от ЧССОрП, или 70% от МПК.
Длительность тренировочных нагрузок
Тренирующая нагрузка, чтобы вызвать тренировочный эффект должна быть достаточно длительной. Это относится к длительности отдельных упражнений в тренировочном занятии, самого тренировочного занятия и тренировочного цикла в целом.
Связь между интенсивностью и длительностью тренировочных нагрузок, с одной стороны, и тренировочным эффектом, с другой, очень сложна. Она зависит от многих факторов, в частности, от того, какие функциональные системы, физические двигательные качества преимущественно тренируются.
Так, увеличение мышечной силы достигается небольшим числом близких к максимальным повторных сокращений длительностью несколько секунд один раз в день. Такая кратковременная нагрузка даже при высокой интенсивности не может достаточно влиять на изменение выносливости (повышение возможностей кислородтранспортной и кислородутилизирующей систем).
Пороговая длительность тренировочной нагрузки зависит от ее интенсивности: при более низкой интенсивности нагрузка должна быть более продолжительной.
Общая пороговая продолжительность занятий физической культурой, при которой проявляется заметный тренировочный эффект, составляет для аэробной тренировки (выносливости) - 10-16 недель, для анаэробной (скоростно-силовой) - 8-10 недель. У начинающих заниматься бегом после 2-3 месяцев тренировки МПК повышается на 5-25% (в зависимости от исходного уровня), после 2-3 лет повышение МПК может достигать 40% (с 45 до 65 мл/кг*мин). Об оптимальной продолжительности тренировки для достижения наивысших функциональных показателей (спортивных результатов) пока можно судить лишь по данным их сравнения у разных групп людей - неспортсменов, тренирующихся от нескольких недель до нескольких лет и выдающихся спортсменов.
Такое сравнение, однако, не позволяет выявить, в какой мере различия определяются длительностью (и режимом) тренировки и в какой мере они наследственно предопределены (см. XI.5).
Частота тренировочных нагрузок
Частота тренировочных занятий также находится в сложном взаимодействии с другими параметрами тренировочной нагрузки (интенсивностью и длительностью) и неодинакова для разных кон-тингентов тренирующихся, целей и видов тренировки. В занятиях физической культурой одинаковый эффект может быть достигнут относительно короткими (интенсивными) ежедневными тренировками и продолжительными (но менее интенсивными) тренировками .2-3 раза в неделю. Увеличение частоты занятий физической культурой сверх 3 раз в неделю не дает дополнительного тренировочного эффекта в отношении прироста МПК-
Так, тренировки в режиме повторно-интервальных нагрузок общей продолжительностью от 7 до 13 недель с частотой 2, 4 или 5 раз в неделю вызвали в среднем сходный прирост МПК у молодых мужчин и женщин.
Пороговая частота занятий для тренировки выносливости- 3-5 раз в неделю, для скоростно-силовой тренировки - 3 раза в неделю. Существует определенная взаимозаменяемость частоты и длительности тренировочных нагрузок, в частности в отношении прироста МПК (см. рис.
97, В).
Однако у пожилых людей прирост МПК тем выше, чем чаще и продолжительнее тренировочные занятия.
Объем тренировочных нагрузок
Как уже отмечалось, интенсивность, длительность и частота тренировочной нагрузки вместе определяют ее объем. Если интенсивность достигает или превышает пороговую величину, то общий объем служит важным фактором повышения тренировочных эффектов (см. рис. 97, А, Б). В целом чем чаще и длительнее тренировочные занятия (объем нагрузки), тем больше их тренировочный эффект (см. рис.
97, В). Особенно это справедливо в отношении тренировки выносливости.
У людей, занимающихся физической культурой, повышение уровня физической подготовленности сходно (если одинаковы общие энергетические расходы) при двух режимах тренировки - большой продолжительности с низкой интенсивностью и небольшой продолжительности с высокой интенсивностью. При одинаковой общей энергетической стоимости (равном расходе энергии) результат тренировок мало зависит от применяемых видов циклических упражнений (бега, ходьбы, плавания и т. д.).
Повышение МПК, в частности, прямо связано с интенсивностью, частотой и длительностью тренировочных нагрузок, т. е. с их общим объемом, и колеблется при разных режимах в среднем от 5 до 25%.
Вместе с тем между объемом тренировочной нагрузки и тренировочным эффектом нет линейной связи. Например, занятия с общим объемом 2 ч в неделю могут вызывать увеличение МПК на 0,4 л/мин. Удвоение общего объема нагрузки до 4 ч в неделю вызывает повышение МПК невдвое (до 0,8 л/мин), а лишь до 0,50,6 л/мин,
Специфичность тренировочных эффектов
Систематическое выполнение данного упражнения (тренировка) вызывает специфическую адаптацию организма, обеспечивающую более совершенное выполнение тренируемого упражнения. Такая адаптация проявляется в специфических тренировочных эффектах - наибольшем повышении результата в тренируемом упражнении (спортивного результата) и экономичности его выполнения.
Отсюда следует, что тренировочные программы должны составляться так, чтобы развивать специфические физиологические способности, необходимые для выполнения данного упражнения или данного вида физической (спортивной) деятельности (принцип специфичности тренировки).
Специфичность тренировочных эффектов в значительной степени связана с принципом пороговых нагрузок. Дело в том, что тренировочные эффекты проявляются только в отношении тех ведущих для выполнения данного упражнения органов, систем и механизмов, для которых в процессе тренировки достигаются или превышаются пороговые нагрузки.
Соответственно специфичность тренировочных эффектов выявляется в преимущественном или исключительном повышении уровня ведущих физических (двигательных) качеств, ведущих энергетических систем, в совершенствовании координации движений, состава и степени активности мышечных групп, участвующих в осуществлении тренируемого упражнения.
Среди огромного числа физических упражнений можно выделить упражнения, сходные друг с другом по характеру функциональных запросов (см. гл. I) - ведущим двигательному качеству и энергетической системе, координации движений, составу участвующих мышечных групп.
В этом случае использование сходных (по тому или иному признаку) упражнений в качестве тренировочных может вызвать сходные общие тренировочные эффекты.
Например, выносливость и ее физиологические механизмы (повышение возможностей кислородтранспортной и кислородутилизирующей систем) могут совершенствоваться при использовании, в качестве тренировочных самых различных упражнений и ходьбы, бега, плавания, ходьбы на лыжах, катания на коньках, езды на велосипеде.
Однако чем более высокие функциональные- запросы к организму предъявляет выполнение физического упражнения, тем больше проявляются специфичность физиологических реакций и их специфическая адаптация в результате тренировки. Поэтому в занятиях физической культурой с оздоровительными целями и на начальных этапах спортивной тренировки могут широко использоваться разнообразные сходные упражнения, вызывающие общие тренировочные эффекты (общеразвивающие упражнения). По мере повышения функциональных запросов (функциональной подготовленности) для дальнейшего, роста спортивного результата все больше должен учитываться принцип специфичности тренировки.
Общим правилом считается то, что на уровне высокого спортивного мастерства наибольшие тренировочные эффекты (рост спортивного результата) достигаются при использовании в качестве тренировочных тех спортивных упражнений, которые являются основными для данного вида спорта (соревновательных).
Специфичность тренировочных эффектов в отношении двигательного навыка (спортивной техники)
Выполнение любого спортивного упражнения характеризуется специфическими особенностями деятельности мышц - их специфическим набором, степенью активности, временной последовательностью включения и выключения. Все эти особенности определяются реализацией специфической центрально-нервной программы управления движениями.
В процессе тренировки эта программа постепенно совершенствуется, что проявляется в улучшении техники (результата и экономичности) выполнения тренируемого упражнения.
Когда речь идет о достижении высокого спортивного результата и (или) высокой экономичности выполнения упражнения, что в значительной мере зависит от совершенства двигательного навыка (техники его выполнения), главную роль при выборе тренировочных упражнений должен играть принцип специфичности тренировочного эффекта.
Например, если тренировка статической (изометрической) силы мышц-сгибателей плеча происходит постоянно при угле 115 в локтевом суставе, то наибольший прирост максимальной произвольной силы тренируемых мышц обнаруживается при этом же угле. При динамической (изокинетической) тренировке наибольший прирост динамической силы выявляется при тренируемых скоростях движения (см. рис. 30).
Изометрические силовые упражнения в наибольшей степени увеличивают изометрическую (статическую) силу мышц и мало или вообще не изменяют их динамическую силу. Динамические силовые упражнения в наибольшей степени повышают динамическую силу тренируемых мышц и в меньшей степени их статическую (изометрическую) силу.
Наибольший тренировочный эффект в отношении двигательного навыка (спортивной техники) достигается в том упражнении, которое является основным тренировочным.

Специфичность тренировочных эффектов в отношении ведущего физического (двигательного) качества
Наиболее ярким примером, иллюстрирующим этот феномен, служит тот факт, что тренировка мышечной силы мало влияет на выносливость, а тренировка выносливости обычно не изменяет мышечную силу. Тренировка скоростно-силовой направленности в наибольшей мере повышает скоростно-силовые возможности спортсмена и мало развивает или вообще не развивает системы и механизмы, способствующие проявлению выносливости.
Наоборот, тренировка на выносливость вызывает ее повышение, мало затрагивая системы и механизмы, ответственные за проявление мышечной мощности.
На рис. 98 приведены результаты 8-недельной беговой тренировки на тредбане (3 раза в неделю) при двух разных режимах - преимущественно скоростно-силовом (повторное пробегание 30-секундных отрезков) и направленном на развитие выносливости (повторное пробегание 2минутных отрезков). После тренировки второго типа больше, чем после скоростно-силовой (мощностной), повысились показатели аэробной производительности (рост МПК, снижение концентрации; молочной
кислоты при выполнении стандартной субмаксимальной аэробной нагрузки), Наоборот, после тренировки мощностного типа больше, чем после тренировки выносливости, повысились показатели анаэробной производительности.
Для развития того или иного физического (двигательного) качества должны использоваться специфические тренировочные упражнения и режимы, которые в наибольшей степени загружают физиологические системы и механизмы, ответственные за уровень развития тренируемого качества и потому способствующие наиболее эффективному его развитию. В частности, выполнение разных упражнений в неодинаковой степени использует и соответственно загружает три основные энергетические системы работающих мышц (см.
Физиологическая характеристика юных спортсменов
С 8 до 10 лет повышение МПС мышц происходит относительно равномерно. К 11 годам темпы роста ее увеличиваются. Наиболее интенсивный прирост МПС установлен в период от 13-14 до 16-17 лет. В последующие годы (до 18-20 лет) темпы ее роста замедляются.
У более крупных мышц МПС увеличивается несколько дольше. К 16-17 годам завершается формирование топографии силы мышц, характерной для взрослых.
В настоящее время в связи с акселерацией отмечается тенденция более раннего развития силы отдельных групп мышц.
Наряду с ростом абсолютной МПС увеличивается относительная МПС (на 1 кг массы тела). Наиболее высокий темп развития относительной силы происходит от 6-7 до 9-11 лет, а для некоторых мышц (разгибатели туловища, подошвенные сгибатели стопы) до 13-14 лет.
Быстрота. При выполнении спортивных упражнений, как правило, отмечается комплексное проявление быстроты.
Например, результат в спринтерском беге зависит от времени двигательной реакции на старте, быстроты одиночных движений и частоты (темпа) шагов.
Впервые в отдельных движениях время реакции удается определить в возрасте 2-3 лет - 0,50-0,90 с. Но уже в 5-7 лет оно снижается до 0,30-0,40 с, а к 13-14 годам приближается к данным взрослых (0,11-0,25 с). Изменение с возрастом двигательной реакции происходит неравномерно.
До 9-11 лет время ее уменьшается быстро, а в последующие годы, особенно после 12-14 лет, - медленно.
Тренировка способствует улучшению скорости двигательной реакции. Наибольшее уменьшение времени реакции под влиянием систематической тренировки отмечено у детей 9-12 лет.
В этом возрасте преимущество тренирующихся детей перед не занимающимися спортом особенно велико. Если в это время не развивать быстроту, то в последующие годы, возникшее отставание трудно ликвидировать.
В процессе развития организма повышается скорость одиночных движений. К 13-14 годам она приближается к данным взрослых, в 16-17 лет отмечается снижение ее, а к 20-30 годам - некоторое повышение.
У юных спортсменов скорость одиночных движений развита лучше. Уже в возрасте 13-14 лет отмечается явное превосходство их над нетренирующимися, которое сохраняется в последующие возрастные периоды.
Наибольшая эффективность развития скорости одиночных движений установлена в 9-13 лет.
Важным компонентом быстроты является частота (темп) движений. Максимальная частота движений (за 10 с) в локтевом суставе увеличивается с 4 до 1.7 лет в 3,3-3,7 раза.
У детей 11 -12 лет максимальная частота вращения педалей на велоэргометре составляет в среднем 20 (за 10 с), затем повышается и в 18-20 лет равна 33.
Вза имосвязь в развитии силы и быстроты достаточно полно проявляется в скоростно-силовых упражнениях, например в прыжках в длину и в высоту. Наибольший прирост результатов в прыжках наблюдается от 12 до 13 лет (табл.
29).
| Таблица 29. Результаты (см) в скоростно-силовых упражнениях у мальчиков в зависимости от возраста |
| Возраст, дет |
Прыжок вверх (толчком двух ног) |
Прыжок в длину |
Тройной прыжок (с места) |
| 12 |
35 |
171 |
517 |
| 13 |
38 |
185 |
560 |
| 14 |
40 |
194 |
591 |
| 15 |
42 |
201 |
615 |
| 16 |
44 |
211 |
636 |
|
Таким образом, и- по данным скоростно-силовых упражнений отмечается неравномерный прирост результатов в различные возрастные периоды.
Выносливость. Наиболее полно возрастные изменения выносливости изучены при статических усилиях различных групп мышц, например сгибателей кисти, предплечья, бедра. Установлено, например, что с возрастом увеличивается время удержания сгибателями кисти усилия на динамометре, равного 50% от максимального (в 10-12 лет время данного усилия составляет 96 с, а в 18- 20 лет- 113.с).
Продолжительность усилия различных групп мышц неодинакова и увеличивается не одновременно. В возрасте от 8 до 11 лет наибольшей выносливостью характеризуются мышцы-разгибатели туловища; в 11 -14 лет значительно повышается выносливость икроножных мышц, в 13-14 лет несколько снижается статическая выносливость сгибателей и разгибателей предплечья и разгибателей туловища.
По мере развития организма увеличивается время удержания основных гимнастических поз - виса и упора. С 13 до 17 лет предельная продолжительность виса повышается у мальчиков в 4,3 раза, а у девочек- в 4 раза.
С возрастом заметно повышается работоспособность при выполнении напряженных динамических упражнений на выносливость. В упражнении на велоэргометре мощность работы, увеличивается с 509 кгм/мин в 8-9 лет до 2710 кгм/мин у взрослых людей (табл. 30).
Таблица 30. Возрастные изменения мощности работы на велоэргометре (А.З. Колчинская, 1973)
| Возраст, лет |
Мощность, кгм/мин |
| 8-9 |
509 |
| 10-11 |
745 |
| 13 |
916 |
| 14 |
1045 |
| 15-16 |
1219 |
| 22 |
2710 |
Выносливость в разные возрастные периоды повышается неравномерно. Так, установлено, что в упражнениях аэробной мощности наибольший прирост выносливости наблюдается у юношей от 15-16 до 1718 лет.
В упражнениях анаэробной мощности значительное увеличение продолжительности работы отмечается от 10-12 до 13-14 лет.
Юные спортсмены характеризуются не только большей выносливостью, но и более значительным ее возрастным приростом. Так, у девочек, занимающихся плаванием, от 8 до 15 лет работоспособность в упражнениях на велоэргометре увеличивается в 3 раза, а у мальчиков - в 3,4 раза.
При этом, чем старше юные спортсмены и чем больше у них стаж занятий спортом, тем больше они отличаются от неспортсменов.
Ловкость. Это двигательное качество характеризуется умением управлять силовыми, временными; пространственными параметрами движений.
Одним из проявлений ловкости является точность ориентации в пространстве. Способность к пространственной дифференцировке движений заметно усиливается в возрасте 5-6 лет.
Наибольший рост этой способности отмечается от 7 до 10 лет. В 10-12 лет она стабилизируется, в 14-15 лет несколько ухудшается, а в 16-17 лет показатели двигательной ориентации достигают данных взрослых.
Систематическая тренировка развивает умение более качественно анализировать пространственные параметры движений.
С возрастом изменяется способность дифференцировать темп движения. В 7-8 лет отмечается значительная вариативность частоты вращения педалей велосипеда.
К 13-14 годам способность воспроизводить заданный темп движений улучшается и приближается к данным взрослых.
О совершенствовании с возрастом ловкости свидетельствует способность дифференцировать усилие мышц. У детей 5-10 лет точность воспроизведения заданного усилия меньше, чем в последующие периоды развития.
Наиболее совершенная дифференцировка уровня мышечного напряжения характерна для юношей 15- 17 лет.
Под влиянием тренировки способность управлять движениям улучшается. Высокая степень развития координации движений обусловливает более успешное совершенствование других двигательных качеств.
Гибкость. По мере развития организма гибкость изменяется неравномерно.
Так, подвижность позвоночного столба при разгибании заметно повышается у мальчиков с 7 до 14 лет, а у девочек с 7 до 12 лет. В более старшем возрасте прирост ее снижается.
Подвижность позвоночного столба при сгибании у мальчиков 7- 10 лет значительно возрастает, а в 11 -13 лет уменьшается. Высокие показатели гибкости отмечаются у мальчиков в 15 лет, а у девочек - в 14 лет.
При. активных движениях гибкость несколько меньше, чем при пассивных.
Физиологическая характеристика юных спортсменов
Характерной особенностью спортивного совершенствования детей и подростков является то, что у них развитие двигательных и вегетативных функций, повышение работоспособности происходит на фоне еще не закончившихся процессов роста и формирования организма. Поэтому особую опасность представляет форсированная подготовка юного спортсмена, использование узкого круга физических упражнений, чрезмерное и несвоевременное увеличение тренировочных нагрузок.
Возрастные особенности спортивной работоспособности
По мере развития организма его физическая работоспособность повышается. В спорте это. выражается в повышении скорости-движении увеличении продолжительности и интенсивности бега, плавания, гребли и т. д., даже в относительно небольшом возрастном диапазоне (табл.
31); при работе на велоэргометре с возрастом увеличивается, мощность работы (См. табл. 30).
| Таблица 31. Работоспособность и кислородный запрос во время гребли в максимальном темпе на байдарке на дистанции 200 м у подростков (по В. С. Мищенко, 1969) |
| Показатели |
возраст, лет |
| 13 |
14 |
15-18 |
| Время гребли (с) |
70,7 ± 0,5 |
66,0 ± 0,6 |
61,5 ± 0,6 |
| Число гребков в минуту |
81,3 ± 0,4 |
82,0 ± 0,6 |
93,0 ± 0,7 |
| Кислородный запрос, мл/мин мл/кг- мин |
3360 ± 40 62,4 ± 0,3 |
3562 ± 48 64,0 ± 0,4 |
4070 ± 60 68,0 ± 0,45 |
|
Спортивная тренировка способствует росту физической работоспособности. Юные спортсмены по сравнению с не занимающимися спортом показывают большую работоспособность. При этом чем старше юные спортсмены, чем продолжительнее стаж занятий спортом, тем больше различия между ними и неспортсменами. Установлено, что спортсмены 8-9 лет в упражнениях на велоэргометре выполняли работу,
равную 3874 кгм, а неспортсмены того же возраста- 3684 кгм. Работа 14-15-летниих пловцов равняется 12 973 кгм, а их сверстников-неспортсменов лишь 8486 кгм. Девочки (и занимающиеся, и не занимающиеся спортом) показывают меньшую работоспособность, чем мальчики. Причем различия в работоспособности между юными спортсменками и не занимающимися спортом выражены в большей степени, чем у мальчиков (табл. 32).
| Таблица 32. Работоспособность мальчиков (М) и девочек (Д) 8-15 лет, занимающихся (I) и не занимающихся (II) спортом (С. Б. Тихвинский, 1972) |
| Показатели |
Группа |
Возраст, лет |
| 8-9 |
10-11 |
12-13 |
14-15 |
| Достигнутая мощность работы (Вт) |
М I |
142,1 |
171,6 |
195,7 |
248,4 |
| М II |
140,6 |
161,7 |
162,0 |
210,7 |
| Д I |
145,0 |
148,6 |
184,1 |
227,7 |
| Д II |
116,0 |
137,0 |
152,9 |
168,6 |
| Суммарная работа (кгм) |
М I |
3874 |
5105 |
8402 |
32973 |
| М II |
3684 |
4721 |
4938 |
8486 |
| Д I |
3645 |
4632 |
6712 |
10749 |
| Д II |
2610 |
3408 |
4592 |
5175 |
| МПК (мл/мин) |
М I |
1492 |
1714 |
2221 |
2703 |
| М II |
1535 |
1657 |
1698 |
2299 |
| Д I |
1337 |
1533 |
1974 |
2221 |
| Д II |
1022 |
1277 |
1509 |
1722 |
|
Увеличение работоспособности и улучшение с возрастом адаптации к упражнениям на выносливость в значительной степени связано с ростом аэробной производительности, и в частности МПК. Причем увеличение МПК в наибольшей степени проявляется у юных спортсменов по мере увеличения стажа занятий спортом.
Детский и юношеский организмы характеризуются не только меньшей аэробной, но и меньшей анаэробной производительностью. Это в известной мере ограничивает работоспособность, особенно в упражнениях анаэробной мощности, при которых анаэробные процессы энергопродукции играют существенную роль. Одним из показателей анаэробной производительности служит величина максимального кислородного долга, которая с возрастом возрастает. Установлено, что дети 9-10 лет прекращают работу при нагрузке 8-9,3 кгм/с, когда кислородный долг составляет 800-1200 мл. Подростки 12-14 лет могут выполнять работу, равную 12-17 кгм/с, при кислородном долге 2000-2500 мл. Предельная нагрузка для взрослых - 20-45 кгм/с, а кислородный долг - 6000 мл. Вместе с тем у детей кислородный долг составляет больший процент от кислородного запроса. Величина как быстрой (алактатной), так и медленной (лакгатной) фракций кислородного долга у них меньше. Максимальные значения этих компонентов кислородной задолженности отмечаются в возрасте 20-30 лет.
О повышении с возрастом анаэробных возможностей организма свидетельствуют изменения концентрации молочной кислоты в крови. У детей 7-8 лет при упражнениях максимальной интенсивности содержание молочной кислоты в крови повышается до 80 мг%, у 14-15-летних - до 100 мг%, а у взрослых - до 112 мг%. Эти данные указывают на то, что дети и подростки менее, чем взрослые, способны работать в анаэробных условиях.
Формирование аэробного и анаэробного механизмов энергетического обеспечения мышечной деятельности происходит в разные сроки. Анаэробные возможности развиваются позднее. Так, если по величине относительного МГЩ 13-летние почти не отличаются от взрослых, то относительный максимальный кислородный долг у них составляет лишь 60-70% от данных взрослых. В результате этого у детей (особенно у младших школьников) отмечается незначительное использование анаэробных процессов в энергообеспечении мышечной деятельности.
Возрастные особенности адаптации к мышечной деятельности проявляются при нагрузках повышающейся мощности. Взрослые спортсмены могут выполнять на велоэргометре нагрузку, равную 1700 кгм/мин, при ЧСС 175 уд/мин. У юношей меньшая работа (1500 кгм/мин) сопровождается большим ростом ЧСС (186 уд/мин). Таким образом, взрослые спортсмены производят больший объем работы за счет менее напряженной сердечной деятельности. Для того чтобы потребить равное со взрослыми количество кислорода, детям необходимо сделать большее число дыхательных движений. Так, у детей 11-12 лет на один дыхательный цикл приходится 17,8 мл О2, в то время как у взрослых 35,8 мл.
Возрастные особенности динамики состояния организма при спортивной деятельности. В процессе спортивной деятельности в физиологическом состоянии организма отмечается несколько периодов, сменяющих друг друга: стартовое состояние, врабатывание, устойчивое состояние, утомление и восстановление (см. гл. 2).
У юных спортсменов предстартовые условно-рефлекторные изменения различных функций могут быть более выражены, чем у взрослых. Словесная информация о предстоящей мышечной деятельности вызывает у детей более заметные изменения ЧСС и АД, причем у спортсменов предрабочее увеличение функций более значительно по сравнению с не занимающимися спортом.
Период врабатывания у детей несколько короче, чем у взрослых. Например, у детей 7-14 лет в беге на короткие дистанции максимальная скорость достигается на 5-й секунде, а у юношей 17-18 лет - на 6-й. Правда, юноши за это время достигают большей скорости и преодолевают большее расстояние. В упражнениях на выносливость (плавание, езда на велоэргометре) у детей также несколько раньше стабилизируются некоторые показатели работоспособности, сердечно-сосудистой и дыхательной систем.

После периода врабатывания наступает устойчивое состояние. Способность удерживать устойчивое состояние зависит от возраста. Дети меньше, чем взрослые, способны сохранять его. Они быстрее достигают максимального уровня потребления О2, но в способности удерживать этот уровень уступают взрослым (рис. 96). Более короткий период устойчивого состояния сочетается у подростков с более стремительным, чем у взрослых, развитием гипоксемии, что является результатом большего рассогласования функций у подростков при напряженной мышечной деятельности.
От возраста зависит также характер процессов утомления. У детей в период утомления работоспособность, скорость движений снижаются в большей мере, чем у взрослых. Дети вынуждены прекращать работу при меньших изменениях внутренней среды организма, в условиях значительно меньшей кислородной задолженности.
При умеренной аэробной работе в период развивающегося утомления у подростков больше выражена дискоординация вегетативных функций (дыхания и кровообращения), в большей мере повышается энергетическая стоимость упражнений (В. М. Волков, А. В. Ромашов).
У юных спортсменов утомление нередко проявляется в более значительных нарушениях координации движений и взаимодействия двигательных и вегетативных функций (например, в нарушении согласования между дыханием и движением).
Возраст влияет и на характер восстановительных процессов после физической нагрузки. После непродолжительных, преимущественно анаэробных, упражнений восстановление работоспособности, вегетативных функций, ликвидации кислородной задолженности у детей происходит в более короткие, чем у взрослых, сроки. Правда, как в абсолютных, так и в относительных единицах величина кислородной задолженности у детей меньше. При работе максимальной мощности у детей 11 -14 лет восстановление потребления О2 происходит на 12- 14-й мин, а у взрослых - на 16- 18-й мин.
Восстановительные процессы после интенсивных упражнений носят; неравномерный характер. Сначала они протекают быстро, а затем медленно. В быструю фазу восстановления ликвидируется большая, чем у взрослых, часть кислородного долга. У детей 8- 9 лет она составляет 60-70% общего долга, а у взрослых -лишь около 40%. С возрастом (от 11 до 20 лет) наряду с повышением выносливости и возможности производить большую работу увеличивается время восстановления.
Более быстрое восстановление у детей после непродолжительных упражнений не дает им заметных, преимуществ перед взрослыми. Дело в том, что при продолжительных и утомительных нагрузках, при многократных повторениях упражнений восстановительные процессы у детей протекают медленнее, чем у взрослых. Например, у спортсменов 16-18 лет после велогонки на 50 км АД восстанавливается за 6-24 ч, а у взрослых спортсменов - за 3-4 ч. Продолжительность восстановительных процессов у юных велосипедистов после гонки на 25 км примерно такая же, как у взрослых спортсменов после гонки на 50 км.
Спортивная ориентация и ее физиологические критерии
Характерной особенностью современного спорта является поиск талантливой молодежи, организация научно обоснованной спортивной ориентации.
Различные виды спорта предъявляют специфические требования к строению тела, уровню развития отдельных двигательных качеств, функциональным возможностям организма. Так, границы спортивных достижений во многом определяются морфологическими особенностями спортсмена.
Их необходимо учитывать при спортивной ориентации, так как некоторые характеристики телосложения слабо изменяются под влиянием тренировки.
В ряде видов спорта, где преобладающим качеством является выносливость, предъявляются высокие требования к аэробной производительности. Согласно данным В. Б. Шварца, величина МПК на 80% зависит от генетических факторов и лишь на 20% от влияния внешней среды, в частности тренировки.
Поэтому определение МПК у юных спортсменов может быть использовано для прогноза их будущих результатов в упражнениях на выносливость.
Многие выдающиеся бегуны на средние дистанции отличаются высоко развитой способностью преодолевать кислородный дефицит. Они могут терпеть гипоксемические и гиперкапнические сдвиги, в 2-3 раза превышающие подобные изменения у спортсменов менее высокой квалификации (А. Б. Пандельсман). Поэтому в. анаэробных видах спортивной деятельности надежным критерием отбора может быть оценка способности преодолевать кислородную недостаточность.
Наиболее простой способ оценки - метод гипоксемических проб (задержка дыхания, дыхание в замкнутое пространство, дыхание газовыми смесями и т. д.), более сложный - определение максимального кислородного долга.
В некоторых видах спорта (тяжелой атлетике, борьбе, гимнастике, легкоатлетических метаниях) спортивный результат в значительной степени определяется уровнем развития силы определенных групп мышц.
Показателем скоростно-силовой подготовленности бегунов на короткие дистанции является импульс силы за ОД с. Он характеризует способность спортсмена проявлять большие усилия в кратчайшее время и может служить тестом для контроля за уровнем специальной подготовленности спринтера. С возрастом, по мере спортивного совершенствования, величина импульса силы повышается.
Быстроту и скоростно-силовые качества относят к числу консервативных проявлений двигательных способностей человека, т. е. слабо изменяющихся под влиянием спортивной тренировки. Так, установлено, что в легкоатлетических прыжках время отталкивания мало зависит от возраста занимающихся и их квалификации.
Юные спортсмены, отличающиеся значительными взрывными усилиями, сохраняют это качество в процессе дальнейшей подготовки. Поэтому способность к концентрации усилий в толчковой фазе прыжка рассматривают как критерий для положительного прогноза потенциальных возможностей к занятиям данным видом спорта.
Признавая значимость генетического фактора, не следует умалять роли внешней среды. Генетическая информация может быть реализована только в том случае, если она в каждом возрастном периоде будет оптимально взаимодействовать с определенными условиями среды.
Установлено, что эффективность спортивного совершенствования значительно выше, если акценты педагогических влияний совпадают с индивидуальными анатомо-физиологическими особенностями спортсмена в данный возрастной период.
Влияние определенного фактора среды неодинаково на различных этапах развития организма. Для каждого этапа характерен свой комплекс наиболее действенных факторов, которые дают наибольший эффект.
Неадекватным возможностям организма внешние факторы не позволяют использовать резервы организма, которыми он располагает на отдельных этапах онтогенеза.
Развитие двигательных качеств у спортсменов 12-16 лет находится в зависимости не столько от паспортного, сколько от биологического возраста. Неодинаковые темпы развития детей одного и того же паспортного возраста могут ввести тренера в заблуждение в отношении их истинных способностей. Высокий спортивный результат в детские и юношеские годы может быть обусловлен не спортивной одаренностью, а генетически более ранними сроками биологического созревания. Таким образом, акцент при спортивном отборе на детей-акселератов не всегда целесообразен.
Нередко подростки с замедленными темпами индивидуального развития являются потенциально более способными, но их одаренность может проявиться позднее.
Спортивные достижения определяются, с одной стороны, уровнем исходных результатов (ювенильные показатели), а с другой - темпами прироста их в ходе спортивного совершенствования. В связи с неодинаковыми темпами прироста между ювенильными показателями и конечными достижениями (дефинитивные показатели) не всегда есть полное соответствие. Поэтому необходимо учитывать не только исходный уровень достижений, но и темпы, прироста функциональных возможностей, развития двигательных качеств. Установлено, что результаты юных пловцов, легкоатлетов, достигнутые к концу 2-3-го года занятий, не зависят от первоначальных исходных результатов.
Следовательно, в данном случае не исходный спортивный результат, а индивидуальные темпы развития функциональных возможностей в большей степени взаимосвязаны с дефинитивными показателями.
Более высокие темпы прироста спортивных достижений имеют место при так называемом дифференцированном спортивном совершенствовании, т. е. при условии избирательного подхода к занимающимся с учетом их индивидуальных морфологических и функциональных данных, особенностей
развития высшей нервной деятельности. Принцип индивидуализации имеет широкий спектр действия.
Воспитание будущего спортсмена - это не только индивидуальное развитие специальных физических качеств, но и формирование личности и характера будущего спортсмена.
Глава 11. Общие физиологические закономерности (принципы) занятий физической культурой и спортом
Систематические занятия физической культурой или спортом вызывают адаптацию (специфическое приспособление) организма к физическим нагрузкам. В основе такой адаптации лежат возникающие в результате тренировки морфологические, метаболические и функциональные изменения в различных органах и тканях совершенствование нервной, гормональной и автономной клеточной регуляции функций. Все эти изменения определяют тренировочные эффекты.
Они проявляются в улучшении разнообразных функций организма, обеспечивающих осуществление данной (тренируемой) мышечной деятельности, и, как следствие, в повышении уровня физической подготовленности (тренированности) занимающегося, в росте спортивного результата. При анализе факторов, определяющих тренировочные эффекты, выделяются следующие физиологические закономерности:
1. основные функциональные эффекты тренировки;
2. пороговые (критические) нагрузки для возникновения тренировочных эффектов;
Физиологические изменения в результате тренировки выносливости
Как и у мужчин, ЧСС у тренированных женщин ниже, чем у нетренированных, при выполнении ими одинаковой субмаксимальной аэробной работы. Концентрация лактата в крови у женщин выше, чем у мужчин, при выполнении одинаковой абсолютной мощности немаксимальной аэробной работы. В этом случае женщины работают на более высоком относительном уровне потребления О2 (%МПК), т. е. ближе к своему кислородному потолку, чем мужчины. Поэтому при одинаковой физической мощности работы физиологическая нагрузка у женщин может быть выше анаэробного порога, а у мужчин ниже.
Спортивная тренировка повышает аэробные возможности и, следовательно, анаэробный порог: при выполнении одинаковой аэробной работы концентрация лактата в крови у спортсменок ниже, чем у нетренированных женщин. Вместе с тем анаэробный порог у женщин ниже, чем у мужчин той же специализации (см. рис.
41).
При аэробных нагрузках на уровне ниже 80-85% от МПК использование (окисление) жиров рабочими мышцами у женщин больше (ДК ниже), чем у мужчин.
При сопоставлении энергетической стоимости одинаковой аэробной работы у женщин и мужчин следует учитывать ряд факторов, и прежде всего механическую эффективность работы, которая может быть неодинаковой, особенно из-за различий в технике выполнения одних и тех же упражнений.
Так, при определении энергетической стоимости езды на велосипеде у женщин и мужчин установлены значительные, различия которые, однако, исчезают при отнесении калорической стоимости работы к весу тела. Таким образом, ни возраст, ни композиция или строение тела существенно не влияют на энергетические расходы.
В то же время при ходьбе на разные дистанции калорические расходы, отнесенные к весу тела, у женщин на 6-7% выше, чем у мужчин, а при беге - на 10%. С другой стороны, при беге на тредбане с одинаковой скоростью потребление О2, отнесенное к весу тела, у женщин и мужчин заметно не различается, хотя вариативность индивидуальных показателей у женщин больше.
Физиологические изменения в результате тренировки выносливости
Как следует из изложенного, физиологические изменения, вызванные тренировкой выносливости, у женщин в целом сходны с таковыми у мужчин. Сравнение физиологических показателей в период устойчивого состояния при выполнении одинаковой (стандартной) немаксимальной аэробной работы до и после определенного периода тренировки выносливости выявляет следующее.
1. Скорость потребления О2 остается такой же (иногда лишь с тенденцией к небольшому снижению).
2. Легочная вентиляция уменьшается.
3. Сердечный выброс не меняется.
4. ЧСС снижается.
5. Систолический объем увеличивается.
6. АВР-О2 не меняется или лишь слегка снижается.
7. Концентрация лактата в крови уменьшается.
Максимальные показатели (регистрируемые при максимальной аэробной работе) после тренировок отличаются от предтренировочных:
1. МПК увеличивается.
2. Максимальная легочная вентиляция возрастает.
3. Максимальный сердечный выброс повышается.
4. Максимальная ЧСС несколько снижается.
Максимальный систолический объем увеличивается. Максимальная АВР-О2 увеличивается.
Максимальная концентрация лактата в крови повышается.
Все эти показатели свидетельствуют о повышении аэробных возможностей, в основе которого лежит усиление кислород-транспортных возможностей женского организма и аэробных возможностей скелетных мышц, утилизирующих кислород в окислительных процессах энергопродукции. Как и у мужчин, хотя и в меньшей степени, в результате тренировки выносливости у женщин увеличивается число и объем мышечных митохондрий, содержание и активность специфических ферментов аэробного (окислительного) метаболизма, содержание основных энергетических субстратов в мышцах (гликогена и триглицеридов), улучшается способность мышц, окислять углеводы и особенно жиры.
Менструальный цикл и физическая работоспособность
Физиологическое состояние разных систем и физическая работоспособность в целом у женщин находятся в определенной зависимости от фаз менструального цикла. Вместе с тем и физические нагрузки могут оказывать влияние на его протекание.
При очень значительных индивидуальных вариациях в характере и интенсивности физиологических изменений на протяжении менструального цикла можно выделить наиболее типичные, чаще всего повторяющиеся.
Уже в середине менструального цикла начинает уменьшаться концентрация эритроцитов, гемоглобина, лейкоцитов и тромбоцитов, а также белков в крови, что связано с некоторой гемодилюцией (увеличением объема плазмы крови), вызванной задержкой солей и воды в теле. Непосредственно перед началом менструации содержание эритроцитов и гемоглобина в крови нарастает, особенно у спортсменок.
В дни менструации происходит потеря эритроцитов и гемоглобина, что приводит к снижению кислородной емкости крови, степень которого зависит от объема кровопотерь. В эту фазу свертываемость крови понижается как результат уменьшения числа тромбоцитов и активности фибринолитической системы.
Кровопотери служат мощным физиологическим раздражителем для последующего усиления эритропоэза. Примерно к середине менструального цикла кислородная емкость крови достигает максимума.
В предменструальную фазу и фазу менструации снижены основной обмен и температура тела. В фазу менструации потоотделение при мышечной работе начинается раньше, чем в остальные фазы цикла.
Этот эффект, вероятно, связан со снижением содержания эстрогенов (женских половых гормонов), которые оказывают тормозящее действие на потоотделение. Поэтому во время менструации мышечная работоспособность может быть особенно чувствительна к повышенной температуре окружающей среды.
Никаких значительных изменений в МПК или О2-долге как показателе емкости анаэробных энергетических систем, на протяжении менструального цикла не происходит. Пульсовая реакция на одну и ту же аэробную нагрузку может несколько изменяться. Даже в отсутствие изменений пульсовой реакции или скорости потребления О2 выполняемая в период менструации физическая нагрузка может субъективно восприниматься как более тяжелая.
Поэтому влияние менструального цикла на физическую работоспособность часто зависит от психического состояния женщины.
Максимальная произвольная мышечная сила часто снижается за несколько дней до начала менструации и остается такой на протяжении всех дней менструации.
Обычно менструальный цикл существенно не влияет на спортивную работоспособность. Однако имеются большие индивидуальные вариации. Определенное значение имеет вид спорта. Менструация меньше всего влияет на работоспособность спринтеров и больше всего на работоспособность спортсменок, тренирующих выносливость.
В период менструации работоспособность волейболисток, баскетболисток, гимнасток обычно ниже нормальной, но сравнительно выше, чем у специализирующихся в упражнениях на выносливость.
Интенсивные спортивные тренировки и участие в соревнованиях могут оказывать некоторое влияние на сроки начала и. характер протекания менструального цикла.
41% спортсменок, участвующих в Олимпийских играх в Токио, отметили, что тренировки и соревнования в какой-то мере влияют на обычный ход их менструального цикла или даже нарушают его (Е. Захарьева,
1965). У спортсменок менструация появляется в среднем позже и чаще наблюдаются аменорея (отсутствие) или олигоменорея (уменьшение менструальных кровотечений). Отчасти это может быть следствием специфического отбора в спорте женщин с некоторыми особенностями соматического (пониженным содержанием жира в теле) и гормонального профиля. Однако несомненно влияние интенсивности и объема тренировочных нагрузок.
Например, у бегуний на средние дистанции аменорея наблюдалась в 20% случаев при общем объеме недельной нагрузки 16 км, в 30% случаев при недельной нагрузке 80 км, более чем в 40% случаев при недельной нагрузке около 120 км.
Отм ечена связь наступления аменореи с потерей жира в результате систематических физических нагрузок. Аменорею можно рассматривать как защитный механизм, предотвращающий потери железа с менструальной кровью.
Дефицит железа вообще довольно часто обнаруживается у представителей видов спорта, требующих проявления выносливости, но особенно часто - у женщин-стайеров.
Глава 10. Физиологические особенности спортивной тренировки детей школьного возраста
Развитие человека от момента рождения и до смерти (онтогенез) представляет непрерывный единый процесс (индивидуальное развитие). На протяжении жизни организм претерпевает ряд закономерных морфологических, биохимических и функциональных (физиологических) изменений.
Индивидуальное развитие и возрастная периодизация
Индивидуальное развитие. Онтогенез обусловлен влиянием наследственных факторов и определяется генетической программой, которая складывается в результате взаимодействия родительских генов.
Генетическая программа индивидуального развития реализуется в определенных условиях окружающей среды. На различных этапах онтогенеза влияние генетической информации и окружающей среды неодинаково.
Так, в первые годы жизни влияние среды оказывается неизмеримо сильнее, чем в более поздние годы.
Формирование органов и систем развивающегося организма происходит гетерохронно (неодновременно): одни из них развиваются раньше, другие - позднее. Так, морфологически головной мозг и спинной мозг наиболее интенсивно растут в раннем детстве и к 10-12 годам достигают окончательных размеров.
Формирование же половых органов до 11-12 лет происходит относительно медленно, а в 12-14 лет - быстро.
В ходе индивидуального развития человека непрерывно совершаются два взаимосвязанных процесса: ассимиляция- (усвоение, создание) и диссимиляция (разрушение, распад). На различных этапах развития соотношение между этими процессами изменяется.
В период роста и формирования организма преобладает ассимиляция. Отмечается усиленный синтез белков, который сопровождается относительно большими, чем у взрослых, энергетическими тратами.
На различных этапах индивидуального развития человека изменяется характер нейрогуморальной регуляции функций. Например, на ранних этапах преобладают механизмы симпатической регуляции сердечнососудистой системы, что проявляется в значительной ЧСС в условиях относительного покоя; с возрастом усиливается влияние блуждающего нерва, что выражается, в частности, в замедлении ритма сердечных сокращений.
Огромное влияние на развитие человека оказывают движения, физические упражнения. Недостаток движения, ограничение двигательной активности (так называемая гипокинезия) отрицательно сказывается на формировании организма.
Деятельность различных систем организма находится в прямой зависимости от активности скелетных мышц, особенно в детском возрасте. Двигательная активность стимулирует обмен веществ и энергии, совершенствование всех функций и систем организма и повышает его работоспособность.
Велика роль двигательной активности в подготовке к труду. Осваивая новые движения, человек обучается управлять работой мышц, сложными движениями, необходимыми в трудовой и спортивной деятельности.
Дви гательная активность способствует усвоению информации, которая поступает из внешней среды, через сенсорные системы. Эта информация имеет значение не только для повышения физической и умственной работоспособности, но и для становления человека как личности.
Возрастная периодизация. Дошкольный и школьный возраст разделяют на следующие возрастные периоды: 1) младенческий - до 1 года; 2) раннее детство - от 1 до 3 лет; 3) дошкольный, или первое детство, - от 4- до 6-7 лет, 4) младший школьный, или второе детство, - от 6-7 до 12 лет (мальчики до 12 лет, девочки до 11 лет); 5) средний школьный, или подростковый, - от 12 до 15 лет (мальчики 12-15, девушки 11 -15 лет); 6) старший школьный - от 16 до 18 лет.
Для более точной оценки индивидуального развития рекомендуют наряду с календарным (паспортным) возрастом учитывать так называемый биологический возраст. Это связано с тем, что для каждого организма характерны только ему присущие темпы развития. Именно поэтому сроки отдельных возрастных этапов биологического развития не всегда совпадают с календарным возрастом.
Биологический возраст оценивается по комплексу показателей: физическому развитию (рост, вес и т. д.), срокам окостенения скелета (костный возраст), степени половой зрелости и др.
Фактором, который еще более осложняет точную характеристику истинного возраста, является процесс, получивший наименование акселерация. Этот процесс характеризуется следующими основными особенностями: ускоренным физическим развитием, более ранними сроками полового созревания, увеличением размеров тела.
Так, подростки и юноши Москвы выросли по сравнению с 1923- 1925 гг. на 1013 см, у них увеличилась масса тела на 9-11 кг. Первая менструация (один из показателей полового развития) у ленинградских школьниц в 1927-1930 гг. отмечалось в среднем в 14 лет 2 месяца, а в настоящее время в 12 лет 11 месяцев.
Наряду с детьми-акселератами, т. е. ускоренно развивающимися, есть дети-ретарданты, развивающиеся медленно, которые отстают в физическом и половом развитии. Поэтому нередко один и тот же календарный возраст объединяет разный в биологическом отношении контингент детей.
В процессе физического воспитания и спортивного совершенствования необходимо учитывать не только календарный, но и биологический возраст занимающихся, индивидуальные особенности лх развития.
Возрастные особенности физиологических функций и систем
Рост и формирование организма, эффективность его взаимодействия с внешней средой во многом зависят от развития нервной системы, и главным образом ее ведущего отдела - коры больших полушарий головного мозга.
Высшая нервная деятельность
На отдельных этапах возрастного развития дети характеризуются специфическими особенностями высшей нервной деятельности.
Младший школьный возраст примечателен совершенствованием высшей нервной деятельности. В этот период .возрастает сила и подвижность нервных процессов, усиливается внутреннее торможение, в результате чего взаимодействие процессов, возбуждения и торможения характеризуется большей уравновешенностью, чем у дошкольников. Установлено, что такие виды внутреннего торможения, как условное и угасание, вырабатываются значительно быстрее, чем у детей 5-7 лет.
Например, условный тормоз образуется у детей 5 лет после 30 неподкреплений, а у детей 12 лет - после 4 неподкреплений.
В младшем школьном возрасте повышается способность образовывать условнорефлекторные связи. Так, у детей 10-12 лет положительные условные рефлексы как на простые, так и на сложные раздражители появляются остро и характеризуются значительной устойчивостью. Наряду с этим рефлекторные реакции у детей часто носят разлитой характер.
Это результат выраженной иррадиации возбудительного процесса. Вследствие того что сила внутреннего торможения еще недостаточна, дифференцировки вырабатываются труднее, чем у взрослых.
При сильных воздействиях у детей относительно быстро развивается запредельное торможение.
В 10-12 лет устанавливается частота альфа-ритма биоэлектрической активности мозга, характерная для взрослых, т. е. 10- 12 колебаний в секунду. Вместе с тем электроэнцефалограмма детей характеризуется значительной вариабельностью, в разных областях мозга отмечаются заметные различия в распределении частот электрической активности.
В младшем школьном возрасте активно развивается речевая функция, усиленно формируются мышление, способность пользоваться понятиями, абстрагированными от действия, совершенствуются взаимосвязь первой и второй сигнальных систем, внутренняя речь, способность обдумывать про себя поступки. Словесная информация становится более конкретной и полной. Усиливаются временные связи между словами как раздражителями и двигательной функцией.
Благодаря этому повышается способность к более разнообразному и глубокому словесному выражению своих движений.
Физическое воспитание и спортивное совершенствование способствуют более тонкому взаимодействию сигнальных систем и расширяют влияние речи и мышления на двигательную функцию.
Подростковый возраст совпадает с пубертатным скачком роста и физического развития. Начало этого процесса приходится у девочек на 11 -12 лет, а у мальчиков - на 13-14 лет.
Различают три фазы, связанные с процессом полового созревания: 1-я фаза-препубертатная, частично представленная теми изменениями, которые характерны для предшествующего периода; 2-я фаза - собственно-пубертатная, которая выражается в усиленном половом развитии и внешнем проявлении его признаков; 3-я фаза - постпубертатная, связанная с завершением полового созревания и продолжающаяся в старшем школьном возрасте.
Подростковый возраст характеризуется рядом отличительных особенностей. У подростков преобладают процессы возбуждения, заметно ухудшается дифференцировочное торможение, условнорефлекторные
реакции становятся менее адекватными раздражению и носят более выраженный, бурный характер. Отчасти этим объясняется тот факт, что двигательные действия подростка нередко отличаются большим числом дополнительных движений, сокращением ненужных мышц, излишней закрепощенностью.
У детей этого возраста могут наблюдаться временные трудности в образовании условных рефлексов и дифференцировок.
Подростка отличает резко повышенная эмоциональность поведения, сопровождающаяся подчас психической неустойчивостью - быстрым переходом от угнетения к радости и наоборот. Подобные изменения носят временный характер и являются следствием нейрогормональных сдвигов, присущих данному возрастному периоду.
Как период полового созревания подростковый возраст примечателен активизацией гормональной функции половых желез. На фоне включения половых желез во взаимодействие с гипофизом и щитовидной железой изменяются нейроэндокринные и нейрогуморальные соотношения в организме, характерные для предшествующего периода детства.
Переход к юношескому возрасту связан с дальнейшим совершенствованием высшей нервной деятельности. Повышается уровень аналитико-синтетической деятельности коры большого мозга, усиливается функция обобщения, возрастает роль словесных сигналов, уменьшается латентный период на словесный раздражитель. Усиливается внутреннее торможение, нервные процессы становятся более уравновешенными.
Заканчивается формирование электрической активности коры большого мозга, в возрасте 17-18 лет деятельность ее является достаточно зрелой.
Обмен веществ и энергии
Особенность обмена веществ у детей школьного возраста состоит в том, что значительная доля образующейся энергии (больше, чем у взрослых) идет на процессы роста, развития организма, т. е.. на пластические процессы. Следовательно, во время спортивной деятельности расход энергии связан не только с необходимостью восполнить ее источники, но и с процессами роста, развития.
Обмен белков. У детей потребность в белках выше, чем у взрослых. Чем младше ребенок и чем интенсивнее у него процессы роста, тем потребность в белках больше.
Детям 4-7 лет на 1 кг массы тела требуется 3,5-4 г белка, в 8-12 лет - 3 г, в 12-15 лет - 2-2,5 г, а взрослым- 1-1,5 г. Так как у детей синтез белков преобладает над распадом, для растущего организма характерен положительный азотистый баланс, когда .количество азота, вводимого с белковой пищей, превышает количество азота, выводимого с мочой.
Важно не только количество, но и качество потребляемых белков. Полноценность белков определяется наличием в них аминокислот, необходимых для синтеза. Большое значение имеет поступление в достаточном количестве незаменимых аминокислот. Недостаток белка замедляет развитие ребенка.
У детей, занимающихся спортом, особенно при значительном увеличении мышечной массы, потребность в белках повышена в 1,5-2 раза.
Обмен жиров. Жиры и жироподобные вещества играют существенную роль в процессах роста. Они важны для морфологического и функционального созревания нервной системы.
Жиры необходимы Для образования клеточных мембран. Потребность в жирах с возрастом изменяется. Суточная норма жиров на 1 кг веса тела составляет: в 5-6 лет - 2,5 г/ в 10-11 лет - 1,5 г, в 16-18. лет - 1 г.
При избыточном потреблении жиры могут откладываться в запас. Особенно много их депонируется в организме при недостаточной двигательной активности.
Избыток жиров нарушает обмен веществ, расстраивает пищеварение, отрицательно влияет на физическое развитие. У детей обмен жиров носит неустойчивый характер.
Обмен углеводов. Для детей характерна высокая интенсивность углеводного обмена.
Это связано в тем, что углеводы у них выполняют не только роль основных источников энергий, но и важную пластическую функцию, обеспечивая формирование оболочек клеток, а также соединительной ткани. За сутки дети должны получать с пищей: в возрасте 4-7 лет - 280-300 г, в 8-13 лет - 350- 370 г, в 14-17 лет -450-470 г.
Регуляция углеводного обмена у детей менее совершенна, чем у взрослых. Это проявляется в более медленной мобилизации углеводных ресурсов, а также в меньшей способности сохранять необходимую интенсивность углеводного обмена при работе. Так, при напряженной спортивной деятельности (бег на 500 м, кросс на 5 км) у подростков и юношей уровень сахара в крови снижается чаще, чем у взрослых.
Особенно это характерно для длительных, монотонных упражнений. Эмоционально насыщенные занятия, использование разнообразных (преимущественно игровых) упражнений способствуют сохранению нормального уровня сахара в крови.
Об мен воды и солей. Вода составляет около 80% массы тела ребенка. По мере развития организма количество воды уменьшается до нормы взрослых (68-72% массы тела). Чем младше ребенок, чем быстрее он развивается, тем выше у него потребность в воде.
Так, в возрасте 6 лет суточная потребность в воде составляет 100-ПО г на 1 кг массы тела, в 14 лет - 70-85 г, в 18 лет - 40-50 г. Несмотря на то что относительное количество потребляемой воды с возрастом уменьшается, абсолютное количество увеличивается. Это связано с тем, что с возрастом растет масса тела ребенка. Поэтому общее количество потребляемой воды в сутки, например, у детей 6-10 лет составляет 1600-2000 мл, что меньше, чем у взрослых (2200-2500 мл). Для детей характерна повышенная гидролабильность, т. е. способность быстро терять и быстро депонировать воду.
Это обусловлено недостаточно совершенной нервной и эндокринной регуляцией водного обмена.
Минеральные вещества имеют большое значение для формирования костной ткани, главным образом кальций и фосфор. Потребность в них увеличивается в период усиленного роста, особенно в период полового созревания подростков. У детей 6-7 лет суточная потребность в кальции составляет 0,3-0,5 г, а у старших школьников примерно 1,0 г.
Для нормального развития организма важно не только абсолютное количество минеральных веществ, но и их соотношение. Например, если в суточном рационе дошкольников должно содержаться примерно равное количество кальция и фосфора, то в более старшем возрасте фосфора должно быть вдвое больше.
Растущий организм нуждается также в натрии, калии, хлоре, железе. Однако суточная потребность детей в этих минеральных веществах в 1,5-2 раза меньше, чем у взрослых.
Кроме этого, в обмене веществ у детей имеют значение такие микроэлементы, как медь, цинк, кобальт, марганец.
Обмен энергии. У детей энергетический обмен выше, чем у взрослых.
Например, расход энергии на 1 кг массы и на единицу поверхности тела в условиях относительного покоя (основной обмен) в возрасте 8-10 лет в 2-2,5 раза выше, чем у взрослых. Более высокая интенсивность биоэнергетики детского организма является следствием процессов роста и развития.
Причем она тем выше, чем младше ребенок.
Большой расход энергии связан не только с усиленными пластическими процессами, но и с более интенсивной, чем у взрослых, работой дыхательной и сердечно-сосудистой систем, а также с большей теплоотдачей. Поверхность тела ребенка относительно велика по сравнению с массой тела, поэтому он отдает в окружающую среду больше тепла.
Так, расход, энергии в состоянии основного обмена на 1 м2 поверхности тела у 10-летних равен 49,5 ккал, у 16-18-летних - 43 ккал.
Расход энергии во время выполнения физических упражнений также зависит от возраста. У подростков при выполнении одинаковой со взрослыми работы энергетический обмен выше.
С возрастом энергозатраты при той же мышечной нагрузке понижаются.
Физиологические основы формирования двигательных навыков
| Показатели |
Выдающиеся марафонцы (n=6) |
Выдающиеся бегуны на средние к длинные дистанции (n=8) |
Хорошие бегуны на средние дистанции (n=8) |
Нетренированные мужчины (n=10) |
| МПК (мл/кг-мин) |
74,3 |
79,8 |
69,2 |
54,2 |
| Процент медленных волокон |
80,5 (50-96) |
77,9 (60-98) |
71,8 |
57,7 |
| Площадь поперечного сечения волокон (1000 мкм2): |
|
|
|
|
| медленных |
6,5 |
6,5 |
6,3 |
4,9 |
| быстрых |
8,5 |
8,2 |
6,4 |
5,5 |
| Процент площади, занимаемой медленными волокнами |
83,5 |
81,4 |
62,1 |
60,0 |
| Активность ферментов (мкм/г/мин): |
|
|
|
|
| сукцинатдегидрогеназы |
22,3 |
21,0 |
17,7 |
6,4 |
| лактатдегидрогеназы |
737 |
746 |
788 |
843 |
| фосфорилазы |
7,6 |
8,3 |
8,9 |
8,6 |
Теоретически возможны две причины этого. Первая причина: преобладание медленных волокон в мышцах может быть врожденным, генетически предопределенным. Человек с такими особенностями мышечного аппарата имеет предпосылки к достижению высокого результата именно в видах спорта, требующих наиболее активного участия медленных: (выносливых) волокон. Вторая причина: увеличение процента медленных волокон является следствием тренировки выносливости и происходит за счет соответствующего уменьшения числа быстрых волокон.
Имеющиеся в настоящее время данные говорят; в пользу первого предположения.
Во-первых, очень высокий процент медленных волокон наблюдается и у людей, никогда не занимавшихся спортом. Кстати, в этом случае можно предположить, что они не воспользовались возможностью, предоставленной им природой, стать хорошими стайерами.
Во-вторых, даже многомесячная тренировка выносливости практически не изменяет соотношения быстрых и медленных волокон в мышцах, хотя вызывает явные эффекты в отношений выносливости - повышает спортивный результат, МПК, толщину медленных волокон и активность мышечных ферментов окислительного метаболизма.
В-третьих, процент медленных и быстрых волокон, в интенсивно и мало тренируемых мышцах примерно одинаков у спортсменов одной специализации, хотя окислительный потенциал и другие биохимические характеристики интенсивно тренируемых мышц выше. Так, у тренирующихся в ориентировании с большой нагрузкой для мышц ног процент медленных волокон в этих мышцах примерно такой же, что и в мышцах рук (табл.
16).
В-четвертых, результаты исследований моно- (генетически идентичных) и дизиготных (генетически неидентичных) близнецов показывают, что у первых поразительно близко соотношение двух типов волокон в мышцах (даже если один из пары активно занимается спортом, а другой нет), тогда как у вторых возможны большие вариации в композиции мышцы.
| Таблица 16. Процентное распределение волокон в мышцах рук и ног у спортсменов разных специализаций и у неспортсменов (по данным разных авторов) |
| Группа спортсменов и исследуемые мышцы |
Виды мышечных волокон |
| I |
II-А |
II-В |
| Выдающиеся спортсмены-ориентировщики (n=8): |
|
|
|
| наружная мышца бедра |
68 |
24 |
3 |
| икроножная мышца |
67 |
29 |
2 |
| дельтовидная мышца |
68 |
14 |
17 |
| Бегуны-стайеры (га = 10): |
|
|
|
| икроножная мышца |
61 |
37 |
0 |
| Пловчихи (n=11): |
|
|
|
| наружная мышца бедра |
58 |
34 |
8 |
| дельтовидная мышца |
68 |
32 |
0 |
| широчайшая мышца спины |
66 |
34 |
0 |
|
| Нетренированные юноши 16-18 лет (n=69): |
|
|
|
| наружная мышца бедра |
53,9 |
32,9 |
13 |
| Нетренированные мужчины (n=40): |
|
|
|
| наружная мышца бедра |
51 |
33 |
16 |
| дельтовидная мышца |
52 |
32 |
18 |
Вместе с тем в процессе тренировки выносливости в композиции тренируемых мышц все же происходят определенные специфические перестройки. Как следует из данных, приведенных в табл. 16, в нагружаемых мышцах у спортсменов почти отсутствуют быстрые гликолитические волокна (II-В) и основную массу быстрых волокон составляют быстрые окислительные волокна (II-А). Таким образом, при неизменном соотношении медленных и' быстрых .мышечных волокон тренировка выносливости способствует превращению быстрых волокон преимущественно (или исключительно) в подтип быстрых окислительных волокон (II-А).
Это увеличивает общий процент волокон, способных в основном к аэробному метаболизму и наиболее приспособленных к выполнению длительных упражнений на выносливость.
Структурные особенности мышечных волокон. Одним из эффектов тренировки выносливости является увеличение толщины мышечных волокон рабочая гипертрофия. Об этом свидетельствуют различия в площади поперечного сечения мышечных волокон разного типа у спортсменов и нетренированных мужчин (см. табл.
15). Тренировка выносливости ведет к рабочей гипертрофии преимущественно саркоплазматического типа, которая связана в большей мере с увеличением саркоплазматического пространства мышечных волокон.
Существенные изменения при этом происходят также в отдельных межфибриллярных структурных компонентах мышечных волокон, особенно в митохондриях. В процессе тренировки выносливости усиливается синтез белков, составляющих митохондриальные мембраны мышечных волокон. В результате возрастают число и размеры митохондрий внутри мышечных волокон. У высококвалифицированных спортсменов, например, объемная плотность центральных и периферических митохондрий-соответственно на 50 и 300%. больше, чем у нетренированных мужчин.
Объемная плотность и размеры митохондрий у женщин (спортсменок и неспортсменок) меньше, чем у мужчин. Чем больше число и объем митохондрий (и соответственно выше активность митохондриальных ферментов окислитительного метаболизма), тем выше способность мышцы к утилизации ею кислорода, доставляемого с кровью.
Капиллиризация мышечных волокон. Тренировка выносливости вызывает увеличение числа капилляров, окружающих мышечные волокна, так что возрастает прежде всего число капилляров, приходящихся на одно мышечное волокно.
Поэтому, несмотря на. утолщение (гипертрофию) волокон, дистанция от капилляра до наиболее удаленных (центральных); Митохондрий внутри них, по крайней мере, не уменьшается по сравнению с предтренировочным расстоянием (табл. 17).
Среднее число капилляров на 1 мм2 поперечника мышечных волокон у нетренированных людей составляет 325, а у тренированных - 400.
У хорошо тренированных спортсменов мышечное волокно может быть окружено 5-6 капиллярами (у мужчин это число несколько больше, чем у женщин), см. табл. 17.
Быстрые и медленные волокна могут иметь общие капилляры, но в среднем плотность капилляров вокруг медленных волокон больше, чем вокруг быстрых (как у спортсменов, так и у нетренированных людей), а вокруг быстрых окислительных (II-А) больше, чем вокруг быстрых гликалитических (II-А).
| Таблица 17. Капилляризация трех видов мышечных волокон в латеральной головке четырехглавой мышцы бедра у мужчин и женщин - бегунов на средние и длинные дистанции, а также у неспортсменов |
| Виды мышечных волокон |
Мужчины |
Женшины |
| неспортсмены |
спортсмены |
неспортсменки |
спортсменки |
| Среднее число капилляров вокруг одного волокна |
| I |
4,2 |
5,9 |
4,6 |
5,1 |
| II-А |
4,0 |
5,2 |
3,7 |
4,8 |
| II-В |
3,2 |
4,3 |
2,9 |
3,6 |
| Средняя площадь поперечного сечения волокна (мкм2), приходящаяся на один капилляр |
| I |
1014 |
997 |
1034 |
901 |
| II-А |
1335 |
1213 |
1062 |
871 |
| II-В |
1338 |
1235 |
878 |
840 |
|
Следует подчеркнуть, что усиленная капилляризация наблюдается только в мышцах, которые очень активны при тренировке выносливости, и отсутствует в мышцах, не принимающих активного участия в выполнении упражнений.
Повышенная плотность капилляров мышц увеличивает поверхность диффузии и укорачивает путь, который должны пройти молекулы из кровеносных сосудов в мышечные клетки. Это способствует певышению
аэробной мышечной работоспособности, так как обеспечивает большую емкость кровотока в рабочих мышцах и облегчает передачу энергетических веществ (прежде всего кислорода) через капиллярно-клеточные мембраны. Отсюда понятно, почему у спортсменов-стайеров максимальный мышечный кровоток и капиллярная диффузионная способность значительно выше, чем у неспортсменов и спринтеров.
Биохимическая адаптация мышц к тренировке выносливости. Повышение выносливости в результате тренировки связано не только с увеличением возможностей кислородтранспортной системы по доставке О2 к работающим мышцам. В скелетных мышцах происходят также большие изменения, которые приводят к увеличению возможностей всего организма в целом в использовании О2, т. е. к повышению аэробных возможностей (выносливости) тренирующегося спортсмена. Главные механизмы тренировочного эффекта повышения выносливости мышц связаны с их биохимической адаптацией и подробно рассматриваются в курсе биохимии. Здесь перечислены лишь основные физиологические следствия действия этих биохимических механизмов.

Наиболее характерными эффектами тренировки выносливости являются повышенные емкость и мощность аэробного метаболизма рабочих мышц. Главные биохимические механизмы этих эффектов следующие:
1. увеличение содержания и активности специфических ферментов аэробного (окислительного) метаболизма;
2. увеличение содержания миоглобина (максимально в 1,5 - 2 раза);
3. повышение содержания энергетических субстратов -мышечного гликогена и липидов (максимально на 50%);
4. усиление способности мышц окислять и углеводы, и особенно жиры.
Тренированный человек во время аэробной работы получает относительно больше энергии за счет окисления жиров и соответственно меньше за счет окисления углеводов по сравнению с нетренированными. Это находит отражение в более низком дыхательном коэффициенте при работе одинаковой абсолютной или относительной мощности у тренированных по сравнению с нетренированными (рис. 52). Такой субстратный энергетический сдвиг в сторону преимущественного использования жиров может быть обозначен как жировой сдвиг. Значение его состоит в сохранении более ограниченных запасов углеводов Как уже говорилось (11.4.2.), при субмаксимальных аэробных нагрузках одним из главных - механизмов утомления является расходование мышечного гликогена. Жировой сдвиг у тренированных на выносливость спортсменов позволяет медленнее (экономичнее) расходовать мышечный гликоген и тем отодвигать момент его истощения, а следовательно, повышать продолжительность выполнения упражнения. Чем выше окислительная способность мышц, тем больше жировой сдвиг и тем соответственно меньше расходуется (больше сохраняется) дефицитный мышечный гликоген (см. рис. 52).
Усиленное использование жирных кислот уменьшает потребление глюкозы рабочими мышцами и благодаря этому защищает спортсмена от развития гипогликемии, лимитирующей работоспособность.
Кроме того, уменьшение использования углеводов приводит к снижению лактата в мышцах. Действительно, у хорошо тренированных спортсменов содержание лактата в мышцах ниже, чем у нетренированных. То же самое наблюдается у одного и того же человека после периода тренировки выносливости (см. рис. 52 и 39).
Итак, тренировка выносливости вызывает два основных эффекта: 1) усиливает максимальные аэробные возможности организма и 2) повышает эффективность (экономичность) деятельности организма при выполнении аэробной работы.
О первом эффекте можно судить по увеличению МПК (и других функциональных показателей) при максимальной аэробной нагрузке, о втором - по снижению функциональных показателей (ЧСС, легочной
вентиляции температуры тела, концентрации лактата в крови и др.) при стандартной не максимальной аэробной нагрузке.
В основе положительных эффектов тренировки выносливости лежат структурно-функциональные изменения в кислородтранспортной, кислородутилизирующей и других физиологических системах, а также совершенствование центрально-нервной и нейрогуморальной (эндокринной) регуляций деятельности этих систем в процессе выполнения аэробной работы.
Глава 5. Физиологические основы формирования двигательных навыков и обучения спортивной технике
При управлении движениями центральная нервная система осуществляет очень сложную деятельность. Это
12 3 4 5 6 7 8 9 10 II 12 13 14 15 16

Рис. 53.
Схема движения и величина электрической активности мышц ног при беге в темпе 200 шаг/мин (Л) и в максимальном темпе (Б) (по И. М. Козлову). Заштрихованная площадь - величины биоэлектрической активности: черные участки - преодолевающая работа, косая штриховка - уступающая, вертикальная штриховка - фиксирующая; 1-16 - последовательность изменений положения ноги с интервалом 50 мс; I - ягодичная м., II -прямая мышца бедра, III - двуглавая мышца бедра, IV - большеберцовая мышца, V -камбаловидная мышца
связано с тем, что в выполнении спортивных динамических движений и поддержании определенных поз тела принимают участие не одна и даже иногда не несколько, а десятки различных мышц. Состав работающих мышц и число сокращающихся в них двигательных единиц может непрерывно варьировать, причем не только при переходе от одной фазы двигательного акта к другой, но и в пределах одной и той же фазы (рис. 53).
Кроме того, как состав участвующих в данном движении мышц, так и число вовлеченных в работу двигательных единиц меняется при изменении скорости движения, степени развиваемого усилия, утомления и ряда других факторов.
Фонд различных двигательных навыков в организме состоит, с одной стороны, из врожденных движений, с другой - из двигательных актов, складывающихся в результате специального обучения на протяжении индивидуальной жизни.
Человек рождается с весьма ограниченным по числу и сложности фондом готовых проявлений двигательной деятельности (сосание, глотание, мигание, сгибание и разгибание конечностей в ответ на болевые и другие раздражители и т. д. Наряду с этим ло наследству передается чрезвычайно важное свойство -пластичность нервной системы, обеспечивающая высокую степень тренируемости, т. е. способности путем обучения овладевать новыми формами двигательных актов, адекватных изменившимся условиям жизнедеятельности (Л. А. Орбели).
Это обеспечивает исключительно большие возможности совершенствования техники спортивных движений.
Тренируемость, передаваемая по наследству, у разных лиц выражена неодинаково. Более того, у одного и того же человека в отношении различных проявлений деятельности она также сильно варьирует.
Поэтому при спортивном отборе наряду с морфологическими особенностями и состоянием вегетативных функций необходимо также учитывать специфическую тренируемость в отношении определенных двигательных координации, свойственных тому или иному виду физических упражнений.
В различные периоды жизни тренируемость выражена неодинаково. Есть возрастные периоды, когда тренируемость особенно высока и обучение, в том числе двигательным актам, происходит особенно успешно. Для различных видов умственной и мышечной деятельности эти периоды различны. Так, двигательные координации, связанные с правильным произношением иностранных слов, в детском возрасте усваиваются легко и быстро.
Если новый язык начинают изучать люди среднего возраста, когда тренируемость в отношении координации деятельности речевых мышц несколько снижается, то большинству из них приходится сталкиваться с очень большими трудностями.
Новые сложные спортивные движения также осваиваются в определенные периоды жизни человека. Поэтому для эффективности обучения технике движений, важно выявить те возрастные периоды, когда тренируемость в данном виде физических упражнений является особенно высокой.
Из практики спорта известно, что обучение сложным двигательным актам в фигурном катании на коньках, гимнастике, прыжках в воду и некоторых других видах физических упражнений особенно эффективно в детском возрасте.
Условнорефлекторные механизмы как физиологическая основа формирования двигательных навыков
Сенсорные и исполнительные (оперантные) компоненты двигательного навыка. Физиологическим механизмом тренируемости, благодаря которому формируются новые, индивидуально приобретенные виды двигательной деятельности, в том числе спортивная техника, являются временные связи, возникающие условноре-флекторным путем.
Рефлекторная природа произвольных движений была раскрыта И. М. Сеченовым. В дальнейшем И. П. Павлов вместе со своими многочисленными учениками и последователями выявили основные закономерности образования новых форм двигательных актов по механизму условнорефлекторных связей.
Классические условные реакции в опытах с выделением слюны характеризуются образованием временной связи между индифферентным сигналом и подкрепляющим тот сигнал безусловным рефлексом (условные рефлексы первого порядка) или ранее образованной устойчивой условнорефлекторной реакцией (условные рефлексы более высоких порядков). Это сенсорные условные рефлексы, в которых ответная реакция на афферентный сигнал (например, слюноотделение, отдергивание руки при нанесении болевого раздражения) является или безусловнорефлекторной, или ранее приобретенной условной реакцией.
В них, следовательно, используется ответ в виде уже имеющейся в организме реакции, и только сигнал, т. е. сенсорная часть, приобретает новые (условно-рефлекторные) свойства.
Но когда речь идет о двигательных навыках, всегда подразумевается не просто повторение по условному сигналу ранее имевшейся реакции, а образование оперантных, называемых также инструментальными или мануальными; временных связей. Эти связи характеризуются новой формой движения или образованием комбинации из уже известных элементов нового сложного двигательного акта, до этого не имевшегося у данного организма.
Следовательно, в этом случае временные связи относятся не только к афферентным (сенсорным, чувствительным), но и к эфферентным (эффекторным), т. е. исполнительным, звеньям двигательных реакций.
Двигательные навыки человека характеризуются тем, что в них одновременно сочетаются оба вида временных связей. С одной стороны, через первую и вторую сигнальные системы устанавливаются связи между ранее индифферентными для спортсмена раздражителями и последующей деятельностью (сенсорные компоненты временной связи), а с другой - вырабатываются новые ответные двигательные реакции (оперантные компоненты временных связей) с соответствующим характером протекания не только двигательных, но и вегетативных функций.
При образовании спортивных и других двигательных навыков у человека особенно большое значение имеют временные связи высших порядков, формирующиеся при воздействиях не только через первую, но и через вторую сигнальную систему (обучение различным навыкам всегда осуществляется путем не только показа, но и словесного объяснения).
Формирование двигательного навыка сопровождается образованием временных связей, способствующих более эффективному обеспечению движений функциями вегетативных органов, особенно при длительных упражнениях циклического характера. Существенно, что моторные и вегетативные компоненты двигательного навыка формируются не одновременно.
В навыках с относительно простыми движениями (например, в беге, ходьбе на лыжах) раньше формируются двигательные компоненты, в навыках же со сложными Движениями (например, в гимнастике, борьбе, спортивных играх) - вегетативные компоненты.
Характерно, что после образования навыка вегетативные компоненты могут стать более инертными, чем двигательные. Например, при изменении привычной формы деятельности - переход с непрерывной работы на работу с переменной интенсивностью - двигательные функции изменяются быстро, в ряде случаев сразу же, а вегетативные органы еще длительное время функционируют в соответствии с ранее сформировавшимся характером движения (М.
Е. Маршак).
Значение для формирования сложных движений ранее выработанных координации. При обучении технике спортивных движений формирование двигательных навыков всегда происходит на базе ранее выработанных организмом координации. Например, навык стояния формируется у ребенка на базе навыка сидения, при котором приобретается способность удерживать в вертикальном положении голову и туловище, навык ходьбы - на базе навыка стояния.
При формировании различных спортивных движений, например в гимнастике, фигурном катании на коньках, многие компонент ты физического упражнения также не являются полностью новыми, они представляют собой элементы ранее приобретенных навыков.
Если необходимо усвоить сложную технику движения, компоненты которого в значительной своей части являются новыми, обычно используются подготовительные упражнения и обучение по элементам, когда техника выполнения движения усложняется постепенно на базе временных связей, сформированных при более простых координациях.
В некоторых случаях наличие прочно закрепившихся навыков не только не содействует, но даже препятствует формированию нового по своему характеру двигательного акта, особенно когда структура нового движения связана с переделкой старого навыка. Например, если при обучении фигурному катанию на коньках образовать и закрепить навык вращения только в одну сторону, то это затруднит выработку навыка такого же вращения в противоположную сторону.
Поэтому при обучении спортивным упражнениям важно сразу же формировать правильные движения, так как переделка прочно закрепленных неполноценных двигательных актов может потребовать весьма длительного времени и большого труда.
Динамический стереотип и экстраполяция в спортивных двигательных навыках. Двигательный навык, как правило, представляет собою не элементарный, а комплексный двигательный акт, состоящий из нескольких элементов (фаз), связанных в едином целостном двигательном акте.
В ациклических упражнениях отдельные фазы в определенном порядке последовательно сменяют друг друга. В циклических упражнениях также имеется многократно повторяющаяся закономерная связь фаз движения в каждом цикле.

Рис. 54. Вариации латентных периодов в мс (А), длительность залпов в мс (Б) и амплитуды биопотенциалов в мкв (В) шести мышц при 1, 3 и 15-м (арабские цифры слева) повторениях баллистического движения - имитации броска копья - в шести мышцах: I - правой четырехглавой м. бедра, II - левой четырехглавой м. бедра, III -правой широчайшей м. спины, IV - правой большой грудной м., V -правой дельтовидной м., VI-правой трехглавой м. плеча (но Л. Г. Сулиеву и А. Г. Фалалееву)
В процессе формирования двигательного навыка отдельные фазы движения, представляющие собой как бы различно протекающие компоненты двигательного акта, складываются в своеобразную цепь реакций, осуществляющихся в виде определенного динамического стереотипа.
Следует указать, что динамический стереотип в физических упражнениях относится только, к последовательности осуществления фаз движения. Так, при беге, ходьбе, плавании и т. д. только последовательность этих фаз остается одной и той же, а временные отношения между ними, обусловленные длиной и частотой шагов, постоянно варьируют.
Внутренняя же структура движения, т. е. состав участвующих в двигательном акте мышц и количество сокращающихся двигательных единиц в этих мышцах, может непрерывно меняться. Это характерно также для длительности скрытых периодов, последовательности включения в деятельность отдельных мышц, продолжительности периода импульсации в них, величины средней и максимальной амплитуды биопотенциалов и т.д. (рис. 54).
Это объясняется тем, что при наличии в организме большого числа исполнительных приборов (сотни мышц и сотни и даже тысячи двигательных единиц в каждой из них) ЦНС имеет возможность достигать одного и того же внешнего эффекта за счет многих вариаций тонкой внутренней структуры движения.
Динамический стереотип является характерным для последовательности фаз внешней структуры только тех навыков, в которых эта последовательность может протекать по определенному стандарту (циклические упражнения). Но существуют и другие виды навыков, в которых необходимо в связи с частыми изменениями ситуации реагировать каждый раз новым движением (ациклические упражнения). К такого рода навыкам относятся навыки в единоборствах (боксе, фехтовании, борьбе) и спортивных играх (футболе, хоккее, баскетболе и др.).
В них динамический стереотип: в виде стабильной целостной системы смены фаз движений, как правило, не образуется; стабильность в той или иной мере относится не к проявлениям сложных двигательных комбинаций, а лишь к отдельным составным элементам (например, к штрафным броскам мяча в баскетболе).
Изменение МПК
Уменьшение максимальной ЧСС в условиях горной гипоксии связано с усилением парасимпатической активности, как одного из механизмов, горной адаптации.
У акклиматизированных к высоте жителей равнины во время пребывания в горах периферическое сосудистое сопротивление снижено. Стимулом для расширения коронарных сосудов, сосудов головного мозга и всех других сосудов служит гипоксия. Без такого компенсаторного расширения их увеличенный объем крови, ее повышенная вязкость и низкое насыщение кислородом создавали очень большую нагрузку для работы сердца.
У постоянных жителей высокогорья артериальное давление несколько ниже, чем у жителей равнины. У живущих на. высоте более 3000 м происходит повышение давления в легочном (малом) круге кровообращения с высоким сопротивлением в легочных сосудах и гипертрофией правого желудочка сердца.
Это обеспечивает более равномерное соотношение вентиляции и перфузии в легких, что уменьшает различия в давлении О2 между альвеолярным воздухом и артериальной кровью. Указанные изменения лиціь очень постепенно исчезают при возвращении на равнину.
Основные изменения в тканях, происходящие в условиях пониженного парциального напряжения О2, направлены на повышение эффективности получения и утилизации кислорода для аэробного образования энергии.
Эти адаптационные изменения заключаются в следующем:
- усиление капилляризации тканей (увеличение числа и плотности капилляров);
- повышение концентрации миоглобина в скелетных мышцах;
- увеличение содержания митохондрий;
- увеличение содержания и активности окислительных ферментов.
В отличие от описанных физиологических механизмов адаптации эти изменения требуют длительного времени и потому обнаруживаются лишь у людей, долго проживающих на больших высотах.
Чем меньше возраст, с которого человек проживает в горах, тем больше адаптационные изменения. Оптимальное время акклиматизации к длительному проживанию в горах - период роста и развития ребенка.
Изменение МПК

Рис. 73. Изменения МПК у конькобежцев на протяжении 20-дневного пребывания в среднегорье (по В. В. Михайлову и Г. М. Панову, 1975)
По мере акклиматизации МПК обычно постепенно увеличивается, так что через несколько недель пребывания на высоте оно выше, чем в первые дни (рис. 73). Более заметно это увеличение МПК на средних, чем на больших, высотах.
После 3-5 недель пребывания в среднегорье снижение МПК составляет лишь 6-16% по отношению к равнинному МПК- При одинаковой степени гипоксии снижение МПК у жителей гор меньше, чем у временно проживающих в горах жителей равнины. Тренировка на высоте благоприятствует процессу высотной акклиматизации: у тренирующихся в горах людей прирост МПК выше, чем у нетренирующихся.
Однако даже после продолжительной активной акклиматизации МПК на высоте остается сниженным по сравнению с равнинным, исходным МПК на уровне моря.
Так, у спортсменов высокого класса по прибытии в Мехико-сити (2300 м) МПК снизился на 14%. Через 19 дней уменьшение еще составляло 6% по отношению к исходному МПК: У 8 спортсменов международного класса начальное снижение МПК составляло в среднем 16% (индивидуальные колебания от 9 до 22%), а через 19 дней - 11% (от 6 до 16%).
Даже постоянно проживающие в горах тренированные спортсмены имеют более низкий показатель МПК на своей высоте, чем на уровне моря. Например, у спортсменов, проживающих постоянно на высоте 3100 м, МПК было на 27% ниже, чем на уровне моря.
Увеличению (восстановлению) МПК на высоте способствуют многообразные механизмы компенсаторной адаптации к гипоксическим условиям: усиление легочной вентиляции, повышение диффузионной способности легких, увеличение кислородной емкости крови, общего объема циркулирующей крови, сердечного выброса, усиление капилляризации скелетных мышц и миокарда, повышение содержания миоглобина в скелетных мышцах, митохондрий в мышечных клетках, рост активности окислительных ферментов и т. д.
Когда человек возвращается на равнину, он на протяжении нескольких недель постепенно утрачивает ту адаптацию к условиям гипобарической гипоксии, которая произошла у него в горах.
Спортивная работоспособность в среднегорье и после возвращения на уровень моря
Физическая работоспособность человека снижается по мере подъема на высоту. Прежде всего и главным образом это касается аэробной работоспособности (выносливости) снижение которой отмечается уже на высоте 1200 м. В этом отношении нет никаких различий между тренированными и нетренированными людьми.
Как у тех, так и у других в начале пребывания в горах работоспособность снижается примерно одинаково по отношению к равнинному уровню. На значительной высоте симптомы горной болезни столь же часто и даже в более выраженной степени наблюдаются у спортсменов.
Спортивная работоспособность при выполнении скоростно-силовых (анаэробных) упражнений
Мышечная сила и мощность, а также координация движений при кратковременных максимальных усилиях практически не изменяются при подъеме в горы или при дыхании газовой смесью с низким содержанием кислорода. Поэтому в непродолжительных (до 1 мин) спортивных упражнениях скоростно-силового характера и упражнениях на координацию, выполняемых в горных условиях, не наблюдается явного снижения результатов по сравнению с равнинными.
Более того, на высоте из-за сниженной плотности воздуха (сопротивления перемещению) результаты на спринтерских дистанциях (особенно в велогонках) Могут быть даже выше, чем на уровне моря.
Следует, однако, иметь в виду, что восстановительные процессы в организме протекают на высоте замедленно. Поэтому повторное выполнение даже кратковременных упражнений в этих условиях вызывает более быстрое наступление утомления (снижение работоспособности), чем на уровне моря.
Для участия в соревнованиях, проводимых на высоте в скоростно-силовых и координационных упражнениях, не требуется специальной предварительной акклиматизации спортсмена к этой высоте. Если спортсмен не страдает горной болезнью, срок его прибытия на соревнования может быть выбран произвольно,
Спортивная работоспособность при выполнении упражнений на выносливость
Результаты в спортивных упражнениях с предельной продолжительностью более 1-й мин на высоте ниже, чем на уровне моря. Исключение составляют относительно непродолжительные упражнения, на результат которых большое влияние оказывает величина сопротивления (плотность) воздуха, например велогонки на треке.
Снижение физиологических возможностей спортсмена в этих упражнениях компенсируется улучшением механических условий их выполнения.
В некоторых: пределах чем больше дистанция (предельная продолжительность упражнения), тем значительнее снижение результата. Чем больше высота, тем сильнее падение физической аэробной работоспособности, идущее параллельно с уменьшением МПК. Снижение аэробной производительности является главной причиной уменьшения выносливости на высоте.
В связи со снижением работоспособности переносимая интенсивность тренировочных нагрузок с высотой уменьшается.
По мере развития механизмов, адаптирующих организм человека к высотной гипоксии, улучшается, хотя и не очень значительно и не во всех случаях, его физическая работоспособность на данной высоте. При этом для адаптации к выполнению более продолжительных упражнений на высоте требуется и более длительный период акклиматизации. Чтобы достигнуть хорошего результата на. высоте 2000 м и больше в упражнениях околомаксимальной и максимальной аэробной мощности, необходим минимальный период акклиматизации (2-3 недели).
Дальнейшее пребывание в условиях среднегорья слишком мало улучшает аэробную работоспособность и поэтому неоправданно.
Хорошо тренированные люди не акклиматизируются к большим высотам быстрее или более эффективно, чем нетренированные. Высота влияет на работоспособность постоянных жителей гор, как и на работоспособность жителей равнины.
Как и у жителей равнины, спортивные результаты у постоянных жителей горной местности снижаются на высоте по мере увеличения дистанции (времени работы) по сравнению с их равнинными результатами.

Как следует из изложенного, акклиматизация к высотной гипоксии вызывает физиологические изменения, во многих отношениях сходные с теми, которые происходят в процессе тренировки выносливости на уровне моря. И в том, и в другом случае повышаются аэробные возможности организма, связанные с его кислород-транспортными возможностями и способностью тканей (работающих мышц) утилизировать О2 для аэробной энергопродукции.
Возникает вопрос, может ли тренировка на высоте вызывать дополнительные физиологические изменения, усиливающие аэробную производительность и физическую аэробную работоспособность (выносливость) у спортсменов на равнине? Другими словами, повышается ли работоспособность на уровне моря после пребывания на высоте, более ли эффективна тренировка на высоте, чем такая же тренировка на уровне моря?
Научные данные относительно эффекта проживания и тренировки на высоте с целью повышения выносливости в равнинных условиях довольно противоречивы.

Несомненно, что люди, постоянно проживающие в горных условиях, имеют преимущества в соревновании на выносливость, если оно проводится в тех же условиях, перед спортсменами, постоянно живущими на уровне моря. Во время максимальной аэробной работы на средней высоте постоянные жители гор имеют более высокие кислородную емкость крови, сердечный выброс, системную АВР-О2 и соответственно МПК, чем жители равнины того же уровня тренированности.
С другой стороны, постоянное или длительное проживание на большой высоте не дает преимущества в отношении аэробной выносливости, проявляемой на равнине. У хорошо тренированных спортсменов проживание и интенсивная тренировка в среднегорье в течение нескольких недель не всегда дают дополнительный эффект по сравнению с эквивалентной тренировкой на уровне моря (рис. 74).
Даже длительное пребывание на очень большой высоте не оказывает достоверного влияния на равнинные показатели аэробной работоспособности.
5 Ю 15 Рис. 75.
Динамика МПК на протяжении. 2 месяцев (А) и спортивных результатов на протяжении 1 месяца (Б) после возвращения из среднегорья (Ф.
П. Суслов, 1983). За 100% приняты показатели на равнине до пребывания в горах
При анализе влияния, подготовки в среднегорье на результаты выступления в равнинных условиях необходимо иметь в виду значительные индивидуальные вариации: у одних спортсменов такая подготовка приводит к повышению равнинных результатов, у других - к снижению, на третьих вообще не оказывает заметного влияния. Кроме, того, важно учитывать, что функциональное состояние и спортивная работоспособность в период реакклиматизации носят выраженный фазный характер (рис. 75): повышение спортивной работоспособости чередуется с временным ее снижением.
Вероятно, важную роль для повышения равнинной работоспособности играет специальная организация тренировочного процесса в горных условиях, а также период реакклиматизации.
В процессе длительного пребывания в горных условиях в организме возникают адаптационные изменения, которые способствуют повышению работоспособности в этих специфических условиях. Вместе с тем эти изменения не дают заметного преимущества при выполнении работы в иных специфических условиях, в частности на уровне моря.
Все это означает, что спортивная тренировка должна проводиться преимущественно (если не исключительно) в тех же условиях, в которых проводятся соревнования.
Смена поясно-климатических условий
Выработанная в процессе эволюции взаимосвязь организма с внешней средой - необходимое условие его существования, материалистически обоснованное еще в работах И. М. Сеченова. Природные факторы подвержены периодическим изменениям. Все проявления жизнедеятельности организма человека также не
остаются постоянными и имеют ритмический характер. Ведущее положение при этом занимает суточный ритм, эволюционно обусловивший суточную периодику физиологических функций у живых организмов.
Суточная цикличность большинства функций у человека обнаруживает себя в первые же дни после рождения. Это выражается в неодинаковом функциональном состоянии прежде всего нервной системы, крайние формы проявления которого человек переживает а виде сна и бодрствования.
Неодинаковое состояние ЦНС в течение суток во многом определяет различную активность других физиологических систем организма. У взрослого человека показатели кровообращения, дыхания, температуры тела и других функций минимальны ночью, с 2 до 4 ч. Оптимально активными физиологические процессы сохраняются до 13-14 ч. После некоторого снижения в дневные часы их уровень повышается вновь к вечеру, затем прогрессивно снижается до минимальных значений.
Суточный ритм физиологических отправлений -температуры тела, обменных реакций, сна и бодрствования - достаточно стойкий. Ритм физической работоспособности в разные периоды суток менее четкий и может существенно изменяться под влиянием соревновательных или чрезвычайно напряженных тренировочных нагрузок. Ритм этих изменений обычно соответствует стереотипности образа жизни.
Как правило, работоспособность оказывается выше в дневные часы и ниже в утренние и ночные. При этом наибольшими колебаниями (до 7-10%) подвержены показатели в упражнениях скоростно-силового характера: легкоатлетических прыжках, метаниях и т. д. Менее значительные изменения наблюдаются в результатах упражнений на выносливость.
В официальных соревнованиях лучшие результаты в большинстве случаев спортсмены показывают в ранние вечерние часы.

При быстром перемещении (перелете) с востока на запад или наоборот, после пересечения нескольких часовых поясов, происходит рассогласование суточных ритмов психофизиологических функций с новым поясным временем. При этом в первые дни после перелета они не согласуются со сменой дня и ночи нового места жительства (внешний десинхроноз), а позднее в результате неодинаковой скорости перестройки происходит их взаимное рассогласование - внутренний десинхроноз.
6-9 Дик после перелета
Рис. 76.
Динамика функциональных показателей при перелете спортсменов на 7 часовых поясов западнее постоянного местожительства (по О. П. Панфилову). А - анаэробная работоспособность (15 прыжков вверх за 30 с): горизонтальная штриховка-до перелета, без штриховки - после перелета; Б -работоспособность (среднее время проплывания 200 м разными способами, МПК (столбики) и сумма ЧСС за 3 мин
Выраженность десинхроноза, характер и
скорость адаптационной перестройки функций в новых поясно-климатических условиях зависят от величины поясно-временного сдвига, направления перелета, контрастности погодно-климатического режима в пунктах постоянного и временного проживания, специфических особенностей двигательной деятельности спортсменов.
Заметное изменение функционального состояния организма человека наблюдается уже при пересечении 2-3 часовых поясов. Существенное нарушение суточного ритма функций происходит при быстром перемещении в местность с 4-5- и особенно с 7-8-часовой поясной разницей.
Так, при перелете из Хабаровска в Москву утренние (в 7 ч) показатели функций, отражая привычный дневной ритм (14-15 часов хабаровского времени), значительно отличаются от аналогичных параметров, зарегистрированных перед перелетом: ЧСС превышает исходные (утренние) величины на 10-15 уд/мин, артериальное систолическое давление - на 8-12 мм рт. ст., минутный объем дыхания- на 1,5-3 л/мин, температура тела - на 0,4-0,9. Вечером эти показатели либо снижаются (отражая ночной ритм функций, свойственный хабаровскому времени), либо не изменяются, поддерживаемые двигательной деятельностью.
Поясно-климатическая адаптация заключается не только в выработке нового суточного ритма основных жизненных функций, но и в более глубоких процессах на клеточном и тканевом уровне, биологическое значение которых состоит в достижении адекватной меж- и внутрисистемной интеграции деятельности физиологических систем в новых условиях жизни.
Особенность перестройки в значительной мере определяется соотношением эндогенного и экзогенного ритмов. При перелете на 7-8 часовых поясов в западном направлении экзогенный ритм, совмещаясь с эндогенным в течение определенного периода суток (включая фазы минимума и максимума активности функции), способствует размыванию суточной ритмики, что обусловливает относительно быстрое формирование нового суточного стереотипа функционального состояния. При перелете на 7-8 часовых поясов в восточном направлении экзогенный ритм в основном находится в противофазе по отношению к эндогенному.
Данное обстоятельство является фактором, усложняющим, тормозящим адаптационную перестройку организма на новые условия жизни.
При возвращении в место постоянного жительства реадаптация протекает в более короткий период, чем адаптация.
Существенное влияние на адаптационные процессы оказывает специфика двигательной деятельности. У представителей скоростно-силовых видов спорта и спортивных игр адаптационные реакции выражены больше, но протекают быстрее, чем у представителей видов спорта, требующих проявления выносливости.
Так, у первых сразу после перелета в западном направлении значительное Повышение температуры тела (с 36 до 36,8-37,2), скорости оседания эритроцитов (до 200%), ЧСС (на 12-20 уд/мин), максимального АД (на 10-15 мм рт. ст.) сменяется быстрым (в течение 6-9 суток) восстановлением исходной реактивности и суточного биоритма. У вторых меньшее повышение скорости оседания эритроцитов (до 150-160%).
ЧСС (на 10-15 уд/мин), максимального АД (на 6- 10 мм рт. ст.) и температуры тела (с 35,7 до 36,3-36,5) сопровождается более продолжительной (до 13-15 суток) их перестройкой.
Динамика специальной работоспособности спортсменов в новых поясно-климатических условиях представляет собой последовательную смену фаз: снижения на 0,7-5,5% (на 2-5-е сутки после перелета), неполного восстановления (на 6-10-е сутки) и превышения в последующем ее исходного уровня на 1-3,5% (рис. 76, А).
Расчетное определение МПК показывает, что на 2-3-й сутки временного проживания в отдаленной местности этот показатель снижается на 1,5 мл/кг, мин, затем возрастает (относительно исходного уровня) в период с 7-го по 13-й день адаптации на 2,9 мл/кг мин и практически восстанавливается на 18-20-е сутки адаптации. Соответственно этому изменяется работоспособность и пульсовая сумма за 3 мин восстановительного периода (рис. 76, Б).
Данный феномен представляет собой результат мобилизации функционального резерва организма в усложненных условиях деятельности. Одним из механизмов этой мобилизации является усиление адаптационно-трофической функции симпатической нервной системы.
Глава 8. Физиология плавания
Спортивная деятельность в условиях водной среды (плавание) имеет ряд физиологических особенностей, отличающих ее от физической работы в обычных условиях воздушной среды. Эти особенности определяются механическими факторами, связанными с движением в воде, горизонтальным положением тела и большой теплоемкостью воды.
Механические факторы
Скорость и энергетические расходы при плавании зависят от трех основных механических факторов: 1)

величины подъемной (плавучей) силы, противодействующей весу тела, или обратной ей величины - потопляющей силы; 2) лобового сопротивления продвижению тела в воде и 3) движущей силы, возникающей в результате эффективных продвигающих (пропульсивных) усилий пловца.
Подъемная (или обратная ей - потопляющая) сила, в соответствии с законом Архимеда на погруженное в воду тело действует подъемная (выталкивающая) сила, равная весу объема воды, вытесненного телом. Величина этой силы зависит, во-первых, от веса (объема) различных тканей тела (прежде всего мышц и жировой ткани) и их соотношения в теле данного человека; во-вторых, от степени погружения тела в воду, точнее, от веса (объема) частей тела, находящихся над и под поверхностью воды, и, в-третьих, от объема воздуха в легких.
Вес тела в воде составляет .лишь несколько килограммов. У людей с большим количеством жира потопляющая сила (вес тела в воде) равна 0, так что они способны удерживаться на поверхности воды без каких-либо дополнительных усилий. Поскольку у женщин объем жировой ткани относительно больше, положение тела в воде у них обычно более высокое, чем у мужчин.
Среди пловцов большую плавучесть имеют стайеры, тело которых занимает более горизонтальное положение (ближе к поверхности воды),так как они имеют большее жировое депо и более низкий удельный вес тела, чем спринтеры (соответственно 1,0729 и 1,0786).
Когда тело спокойно удерживается на воде, некоторые части тела находятся над водой и легкие лишь отчасти заполнены воздухом. Поэтому на тело действует потопляющая сила, которой должна противостоять мышечная активность, создающая противоположно направленную силу. О степени этой активности можно судить по величине потребления кислорода сверх уровня полного покоя.
Чем больше потопляющая сила, тем сильнее должна быть мышечная работа для удержания тела у поверхности воды и. тем выше потребление О2 (рис. 77).
У женщин эта сила колеблется в пределах 1,6 - 4,7 кг, у мужчин -4,9 - 5,8 кг.

Лобовое сопротивление. При плавании основная мышечная работа затрачивается не на удержание тела на воде, а' на преодоление силы сопротивления движению тела, которая называется лобовым сопротивлением. Ее величина зависит от вязкости воды, размеров и формы тела, а главное - от скорости продвижения его.
Люди с большой поверхностью тела испытывают более значительное сопротивление воды, чем люди с меньшей поверхностью тела. Соответственно у мужчин лобовое сопротивление в среднем больше, чем у женщин. Однако при учете размеров поверхности тела это различие между женщинами и мужчинами несущественно.
На величину лобового сопротивления влияет положение (форма) тела в воде при разных стилях, плавания и в различные фазы плавательного цикла.
При высокой скорости продвижения в воде преодоление лобового сопротивления составляет главный компонент физической нагрузки для пловца. Если путем буксировки протягивать тело человека по воде, то лобовое сопротивление этому пассивному продвижению растет примерно пропорционально квадрату скорости буксировки (рис. 78).
При активном плавании из-за движений головой, туловищем и конечностями лобовое сопротивление больше: при плавании кролем примерно в 1,5 раза, а при брассе в 2 раза.
Движущая, или пропульсивная (продвигающая), сила. Эта сила возникает в результате активной мышечной деятельности пловца и представляет собой сумму действия двух сил - лобового сопротивления и подъемной силы, возникающей при плавательных движениях. Она определяет скорость и направление движения тела пловца. Прямо измерить пропульсивную силу не удается, ее определяют у спортсмена, привязанного к измерительному устройству.
Наибольшая движущая сила зарегистрирована при привязанном плавании способом брасс - около 22 кг. При других способах: плавания эта сила примерно одинакова - максимально 13-14 кг. В брассе наибольший вклад дает работа ног, а в кроле на груди и на спине - работа рук.
В плавании способом баттерфляй движущая сила рук и ног примерно одинакова.

Рис. 79. Потребление О2 у высококвалифицированных пловцов при разной скорости плавания разным стилем: 1 -дельфин; 2 - брасс; 3 - на спине 4 - вольный стиль
Скорость плавания. Средняя чисто дистанционная скорость (в середине бассейна) при плавании на 100 м составляет максимально: в кроле - около 1,9 м/с, в дельфине - 1,8 м/с, на спине - 1,7 м/с, в брассе - 1,5 м/с. Таким образом, наибольшая скорость достигается при плавании кролем, наименьшая - брассом .
Расходы энергии у человека при плавании примерно в 30 раз больше, чем у рыбы сходных размеров, и в 5-10 раз больше, чем при беге с той же скоростью. При очень низкой скорости плавания значительные различия в энергетических расходах у людей объясняются разной потопляющей силой (плавучестью) у них.
Энергетическая характеристика скоростно-силовых упражнений
также рис. 29).
Таблица 8. Соотношение и площадь поперечного сечения быстрых и медленных мышечных волокон икроножной мышцы у американских легкоатлетов и у нетренированных мужчин (Д. Костилл и др., 1976)
| Спортивная специализация и квалификация (спортивный результат) |
% быстрых волокон |
Площадь поперечного сечения, мкм2 |
% площади, занимаемой быстрыми |
| |
|
быстрых
волокон |
медленных
волокон |
волокнами |
| Спринт (n=2): 100 м-10,5 с |
76,0 (79,0 и 73,0)- |
6034 |
5878 |
76,5 |
| Прыжки в длину (n= 2): 7,52 и 8,41 м |
53 3 (56,0 и 50,7) |
6523 |
4718 |
62,2 |
| Метание диска (n= 2): 60,9 и 61,3 м и толкание ядра (n= 2): 18,9 и 19,7 м |
62,3 (87,048,0) |
9483 |
7702 |
66,0 |
| Бег на средние дистанции (n= 7): 800 м -1.51,5 (1:48,9-1.54,1) |
48,1 (59,530,6) |
7117 |
6099 |
53,5 |
| Нетренированные мужчины (n=11) |
47,4 (62,026,8) |
4965 |
5699 |
44,0 |
Внутри- и межмышечная координация также способствует увеличению скорости движения (мощности), так как при координированной работе мышц их усилия кооперируются, преодолевая внешнее сопротивление с большей скоростью. В частности, при хорошей межмышечной координации сократительное усилие одной мышцы (или группы мышц) лучше соответствует пику скорости, создаваемой предыдущим усилием другой мышцы (или группы мышц). Соответственно следующее усилие становится более эффективным.
Скорость и степень расслабления мышц-антагонистов может быть важным фактором, влияющим на скорость движения. Если требуется увеличить скорость движения, необходимо выполнять в тренировочных занятиях специфические движения (такие же, как в соревновательном упражнении) со скоростью, равной или превышающей ту, которая используется в тренируемом упражнении.
Энергетическая характеристика скоростно-силовых упражнений
С энергетической точки зрения, все скоростно-силовые упражнения относятся к анаэробным. Предельная продолжительность их - менее 1-2 мин. Для энергетической характеристики этих упражнений используется два основных показателя: максимальная анаэробная мощность и максимальная анаэробная емкость (способность). Максимальная анаэробная мощность.
Максимальная для данного человека мощность работы может поддерживаться лишь несколько секунд. Работа такой мощности выполняется почти исключительно за счет энергии анаэробного расщепления мышечных фосфагенов - АТФ и КрФ.
Поэтому запасы этих веществ и особенно скорость их энергетической утилизации определяют максимальную анаэробную мощность. Короткий спринт и прыжки являются упражнениями, результаты которых зависят от максимальной анаэробной мощности,
Для оценки максимальной анаэробной мощности часто используется тест Маргарин. Он выполняется следующим образом.
Испытуемый стоит на расстоянии 6 м перед лестницей и вбегает по ней как только можно быстрее. На 3-й ступеньке он наступает на включатель секундомера, а на 9-й - на выключатель.
Таким образом регистрируется время прохождения расстояния между этими ступеньками. Для определения мощности необходимо знать выполненную работу - произведение массы (веса) тела испытуемого (кг) на высоту (дистанцию) между 3-й и 9-й ступеньками (м)-и время преодоления этого расстояния (с).
Например, если высота одной ступеньки равна 0,15 м, то общая высота (дистанция) будет равна 6 * 0,15 м =0,9 м.При весе испытуемого 70 кг и времени преодоления дистанции 0,5 с. мощность составит (70 кг*0,9 м)/0,5с = 126 кгм/а.
В табл. 9 приводятся нормативные показатели максимальной анаэробной мощности для женщин, и мужчин.
Таблица 9 Классификация показателей максимальной анаэробной мощности (кгм/с, 1 кгм/с = 9,8 Вт.)
| Классификация |
Возраст, лет |
| 15-20 |
20-30 |
| Мужчины: |
|
|
| плохая |
Менее 113 |
Менее 106 |
| посредственная |
113-149 |
106-139 |
| средняя |
150-187 |
140-175 |
| хорошая |
188-224 |
176-210 |
| отличная |
Более 2-24 |
Более 210 |
| Женщины: |
|
|
| плохая |
Менее 92 |
Менее 85 |
| посредственная |
92-120 |
85-111 |
| средняя |
121-151 |
112-140 |
| хорошая |
152-182 |
141-168 |
| отличная |
Более 182 |
Более 168 |
Ма ксимальная анаэробная емкость. Наиболее широко для оценки максимальной анаэробной, емкости используется величина максимального кислородного долга - наибольшего кислородного долга, который выявляется после работы предельной продолжительности (от 1 до 3 мин). Это объясняется тем, что наибольшая часть избыточного количества кислорода, потребляемого после работы, используется для восстановления запасов АХФ, КрФ и гликогена, которые расходовались в анаэробных процессах за время работы.
Такие факторы, как высокий уровень катехоламинов в крови, повышенная температура тела и увеличенное потребление О2 часто сокращающимся сердцем и дыхательными мышцами, также могут быть причиной повышенной скорости потребления О2 во время восстановления после тяжелой работы. Поэтому имеется лишь весьма умеренная связь между величиной максимального долга и максимальной.анаэробной емкостью.
В среднем величины максимального кислородного долга у спортсменов выше, чем у неспортсменов, и составляют у мужчин 10,5 л (140 мл/кг веса тела), а у женщин-5,9 л (95 мл/кг веса тела). У неспортсменов они равны (соответственно) 5 л (68 мл/кг веса тела) и 3,1 л (50 мл/кг веса тела). У выдающихся представителей скоростно-силовых видов спорта (бегунов на 400 и 800 м) максимальный кислородный долг может достигать 20 л (Н.
И. Волков). Величина кислородного долга очень вариативна и не может быть использована для точного предсказания результата.
По величине алактацидной (быстрой) фракции кислородного долга можно судить о той части анаэробной (фосфагенной) емкости, которая обеспечивает очень кратковременные упражнения скоростно-силового характера (спринт).
Простое определение емкости алактацидного кислородного долга состоит в вычислении величины кислородного долга за первые 2 мин восстановительного периода. Из этой величины можно выделить фосфагенную фракцию алактацидного долга, вычитая из алактацидного- кислородного долга количество кислорода, используемого для восстановления запасов кислорода, связанного с миоглобином и находящегося в тканевых жидкостях: емкость фосфагенного (АТФ + КФ) кислородного долга (кал/кг веса тела) = [ (О2-долг 2мин - 550) * 0,6 * 5 ] / вес тела (кг)
Первый член этого уравнения - кислородный долг (мл), измеренный в течение первых 2 мин восстановления после работы предельной продолжительности 2- 3 мин; 550 - это приблизительная величина кислородного долга за 2 мин, который идет на восстановление кислородных запасов миоглобина и тканевых жидкостей; г 0,6 - эффективность оплаты алактацидного кислородного долга; 5 - калорический эквивалент 1 мл О2.
Типичная максимальная величина фосфагенной фракции кислородного долга - около 100 кал/кг веса тела, или 1,5-2 л О2-В результате тренировки скоростно-силового характера она может увеличиваться в 1,5-2 раза.
Наибольшая (медленная) фракция кислородного долга после работы предельной продолжительности в несколько десятков секунд связана с анаэробным гликолизом, т. е. с образованием в процессе выполнения скоростно-силового упражнения молочной кислоты, и потому обозначается как лактацидный кислородный долг Эта часть кислородного долга используется для устранения молочной кислоты из организма путем ее окисления до СО2 и Н2О и ресинтеза до гликогена.
Для определения максимальной емкости анаэробного гликолиза можно использовать расчеты образования молочной кислоты в процессе мышечной работы. Простое уравнение для оценки энергии, образующейся за счет анаэробного гликолиза, имеет вид: энергия анаэробного гликолиза (кал/кг веса тела) = содержанию молочной кислоты в крови (г/л) * 0,76 * 222, где содержание молочной кислоты определяется как разница между наибольшей концентрацией ее на 4-5-й мин после работы (пик содержания молочной кислоты в крови) и концентрацией в условиях покоя; величина 0,76 - это константа, используемая для коррекции уровня молочной кислоты в крови до уровня ее содержания во всех жидкостях; 222 - калорический эквивалент 1 г продукции молочной кислоты.
Максимальная емкость лактацидного компонента анаэробной энергии у молодых нетренированных мужчин составляет около 200 кал/кг веса тела, что соответствует максимальной концентрации молочной кислоты в крови около 120 мг% (13 ммоль/л). У выдающихся представителей скоростно-силовых видов спорта максимальная концентрация молочной кислоты в крови может достигать 250-300 мг%, что соответствует максимальной лактацидной (гликолитической) емкости 400-500 кал/кг веса тела.
Такая высокая лактацидная емкость обусловлена рядом причин. Прежде всего, спортсмены способны развивать более высокую мощность работы и поддерживать ее более продолжительно, чем нетренированные люди. Это, в частности, обеспечивается включением в работу большой мышечной массы (рекрутированием), в том числе быстрых мышечных волокон, для которых характерна высокая гликолитическая способность.
Повышенное содержание таких волокон в мышцах высококвалифицированных спортсменов - представителей скоростно-силовых видов спорта - является одним из факторов, обеспечивающих высокую гликолитическую мощность и емкость. Кроме того, в процессе тренировочных занятий, особенно с применением повторноинтервальных упражнений анаэробной мощности, по-видимому, развиваются механизмы, которые позволяют спортсменам переносить (терпеть) более высокую концентрацию молочной кислоты (и соответственно более низкие значения рН) в крови и других жидкостях тела, поддерживая высокую спортивную работоспособность.
Особенно это характерно для бегунов на средние дистанции.
Силовые и скоростно-силовые тренировки вызывают определенные биохимические изменения в тренируемых мышцах. Хотя содержание АТФ и КрФ в них несколько выше, чем в нетренируемых (на 2030%), оно не имеет большого энергетического значения.
Более существенно повышение активности ферментов, определяющих скорость оборота (расщепления и ресинтеза) фосфагенов (АТФ, АДФ, АМФ, КрФ), в частности миокиназы и креатин фосфокиназы (Яковлев Н. Н.).
Глава 4. Физиологические основы выносливости. Определение понятия
Понятие выносливость употребляется в обыденной речи в очень широком смысле для того, чтобы охарактеризовать способность человека к продолжительному выполнению того или иного вида умственной или физической (мышечной) деятельности. Характеристика выносливости как двигательного физического качества (способности) человека относительна: она относится только к определенному виду деятельности.
Иначе говоря, выносливость специфична - она проявляется у каждого человека при выполнении определенного, специфического вида деятельности.
В зависимости от типа и характера выполняемой физической (мышечной) работы различают:
1. статическую и динамическую выносливость, т. е. способность длительно выполнять соответственно статическую или динамическую работу;
2. локальную и глобальную выносливость, т. е. способность длительно осуществлять соответственно локальную работу (с участием небольшого числа мышц) или глобальную работу (при участии больших мышечных групп - более половины мышечной массы);
3. силовую выносливость, т. е. способность многократно повторять упражнения, требующие проявления большой мышечной силы;
4. анаэробную и аэробную выносливость, т. е. способность длительно выполнять глобальную работу с преимущественно анаэробным или аэробным типом энергообеспечения.
В спортивной физиологии выносливость обычно связывают с выполнением таких спортивных упражнений, которые требуют участия большой мышечной массы (около половины и более всей мышечной массы тела) и продолжаются непрерывно в течение 2-3 мин и более благодаря постоянному потреблению организмом кислорода, обеспечивающего знергопродукцию в работающих мышцах преимущественно или полностью аэробным путем. Иначе говоря, в спортивной физиологии выносливость определяют как способность длительно выполнять гл оба льнуло мышечную работу преимущественно или исключительно аэробного характера.
К спортивным упражнениям, требующим проявления выносливости, относятся все аэробные упражнения циклического характера, в частности легкоатлетический бег на дистанциях от 1500 м, спортивная ходьба, шоссейные велогонки, лыжные гонки на всех дистанциях, бег на коньках на дистанциях от 3000 м, плавание на дистанциях от 400 м и др.
Аэробные возможности организма и выносливость
При выполнении упражнений преимущественно аэробного характера скорость потребления кислорода (л О2/мин) тем выше, чем больше мощность выполняемой нагрузки (скорость перемещения). Поэтому в видах
спорта, требующих проявления большой выносливости, спортсмены должны обладать большими аэробными возможностями: 1) высокой максимальной скоростью потребления кислорода, т. е. большой аэробной мощностью, и 2) способностью длительно поддерживать высокую скорость потребления кислорода (большой аэробной емкостью).

Рис. 33.
Абсолютное (л/мин) и относительное (мл/кг * мин) МПК У мужчин (А) и женщин (Б) -представителей разных видов спорта (П.-О. Астранд и К. Роодал, 1977)
Максимальное потребление кислорода. Аэробные возможности человека определяются прежде всего максимальной для него скоростью потребления кислорода.
Чем выше МПК, тем больше абсолютная мощность максимальной аэробной нагрузки. Кроме того, чем выше МПК, тем относительно легче и потому длительнее выполнение аэробной работы.
Например, спортсмены А и Б должны бежать с одинаковой скоростью, которая требует у обоих одинакового потребления кислорода - 4 л/мин. У спортсмена А МПК. равно 5 л/мин и потому дистанционное потребление О2 составляет 80% от его МПК.
У спортсмена Б МПК равно 4,4 л/мин н, следовательно, дистанционное потребление О2 достигает 90% от его МПК. Соответственно для спортсмена А относительная физиологическая нагрузка при таком беге ниже (работа легче), и потому он может поддерживать заданную скорость бега в течение более продолжительного времени, чем спортсмен Б.
Таким образом, чем выше МПК у спортсмена, тем более высокую скорость он может поддерживать на дистанции, тем, следовательно, выше (при прочих равных условиях) его спортивный результат в упражнениях, требующих проявления выносливости. Чем выше МПК, тем больше аэробная работоспособность (выносливость), т. е. тем больший объем работы аэробного Характера способен выполнить человек.
Причем эта зависимость выносливости от МПК проявляется (в некоторых пределах) тем больше, чем меньше относительная мощность аэробной нагрузки.
Отсюда понятно, почему в видах спорта, требующих проявления выносливости, МПК у спортсменов выше, чем у представителей других видов спорта, а тем более чем у нетренированных людей того же возраста (рис. 33). Если у нетренированных мужчин 20-30 лет МПК в среднем р.авно 33,5 л/мин (или 45- 50 мл/кг * мин), то у
высококвалифицированных бегунов-стайеров и лыжников оно достигает 5-6 л/мин (или более 80 мл/кг * мин). У нетренированных женщин МПК равно в среднем 2-2,5 л/мин (или 35-40 мл/кг * мин), а у лыжниц около 4 л/мин (или более 70 мл/кг * мин).
Абсолютные показатели МПК (л О2/мин) находятся в прямой связи с размерами (весом) тела (рис. 34,Л). Поэтому наиболее высокие абсолютные показатели МПК имеют гребцы, пловцы, велосипедисты, конькобежцы.
В этих видах спорта наибольшее значение для физиологической оценки данного качества имеют абсолютные показатели мпк.
Относительные показатели МПК (мл О2/кг * мин) у высококвалифицированных спортсменов находятся в обратной зависимости от веса тела (рис. 34,5). При беге и ходьбе выполняется значительная работа по вертикальному перемещению массы тела и, следовательно, при прочих равных условиях (одинаковой скорости передвижения) чем больше вес спортсмена, тем больше совершаемая им работа (потребление О2).
Поэтому бегуны на длинные дистанции, как правило, имеют относительно небольшой вес тела (прежде всего за счет минимального количества жировой ткани и относительно небольшого веса костного скелета). Если у нетренированных мужчин 18-25 лет жировая ткань составляет 15- 17% веса тела, то у выдающихся стайеров - лишь 6- 7% Наибольшие относительные показатели МПК обнаруживаются у бегунов на длинные дистанции и лыжников, наименьшие - у гребцов.
В таких видах спорта, как легкоатлетический бег, спортивная ходьба, лыжные гонки, максимальные аэробные возможности спортсмена правильнее оценивать по относительному МПК.
Уровень МПК зависит от максимальных возможностей двух функциональных систем: 1) кислородтранспортной системы, абсорбирующей кислород из окружающего воздуха и транспортирующей его к работающим мышцам и другим активным органам и тканям тела; 2) системы утилизации кислорода, т. е. мышечной системы, экстрагирующей и утилизирующей доставляемый кровью кислород. У спортсменов, имеющих высокие показатели МПК, обе эти системы обладают большими функциональными возможностями.

Кислородтранспортная система и выносливость
Кислородтранспортная система включает систему внешнего дыхания, систему крови и сердечнососудистую систему. Функциональные свойства каждой из этих систем в конечном счете определяют кислородтранспортные возможности организма спортсмена.
Система внешнего дыхания
Внешнее дыхание служит первым звеном кислородтранспортной системы. Оно обеспечивает организм кислородом из окружающего воздуха за счет легочной вентиляции и диффузии О2 через легочную (альвеолярно-капиллярную) мембрану в кровь.
Легочные объемы и емкости. У тренирующих выносливость спортсменов легочные объемы и емкости (за исключением дыхательного объема) в покое в среднем на 10-20% больше, чем у нетренированных.
Эти различия, однако, уменьшаются при учете размеров тела (роста, веса, поверхности тела), поскольку общий и остаточный объемы и особенно жизненная емкость легких (ЖЕЛ) пропорциональны размерам тела (примерно длине тела в кубе).
С учетом размеров тела легочные объемы и емкости слабо коррелируют или вообще не коррелируют с МПК и спортивными результатами. Спортсмены с относительно небольшой ЖЕЛ могут иметь большие величины МПК и наоборот; у высококвалифицированных спортсменов между ЖЕЛ и МПК невысокая корреляция.
Однако у спортсменов, как и у нетренированных людей, при максимальной аэробной работе дыхательный объем (глубина дыхания) достигает 50-55% ЖЕЛ. Поэтому большая легочная вентиляция невозможна у спортсменов с маленькой ЖЕЛ. Для скорости потребления О
2 4 л/мин и более ЖЕЛ должна быть не менее 4,5 л. Наиболее высокая ЖЕЛ зарегистрирована у гребцов - 9 л.
Легочная вентиляция. В связи с высокой скоростью потребления кислорода легочная вентиляция в течение всего времени выполнения упражнений на выносливость исключительно велика. Так, при беге на тредбане со скоростью и продолжительностью, соответствующими бегу на 10 000 м (около 30 мин), легочная вентиляция у бегунов-стайеров колеблется в пределах 120-145 л/мин (см. рис. 15).
У нетренированных людей такая легочная вентиляция является предельной и может поддерживаться лишь очень короткое время.
Как известно, даже при максимальной аэробной нагрузке рабочая легочная вентиляция ниже предельных возможностей дыхательного аппарата, которые измеряют величиной максимальной произвольной вентиляции (МПВ). Однако последняя определяется за короткое время (обычно 12 с), тогда как при выполнении упражнений на выносливость спортсмен должен поддерживать очень высокую рабочую легочную вентиляцию на протяжении многих минут или даже часов.
У нетренированных молодых мужчин МПВ составляет в среднем 120 л/мин, а у хорошо тренированных спортсменов эти показатели выше.
Особенно заметна разница в показателях выносливости дыхательного аппарата. Так, легочную вентиляцию на уровне 80% от МПВ бегуны-стайеры поддерживают в среднем 11 мин, а нетренированные могут 3 мин.
Хорошее развитие дыхательной мускулатуры (силы и выносливости дыхательных мышц), а также сниженное сопротивление движению воздуха в дыхательных путях дают возможность поддерживать большую легочную вентиляцию во время мышечной работы.
При одной и той же рабочей легочной вентиляции частота дыхания у спортсменов меньше, чем у нетренированных людей. Следовательно, рост легочной вентиляции у спортсменов обеспечивается за счет увеличения дыхательного объема (глубины дыхания) в большей мере, чем за счет частоты дыхания. Этому способствуют: 1) увеличенные легочные объемы, 2) большая сила и выносливость дыхательных мышц, 3) повышенная растяжимость грудной клетки и легких и 4) снижение сопротивления току воздуха в воздухоносных путях.
Как известно, при увеличении дыхательного объема относительно уменьшается объем мертвого пространства, благодаря чему легочная вентиляция-становится эффективнее, так как более значительную ее часть составляет в этом случае альвеолярная вентиляция.
Повышение эффективности легочной вентиляции - главный результат тренировки выносливости в отношении функций внешнего дыхания. Об этом, в частности, можно судить ко вентиляционному эквиваленту О
2, т. е. по объему легочной вентиляции на литр потребленного О
2 (VE/VO2.) Вентиляционный эквивалент кислорода в условиях покоя почти не изменяется в результате тренировки выносливости.
Однако количество воздуха, вентилируемого при одинаковом потреблении кислорода во время мышечной работы, у спортсменов меньше, чем у нетренированных людей. Причем эта разница тем больше, чем больше мощность выполняемой работы, т. е. чем выше скорость потребления О2.

Особенно важно, что в результате тренировки повышается вентиляционный анаэробный порог (рис. 35), т. е. критическая мощность работы, начиная с которой легочная вентиляция растет быстрее, чем мощность работы (нелинейный, гиперболический, участок кривой, графически выражающей связь между легочной вентиляцией и потреблением О
2).
У нетренированных людей вентиляционный анаэробный порог соответствует мощности нагрузки, равной 50- 60% МПК, а у хорошо тренированных на выносливость спортсменов - 80-85% МПК.
Следовательно, при выполнении упражнений большой аэробной мощности необходимый объем легочной вентиляции у спортсмена значительно меньше, чем у неспортсмена. Даже очень высокого уровня МПК (5 л/мин и более) выдающиеся спортсмены часто достигают при такой же легочной вентиляции, которая у менее подготовленных людей необходима для достижения значительно более низкого уровня МПК-
соответствующий мощности нагрузки, при которой концентрация лактата в крови достигает 4 ммоль/л, АПинд. -индивидуальный лактацидемический анаэробный порог, соответствующий мощности нагрузки, начиная с которой концентрация лактата в крови быстро нарастает
Кислородная стоимость дыхания, как известно, сильно растет с увеличением легочной вентиляции (особенно при мощности выше критической, т. е. выше анаэробного порога). Благодаря увеличенной эффективности вентиляции, особенно при продолжительной работе (например, при марафонском беге), дыхательные мышцы у спортсменов затрачивают кислорода меньше, а к работающим скелетным мышцам его направляется больше, чем у нетренированного человека.
Следует, однако, отметить, что при одинаковом уровне легочной вентиляции механическая работа дыхания (а следовательно, и его кислородная стоимость) сходна у тренированных и нетренированных.
В результате тренировки выносливости концентрация лактата в крови при выполнении немаксимальной аэробной работы снижается. Следовательно, ослабевает один из химических стимулов рабочей гипервентиляции.
Кроме того, у тренированных выносливых спортсменов чувствительность дыхательного центра к действию СО2 снижена.
Таким образом, тренировка выносливости, с одной стороны снижает легочную вентиляцию при стандартной немаксимальной аэробной работе, а с другой - повышает максимальную рабочую гипервентиляцию (при выполнении максимальной, аэробной работы). У спортсменов она обычно равна около 180, у нетренированных людей -около 120 л/мин.
Химическими механизмами повышенной максимальной рабочей гипервентиляции у спортсменов служат усиленное образование СО2 (равное или почти равное очень большой скорости потребления О2), а также высокая концентрация лактата и водородных ионов в артериальной крови при выполнении нагрузки максимальной аэробной мощности.
Классификация ациклических упражнений
Предельная продолжительность упражнения - до нескольких часов. К упражнениям этой группы относятся: спортивная ходьба на 50 км, лыжные гонки на сверхдлинные дистанции (более 50 км).
Кардиореспираторные показатели не превышают 60-75% от максимальных для данного спортсмена. Во многом характеристики этих упражнений и упражнений предыдущей группы близки.
Упражнения малой аэробной мощности (с дистанционным потреблением О2 50% и менее от индивидуального МГЩ) - это упражнения, при выполнении которых практически вся энергия рабочих мышц обеспечивается за счет окислительных процессов, в которых расходуются главным образом жиры и в меньшей степени углеводы (дыхательный коэффициент менее 0,8). Упражнения такой относительной физиологической мощности могут выполняться в течение многих часов.
Это соответствует бытовой деятельности человека (ходьба) или упражнениям в системе занятий массовой или лечебной физической культурой.
Классификация ациклических упражнений
Ациклические соревновательные упражнения на основе их кинематических и динамических характеристик можно разделить на 1) взрывные, 2) стандартно-переменные, 3) нестандартно-переменные и 4) интервальноповторные (см. схему на стр. 14).
Взрывные упражнения. К взрывным упражнениям относятся прыжки и метания. Группу прыжков составляют прыжки в легкой атлетике (в длину, в высоту, тройным, с шестом), прыжки на лыжах с трамплина и прыжки с трамплина в воднолыжном спорте, прыжки в воду, гимнастические и акробатические прыжки. В группу Метаний входят легкоатлетические метания: диска, копья, молота, толкание ядра.
Частным случаем метаний являются тяжелоатлетические упражнения (рывок и толчок).
Характерная особенность взрывных упражнений - наличие одного или нескольких акцентированных кратковременных усилий большой мощности (взрыва), сообщающих большую скорость всему телу и (или) верхним конечностям со спортивным снарядом. Эти взрывные мышечные усилия обусловливают: а) дальность прыжка в длину или высоту; б) продолжительность полета, во время которого выполняются сложные движения в воздухе (прыжки в воду, гимнастические и акробатические прыжки); в) максимальную (в легкоатлетических метаниях) или необходимую (в тяжелоатлетических упражнениях) дальность полета спортивного снаряда.
Все взрывные упражнения имеют очень небольшую продолжительность - от нескольких секунд до немногих десятков секунд. Значительную часть большинства взрывных упражнений составляют циклические движения - разбег или разгон.
Каждое взрывное упражнение выполняется как единое целое, что определяет и особенности обучения таким движениям.
Стандартно-переменные упражнения - это соревновательные упражнения в спортивной и художественной гимнастике и акробатике (кроме прыжков), в фигурном катании на коньках и на водных лыжах, в синхронном плавании. Для этих упражнений характерно объединение в непрерывную, строго фиксированную, стандартную цепочку разнообразных сложных действий (элементов), каждое из которых является законченным самостоятельным действием и потому может разучиваться отдельно и входить как компонент в самые разные комбинации (комплексные упражнения).
Нестандартно-переменные (ситуационные) упражнения включают все спортивные игры и спортивные единоборства, а также все разновидности горнолыжного спорта. На протяжении выполнения этих упражнений резко и нестандартным образом чередуются периоды с разным характером и интенсивностью двигательной деятельности - от кратковременных максимальных усилий взрывного характера (ускорений, прыжков, ударов) до физической нагрузки относительно невысокой интенсивности, вплоть до полного отдыха (минутные перерывы у боксеров и борцов, остановки в игре, периоды отдыха между таймами в спортивных играх).
В связи с этим в нестандартно-переменных упражнениях можно выделить рабочие периоды, т. е. периоды особенно интенсивной двигательной активности (деятельности), и промежуточные периоды, или периоды относительно мало интенсивной двигательной активности.
К интервально-повторным упражнениям относятся соревновательные, а также комплексные тренировочные упражнения, которые составлены из стандартной комбинации различных или одинаковых элементов, разделенных периодами полного или частичного отдыха. При этом элементы, входящие в такую комбинацию, могут быть однородными (по характеру и интенсивности) циклическими или ациклическими упражнениями.
Так, к интервально-повторным упражнениям относится тренировочное упражнение с повторным пробеганием (проплыванием) определенных отрезков дистанции на большой скорости, чередуемым с периодами полного или частичного отдыха. Другой пример - поднимание штанги несколько раз подряд.
К соревновательным интервально-повторным упражнениям относятся биатлон и спортивное ориентирование.
Если во время выполнения комплексных тренировочных упражнений рабочие периоды чередуются с промежуточными периодами полного отдыха, то такие упражнения обозначаются как повторные переменные упражнения*.
* От повторных переменных упражнений следует отличать повторное выполнение одного и того же или разных упражнений на тренировках и соревнованиях. Примерами последних могут служить повторные попытки в прыжках или метаниях, отдельные подходы к снаряду, выполнение в течение одного или нескольких дней разных видов программы многоборья.
Здесь каждая попытка или каждый вид программы -самостоятельные упражнения циклического или ациклического характера. В отличие от повторных переменных упражнений, в которых длительность рабочих периодов и интервалов между ними обычно почти одинакова (отличаются не более чем в несколько раз), при повторных попытках или выполнении разных видов программы (в многоборье) интервалы между ними в десятки и сотни раз длительнее, чем само упражнение.
Если при выполнении упражнения рабочие периоды сменяются промежуточными периодами частичного отдыха, т. е. работой значительно более низкой интенсивности (например, бегом трусцой), то такие упражнения обозначают как интервальные переменные упражнения. По существу, подавляющее большинство комплексных тренировочных упражнений и каждое тренировочное занятие в целом являются интервально-повторными упражнениями.
Глава 2. Динамика физиологического состояния организма при спортивной деятельности

Рис. 9. Динамика изменения физиологических функций перед началом, во время и после работы средней (вверху) и максимальной (внизу) аэробной мощности
При выполнении тренировочного или соревновательного упражнения в функциональном состоянии спортсмена происходят значительные изменения. В непрерывной динамике этих изменений можно выделить три основных периода: предстартовый, основной (рабочий) и восстановительный (рис.
9).
Предстартовое состояние характеризуется функциональными изменениями, предшествующими началу работы (выполнению упражнения).
В рабочем периоде различают быстрые изменения функций в самый начальный период работы - состояние врабатывания и следующее за ним относительно неизменное (а точнее, медленно изменяющееся) состояние основных физиологических функций, так называемое устойчивое состояние. В процессе выполнения упражнения развивается у т о м л е н и е, которое проявляется в снижении работоспособности, т. е. невозможности продолжать упражнение на требуемом уровне интенсивности, или в полном отказе от продолжения данного упражнения.
Восстановление функций до исходного, предрабочего, уровня характеризует состояние организма на протяжении определенного времени после прекращения упражнения.
Каждый из указанных периодов в состоянии организма характеризуется особой динамикой физиологических функций различных .систем, органов и всего организма в целом. Наличие этих периодов, их особенности и продолжительность определяются прежде характером, интенсивностью и продолжительностью выполняемого упражнения, условиями его выполнения, а также степенью тренированности спортсмена.
Предстартовое состояние и разминка
Еще до начала выполнения мышечной работы, в процессе ее ожидания, происходит целый ряд изменений в разных функциях организма. Значение этих изменений состоит в подготовке организма к успешному выполнению предстоящей деятельности.
Предстартовое состояние
Предстартовое изменение функций происходит в определенный период - за несколько минут, часов или даже дней (если речь идет об ответственном соревновании) до начала мышечной работы. Иногда выделяют отдельно стартовое состояние, характерное для последних минут перед стартом (началом работы), во время которого функциональные изменения особенно значительны.
Они переходят непосредственно в фазу быстрого изменения функции в начале работы (период врабатывания).
В предстартовом состоянии происходят самые разные перестройки в различных функциональных системах организма. Большинство этих перестроек сходно с теми, которые происходят во время самой работы: учащается и углубляется дыхание, т. е. растет Л В, усиливается газообмен (потребление О2), учащаются и усиливаются сокращения сердца (растет сердечный выброс), повышается артериальное давление (АД), увеличивается концентрация молочной кислоты в мышцах и крови, повышаете; температура тела и т. д.
Таким образом, организм как бы переходит на некоторый рабочий уровень еще до начал; деятельности, и это обычно способствует успешному выполнению работы (К.М. Смирнов).
По своей природе предстартовые изменения функций являются условнорефлекторными нервными и гормональными реакциями. Условнорефлекторными раздражителями в данном случае служат место, время предстоящей деятельности, а также второсигнальные, речевые раздражители.
Важнейшую роль при этом играют эмоциональные реакции. Поэтому наиболее резкие изменения в функциональном состоянии организма наблюдаются перед спортивными соревнованиями. Причем степень и характер предстартовых изменений часто находятся в прямой связи со значимостью данного соревнования для спортсменам
Потребление О2, основной обмен, ЛВ перед стартом могут в 2- 2,5 раза превышать обычный уровень покоя.
У спринтеров (см. рис. 7), горнолыжников ЧСС на старте может достигать 160 уд/мин. Это связано с усилением деятельности симпатоадреналовой системы, активируемой лимбической системой головного мозга (гипоталамусом, лимбической долей коры).
Активность этих систем увеличивается еще до начала работы, о чем свидетельствует, в частности, повышение концентрации норадреналина и адреналина. Под влиянием катехоламинов и других гормонов ускоряются процессы расщепления гликогена в печени, жиров в жировом депо, так что еще до начала работы в крови повышается содержание энергетических субстратов - глюкозы, свободных жирных кислот.
Усиление симпатической активности через холинэргические волокна, интенсифицируя гликолиз в скелетных мышцах, вызывает расширение их кровеносных сосудов (холинэргическая вазодилятация).

Уровень и характер предстартовых сдвигов часто соответствует особенностям тех функциональных изменений, которые происходят во время выполнения самого упражнения. Например, ЧСС перед стартом в среднем тем выше, чем короче дистанция предстоящего бега, т. е. чем выше ЧСС во время выполнения упражнения.
В ожидании бега на средние дистанции систолический объем увеличивается относительнобольше, чем перед спринтерским бегом (К. М. Смирнов).
Таким образом, предстартовые изменения физиологических функций довольно специфичны, хотя количественно выражены, конечно, значительно слабее происходящих во время работы.

Особенности предстартового состояния во многом могут определять спортивную работоспособность. Не во всех случаях предстартовые изменения оказывают положительное влияние на спортивный результат. В этой связи выделяют три формы предстартового состояния: состояние готовности - проявление умеренного эмоционального возбуждения, которое способствует повышению спортивного результата; состояние так называемой стартовой лихорадки - резко выраженное возбуждение, под влиянием которого возможно как повышение, так и понижение спортивной работоспособности; слишком сильное и длительное предстартовое возбуждение, которое в ряде случаев сменяется угнетением и депрессией - стартовой апатией, ведущей к снижению спортивного результата (А.
Ц. Пуни).
Разминка
Под разминкой понимается выполнение упражнений, которое предшествует выступлению на соревновании или основной части тренировочного занятия. Разминка способствует оптимизации предстартового состояния, обеспечивает ускорение процессов врабатывания, повышает работоспособность.
Механизмы положительного влияния разминки на последующую соревновательную или тренировочную деятельность многообразны.
1. Разминка повышает возбудимость сенсорных и моторных нервных центров коры больших полушарий, вегетативных нервных центров, усиливает деятельность желез внутренней секреции, благодаря чему создаются условия для ускорения процессов оптимальной регуляции функций во время выполнения последующих упражнений.
2. Разминка усиливает деятельность всех звеньев кислород - транспортной системы (дыхания и кровообращения): повышаются ЛВ, скорость диффузии О2 из альвеол в кровь,
ЧСС и сердечный выброс, АД, венозный возврат, расширяются капиллярные сети в легких, сердце, скелетных мышцах. Все это приводит к усилению снабжения тканей кислородом и соответственно к уменьшению кислородного дефицита в период врабатывания, предотвращает наступление состояния мертвой точки или ускоряет наступление второго дыхания.
3. Разминка усиливает кожный кровоток и снижает порог начала потоотделения, поэтому она
оказывает положительное влияние на терморегуляцию, облегчая теплоотдачу и предотвращая чрезмерное перегревание тела во время выполнения последующих упражнений.
4. Многие из положительных эффектов разминки связаны с повышением температуры тела, и особенно рабочих мышц. Поэтому разминку часто называют разогреванием.
Оно способствует снижению вязкости мышц, повышению скорости их сокращения и расслабления. Согласно А. Хиллу, в результате разминки скорость сокращения мышц млекопитающих увеличивается примерно на 20% при повышении температуры тела на 2. При этом увеличивается скорость проведения импульсов по нервным волокнам, снижается вязкость крови. Кроме того, увеличивается скорость метаболических процессов (прежде всего в мышцах) благодаря повышению активности ферментов, определяющих скорость протекания биохимических реакций (с увеличением температуры на 1 скорость метаболизма клеток увеличивается примерно на 13%).
Повышение температуры крови вызывает сдвиг кривой диссоциации оксигемо-глобина вправо (эффект Бора), что облегчает снабжение мышц кислородом.
Вместе с тем эффекты разминки не могут быть объяснены только повышением температуры тела, так как пассивное разогревание (с помощью массажа, облучения инфракрасными лучами, ультразвука, диатермии, сауны, горячих компрессов) не дает такого же повышения работоспособности, как активная разминка.
Важнейший результат активной разминки - регуляция и согласование функций дыхания, кровообращения и двигательного аппарата в условиях максимальной мышечной деятельности. В этой связи следует различать общую и специальную разминку.
Общая разминка может состоять из самых разных упражнений, цель которых - способствовать повышению температуры тела, возбудимости ЦНС, усилению функций кислородтранспортной системы, обмена веществ в мышцах и других органах и тканях тела.
Специальная разминка по своему характеру должна быть как можно ближе к предстоящей деятельности. В работе должны участвовать те же системы и органы тела, что и при выполнении основного (соревновательного) упражнения.
В эту часть разминки следует включать. сложные в координационном отношении упражнения, обеспечивающие необходимую настройку ЦНС.
Продолжительность и интенсивность разминки и интервал между разминкой и основной деятельностью определяются рядом обстоятельств: характером предстоящего упражнения, внешними условиями (температурой и влажностью воздуха и др.), индивидуальными особенностями и эмоциональным состоянием спортсмена. Оптимальный перерыв должен составлять не более 15 мин, на протяжении которых еще сохраняются следовые процессы от разминки. Показано, например, что после 45 -мин перерыва продолжительный эффект разминки утрачивается, температура мышц возвращается к исходному, предразминочному, уровню. Роль разминки в разных видах спорта, и при разных внешних условиях неодинакова.
Особенно заметно положительное влияние разминки перед скоростно-силовыми упражнениями относительно небольшой продолжительности (рис. 10).
Разминка не оказывает сколько-нибудь достоверного положительного влияния на мышечную силу, но улучшает результаты в таких скоростно-силовых сложнокоординационных упражнениях, как легкоатлетические метания. Положительное влияние разминки перед бегом на длинные дистанции выражено значительно меньше, чем перед бегом на средние и короткие дистанции.
Более того, при высокой температуре воздуха обнаружено отрицательное влияние разминки на терморегуляцию во время бега на длинные дистанции.
Врабатывание, мертвая точка, второе дыхание
Врабатывание - это первая фаза функциональных изменений, происходящих во время работы. Тесно связаны с процессом врабатывания явления мертвой точки и второго дыхания.
Врабатывание происходит в начальный период работы, на протяжении которого быстро усиливается деятельность функциональных систем, обеспечивающих выполнение данной работы. В процессе врабатывания происходят:
1. настройка нервных и нейрогормональных механизмов управления движениями и вегетативных процессов;
2. постепенное формирование необходимого стереотипа движений (по характеру, форме, амплитуде, скорости, силе и ритму), т, е. улучшение координации движений;
3. достижение требуемого уровня вегетативных функций, обеспечивающих данную мышечную деятельность.
Первая особенность врабатывания - относительная замедленность в усилении вегетативных процессов, инертность в развертывании вегетативных функций, что в значительной мере связано с характером нервной и гуморальной регуляции этих процессов в данный период.
Вторая особенность врабатывания -гетерохронизм, т. е. неодновременность, в усилении отдельных функций организма. Врабатывание двигательного аппарата протекает быстрее, чем вегетативных систем.
С неодинаковой скоростью изменяются разные показатели, деятельности вегетативных систем, концентрация метаболических веществ в мышцах и .крови (рис. 11).
Например, ЧСС растет быстрее, чем сердечный выброс и АД, ЛВ усиливается быстрее, чем потребление О2 (М. Я. Горкин).

Третьей особенностью врабатывания является наличие прямой зависимости между интенсивностью (мощностью) выполняемой работы и скорое т ь ю изменения физиологических функций: чем интенсивнее выполняемая работа, тем быстрее происходит начальное усиление функций организма, непосредственно связанных с ее выполнением. Поэтому длительность периода врабатывания находится в обратной зависимости от интенсивности (мощности) упражнения.
Например, в упражнениях малой аэробной мощности период врабатывания для достижения требуемого уровня потребления кислорода длится примерно 7-10 мин, средней аэробной мощности - 5-7 мин, субмаксимальной аэробной мощности - 3-5 мин, околомаксимальной аэробной мощности - до 2-3 мин, максимальной аэробной мощности- 1,5-2 мин.
Четвертая особенность врабатывания состоит в том, что оно протекает при выполнении одного и того же упражнения тем быстрее, чем выше уровень тренированности спортсмена.

Поскольку деятельность дыхательной и сердечнососудистой систем, обеспечивающих доставку О2 к работающим мышцам, усиливается постепенно, в начале почти любой работы сокращение мышц осуществляется главным образом за счет энергии анаэробных механизмов, т. е. за счет расщепления АТФ, КрФ, анаэробного гликолиза с образованием молочной кислоты (только при выполнении очень легких упражнений (менее 50% МПК) их энергообеспечение с самого начала может происходить аэробным путем за счет кислорода, запасенного в мышцах в соединении с миоглобйном, и кислорода, содержащегося в крови, перфузирующей работающие мышцы). Имеющееся в начале работы несоответствие между потребностями организма (работающих мышц) в кислороде и их реальным удовлетворением в период врабатывания приводит к образованию кислородного дефицита, или О2-дефицита (рис.
12).
При выполнении нетяжёлых аэробных упражнений (вплоть до работы субмаксимальной аэробной мощности) кислородный дефицит покрывается (оплачивается) еще во время самого упражнения за счет некоторого излишка в потреблении О2 в начальный период устойчивого состояния. При выполнении упражнений околомаксимальной аэробной мощности кислородный дефицит лишь частично может быть покрыт во время самой работы; в большей степени он покрывается после прекращения работы, составляя значительную часть кислородного долга в период восстановления.
При выполнении упражнений максимальной аэробной мощности кислородный дефицит целиком покрывается в период восстановления, составляя очень существенную часть кислородного долга.
Замедленное увеличение потребления О2 в начале работы, приводящее к образованию О2-дефицита, прежде всего объясняется инертным усилением деятельности систем дыхания и кровообращения, т. е. медленным приспособлением кислород-транспортной системы к мышечной деятельности. Однако имеются и другие причины возникновения кислородного дефицита, связанные с особенностями кинетики самого энергетического метаболизма в работающих мышцах.
Чем быстрее (короче) протекает процесс врабатывания, тем меньше О2-дефицит. Поэтому при выполнении одинаковых аэробных упражнений О2-дефицит у тренированных спортсменов меньше, чем у нетренированных людей.
Мертвая точка и второе дыхание
Через несколько минут после начала напряженной и продолжительной работы у нетренированного человека часто возникает особое состояние, называемое мертвой точкой (иногда оно отмечается и у тренированных спортсменов). Чрезмерно интенсивное начало работы повышает вероятность появления этого состояния.
Оно. характеризуется тяжелыми субъективными ощущениями, среди которых главное - ощущение одышки. Кроме того, человек испытывает чувство стеснения в груди, головокружение, ощущение пульсации сосудов головного мозга, иногда боли в мышцах, желание прекратить работу.
Объективными признаками состояния мертвой точки служат частое и относительно поверхностное дыхание, повышенное потребление О2 и увеличенное выделение СО2 с выдыхаемым воздухом, большой вентиляционный эквивалент кислорода, высокая ЧСС, повышенное содержание СО2 в крови и альвеолярном воздухе, сниженное рН крови, значительное потоотделение.
Общая причина наступления мертвой точки состоит, вероятно, в возникающем в процессе врабатывания несоответствии между высокими потребностями рабочих мышц в кислороде и недостаточным уровнем функционирования кислородтранспортной системы, призванной обеспечивать организм кислородом. В результате в мышцах и крови накапливаются продукты анаэробного метаболизма и прежде всего молочная кислота.
Это касается и дыхательных мышц, которые могут испытывать состояние относительной гипоксии из-за медленного перераспределения сердечного выброса в начале работы между активными и неактивными органами и тканями тела.
Преодоление временного состояния мертвой точки требует больших волевых усилий. Если работа продолжается, то сменяется чувством внезапного облегчения, которое прежде и чаще всего проявляется в появлении нормального (комфортного) дыхания.
Поэтому состояние, сменяющее мертвую точку, называют вторым дыханием.
Классификация циклических упражнений
Учитывая, что она относительно постоянна в циклических упражнениях, их можно классифицировать по средней мощности нагрузки на протяжении любого (достаточно длинного) отрезка времени выполнения упражнения.
На протяжении выполнения ациклических упражнений выделяют периоды наибольшей активности (мощности) - рабочие периоды, чередуемые с промежуточными периодами относительно невысокой активности (мощности), вплоть до полного отдыха (нулевой мощности). При классификации ациклических упражнений остается неясным, оценивать ли мощность основных рабочих периодов (пиковую мощность) или среднюю мощность за все время упражнения, включая основные рабочие периоды и промежуточные периоды относительного или полного отдыха.
Физиологическая характеристика ациклических упражнений при использовании каждого из таких показателей будет различной.
Механическая, или физическая, мощность выполняемого упражнения измеряется физическими величинами -в ваттах, кгм/мин. Она определяет физическую нагрузку.
В подавляющем большинстве случаев очень трудно достаточно точно измерить физическую мощность спортивных упражнений. В циклических упражнениях мощность (физическая нагрузка) и скорость перемещения (при неизменной технике выполнения движений) связаны линейной зависимостью: чем больше скорость, тем выше физическая нагрузка.
Совокупность физиологических (и психофизиологических) реакций организма на данную физическую нагрузку позволяет определить физиологическую мощность нагрузки или физиологическую нагрузку на организм работающего человека. Физиологическая нагрузка или физиологическая мощность - понятия близкие к термину тяжесть работы.
У каждого человека при выполнении упражнения одного и того же характера в одинаковых условиях внешней среды физиологическая мощность нагрузки находится в прямой зависимости от физической нагрузки. Например, чем выше скорость бега, тем больше физиологическая нагрузка.
Однако одинаковая физическая нагрузка вызывает неодинаковые физиологические реакции у людей разного возраста и пола, у людей с неодинаковой степенью функциональной подготовленности (тренированности), а также у одного и того же человека в разных условиях (например, при повышенных или пониженных температуре или давлении воздуха). Кроме того, различные физиологические реакции наблюдаются у одного и того же человека при одинаковой по мощности физической нагрузке, выполняемой разными мышечными группами (руками или ногами) или при разных положениях тела (лежа или стоя).
Так, у гребцов на каноэ; пловцов или бегунов, выполняющих одинаковую по физической мощности работу (с одинаковой скоростью потребления О2), физиологические нагрузки (реакции) сильно различаются.
Следовательно, показатели физической мощности упражнения не могут быть использованы в качестве критерия для единой физиологической классификации различных спортивных упражнений, выполняемых людьми разного пола и возраста, с неодинаковыми функциональными возможностями и подготовленностью (тренированностью) или одним и тем же спортсменом в разных условиях. Поэтому в качестве классификационного признака чаще используются показатели физиологической мощности или физиологической нагрузки.
Одним из таких показателей служит предельное время выполнения данного упражнения. Действительно, чем выше физиологическая мощность (тяжесть работы), тем короче предельное время выполнения работы (см. рис. 2 и 3). Проанализировав по данным, мировых рекордов зависимость между скоростью преодоления разных дистанции и предельным (рекордным) временем (см. рис.
3), В. С. Фарфель разделил кривую рекордов на четыре зоны относительной мощности: с предельной продолжительностью упражнений до 20 с (зона максимальной мощности), от 20 с до 3-5 мин (зона субмаксимальной мощности), от 3-5 до 30-40 мин (зона большой мощности) и более 40 мин (зона умеренной мощности). Такая классификация спортивных циклических упражнении получила широкое распространение.
Другой подход к характеристике физиологической мощности состоит в определении относительных физиологических сдвигов. Характер и величина, ответных физиологических реакций на одну и ту же физическую нагрузку зависят прежде всего от предельных функциональных возможностей ведущих (для данного упражнения) физиологических систем. При выполнении одинаковой физической нагрузки у людей с более высокими функциональными возможностями ведущих систем величина реакций (физиологические сдвиги) меньше, и следовательно, физиологическая нагрузка на ведущие (и другие) системы и соответственно на организм в целом относительно меньше, чем у людей с более низкими функциональными возможностями.
Одинаковая физическая нагрузка будет относительно труднее (тяжелее) для вторых, и, следовательно, предельное время ее выполнения у них будет короче, чем у первых. Соответственно первые способны выполнять такие большие физические нагрузки, которые недоступны вторым.
Например, два спортсмена выполняют одну и ту же абсолютную физическую Нагрузку с одинаковым рабочим потреблением О2 - 3 л/мин. Однако у одного из спортсменов МПК равно 6 л/мин, а у другого - 4,5 л/мин.
Соответственно относительная физиологическая нагрузка на. кислородтранспортную систему у этих спортсменов далеко не одинакова, так как у первого выполняемая физическая работа нагружает эту систему лишь на 50% от ее предельных возможностей, а у второго - на 75%. Следовательно, относительная физиологическая нагрузка у первого спортсмена меньше, чем у второго.
Таким образом, для физиологической классификации спортивных упражнений, используются показатели относительной физиологической мощности: физиологической н а-грузки, физиологической напряженности, тяжести работы. Такими показателями служат относительные физиологические сдвиги, которые возникают в ведущих функциональных системах в ответ на данную физическую нагрузку, выполняемую в определенных условиях внешней среды.
Эти сдвиги выявляются путем сравнения текущих рабочих показателей деятельности ведущих физиологических, систем с предельными (максимальными) показателями.
Классификация циклических упражнений
Энергетические запросы организма (работающих мышц) удовлетворяются, как известно, двумя основными путями: анаэробным и аэробным. Соотношение этих двух путей энергопродукции неодинаково в разных циклических упражнениях (рис.
4). При выполнении любого упражнения практически действуют все три энергетические системы: анаэробные фосфагенная (алактатная) и лакта-цидная (гликолитическая) и аэробная (кислородная, окислительная). Зоны их действия частично перекрываются (рис.
5). Поэтому трудно выделить чистый вклад каждой из энергетических систем, особенно при работе относительно небольшой предельной продолжительности.
В этой связи часто объединяют в пары соседние по энергетической мощности (зоне действия) системы: фосфагенную с лактацидной, лактацидную с кислородной. Первой при этом указывается система, энергетический вклад которой больше.
Фосфа генмая (АТФ-т КФ) и лактацидная систему
Лактациднаяи кислородная системы |
| ИСТОЧНИКИ |
0 |
10 |
20 |
30 |
40 |
|
70 |
00 |
| Анаэробные |
гоо |
э'о |
80 |
то |
60 |
. .. 1 ¦ ,
pw-SO 40 - |
30 |
20 |
источник
Дпс шщия.м |
t
100 |
т
260 |
t
400 |
t
800 |
t t .
¦ Ш 3200 |
t
5000 |
| Результат |
10.0 |
2D, G |
45.0 |
U5.fi |
3,45.0'3.00,0! |
|
14.00.0 |
|
ЭО
~4-
m
t t
ICOOO 47200 |

Рис. 5. Относительный вклад (в процентах) трех энергетических систем (I - фосфагенной, II -лактацидной, III - кислородной) при выполнении упражнений разной предельной продолжительности
В соответствии с относительной нагрузкой на анаэробные и аэробные энергетические системы все циклические упражнения можно разделить на анаэробные и аэробные (см. схему на стр. 14). Первые - с преобладанием анаэробного, вторые - аэробного компонента энергопродукции.
Ведущим качеством при выполнении анаэробных упражнений служит мощность (скоростно-силовые возможности), при выполнении аэробных упражнений-выносливость.
Соотношение разных путей (систем) знергопродукции в значительной мере определяет, характер и степень изменений в деятельности различных физиологических систем, обеспечивающих выполнение разных упражнений.
Анаэробные упражнения. Выделяются три группы анаэробных упражнений:
максимальной анаэробной мощности (анаэробной мощности) ; околомаксимальной анаэробной мощности (смешанной анаэробной мощности); субмаксимальной анаэробной мощности (анаэробно-аэробной мощности).
Энергетические и эргометрические характеристики анаэробных упражнений приведены в табл. 5.
| Таблица 5. Энергетическая и эргометрическая характеристика анаэробных циклических упражнений |
| Группа |
Анаэробный компонент энергопродукции,% от обшей энергопродукции |
Соотношение трех энергетических систем, % |
Рекордная
мощность,
ккал/мин |
Предельная рекордная продолжительность при беге, с |
фосфагенная
+
лактацидная |
лактацидная
+
кислородная |
кислородная |
| Максимальной анаэробной мощности |
90-100 |
95 |
5 |
|
120 |
До 10 |
| Околомаксимальной анаэробной мощности |
75- 85 |
70 |
20 |
10 |
100 |
20-50 |
| Субмаксимальной анаэробной мощности |
60- 70 |
25 |
60 |
15 |
40 |
60-120 |
|
Упражнения максимальной анаэробной мощности (анаэробной мощности) - это упражнения с почти исключительно анаэробным способом энергообеспечения работающих мышц: анаэробный компонент в общей энергопродукции составляет от 9ч0 до 100%. Он обеспечивается главным образом за счет фосфагенной энергетической системы (АТФ + КФ) при некотором участии лактацидной (гликолитической) системы. Рекордная максимальная анаэробная мощность, развиваемая выдающимися спортсменами во время спринтерского бега, достигает 120 ккал/мин. Возможная предельная продолжительность таких упражнений -несколько секунд. Таковы, например, соревновательный бег на дистанциях до 100 м, спринтерская велогонка на треке, плавание и ныряние на дистанцию до 50 м.

Усиление деятельности вегетативных систем происходит в процессе работы постепенно (см. главу II. 2). Из-за кратковременности анаэробных упражнений во время их выполнения функции кровообращения и дыхания, не успевают достигнуть возможного максимума. На протяжении максимального анаэробного упражнения спортсмен либо вообще не дышит, либо успевает выполнить лишь несколько дыхательных циклов.
Соответственно средняя легочная вентиляция не превышает 20-30% от. максимальной. ЧСС .повышается еще до старта (до 140-150 уд/мин) и во время упражнения продолжает расти, достигая наибольшего значения сразу после финиша - 80-90% от ''максимальной (160-180 уд/мин). Поскольку энергетическую основу этих упражнений составляют анаэробные процессы, усиление деятельности кардио-респираторной (кислородтран-спортной) системы практически не имеет значения для энергетического обеспечения самого упражнения. Концентрация лактата в крови за время работы изменяется крайне незначительно, хотя в рабочих мышцах она может достигать в конце работы 10 ммоль/кг и даже больше. Концентрация лактата в крови продолжает нарастание на протяжении нескольких минут после прекращения работы и составляет максимально 5-8 ммоль/л (рис. 6).
Перед выполнением анаэробных упражнений несколько повышается концентрация глюкозы в крови. До начала и в результате -их выполнения в крови очень существенно повышается концентрация катехоламинов (адреналина и норадреналина) и гормона роста, но несколько снижается концентрация инсулина; концентрации глюкагона и кортизола заметно не меняются (см. рис. 6).
Ведущие физиологические системы и механизмы, определяющие спортивный результат в этих упражнениях,-центрально-нервная регуляция мышечной деятельности (координация движений с проявлением большой мышечной мощности), функциональные свойства нервно-мышечного аппарата (скоростно-силовые), емкость и мощность фосфагенной энергетической системы рабочих мышц.
Упражнения околомаксимальной анаэробной мощности (смешанной анаэробной мощности)-это упражнения с преимущественно анаэробным энергообеспечением работающих мышц. Анаэробный компонент в общей энергопродукции составляет 75- 85% - отчасти за счет фосфагенной и в наибольшей мере за счет лактацидной (гликолитической) энергетических систем. Рекордная околомаксимальная анаэробная мощность в беге - в пределах 50-100 ккал/мин. Возможная предельная продолжительность таких упражнений у выдающихся спортсменов, колеблется от 20 до 50 с. К соревновательным упражнениям относится бег на дистанциях 200-400 м, плавание на дистанциях до 100 м, бег на коньках на 500 м.
Для энергетического обеспечения этих упражнений значительное усиление деятельности кислородтранспортной системы уже играет определенную энергетическую роль, причем тем большую, чем продолжительнее упражнение. Предстартовое повышение ЧСС очень значительно (до 150-160 уд/мин). Наибольших значений (80-90% от максимальной) она достигает сразу после финиша на 200 м и на финише 400 м (рис. 7). В процессе выполнения упражнения быстро растет легочная вентиляция, так что к концу упражнения длительностью около 1 мин она может достигать 50-60% от максимальной рабочей вентиляции для данного спортсмена (60-80 л/мин). Скорость потребления О2 также быстро нарастает на дистанции и на финише 400 м может составлять уже 70-80% от индивидуального МПК.

Концентрация лактата в крови после упражнения весьма высокая- до 15 ммоль/л у квалифицированных спортсменов. Она тем выше, чем больше дистанция и выше квалификация спортсмена. Накопление лактата в крови связано с очень большой скоростью его образования в рабочих мышцах (как результат интенсивного анаэробного гликолиза).
Концентрация глюкозы в крови несколько повышена по сравнению с условиями покоя (до 100-120 мг%). Гормональные сдвиги в крови сходны с теми, которые происходят при выполнении упражнения максимальной анаэробной мощности.
Ведущие физиологические системы и механизм ы, определяющие спортивный результат в упражнениях околомаксимальной анаэробной мощности, те же, что и в упражнениях предыдущей группы, и, кроме того, мощность лактацидной (гликолитической) энергетической системы рабочих мышц.
Упражнения субмаксимальной анаэробной мощности (анаэробно-аэробной мощности) - это упражнения с преобладанием анаэробного компонента энергообеспечения работающих мышц. В общей энергопродукции организма он достигает 60-70% и обеспечивается преимущественно за счет лактацидной (гликолитической) энергетической системы. В энергообеспечении этих упражнений значительная доля принадлежит кислородной (окислительной, аэробной) энергетической системе. Рекордная мощность в беговых упражнениях составляет примерно 40 ккал/мин. Возможная предельная продолжительность соревновательных упражнений у выдающихся спортсменов - от 1 до 2 мин. К соревновательным упражнениям относятся: бег на 800 м, плавание на 200 м, бег на коньках на 1000 и 1500 м, заезды на 1 км в велоспорте (трек).
Мощность и предельная продолжительность этих упражнений таковы, что в процессе их выполнения показатели деятельности кислородтранспортной системы (ЧСС, сердечный выброс, ЛВ, скорость потребления О2) могут быть близки к максимальным значениям для данного спортсмена или даже достигать их. Чем продолжительнее упражнение, тем выше на финише эти показатели и тем значительнее доля аэробной энергопродукции при выполнении упражнения. После этих упражнений регистрируется очень высокая концентрация лактата в рабочих мышцах и крови - до 20- 25 ммоль/л. Соответственно рН крови снижается до 7,0. Обычно заметно повышена концентрация глюкозы в крови-до 150 мг%, высоко содержание в плазме крови катехоламинов и гормона роста.
Ведущие физиологические системы и механизмы - емкость и мощность лактацидной (гликолитической) энергетической системы рабочих мышц, функциональные (мощност-ные) свойства нервно-мышечного аппарата, а также кислород-транспортные возможности организма (особенно сердечно-сосудистой системы) и аэробные (окислительные) возможности рабочих мышц. Таким образом, упражнения этой группы предъявляют весьма высокие требования как к анаэробным, так и к аэробным возможностям спортсменов.
Аэробные упражнения. Мощность нагрузки в этих упражнениях такова, что энергообеспечение рабочих мышц может происходить (главным образом или исключительно) за счет окислительных (аэробных) процессов, связанных с непрерывным потреблением организмом и расходованием работающими мышцами кислорода. Поэтому мощность в этих упражнениях можно оценивать по уровню (скорости) дистанционного потребления О2. Если дистанционное потребление О2 соотнести сопредельной аэробной мощностью у данного человека (т. е. с его индивидуальным МПК, или кислородным потолком), то можно получить представление об относительной,аэробной физиологической мощности выполняемого им упражнения. По этому показателю среди аэробных циклических упражнений выделяются пять групп (см. схему на стр. 14).
1. упражнения максимальной аэробной мощности (95-100% МПК);
2. упражнения околомаксимальной аэробной мощности (85-90% МПК);
3. упражнения субмаксимальной аэробной мощности (70-80% МПК);
4. упражнения средней аэробной мощности (55- 65%'отМПК);
5. упражнения малой аэробной мощности (50% от МПК и менее).
Общая энергетическая характеристика аэробных циклических упражнений приводится в табл. 6.
Ведущими физиологическими системами и механизмами, определяющими успешность выполнения аэробных циклических упражнений, служат функциональные возможности кислородтранспортной системы и аэробные возможности рабочих мышц.
По мере снижения мощности этих упражнений (увеличения предельной продолжительности) уменьшается доля анаэробного (гликолитического) компонента энергопродукции. Соответственно снижаются концентрация лактата в крови (см. рис. 6) и прирост концентрации глюкозы в крови - степень гипергликемии). При упражнениях длительностью в несколько десятков минут гипергликемии вообще не наблюдается (см. рис. б). Более того, в конце таких упражнений может отмечаться снижение концентрации глюкозы в крови (гипогликемия).
| Таблица 6. Энергетическая и эргометрическая характеристики аэробных циклических спортивных упражнений |
| Г руппа |
Дистанционное потребление О2, % от МПК |
Соотношение трех энергетических, систем, % |
Главные
энергетические
субстраты* |
Рекордная
мощность,
кал/мин |
Рекордная
продолжительность,
мин |
фосфагенная
+
лактацидная |
лактацидная
+
кислородная |
кислородная |
| Максимальной аэробной мощности |
95-100 |
20 |
55-40 |
25-40 |
Мышечный
гликоген |
25 |
3- 10 |
| Околомаксимальной аэробной мощности |
85- 90 |
10-5 |
20-15 |
70-80 |
Мышечный гликоген, жиры и глюкоза крови |
20 |
10- 30 |
| Субмаксимальной аэробной мощности |
70-80 |
|
5 |
95 |
Мышечный
гликоген, жиры и глюкоза крови |
17 |
30-120 |
| Средней аэробной мощности |
55-65 |
|
2 |
98 |
Жиры,
мышечный
гликоген и
глюкоза крови |
14 |
120-240 |
| Малой аэробной мощности |
50 и ниже |
|
|
100 |
Жиры, мышечный гликоген 'И
глюкоза крови |
12 и ниже |
240 |
|
* Перечисляются в порядке значимости (удельного вклада).

Чем больше мощность аэробных упражнений, тем выше концентрация катехоламинов в крови (рис. 8) и гормона роста (см. рис. 6). Наоборот, по мере снижения мощности нагрузки содержание в крови таких гормонов, как глюкагон и кортизол, увеличивается, а содержание инсулина уменьшается (см. рис. 6).
С увеличением продолжительности аэробных упражнений повышается температура тела, что предъявляет повышенные требования к системе терморегуляции.
Упражнения максимальной аэробной мощности (с дистанционным потреблением кислорода 95-100% от индивидуального МПК) - это упражнения, в которых преобладает аэробный компонент энергопродукции - он составляет до. 6070%. Однако энергетический вклад анаэробных (преимущественно гликолитических) процессов еще очень значителен. Основным энергетическим субстратом при выполнении этих упражнений служит мышечный гликоген, который расщепляется как аэробным, так и анаэробным путем (в последнем случае с образованием большого количества молочной кислоты). Предельная
продолжительность таких упражнений - 3-10 мин. К соревновательным упражнениям этой группы относятся: бег на 1500 и 3000 м, бег на 3000 и 5000 м на коньках, плавание на 400 и 800 м, академическая гребля (классические дистанции), заезды на 4 км на велотреке.
Через 1,5-2 мин после начала упражнений достигаются максимальные для данного человека ЧСС, систолический объем крови и сердечный выброс, рабочая ЛВ, скорость потребления О2 (МПК). По мере продолжения упражнения ЛВ, концентрация в крови лактата и катехоламинов продолжает нарастать. Показатели работы сердца и скорость потребления О2 либо удерживаются на максимальном уровне (при состоянии высокой тренированности), либо начинают несколько снижаться.
После окончания упражнения концентрация лактата в крови Достигает 15-25 ммоль/л в обратной зависимости от предельной продолжительности упражнения и в прямой - от квалификации-спортсмена (спортивного результата).
Ведущие физиологические системы и механизмы - общие для всех аэробных упражнений; кроме того, существенную роль играет мощность лактацидной (гликолитической) энергетической системы рабочих мышц.
Упражнения околомаксимальной аэробной мощности (с дистанционным потреблением О2 85-95% от индивидуального МПК) - это упражнения, при выполнении которых до 90% всей знергопродукции обеспечивается окислительными (аэробными) реакциями в рабочих мышцах. В качестве субстратов окисления используются в большей мере углеводы, чем жиры (дыхательный коэффициент около 1,0). Главную роль играют гликоген рабочих мышц и в меньшей степени - глюкоза крови (на второй половине дистанции). Рекордная продолжительность упражнений до 30 мин. К этой группе относятся: бег на дистанциях 5000 и 10 000 м, плавание на дистанции 1500 м, бег на лыжах до 15 км и на коньках на 10 000 м. В процессе выполнения упражнений ЧСС находится на уровне 90-95%, ЛВ - 85-90% от индивидуальных максимальных значений. Концентрация лактата в крови после упражнения у высококвалифицированных спортсменов - около 10 ммоль/л. В процессе выполнения упражнения происходит существенное повышение температуры тела - до 39.
Упражнения субмаксимальной аэробной мощности (с дистанционным потреблением О2 70-80% от индивидуального МПК) - это упражнения при выполнении которых более 90% всей энергии образуется аэробным путем. Окислительному расщеплению подвергаются в несколько большей степени, углеводы, чем жиры (дыхательный коэффициент примерно 0,85-0,90). Основными энергетическими субстратами служат гликоген мышц, жиры рабочих мышц и крови и (по мере продолжения работы) глюкоза крови. Рекордная продолжительность упражнений - до 120 мин. В эту группу входят: бег на 30 км и более (включая марафонский бег), лыжные гонки на 20-50 км, спортивная ходьба до 20 км.
На протяжении упражнения ЧСС находится на уровне 80-90%, а ЛВ - 70-80% от максимальных значений для данного спортсмена. Концентрация лактата в крови обычно не превышает 4 ммоль/л. Она заметно увеличивается только в начале бега или в результате длительных подъемов. На протяжении выполнения этих упражнений температура тела может достигать 39-40.
Ведущие физиологические системы и механизмы - общие для всех аэробных упражнений и, кроме того, емкость кислородной (окислительной) системы, которая зависит в наибольшей мере от запасов гликогена в рабочих мышцах, и печени и от способности мышц к повышенной длительной утилизации (окислению) жиров.
Упражнения средней аэробной мощности (с дистанционным потреблением О2 55-65% от индивидуального МПК) - это упражнения, при выполнении которых почти вся энергия рабочих мышц обеспечивается аэробными процессами. Основным энергетическим субстратом служат жиры рабочих мышц и крови, углеводы играют относительно меньшую роль (дыхательный коэффициент около 0,8).
Максимальное потребление кислорода
При плавании с одинаковой скоростью женщины расходуют меньше энергии, чем мужчины, главным образом потому, что у женщин больше плавучесть.
С увеличением скорости плавания потребление О2 возрастает при плавании вольным стилем экспоненциально (примерно пропорционально квадрату скорости), а при плавании брассом и дельфином - линейно, лишь несколько замедляясь при большой скорости (рис. 79). Такой характер зависимости между энергетическими расходами (потреблением О2) и скоростью плавания разными способами объясняется прежде всего особенностями изменения лобового сопротивления и механической эффективности.
Энергетические расходы при плавании брассом и дельфином вдвое больше, чем при плавании вольным стилем.
Наибольшее потребление О2, которое может быть достигнуто при работе только руками или только ногами, составляет соответственно 70-80 и 80-90% от наибольшего его потребления при полноценном плавании. Максимальная скорость плавания при работе руками меньше, чем при работе руками и ногами, что соответственно ведет к более низкому потреблению О2.
Однако при плавании кролем это различие крайне мало, что связано с высокой эффективностью гребков руками.
На дистанции 100 м (50-60 с) примерно 80% энергии обеспечивается анаэробным путем (околомаксимальная анаэробная мощность). С увеличением дистанции возрастает аэробный компонент энергопродукции: на
дистанции 400 м он превышает 50% общей энергопродукции. На дистанциях 800 и 1500 м очень важную роль играют мощность и емкость кислородной системы.
Скорость, начиная с которой содержание молочной кислоты в крови быстро увеличивается (анаэробный лактацидемический порог), соответствует примерно 80% от МПК. Тренированные пловцы способны работать на относительно высоком уровне потребления О2 (60-70% от МПК) без повышения содержания лактата в крови. При максимальной скорости плавания анаэробный гликолиз обеспечивает 50-60% энергии.
Максимальная концентрация лактата в крови у высококвалифицированных спортсменов достигает 18 ммоль/л.

Эффективность плавания. Эффективность работы определяется как выраженное в процентах отношение полезной работы к расходуемой для ее выполнения энергии.
Эффективность плавания крайне низкая.
Даже у высококвалифицированных пловцов она составляет 4-7%.
(Для сравнения: механическая эффективность наземной работы -ходьбы, бега, работы на велоэргометре - 20-30%. Отметим, однако, что при работе на ручном эргометре на суше эффективность также низкая - примерно 10%).
Наибольшая эффективность отмечается при плавании кролем - 6-7% (максимум до 15%), наименьшая - брассом (4-6%).
При одинаковой скорости плавания (одним, и тем же способом) тренированный пловец расходует заметно меньше энергии, чем нетренированный (рис. 80).
Эффективность плавания у нетренированного человека может быть в 8 раз меньше, чем у высококвалифицированного пловца. Индивидуальные колебания механической эффективности в плавании значительно больше, чем в таких видах наземной спортивной деятельности, как бег, ходьба, работа на велоэргометре.
Исключительно большие различия в потреблении О2 не только между нетренированными и тренированными людьми, но даже между высокотренированными пловцами указывают прежде всего на сложность плавательной техники. Кроме того, большое значение, как уже отмечалось, имеют размеры и форма тела (определяющие лобовое сопротивление), положение тела в воде, размеры и подвижность весел, создающих движущую силу.
В определенных пределах с увеличением скорости плавания, вплоть до оптимальной, эффективность нарастает. При дальнейшем увеличении скорости она падает.
Оптимальная скорость зависит от способа плавания и техничности пловца. В диапазоне относительно небольших скоростей (0,4- 1,2 м/с) для данного человека энергетическая стоимость проплывания (кролем) 1 км постоянна, т. е. не зависит от скорости плавания.
Пловцы с плохой техникой расходуют больше энергии на единицу дистанции при любой скорости.
Удельный вес девочек и мальчиков вплоть до периода полового созревания заметно не различается. Соответственно и энергетическая стоимость плавания (со скоростью 0,7 м/с) на единицу дистанции с учетом размеров тела у них одинакова. Примерно с 15 лет этот показатель значительно снижается у девушек и повышается у юношей.
На сверхдлинных дистанциях оптимальное соотношение между лобовым сопротивлением и механической эффективностью у женщин более чем компенсирует их сравнительно низкое МПК- Это объясняет определенное преимущество женщин перед мужчинами в плавании на сверхдлинные дистанции. Энергетическая стоимость проплывания 1 км дистанции составляет у нетренированных женщин 250 - 300 ккал, у нетренированных мужчин - 400 - 500 ккал, у спортсменок - 75- 150 ккал, у спортсменов-150 - 200 ккал.
Максимальное потребление кислорода
У нетренированных (в плавании) людей МПК при плавании в среднем на 15-20% ниже, чем в наземных условиях (например, при беге на тредбане). Чем выше тренированность пловца, тем ближе его плавательное МПК (определяемое при плавании) к абсолютному (наземному). У высокотренированных пловцов плавательное МПК в среднем примерно лишь на 6-8% ниже абсолютного, выявленного во время бега в гору на тредбане, и примерно равно МПК при работе на велоэргометре.
У выдающихся пловцов МПК при плавании такое же, как и при беге, или даже немного выше.
Эти данные говорят о высокой специфичности плавательной тренировки, что связано с такими уникальными особенностями плавания, как горизонтальное положение тела в воде (в отличие от обычного вертикального положения при работе в наземных условиях), активация меньшей мышечной массы к преимущественная работа мышц рук и пояса верхних конечностей (в отличие от преобладающей работы мышц ног и туловища при наземных локомоциях).
Следовательно, МПК,. измеряемое в наземных условиях, не может быть полноценно использовано для оценки аэробной работоспособности пловца, а его тренировка, направленная на увеличение максимальной аэробной мощности, должна быть в основном плавательной.
Во время плавания различными способами МПК достигается при неодинаковых скоростях: в брассе - при меньшей скорости, чем в других способах. При одинаковом способе плавания менее тренированные спортсмены достигают своего уровня МПК при более низких скоростях, чем более тренированные пловцы.
Выдающиеся пловцы, особенно стайеры, отличаются высоким МПК - в среднем 5,2 л/мин (4-6 л/мин) при плавании и 5,4 л/мин (4,7-6,4 л/мин) при беге на тредбане, т. е. разница составляет в среднем 5,6%. Соответствующие показатели у женщин - 3,4 л/мин (2,9-3,7 л/мин) и 3,6 л/мин (3,4-4 л/мин).
Относительное беговое МПК (на 1 кг веса тела) у мужчин составляет в среднем 68,6 мл/кг-мин (62,5-76,4), у женщин -55,3 мл/кг-мин (47,8-61,2), что ниже, чем у представителей земных видов спорта, требующих проявления выносливости.
Пловцы обычно весят больше, чем бегуны-стайеры. Поэтому относительное МПК у пловцов меньше, чем у хороших стайеров. Во время плавания вес тела слишком мал и в отличие от наземных локомоций не играет практически никакой роли как фактор нагрузки.
Расход энергии при плавании не пропорционален весу тела, как при беге. Поэтому максимальные аэробные возможности у пловцов лучше оценивать по абсолютному МПК ( л /мин ).
Кислород транспортная система
Большинство физиологических особенностей при плавании обусловлено реакцией организма на пребывание в воде (водную иммерсию), горизонтальное положение тела, давление окружающей среды на тело и преимущественную работу верхними конечностями.

Рис. 81. Общая емкость легких (ОЕЛ), резервный объем вдоха (РОВД), резервный объем выдоха (РОВЫД) и резервный (остаточный) объем (РО) при беге и плавании у 3 испытуемых
л больше остаточного объема.
Для пловцов характерна большая ЖЕЛ: у мужчин-пловцов высокого класса - 5-6,5 л, у женщин - 4-4,5 л, что в среднем на 10-20% больше, чем у людей того же возраста и пола, не занимающихся плаванием. Сила дыхательных мышц и емкость легких у пловцов, определяемые количеством воздуха, выдыхаемого за первую секунду форсированного выдоха, также на 8-15% больше обычных величин.
Давление воды и ее выталкивающая сила обусловливают определенные приспособительные особенности дыхания. Статические размеры легких при погружении тела в воду (без опускания головы) несколько уменьшаются. ЖЕЛ в воде снижается примерно на 8-10%. Частично (около 3%) это связано с увеличением объема крови в грудной клетке (т. е. центрального объема крови) и в некоторой мере (5-7%) с напряжением дыхательной мускулатуры, противодействующей гидростатическому давлению воды.
При плавании ЖЕЛ уменьшается также за счет горизонтального положения тела. Функциональная остаточная емкость становится лишь на 0,5-1,1
В отличие от дыхания в воздушной среде в воде дыхательный объем увеличивается исключительно за счет использования резервного объема вдоха - РОВд (рис. 81). Резервный объем выдоха (РОВыд) уменьшается до 1 л (в условиях воздушной среды до 2,5 л).
Уровень спокойного дыхания смещается в сторону остаточного объема, уменьшая функциональную остаточную емкость. В результате во время дыхания в воде состав альвеолярного воздуха изменяется очень значительно при каждом дыхательном цикле.
Альвеолярная вентиляция при максимальном аэробном плавании (потребление О2 на уровне МПК) выше, чем при максимальной аэробной работе на суше.
Сопротивление току воздуха в дыхательных путях при водной иммерсии в условиях покоя и во время активного плавания возрастает более чем на 50% и требует увеличения активности дыхательных мышц. При плавании кролем дополнительное количество кислорода на каждый литр вдыхаемого воздуха достигает 1,32,8 мл.
Дыхание во время плавания синхронизируется с плавательными (гребковыми) циклами: длительность фазы вдоха уменьшается, а выдох удлиняется и обычно производится под водой (за исключением брасса и плавания на спине), т. е. против большего сопротивления, чем в воздушной среде, - дополнительно примерно на 50-100 мм вод. ст.
Во время плавания с субмаксимальным потреблением О2 легочная вентиляция, дыхательный коэффициент, парциальное напряжение и процент насыщения артериальной крови кислородом связаны с потреблением О2 примерно так же, как и при беге на тредбане или при работе на велоэргометре.
Легочная вентиляция и число гребков в минуту являются линейными функциями скорости плавания, хотя у разных людей имеются довольно значительные вариации в положении и наклоне линий связи между этими переменными. Дыхательный объем в 2-3 л отмечается при частоте гребков 42-73 в минуту. Максимальная легочная вентиляция варьирует от 118 л/мин (ВТР8) у специализирующихся в кроле, брассе и дельфине до 159 л/мин у плавающих на спине.
При плавании на спине частота дыхания доходит до 64 циклов в минуту (примерно два цикла приходится на полный гребковый цикл), а при других способах плавания - до 40.
Вентиляционный эквивалент О2 при максимальном аэробном плавании ниже, чем при аналогичной наземной работе. Причины такой относительной гиповентиляции - особые механические условия: давление воды на грудную клетку, затрудняющее дыхательные экскурсии, зависимость дыхания от ритма плавания (частоты гребковых движений). При одинаковом уровне потребления О2 легочная вентиляция в плавании кролем обычно на 30% меньше, чем в беге или в плавании на спине.
Средние величины легочной вентиляции при максимальном аэробном плавании также ниже, чем при максимальном аэробном беге (на уровне земного МПК). Частота дыхания в плавании ниже, чем в беге.
Несмотря на относительную гиповентиляцию, парциальное напряжение и содержание О2 в артериальной крови при плавании примерно такие же, как и при наземной мышечной деятельности. Хотя альвеолярноартериальный О2-градиент при максимальном аэробном плавании ниже, чем при максимальном аэробном беге, насыщение артериальной крови кислородом составляет около 91 %, т. е. такое же.
Таким образом, легочная вентиляция даже во время максимального аэробного плавания достаточна, чтобы насытить артериальную кровь кислородом до такой же степени, что и во время бега. Следовательно, внешнее дыхание, как и на суше, не ограничивает МПК.
Более низкое МПК при плавании, чем при наземной локомоции, не связано с относительно сниженной вентиляцией.
Сердечно-сосудистая система

Сердечный выброс во время плавания увеличивается почти линейно с ростом потребления О2 (скорости плавания), и при одинаковом субмаксимальном потреблении О2 он примерно такой же, как и при беге или работе на велоэргометре (рис. 82).
Максимальный сердечный выброс у тренированных пловцов во время плавания такой же, как при беге, а у нетренированных пловцов может быть на 25% ниже.
Частота сердечных сокращений во время плавания возрастает линейно с увеличением потребления О2 (скорости плавания); она обычно несколько ниже, чем при беге или работе на велоэргометре с таким же уровнем потребления О2. Это необходимо учитывать, когда ЧСС используется как показатель нагрузки.
Снижение температуры воды уменьшает ЧСС, что компенсируется увеличением систолического объема.
Максимальная ЧСС при плавании также меньше, чем при беге, в среднем на 10-15 уд/мин. У мужчин она составляет в беге около .200 уд/мин, а в плавании - около 185 уд/мин, у женщин соответственно около 200 и 190 уд/мин.
Как и во время работы на суше, во время плавания с одинаковой относительной аэробной нагрузкой (с равным % МПК) ЧСС у тренированных и нетренированных пловцов в среднем одинакова.
Систолический объем растет при переходе от покоя к легкой работе и далее увеличивается с ростом мощности работы (скорости потребления О2). При относительно небольших аэробных нагрузках он достигает определенного уровня, а затем, несмотря на увеличение нагрузки (скорости плавания), вплоть до максимальной, остается неизменным или лишь слегка увеличивается (см. рис.
82).
Горизонтальное положение тела создает благоприятные условия для усиленного венозного возврата и соответственно для большого заполнения сердца во время диастолы. Поэтому при одинаковом субмаксимальном уровне потребления О2 систолический объем во время плавания больше, чем во время работы на велоэргометре, что соответственно ведет к снижению ЧСС во время плавания.
При максимальной аэробной нагрузке в плавании достигается наибольший для данного человека систолический объем. У тренированных пловцов он такой, же, как и при беге, а у нетренированных - ниже,
чем при беге. Как и у представителей других видов спорта, требующих проявления выносливости, систолический объем у пловцов в значительной мере определяется объемом (дилятацией) полостей сердца.
Системная АВР-О2 при субмаксимальном уровне потребления О2 примерно одинакова в плавании и в беге, а при максимальном аэробном плавании несколько меньше по сравнению с максимальным аэробным бегом (соответственно около 15- и 16%).
Содержание О2 в артериальной крови примерно одинаково во время плавания и бега. Максимальная экстракция О2 работающими мышцами из крови также одинакова: минимальное содержание О2 в крови бедренной вены в обоих случаях составляет около 2 об%.
Следовательно, различие в максимальной системной АВР-О2 отражает, по-видимому, особое распределение кровотока при плавании с увеличением кровоснабжения неактивных органов и тканей тела.
Поскольку максимальная АВР-О2 при плавании и беге почти одинакова, сниженное при плавании МПК почти целиком объясняется уменьшенным в воде максимальным сердечным выбросом (из-за снижения максимальной ЧСС). Однако квалифицированные пловцы способны увеличивать свой систолический объем во время плавания, компенсируя сниженную ЧСС и поддерживая. максимальный сердечный выброс.
В значительной мере механизм этого эффекта в усиленном венозном возврате за счет эффективного действия мышечного насоса. У неквалифицированных пловцов этот механизм недостаточно развит.
Среднее артериальное давление при субмаксимальной и максимальной нагрузках в плавании больше, чем в беге, обычно на 10-20%. Это может быть результатом повышенного внешнего (гидростатического.) давления .на тело и увеличения периферического сосудистого сопротивления кровотоку из-за сужения кожных кровеносных сосудов вследствие низкой кожной температуры (26-28). Определенную роль играет также количество участвующей в работе мышечной массы.
Известно, что сокращение небольших групп мышц вызывает более высокий подъем кровяного давления, чем напряжение больших мышечных групп.
При вертикальном положении тела на суше перфузионное давление в сосудах работающих ног повышено за счет гидростатического давления столба крови. Поэтому перфузия крови при беге облегчена по сравнению с горизонтальным положением тела при плавании. Однако повышенное АД во время плавания может вызвать усиление перфузии крови через сосуды работающих мышц, создавая благоприятные условия для снабжения их кислородом .
Локальные (мышечные) факторы
Исключительно важную роль в плавании, как и в других видах спорта, играют функциональные возможности исполнительного мышечного аппарата. Особую роль играют мышцы рук и пояса верхних конечностей, а при брассе - и мышцы ног.
Исследования композиции мышц показали, что у пловцов более высокий процент медленных волокон, чем у неспортсменов (соответственно 74,3 и 46% в дельтовидной мышце и 52,7% и 36,1% в четырехглавой мышце бедра). Аналогичные данные были получены в исследованиях композиции мышц у спортсменок и нетренирован-вых женщин.
У пловцой-спринтеров быстрые волокна составляют 60-65% всех волокон дельтовидной мышцы.
В процессе плавательной тренировки происходит усиление окислительного потенциала быстрых волокон, так что рабочие мышцы почти не имеют быстрых гликолитических волокон (II-В) и содержат практически только быстрые окислительные волокна (II-А) - см. табл. 16.
Наряду с высоким процентом медленных волокон и уровнем их окислительного потенциала преобразование быстрых волокон в быстрые окислительные создает большой аэробный потенциал для рабочих мышц пловца.
К этому следует добавить усиленную капилляризацию рабочих мышц, что наряду с повышением активности ферментов окислительного метаболизма, увеличением количества и размеров митохондрий, содержания миоглобина и другими локальными изменениями ведет к повышению аэробных возможностей этих мышц. Это находит свое отражение в повышении МПК и аэробной работоспособности (выносливости) пловца.
Терморегуляция
Те мпература воды обычно ниже температуры кожи. Вода обладает большой теплоемкостью и теплопроводностью, что в сочетании с конвекцией (движением воды вдоль тела) создает предпосылки для значительных теплопотерь в воде. Если в условиях воздушной среды человек поддерживает тепловой баланс (постоянную температуру тела), несмотря на большие колебания температуры воздуха, то в условиях водной иммерсии для поддержания нормальной температуры тела без его теплоизоляции или усиления теплопродукции необходима температура воды около 33 Самая низкая температура воды, при которой в условиях полного покоя может поддерживаться тепловой баланс (критическая температура воды), варьирует
от 22 (для полных) до 32 (для худых). Быстрая потеря тепла в воде особенно опасна для пловцов-стайеров и ныряльщиков, длительно находящихся в воде.

Средний поток тепла от кожи в воду определяется разностью между средней температурой кожи и температурой воды. В покое температура кожи на 1-2 выше температуры воды, а при активном плавании эта разница менее 1 Тем не менее тепло так быстро отводится от поверхности тела в воду, что теплопотери определяются (лимитируются) главным образом тканевой проводимостью, которая, в свою очередь, зависит от разности между температурой ядра и температурой кожи. При этом передача тепла не зависит от скорости плавания (рис.
83).
При температуре воды лишь на 2 ниже нейтральной (33) быстро происходит сужение периферических (кожных и мышечных) сосудов, что увеличивает тканевую изоляцию: уменьшается проведение тепла от ядра тела к коже, т. е. снижаются потери тепла телом. Очень теплая вода обусловливает вазодилятацию и уменьшение тканевой изоляции (увеличение потери тепла). Тканевая изоляция прямо зависит от толщины подкожного жирового слоя. Изменения температуры ядра тела в воде обратно связаны с толщиной подкожного жирового слоя.
Поэтому уменьшение проведения тепла за счет снижения кожного кровотока особенно важно для худых людей. Например, при температуре воды 26 эзофагальная температура у худых пловцов снижается на 0,2, а у полных даже увеличивается на 0,3-0,9.
После погружения в воду с температурой 10 через 10;-20 мин температура тела (измеренная во рту) падает до 32,5, а при зимнем купании- до 30. И здесь большое значение имеют толщина подкожного жирового слоя и степень тренированности к таким условиям.
Так, при температуре воды 16 нетренированный худой мужчина вынужден покинуть ее через 30 мин, когда его ректальная температура снижается до 34,5. Достаточно полный тренированный мужчина в этих же условиях может плавать более 6 ч без изменения ректальной температуры.
Во время плавания около 95% всей энергопродукции превращается в тепло. Как уже отмечалось, плавание увеличивает тканевое проведение тепла, что вызывает его отдачу телом, особенно в прохладной воде. При этом теплоотдача больше, чем теплопродукция.
Соответственно в прохладной воде (ниже' 25) .тело охлаждается более быстро при активном плавании, чем при неподвижном положении.

Реакция кровообращения на движения в воде отражает конфликтные запросы к метаболизму (снабжение рабочих мышц кислородом), с одной стороны, и к нормальной терморегуляции, с другой. Ни одно из этих требований (особенно в холодной воде) полностью не удовлетворяется.
Большие терморегуляторные нагрузки (охлаждение тела) ведут к снижению кровоснабжения мышц из-за усиления кожного кровотока.
Если в результате охлаждения температура ядра тела падает ниже 37, потребление О2 повышается примерно на 0,5 л/мин при любой субмаксимальной скорости плавания. МПК уменьшается на 6-18% по сравнению с МПК при нормальной температуре тела. Повышенное потребление О2 при субмаксимальной скорости плавания и снижение МПК сильно уменьшают работоспособность (выносливость) пловца в условиях пониженной температуры воды (рис.
84).
При интенсивном и непродолжительном плавании в обычных бассейнах с оптимальной температурой воды тепловой баланс организма пловца практически не нарушается. Более того, создаются условия, при которых у пловца относительно меньшая часть сердечного выброса направляется в кожную сеть (как терморегуляторный механизм), чем у бегуна на длинную дистанцию в жарких условиях.
Глава 9. Физиологические особенности спортивной тренировки женщин
Физиологические реакции на физическую нагрузку, а также и механизмы, определяющие функциональные возможности организма и их изменение под влиянием спортивной тренировки, у женщин и мужчин принципиально не различаются Некоторые количественные различия между ними хорошо иллюстрируются соотношением мировых спортивных рекордов. Рекордные результаты у женщин на беговых дистанциях на 813% ниже, чем у мужчин.
В плавании женские рекорды несколько ближе к мужским, чем в беге (разница 610%).
Зависимость функциональных возможностей организма от размеров тела
При сравнении функциональных показателей у женщин и мужчин следует прежде всего учитывать различия в размерах тела. В среднем женщины ниже ростом, чем мужчины.
Даже только из-за этих различий при всех других одинаковых условиях многие функциональные показатели у женщин, в частности их работоспособность, должны отличаться от соответствующих показателей у мужчин.
Мышечный аппарат и выносливость
Определенное значение имеет ослабление возбуждающих симпатических влияний, уменьшение выделения катехоламинов (адреналина и норадреналина) из коры надпочечников и снижение чувствительности сердца к этим симпатическим медиаторам.
Снижение ЧСС у выносливых спортсменов компенсируется за счет увеличения систолического объема. Чем ниже ЧСС в покое; тем больше систолический объем (см. рис. 42, Б).
Если у нетренированного человека в покое он составляет в среднем около 70 мл, то у высококвалифицированных спортсменов (с ЧСС в покое 40-45 уд/мин) - 100- 120 мл.
Систолический объем увеличивается постепенно в результате продолжительной интенсивной тренировки выносливости и является следствием двух основных изменений в сердце: 1) увеличения объема (дилятации) полостей сердца и 2) повышения сократительной способности миокарда.
Благодаря увеличению объема желудочка растет его конечно-диастолический объем, т. е. максимальное количество крови, которое может вмещать желудочек; повышается функциональная остаточная емкость, т. е. количество крови, остающееся в желудочке после окончания систолы; увеличивается и резервный объем крови в желудочке, т. е. разность между функциональной остаточной емкостью и остаточным объемом крови.

Резервный объем крови служит мерой функционального резерва сердца: чем этот резерв больше, тем больше крови может быть выброшено из сердца при каждом его сокращении во время мышечной работы. Несмотря на то что в условиях покоя систолический объем у спортсменов больше, тем у неспортсменов, он составляет у первых менее 50%, а у вторых около 80% полного (конечнодиастолического) объема левого желудочка (В, Л. Карпман).
Максимальные показатели работы
сердца (рис. 43) регистрируются при выполнении максимальной аэробной нагрузки (на уровне МПК). Большое МПК может быть только у спортсменов с большим максимальным сердечным выбросом, который может быть вдвое больше, чем у неспортсменов (см. табл. 13).
Так, у выдающихся шведских лыжников при беге на тредбане на уровне МПК сердечный выброс в среднем составил 38 л/мин, а у одного из них, с наибольшим МПК в 6,24 л/мин (81,1 мл/кг-мин), - 42,3 л/мин.
Максимальная ЧСС несколько- снижается даже в результате непродолжительной тренировки выносливости, но не очень значительно - на 3-5 уд/мин. У высококвалифицированных спортсменов максимальная ЧСС обычно равняется 185-195 уд/мин, что на 10-15 уд/мин ниже, чем у неспортсменов (см. табл. 13). Это может быть следствием как продолжительной многолетней тренировки, так и конституциональных (врожденных) особенностей.
Не исключено, что к снижению максимальной ЧСС может вести само увеличение объема сердца.
Максимальный сердечный выброс у спортсменов повышается исключительно за счет увеличения систолического объема. В какой степени увеличен систолический объем, в такой же повышается и максимальный сердечный выброс, а следовательно, и МПК.
Увеличение систолического объема - это главный функциональный результат тренировки выносливости для сердечно-сосудистой системы и для всей кислородтранспортной системы в целом.
У нетренированных молодых мужчин максимальный систолический объем не превышает обычно 120-130 мл, тогда как у лучших представителей видов спорта, требующих проявления выносливости, он достигает 190210 мл. Большой систолический объем при. относительно сниженной ЧСС главным образом определяет и увеличенный кислородный пульс, т. е. количество потребляемого кислорода, приходящееся на каждое сокращение сердца.
Увеличенный максимальный систолический объем возможен благодаря прежде всего:
1. большим размерам полостей сердца (желудочков), т. е. увеличенной конечно-диастолической и функциональной остаточной емкости желудочков;
2. увеличенному венозному возврату крови к сердцу, что обеспечивается, в частности, за счет относительно больших общего объема циркулирующей крови и центрального объема крови;
3. повышенной сократимости миокарда, что обеспечивает более полное опорожнение желудочков, т. е. более полное использование резервного объема крови тренированным сердцем.
Следует также отметить, что у нетренированных людей систолический объем нарастает с увеличением рабочей нагрузки чаще всего примерно до 40% МПК. При дальнейшем повышении нагрузки он заметно не меняется и сердечный выброс растет почти исключительно за счет увеличения ЧСС. У тренированных спортсменов систолический объем часто увеличивается вплоть до максимальной аэробной нагрузки. Это означает, что у них рост систолического объема (наряду с повышением ЧСС) является резервом увеличения сердечного выброса при работе большой мощности, вплоть до максимальных аэробных нагрузок.
Кроме того, отсюда следует, что при каждом сокращении сердце спортсмена способно выбрасывать большой объем крови даже при ЧСС 185-190 уд/мин. Это возможно только благодаря повышенной сократимости миокарда. Вероятно, при еще более высокой ЧСС систолический объем должен уменьшаться из-за критического укорочения диастолы (времени наполнения) и (или) систолы (времени сокращения).
Это может объяснить, почему максимальная ЧСС у хорошо тренированных спортсменов редко превышает 190 уд/мин.
При немаксимальных аэробных нагрузках с одинаковым потреблением О2 сердечный выброс у хорошо тренированных спортсменов в среднем такой же, как и у нетренированных людей. Очень небольшое снижение его обнаружили лишь немногие исследователи у спортсменов в состоянии высокой тренированности (спортивной формы).

Частота сердечных сокращений у спортсменов, как и у нетренированных людей, повышается линейно с увеличением нагрузки или скорости потребления О2 (рис. 44). При одинаковой абсолютной нагрузке (одинаковой скорости потребления О2) ЧСС у спортсменов ниже, а, следовательно, систолический объем выше, чем у неспортсменов.
Чем выше тренированность спортсмена и чем выше его аэробные возможности (МПК), тем ниже ЧСС при выполнении любой немаксимальной аэробной нагрузки.
Снижение ЧСС при выполнении любой немаксимальной аэробной работы является наиболее постоянным и наиболее выраженным функциональным изменением в деятельности сердца, связанным с тренировкой выносливо с т и. Сравнительно низкая ЧСС при относительно большом систолическом объеме указывает на эффективную работу сердца. В отличие от брадикардия покоя, которая у тренированного человека является в основном результатом усиления парасимпатического (вагусного) торможения, относительная рабочая брадикардия связана, по-видимому, с уменьшением симпатических возбуждающих влияний на сердце .
Большие различия между нетренированными людьми и спортсменами с разным уровнем аэробных возможностей выявляются лишь тогда, когда сравниваются абсолютные показатели ЧСС (уд/мин) при одинаковых абсолютных нагрузках, т. е. при одинаковой скорости потребления О2, выраженной в л/мин (см. рис. 44, А). Эти различия сильно уменьшаются, когда сравнивается ЧСС при равных относительных аэробных нагрузках (см. рис. 44, Б), т. е. при одинаковой относительной скорости потребления О2, выраженной в процентах от индивидуального кислородного потолка (%МПК).
Этот факт можно понять, если учесть, что интенсивность нейроэндокринных, в частности симпато-адреналовых, влияний во время мышечной работы пропорциональна не абсолютной, а относительной рабочей нагрузке на кислородтранспортную систему, определяемой по %МПК (см. рис. 8).
Разница пульсовой реакции на нагрузку у людей с разным уровнем тренированности практически полностью исчезает, если не только нагрузка, но и ЧСС выражаются в относительных величинах (рис. 44, В).
Иначе говоря, при равных относительных аэробных нагрузках (одинаковом % МПК) относительная рабочая пульсовая реакция (% максимальной ЧСС) в среднем одинакова у людей с разной степенью тренированности (с разным МПК).
Размеры, эффективность работы и метаболизм спортивного сердца. Как уже говорилось, важнейшими механизмами, обеспечивающими увеличение производительности сердца (сердечного выброса), служат увеличение - размеров сердца (дилятация), повышение сократимости миокарда, а также рост эффективности работы сердца.
Все эти механизмы взаимосвязаны.
Большое (спортивное) сердце. У представителей видов спорта, требующих проявления выносливости, общий объем сердца, определяемый по рентгенограммам, в среднем значительно больше, чем у представителей других видов спорта и у неспортсменов (табл.
14).
| Таблица 14. Общий и относительный объемы сердца, рассчитанные по рентгенограммам, у спортсменов разных специализаций и у неспортсменов (средние данные) (В. Л. Карпман, С. В. Хрущёв и Ю. А. Борисова, 1978) |
| Контингент исследуемых |
Общий объем сердца, см3 |
Относительный объем сердца, см3/кг |
| Мужчины-неспортсмены |
760 |
11,2 |
| Лыжники |
1073 |
15,5 |
| Велосипедисты-шоссейники |
1030 |
14,2 |
| Бегуны на длинные дистанции |
1020 |
15,5 |
| Бегуны на средние дистанции |
1020 |
14,9 |
| Пловцы |
1065 |
13,9 |
| Борцы |
953 |
12,2 |
| Конькобежцы |
935 |
12,5 |
| Бегуны на короткие дистанции |
870 |
12,5 |
| Г имнасты |
790 |
12,2 |
| Тяжелоатлеты |
825 |
10,8 |
|
Общий объем сердца у выносливых спортсменов превышает 1000 см3 (максимально до 1700 см3), а у других спортсменов ненамного больше, чем у нетренированных людей, - около 800 см3. Еще большие различия выявляются в относительных объемах сердца, т. е. в отношении общего объема сердца к весу тела. У спортсменов, тренирующих выносливость, относительный объем сердца равен в среднем 15 см3/кг (максимально - до 20 см3/кг), а у нетренированных - около 11 см3/кг. У спортсменов, тренирующих выносливость, между общим и относительным объемами сердца, с одной стороны, и МПК, с другой, выявляется положительная корреляционная связь. В среднем чем выше спортивная квалификация (спортивный результат), тем больше объем сердца у спортсменов одной специализации.
Общий размер сердца зависит от объемов его полостей и от толщины их стенок и поэтому может изменяться как за счет дилятации (увеличения размеров полостей), так и за счет гипертрофии миокарда (утолщения стенок полостей).

Для сердца спортсменов, тренирующих выносливость, характерны большая дилятация желудочков и нормальная или слегка увеличенная толщина их стенок (рис. 45). Делятированные желудочки способны вмещать большое количество крови в период диастолы, что создает предпосылки для увеличенного систолического объема.
Наоборот, у представителей скоростно-силовых видов спорта сердце обычно имеет нормальные или лишь слегка увеличенные размеры полостей желудочков, но заметную гипертрофию стенок. Общий объем сердца у этих спортсменов может превышать таковой у неспортсменов, но способность увеличивать систолический объем у тех и других почти одинаковая.
Таким образом, гипертрофия сердца специфична - тип ее определяется особенностями тренировочной деятельности. Упражнения на выносливость характеризуются многократными, но относительно небольшими по силе сокращениями большого числа скелетных мышц и требуют поддержания большого объема сердечного выброса. В ответ на действие таких тренировочных стимулов, которые можно назвать объемным стрессором, возникает дилятация полостей сердца большим количеством крови, заполняющим их и вызывающим повышение конечнодиастолического давления. Поэтому данный тип гипертрофии называют тоногенной дилятацией (тонос - давление). При выполнении скоростно-силовых упражнений необходимо сильное кратковременное повышение АД (стрессор напряжения). В ответ на этот стимул развивается гипертрофия сердца с утолщением
стенок желудочков.
В основе гипертрофии миокарда лежит усиление синтеза белка в миокардиальных волокнах. Причем при тренировке выносливости в сердце усиливается- синтез не только контрактильных белков (актина, миозина и др.), но и белков, связанных с его окислительным метаболизмом, в частности митохондриальных белков и ферментов. Параллельно увеличивается и число капилляров, что улучшает условия кровоснабжения и аэробного метаболизма сердечной мышцы.
Эффективность работы дилятированного сердца. Дилятация сердца дает ему ряд энергетических преимуществ. Дилятированное сердце спортсмена позволяет в большей степени: повышать сердечный выброс за счет увеличения систолического объема при относительно низкой ЧСС. Это снижает энергозатраты сердца и повышает его механическую эффективность но сравнению с нетренированным сердцем, обеспечивающим такой же сердечный выброс за счет более высокой ЧСС. Кроме того, удлиненные миокардиальные волокна дилятированного сердца развивают большее напряжение при меньшем укорочении, чем волокна сердца обычных размеров (механизм Франка-Старлинга). В результате спортсмены с большим объемом полостей сердца способны поддерживать большой систолический объем даже при высокой ЧСС.
Метаболизм сердца протекает, как известно, почти исключительно по аэробному пути. Поэтому работа сердца целиком зависит от постоянного и достаточного снабжения кислородом и энергетическими веществами (глюкозой, жирными кислотами и лактатом). Наиболее важные особенности метаболизма тренированного сердца у выносливых спортсменов состоят в следующем.

и
МПК.л/мин
Рис. 46. Содержание О2 в артериальной и смешанной венозной крови в связи с потреблением О2 при максимальной аэробной работе у
высококвалифицированных спортсменов (черные кружки), спортсменов-разрядников (светлые кружки) и нетренированных мужчин (треугольники)
1. Благодаря увеличенной капилляризации и повышенному содержанию митохондрий и митохондриальных окислительных ферментов максимальная скорость доставки и утилизации О2 тренированным сердцем больше, чем нетренированным.
2. При одинаковой субмаксимальной аэробной работе кровоснабжение и потребление О2 тренированным сердцем меньше, чем нетренированным. Более высокое парциальное напряжение О2 в венозной крови, оттекающей от тренированного сердца, указывает на благоприятные условия для снабжения кислородом всех миокардиальных клеток.
3. Тренированное сердце обладает повышенной способностью к экстракции из крови и утилизации лактата. При одинаковой концентрации лактата в артериальной крови сердце выносливого спортсмена экстрагирует больше лактата, чем нетренированное сердце. Если при максимальной аэробной работе доля лактата среди всех окисляемых энергетических веществ у нетренированного человека может достигать примерно 60%, то у очень выносливого спортсмена - более 80%. Иначе говоря, подавляющая часть окислительного метаболизма тренированного сердца покрывается за .счет использования лактата.
Распределение сердечного выброса, мышечный кровоток и АВР-

Высокий уровень аэробных возможностей у тренированных спортсменов зависит не только от большого сердечного выброса, но и от способности более эффективно использовать его. Эта способность может быть оценена величиной системной АВР-О2, т. е. разностью между содержанием О2 в артериальной крови и в смешанной венозной крови, протекающей через правое сердце. Чем больше системная АВР-О2, тем более эффективно организм использует сердечный выброс, тем экономнее работает его кис-лородтранспортная система. Содержание О2 в артериальной крови у тренированных спортсменов ни в условиях покоя, ни при аэробных нагрузках любой мощности не отличается от содержания его у неспортсменов (рис. 46). Поэтому увеличение системной АВР-О2 в результате тренировки выносливости может происходить исключительно за счет снижения содержания О2 в смешанной венозной крови, т. е. за счет более полного использования О2, транспортируемого кровью.
У умеренно тренированных и нетренированных мужчин содержание О2 в смешанной венозной крови уменьшается примерно одинаково по мере увеличения мощности выполняемой нагрузки (рис. 47). При максимальной аэробной работе оно в среднем равно около 55 мл О2 на каждый литр смешанной венозной крови. Системная АВР-О2 в этих условиях составляет примерно 140 мл О2/л. У очень выносливых спортсменов при одинаковой с нетренированными людьми работе (равном потреблении О2) содержание кислорода в смешанной венозной крови ниже. Минимальное
содержание О2 в смешанной венозной крови у таких спортсменов составляет в среднем около 25 мл О2/л. Поэтому максимальная система АВР-О2 у них выше, чем у нетренированных, - в среднем 150 - 155 мл О2/л (см. табл. 13).
Следовательно, спортсмены, тренирующие выносливость, более эффективно реализуют свои кислородтранспортные возможности, так как извлекают из каждой единицы объема крови, прокачиваемого сердцем, больше О2, чем нетренированные люди.

Рис. 48. Мышечный кровоток и потребление О2 мышцами (мл/мин/100 г мышцы) в покое и при максимальной аэробной работе: без штриховки - у неспортсменов, со штриховкой - у спортсменов
В процессе тренировки совершенствуется перераспределение кровотока между активными и неактивными органами, так что максимальная доля сердечного выброса, которая может быть направлена к работающим мышцам, у спортсменов больше, чем у нетренированных людей.
В результате тренировки выносливости увеличивается число капилляров в тренируемых мышцах. Обильная капилляризация тренируемых мышц - один из важнейших механизмов повышения их работоспособности (см. ниже). Благодаря увеличению объема капиллярной сети максимально возможный мышечный кровоток у спортсменов выше, чем у неспортсменов (рис.
48). У спортсменов, тренирующих выносливость, повышена и общая скорость диффузии различных веществ, в том числе и О2, через капиллярные стенки, соответственно и максимальное количество О2, которое могут получать тренированные мышцы, больше того, которое могут получать нетренированные мышцы.

Тренированные мышцы обладают повышенной способностью экстрагировать (и утилизировать) кислород из крови. Максимальная скорость потребления О2 на единицу объема у тренированных мышц примерно в 1,5 раза выше, чем у нетренированных. Это означает, что тренированным мышцам требуется меньше крови, чем нетренированным, чтобы получить такое же количество О2.
Поэтому при выполнении одинаковой работы кровоток через работающие мышцы после тренировки ниже, чем до тренировки (рис. 49).
При одинаковой субмаксимальной работе кровоток на 1 кг работающей мышечной массы у спортсменов ниже, чем у нетренированных людей.
При выполнении одинаковой субмаксимальной аэробной работы (с равным потреблением О2) сердечный выброс у спортсменов и неспортсменов примерно одинаков. Следовательно, доля сердечного выброса (абсолютная в л/мин и относительная в %), направляемая к работающим мышцам, у спортсменов ниже. Таким образом, у них больше крови может быть направлено во время работы к другим органам и тканям тела, в частности в чревную область и в дожную сеть.
Поэтому во время выполнения спортивных упражнений важнейшие внутренние органы у спортсменов находятся в более благоприятных условиях кровоснабжения, чем у нетренированных людей.

Рис. 50. Температура ядра тела во время выполнения работ разной аэробной мощности: 1 - у нетренированных, 2- у тренированных мужчин
Возможность направить более значительную часть сердечного, выброса в систему кожной циркуляции означает, что у спортсменов лучше условия для усиления теплоотдачи и тем самым для предотвращения нежелательного повышения температуры тела. Это одна из главных причин, почему температура тела у тренированного человека ниже, чем у нетренированного, при выполнении одинаковой работы (рис.
50).
Иначе обстоит дело при максимальной аэробной работе.
Прежде всего, такие нагрузки по мощности и предельной продолжительности значительно выше у спортсменов, чем у неспортсменов, и недоступны последним. Возможность их выполнения спортсменами определяется, в частности, высокой способностью кислородтранспортной системы доставлять к работающим мышцам большое количество О2 в единицу времени, что обеспечивается большим сердечным выбросом и
увеличенной долей его (%), направляемой к работающим мышцам. При максимальной аэробной нагрузке работающие мышцы спортсменов получают значительно большее количество крови в единицу времени и, кроме того, экстрагируют из него больше О2, чем нетренированные мышцы у неспортсменов. Хотя в этих условиях очень большая доля сердечного выброса направляется к работающим мышцам (до 85-90%),
условия кровоснабжения жизненно важных (неактивных) органов и тканей тела у спортсменов лучше, чем у нетренированных людей.
Следует отметить также, что при выполнении максимальной аэробной работы У спортсменов значительно снижается рН и повышается температура венозной крови, протекающей через работающие мышцы. В результате происходит сдвиг кривой диссоциации оксигемоглобина вправо (эффект Бора), что облегчает освобождение гемоглобина от О2 в крови тканевых капилляров и его диффузию в мышечные клетки.
Кроме того, сдвиг кривой диссоциации выполняет и важную защитную функцию: несмотря на усиленную экстракцию Ог тренированными мышцами и сильное снижение процента насыщения гемоглобина кислородом, парциальное напряжение О2 в мышечной венозной крови у спортсменов в среднем не отличается от такового у нетренированных людей и не падает ниже 10-20 мм рт. ст. Это обеспечивает поддержание достаточного градиента напряжения О2, так что даже мышечные клетки, расположенные вблизи венозного Конца капилляра, продолжают получать достаточное количество О2 из крови.
Таким образом, главные эффекты тренировки выносливости в отношении сердечно-сосудистой системы состоят в:
- повышении производительности сердца, т. е. увеличении максимального сердечного выброса (за счет систолического объема);
- увеличении систолического объема;
- снижении ЧСС (брадикардии) как в условиях покоя, так и при стандартной работе;
- повышении эффективности (экономичности) работы сердца;
- более совершенном перераспределении кровотока между активными и неактивными органами и тканями тела;
- усилении, капилляризации тренируемых мышц и других активных органов и тканей тела (в частности, сердца).

Мышечный аппарат и выносливость
Выносливость спортсмена в значительной мере зависит! от физиологических особенностей его мышечного аппарата, которые, в свою очередь, определяются специфическими структурными и биохимическими свойствами мышечных волокон.
Композиция мышц. Как известно, мышечные волокна человека относятся к двум основным типам: медленным (I) и быстрым (II). Внутри быстрых волокон выделяют два вида: быстрые окислительно-гликолитические (II-А) и быстрые гликолитические (II-В).
Медленные волокна лучше, чем быстрые, приспособлены к длительным, относительно несильным повторным сокращениям с преимущественно аэробным типом энергопродукции, характерным для выполнения упражнений на выносливость.
Отличительной особенностью композиции мышц у выдающихся представителей видов спорта, требующих проявления выносливости, является относительно высокий процент медленных волокон, составляющих их мышцы (рис. 51).
При этом между процентом-медленных волокон и МПК существует прямая связь. Вместе с тем при одинаковом проценте медленных волокон МПК у спортсменов выше, чем у неспортсменов.
В табл. 15 приведены данные о процентном соотношении и размерах медленных и быстрых волокон, а также об активности- некоторых основных ферментов четырехглавой мышцы бедра (наружной головки) у бегунов на длинные и средние дистанции по сравнению с нетренированными мужчинами того же возраста и сходной конституции тела.
Как следует из этих данных, у стайеров медленные волокна составляют около 80% всех волокон исследованной мышцы, что в среднем примерно в 1,5 раза больше, чем у нетренированных людей.
Потери воды и солей в процессе тренировки в жарких условиях
Если соревнования проходят в нейтральных или холодных условиях (лыжные гонки), когда нет опасности перегрева и дегидратации, питьевой режим должен быть иным. Объем и частота приема жидкости могут быть существенно уменьшены, а содержание в ней углеводов увеличено (до 25%), В этом случае даже медленное перемещение раствора из желудка в кишечник будет обеспечивать кровь углеводами.
Немедленное восполнение потерь электролитов во время работы с обильным потоотделением не играет такой роли, как восполнение потерь воды, так как с потом организм теряет относительно больше воды, чем солей. Кроме того, у тренированных (и акклиматизированных к жаре) спортсменов содержание солей в поте снижено по сравнению с нетренированными.
Поэтому потери солей на соревновании у спортсменов даже в жарких условиях относительно невелики. Более того, потоотделение вызывает повышение концентрации солей (прежде всего хлористого натрия) в крови и других жидкостях тела. В связи с этим прием дополнительного большого количества соли во время мышечной работы может быть даже вредным для организма. Обильное питье даже с очень небольшим содержанием солей во время соревнования достаточно восполняет их потери.
Только при повторных нагрузках с обильным потоотделением (несколько дней подряд) показан прием дополнительного количества солей, но не во время мышечной работы.
Воемя после приема жидкости,мин Рис. 67. Влияние концентрации глюкозы и осмолярности на скорость эвакуации 400 мл раствора жидкости из желудка: 1) 15% = 902 мОсм/л; 2) 10%=732 мОсм/л; 3) 5%=337 мОсм/л; 4) 2,5%=209 мОсм/л
Потери воды и солей в процессе тренировки в жарких условиях
Во время каждодневных тренировок, особенно в жарких условиях, спортсмен теряет с потом большое количество воды, с которой Уходят из тела и соли. Так, за день интенсивной тренировки в жаркую погоду марафонцы теряют до 9 л воды. Без восполнения этих потерь возможны серьезные нарушения водного и особенно солевого баланса и снижение работоспособности. Следовательно, в дни тренировок в жарких условиях спортсмен должен потреблять большое количество жидкости - как во время занятий, так и особенно до и после них, восполняя прежде всего потери воды (табл.
19). В жарких условиях, особенно у неакклиматизированного человека, субъективное ощущение жажды слабее, чем диктуется степенью дегидратации тела. Поэтому объем выпитой жидкости в первые дни тренировок должен быть больше определяемого чувством жажды.
В качестве контроля за потребностями организма в воде может служить определение потерь воды путем взвешивания спортсмена до и после тренировок.
| Таблица 19 Объемы суточных потерь воды и солей в результате потоотделения и их замещение у акклиматизированных и неакклиматизированных спортсменов |
| Вода |
Соли |
| Потери, л |
Возмещение, л |
Потери, г |
Возмещение, г/л выпитой воды |
| 1 |
1 |
1,5 |
|
|
| 2 |
2 |
3,0 |
Обычный пищевой рацион |
| 3 |
3 |
4,5 |
|
|
| |
|
|
Неакклимат.: |
Акклимат.: |
| 4 |
4 |
6,0 |
0,9 |
0,5 |
| 5 |
5 |
7,5 |
1,8 |
1,4 |
| 6 |
6 |
9,0 |
2,7 |
2,3 |
|
Даже некоторое избыточное потребление жидкости не влияет отрицательно на работоспособность спортсменов, так как лишняя вода легко выводится почками. Вместе с тем необходимо иметь в виду, что избыточное потребление воды может вести к снижению осмолярности крови и других жидкостей тела, а оно, в свою очередь, к некоторым нежелательным явлениям, вплоть до развития судорог. Поэтому пить воду в промежутках между тренировками надо в небольших объемах, но достаточно часто.
Хотя в процессе работы включаются механизмы, направленные на задержку электролитов (натрия, хлора и калия) в теле, все же в результате ежедневных и длительных тренировок в жарких условиях возможны значительные потери солей. Если потери пота за сутки составляют в среднем 3 л, то восполнение потерь солей полностью обеспечивается обычным пищевым рационом (см. табл. 19). При этом некоторое дополнительное количество солей спортсмен получает с компенсирующей жидкостью (например, минеральной водой), которая может содержать лишь очень немного основных минеральных веществ (около 200 мг натрия и 200 мг калия на 1 л раствора) или вообще не содержать их. Только при более значительных суточных потерях пота возникает потребность в специальном приеме солей из расчета; 4 л пота - 3-4 г солей в сутки, 5 л пота - около 10 г солей, 6 л пота - около 15 г солей. При этом солевые таблетки должны применяться обязательно (!) с адекватным количеством замещающей жидкости (см. табл. 19).
После многодневной интенсивной тренировки в жарких условиях может наблюдаться дефицит ионов калия в теле. Возможные последствия такого дефицита - снижение работоспособности скелетных мышц и сердца, уменьшение продукции пота, увеличение потерь воды и натрия с мочой, а также нарушение ресинтеза гликогена в мышцах после физической нагрузки. Поэтому пищевой рацион во время интенсивных тренировок в жарких условиях должен содержать достаточное количество калия (до 80 мэкв в сутки). Вместе с тем прием содержащих калий препаратов, которые легко растворимы и быстро абсорбируются в желудке, опасен, так как может усиливать гиперкалемию, которая особенно токсична для сердца.
Спортивная деятельность в условиях пониженной температуры воздуха (холода)
При снижении температуры внешней среды увеличивается разность между нею и температурой поверхности тела. Это приводит к усилению потери тепла телом (за счет теплоотдачи проведением с конвекцией и радиацией).
Основные механизмы защиты тела от теплопотерь в холодных условиях - сужение периферических (кожных) сосудов и усиление теплопродукции в теле.
Физиологические механизмы приспособления к колоду
В результате сужения кожных сосудов (кожной вазоконстрикции) уменьшается конвекционный (с кровью) перенос тепла от ядра тела к его поверхности. Так как сами по себе кожа и особенно подкожножировой слой
плохо проводят тепло, вазоконстрикция может усиливать теплоизолирующую способность оболочки тела в 6 раз. Иначе говоря, в холодных условиях возрастает толщина теплоизолирующей температурной оболочки тела и соответственно уменьшается размер температурного ядра тела.
Уменьшение переноса тепла от ядра тела к поверхности предотвращает падение температуры ядра тела, но приводит к постепенному' снижению кожной температуры. Последнее, в свою очередь, ведет к уменьшению разницы температур между поверхностью тела и окружающей средой, что уменьшает отдачу тепла телом.
Наиболее значительная кожная вазоконстрикция происходит в конечностях, особенно в пальцах рук и ног. Так, кровоток через пальцы рук может уменьшаться в 100 и более раз (со 120 до 0,2 мл/мин/100 г ткани). Поэтому температура тканей дистальных отделов конечностей может снижаться до температуры окружающей среды. Этим объясняется тот факт, что прежде всего пальцы рук и ног, а также ушные раковины являются частями тела, наиболее .уязвимыми для отморожения.
Кровеносные сосуды головы значительно меньше подвержены сужению на холоде. Поэтому большое количество тепла (до 25% общей теплопродукции покоя) радиирует в окружающую среду от непокрытой головы.
Помимо кожной вазоконстрикции важную роль в уменьшении внутренней проводимости тепла в теле, а следовательно, в сохранении тепла играет то обстоятельство, что в холодных условиях кровь течет в основном по глубоким, а не поверхностным венам. Поскольку глубокие вены лежат рядом с артериями, между ними происходит теплообмен: возвращающаяся к ядру тела венозная кровь нагревается за счет артериальной крови.
Таким образом предотвращается охлаждение ядра тела. Наоборот, текущая от сердца артериальная кровь, попадая в артерии конечностей, постепенно охлаждается и, достигая дистальных кожных участков, уже имеет более низкую температуру.
Например, при внешней температуре 9 кровь в сосудах кистей рук может снижаться до 21, что уменьшает теплопотери в окружающую среду.
Другим важным механизмом адаптации к условиям холода является усиление теплопродукции за счет возникновения холодовой дрожи, т. е. непроизвольных мышечных сокращений. В условиях покоя у обнаженного человека при снижении внешней температуры с комфортного уровня (29) до 22 не происходит роста метаболизма, а тепло тела консервируется за счет усиления кожной вазоконстрикции.
Когда внешняя температура становится ниже 22, усиливается метаболизм за счет холодовой дрожи.
При возникновении холодовой дрожи в нее постепенно вовлекаются все новые и новые мышечные группы -начиная с мышц шеи, живота, грудных мышц и кончая мышцами конечностей. Характер и степень холодовой дрожи неодинаковы у разных людей. Холодовая дрожь носит перемежающий характер - она то появляется, то исчезает вне связи с изменениями температуры ядра и поверхности тела.
Только при крайне низкой температуре у обнаженного человека дрожь длится непрерывно. Чем интенсивнее холодовая дрожь, тем выше мышечная теплопродукция.
С понижением внешней температуры, а также пропорционально скорости движения воздуха (ветра) вклад холодовой дрожи в защиту тела от теплопотерь повышается.
У пожилых и старых людей холодовая дрожь выражена слабее, чем у молодых, теплопродукция ,в холодных условиях повышается мало и температура тела снижается больше. Вообще пожилые люди мало или вовсе нечувствительны к локальным Холодовым воздействиям.
Теплопродукция может повышаться и за счет усиления метаболических процессов, не связанных с холодовой дрожью (неметаболический термогенез).
В холодных условиях потребление О2 в покое повышается. Величина этого повышения зависит от окружающей температуры, относительного содержания жира (толщины подкожножирового слоя), характера одежды, а также от длительности пребывания на холоде. Скорость потребления О2 повышается параллельно с увеличением сердечного выброса (без заметного изменения системной АВР-О2).
Так, при температуре воздуха 5 скорость потребления О2 и сердечный выброс у обнаженного человека увеличиваются вдвое. Однако при холодовой экспозиции ЧСС остается неизменной, следовательно, сердечный выброс возрастает только за счет увеличения систолического объема.
В этом отношении реакция сердца на холод отличается от таковой в условиях мышечной деятельности. В последнем случае увеличение сердечного выброса обеспечивается главным образом за счет повышения ЧСС, вплоть до скорости потребления О2 1 л/мин. В холодных условиях усиливается выброс катехоламинов в кровь, что и вызывает, вероятно, повышение систолического объема.
Однако в этих условиях заметно уменьшается объем циркулирующей плазмы, что может вести к некоторому снижению систолического объема. Сужение кожных кровеносных сосудов (повышение сосудистого периферического сопротивления) и увеличение сердечного выброса вызывают повышение АД.
В результате усиливается активность сосудистых барорецепторов, а это ведет к таким рефлекторным влияниям на сердце, что ЧСС остается неизменной, несмотря на усиление потребления О2.
Физическая работоспособность в холодных условиях
Во время мышечной работы в холодных условиях теплоизоляция тела существенно снижается и усиливаются потери тепла (проведением с конвекцией). Это означает, что для поддержания теплового баланса необходимо большее теплообразование, чем в условиях покоя.
По мере снижения внешней температуры, т. е. увеличения температурного градиента между телом и окружающей средой, теплопродукция во время мышечной работы должна возрастать, Если мышечная деятельность недостаточно интенсивна, чтобы обеспечить дополнительное теплообразование, температура тела падает ниже нормальной (гипотермия).
При нагрузках небольшой мощности (с потреблением О2 до 1,2-1,4 л/мин) скорость потребления О2-в условиях пониженной температуры воздуха выше, чем в комфортных температурных условиях. При более высоких нагрузках (потребление О2 выше 1,4 л/мин) скорость потребления О2 не зависит от внешней температуры.
При одинаковой скорости потребления О2 работа в холодных условиях вызывает некоторое понижение ЧСС и повышение систолического объема по сравнению с такой же работой в термонейтральных условиях.
Повышенные энергетические расходы (более высокая скорость потребления О2) при работе относительно небольшой мощности в холодных условиях связаны с холодовой дрожью, которая исчезает с увеличением нагрузок до значительных. При легких нагрузках ректальная температура снижается, а при тяжелых остается практически на таком же уровне, что и в комфортных условиях.
Таким образом, начиная некоторой мощности физической нагрузки (скорость потребления О2 около 2 л/мин), когда достигается критический уровень теплопродукции, который соответствует теплопотерям, исчезает холодовая дрожь и стабилизируется регуляция рабочей температуры тела.
При нормальной или повышенной (в результате мышечной деятельности) температуре тела МПК и максимальная ЧСС остаются практически неизменными в холодных условиях, однако легочная вентиляция несколько усиливается, а предельное время бега на уровне МПК снижается. Гипотермия, ведет к снижению МПК: при температуре ядра тела ниже 37,5 оно уменьшается на 5-6% с каждым градусом падения температуры тела. В основе такого снижения МЙК лежит уменьшение сердечного выброса из-за падения максимальной ЧСС.
В условиях гипотермии выносливость человека снижается: уменьшается предельное время выполнения работы постоянной аэробной мощности, хотя субъективная оценка тяжести нагрузки не зависит от температуры тела.
Максимальная динамическая сила в известных пределах прямо связана с мышечной температурой. Поэтому в упражнениях, требующих проявления большой динамической силы (спринт, прыжки), результаты снижаются в холодных условиях среды, вызывающих падение мышечной температуры.
Тренировочные занятия и соревнования в ряде видов спорта (конькобежном, лыжном и др.) часто проходят в холодную погоду. Однако за исключением сильных морозов и ветра холодные условия не представляют обычно серьезной проблемы для регуляции температуры тела и работоспособности спортсмена, прежде всего благодаря интенсивной мышечной деятельности, при которой в теле спортсмена образуется очень большое количество метаболического тепла.
За счет этого тепла возможно значительное нагревание тела и поддержание его повышенной рабочей температуры даже в холодных условиях. Так, если непроизвольная холодовая дрожь может увеличить основной обмен максимально в 2-5 раз, то напряженная мышечная деятельность - в 20-30 раз.
Отдача тепла в атмосферу в холодных условиях легко происходит за счет проведения с конвекцией и радиации, а при потоотделении - за счет испарения пота. Более того, в условиях пониженной (но не морозной) температуры окружающей среды облегченные условия для теплоотдачи создают предпосылки для большей работоспособности в упражнениях на выносливость, чем при работе в жарких условиях.
Например, у спортсмена после марафонского бега, проходившего при температуре воздуха около 12, ректальная температура была даже ниже, чем до бега (соответственно 37 и 37,3).
Определенные проблемы возникают лишь в начале пребывания на холоде или когда в этих условиях выполняется повторная работа с чередованием периодов высокой мышечной активности и отдыха. В этих случаях важное значение имеет спортивная одежда, предотвращающая охлаждение тела из-за быстрых теплопотерь.
Лишь в исключительно холодных условиях количество теряемого тепла может превышать продуцируемое при мышечной деятельности с развитием состояния гипотермии.
Акклиматизация к холоду
Длительное проживание в холодных условиях в некоторой степени повышает способность человека противостоять, холоду, т. е. поддерживать необходимую температуру ядра тела при пониженной температуре среды (холодовая акклиматизация). В основе холодовой акклиматизации лежат два основных механизма: 1) снижение потерь тепла и 2) усиление основного объема.
У акклиматизированных к холоду людей уменьшается кожная вазоконстрикция, так что у них температура конечностей более высокая, чем у неакклиматизированных. Этот механизм играет защитную роль: предотвращает холодовые повреждения (отморожения) периферических частей тела и позволяет
осуществлять координированные движения конечностями в условиях низких температур. У людей, систематически погружающих конечности в холодную воду (локальная холодовая акклиматизация), во время такой .экспозиции не столь значительно уменьшается локальное кровообращение.
Это явление также следует рассматривать как защитное приспособление. У акклиматизированных таким образом людей конечности охлаждаются меньше.
В процессе холодовой акклиматизации растет теплопродукция тела: увеличивается основной обмен, повышается мышечный тонус, усиливается холодовая дрожь; происходят эндокринные и внутриклеточные метаболические перестройки. Вместе с тем многие исследователи не обнаружили акклиматизации человека к холоду, в особенности в отношении мышечной деятельности в холодных условиях.
Однако физически подгбтовленные (тренированные) люди лучше переносят холодные условия, чем нетренированные. Физическая тренировка вызывает эффекты, сходные в некоторых отношениях с холодовой акклиматизацией: тренированные люди отвечают на холодовую экспозицию- большим усилением теплопродукции и меньшим снижением кожной температуры, чем нетренированные люди.
Глава 7. Спортивная работоспособность в условиях пониженного атмосферного давления (среднегорья и при смене поясно-климатических
условий
Атмосферный воздух имеет значительный вес, который определяет барометрическое давление. Он сжимается под собственным весом, поэтому его давление и плотность наибольшие на поверхности земли (на уровне моря) и уменьшаются с высотой (табл. 20). Снижение барометрического давления с высотой создает г и п о-барические условия.
По мере подъема на высоту пропорционально падению барометрического давления снижается парциальное давление газов, составляющих атмосферный воздух. Главное значение для человека имеет снижение парциального давления кислорода и связанное с этим уменьшение числа его молекул во вдыхаемом объеме воздуха, т. е. гипоксические условия.
На высоте человек попадает в условия нарастающей гипобарической гипоксии. Такие же условия могут быть созданы в герметической барокамере путем понижения давления в ней.
Иногда их моделируют путем дыхания газовой смесью с пониженным содержанием О2 при нормальном общем барометрическом давлении смеси.
| Таблица 20. Барометрическое давление, парциальное давление О2 в атмосферном и альвеолярном воздухе на разных высотах |
| |
Барометрическое
давление |
Парциальное давление О2 в атм. воздухе, |
Парциальное давление О2 в альвеолярном воздухе в |
| |
мм рт. ст. |
АТМ |
мм рт. ст |
условиях покоя, мм- рт. ст |
| 0 |
760 |
1,0 |
149 |
105 |
| 1000 |
680 |
0,9 |
142 |
94 |
| 2000 |
600 |
0,8 |
125 |
78 |
| 3100 |
530 |
0,7 |
111 |
62 |
| 4300 |
450 |
0,6 |
94 |
51 |
| 5600 |
380 |
0,5 |
75 |
42 |
| 7000 |
305 |
0,4 |
64 |
31- |
| 9000 |
230 |
0,3 |
48 |
19 |
|
С увеличением высоты дефицит кислорода в атмосферном воздухе вызывает снижение парциального давления кислорода в альвеолярном воздухе, уменьшение содержания его в артериальной крови и как следствие ухудшение снабжения тканей кислородом. Поэтому пребывание в горах требует специальных физиологических приспособлений для поддержания адекватного снабжения организма кислородом.
Другой эффект сниженной плотности атмосферы на высоте -уменьшение внешнего сопротивления воздуха движущемуся телу. Поэтому при перемещении с одинаковой скоростью внешняя работа на высоте меньше, чем на равнине. Особенно это проявляется в спортивных упражнениях с высокой скоростью перемещения. В спринтерском беге, в скоростном беге на коньках, на спринтерских дистанциях в велосипедном спорте на высоте могут быть достигнуты более высокие результаты, чем на равнине.

Температура воздуха тем ниже, чем больше высота. Если средняя температура на уровне моря равна 15, то по мере подъема она может уменьшаться на 6,5 через каждые 1.000 м, вплоть до высоты около 11 000 м.
На высоте снижается также относительная влажность
воздуха;. Поскольку в горах воздух более сухой, потери воды с выдыхаемым воздухом в этих условиях больше, чем на уровне моря. Если на большой высоте выполняется длительная работа, то большие потери воды могут привести к дегидратации, и ощущению сухости во рту.
Солнечная и ультрафиолетовая радиация в горах более интенсивна, чем на равнине, что может обусловить дополнительные трудности (вызвать ожоги, ослепление снегом).
Сила гравитации уменьшается по мере увеличения высоты. Поэтому условия среднегорья могут благоприятствовать высоким достижениям в таких спортивных упражнениях, как прыжки и метания .
Во всех видах спорта, за исключением альпинизма, тренировки и соревнования проводятся на высоте до 2500-3000 м. Поэтому для спортивной практики наиболее важно знать, каково физиологическое влияние на организм высоты среднегорья - от 1500 до 3000 м.
Острые физиологические эффекты пониженного атмосферного давления
Сразу по прибытии на высоту или в ответ на подъем в барокамере возникает ряд физиологических изменений в организме, вызванных условиями гипобарической гипоксии.
Функция дыхания
В условиях покоя или при выполнении субмаксимальных нагрузок потребность организма в кислороде остается на высоте такой же, что и на равнине. Поэтому, чтобы адекватно обеспечить организм кислородом, уменьшение количества молекул О2 в единице объема разреженного воздуха на высоте должно быть компенсировано соответствующим увеличением легочной вентиляции.
Это основной функциональный механизм быстрого приспособления организма к гипоксическим условиям высоты.
На высоте до 3000-3500 м легочная вентиляция в покое усиливается вначале крайне незначительно.
Поэтому сразу часто наблюдается особенно большое снижение парциального давления О2 в альвеолярном воздухе. При выполнении мышечной работы на высоте легочная вентиляция с самого начала существенно больше, чем на равнине. У одного и того же человека при одинаковой абсолютной нагрузке (равном потреблении О2) легочная вентиляция тем сильнее, чем больше высота (рис.
68).
С одной стороны, сниженная плотность воздуха на большой высоте облегчает внешнее дыхание, с другой -при низком барометрическом давлении способность дыхательных мышц повышать внутригрудное давление уменьшается. В целом, однако, максимальные возможности дыхательного аппарата на высоте больше, чем на
уровне моря. Во время максимальной работы на большой высоте легочная вентиляция может достигать 200 л/мин (табл.
21).
Снижение барометрического давления ведет к уменьшению парциального напряжения О2 во всех звеньях кислородтранспортной системы организма (рис. 69), хотя усиленная легочная вентиляция и другие физиологические механизмы препятствуют снижению содержания О2 в крови и других тканях тела.
Роль афферентации (обратных связей)
Двигательная деятельность человека характеризуется большой вариативностью. Значительная часть моторных актов новой структуры благодаря высокой пластичности ЦНС осуществляется путем экстраполяции.
Она обеспечивает так называемый перенос навыков и возможность с места осуществлять новые движения.
Экстраполяцией является способность нервной системы на основании имеющегося опыта адекватно решать вновь возникающие двигательные задачи. Увеличение запаса освоенных движений содействует значительному повышению возможностей человека без специального обучения правильно решать новые двигательные задачи, близкие к ранее решённым.
Формы экстраполяции весьма разнообразны. Они имеют отношение к самым разным сторонам двигательной деятельности, в том числе к связанным с правильной оценкой создавшейся ситуации и определением тактики действий, программированием характера и формы предстоящих движений и пр.
Экстраполяция широко осуществляется при выполнении не только совершенно новых, но и привычных двигательных актов. Например, человек при ходьбе использует огромное количество различных вариантов комбинаций деятельности мышц, необходимых каждый раз для адекватного приспособления к конкретным условиям. Любой наклон тела или поворот головы, изменение высоты или длины шага, увеличение или снижение веса переносимого груза всегда сопровождаются изменениями программы выполнения двигательного акта.
Естественно, что практически невозможно обучить человека неограниченному числу встречающихся в жизни вариантов движения, например, ходьбы. Но при овладении даже ограниченным
числом вариантов этого двигательного акта ЦНС оказывается способной благодаря экстраполяции осуществлять его в самых различных условиях.
Еще большее значение экстраполяция имеет при выполнении движений со значительными вариациями внешнего характера двигательного акта. Например, футболист может выполнить удар по мячу разными частями правой или левой ноги, с неодинаковой силой, из различного исходного положения.
Такого рода разнообразные двигательные задачи после обучения относительно ограниченному числу приемов решаются благодаря экстраполяции.
Способность человека к экстраполяции при овладении двигательными актами лишь в небольшой степени обусловлена наследственной информацией. Основное значение имеет формирование временных связей.
При однообразном выполнении двигательных актов возможности к экстраполяции суживаются, при разнообразии же их - расширяются. Поэтому тренировка не только в спортивных играх и единоборствах, но и в циклических движениях должна проводиться с различной скоростью и длительностью передвижений, с разным весом отягощений и т. д.
Диапазон экстраполяции всегда несколько ограничен. Так, навыки, которыми обладает футболист, не могут быть использованы для выполнения путем экстраполяции приемов борца или боксера и наоборот. Поэтому экстраполяцию необходимо учитывать при подборе комплекса подготовительных упражнений. Этот комплекс должен включать такие упражнения, которые могут оказать положительное влияние на освоение основного упражнения.
Если же несколько вспомогательных упражнений дают по механизму экстраполяции один и тот же эффект, то количество их можно уменьшить. При подборе Подготовительных упражнений необходимо также всегда учитывать тот эффект, который по механизму экстраполяции сказывается и на развитии вегетативных функций (кровообращение, дыхание и т.п.), обеспечивающих двигательную деятельность.
Развитие у спортсмена способности к экстраполяции позволяет ему лучше бороться с действием сбивающих факторов и в случае невозможности осуществить движение или какую-либо его фазу по ранее заученной программе создавать новую внешнюю или внутреннюю структуру деятельности мышц, адекватную решаемой двигательной задаче.
Стадии (фазы) формирования двигательного навыка. Становление двигательного навыка проходит через несколько стадий, или фаз. В первой стадии отмечается иррадиация нервных процессов с генерализацией ответных реакций и вовлечением в работу лишних мышц. На этой стадии начинается объединение отдельных частных действий в целостный акт.
Во второй стадии наблюдаются концентрация нервных процессов, улучшение координации, устранение излишнего мышечного напряжения и более высокая степень совершенства внешнего проявления стереотипности движений. В третьей стадии навык стабилизируется и еще более совершенствуются координация и автоматизация движений.
В ряде случаев некоторые из стадий могут отсутствовать. Это связано со многими факторами: степенью сложности и мощности мышечной работы, исходным состоянием двигательного аппарата, квалификацией спортсмена и др.
Уже говорилось, что новые сложные движения всегда формируются на фоне сложившихся координации. Вследствие этого обучение, например, гимнастическим упражнениям будет проходить совершенно различно у новичков, спортсменов средней квалификации и у мастеров спорта.
Так, у высококвалифицированных спортсменов благодаря приобретенным ранее навыкам и способности к экстраполяции обучение упражнениям может протекать без первой и даже второй стадии.
Устойчивость навыка и длительность его сохранения. Двигательные навыки, как и другие проявления временных связей, недостаточно стабильные в начале образования, в дальнейшем становятся все более и более стойкими. При этом чем они проще по своей структуре, тем прочнее.
Навыки со сложнейшими координационными отношениями менее стойки. Вследствие этого даже высококвалифицированному спортсмену трудно при повторениях сложных движений каждый раз показывать свои лучшие результаты. Если хотя бы один какой-то фактор, от которого зависит качественное выполнение упражнения, становится менее полноценным, результат снижается.
К факторам, снижающим устойчивость навыка, относятся ухудшение общего состояния нервной системы (например, при утомлении), развитие гипоксии, недостаточная адаптация при значительном изменении поясного времени, неуверенность в себе при сильных противниках и др. Существенное значение имеет тип нервной системы.
После прекращения систематической тренировки навык начинает утрачиваться. Но это имеет различное выражение для разных его компонентов.
Наиболее сложные двигательные компоненты могут ухудшаться даже при перерывах в несколько дней. Еще больше они страдают при длительных перерывах (недели, месяцы). Поэтому для достижения высоких результатов тренировка должна быть систематической, без длительных интервалов.
Несложные компоненты навыка могут сохраняться месяцами, годами и десятилетиями. Например, человек, научившийся плавать, кататься на коньках или ездить на велосипеде, сохраняет эти навыки в упрощенном виде даже после весьма больших перерывов.
Вегетативные компоненты навыков, связанные с регуляцией функции кровообращения, дыхания и т. д., имеют ряд отличий от двигательных. При кратковременной смене одного вида Деятельности другим вегетативные компоненты перестраиваются медленнее, чем двигательные. При длительных перерывах
(месяцы и в особенности годы) вегетативные компоненты навыка в отличие от двигательных могут угасать полностью.

Рис. 55.
Электромиограммы мышц-антагонистов -трехглавой (1) и двуглавой (2) плеча при опиловке у нетренированных (А) и тренированных (Б) людей (Р. С. Персон, 1970)
Характеристика деятельности мышц при формировании двигательного навыка. Особенности деятельности мышц при формировании двигательных навыков можно проследить по данным электромиография при одновременной регистрации биопотенциалов нескольких мышц (рис. 55). Как уже говорилось, в начальных стадиях формирования спортивного навыка биопотенциалы регистрируются не только в тех мышцах, которые необходимы для осуществления данного двигательного акта, но и в ряде лишних мышц.
Это связано с явлениями иррадиации в нервных центрах. По мере закрепления навыка происходит ограничение иррадиации, а при полностью сформированном навыке она наблюдается только в необычных условиях, например - при действии сильных посторонних раздражителей, при утомлении.
В результате совершенствования навыка в циклических движениях изменяется длительность периодов активности мышц. В начальных стадиях формирования навыка электрическая активность соответствующих мышц наблюдается не только во время активных фаз движения, но и в интервалах между ними (см. рис.
55). В дальнейшем злектромиографические залпы становятся короткими.
В процессе формирования навыка происходит изменение взаимоотношений между мышцами-антагонистами. В начале обучения может наблюдаться их одновременная биоэлектрическая активность, при относительно медленных движениях обнаруживается реципрокность между ними, и биоэлектрическая активность начинает возникать поочередно. Однако даже при сформированном навыке реципрокность может быть выражена не полностью, проявляясь лишь в снижении активности антагониста во время сокращения агониста.При этом чем быстрее темп движений, тем больше биоэлектрическая активность агониста сочетается с одновременной активностью антагониста (см. рис.
54).
В ряде случаев одновременная деятельность мышц-антагонистов представляет собой выражение особой формы координации, наблюдающейся при высокой степени, совершенства данного двигательного навыка. В частности, это имеет место при медленных движениях, требующих плавного перемещения звеньев тела, например при спуске курка у стрелков.
У разных лиц биоэлектрическая активность, отражающая степень участия в движении различных мышц при формировании двигательного навыка, протекает неодинаково. Это объясняется тем, что одно и то же движение может выполняться при несколько отличающемся сочетании деятельности работающих мышц.
В связи с этим в картине биоэлектрической активности у спортсменов одинаковой квалификации наряду с общими чертами могут быть и существенные различия.
Роль афферентации (обратных связей) в формировании и сохранении двигательного навыка
В сложном нервном механизме формирования двигательных импульсов и управления ими важное место принадлежит информации, получаемой из внешней среды и от различных частей тела и систем организма.
Обратные связи и их роль в формировании и совершенствовании техники движений. Нервная система, вызывая через пусковые двигательные и вегетативные нервы какую-либо деятельность, благодаря наличию обратных связей сразу же начинает получать от управляемых органов (мышц, сердечно-сосудистой системы и т.д.). а также из внешней среды информацию о совершившемся действии. Сигналы обратных связей, являясь важнейшим фактором корреляции движений, поступают в ЦНС через органы чувств и поэтому называются также сенсорными коррекциями (Н.
А. Бернштейн).
Различают внутренние обратные связи, которые сигнализируют о характере работы мышц, сердца и других систем организма, и внешние, несущие информацию о деятельности из внешней среды (точность метания, направление движения мяча в футболе, изменение положения тела противника в борьбе и т.д.).
Внутренние обратные связи при выполнении физических упражнений осуществляются преимущественно через двигательную (проприоцептивную), вестибулярную и интероцептивную сенсорные системы, внешние -через зрительную, слуховую и тактильную.
Существенное значение для совершенствования техники движений имеет и так называемая сторонняя информация, получаемая от тренера и других лиц в результате наблюдения за Движениями. Помимо наблюдений в настоящее время широко используется различного рода инструментальная техника, гензомет-
Рия, электромиография, цикло- или киносъемки, видеомагнитофонные записи и т. д., позволяющие оценивать пространственные и временные параметры двигательного акта. Особую ценность полученные данные имеют тогда, когда эта информация является срочной, т. е. используется для улучшения техники движения непосредственно во время выполнения упражнения, или при последующих повторениях его (В.
С. Фарфель).
Интеграция в центральной нервной системе афферентных и других факторов, предшествующих программированию движения. Двигательный акт на всех этапах подготовки и выполнения связан с интеграцией в ЦНС афферентных и других факторов.
П. К. Анохин выделяет четыре основных фактора: 1) мотивацию, 2) память, 3) обстановочную информацию и 4) пусковую информацию.
В трудовой и спортивной деятельности людей особенно большое значение имеют различного рода социально обусловленные виды мотивации. Благодаря следам в нервной системе (памяти) предшествующий опыт оказывает сильнейшее влияние на оценку любых событий и ситуаций. Большую роль в процессе интеграции играет обстановочная информация.
Информация об обстановке, поступающая из окружающей среды, и о состоянии различных функций организма является, -несомненно, весьма- существенным компонентом правильного программирования в ЦНС различных действий.
Наконец, существенное значение имеет пусковая направляющая, т. е. сигналы, какими в спорте являются выстрел, звук свистка, движение флажка, команда и др. Однако многие пусковые раздражители, требующие ответных двигательных актов, весьма сложны; они представляют собой не единичный сигнал, а ситуацию определенного характера. Это всегда сильно затрудняет афферентный синтез.
Например, в разных Видах единоборства и спортивных игр новые действия нужно начинать многократно. При этом начало и характер ответных движений определяются не каким-либо отдельным сигналом, а всей создавшейся ситуацией, т. е. совокупностью многих (в ряде случаев десятков и даже сотен) раздражителей.
При выполнении разных физических упражнений использование информации, получаемой из внутренней и внешней среды путем обратных связей, имеет специфические особенности. При медленном выполнении двигательных актов обратные связи способствуют корригированию данного движения или какой-либо его фазы. При сложных многофазных движениях, которые выполняются быстро (например, гимнастических), обратные связи играют меньшую роль в текущей коррекции в результате недостатка времени.
Наконец, при очень кратковременных движениях (в частности, баллистических - метаниях, бросках) обратные связи могут корригировать длительный акт только при его повторениях.
Программирование двигательного акта с учетом состояния исполнительных приборов. Интеграция таких факторов, как память, обстановочная и пусковая информация и функциональное состояние центральных и периферических исполнительных приборов, является основой для программирования сложных движений.
Экспериментальные исследования показали, что безусловные двигательные рефлексы могут полноценно осуществляться даже при отсутствии обратных связей. Прочно сформировавшиеся простые условнорефлекторные движения также могут выполняться при выключении обратных связей, осуществляемых двигательной сенсорной системой.
Следовательно, ранее хорошо закрепленные программы дают возможность осуществлять такие движения без сенсорной коррекции. Но образование в этих условиях новых движений чрезвычайно затруднено. Программы движений, характеризующихся высокой степенью сложности и точности (к ним принадлежат многие спортивные упражнения), без коррекции путем обратных связей полноценно осуществляться не могут.
Следовательно, программирование постоянно сменяющих друг друга фаз сложных движений требует обязательной сигнализации в ЦНС о состоянии двигательного аппарата и различных вегетативных систем.
Программирование движений по своей трудности в разных видах спорта неодинаково. Это связано, во-первых, со степенью сложности двигательного акта, во-вторых - со степенью его новизны, в-третьих с длительностью времени для программирования.
Если движение совершалось ранее многократно и навык уже хорошо освоен, то повторное программирование даже сложных двигательных актов (например, в гимнастике, при метаниях) совершается относительно легко. При новых же движениях, например в спортивных играх и единоборстве, процесс программирования более трудный. Это обусловлено необходимостью вследствие непрерывного изменения обстановки осуществлять программирование, как и афферентный синтез, в течение весьма короткого времени, а также каждый раз в каком-то новом варианте, поскольку движения, как правило, не являются стандартными .
Эффективность выполнения движений требует соответствия двигательной программы функциональным возможностям мышц и обеспечивающих их работу вегетативных органов. Рассогласование между программой и фактическим выполнением движения особенно усиливается при изменении состояния периферических исполнительных приборов (мышц, кардиореспираторной и других систем организма). Функциональные же возможности периферических органов, в частности мышц, постоянно изменяются.
Это требует своевременного поступления соответствующей информации в нервные центры. Только тогда нервная система может создать полно-Ценную программу, обеспечивающую эффективное выполнение двигательных задач.
В отдельных случаях недостаточная эффективность выполнения упражнений может быть обусловлена несоответствием программирования в ЦНС состоянию периферических аппаратов, в том числе мышц.
Лучшие результаты в таких упражнениях, как прыжки в высоту, прыжки с шестом, поднятие тяжестей, достигаются, как правило, не при первом, а при повторном их выполнении. Это отчасти связано с тем, что во время решения начальных, более легких задач (при меньшей высоте, меньшем весе) нервная система получает точную информацию о фактическом состоянии периферического мышечного аппарата.
Поэтому специальная разминка перед выполнением любых сложнокоординированных упражнений обеспечивает нервные центры дополнительной информацией о состоянии исполнительного двигательного аппарата.
Двигательная память
Нервные процессы, связанные, с одной стороны, с поступлением в ЦНС через сенсорные системы определенного комплекса афферентных импульсов, с другой же - с посылкой через эфферентные нервы специального комплекса импульсов к исполнительным органам, оставляют после себя следы (энграммы),

составляющие двигательную и другие виды памяти. В физиологическом аспекте память представляет собой функцию ЦНС, обеспечивающую хранение и переработку вновь поступающей информации, интегрирование ее с ранее приобретенной информацией и извлечение ее из хранилища для удовлетворения той или иной возникшей потребности.
В этом хранилище наряду с другими видами информации содержатся- и сформированные путем обучения программы координированного управления мышцами, связанные с техникой выполнения различных физических упражнений.
Для выполнения физического упражнения важное значение имеет запоминание программ управления сокращением мышц. В таких программах учитываются непрерывно изменяющиеся пространственновременные отношения между различными нервными центрами, управляющими движениями.
Это обусловлено тем, что спортивные упражнения характеризуются неодновременным включением и выключением участвующих в деятельности мышц и различной степенью вовлечения в нее двигательных единиц.
Нервные процессы, связанные с памятью, включают несколько компонентов, каждый из которых имеет самостоятельное значение: 1) восприятие информации, поступающей из разных сенсорных систем; 2) переработку и синтез этой информации; 3) фиксацию (хранение) результатов переработки информации; 4) извлечение из памяти нужной информации и 5) программирование ответных реакций. В некоторых случаях у спортсменов извлечение из памяти нужной информации временно затрудняется (в частности, при сбивающих факторах и отрицательных эмоциях, нарушающих нормальную деятельность нервной системы).
Вследствие этого ухудшается выполнение физических упражнений.
Различные параметры двигательного акта запоминаются и извлекаются из памяти неодинаково. В существенной мере это зависит от объема и специфики поступающей информации.
Например, силовое напряжение при статических усилиях воспроизводится с отклонениями от заданного на 15-25%, а при движении значительно точнее. Это обусловлено тем, что при статических усилиях импульсация по обратным связям приходит в ЦНС только от рецепторов мышц, а при движениях в протекании обратных связей принимают участие и рецепторы суставов, реагирующие на угловое смещение, что позволяет более точно определять степень напряжения мышц (В.
С. Фарфель). Достаточно хорошо в памяти сохраняются последовательность и временные параметры осуществления различных фаз двигательного акта.
Эффективность запоминания и последующая точность воспроизведения временных и пространственных параметров физических упражнений связаны со многими факторами: степенью, облученностью, сложностью двигательного акта, числом повторений движения на занятии, величиной интервалов между ними, длительностью перерывов между тренировками, эмоциональным состоянием и др.
Так, при пассивном и активном обучении простому движению - воспроизведению амплитуды движения по дуге в лучезапястном суставе - величина ошибки, значительно увеличивается в первые 6 часов после тренировки. Через 12 ч дальнейшее увеличение ошибки менее значительно (рис.
56, А).
При обучении сложным гимнастическим упражнениям после перерывов в 6, 12 и 24 ч процент успешных попыток увеличивается (рис. 56, Б).
Но спустя 48 ч выполнение упражнения значительно ухудшается. Это говорит о том, что ежедневная тренировка более эффективна, чем тренировка через день. При параллельном обучении на одном занятии двум гимнастическим упражнениям забываемость увеличивается, особенно в тех случаях, когда эти упражнения значительно отличаются Друг от друга (А.
В. Менхин).
В процессе обучения обязательным упражнениям в фигурном катании на коньках также было выявлено, что двигательная память при перерывах в занятиях в 1 день значительно лучше, чем в 2, 4 и 10 дней. Наибольшее улучшение точности наблюдалось при выполнении фигур тремя сериями по 5 попыток в каждой с интервалами между сериями в 3 мин (И.
В. Абсалямова).
Автоматизация движений
Совершенствование техники спортивных движений теснейшим образом связано с автоматизацией многих компонентов двигательного акта. т. е. с выполнением их без осознавания. В организме осуществляется большое число не всегда осознаваемых рефлекторных актов, возникающих непроизвольно. Это так называемые первичные автоматизмы, связанные с различными безусловнореф-лекторными реакциями, регулирующими вегетативные и некоторые двигательные функции (мигание, глотание и др.). Наряду с этим имеются и вторичные автоматизмы, т. е. реакции, которые ранее протекали с осознаванием и лишь потом получили возможность осуществляться автоматически.
К ним относятся, в частности, двигательные навыки. Сформировавшиеся двигательные навыки характеризуются хорошо закрепленными временными связями, и многие их компоненты могут осуществляться без осознавания, т. е. автоматизированно.
Рассматривая автоматизацию навыка, следует разграничивать осознавание общих сторон двигательного акта, связанных с перемещением крупных звеньев тела, и частных, касающихся положения мелких структурных элементов, работы отдельных мышц и их двигательных единиц, участвующих в движении. Деятельность мелких мышечных структур, как и отдельных функциональных моторных единиц или их небольших групп, обычно не осознается человеком. Без специальной тренировки не отражается в сфере сознания и деятельность многих отдельных мышц.
Хорошо осознаются движения только крупных звеньев и тела в целом. Весьма слабо отражаются в сознании вегетативные компоненты навыков.
В нервной системе процессы управления автоматизированными и неавтоматизированными компонентами движения тесно связаны друг с другом. При обучении и тренировке сознательный контроль за общим характером осуществления движений имеет весьма важное значение.
Сознательное формирование стоящих перед спортсменом задач, в частности связанных с общей структурой движений, положительно воздействует и на многие из тех автоматизированных процессов в нервных центрах, мышцах и вегетативных органах, которые совершенно не осознаются человеком.
Силовые, скоростно-силовые и анаэробные возможности женщин
То же самое справедливо и при сравнении детей и взрослых, имеющих разные размеры тела.
Проведем сравнение функциональных возможностей женщины ростом 160 см и мужчины ростом 176 см, предполагая, что все их линейные размеры пропорциональны длине тела (Ь). Мужчина выше женщины в 1,1 раза (176: 160).
В этом случае все линейные размеры, т. е. длина всех частей тела и конечностей, длина рычагов (расстояний от оси вращения сустава до места прикрепления мышц), амплитуда движений и т. д., у мужчины в 1,1 раза больше, чем у женщины.
Поверхностные размеры пропорциональны квадрату линейных размеров (L2). Поэтому площадь поперечного сечения мышц, аорты, поверхность тела, альвеолярная поверхность легких в данном примере у мужчины должны быть в 1,21 раза больше (1,12), чем у женщины.
Объемные размеры пропорциональны кубу линейных размеров (L3). Следовательно, объем легких, объем Циркулирующей крови или объем сердца у мужчины должны быть в 1,33 раза больше (1,13), чем у женщины.
Масса (вес) тела (М) также пропорциональна L3, поэтому при прочих разных условиях вес мужчины должен быть в 1,33 раза больше, чем вес женщины.
Максимальная сила (F), которую способны развить мышцы, пропорциональна площади их поперечного сечения, т. е. L2 В данном примере максимальная сила сокращения мышц у мужчин должна быть в 1,21. раза больше, чем у женщин.
Механическая работа (W) определяется силой сокращения мышц (F) и дистанцией (S), на которой приложена эта сила: W=F*S. Сила мышц (F) пропорциональна L2, а дистанция (S) пропорциональна L. Соответственно работа пропорциональна кубу линейных размеров тела (L3) или массе (весу) тела.
Более высокий, чем женщина, мужчина способен выполнить и большую работу - в данном примере в 1,33 раза.
Мощность внешне выполняемой нагрузки (N) есть количество работы (W) в единицу времени (t); N = W/t. Максимально возможная мощность нагрузки пропорциональна квадрату линейных размеров тела (L2) или весу тела в степени 2/3 (М2/3).
Таким образом, разница в размерах тела должна сама по себе предопределять половые различия в работоспособности, которые не связаны с какими-то особыми функциональными различиями организма женщин и мужчин.
Выполняемая работа определенной мощности должна обеспечиваться эквивалентным снабжением работающих мышц химической энергией (кислородом). Следовательно, энергозатраты (скорость потребления О2) должны быть связаны с массой работающих мышц и весом тела.
Из теоретических предпосылок следует ожидать, что максимальное потребление О2 должно быть пропорционально L2 или М2/3. Именно различия в размерах тела (весе тела и мышечной массе) в первую очередь объясняют более высокие величины МПК у мужчин по сравнению с женщинами.
Обычно для сравнения МПК у разных людей используют относительный показатель - МПК, отнесенное к весу тела (мл/кг * мин). Однако правильнее (более точно) сравнивать МПК у людей с разным весом тела, выражая МПК в мл/кг/з*ин.
Сердечный выброс (Q) определяется объемом крови, прокачиваемым сердцем в единицу времени. Соответственно максимальный сердечный выброс должен быть пропорционален L2 или М2/3
Легочная вентиляция ^е) , как произведение дыхательного объема на частоту дыхания, пропорциональна квадрату линейных размеров тела (L2).
Легочные объемы у женщин и мужчин разного возраста соответствуют размерам тела (пропорциональны L3). Различия в легочных размерах определяются в основном (если не исключительно) половыми различиями в линейных размерах тела.
Очень значительны различия в составе тела между женщинами и мужчинами. У взрослых мужчин мышечна-я масса составляет около 40% веса тела (в среднем около 30 кг), а у женщин - около 30% (в среднем 18 кг).
Таким образом, и по абсолютным, и по относительным показателям мышечная масса у женщин значительно меньше, чем у мужчин.
Общее количество жировой ткани у женщин составляет в среднем около 25%, а у мужчин - около 15% веса тела, Абсолютное количество жира у женщин также больше, чем у мужчин, примерно на 4-8 кг Вес тощей массы тела (масса тела минус масса жировой ткани), которую составляют главным образом мышцы, а также кости и внутренние органы, у женщин на 15- 20 кг меньше, чем у мужчин. У спортсменок содержание жира меньше, чем у нетренированных женщин, но даже у очень хороших спортсменок - мастеров бега на длинные дистанции - оно может достигать лишь уровня, характерного для нетренированных мужчин.
В большинстве видов спорта основная часть физической нагрузки связана с перемещением массы собственного тела. Поэтому избыточное содержание жировой ткани в теле составляет дополнительную нагрузку, например, в беге или прыжках, но не в плавании
Поскольку жировая ткань почти не содержит воды, общее содержание воды в теле у женщин существенно меньше, чем у мужчин (соответственно около 55 и 70% веса тела).
Силовые, скоростно-силовые и анаэробные возможности женщин
Мышечная сила
Максимальная произвольная сила (МПС) мышц до периода полового созревания у девочек и мальчиков в среднем одинакова, а после 12-14 лет у девочек в среднем меньше (рис. 85). Это относится как к силе
отдельных мышечных групп, так и к общей мышечной силе, которая определяется как сумма максимальных силовых показателей основных мышечных групп.

Общая мышечная сила у женщин составляет примерно 2/3 этого показателя у мужчин. Однако в силе разных мышечных групп имеются существенные отличия. По сравнению с мужчинами у женщин относительно более слабые мышцы верхних конечностей, пояса верхних конечностей и туловища. Их МПС составляет 40-70% от МПС этих мышц у мужчин.
В то же время МПС мышц нижней половины тела , включая мышцы нижних конечностей, у женщин примерно лишь на 30% меньше, чем у мужчин. Вероятно, это обусловлено эффектом бытовой тренировки мышц нижних конечностей при ходьбе, беге и т. п.
Различия в силовых возможностях женщин и мужчин главным образом зависят от разницы в размерах тела, а точнее, в объеме мышечной ткани. Действительно, разница в относительной мышечной силе между женщинами и мужчинами значительно меньше, чем в абсолютной.
Относительная сила мышц нижней половины тела у женщин в среднем лишь на 8% меньше, чем у мужчин. Еще меньше разница в силовых показателях, когда абсолютные показатели МПС относят к весу тощей массы тела, поскольку он в наибольшей степени зависит от веса мышц. В этом случае средняя сила мышц нижней половины тела у женщин лишь на 6% меньше, чем у мужчин, а сила сгибателей и разгибателей бедра в среднем не отличается от таковой у
мужчин. МПС мышц-сгибателей плеча, приходящаяся на 1 см2 площади поперечного сечения, примерно одинакова у женщин и мужчин (рис.
86). Это еще раз показывает, что силовые возможности мышц одинаковых размеров (толщины) у женщин почти такие же, как и у мужчин

Рис. 87.
Процентное распределение медленных волокон в наружной головке четырехглавой м. бедра у девушек и юношей 16 лет (Г. Хёдберг и Э. Янссон, _1976)_
Рис. 86. Связь максимальной произвольной силы мышц-сгибателей плеча с площадью их поперечного сечения (А); отношение этой силы к площади поперечного сечения мышц у женщин и мужчин в разные возрастные периоды (Б)
Процентное соотношение быстрых и медленных волокон в мышцах у нетренированных женщин и мужчин сходно (рис. 87), как, впрочем, и у спортсменов (женщин и мужчин) - представителей одних и тех же видов спорта (см. рис. 51).
Толщина всех видов мышечных волокон у женщин в среднем меньше, чем у мужчин.
Результаты в прыжках и в спринтерском беге в определенной степени зависят от мышечной силы, особенно проявляемой при быстрых движениях. Женщины заметно проигрывают мужчинам в этих упражнениях.
При большой скорости движения проявляемая динамическая сила у женщин достоверно меньше, чем у мужчин, хотя отнесенная к весу тощей массы тела изометрическая и динамическая (изокинетическая) сила при малой скорости движения почти одинакова у женщин и мужчин. Если отнести результат в прыжках к весу тела, то женщины в этом
показателе практически не уступают мужчинам: при рекордном прыжке в высоту - 3,2 см/кг у мужчин и у женщин, а при рекордном прыжке в длину соответственно 12,5 и 12,3 см/кг. В беге на 100 м средняя скорость у мужчины-рекордсмена, отнесенная к весу его тела, равна 8,4 м/мин/кг, а у женщины-рекордсменки - 9,5 м/мин/кг.
Таким образом, женщины даже несколько быстрее мужчин, когда скорость их бега соотносят с весом тела.

раз выше, чем у женщин,
Тренируемость мышечной силы, т. е. способность к росту мышечной силы под влиянием направленной силовой тренировки, у женщин относительно меньше, чем у мужчин (рис. 88).
Это различие наиболее заметно в период от 16 до 30 лет и меньше до периода полового созревания (до 12-14 лет) и в период половой инволюции (после 40 лет), что косвенно указывает на важную роль мужских половых гормонов (андрогенов) в развитии мышечной силы.
Силовая тренировка у женщин относительно больше влияет на уменьшение жировой ткани и меньше на вес тела и увеличение мышечной массы по сравнению с мужчинами. Даже в тех случаях, когда в результате силовой тренировки прирост мышечной силы у женщин больше, увеличение мышечной массы у них относительно меньше, чем у мужчин. Это, вероятно, объясняется тем, что степень мышечной гипертрофии в значительной мере регулируется мужскими половыми гормонами, концентрация которых в крови в норме у мужчин в 10
Анаэробные энергетические системы у женщин
К анаэробным энергетическим системам, как известно, относятся фосфагенная (АТФ + КФ) и лактацидная (гликолитическая) системы. Емкость их у женщин ниже, чем у мужчин, что связано прежде всего с меньшей мышечной массой у женщин.
Сниженная емкость систем анаэробной знергопродукции определяет и более низкую анаэробную работоспособность.

Концентрация АТФ и КФ в мышцах у женщин примерно такая же, как и у мужчин (около 4 мм/кг веса мышцы для АТФ и около 16 мм/кг веса мышцы для КФ)- Из-за меньшего, объема мышечной ткани общее количество мышечных фосфагенов у женщин снижено по сравнению с мужчинами. Об уменьшенной емкости фосфагенной системы у женщин можно, судить по величине быстрой (адактатной) фазы кислородного долга. Даже у спортсменок высокого класса, специализирующихся в гребле, максимальная емкость фосфагенной системы (около 100 кал/кг веса тела) в среднем лишь равна таковой у нетренированных молодых мужчин.
У нетренированных молодых женщин она значительно меньше (около 60 кал/кг веса тела).
Разница между спортсменами и спортсменками еще больше. Если ёмкость фосфагенной системы относить к весу тощей массы тела (весу мышечной массы), разница между женщинами и мужчинами будет меньше .
Мощность фосфагенной системы, определяемая при кратковременной тестовой работе (вбегание на лестницу с максимально возможной скоростью), равна у нетренированных женщин в среднем около 130 кгм/с, что на 20% меньше, чем у нетренированных мужчин (160 кгм/с). Приведенная к весу тела, она одинакова у женщин и мужчин в разном возрасте (рис, 89).
Это хорошо согласуется с данными об отсутствии преимущества мужчин перед женщинами в скорости спринтерского бега, когда ее тоже соотносят с весом тела.
Концентрация молочной кислоты в крови после максимально аэробной работы у женщин меньше, чем у мужчин (и у нетренированных и у высокотренированных). На основании этих данных можно предполагать, что емкость анаэробной лактацидной системы у женщин меньше, чем у мужчин.
Различия выявляются и при определении ее по отношению к весу тела: в среднем у нетренированных женщин- около 100 кал/кг, у нетренированных мужчин - около 200 кал/кг, у женщин-гребцов - около 170 кал/кг. у мужчин-гребцов -более 250 кал/кг Следовательно, половые различия в емкости лактацидной энергетической системы зависят не только от разницы в размерах тела (объеме мышечной массы). Именно поэтому женщины имеют более низкие результаты по сравнению с мужчинами в соревнованиях на таких дистанциях, на которых энергетическое обеспечение в очень большой степени опирается на лактацидкую (гликолитическую) энергетическую систему Может быть, поэтому результаты женщин в беге на 400 и 800 м и в плавании на 100 м относительно больше отстают от результатов мужчин, чем в других упражнениях.
Аэробная работоспособность (выносливость) женщин
Максимальное потребление кислорода
До периода полового созревания, когда различия в размерах и составе тела между мальчиками и девочками минимальны, МПК тоже почти одинаково. У молодых мужчин оно в среднем на 20- 30% больше, чем у

женщин того же возраста. По мере старения различия в МПК между мужчинами и женщинами становятся меньше (рис.90).
Разница между МПК у женщин и мужчин снижается примерно до 1520%, когда оно приведено к весу тела. В 20-30 лет МПК на 1 кг веса тела у женщин составляет в среднем 35-40 мл/кг*мин, а у мужчин -45-50 мл/кг*мин.
Еще меньше разница когда МПК относят к весу тощей массы тела, поскольку жировая ткань является метаболически неактивной и почти не потребляет кислорода. Различия в МПК между женщинами и мужчинами практически исчезают, если МПК соотносят с активной мышечной массой.
Среди мужчин и женщин одного возраста возможны значительные индивидуальные вариации в величинах МПК. У физически более подготовленных женщин МПК такое же, как у физически менее подготовленных мужчин. В группе не занимающихся спортом величины МПК примерно у 75% женщин совпадают с величинами МПК у 50% мужчин .

У спортсменок - представительниц видов спорта на выносливость МПК существенно больше, чем у других спортсменок, а тем более у не занимающихся спортом (см. рис. 33), как и МПК на 1 кг веса тела (у рядовых спортсменок в среднем 55-60 мл/кг*мин, а у наиболее выдающихся, особенно у лыжниц, - 70- 75 мл/кг*мин). Однако в среднем разница в МПК между спортсменками и спортсменами больше, чем между нетренированными женщинами и мужчинами (см. рис.
90). МПК, отнесенное к весу тела, у женщин-спортсменок на 20-25% ниже, чем у мужчин-спортсменов (у нетренированных эта разница составляет около 15-2.0%).
Даже при отнесении к весу тощей массы тела МПК у ведущих женщин-марафонцев на 8,6% меньше, чем у мужчин (соответственно 76,5 и 96,6 мл/кг*мин). У финских лыжниц и лыжников - членов национальной команды разница составляет в среднем лишь 3,7% (у женщин - 86,4, у мужчин - 89,8% мл/кг тощей массы тела мин).
Приведенные данные показывают, что у женщин по сравнению с мужчинами максимальная аэробная производительность (мощность) ниже, что предопределяет и более низкие результаты женщин в видах спорта, требующих проявления выносливости. Это, в частности, объясняет относительное снижение рекордных женских результатов по сравнению с мужскими по мере увеличения дистанции.
Максимальные возможности кислород-транспортной системы
Более низкое МПК у женщин обусловлено сниженными кислород-транспортными возможностями женского организма. Максимальное количество кислорода, которое может транспортироваться артериальной кровью, у женщин меньше, чем у мужчин. Это различие связано с тем, что у женщин меньше объем циркулирующей крови, концентрация гемоглобина в крови, АВР-02, объем сердца, максимальный сердечный выброс (табл.
24).
| Таблица 24. Средние показатели крови в покое и при максимальной работе у молодых мужчин и женщин |
| Показатели |
Женщины |
Мужчины |
| Объем циркулирующей крови (ОЦК) (л): |
|
|
| покой |
4,3 |
5,7 |
| максимальная работа |
4,0 |
5,2 |
|
| Концентрация эритроцитов (млн/мм3): |
|
|
| покой |
4,6 |
5,4 |
| максимальная работа |
5,0 |
5,9 |
| Концентрация лейкоцитов (тыс/мм3): |
|
|
| покой |
7,0 |
7,0 |
| максимальная работа |
15,0 |
15,0 |
| Концентрация гемоглобина (г%): |
|
|
| покой |
14,0 |
16,0 |
| максимальная работа |
15,4 |
17,6 |
| Гематокрит (%): |
|
|
| покой |
42,0 |
47,0 |
| максимальная работа |
45,0 |
50,0 |
| Содержание О2 в артериальной крови (мл/100 мл): |
|
|
| покой |
16,8 |
19,0 |
| максимальная работа |
17,7 |
20,0 |
| Содержание О2 в крови бедренной вены (мл/100 мл): |
|
|
| покой |
9,0 |
9,0 |
| максимальная работа |
3,0 |
3,0 |
| Содержание О2 в смешанной венозной крови в правом предсердии (мл/100 мл): |
|
|
| покой |
12,0 |
14,0 |
| максимальная работа |
6,2 |
6,0 |
| Системная АВР-О2 (мл/100 мл): |
|
|
| покой |
4,8 |
5,0 |
| максимальная работа |
11,5 |
14,0 |
Согласно уравнению Фика, МПК определяется как произведение максимального сердечного выброса на максимальную системную АВР-О2: МПК = С Ммакс * (АВР-О2)макс. Оба эти множителя у женщин меньше, чем у мужчин.
Объясняется это следующим.
Концентрация гемоглобина в крови у девочек и мальчиков почти одинаковая до периода полового созревания. У женщин она в среднем на 10-15% ниже, чем у мужчин (рис.
91). Поэтому у женщин меньше

кислородная емкость Крови и соответственно содержание 02 в артериальной крови. При максимальной аэробной работе содержание О2 в венозной крови, оттекающей от работающих мышц, как и в смешанной венозной крови, у женщин и мужчин примерно одинаково.
Таким образом, максимальная системная АВР-О2 у женщин меньше, чем у мужчин, что в конце концов связано с более низкой концентрацией гемоглобина в крови.
По сравнению с мужчинами у женщин уменьшен объем, циркулирующей крови, а также общий объем сердца: в среднем соответственно около 600 и 800 мл, или 9 и 12 мл/кг веса тела. Это означает, что и размеры полостей сердца (желудочков) у женщин в среднем меньше, чем у мужчин.
Рис. 92.
Максимальная легочная вентиляция в разном возрасте у женщин и мужчин (неспортсменов и спортсменов) - представителей видов спорта, требующих проявления выносливости (В. Зелигер, _1975)_
Все это ведет к тому, что у женщин по сравнению с мужчинами меньше и максимальный систолический объем. У нетренированных женщин он составляет в среднем около 90 мл, а у нетренированных мужчин 120 мл.
Максимальная ЧСС у нетренированных женщин в среднем несколько больше, чем у нетренированных мужчин: соответственно около 205 и 200 уд/мин. Однако она не компенсирует уменьшенного систолического объема, так что максимальный сердечный выброс у нетренированных женщин значительно ниже, чем у нетренированных мужчин: в среднем соответственно 18 и 24 л/мин.
Таким образом, уменьшенный максимальный сердечный выброс у женщин лимитирован сниженным по сравнению с мужчинами систолическим объемом.
Кислородтранспортные возможности организма находятся в связи с ЖЕЛ и. максимальной легочной вентиляцией. ЖЕЛ у женщин в среднем на: 1 л меньше, чем у мужчин, а максимальная легочная вентиляция примерно на 30% (рис. 92).
Коррекция на размеры тела уменьшает половые различия, но полностью их не устраняет. Кроме того, у женщин имеются определенные физиологические особенности в регуляции дыхания при мышечной работе.
Так, женщины достигают одинаковых с мужчинами величин легочной вентиляции менее выгодным соотношением частоты и глубины дыхания. В определенной мере это обусловлено уменьшенным легочным объемом и более слабой дыхательной мускулатурой у женщин.
Помимо этого, у женщин заметно меньше диффузионная способность легких для О2 (см. рис. 36).
Тренировка выносливости повышает кислородтранспортные возможности организма. Однако в разных звеньях ее эти изменения неодинаковы. Так, из гематологических показателей, приведенных в табл.
24 , в результате тренировки выносливости изменяется (увеличивается) лишь общий объем циркулирующей крови. Пропорционально повышается общее количество циркулирующего гемоглобина, так что концентрация его в крови не изменяется.
У спортсменок содержание О2 в артериальной крови в условиях покоя и при максимальной аэробной работе такое же, как и у нетренированных женщин. Вместе с тем при максимальной аэробной работе содержание О2 в венозной крови, оттекающей от работающих мышц, у выносливых спортсменок снижается до 1,8 мл О2/100 мл. крови (у спортсменов в среднем 1,4 мл О2/100 мл), а в смешанной венозной крови - до 4 мл О2/100 мл крови (у спортсменов в среднем столько же). Эти цифры показывают, что способность рабочих мышц утилизировать кислород из крови и адекватно распределять сердечный выброс у спортсменок выше, чем у нетренированных женщин, и такая же, как у спортсменов. Поскольку содержание О2 в артериальной крови у спортсменок ниже, АВР-Ог у них также меньше, чем у спортсменов, но больше, чем у нетренированных женщин.
Максимальная системная А В Р-СЬ у квалифицированных спортсменок, тренирующих выносливость, составляет в среднем 13 мл Ог/100 мл крови (у спортсменов 15,5 мл О2/100 мл). Как уже говорилось, эта разница предопределяется более низкой концентрацией гемоглобина в крови у женщин, что ведет к сниженному содержанию О2 в артериальной крови.
Объем сердца у спортсменок в среднем заметно больше, чем у нетренированных женщин, и достигает размеров сердца у нетренированных мужчин. Максимальный объем сердца обнаружен у лыжницы - 1150 мл и у, ватерполиста - 1700 мл.
Объем сердца, отнесенный к весу тела, у спортсменок приближается к мужским показателям (до 16 мл/кг).
Максимальный систолический объем у спортсменок значительно выше, чем у нетренированных женщин: у выдающихся стайеров он достигает 140-150.мл.
Максимальная ЧСС у спортсменок ниже, чем у нетренированных женщин (соответственно около 195 и 205 уд/мин). Однако благодаря увеличенному систолическому объему максимальный сердечный выброс у спортсменок больше, чем у неспортсменок.
У выдающихся лыжниц он достигает 28- 30 л/мин. .Таким образом, как и у мужчин, так и у женщин, тренирующих выносливость, увеличение систолического объема служит главным механизмом повышения кислородтранспортных возможностей организма.
Как и в отношении мужчин, пока трудно, сказать, в какой мере высокие аэробные возможности у выдающихся спортсменок являются результатом тренировки кислородтранспортной и
кислородутилизирующей систем, и в какой предопределены наследственно (генетически) обусловленными большими возможностями этих систем.
Систематическая тренировка выносливости на протяжении нескольких недель и месяцев может вызывать очень значительный прирост МПК (до 25-30% у ранее не тренированных женщин). Причем между относительным приростом МПК и его исходным уровнем выявляется Обратная зависимость: чем ниже исходное МПК, тем больше оно увеличивается в результате тренировки.
Судя по этим данным, тренируемость максимальных аэробных возможностей у женщин и мужчин в принципе одинаковая, хотя абсолютные приросты у женщин меньше, а индивидуальная вариативность тренировочных эффектов больше, чем у мужчин.
Субмаксимальная аэробная работоспособность
При выполнении мужчинами и женщинами одинаковой немаксимальной аэробной нагрузки (с одинаковой скоростью потребления О2) физиологические сдвиги у женщин больше, так как выше относительная физиологическая- нагрузка на женский организм (выше % МПК). Однако приспособление сердечнососудистой системы даже к выполнению одинаковой относительной нагрузки (при равном проценте МПК) У женщин и мужчин также неодинаково.
Поскольку содержание гемоглобина в крови у женщин ниже, чем у мужчин, у них меньше и АВР-О2 при выполнении одинаковых абсолютных и относительных аэробных нагрузок (рис. 93).
Следовательно, сердце у женщин должно прокачивать большее количество крови, чтобы транспортировать такое же количество кислорода, что и у мужчин. Поэтому сердечный выброс на каждый литр потребляемого О2 во время аэробной работы у женщин в среднем на 10-15% больше, чем у мужчин.

Из-за уменьшенного систолического объема увеличение сердечного выброса у женщин в большей мере, чем у мужчин, происходит за счет роста ЧСС. Даже при одинаковой относительной аэробной нагрузке ЧСС у женщин в среднем на 10 уд/мин больше, чем у мужчин.
При выполнении одинаковой абсолютной аэробной нагрузки разница в ЧСС составляет 20-40 уд/мин.
Система кроем
Исследование расхода энергии при ходьбе показало, что чем старше дети, тем меньше энергетические затраты на 1 м пути. При нагрузке на велоэргометре ребенок 8-9 лет затрачивает на 1 кгм работы в 1 мин 7,6 мл кислорода, а взрослый - 5,4 мл, т. е. в 1,4 раза меньше.
Таким образом, с возрастом повышается экономичность мышечной работы. На это указывает также рост механической эффективности по мере развития организма. При работе на велоэргометре в возрасте 6-9 лет она равна 12,3%, в то время как у взрослых - 15-20%.
Под влиянием спортивной тренировки энергетическая стоимость упражнений понижается. Установлено, что у юных спортсменов потребление кислорода увеличивается в меньшей мере, чем у их сверстников, не занимающихся спортом.
У детей также меньше максимальный уровень увеличения обмена при напряженной мышечной деятельности. Так, в 10-11 лет потребление кислорода по сравнению с основным обменом может увеличиваться максимально в 9-10 раз, в то время как у взрослых- в 15-20 раз. Установлена зависимость МПК от индивидуальных темпов развития организма.
У подростков, опережающих своих сверстников в темпах физического развития, МПК выше, чем у отстающих.
У юных спортсменов максимальный уровень энергетического обмена выше, чем у детей, на занимающихся спортом. Так, у спортсменов 16-17 лет МПК на 50-60% выше, чем у неспортсменов.
Система кроем
Объем циркулирующей крови (по отношению к весу тела) зависит or возраста: у детей до 1 года- 11%, у взрослых - 7%, на 1 кг веса тела у детей 7-12 лет - 70 мл, у взрослых - 50-65 мл.
Возрастные изменения характерны и для форменных элементов крови. У ребенка первого года жизни количество эритроцитов составляет 6-6,5 млн/мм3. С возрастом оно снижается до 4-5 млн/мм .
По мере развития организма увеличивается концентрация гемоглобина в крови (табл. 25).
| Таблица 25 Содержание гемоглобина в крови (г%) мальчиков и мужчин |
| Возраст, лет |
| 8-9 |
10-11 |
12-13 |
14-15 |
16-17 |
20-25 |
| 13,8 |
14,4 |
13,7 |
15,1 |
15,1 |
15,5 |
|
Сниженное по сравнению со взрослыми содержание гемоглобина у детей определяет несколько меньшую кислородную емкость крови (табл. 26).
| Таблица 26. Кислородная емкость крови (КЕК) и содержание кислорода в артериальной крови, у мальчиков и мужчин |
| Возраст, лет |
| Показатели |
3-7 |
8-9 |
10-11 |
12-13 |
14 |
15 |
16-17 |
20-30 |
| Кислородная емкость крови (об.%) |
16,8 |
17,4 |
17,9 |
18,0 |
18,8 |
19,2 |
19,0 |
19,7 |
| Оа артериальной крови (об.%) |
16,5 |
17,0 |
17,4 |
17,5 |
18,3 |
18,8 |
18,3 |
19,0 |
|
В крови детей первых дней жизни содержится большое количество лейкоцитов (10 000-15 000 в 1 мм3). В последующие годы содержание лейкоцитов понижается и к 8-10 годам доходит до уровня взрослых. Заметные возрастные изменения происходят и в лейкоцитарной формуле. С возрастом увеличивается процент нейтрофилов и понижается количество моноцитов и лимфоцитов. В результате относительно невысокого содержания нейтрофилов у детей дошкольного возраста понижена фагоцитарная функция крови.
Мышечная деятельность сопровождается существенными изменениями в системе крови. Для подростков и юношей характерны более значительные, чем для взрослых, изменения ряда показателей крови после мышечной работы (повышение содержания лейкоцитов, эритроцитов, тромбоцитов, свертывания крови) и более длительный период их восстановления. Кроме того, у подростков 12-14.лет отмечена разнонаправленность сдвигов отдельных показателей крови, что связано с перестройкой в этот период нейроэндокринной регуляции функций.
Кровообращение
В различные возрастные периоды сердечно-сосудистая система характеризуется отличительными особенностями, обусловленными главным образом специфическими изменениями обмена веществ и энергии на разных этапах онтогенеза.
Сердце. Для мышцы сердца детей характерен высокий уровень расхода энергии, что определяет значительное напряжение окислительных процессов в миокарде.
Это находит отражение в большом потреблении кислорода мышцей.
В процессе роста и развития ребенка увеличивается масса сердца. У мальчиков 9-10 лет она составляет 111,1 г, что в 2 раза меньше, чем у взрослых (244,4 г). Наряду с этим изменяется соотношение массы отделов сердца, перестраивается его гистологическая структура. Так, в наибольшей мере увеличение массы сердца происходит за счет левого желудочка.
Систематическая тренировка вызывает увеличение массы сердечной мышцы. У юных пловцов, лыжников, велосипедистов, бегунов на средние дистанции размеры сердца увеличиваются больше, чем у других спортсменов.
Частота сердечных сокращений. С возрастом ЧСС понижается: у новорожденных она составляет в покое 135140 уд/мин, в 7 лет - 85-90 уд/мин, в 14-15 лет приближается к данным взрослых и составляет 70-80 уд/мин.
Для детей характерен неустойчивый ритм сердечной деятельности. Он подвержен значительным колебаниям под влиянием внутренних и внешних раздражителей, например под влиянием температуры окружающей среды (повышение температуры способствует увеличению ЧСС, понижение - уменьшению).
Спортивная тренировка оказывает существенное влияние на ЧСС. У юных спортсменов, особенно тренирующихся в упражнениях на выносливость, в условиях относительного покоя, как и у взрослых, проявляется брадикардия.
Однако выражена она меньше.
Существенные возрастные различия ЧСС наблюдаются при мышечной деятельности. При одинаковой аэробной нагрузке ЧСС с возрастом уменьшается.
Одна и та же работа осуществляется более экономно благодаря меньшей интенсификации сердечной деятельности (рис. 94). Например, мальчики 12-14 лет при

ЧСС 130 уд/мин могут выполнить работу, не превышающую 70 ватт, а 18-летние - 122 ватт.
Организму ;детей и подростков повышение величины нагрузки (увеличение мощности, продолжительности и числа повторений упражнений, уменьшение интервала отдыха) стоит дороже, чем взрослому организму. Например, в возрасте 9-11 лет при увеличении нагрузки на 1 кгм в 1 с учащение сердцебиений составляет 8,2-9,4 уд/мин, в 12-13 дет - 6,4-9,5 уд/мин, а у взрослых - 3,6-5,3 уд/мин.
У детей при напряженных физических упражнениях максимальная ЧСС находится в обратной зависимости от возраста: чем младше ребенок, тем она выше. В качестве простого правила определения максимальной ЧСС в школьном возрасте может служить следующая формула: 220 -возраст /год/.
Например, у 10-летних, ребят максимальная ЧСС составляет в среднем около 210 уд/мин /220-10/. Таким образом, как ЧСС покоя, так к любая рабочая ЧСС при одинаковых немаксимальных аэробных нагрузках и максимальная ЧСС у детей выше, чем у
Восстановление ЧСС после физических упражнений у лиц разного возраста также зависит от величины нагрузки. После непродолжительных упражнений максимальной мощности у детей 11 - 14 лет восстановление ЧСС происходит быстрее, чем у взрослых.
После напряженных и продолжительных упражнений период восстановления ЧСС с возрастом укорачивается. Это связано с повышением работоспособности.
Систолический объем крови и сердечный выброс с возрастом повышаются. В 7 лет систолический объем крови составляет 23 мл, в 13-16 лет - 50-60 мл.
Прирост его определяет увеличение сердечного выброса. В покое в возрасте 6-9' лет сердечный выброс равен 2,6 л/мин, в 10-12 лет - 3,2 л/мин, в 13-16 лет - 3,8 л/мин. Однако при расчете на 1 кг массы тела наблюдается иная картина: чем старше возраст, тем меньше величина сердечного выброса.
Таким образом, для детей характерна более напряженная деятельность сердца.
При мышечной работе систолический объем и сердечный выброс у детей увеличиваются меньше, чем у взрослых. По мере роста и развития детей максимально возможный систолический объем становится больше. Так, в 8-9 лет он достигает 70 мл, в 14-15 лет - 100-120 мл, у взрослых- 110-130 мл.
У детей 8-9 лет при напряженной мышечной деятельности сердечный выброс может достигать максимально 13-16 л/мин, у подростков 14-15 лет - 20-24 л/мин. Следовательно, в возрасте 8-9 лет по сравнению с покоем сердечный выброс увеличивается в 4 раза, в 14-15 лет - в 5-6 раз, у взрослых- в 6-7 раз.
Таким образом, с возрастом потенциальные возможности сердца повышаются. Существенная особенность адаптации детского сердца состоит в том, что прирост сердечного выброса происходит преимущественно за счет увеличения ЧСС при относительно невысоком повышении систолического объема крови.
Особенности кровообращения у детей как в покое, так и при мышечной работе тесно связаны с обменом веществ. Более высокая интенсивность энергетического обмена, относительно большее потребление О2 (на I кг массы тела) предъявляют к сердцу детей значительные требования.
Поэтому сердце у ребенка или подростка как в условиях покоя, так и при мышечной деятельности работает несколько напряженнее, чем у взрослых.
Сосудистая система и артериальное давление. По мере развития детей увеличивается просвет кровеносных сосудов.
В результате повышается объем циркулирующей крови и создаются условия для лучшего кровоснабжения тканей, работающих органов кислородом и удаления продуктов распада.
Наряду с расширением просвета сосудов образуются новые кровеносные сосуды. Это особенно характерно для детей, активно занимающихся физической культурой и спортом.
Формирование новых сосудов и их коллатералей в результате регулярной мышечной деятельности приводит к усилению периферического кровообращения.
С возрастом повышается АД. Так, в 11 лет систолическое давление в покое равно 95, а в 15 лет - 109 мм рт. ст.; минимальное АД в 11 -13 лет равно 83, а в 15-16 лет - 88 мм.рт. ст.
У подростков и юношей 13-16 лет иногда отмечается временное повышение систолического давления до 130140 мм рт. ст. (юношеская гипертония). Это связывают с тем, что развитие сердца и кровеносных сосудов происходит нередко несинхронно. Так, в период полового созревания рост сердца может опережать рост
кровеносных сосудов. В результате сердцу приходится преодолевать большое сопротивление со стороны относительно узких кровеносных сосудов.
Это следует учитывать при занятиях спортом: тщательно дозировать и индивидуализировать физические нагрузки.
У детей систолическое давление во время физических упражнений увеличивается значительно меньше, чем у взрослых. Так, у 11-12-летних школьников при выполнении упражнений максимальной мощности систолическое давление увеличивается в среднем на 32 мм рт. ст., а у подростков и юношей 15-16 и 18-20 лет соответственно на 45 и 50 мм рт. ст.
Возрастные изменения сердечно-сосудистой системы отражают особенности регуляции кровообращения растущего организма. В первые годы жизни заметно преобладают симпатические влияния.
По мере развития организма это преобладание становится менее выраженным на фоне усиления влияния блуждающего нерва.
В результате организуется такое взаимодействие симпатических и парасимпатических влияний, которое обеспечивает эффективную деятельность сердечно-сосудистой системы как в покое, так и (особенно) при напряженных физических упражнениях.
У юных спортсменов различные эмоции быстрее и сильнее отражаются на сердечно-сосудистой системе, чем у взрослых. Продолжительные отрицательные эмоции могут нарушить регуляцию сердечно-сосудистой системы и, естественно, неблагоприятно отразиться на спортивных достижениях.
С ростом и развитием организма увеличивается объем легких. Особенно интенсивный рост легких отмечается между 12 и 16 годами.
Вес обоих легких в 9-10 лет равен 395 г, а у взрослых почти 1000 г. Рост легких происходит в основном не за счет увеличения числа, а за счет объема альвеол.
Возрастные изменения легочных объемов и емкостей. С возрастом изменяется общая емкость легких, которую составляют остаточный объем и ЖЕЛ, причем остаточный объем увеличивается меньше, чем ЖЕЛ.
Общая емкость легких в 10 лет составляет 2,2-3,1 л, т. е. половину величины взрослых. У юных спортсменов отмечено более значительное увеличение с возрастом общей емкости легких - как в абсолютных, так и в относительных величинах. Особенно выражены эти изменения между 14 и 16 годами.
У спортсменов 15-16 лет общая емкость легких такая же, как у взрослых нетренированных людей.
С ростом и развитием увеличиваются ЖЕЛ (табл. 27) и ее составляющие (дыхательный объем, резервные объемы вдоха и выдоха), а также изменяются соотношения между ними.
| Таблица 27. Средняя величина ЖЕЛ (мл) |
| Возраст, лет |
| 6 |
7 |
8 |
10 |
12 |
15 |
17 |
| Мальчики |
| 1200 |
1400 |
1440 |
1630 |
1975 |
2600 |
3520 |
| Девочки |
| 1100 |
1200 |
1360 |
1460 |
1905 |
2530 |
2760 |
|
У юных спортсменов (легкоатлетов, велосипедистов, гребцов) ЖЕЛ выше, чем у не занимающихся-спортом. Наибольшей ЖЕЛ, нередко превышающей 5 л, обладают юные пловцы, велосипедисты. Повышение ЖЕЛ и резервного объема вдоха обусловливает более значительную вентиляцию легких и удовлетворение кислородного запроса. Юные спортсмены отличаются от своих нетренированных сверстников лучшим соотношением легочных объемов. У тренированных подростков и юношей снижается доля остаточного объема в функциональной остаточной емкости, увеличивается запас кислорода в альвеолах легких.
По мере развития организма изменяется режим дыхания: длительность дыхательного цикла, временное соотношение между вдохом и выдохом, глубина и частота дыхания. Для детей младшего возраста характерны частый, недостаточно устойчивый ритм дыхания, небольшая глубина, примерно одинаковое соотношение по времени вдоха и выдоха, короткая дыхательная пауза. Частота дыхания у детей 7-8 лет составляет 20-25 дыхательных движений в минуту. С возрастом она снижается до 12-16 дыханий в минуту, ритм дыхания становится более стабильным. Фаза вдоха укорачивается, а выдох и дыхательная пауза удлиняются. Одновременно увеличиваются дыхательный объем и скорость воздушного потока на вдохе. У детей 7-8 лет дыхательный объем колеблется в пределах от 163 до 285 мл, у взрослых он увеличивается в 2-3 раза. Юные спортсмены отличаются от своих сверстников-неспортсменов меньшей глубиной дыхания в условиях относительного покоя.
Несмотря на абсолютно меньший минутный объем дыхания, относительная его величина у детей выше, чем у взрослых. С возрастом относительная величина легочной вентиляции уменьшается. Так, минутный объем
дыхания у 14-летних подростков на 1 кг массы тела и на 1 м2 поверхности тела составляет соответственно 125 и 3700 мл, а у взрослых лишь 80 и 2500 мл.
Аналогичная возрастная зависимость проявляется и в отношении потребления О2. Абсолютная величина этого показателя у детей ниже, а относительная выше, чем у взрослых. Например, относительное потребление О2 в покое составляет в возрасте 10 лет 6,24 мл/кг*мин, а в 20 лет - 4,45 мл/кг*мин. Под влиянием спортивной тренировки (например, в гребле) в течение одного-двух лет потребление О2 в покое у юных спортсменов заметно снижается, и уже в 14 лет может достигать уровня, характерного для нетренированных людей 20-30 лет.
Дыхательную функцию характеризует также максимальная вентиляция легких. С возрастом она увеличивается. При этом возрастает резерв дыхания, т. е. разница между минутным объемом дыхания в покое и максимальной вентиляцией легких. У юных спортсменов максимальная вентиляция легких и резерв дыхания больше, чем у неспортсменов. Причем разница находится в прямой зависимости от стажа занятий спортом.
Режим дыхания у детей менее эффективный, чем у взрослых. Например, у ребенка 1 л кислорода извлекается из 29-30 л воздуха, вентилирующего легкие, у подростков - из 32-34 л, у взрослых - из 24-25 л. За один дыхательный цикл подросток потребляет 14 мл кислорода, в то время как взрослый 21 мл. Таким образом, дети потребляют относительно больше кислорода за счет более напряженной деятельности дыхательного аппарата.
По мере развития организма изменяется способность адаптироваться к недостатку кислорода. Дети и подростки менее, чем взрослые, способны задерживать дыхание и работать в условиях недостатка кислорода. У них быстрее, чем у взрослых, снижается насыщение крови кислородом, а дыхание после задержки возобновляется при еще высоком содержании кислорода в крови. Следовательно, дети и подростки уступают взрослым в способности преодолевать недостаток кислорода. Это связывают с тем, что они обладают меньшей, чем взрослые, способностью затормаживать дыхательные движения, а также преодолевать гипоксические и гиперкапнические сдвиги в крови.
Юные спортсмены характеризуются более совершённой адаптацией к этим сдвигам, чем их сверстники-неспортсмены. Так, у спортсменов 12 и 15-16 лет при задержке дыхания насыщение крови кислородом снижается в среднем соответственно на 4,8 и 8,9%, а у неспортсменов лишь на 3,3 и 6,8%, т. е. юные спортсмены могут преодолевать более значительные гипоксические сдвиги.
Дыхание при работе. У детей одинаковая со взрослыми мышечная нагрузка сопровождается большим усилением внешнего дыхания, потребления О2. Влияние спортивной тренировки проявляется в снижении легочной вентиляции и потребления О2 при стандартной нагрузке. Тренированные дети выполняют физическую нагрузку при меньшем усилении дыхания по сравнению с нетренированными.
Дети характеризуются меньшими возможностями усиления внешнего дыхания и потребления О2 при работе. Например, у детей 8-9 лет минутный объем дыхания при напряженной работе может увеличиваться по сравнению с данными покоя в 10-12 раз (до 50-70 л/мин), а у взрослых - в 15-18 раз (до 100-150 л/мин), у спортсменов еще больше - в 20-25 раз (до 180-220 л/мин).
Легочная вентиляция у детей увеличивается преимущественно за счет учащения дыхания, а не увеличения его глубины. Это объясняет тот факт, что за один дыхательный цикл дети 8-9 лет потребляют в 3,5 раза меньше кислорода, чем нетренированные взрослые, и в 6 раз меньше, чем спортсмены высокого класса.
Меньшая - способность детей снабжать организм кислородом при работе определяется также меньшей кислородной емкостью крови. Общее содержание гемоглобина в крови в расчете на 1 кг массы тела составляет, у детей 7-11 лет 7,5 г, а у взрослых- 10,4 г. Другая, причина меньшего усиления потребления кислорода у детей при выполнении физических упражнений заключается в возрастных особенностях сердечно-сосудистой системы: обеспечение организма кислородом осуществляется за счет более напряженной и менее эффективной деятельности сердца. Например, даже в условиях относительного покоя потреблению 1 л кислорода у подростков соответствует сердечный выброс 21-22 л, а у взрослых-15- 16 л.
Для детей характерна меньшая АВР-О2 при мышечной работе. Нагрузка, сопровождающаяся МПК, вызывает увеличение АВР-О2 у детей до 8 об.%, у нетренированных взрослых - до 14-15 об.%. Это указывает на то, что с возрастом повышается использование кислорода из артериальной крови. Например, у детей 8-11 лет в условиях МПК из артериальной крови используется лишь около 50% кислорода, в то время как у взрослых 70%, а у спортсменов высокого класса 90%.
Развитие движений и формирование двигательных (физических) качеств
Роль движений й развитии организма огромна. Они способствуют формированию многих функций человека.
Сложившаяся в процессе эволюции взаимосвязь моторных и вегетативных функций обеспечивает по механизму моторно-висцеральных рефлексов совершенствование в ходе онтогенеза обмена веществ и энергии.
Двигательный аппарат
В процессе развития детей происходит окостенение скелета, т. е. замена хрящевой ткани на костную, причем в различных его частях в разные сроки. Развитие характеризуется ростом костей в длину и в ширину, изменением их химического состава (увеличивается содержание солей кальция, фосфора, магния), повышением прочности. В костях находится орган кроветворения - красный костный мозг.
С возрастом происходит совершенствование кроветворной функции.
Развитие костной ткани в значительной мере зависит от роста мышечной ткани. Мышцы детей существенно отличаются от мышц взрослых. С возрастом увеличивается масса мышц.
Однако это происходит неравномерно: в течение первых 15 лет на 9%, а в последующие 2-3 года на 12%. Каждая мышца или группа мышц развиваются также неравномерно. Наиболее высокими темпами роста обладают мышцы ног, наименее высокими - мышцы рук.
Темпы роста мышц-разгибателей опережают развитие мышц-сгибателей. Особенно быстро нарастает вес тех мышц, которые раньше начинают функционировать и являются более нагруженными.
Характеристика основных движений
С первых дней жизни ребенка по механизму временных связей происходит формирование новых движений. Огромное значение при этом имеет взаимодействие двигательной системы с другими сенсорными системами: зрительной, слуховой, вестибулярной и т. д.
Ходьба. Овладение ходьбой - сложным двигательным навыком - происходит в течение всего 2-го года жизни.
С возрастом ходьба стабилизируется: увеличивается длина шага, уменьшаются темп движений и колебания тела при ходьбе.

Бег. Элементы бега появляются у детей с 2 лет.
Совершенствуется двигательный навык бега благодаря удлинению фазы полета и уменьшению длительности опоры. От 3 до 10 лет фаза полета увеличивается более чем в 2 раза. Изменение длины шага и темпа бега определяет повышение с возрастом скорости бега - возрастает максимальная скорость. Одновременно уменьшается величина снижения скорости в конце бега на короткие дистанции (рис.
95). Максимальная скорость бега у детей 10-11 лет составляет 5,37 м/с, у 14-15летних - 6,07 м/с, у 17-18-летних - 8,08 м/с.
У детей 7-8 лет способность сохранять высокую скорость бега развита меньше, чем у подростков и юношей. Спортивная тренировка способствует увеличению максимальной скорости бега и способности удерживать высокую скорость на дистанции.
Прыжки. Прыжок, как сложный двигательный навык, требующий значительной силы и быстроты движений, формируется лишь на 3-м году жизни. С возрастом результат в прыжках увеличивается благодаря повышению мышечной координации, развитию силы мышц и быстроты. Увеличение это происходит неравномерно.
Наибольший рост результатов в прыжках отмечается у мальчиков до 13 лет, а у девочек до 12-13 лет. В последующие годы (до 17- 18 лет) он замедляется.
Возрастной анализ высоты подпрыгивания (толчком двух ног) показал, что с 8 до 10 лет годовой прирост результатов в среднем составляет 2 см. Наибольший прирост зафиксирован с 10 до 13 лет - 4,3 см.
В последующие годы отмечено снижение темпов прироста. Спортивная тренировка способствует повышению результативности в прыжках.
У юных спортсменов наиболее интенсивный прирост отмечен от 13-14 до 15-16 лет. В последующий возрастной период (17-18 лет) темпы прироста замедляются.
Развитие двигательных качеств
Между развитием двигательных качеств (силы, быстроты, выносливости, ловкости, гибкости) и формированием двигательных навыков существует тесная взаимосвязь. Освоение новых движений сопровождается совершенствованием двигательных качеств.
Различные движения избирательно воздействуют на двигательный аппарат человека и поэтому в неравной мере развивают отдельные мышцы и мышечные группы.
Формирование двигательных качеств в онтогенезе происходит неравномерно и гетерохронно и зависит от развития ряда систем организма. Например, совершенствование выносливости определяется в значительной мере слаженной деятельностью кровесной, дыхательной и сердечно-сосудистой систем, а развитие силы мышц тесно связано с ростом костной и мышечной тканей, с формированием способности управлять работой мышц. Каждому возрасту свойствен определенный уровень развития двигательных качеств.
Наивысшие достижения в силе, быстроте и выносливости достигаются в разные сроки.
Систематическая тренировка ускоряет развитие двигательных качеств, но прирост их в различные возрастные периоды неодинаков.
Сила. Впервые максимальную произвольную силу мышц (МПС) при изометрическом напряжении удается измерить в возрасте 4-5 лет.
МПС сгибателей и разгибателей кисти составляет в среднем соответственно 5,22 и 4,61 кг, бедра 6,0 и 7,9 кг, туловища 8,17 и 14,65 кг.
С возрастом происходит неравномерное развитие силы отдельных мышц. Как видно из табл.
28, в 12-16 лет прирост МПС у мышц-разгибателей бедра больше, чем у мышц-разгибателей голени и стопы.
| Таблица 28. Максимальная произвольная сила мышц (кг) в зависимости от возраста |
| Возраст, лет |
Разгибатели бедра |
Разгибатели ходеци |
Разгибатели стопы |
| 12 |
62 |
24 |
39 |
| 13 |
74 |
31 |
49 |
| 14 |
85 |
37 |
55 |
| 15 |
96 |
41 |
59 |
| 16 |
106 |
44 |
68 |
|
В каждом возрастном периоде изменяется соотношение (топография) МПС различных мышц, формируется своеобразный мышечный профиль.
Система крови
Диффузионная способность легких. В покое и при мышечной работе диффузионная способность легких у спортсменов выше чем у неспортсменов (рис. 36). Так, у бегунов-марафонцев она в покое почти такая же, как у нетренированного мужчины при максимальной работе.
Хотя в показателях максимальной диффузионной способности легких у разных людей имеются большие различия, в целом они находятся в прямой связи с максимальными аэробными возможностями.
Повышение диффузионной способности легких у спортсменов связано отчасти с увеличением легочных объемов, что обеспечивает большую альвеолярно-капиллярную поверхность, но главным образом - с увеличением объема крови в легочных капиллярах за счет расширения альвеолярной капиллярной сети и повышения центрального объема крови.
Высокая диффузионная способность легких обеспечивает ускоренный переход кислорода из альвеол в кровь легочных капилляров и быстрое насыщение ее кислородом при нагрузках очень большой мощности.

Парциальное напряжение О
2 в артериальной крови (Р
аО
2). Р
аО
2 позволяет судить об эффективности обмена кислорода в легких.
В покое оно практически одинаково у спортсменов и неспортсменов и колеблется у здоровых людей примерно до 40 лет в пределах 85-105. мм рт. ст.
(чаще всего 95-98 мм рт. ст.).
При субмаксимальной и более легкой аэробной работе Р
аО
2 практически не отличается от условий покоя. Лишь при околомаксимальной и максимальной аэробной работе оно несколько снижается: у нетренированных людей обычно не более чем на 5-10 мм рт. ст., а у очень хорошо тренированных спортсменов с высоким.
МПК- на 10-15 мм рт. ст. (при максимальной работе).
Такое значительное снижение Р
аОг У спортсменов не является следствием недостаточной диффузионной способности легких или уменьшения парциального давления О
2 в альвеолярном воздухе (последнее при работе обычно превышает 100 мм рт. ст.). Скорее всего, это происходит из-за несоответствия .между вентиляцией и перфузией крови в легких, а также из-за высокой скорости движения Крови через альвеолярные капилляры.
Кроме того, возможно, что Р
аО
2 заметнее снижается у спортсменов в связи с более значительным, чем у неспортсменов, венозным шунтом - объемом венозной крови, который поступает прямо в артериальные сосуды и полости сердца, минуя альвеолярные капилляры. Особенно большую роль в этом отношении может играть сброс венозной крови из коронарных вен сердца, поскольку у спортсменов объем коронарного кровотока выше, а содержание О
2 в коронарной венозной крови снижено больше, чем у неспортсменов.
В целом система внешнего дыхания спортсмена поддерживает напряжение кислорода в артериальной крови, необходимое для эффективного снабжения кислородом работающих мышц и других активных органов и тканей.
Таким образом, главные эффекты тренировки выносливости в отношении системы внешнего дыхания состоят в следующем: увеличение легочных объемов и емкостей;
повышение мощности и эффективности (экономичности) внешнего дыхания;
повышение диффузионной способности легких.
Система крови
Многие показатели крови могут существенно влиять на аэробную выносливость. Прежде всего, от объема крови и содержания в ней гемоглобина зависят кислородтранспортные возможности организма.
Объем и состав крови. Тренировка выносливости ведет к значительному увеличению объема циркулирующей крови (ОЦК).
У спортсменов он значительно больше, чем у нетренированных людей (табл. 10). Причем увеличение ОЦК является специфическим эффектом тренировки выносливости его не наблюдается у представителей скоростно-силовых видов спорта.
С учетом размеров (веса) тела разница между ОЦК у выносливых спортсменов, с одной стороны, и нетренированных людей и спортсменов, тренирующих другие физические качества, с другой, в среднем составляет более 20%.
| Таблица 10. Объем циркулирующей крови и ее составных частей у спортсменов, тренирующих выносливость, и нетренированных мужчин (Л. Рёккер, 1977) |
| Показатели |
Спортсмены |
Неспортсмены |
| ОЦК (л) |
6,4 |
5,5 |
| ОЦК (мл/кг веса тела) |
95,4 |
76,3 |
| Объем циркулирующей плазмы (ОЦКл), л |
3,6 |
3,1 |
| ОЦКл (мл/кг веса тела) |
55,2 |
43,0 |
|
| Объем циркулирующих эритроцитов (ОЦЭр), л |
2,8 |
2,4 |
| ОЦЭр (мл/кг веса тела) |
40,4 |
33,6 |
| Г ематокрит |
42,8 |
44,6 |
Как следует из данных, приведенных в таблице, прирост ОЦК у спортсменов в большей степени обусловлен увеличением объема плазмы, чем объемом эритроцитов. Соответственно показатель гематокрита (вязкости крови) у них имеет тенденцию быть ниже, чем у неспортсменов.
Увеличение объема плазмы у спортсменов, тренирующих выносливость, связано с повышением общего содержания белков в циркулирующей крови. Это повышение отражает стимулируемый тренировкой выносливости усиленный синтез белков в печени (главным образом, альбуминов и глобулинов).
Увеличение концентрации белков в плазме крови повышает ее коллоидно-осмотическое давление, что автоматически ведет к абсорбции дополнительного количества жидкости из внесосудистых (межклеточных, тканевых) пространств в кровь. В результате объем циркулирующей плазмы увеличивается, а концентрация белка в плазме крови поддерживается на нормальном уровне - около 7 г%.
Более того, у спортсменов концентрация белков в плазме крови может быть даже несколько меньше и соответственно коллоидно-осмотическое давление плазмы крови ниже, чем у нетренированных людей (табл. 11).
| Таблица 11. Содержание белка, объем и коллоидно-осмотическое давление плазмы крови у спортсменов (велосипедистов, бегунов на средние и длинные дистанции) и у нетренированных мужчин (данные Л. Рёккера и др., 1976) |
| Показатели |
Спортсмены (n = 40) |
Неспортсмены (n =49) |
| Внутрисосудистое (общее) содержание белка (г/кг веса тела) |
3,75 |
3,09 |
| ОЦКл (мл/кг веса тела) |
54,6 |
42,7 |
| Концентрация белка в плазме крови (г %) |
6,8 |
7,1 |
| Коллоидно-осмотическое давление (мм рт. ст) |
30,0 |
38,0 |
|
Увеличение ОЦК имеет очень большое значение для повышения кислородтранспортных возможностей спортсменов, тренирующих выносливость. Прежде всего, благодаря увеличению ОЦК растет центральный объем крови и венозный возврат к сердцу, что обеспечивает большой систолический объем крови.. Увеличенный ОЦК позволяет направлять большое количество крови в кожную сеть и таким образом увеличивает возможности организма для теплоотдачи во время длительной работы. Излишек плазмы дает также резерв для ее дополнительной потери во время работы (гемоконцентрации) без значительного повышения гематокрита крови. Это облегчает работу сердца при прокачивании больших количеств кроди с высокой скоростью во время нагрузки большой аэробной мощности. Кроме того, увеличенный объем плазмы обеспечивает большее разведение продуктов тканевого обмена, поступающих в кровь во время работы (например, молочной кислоты), и тем самым снижает их концентрацию в крови.
Красная кровь (эритроциты и гемоглобин). Содержание гемоглобина в крови определяет ее кислородную емкость и, следовательно, ее кислородтранспортные возможности. Поэтому на первый взгляд неожиданно, что концентрация эритроцитов и гемоглобина в крови у представителей видов спорта, требующих проявления выносливости, в среднем такая же (или даже несколько ниже), как у неспортсменов или у спортсменов других видов спорта (табл. 12).
| Таблица 12 Показатели красной крови у спортсменов и неспортсменов (данные разных авторов) |
| Исследуемая группа и авторы исследований |
Концентрация
эритроцитов,
млн/мм3 |
Концентрация гемоглобина, г% |
Общее
содержание
гемоглобина |
Среднее содержание гемоглобина в эритроците, г% |
| г |
г/кг веса тела |
| Бегуны на средние и длинные дистанции (n=40) |
4,77 |
14,6 |
840 |
13,6 |
|
| Неспортсмены (n=12) (данные Б. Бразерхуда и др., 1975) |
4,97 |
15,1 |
747 |
11,3 |
|
| Лыжники и бегуны на средние и длинные дистанции (n=7) |
|
16,0 |
1061 |
15,6 |
34,2 |
| Борцы (n=14) (данные Я. М. Коца и В. Д. Городецкого, 1978) |
|
15,6 |
984 |
13,2 |
34,3 |
|
Вместе с тем поскольку у выносливых спортсменов ОЦК увеличен, у них пропорционально выше и общее количество эритроцитов и гемоглобина в крови. Так, у нетренированных мужчин и у представителей
скоростно-силовых видов спорта общее содержание в крови гемоглобина равно в среднем 700 - 900 г, или 10-12 г/кг (у женщин - около 500 г, или 8-9 г/кг), а у выносливых спортсменов соответственно 1000-1200 г, или 13- 16 г/кг (у женщин 800 г, или 12 г/кг).
Таким образом, общая продукция эритроцитов и гемоглобина у спортсменов, тренирующих выносливость, превышает таковую у неспортсменов. Однако усиленный эритропоэз и гемоглобинообразо-вание лишь обеспечивают поддержание нормальной концентрации эритроцитов и гемоглобина в увеличенном ОЦК- У таких спортсменов сохраняется и нормальное соотношение между эритропбэзом и гемоглобинообразованием, так что средняя концентрация гемоглобина в эритроцитах заметно не отличается от обычных величин (см. табл. 12).
Одним из механизмов, стимулирующих усиленный зритропоэз (и гемоглобинообразование), служит рабочий гемолиз, происходящий во время напряженных тренировок и соревнований (особенно в беге). Об этом можно судить по сниженной концентрации гаптоглобина у тренирующихся бегунов (в среднем около 100 мг%) по сравнению с неспортсменами (200 мг%). Причем в отдельных случаях после очень тяжелых нагрузок гаптоглобин в крови может вообще не обнаруживаться.

В условиях покоя несколько сниженная концентрация эритроцитов (уменьшенный гематокрит) у спортсменов имеет определенные преимущества, так как уменьшает нагрузку на сердце. Во время мышечной работы гемоконцентрация обеспечивает повышение, содержания гемоглобина и потому увеличивает кислородную емкость крови пропорционально мощности нагрузки. В этом отношении хорошо тренированный спортсмен с более низкими в условиях покоя показателями красной крови (пониженной концентрацией эритроцитов и гемоглобина) и значительным ОЦК имеет определенные функциональные преимущества: диапазон рабочих изменений у него в крови увеличен, а следовательно, и функциональный резерв для повышения кислородтранспортных возможностей больше, чем у малотренированного человека (рис. 37).

Содержание О2 в артериальной крови. У спортсменов, как и у неспортсменов, при аэробной нагрузке любой мощности содержание О2 в артериальной крови не только не снижается, но становится даже выше, чем в условиях покоя. Например, при аэробной работе максимальной мощности небольшое уменьшение кислорода в артериальной крови (около 0,2 мл О2/100 мл крови), связанное главным образом со снижением процентного насыщения гемоглобина кислородом, с избытком компенсируется за счет повышения концентрации гемоглобина (на 2,5 мл О2 /100 мл крови) в результате рабочей гемоконцентрации (см. рис. 37).
Концентрация 2,3-ДФГ в эритроцитах у спортсменов, тренирующих выносливость, на 15-20% выше, чем у неспортсменов. Благодаря этому у выносливых спортсменов облегчена отдача гемоглобином кислорода в тканевых капиллярах, что повышает эффективность кислородтранспортной функции крови.
Молочная кислота в крови. В упражнениях на выносливость между длиной соревновательной дистанции и концентрацией лак-тата в крови имеется обратная нелинейная зависимость: чем длиннее дистанция (больше время ее прохождения), тем меньше концентрация лактата в крови (рис. 38).
Содержание молочной кислоты в крови во время выполнения мышечной работы зависит от трех основных факторов: 1) способности кислородтранспортной системы удовлетворять потребности работающих мышц в кислороде; 2) возможностей работающих мышц для
аэробной и анаэробной (гликолитической) энергопродук-Ции и 3) способности организма Утилизировать

молочную кислоту, поступающую из работающих мышц в кровь.
В процессе систематической тренировки выносливости содержание лактата в мышцах и крови при выполнении одной и той же немаксимальной аэробной нагрузки прогрессивно снижается (рис. 39). Концентрация лактата в артериальной крови у спортсменов ниже, чем у неспортсменов, при любой, одинаковой

Во-первых, у выносливых спортсменов .повышен аэробный потенциал скелетных мышц, благодаря чему мышцы у них продуцируют меньше молочной, кислоты, чем у нетренированных людей, так как в большей степени используется аэробный путь энергообразования. Об этом свидетельствует тот факт, что при одинаковой работе концентрация лактата в мышцах после тренировок, снижается (см. рис. 39).
Во-вторых, у спортсменов происходит более быстрое врабатывание кислородтранспортной системы. Как известно, при длительных аэробных упражнениях наибольшая концентрация лактата в крови обнаруживается в первые минуты работы, что связано с кислородным дефицитом. По сравнению с нетренированными у выносливых спортсменов повышение концентрации лактата в крови в, начале работы значительно-меньше.
В-третьих, у спортсменов, тренирующих выносливость, обнаруживается усиленная утилизация образующейся в мышцах молочной, кислоты. Этому способствует повышенный аэробный потенциал всех мышечных волокон и особенно высокий, процент медленных мышечных волокон, а также увеличенная масса сердца. Медленные мышечные волокна, как и миокард, способны активно использовать молочную кислоту, в качестве энергетического субстрата. Кроме того, при одинаковых аэробных нагрузках (равном потреблении О2) кровоток через печень у спортсменов выше, чем у нетренированных, что также может способствовать более интенсивной экстракции печенью молочной кислоты из крови и ее дальнейшему превращению в глюкозу и гликоген (цикл Кори).
В-четвертых, увеличенный объем циркулирующей крови у спортсменов снижает концентрацию лактата, поступающего из мышц в кровь, за счет большего разведения, чем у неспортсменов.
3,0 3,4 3.8 4.2 4.8
3.2 3,6 4.0 4.4 4.8
Аиаоообны* Я0Р0Г .м/с Рис. 40. Корреляционная связь МПК с анаэробным порогом (А), который определен по мощности нагрузки, выраженной как скорость потребления О2. Корреляционная связь средней дистанционной скорости в беге на 400 (Б), 800 и 1500 м (В) и в марафонском беге (Г) с лактацидемическим анаэробным порогом, который определен в беге на тредбане и выражен как скорость, при которой достигалась концентрация лактата в крови 4 ммоль/л. Видно, что чем длиннее дистанция, тем теснее связь снортивного результата (скорости бега) с лактацидемическим порогом (выше коэффициент корреляции - r).
Таким образом, тренировка выносливости не только повышает аэробные возможности (МПК), но и развивает способность выполнять большие длительные аэробные нагрузки без значительного увеличения содержания молочной кислоты в крови.
Это один из важнейших механизмов, повышения выносливости у спортсменов, специализирующихся в упражнениях относительно большой продолжительности.
В качестве общего показателя описанных изменений в последние годы широко используется измерение лактацидемического анаэробного порога, (ЛАП), т. е. определение той наименьшей нагрузки, при которой или впервые достигается концентрация лактата в артериальной крови 4 ммоль/л (ЛАП4), или начиная с которой при дальнейшем повышении нагрузки концентрация лактата в артериальной крови быстро нарастает- ЛАПИ (см. рис. 35).
Лактацидемический анаэробный порог близок к вентиляционному анаэробному порогу - ВАП. Иначе

Рис. 41. Анаэробный порог у спортсменов разных специализаций, определяемый при беге на тредбане (А и Б) и при работе на ведоэргометре (В и Г). В первом случае он выражен как пороговая скорость (м/с), во втором - как абсолютная мощность пороговой нагрузки или мощность пороговой нагрузки в ваттах, отнесенная к весу Тела (Г). Черные прямоугольники - средние данные для всей группы, светлые - для 5 лучших аз группы. Числа в прямоугольниках указывают количество спортсменов данной специализации
0 M0
анаэробный порог называют порогом анаэробного обмена (ПАНО).
Анаэробный порог служит показателем аэробных возможностей организма: чем больше последние, тем выше этот порог. Между МПК и спортивным результатом на длинных дистанциях, с одной стороны, и анаэробным порогом, с другой, имеется прямая зависимость (рис. 40). Анаэробный порог неодинаков у представителей разных специализаций: наиболее высокий он у спортсменов, тренирующих выносливость (рис.
41). У высококвалифицированных выносливых спортсменов он достигается лишь при нагрузках с потреблением О2 более 70- 80% от МПК, а у нетренированных людей - уже при нагрузках с потреблением О2, равном 45-60% от МПК.
Выдающиеся марафонцы пробегают дистанцию со скоростью потребления кислорода, соответствующей 80-85% от их индивидуального МПК, на уровне ниже анаэробного порога (концентрация лактата в крови менее 4 ммоль/л).
Иначе обстоит дело при выполнении относительно кратковременных максимальных аэробных нагрузок с потреблением кислорода на уровне МПК и предельной продолжительностью до нескольких минут (бег на 1500 м, академическая гребля и т. п.). При выполнении таких упражнений существенную долю в энергопродукцию мышц вносит анаэробный гликогенолиз, что ведет к образованию большого количества молочной кислоты в работающих мышцах. У спортсменов мощность максимальной аэробной работы (критическая аэробная мощность) значительно больше, чем у неспортсменов.
Отсюда и концентрация лактата в крови при работе на уровне МПК У спортсменов выше, чем у неспортсменов, - соответственно около 140 и 90 мг%, или 15 и 10 ммоль/л. Чем выше результат в таких упражнениях, т. е. чем выше максимальная аэробная мощность, которую спортсмен может поддерживать на дистанции, тем выше концентрация лактата в крови на финише дистанции.
Кислотно-щелочное равновесие крови. Концентрация водородных ионов в крови (рН) в наибольшей степени зависит от содержания в ней молочной кислоты, а также от парциального напряжения СО2 и буферных возможностей крови. В состоянии покоя рН артериальной крови у спортсменов практически такой же, как и у неспортсменов.
Поскольку во время мышечной работы он почти исключительно определяется концентрацией молочной кислоты, все, что было сказано об эффектах тренировки в отношении лактата крови, справедливо и для рН. У спортсменов, тренирующих выносливость, снижение рН происходит при более значительных нагрузках, и оно меньше, чем у нетренированных. Вместе с тем при максимальных аэробных нагрузках снижение рН у спортсменов больше, чем у неспортсменов.
В предельных случаях рН артериальной крови у высококвалифицированных спортсменов может падать до 7,0 и даже несколько ниже (особенно часто у гребцов).
Буферные соединения крови являются важнейшим механизмом в регуляции ее кислотно-щелочного равновесия. В условиях покоя содержание стандартного бикарбоната в крови У спортсменов в среднем такое же, как и нетренированных - соответственно 24,3 и 24,4 мэкв/л.
Однако снижение его у спортсменов происходит при более значительных нагрузках, чем у неспортсменов. Это объясняется прежде всего описанными различиями в изменении концентрации лактата в крови: у спортсменов степень лактацидемии ниже, чем у неспортсменов.
Парциальное напряжение СО2 в артериальной крови при очень больших нагрузках несколько снижается, причем у спортсменов чуть меньше, чем у неспортсменов, что связано с более совершенной регуляцией дыхания у спортсменов.
Глюкоза крови. Концентрация пдокозы крови в условиях покоя одинакова у спортсменов и неспортсменов. При относительно кратковременных упражнениях на выносливость она имеет тенденцию к увеличению по отношению к уровню покоя, а при длительных упражнениях к постепенному снижению (до 50-60 мг% против 80-100 мг% в условиях покоя). В результате тренировки выносливости такое снижение концентрации глюкозы в крови становится все меньше, наступает позднее и все более удлиняется период работы при сниженном содержании глюкозы в крови (гипогликемии).
У высококвалифицированных спортсменов даже после марафонского бега не обнаруживается снижения концентрации глюкозы в крови.
В заключение можно сказать, что основные изменения в крови, происходящие в процессе тренировки и приводящие к повышению, выносливости, сводятся к следующему:
1. увеличению объема циркулирующей крови (в большей мере за счет повышения общего объема плазмы, чем эритроцитов, т. е. со снижением гематокрита);
2. снижению рабочей лактацидемии (и соответственно ацидемии) при немаксимальных аэробных нагрузках (в общем виде это можно определить как повышение анаэробного порога);
3. повышению рабочей лактацидемии (и соответственно ацидемии) при максимальных аэробных нагрузках.
Сердечно сосудистая система (кровообращение)
Поскольку у спортсменов, как и у всех здоровых людей, внешнее дыхание не лимитирует скорость потребления кислорода, кислородтранспортные возможности определяются в основном циркуляторными возможностями, и прежде всего способностью сердца прокачивать большое количество крови по сосудам и
тем самым обеспечивать высокую объемную скорость кровотока через легкие, где кислород захватывается из альвеолярного воздуха, и через работающие мышцы, получающие кислород из крови.
Показатели работы сердца. В соответствии с уравнением Фика потребление кислорода (ПО2) находится в прямой зависимости от сердечного выброса (СВ) и от артерио-венозной разности по кислороду (АВР-О2): ПО2 = СВ * АВР-О2.
В свою очередь, сердечный выброс определяется как произведение систолического объема (СО) на частоту сердечных сокращений (ЧСС): СВ = СО * ЧСС. В табл.
13 приведены примерные средние данные этих основных функциональных показателей кислородтранспортной системы у нетренированных мужчин и у спортсменов, тренирующих выносливость.
| Таблица 13. Примерные средние данные основных функциональных показателей кислородтранспортной системы в покое и при максимальной аэробной нагрузке у нетренированных мужчин и спортсменов средней и высокой квалификации, тренирующих выносливость |
| Нагрузка |
ЧСС, уд/мин |
CO, мл/уд |
CB * АВР - О2 = ПО2 (л/мнн) (млО2/л) (млО2/мин) |
| Покой: |
|
|
|
| нетренированные |
70 |
70 |
5 * 50 = 250 |
| тренированные |
55 |
90 |
5 * 50 = 250 |
| выдающиеся спортсмены |
50 |
100 |
5 * 50 = 250 |
| Максимальная работа: |
|
|
|
| нетренированные |
200 |
120 |
24 * 140 = 3400 |
| тренированные |
195 |
150 |
30 * 150 = 4500 |
| выдающиеся спортсмены |
190 |
190 |
36 * 155 = 5600 |
|

Как следует из этих данных, у высококвалифицированных спортсменов большие аэробные возможности (МПК) в основном определяются исключительно высокой производительностью сердца, способного обеспечивать большой сердечный выброс, который достигается за счет увеличенного систолического объема, т. е количества крови, выбрасываемого желудочками сердца при каждом сокращении. Частота сердечных сокращений у спортсменов снижена по сравнению с нетренированными.
В условиях покоя скорость потребления кислорода, сердечный выброс и АВР-О2 у тренированных спортсменов, по существу, не отличаются от этих показателей у нетренированных (см. табл. 13). При одинаковом сердечном выбросе у спортсменов, тренирующих выносливость, ЧСС на 10-20 уд/мин ниже, чем у неспортсменов или спортсменов скоростно-силовых видов спорта (рис. 42, А).
Снижение ЧСС (брадикардия) является специфическим эффектом тренировки выносливости (ЧСС в покое может быть ниже 30 уд/мин рекордная ЧСС покоя - 21 уд/мин). Степень брадикардии покоя положительно коррелирует с МПК и со спортивным результатом в стайерском беге: при более низкой ЧСС покоя в. среднем выше МПК и спортивный результат.
Снижение ЧСС повышает экономичность работы сердца, так как его энергетические запросы, кровоснабжение и потребление О2 увеличиваются тем больше, чем выше ЧСС. Поэтому при одном и том же сердечном выбросе (как в покое, так и при мышечной работе) эффективность работы сердца у тренированных спортсменов выше, чем у нетренированных людей.
Механизмы спортивной брадикардии покоя разнообразны. Основную роль играет усиление парасимпатических (вагусных) тормозных влияний на сердце (повышение парасимпатического тонуса).
Система кровообращения
е. те ионы, которые находятся в основном в жидкости внеклеточных пространств - плазме и тканевой жидкости. Это главные электролиты, которые больше других определяют осмотическое давление плазмы и тканевых жидкостей, а значит, объем внеклеточной жидкости в теле.
Потери ионов калия и магния, связанных с внутриклеточным водным пространством, значительно меньше.
Следует, однако, иметь в виду, что с потом уходит относительно больше воды, чем электролитов (солей).

Поэтому при общем снижении содержания электролитов их концентрация в жидкостях тела повышается.
Следовательно, во время продолжительного сильного потоотделения потребность организма в замещении воды больше, чем в немедленном восстановлении электролитов.
Потери электролитов с мочой во время мышечной работы обычно очень незначительны, так как образование мочи в этот период уменьшено, а реабсорбция натрия в почечных канальцах усилена, что обеспечивает задержку экскреции ионов натрия с мочой. Важную роль в этом процессе играет повышение активности ренина и концентрации альдостерона в плазме крови (рис. 63).
Недостаточное кровоснабжение почек при работе в жарких условиях может усиливать -эти механизмы задержки натрия в организме. Такая задержка способствует сохранению водного баланса организма, так как объем плазмы и остальной внеклеточной жидкости пропорционален содержанию в них ионов натрия.
Почечная вазоконстрикция и повышенная температура тела при работе в жарких условиях вызывают усиление проницаемости почечных клубочков, в результате чего в моче может появиться белок (рабочая эротеинурия).
Система кровообращения
У человека, находящегося в состоянии покоя в условиях прямого нагревания тела при высокой температуре воздуха (например, в жаркий день на солнце), усиливается кожный кровоток, увеличивается сердечный выброс за счет повышения ЧСС.
Систолический объем при этом практически не изменяется. Общее периферическое сосудистое сопротивление и артериальное (систолическое) давление снижаются.
Так, пребывание в финской бане (сауне), где сухой жаркий воздух, вызывает увеличение сердечного выброса примерно на 70% и ЧСС более чем на 60%.
Избыточный сердечный выброс направляется в кожные сосуды для усиления теплоотдачи. Кроме того, кожный кровоток увеличивается за счет дополнительного перераспределения сердечного выброса - уменьшения кровотока через органы брюшной полости и (в меньшей степени) через мышцы.
Чревный и почечный кровотоки уменьшаются прямо пропорционально повышению температуры кожи.
Потребление О
г ,л/мин Рис. 64.
Сравнение реакции сердечнососудистой системы на работу разной мощности в жарких и нейтральных температурных условиях (Л. Роуэлл, 1974). Штриховая линия-жаркие условия (43,3), сплошная - нейтральные условия (25,6), Стрелки показывают направление изменения данного показателя под влиянием повышения температуры воздуха
Во время работы аэробной мощности повышенная температура воздуха обычно не оказывает заметного влияния на общую скорость потребления О2 (рис. 64).
Лишь при выполнении легкой работы в жарких условиях потребление О2 может быть несколько выше, чем в нейтральных условиях.
Повышенная температура воздуха существенно не влияет на показатели деятельности сердечно-сосудистой системы при выполнении кратковременной работы (продолжительностью до 4-6 мин). Во время максимальной аэробной работы (на уровне МПК) максимальный сердечный выброс, ЧСС и системная АВР-О2 одинаковы в жарких и нейтральных условиях.
МПК, в жарких условиях также не уменьшается, но сильно укорачивается предельная продолжительность работы на уровне МПК.
Во время продолжительной работы в жарких условиях сердечно-сосудистая система должна обеспечить одновременно адекватное кровоснабжение работающих мышц для доставки им достаточного количества О2 (метаболический запрос) и усиленный кожный кровоток для повышенной теплоотдачи (терморегуляторный запрос). Эта задача еще более осложняется из-за уменьшения объема циркулирующей крови и повышения ее вязкости.
В жарких условиях ЧСС и сердечный выброс выше, чем при выполнении такой же работы в нейтральных условиях среды (см. рис. 64). Помимо температуры на ЧСС влияет также повышенная влажность воздуха. Увеличение ЧСС обнаруживается с самого начала работы в жарких условиях.
Сердечный выброс увеличивается постепенно в процессе выполнения работы, а систолический объем прогрессивно уменьшается. Увеличение сердечного выброса обеспечивает дополнительный кровоток через кожные сосуды для усиления теплоотдачи.
С увеличением мощности выполняемой работы тепловой прирост сердечного выброса уменьшается. При субмаксимальных и околомаксимальных аэробных нагрузках сердечный выброс в жарких условиях среды примерно такой же, что и в нейтральных температурных условиях.
Однако, при высокой температуре воздуха происходит заметное снижение систолического объема, которое компенсируется дополнительным повышением ЧСС. Поскольку сердечный выброс не может быть более увеличен, дальнейшее усиление кожного кровотока обеспечивается только за счет перераспределения сердечного выброса. В результате уменьшается кровоток через работающие мышцы, возникает дефицит в их снабжении О2, возрастает анаэробная доля в энергопродукции мышц. Поэтому при одних и тех же субмаксимальных и околомаксимальных аэробных нагрузках концентрация лактата в крови в жарких условиях выше, чем в нейтральных (см. рис.
64).
Ухудшение кровоснабжения работающих мышц является одной из главных причин снижения работоспособности в жарких условиях. Из сказанного следует, что ухудшение мышечного кровотока является следствием двух основных причин: во-первых, увеличивается доля сердечного выброса, направляемая в кожные сосуды для усиленной теплоотдачи; во-вторых, по мере развития дегидратации уменьшается сердечный выброс в результате уменьшения систолического объема, вызванного падением венозного возврата из-за снижения общего и центрального объемов циркулирующей крови (см. рис.
64).
Максимально возможная объемная скорость кожного кровотока - 7-8 л/мин. Тем не менее во время работы даже при очень высокой температуре воздуха кожный кровоток вероятно не превышает 3-4 л/мин. Следовательно, даже в этих условиях кожные сосуды несколько сужены (состояние активного сосудистого тонуса). Постепенно по мере продолжения работы кожные сосуды расширяются из-за снижения сосудистого тонуса.
В результате еще большее количество крови направляется в кожную сосудистую сеть, а кровоснабжение работающих мышц еще больше ухудшается.
С расширением кожных сосудов уменьшается общее периферическое сосудистое сопротивление. При неизменном сердечном выбросе это ведет к падению артериального давления, которое постепенно снижается, вплоть до уровня, вызывающего сосудистый коллапс (обморок).
Особенно резко АД падает из-за снижения сердечного выброса. Это происходит, когда ЧСС достигает максимально возможного для данного человека уровня, а систолический объем продолжает уменьшаться.
Поскольку при работе в жарких условиях резко уменьшается чревный кровоток (см. рис. 64), создаются дополнительные затруднения для организма, связанные с недостаточным кровоснабжением органов брюшной полости, и прежде всего печени. Работа при высокой температуре воздуха вызывает и усиленное снижение почечного кровотока (см. рис.
62).
Тепловая адаптация (акклиматизация)
Непрерывное или повторное пребывание в условиях повышенных температуры и влажности воздуха вызывает постепенное приспособление к этим специфическим условиям внешней среды, в результате чего развивается устойчивость организма против теплового стресса. Человек переносит жару значительно легче; выполнение работы становится менее трудным - как объективно (уменьшаются физиологические сдвиги на тепловые воздействия), так и субъективно.
Наступает состояние тепловой адаптации - акклиматизации.
Физиологические изменения и их механизмы при тепловой адаптации
Тепловая адаптация обусловлена совокупностью специфических физиологических изменений (табл. 18).
Главными из них являются усиление потоотделения, снижение температуры ядра и оболочки тела и уменьшение ЧСС при нагрузке по мере пребывания в условиях повышенной температуры (рис. 65).
Таблица 18. Адаптационные физиологические изменения в условиях повышенной температуры окружающей среды
| Механизмы |
Адаптационные изменения |
| Потоотделение |
Более быстрое начало потоотделения (при работе), т. е. снижение температурного порога потоотделения |
| Повышение скорости потоотделения |
Кровь и
кровообращение |
Более равномерное распределение пота по поверхности тела, снижение содержания солей в поте, снижение ЧСС |
| Увеличение систолического объема |
| Усиление кожного кровотока |
| Увеличение объема циркулирующей крови |
| Снижение степени рабочей гемоконцентраций |
| Более быстрое перераспределение крови (в систему кожных сосудов) |
| Приближение кровотока к поверхности тела и более эффективное его распределение по поверхности тела |
| Уменьшение падения чревного и почечного кровотоков (во время работы) |
| Метаболизм |
Снижение основного объема |
| |
Снижение кислородной стоимости стандартной (легкой) работы |
| Терморегуляция |
Снижение температуры ядра и оболочки тела в покое и при мышечной работе |
| Рост устойчивости организма к повышенной температуре тела |
| Дыхание |
Уменьшение одышки (частого и поверхностного дыхания) |
Основные механизмы тепловой адаптации направлены на усиление отдачи тепла телом во внешнюю среду. По мере тепловой адаптации происходит усиление потообразования: увеличивается число функционирующих потовых желез, а также количество секретируе-мого пота при выполнении одной и той же физической нагрузки.
Снижается температурный порог потоотделения - оно начинается при более низкой температуре кожи и ядра тела и усиливается быстрее с повышением температуры тела.

Рис. 65.
Средние данные скорости потоотделения, ректальной температуры, ЧСС во время стандартной работы у группы мужчин на протяжении 9 дней акклиматизации к жарким условиям. Отметка О соответствует данным, полученным до начала тепловой акклиматизации при работе на протяжении 100 мин в нейтральных условиях среды. Все последующие дни испытуемые выполняли ту же нагрузку (300 ккал/ч) в жарких; условиях (показания сухого термометра - 48,9, влажного - 26,7)
У адаптированного к жаре человека меньше пота стекает в виде капелек, не испаряясь, так как пот более равномерно распределяется по поверхности тела, чем у неадаптированного человека. В результате возрастает площадь поверхности тела для усиленной теплоотдачи потоиспарением.
Усиление потоиспарения ведет к снижению температуры кожи. Благодаря этому кровь, протекающая в кожных сосудах, охлаждается сильнее, и потому растет температурный градиент ядро тела - кожа. Поэтому усиливается физический транспорт тепла (проведением) от глубоких частей тела к его поверхности.
Запрос в дополнительном усилении кожного кровотока (циркуляторной конвекции) соответственно снижается.
Гл авным эффектом усиления адаптивных механизмов теплоотдачи является снижение температуры тела (см. рис. 65).
При этом снижается как температура тела в условиях покоя, так и ее прирост в процессе мышечной работы.
В результате тепловой акклиматизации происходит снижение содержания солей в поте, т. е. пот становится более разбавленным. С потом теряется относительно больше воды, чем солей, и потому концентрация электролитов в крови повышается. Следовательно, увеличивается осмолярность крови. Повышенная осмолярность вызывает сильное ощущение жажды, которое является механизмом, направленным на компенсацию потерь жидкостей организмом.
У неадаптированного человека чувство жажды не во всех случаях достаточно, чтобы обеспечить потребность организма в воде. Адаптированный к жаре человек способен лучше поддерживать водный баланс.
В процессе тепловой адаптации проницаемость кожных капилляров снижается, что уменьшает выход молекул белка из этих сосудов. Содержание белка в тканевой жидкости кожи увеличивается.
При тепловых воздействиях он интенсивно перемещается через лимфатическую сеть кожи в циркулирующую кровь. Все это
вместе позволяет сохранять ее высокое онкотическое давление и достаточный объем. В целом в результате тепловой адаптации объем циркулирующей крови (в покое) увеличивается, а показатель гематокрита и вязкость крови имеют тенденцию к некоторому снижению.
Тепловая адаптация сопровождается снижением нагрузки на сердечно-сосудистую систему. На протяжении адаптации к жаре постепенно уменьшается кожный кровоток при нагрузке, хотя даже у полностью адаптированного человека при работе в жарких условиях кожный кровоток больше, чем в нейтральных условиях.
Вместе с тем растут возможности эффективного усиления кожного кровотока за счет более быстрого перемещения крови в систему кожных сосудов, приближения кровотока к поверхности (за счет раскрытия сети поверхностных сосудов) и более эффективного его распределения.
На протяжении тепловой адаптации уменьшается степень рабочей вазоконстрикции (сужения сосудов) в чревной и почечной областях, что улучшает кровоснабжение органов брюшной полости во время работы в жарких условиях.
Одним из наиболее заметных физиологических признаков тепловой адаптации служит снижение ЧСС в покое и при мышечной деятельности (см. рис. 65).
Постепенно увеличивается систолический объем, так что на протяжении всего периода пребывания в жарких условиях сердечный выброс не изменяется. Рост систолического объема в процессе тепловой адаптации обусловлен увеличением венозного возврата (центрального объема крови), которое происходит благодаря повышению объема циркулирующей крови и ее более эффективного перераспределения, особенно за счет постепенного уменьшения кожного кровотока.
На протяжении периода тепловой адаптации повышается механическая эффективность выполнения физической работы в жарких условиях, на что указывает прогрессивное снижение потребления О2 при выполнении стандартной (легкой) работы.
В процессе тепловой адаптации снижается тоническая активность симпатической нервной системы, о чем говорит, в частности, прогрессивное уменьшение количества выделяющегося с мочой норадреналина.
Важную роль в процессе тепловой акклиматизации играют эндокринные железы. Известно, например, что введение Д-альдостерона вызывает снижение температуры тела и увеличивает продолжительность работы в жарких условиях даже у адаптированных к этим условиям людей.
Этот эффект не связан с величиной потоотделения.
Большинство изменений, связанных с тепловой акклиматизацией, происходит особенно быстро на протяжении первых 4-7 дней пребывания в жарких условиях (см. рис. 65). Процесс тепловой акклиматизации практически полностью заканчивается к 12-14-му дню.
Однако максимальное приспособление к повышенным температуре и влажности воздуха наблюдается лишь у постоянных жителей районов с этими условиями.
Тепловая адаптация развивается не только при непрерывном многодневном проживании в жарких условиях, но и при повторных кратковременных (в течение нескольких часов в день) пребываниях в них: в термокамере, в специальной одежде с подогревом или с повышенными теплоизолирующими свойствами. Степень тепловой адаптации невелика, если, находясь в жарких условиях, человек не выполняет физической нагрузки.
Эффекты тепловой адаптации весьма специфичны. Приспособление организма к условиям сухой жары необязательно гарантирует достаточную адаптацию к жарким и влажным условиям.
Более того, адаптация к легкой работе (около 25% МПК) в жарких условиях не означает адаптации к выполнению умеренной (50% МПК) или тяжелой (75% МПК и более) работы в этих же условиях.
Эффект тепловой адаптации сохраняется на протяжении нескольких недель после пребывания в условиях повышенной температуры воздуха.
С возрастом переносимость повышенной температуры среды ухудшаетгся. У пожилых и старых людей потоотделение начинается позднее - при более высокой температуре тела, чем у молодых. В ответ на тепловую нагрузку кожный кровоток увеличивается у пожилых людей; значительнее, но максимальные возможности такого усиленияних меньше, чем у молодых.
После пребывания в условиях жары у пожилых и старых людей температура тела более медленно возвращается к норме.
Тепловая адаптация у спортсменов
Тренировочные и соревновательные нагрузки в видах спорта, требующих проявления выносливости, вызывают существенное повышение температуры ядра тела - до 40, даже в нейтральных условиях среды. Это служит стимулом для развития приспособительных (адаптационных) реакций к большой внутренней Тепловой нагрузке.
Такие реакции со стороны сердечно-сосудистой системы, потовых желез и других органов и систем во многом сходны с реакциями у людей, прошедших акклиматизацию к большим внешним тепловым нагрузкам (высоким температуре и влажности воздуха).
В результате систематических занятий у спортсменов, тренирующих выносливость, совершенствуется терморегуляция: снижается теплопродукция, улучшается способность к теплопотерям за счет повышенного потообразования. Так, для тренированных спортсменов характерна высокая чувствительность реакции потоотделения на тепловые раздражители, равномерное распределение потоотделения по поверхности тела. Соответственно у спортсменов во время работы при обычной или высокой температуре воздуха внутренняя и кожная температура ниже, чем у нетренированных людей, выполняющих такую же абсолютную нагрузку.
Содержание солей в поте у спортсменов также ниже.
В процессе тренировки выносливости в нейтральных условиях увеличивается объем циркулирующей крови, совершенствуются реакции перераспределения кровотока с уменьшением его через кожную сеть, что снижает кожную температуру и повышает проведение тепла от ядра к поверхности тела.
Таким образом, у спортсменов в результате регулярных интенсивных тренировок выносливости даже в нейтральных температурных условиях совершенствуются определенные физиологические механизмы, характерные и для тепловой адаптации. Поэтому хорошо тренированные на выносливость спортсмены обычно лучше приспосабливаются к работе в жарких условиях, чем нетренированные, более быстро акклиматизируются, по крайней мере, для выполнения в жарких условиях работ небольшой мощности. Вместе с тем сама по себе даже высокая спортивная тренированность и тренировки любого характера в нейтральных условиях внешней среды не могут полностью заменить специфическую тепловую адаптацию, которая необходима спортсмену, если он должен выступать на соревновании в условиях повышенных

температуры и влажности.
Тепловых адаптационных приспособлений, вызванных тренировкой в нейтральных (или холодных) условиях, недостаточно для эффективного выполнения интенсивной работы в жарких условиях. При подготовке к соревнованиям, которые будут проводиться в условиях повышенных температуры и влажности воздуха, спортсмен должен начать тренировки в таких же условиях за 7-12 дней до соревнований. Если нет возможности тренироваться в этих условиях, следует использовать костюмы (потники), которые препятствуют отдаче тепла и ограничивают испарение пота.
Тренировка в потнике вызывает эффекты повышенной тепловой устойчивости, хотя и меньшие, чем тренировка в жарких условиях среды.
Питьевой режим
Как уже говорилось, высокая скорость потоотделения при напряженной работе в жарких условиях ведет к значительным потерям организмом воды (дегидратации), а также солей. В результате работоспособность и тепловая устойчивость (способность переносить жару) снижаются.
Потеря воды и их восполнение во время соревнования
Еще бытует среди тренеров и спортсменов мнение о якобы расслабляющем действии воды, о дополнительной нагрузке на сердце лишней жидкости, считается, что надо пить меньше воды, чтобы уменьшить ее потери с потом. Вместе с тем физиологические исследования доказывают, что потери воды в результате напряженной длительной работы (особенно в жарких условиях) должны быть восполнены как можно быстрее и желательно в таких же размерах.
60 9:-; J20
Ерэмя.мнч
Рис. 66. Изменения ректальной температуры (А) и средней ЧСС (В) во время бега на тредбане до отказа на уровне 70% МПК, а также объема плазмы крови (Б) на протяжении 2-часовой работы на велоэргометре в жарких условиях: 1 -без потребления воды во время работы; 2 - с потреблением воды
Если спортсмены на дистанции не пьют достаточного количества жидкости, чтобы восполнить потери воды, у них развивается (в той или иной степени) дегидратация. Когда потребление воды равно потерям ее с потом (водный баланс), температура тела ниже, чем во время такой же работы с меньшим потреблением воды, а тем более без приема воды.
Таким образом, прием жидкости во время соревнований в жарких условиях уменьшает угрозу перегревания тела (рис. 66, А).
Дробное питье воды (рис. 66, Б) в процессе работы на велоэргометре в жарких условиях задерживает потери плазмы крови и тем самым поддерживает нормальный объем циркулирующей крови. В результате предотвращаются уменьшение систолического объема и повышение ЧСС до такого уровня, как при работе без восполнения потерь воды (рис. 66, В).
Прием жидкости во время работы ведет к увеличению ее предельной продолжительности (работоспособности). Жидкость в виде растворов углеводов позволяет не только восполнить потери воды, но и поддерживать нормальное содержание глюкозы в крови, что также очень важно для сохранения высокой работоспособности при нагрузках большой продолжительности.
Состав замещающих жидкостей, используемых для восполнения потерь воды во время мышечной работы, определяется рядом требований. Выпитая жидкость почти не всасывается в кровь из желудка. Абсорбция воды 'происходит почти исключительно в кишечнике. Следовательно, главное, что определяет скорость восполнения потерь воды, - это быстрота эвакуации жидкости из желудка в кишечник.
На быстроту опорожнения желудка влияют объем, температура и осмолярность находящейся в нем жидкости (рис. 67).
Сама по себе мышечная работа мало влияет на скорость опорожнения желудка.
Значительные объемы жидкости (500-600 мл) уходят из желудка быстрее, чем малые. Однако разовый прием большого количества жидкости на дистанции вызывает неприятные ощущения переполненного желудка и тяжёлого дыхания.
Поэтому целесообразнее часто принимать жидкость в относительно небольших объемах, например по 150-250 мл, с интервалами между приемами 10-15 мин.
Холодная жидкость эвакуируется из желудка быстрее, чем теплая. Холодная вода (8-13), снижая температуру в желудке на 7-18, усиливает активность гладких мышц в стенке желудка, ускоряя переход жидкости в кишечник.
Кроме того, нагревание холодной воды в желудке пусть в небольшой степени, но усиливает теплопотери тела (на нагревание этой воды). Поэтому литье охлажденной воды во время соревнования в жарких условиях более целесообразно, чем теплой.
Скорость моторики желудка и его опорожнения отчасти определяется осмолярностью содержимого (см. рис. 67). Вода легко покидает желудок. Еще быстрее уходит из желудка изотонический раствор поваренной соли (0,85%-ный раствор хлористого натрия).
Содержание в растворе даже малых количеств глюкозы (до 5%) вызывает заметное замедление опорожнения желудка. Добавление в питьевую жидкость солей (электролитов) повышает ее осмолярность. Оптимальной является гипотоническая жидкость с осмолярностью около 200 мОсм/л. Такие растворы содержат мало сахара (до 2,5%), быстро покидают желудок и потому способны легко всасываться в кровь из кишечника и обеспечивать восполнение потерь воды с большой скоростью.
При определении общего количества принимаемой жидкости следует иметь, в виду, что в любом случае максимальная скорость всасывания воды не превышает 0,8 л/ч.
Таким образом, во время тяжелой продолжительной работы в жарких условиях, которая сопровождается обильным потоотделением, надо употреблять прохладные гипотонические растворы с содержанием сахара (углеводов) до 2,5%. 500 мл воды (без содержания в ней углеводов) следует выпить примерно за полчаса до старта для создания небольшого водного резерва.
На дистанции каждые 10-15 мин необходимо выпивать 150-200 мл гипотонического раствора.
Снижение МПК
В результате вблизи митохондрий давление О2 может быть равно 10 мм рт. ст. на уровне моря и около 5 мм рт. ст даже на высоте 5600 м. Такое давление все еще достаточно, чтобы обеспечить оптимальные условия для протекания окислительных ферментативных реакций в клетках тела.
Парциальное давление О2 в альвеолярном воздухе определяется давлением этого газа во вдыхаемом воздухе и величиной легочной вентиляции. Чем выше последняя, т. е. чем больше обменивается воздух в легких, тем ближе состав альвеолярного воздуха к атмосферному. Однако в любом случае парциальное давление О2 в альвеолярном воздухе может лишь приближаться к таковому в атмосферном (вдыхаемом) воздухе, но не быть равным ему, а тем более не превышать его. Поэтому по мере увеличения высоты (снижения барометрического давления) падает парциальное давление О2 в атмосферном и соответственно в альвеолярном воздухе (см. табл.
20).
Пропорционально падению парциального давления О2 в атмосферном и альвеолярном воздухе снижается парциальное напряжение О2 в артериальной крови (гипоксемия). Это один из важнейших стимулов усиления легочной вентиляции в условиях покоя.
Гипоксемия стимулирует хеморецепторы каротидных и аортальных телец, что рефлекторна усиливает активность дыхательного центра.
Высотная гипервентиляция вызывает усиленное выведение СО2 из крови с выдыхаемым воздухом. В результате по мере подъема на высоту напряжение СО2 в артериальной крови уменьшается, т.е. развивается гипокапния, которая может вызвать развитие мышечных спазмов и обширную вазоконстрикцию.
Особенно неблагоприятны для организма последствия сужения сосудов головного мозга.
При усиленном удалении с выдыхаемым воздухом СО2 из крови содержание в ней растворенного СО2 снижается больше, чем бикарбоната. Поэтому вторичным эффектом высотной гипервентиляции является сдвиг реакции крови в щелочную сторону - повышение рН (дыхательный алкалоз).
Снижение парциального напряжения СО2 и повышение рН в артериальной крови оказывает тормозящее влияние на дыхательный центр.

Уровень легочной вентиляции на высоте следует рассматривать как физиологический компромисс между требованием адекватного снабжения организма кислородом в гипоксических условиях и необходимостью поддерживать кислотно-щелочное равновесие в норме.
Падение парциального напряжения О2 в артериальной крови в условиях высотной гипоксии ведет к снижению процентного насыщения гемоглобина кислородом и, следовательно, к уменьшению содержания О2в кро-в и. На высоте 2000-3000 м парциальное давление О2 в альвеолярном воздухе равно примерно 80-60 мм рт. ст., т. е. находится еще в пределах плоской, верхней, части кривой диссоциации оксигемоглобина (рис. 70). Это гарантирует относительно высокое насыщение кислородом крови в легочных капиллярах -более 90% гемоглобина в форме оксигемоглобина.
На большей высоте альвеолярное давление О2 попадает уже на крутую, среднюю, часть кривой диссоциации оксигемоглобина. Поэтому способность связывать и транспортировать с кровью О2 на большой высоте резко снижается.
Падение насыщения артериальной крови кислородом до 80% от нормальной величины вызывает комплекс симптомов тяжелой гипоксии, известный под названием горная болезнь: головную боль, состояние усталости, нарушение сна, пищеварения и др.
Во время мышечной работы в условиях высотной гипоксии парциальное напряжение и содержание О2 в артериальной крови снижены, а в венозной крови примерно такие же, что и в обычных условиях. Поэтому системная артерио-венозная разность по кислороду при выполнении одинаковой работы в горных условиях меньше, чем в равнинных (см. табл.
21).
Таблица 21. Показатели кислородтранспортной системы при максимальной аэробной работе у тренированных мужчин на уровне моря и через 2 недели пребывания на высоте
| |
Уровень моря |
Высота |
| Показатели |
(до 500 м) |
2300 м |
4000 м |
| Барометрическое давление (мм. рт. ст.) |
735 |
580 |
460 |
| Парциальное давление О2 (мм. рт. ст.): |
|
|
|
| во вдыхаемом воздухе |
144 |
112 |
87 |
| в альвеолярном воздухе |
120 |
95 |
72 |
| в артериальной крови |
107 |
80 |
55 |
| разность между альвеолярным воздухом и артериальной кровью |
13 |
15 |
17 |
| Внешнее дыхание: |
|
|
|
| легочная вентиляция (л/мин, ВТР5) |
165 |
175 |
200 |
| вентиляционный эквивалент |
33 |
39 |
57 |
| диффузионная способность легких для О2 (л/мин/мм рт. ст., 5ТРО) |
100 |
100 |
100 |
| индекс дыхательного обмена (?СО2/?О2) |
1,20 |
1,22 |
1,30 |
| Кровь: объем циркулирующей крови (л) |
6,42 |
6,19 |
5,77 |
| объем циркулирующей плазмы (л) |
3,16 |
2,95 |
2,55 |
| объем циркулирующих эритроцитов (л) |
3,26 |
3,24 |
3,22 |
| содержание О2 в артериальной крови (об.%) |
18,5 |
16,8 |
13,5 |
| содержание О2 в смешанной венозной крови (об.%) |
1,8 |
1,8 |
1,8 |
| артериовенозная разность О2 (об.%) |
96 |
88 |
71 |
| рН артериальной крови |
7,30 |
7,25 |
7,20 |
| напряжение СО2 в артериальной крови (мм рт. ст.) |
30 |
26 |
20 |
| бикарбонат плазмы (мМ/л) |
9,7 |
7,2 |
5,8 |
| лактат (мМ/л) |
11,0 |
11,0 |
11,0 |
| Кровообращение: |
|
|
|
| макс, сердечный выброс (л/мин) |
30,0 |
30,0 |
30,0 |
| макс. ЧСС (уд/мин) |
185 |
185 |
185 |
| макс, систолический объем (мл) |
162 |
162 |
162 |
| макс, кислородный пульс (млО2/уд) |
27 |
24 |
19 |
| МПК (л/мин) |
4,81 |
3,60 |
1,51 |
Чем больше высота (сильнее степень гипоксии) и чем интенсивнее нагрузка, тем значительнее падение напряжения и насыщения О2 в артериальной крови.
При выполнении мышечной работы на высоте увеличение концентрации молочной кислоты в мышцах и крови происходит при более низких нагрузках, чем на уровне моря (снижение анаэробного порога). При одной и той же нагрузке концентрация молочной кислоты в мышцах и крови при работе на высоте больше, а рН крови ниже, чем на уровне моря (см. рис. 68).
Повышенная на высоте лактацидемия при выполнении субмаксимальных аэробных нагрузок служит дополнительным стимулом для усиления легочной вентиляции.
Максимальная концентрация лактата в крови при работе в первые дни на высоте такая же, что и на уровне моря. Следовательно, максимальная анаэробная мощность, по крайней мере та ее часть, которая определяется лактацидной (гликолитической) системой, на высоте не снижается.
Об этом также свидетельствует тот факт, что максимальный кислородный долг в первые дни на высоте такой же, что и на уровне моря.
Функция кровообращения
Пониженное насыщение крови кислородом на высоте компенсируется при выполнении субмаксимальной аэробной работы увеличением сердечного выброса, которое обеспечивается исключительно за счет повышения ЧСС (см. рис. 68).
Систолический объем при этом такой же или даже несколько меньше, чем в нормальных условиях.
Показатели артериального кровяного давления заметно не отличаются от равнинных, хотя довольно часто на высоте наблюдается небольшое снижение диастолического давления. Это связано, в частности, с уменьшением периферического сосудистого сопротивления.
Максимальные величины сердечного выброса, ЧСС и систолического объема при предельных аэробных нагрузках одинаковы на уровне моря и на высоте (см. табл. 21).
Максимальная ЧСС и максимальный сердечный выброс достигаются в гипоксических условиях при более низкой интенсивности работы, чем на уровне моря.
По мере подъема на высоту коронарный кровоток, с н а б ж е ни е кислородом и потребление его миокардом в условиях покоя уменьшаются. Чтобы покрыть расходы кислорода сердечной мышцей во время напряженной работы, коронарный кровоток на высоте должен быть больше, чем на уровне моря (примерно на 10% на высоте 2500 м и на 30% на высоте 4000 м).
Важным механизмом увеличения сердечного выброса при работе на высоте служит усиленная веноконстрикация, благодаря которой увеличивается центральный объем крови, а следовательно, и венозный возврат. Она возникает в ответ на снижение напряжения СО2 в артериальной крови (гипокапнию).
Помимо увеличения сердечного выброса кислородтранспортные возможности организма при выполнении мышечной работы в условиях гипобарической гипоксии повышаются за счет усиления рабочей гемоконцентрации, что приводит к увеличению содержания, О2 в артериальной крови.
Таким образом, сниженное давление (содержание) кислорода во вдыхаемом воздухе во время работы на высоте вызывает дополнительное усиление легочной вентиляции, увеличение сердечного выброса и степени рабочей гемоконцентрации по сравнению с условиями на уровне моря. Эти дополнительные механизмы усиливают транспорт О2 к работающим мышцам и другим тканям тела.
Однако даже в условиях среднегорья эти адаптационные реакции не могут полностью компенсировать снижение парциального давления и содержания О, з альвеолярном воздухе и артериальной крови. Поэтому в условиях гипобарической гипоксии снижается максимальная аэробная мощность (МПК) и возрастает значение анаэробного энергообразования для обеспечения напряженной мышечной работы.

Рис. 71. Влияние высоты на МПК (данные разных авторов)
Скорость потребления О2 в начале работы нарастает медленнее, чем в нормальных условиях. В значительной мере это обусловлено замедленным врабатыванием системы кровообращения.
Поэтому для работы в горных условиях характерен повышенный кислородный дефицит.
Усиленная работа дыхательного аппарата и сердца, а также нарушения в координации движений приводят к тому, что в этих условиях энергетическая стоимость работы выше, чем на уровне моря. Так, на высоте 3500 м-потребление О2 на 5% больше, чем при выполнении той же работы на равнине.
Усиленная деятельность систем дыхания и кровообращения по обеспечению мышечной работы на высоте создает предпосылки для более быстрого, чем на уровне моря, развития утомления.
Во время пребывания на большой высоте происходят изменения в функциональном состоянии нервной системы, в результате которых нарушается нормальная регуляция функций организма.
Снижение МПК
Сразу по прибытии на высоту (или при подъеме в гипобарической камере) обнаруживается снижение МПК в прямой зависимости от барометрического давления или от парциального давления О2 во вдыхаемом воздухе (рис. 71). Заметное снижение МПК происходит лишь начиная с высоты 1500 м (барометрическое давление ниже 650 мм. рт. ст.). После этого уровня МПК уменьшается примерно на 1% через каждые 100 м высоты, или на каждые 5 мм рт, ст. падения парциального давления О2 во вдыхаемом воздухе.
На высоте 2000 - 2300 м (уровень Цахкадзора, Мехико-сити) МПК снижается в среднем на 10 - 17%, на высоте 3000 м - на 20%, на высоте 4000 м - на 30% по отношению к равнинному МПК (см. рис. 71).
Ни высоте 6000 м, где барометрическое давление составляет около половины нормального атмосферного давления на уровне моря, МПК в среднем вдвое ниже, чем на уровне моря.
Снижение МПК на высоте определяется уменьшением содержания О2 в артериальной крови.
Очень большие индивидуальные различия в МПК, которые обнаруживаются и на уровне моря, нарастают с увеличением высоты. У более тренированных людей сразу по прибытии на высоту может происходить даже большее снижение МПК, чем у менее тренированных.
Горная акклиматизация (адаптация к высоте)
Термином горная акклиматизация обозначается совокупность специфических физиологических приспособлений (адаптации), которые возникают в процессе более или менее длительного непрерывного пребывания на высоте. Эти адаптации уменьшают влияние сниженного давления О2 во вдыхаемом воздухе (гипоксии) на организм человека и повышают его работоспособность в этих специфических условиях.
Основные механизмы естественной адаптации к горным - условиям можно разделить на две категории. Первая обеспечивает усиление транспорта О2 к тканям тела, вторая действует на тканевом уровне и направлена на усиление эффективности использования О2 клетками для аэробного образования энергии.
Чем длительнее (в некоторых пределах) период пребывания на высоте, тем совершеннее адаптация к ней, тем выше работоспособность на данной высоте. Минимальный период времени, необходимый для высотной акклиматизации, зависит прежде всего от высоты: на высоте 2000-2500 м примерно 7-10 дней, на высоте 3600 м - 15-21, на высоте 4500 м - 21-25. Это лишь примерные сроки, так как многое зависит от индивидуальных особенностей человека. Вместе с тем при любой длительности пребывания в горах уровень работоспособности, характерный для данного человека на уровне моря, не достигается.
У жителя равнины, находящегося на высоте, не может быть такого же уровня экономичности в транспорте и утилизации кислорода, который свойствен постоянным жителям гор. Некоторые люди вообще никогда не акклиматизируются к высоте и страдают от горной болезни.
Иногда это наблюдается даже у людей, родившихся в горах.
По длительности пребывания на высоте различают 4 степени акклиматизации: 1) острая - до 30 мин, 2) кратковременная - несколько недель, 3) длительная - несколько месяцев, 4) постоянная - постоянное проживание на высоте.
Основные механизмы адаптации к условиям гипобарической гипоксии включают:
- увеличение легочной вентиляции и сопровождающие ее изменения в кислотно-щелочном равновесии в крови и других тканях;
- усиление диффузионной способности легких;
- повышение содержания эритроцитов и гемоглобина в крови; изменения на тканевом уровне.

Рис. 72. Легочная вентиляция и ЧСС при работе на велоэргометре с
нагрузкой 200 Вт на уровне моря (заштриховано) и на протяжении 22 дней пребывания на высоте 4300 м (по П.О. Астранду).
Потребление О2 при работе составляло 2,6-2,7 л/мин.
Через день чередовались опыты с дыханием атмосферным воздухом (1) и чистым кислородом (2)
Физиологические показатели во время максимальной аэробной работы у высокотренированного человека после кратковременной акклиматизации на разных высотах приведены в табл. 21.
Адаптационная гипервентиляция отмечается уже в первые несколько часов пребывания на высоте. На протяжении нескольких дней происходит дальнейшее увеличение легочной вентиляции при выполнении той же нагрузки. После недельного пребывания на данной высоте повышенный уровень легочной вентиляции стабилизируется (рис.
72). Длительная акклиматизация к условиям гипобарической гипоксии уменьшает чувствительность хеморецепторного механизма регуляции дыхания: ослабляются рефлекторные влияния на дыхательный центр и его реакция на гипоксический и гипокапнический стимулы.
По возвращении в равнинные условия требуется несколько недель, чтобы легочная вентиляция достигла обычного уровня.
Диффузионная способность легких изменяется в процессе горной акклиматизации крайне медленно. Так, даже после 6 месяцев пребывания на высоте 5800 м не обнаруживается заметных изменений в диффузионной способности легких.
Вместе с тем у постоянных жителей и долгожителей больших высот она заметно выше, чем у жителей равнины.
У людей, длительно живущих на высоте, общая поверхность легких для диффузии газов может несколько увеличиваться, прежде всего за счет увеличения площади альвеол и объема (поверхности) легочных капилляров благодаря постоянному их растяжению - дилятации. Это ведет к утончению альвеолярнокапиллярной мембраны, что благоприятствует диффузии через нее молекул О2.
Замедление кровотока через расширенные легочные капилляры также улучшает условия для диффузии О2.
У постоянных жителей высокогорных районов все легочные емкости (общая, жизненная, функциональная остаточная) и остаточный объем легких увеличены по сравнению с жителями равнины.
Основные адаптационные изменения в системе крови направлены на повышение ее кислородтранспортных возможностей.
Акклиматизация к высоте является, по существу, адаптацией к низкому парциальному напряжению О2и СО2 в крови и других тканях. Высотная гипервентиляция препятствует падению парциального давления О2 в альвеолярном воздухе и соответственно в артериальной крови.
Однако степень уменьшения парциального напряжения О2 в артериальной крови, наблюдаемая сразу по прибытии на высоту, остается постоянной на протяжении нескольких недель акклиматизации. При кратковременном пребывании на высоте вместе с ростом легочной вентиляции продолжает падать парциальное напряжение СО2 в артериальной крови.
Однако в результате длительной высотной акклиматизации оно повышается, что выявляется как в условиях покоя, так и особенно во время мышечной работы.
Кислотно-щелочное равновесие в крови и других жидкостях тела за несколько дней пребывания на высоте постепенно восстанавливается благодаря усиленной экскреции щелочей (бикарбонатов) из крови через почки и их удалению с мочой. Усиленная экскреция бикарбонатов из крови заканчивается, когда ее рН восстанавливается до нормальных величин (около 7,40).
Снижение алкалоза ведет к дальнейшему усилению легочной вентиляции.
Уменьшение содержания буферных оснований (щелочного резерва) в крови у людей, акклиматизированных к большой высоте, имеет отрицательный эффект: снижается способность противостоять ацидозу, который возникает при мышечной работе в связи с образованием и выделением в кровь метаболических кислот (прежде всего молочной кислоты); это может быть одной из причин снижения работоспособности.
Концентрация лактата в артериальной крови при выполнении стандартной субмаксимальной аэробной нагрузки снижается по мере акклиматизации к высоте. Максимальная для данного человека концентрация лактата в крови также несколько уменьшается в процессе длительной высотной акклиматизации. Объем плазмы крови в течение первых нескольких дней пребывания на высоте уменьшен по сравнению с объемом на равнине. Поэтому увеличен показатель гематокрита и повышена концентрация эритроцитов и гемоглобина в крови.
При этом чем больше высота, тем сильнее потери плазмы (выше степень гемоконцентрации).
Так, после недели пребывания на высоте 2300 м объем плазмы уменьшен в среднем на 8%, на высоте 4300 м - на 16%. В первом случае гематокрит увеличен на 4%, концентрация гемоглобина - на 10%, а во втором соответственно на 6 и 20%.
У альпинистов во время экспедиции на Гималаи объем плазмы на протяжении нескольких недель был на 29% ниже уровня в равнинных условиях.
Начальное уменьшение объема плазмы является следствием общей дегидратации в результате гипервентиляции и усиленного потоотделения. Недостаточное потребление воды в первые дни пребывания в горах может усиливать дегидратацию. Поскольку в этот период нет чувства повышенной жажды, принимать жидкость следует даже в отсутствие субъективной потребности в ней.
В процессе дальнейшего пребывания на высоте объем циркулирующей плазмы восстанавливается до исходного (равнинного) уровня. В условиях среднегорья для этого требуется несколько месяцев.
Содержание эритроцитов и гемоглобина в крови в первые дни пребывания на высоте повышается в связи с гемоконцентрацией, вызванной потерей части циркулирующей в сосудистом русле плазмы. Гемоконцентрация обеспечивает поддержание нормального содержания О2 в артериальной крови и поэтому играет важную роль в быстрой адаптации организма к гипоксическим условиям.
В первые же дни пребывания в горах усиливается эритропоэз, ведущий к истинному увеличению числа эритроцитов в крови (Н. Н. Сиротинин). Оно становится заметным уже на 3- 4-й день пребывания на высоте свыше 3000 м. Увеличивается число циркулирующих в крови ретикулоцитов и эритроцитов больших размеров.
Степень увеличения общего количества и соответственно концентрации эритроцитов на высоте до 4800 м находится в линейной зависимости от высоты и длительности пребывания в горах. При увеличении высоты до 6000 м эритропоэз падает.
У альпинистов после нескольких дней пребывания на высоте более 7000 м содержание эритроцитов достигает 8,5 млн/мм3. У постоянных жителей гор оно тем больше, чем больше высота проживания:
| Высота (м) |
0 |
1000 |
1500 |
2500 |
3500 |
4500 |
5500 |
6500 |
| Содержание эритроцитов (млн/мм3) |
5,3 |
5,4 |
5,5 |
5,8 |
6,2 |
6,6 |
7,3 |
8,2 |
За счет увеличения общего количества (массы) эритроцитов у акклиматизированного к высоте человека повышен объем циркулирующей крови.
Гемоконцентрация, происходящая в начале высотной акклиматизации, и более поздно наступающее истинное увеличение числа эритроцитов в циркулирующей крови приводят к повышению гематокрита и вязкости крови, что, в свою очередь, ведет к повышению периферического сосудистого сопротивления и тем самым влияет на гемодинамику. Небольшие изменения содержания эритроцитов (гематокрита) не оказывают заметного влияния на вязкость крови.
Только значительное увеличение их концентрации, которое наблюдается, например, у жителей высокогорных районов, может оказывать определенное отрицательное влияние на циркуляцию крови.
Образование дополнительного количества гемоглобина вначале несколько задерживается по сравнению с ростом числа эритроцитов, но в процессе акклиматизации постепенно усиливается, растет концентрация гемоглобина в крови и, таким образом, повышается кислородная емкость крови (табл. 22). Средняя концентрация гемоглобина в эритроцитах при этом не изменяется.
Повышение концентрации гемоглобина позволяет поддерживать нормальное или даже несколько повышенное содержание О2 в артериальной крови, несмотря на сниженный процент насыщения ее кислородом.
| Таблица 22. Показатели крови в покое у акклиматизированных людей на разных высотах |
| Высота, м |
ОЦК, мл/кг веса тела |
Концентраций гемоглобина, г%. |
Кислородная емкость крови, об% |
% насыщения крови О2, % |
Содержание О2 в артер. крови, об% |
| 0 (уровень моря) |
79,6 |
15,3 |
20,0 |
97 |
20,0 |
| 3100 |
83,0 |
16,8 |
22,5 |
91 |
20,5 |
| 3600 |
96,0 |
18,8 |
25,2 |
87 |
21,9 |
| 4600 |
104,0 |
20,7 |
27,8 |
81 |
22,4 |
| 6500 |
- |
24,8 |
33,3 |
65 |
21,7 |
|
Увеличение числа эритроцитов и концентрации гемоглобина происходит в условиях среднегорья очень медленно. Оно тем больше, чем больше высота и длительнее пребывание на ней. На очень большой высоте концентрация гемоглобина в крови нарастает быстро и значительно. У постоянных жителей гор она составляет более 20 г%. На каждые 300 м прироста высоты концентрация гемоглобина в крови увеличивается в среднем на 2,1% у мужчин и на 1,8% у женщин.
Кривая диссоциации оксигемоглобина в процессе горной акклиматизации смещается вправо, что облегчает снабжение тканей кислородом. Особенно это важно для работающих мышц. Одним из механизмов такого сдвига может быть повышение концентрации 2,3-ДФГ в эритроцитах, что наблюдается у людей, постоянно проживающих в горах. Однако даже после полной акклиматизации на высоте снабжение тканей кислородом затруднено, особенно при напряженной мышечной работе, из-за сниженного парциального напряжения О2 в артериальной крови (табл. 23).
Изменения в системе кровообращения
Первые дни пребывания в горах сердечный выброс при выполнении субмаксимальной аэробной работы больше, чем на уровне моря. Затем он постепенно снижается и в течение нескольких недель достигает величины, характерной для равнинных условий.
Градуальное снижение его происходит по мере повышения кислородной емкости крови (концентрации гемоглобина).
ЧСС при относительно небольших нагрузках в первый период пребывания в горах повышена, но на поздних этапах акклиматизации становится такой же, что и на уровне моря (см. рис. 72).
При выполнении работы очень большой мощности у акклиматизированных людей она даже ниже, чем на равнине.
Максимальный сердечный выброс в условиях среднегорья вначале не изменяется, но по мере пребывания в горах несколько снижается, что является результатом уменьшения систолического объема, так как максимальная ЧСС остается обычно неизменной. В то же время на большой высоте максимальный сердечный выброс заметно снижается - как за счет уменьшения систолического объема, так и за счет снижения ЧСС.
Специфичность тренировочных эффектов
рис. 4).

Рис. 99.
Специфические эффекты разных-видов тренировки выносливости: А -прирост МПК, определяемый при тестировании на тредбане и на велоэргометре, после беговой тренировки (слева) и тренировки на велоэргометре (справа); Б - показатели МПК. у нетренированных мужчин и спортсменов разных специализаций, определяемые при тестировании на ручном велоэргометре, ножном велоэргометре и при беге на тредбане (способ тестирования указан внутри столбиков).
Специфичность тренировочных эффектов в отношении состава активных мышечных групп
Об этом феномене свидетельствует тот факт, что наиболее высокие функциональные показатели и наибольшая экономичность проявляются при выполнении упражнений с использованием основных тренируемых мышечных групп. Так, у квалифицированных спортсменов наибольшее МПК регистрируется при выполнении специфического (соревновательного) упражнения.
У нетренированных людей наибольшее МПК регистрируется при беге на тредбане, у гребцов;- при гребле, у велосипедистов - при работе на ножном велоэргометре, у конькобежцев - при беге на коньках (рис. 99, Б). У нетренированных людей МПК во время плавания ниже, чем во время бега на тредбане.
Чем выше квалификация пловца, тем ближе его плавательное МПК к беговому МПК.
Специфичность тренировочных, эффектов в отношении состава активных мышечных групп четко доказывают и результаты исследований одних и тех же людей до и после тренировки (лонгитудинальные исследования).
Например, после 5-недельной ежедневной тренировки на ручном или ножном велоэргометре наибольшие тренировочные эффекты выявлены при соревновательном упражнении, т. е. упражнении, выполняемом с участием тренируемых мышечных групп (рис. 100).
Интересны также данные сравнения показателей МПК у двух генетически идентичных сестер-близнецов, из которых одна тренировалась в плавании. При обычном плавании или плавании только на руках МПК у нее было соответственно на 30 и 50% выше, чем у сестры, хотя при беге на тредбане МПК у обеих сестер было одинаковым.
У ранее нетренированных людей после беговой тренировки прирост МПК, определяемый в беговом тесте, больше, чем в велоэргометрическом. Обратная картина наблюдается после тренировки на велоэргометре (см. рис.
99, А).
Специфичность тренировочных эффектов определяется в ряде случаев (по ряду показателей) не только составом, но и объемом активной мышечной массы. Особенно хорошо это показано в отношении упражнений на выносливость.
Этим отчасти объясняется, почему беговая тренировка, связанная с активным участием больших мышечных групп , более эффективна , чем тренировка на велоэргометре (велосипеде) или в плавании.
Специфичность тренировочных эффектов, проявляемая при разных условиях внешней среды
Тренировка происходит в определенных (специфических) условиях внешней среды. Соответственно и адаптационные изменения в организме тренирующегося обеспечивают наиболее оптимальное его приспособление к этим внешним условиям. Так, специфические адаптационные изменения, развивающиеся в процессе тренировки выносливости на равнине, способствуют повышению выносливости в этих специфических условиях и потому не являются оптимальными или даже адекватными для обеспечения повышенной устойчивости к гипоксическим условиям высоты.
Это, в частности, объясняет, почему высокотренированные спортсмены обычно не обладают особой повышенной устойчивостью к гипоксическим условиям по сравнению с нетренированными людьми. Наоборот, в процессе длительного пребывания в гипоксических условиях внешней среды возникают те специфические адаптационные изменения в организме тренирующегося, которые способствуют повышению его работоспособности в этих: специфических условиях.
Вместе с тем такие акклиматизационные приспособления у тренированного на высоте спортсмена не дают ему заметных преимуществ при выполнении; работы в иных специфических условиях, какие имеются на равнине.
Ранее также отмечалось, что никакая тренировка в нейтральных температурных условиях не может полностью заменить специфическую тепловую адаптацию: без специальной акклиматизации тренировочные эффекты (функциональная подготовленность, спортивный результат) в жаркой и влажной воздушной среде у спортсмена ниже, чем в нейтральных условиях, к которых постоянно проводилась его подготовка.
Все сказанное означает, что подготовка спортсмена должна преимущественно (если не исключительно) проводиться в тех же условиях, в которых будут проходить соревнования.
Обратимость тренировочных эффектов
Это свойство тренировочных эффектов проявляется в том, что они постепенно уменьшаются при снижении тренировочных нагрузок ниже порогового уровня или вообще исчезают при полном прекращении тренировок (эффект детренировки). После повышения тренировочных нагрузок или возобновления тренировочных

Рис. 101.
Обратимость тренировочных эффектов. Изменение функциональных показателей на протяжении 8 недель тренировок и последующих 16 недель с разным режимом поддерживающей тренировки
или без нее
занятий вновь возникают положительные тренировочные эффекты. У людей, систематически занимающихся физической культурой, заметное снижение работоспособности отмечается уже через две недели детренировки, а через 3-8 месяцев уровень физической подготовленности снижается до предтренировочного. Особенно быстро уменьшаются тренировочные эффекты в первый период после прекращения тренировок или после резкого снижения тренировочных нагрузок. За первые 3-3 месяца достигнутые в результате предыдущей тренировки приросты функциональных показателей деятельности кислородтранспортной системы снижаются наполовину.
У занимающихся физической культурой в течение не очень продолжительного времени большинство положительных тренировочных эффектов исчезает за 1-2 месяца детренировки. Даже у высокотренированных спортсменов короткие перерывы в тренировке (например, из-за травмы) вызывают заметное снижение физической работоспособности.
В отрицательных эффектах детренировки существенную роль играет не только ее продолжительность, но и степень гипокинезии: чем выше общая двигательная активность человека в период детренировки, тем медленнее и меньше снижаются тренировочные эффекты.
Продолжительная гипокинезия вызывает снижение МПК, которое происходит быстрее в начальный период неактивности. Гипокинезия прежде всего вызывает снижение максимальных возможностей кислородтранспортной системы и, в первую очередь, сердечно-сосудистой системы.
Детренировка приводит к уменьшению числа (плотности) капилляров в ранее тренированных мышцах (декапилляризации), утончению (гипотрофии) мышечных волокон, снижению их окислительного потенциала, особенно в медленных мышечных волокнах.
Свойство обратимости тренировочных эффектов диктует необходимость регулярных тренировочных занятий с достаточной (пороговой или надпороговой) интенсивностью нагрузок. Это свойство - важнейший биологический фактор, который лежит в основе педагогического принципа повторности и систематичности тренировок.
При реализации данного принципа (определении тренировочного режима) следует учитывать цели тренировки, так как для сохранения тренировочных эффектов достаточны меньшие и более редкие тренировочные нагрузки, чем для повышения тренировочных эффектов.
Так, у занимающихся физической культурой снижение частоты тренировок до двух раз в неделю позволяло поддерживать (но не повышать) величину МПК и другие (но не все) функциональные показатели тренировочных эффектов на относительно постоянном уровне (рис. 101).
Снижение частоты тренировок до одного, раза в неделю лишь задерживало, но не предотвращало исчезновения положительных тренировочных эффектов.
Тренируемость
Тренируемость - это свойство живого организма изменять свои функциональные возможности под влиянием систематической тренировки. Оно характеризует восприимчивость человека к физической тренировке, его способность повышать свои специфические функциональные возможности под влиянием систематической специфической физической тренировки.
Количественно тренируемость (степень тренируемости) может оцениваться величиной тренировочных эффектов: чем больше они в ответ на данную тренировку, тем, следовательно, выше тренируемость.
Тренируемость значительно отличается у людей разного пола и возраста: одна и та же тренировка вызывает у них неодинаковые эффекты.- И даже в пределах одной и той же возрастно-половой группы имеются очень большие индивидуальные вариации в тренируемости.

Тренируемость специфична, как и специфичны тренировочные эффекты. Например, одни люди могут проявлять высокую степень тренируемости при силовой тренировке, но не обнаруживать ее при тренировке выносливости.
Другие, наоборот, обладают повышенной восприимчивостью к тренировке выносливости, но. не имеют значительного прироста мышечной силы в ответ на силовую тренировку.
Одинаковая тренировка может вызывать неодинаковые эффекты у разных людей не только из-за различий в тренируемости. Один способ тренировки какого-то качества (повышения спортивного результата в определенном упражнении) оказывается более эффективным для одних людей, иной способ тренировки - для других.
Следовательно, применение одинаковой тренировки может в разной степени выявлять тренируемость к данному виду физической деятельности у разных людей.
У людей одной возрастно-половой группы степень тренируемости в значительной мере определяется исходным (предтренировочным) уровнем функциональных показателей (спортивного результата). Разные показатели, характеризующие функциональные возможности разных органов, систем, механизмов и функциональную подготовленность (тренированность) организма в целом, изменяются неодинаково под влиянием тренировки. Однако общее правило состоит в том, лто изменение этих показателей тем больше, чем ниже их исходный (предтренировочный) уровень.
Степень тренируемости человека тем выше, чем ниже уровень его тренированности (функциональной подготовленности).
Так, величина прироста МПК в результате тренировки выносливости находится в обратной зависимости от его исходного (предтренировочного) уровня: чем ниже исходное МПК, тем больше оно- может увеличиваться под влиянием тренировок выносливости (рис. 102).
По величинетгскорости развития тренировочных эффектов выделяются четыре варианта тренируемости.
1. Высокая быстрая тренируемость: большие эффекты, которые наиболее быстро нарастают в начальном периоде систематических тренировок, а затем изменяются мало, медленно (асимптотически) приближаясь к уровню насыщения (максимально возможным тренировочным эффектам).
2. Высокая медленная тренируемость: большие тренировочные эффекты, нарастающие постепенно, медленно .
3. Низкая быстрая тренируемость: небольшие тренировочные эффекты, которые нарастают быстро и проявляются уже после относительно короткого периода систематических тренировок, мало изменяясь в дальнейшем.
4. Низкая медленная тренируемость: небольшие тренировочные эффекты, которые нарастают медленно в процессе систематических тренировок.
Как уже отмечалось, степень тренируемости в большой мере зависит от исходного уровня физиологических функций организма. Этот уровень определяется образом жизни человека, в частности степенью физической активности, характером питания, предшествующей тренировкой.
Однако существеннейшую роль в определении функциональных возможностей человека, а также максимально возможной степени их изменения под влиянием тренировки, т. е. тренируемости, играют наследственно предопределенные, генетические, факторы, объединяемые понятием генотип.

Рис. 103. Зависимость уровня функциональных возможностей человека от наследственных факторов (по данным В. Клиссураса и др., 1971): А - сравнение МПК у моно- и дизиготуых близнецов; Б - различия между функциональными показателями у моно- и дизиготных близнецов, определяемые коэффициентом наследственности (H)
Одним из наиболее широко используемых подходов для изучения роли наследственных факторов служит сравнение определенных антропометрических, морфологических и функциональных показателей у однояйцовых (монозиготных), генетически идентичных, близнецов и у двуяйцовых (дизиготных), генетически неидентичных, близнецов. Такое сравнение позволяет вычислять коэффициент наследственности (H) и по его величине судить о степени зависимости данного признака (показателя) от генотипа. Если коэффициент наследственности равен 1,0, наследственность может рассматриваться как единственная причина, определяющая
индивидуальную вариативность данного признака (показателя).
Если коэффициент наследственности лежит в интервале между нулем и единицей, значит, признак отчасти подвержен влиянию срёдового фактора, а отчасти обусловлен наследственностью.
ВЕЛ ТО Р0Выд?
Рол ь наследственности в определении уровня различных физиологических функций неодинакова. Прежде всего целый ряд функциональных показателей у человека в той или иной степени зависит от размеров и формы тела, отдельных его звеньев и размеров некоторых внутренних органов, например сердца, легких, диаметра аорты и т. д. Многие антропометрические и морфологические признаки находятся под генетическим контролем и потому предопределяют наследственную
обусловленность связанных с ними функциональных характеристик.
Функции внешнего дыхания в той или иной степени генетически предопределены. Это относится к таким показателям внешнего дыхания, как общая емкость легких, остаточный и резервный объемы, жизненная емкость легких (рис. 103, Б), что, впрочем, может быть обусловлено связью этих показателей с размерами тела. Частота дыхания, а также относительные легочные объемы и емкости (приведенные к массе тела) вообще не обнаруживают зависимости от генотипа.
Вместе с тем длительность задержки дыхания, особенности реакции внешнего дыхания на гипоксию (изокапническую гипоксию) находятся под заметным влиянием генетических факторов.
Функции сердечно-сосудистой системы испытывают Несомненное (но неодинаковое для разных показателей) влияние наследственных факторов. ЧСС покоя не очень подвержена этому влиянию, хотя у нетренированных людей ЧСС покоя ниже 60 уд/мин, как правило, наследственно обусловлена.
Максимальная ЧСС генетически предопределена (коэффициент наследственности 0,9) без различий для пола и возраста.
Неясно влияние генетических факторов на величины сердечного выброса и систолического объема крови, хотя общий объем сердца выявляет некоторую наследственную зависимость. Наследственные факторы в значительной мере определяют толщину (массу) левого желудочка (коэффициент наследственности 0,550,70) и особенности сосудистой сети (капилляризации) сердца, толщины стенок коронарных артерий, их распределения в стенках миокарда.
Интересно, что тренировка выносливости повышает сходство размеров сердца у генетически идентичных близнецов.
Разноречивы данные о наследственной зависимости уровня артериального давления в условиях покоя. По некоторым данным, у людей с нормальным артериальным давлением общий генетический эффект составляет 50-60% в отношении систолического давления и до 40% в отношении диастолического.

Рис. 104.
Влияние наследственных факторов на мышечную композицию (Коми и др., 1977). У монозиготных близнецов соотношение процента медленных, и быстрых мышечных волокон очень сходно, а у дизиготных
заметно различается.
Композиция мышц, т. е. соотношение в них медленных и быстрых мышечных волокон, генетически предопределена. Так, соотношение быстрых и медленных волокон в одних и тех же мышцах у монозиготных близнецов практически одинаково (рис. 104).
Коэффициент наследственности для процента медленных (или быстрых) волокон равен 0,99 у мужчин и 0,92 у женщин. Вместе с тем процентное соотношение двух подтипов быстрых мышечных волокон (II-A и II-В) не обладает таким родственным сходством, что указывает на возможное взаимопревращение их под влиянием средовых факторов, в частности в результате тренировки.
Число, размеры и относительное содержание (плотность) митохондрий, активность мышечных ферментов, мало зависят или вообще не зависят от генотипа и весьма чувствительны к средовым влияниям (тренировке).
Мышечная сила, выраженная в абсолютных показателях (Ньютонах), мало зависит от наследственных факторов. Вместе с тем относительная общая сила (на массу тела) имеет довольно высокий коэффициент наследственности (0,6), что свидетельствует об определенной обусловленности данного функционального признака генетическими механизмами.
Мышечная мощность обнаруживает очень большую зависимость от генотипа. Так, максимальная мощность, определяемая тестом Маргария у монозиготных и дизиготных близнецов, имеет коэффициент наследственности почти 0,98.
Генетическая обусловленность содержания быстрых мышечных волокон, относительной мышечной силы, скорости двигательной реакции, максимальной частоты и скорости движений, максимальных анаэробной мощности и емкости лактацидной энергетической системы в значительной мере определяет врожденный характер уровня скоростно-силовых способностей человека. Великими спринтерами рождаются,
Максимальная аэробная мощность (максимальное потребление кислорода) в наибольшей степени наследственно обусловлена (рис. 103, А). Высокие показатели МГЩ регистрируются не только у высокотренированных представителей видов спорта на выносливость, но и у ряда .людей, не занимающихся серьезно спортом. Как видно на рис.
103, А, у дизиготных близнецов выявляется более высокая внутрипарная вариабельность МПК по сравнению с монозиготными близнецами (при полном совпадении МПК У близнецов каждой пары точки лежат на наклонной линии). Врожденная предопределенность МПК (на 93,4% у мужчин и на 95,9% у мужчин и женщин вместе) мало подвержена влияниям возраста и пола.
Субмаксималвная аэробная работоспособность также в большой мере предопределяется генетическим фактором (коэффициент наследственности для показателя PWC170- около 0,9).
Генетическая обусловленность высокого МПК, многих физиологических факторов и механизмов, определяющих повышенные аэробные (кислородтранспортные) возможности организма, увеличенного содержания медленных мышечных волокон предопределяет большие возможности организма в достижении высоких результатов в видах спорта, требующих проявления выносливости. Великими стайерами рождаются.
Роль наследственности в определении степени тренируемости несомненна. У людей с разным генотипом одинаковые тренировки вызывают неодинаковые тренировочные эффекты, т. е. чувствительность организма к тренировке (тренируемость) в значительной мере зависит от генотипа.
Так, 10 пар монозиготных близнецов приняли участие в 20-недельной тренировке выносливости. При среднем повышении МПК. на 14% индивидуальные, вариации прироста были очень значительны - от 0 до 41%.
Однако величина тренировочного эффекта (степень тренируемости) у близнецов каждой пары была весьма сходной.
Расчеты показывают, что около 50% индивидуальной вариативности в приросте МПК под влиянием тренировки выносливости определяются генетическими особенностями тренирующихся, при этом лишь 2030% зависит от исходного (предтренировочного). уровня МПК. Следовательно, примерно 70-80% величины тренировочных эффектов генетически зависимы, т. е. определяются наследственными особенностями организма.
Наследственность также влияет на общий уровень физической активности (подвижность) человека.
Так, у детей очень физически активных родителей высокая подвижность наблюдалась в 20% случаев, а у детей обычных родителей - лишь в 4% случаев. Отношение к тому или иному виду спортивной деятельности отличалось среди монозиготных близнецов лишь в 6% случаев, а среди дизиготных близнецов -в 85% случаев.
Полное совпадение в выборе спортивной специализации, степени активности и достигнутых результатах наблюдалось у 70% пар монозиготных близнецов и лишь у 22% пар дизиготных близнецов.
Предел роста тренировочных эффектов у каждого человека генетически предопределен. Даже систематическая интенсивная физическая тренировка не может повысить функциональные возможности организма сверх предела, определяемого генотипом. Поэтому генетические факторы являются решающими в предсказании и достижении высоких спортивных результатов.
Природные, генетически предопределенные аэробные возможности могут быть довольно устойчивыми несмотря на средовые (тренировочные) влияния. В частности, пределы роста МПК, вероятно, лимитированы индивидуальным генотипом, так что никакая тренировка не в состоянии преодолеть этот барьер.
Влияние наследственных факторов проявляется в определенных внешних условиях, в частности в процессе физической тренировки. Иначе говоря, наследственные и средовые факторы взаимодействуют. Из изложенного следует, что выдающиеся спортсмены обладают уникальным генотипом, определяющим высокие специфические функциональные возможности организма и его высокую тренируемость.
Таким образом, выражение великим стайером или спринтером рождаются означает, что лишь у некоторых. людей имеются генетические предпосылки, которые, однако, могут реализоваться только в результате специфической тренировки, чтобы эти люди стали выдающимися спортсменами.
Спортивная техника и энергетическая экономичность
На доведении до сознания особенностей выполнения физических упражнений (например, характера совершенных спортсменом ошибок), основано значение срочной информации, получаемой, в процессе или сразу после окончания упражнения (В. С. Фарфель).
Следует указать, что детали двигательного акта, выполненного автоматизированно, после завершения движения могут частично и далее полностью осознаваться (например, действия вратаря или борца при внезапной опасной ситуации).
Поле осознания у человека относительно узкое, оно не может одновременно воспринимать большое количество различных по своему характеру компонентов двигательного акта. Когда поле сознания занимают одни компоненты моторного акта, одновременно из него вытесняются другие. Поэтому при обучении технике движения нужно возможно большее число этих компонентов доводить до автоматизированного выполнения. Тогда можно будет включать в поле сознания спортсмена только самое главное, связанное с основными задачами выполнения упражнения.
Детали же должны осуществляться автоматизированно.
Спортивная техника и энергетическая экономичность

Экономичность энергетических затрат при двигательной деятельности достигается за счет совершенствования координации двигательных и вегетативных функций.
В первую очередь энергозатраты снижаются за счет совершенствования техники выполнения физических упражнений. При несовершенной технике вследствие возникновения в нервных центрах процессов иррадиации в движении могут принимать участие лишние мышцы и лишние двигательные единицы.
Такая работа характеризуется повышением расхода энергии. С улучшением техники выполнения двигательного акта в результате процессов концентрации в нервной системе в работу вовлекаются лишь необходимые мышечные волокна.
В результате энергозатраты уменьшаются (рис. 57).
У спортсменов, хорошо владеющих техникой движений, экономизация энергозатрат обусловлена улучшением координации не только двигательных, но в некоторой мере и вегетативных функций. Они мобилизуются в процессе двигательной деятельности, главным образом по механизму безусловных рефлексов. Вместе с тем при образовании двигательного навыка может происходить изменение характера протекания вегетативных безусловных рефлексов, приспособление их не вообще к мышечной работе, а
именно к данному виду двигательной деятельности. В результате снижаются энергетические затраты на обеспечение работы сердца, дыхательных мышц и некоторых других вегетативных органов. Эти особенности функций вегетативных органов, приобретенные в процессе формирования навыков, и составляют условнорефлекторные дыхательные (М.
Е. Маршак, А. Б. Гандельсман, К. М. Смирнов и др.), сердечно сосудистые (В. В. Васильева, В. И. Георгиев и др.) и другие вегетативные компоненты двигательного акта.
Физиологическое обоснование принципов обучения спортивной технике
Эффективность обучения спортивной технике тесно связана с Целым рядом педагогических принципов обучения, соблюдение которых возможно только при условии учета физиологических закономерностей функционирования организма, особенно тех, которые связаны с деятельностью нервной и мышечной систем.
Принцип постепенного усложнения техники движений. При осуществлении спортивных движений функционируют очень сложные временные связи, управляющие одновременной деятельностью многих мышц. Такие связи образуются постепенно, по мере широкого использования ранее образованных двигательных рефлексов (см. У.Г).
Существенна при этом роль подготовительных упражнений, позволяющих усвоить отдельные фрагменты движения и затем включить их в целостную систему разучиваемого сложного двигательного акта.
Центральная нервная система по механизму экстраполяции способна сразу программировать новые по своему характеру двигательные акты, но лишь в относительно ограниченных пределах. Когда разучиваемое упражнение недостаточно связано с ранее приобретенным опытом, для выработки программ в ряде случаев необходимо поступление в ЦНС по обратным связям специальной информации.
Без соответствующей предварительной подготовки человек не может правильно программировать сложные взаимоотношения в деятельности мышц, осуществляющих этот двигательный акт. Но если такое упражнение выполнить несколько раз с помощью тренера, ЦНС благодаря обратным связям получит информацию о динамике последовательных изменений в положении звеньев тела и в работе соответствующих мышц.
Это позволит сформировать в нервных центрах такую программу их деятельности, которая в дальнейшем будет использована спортсменом для самостоятельного выполнения движения.
Принцип многократного систематического повторения упражнений. Временные связи, являющиеся основой двигательных навыков, формируются и совершенствуются при обязательном повторении упражнения. Важное значение при этом имеют число повторений и интервалы как между повторениями, так и между тренировочными занятиями. Не только недостаточное, но и чрезмерное число повторений (с ним связано развитие утомления) затрудняет формирование навыка.
То же нужно отметить и в отношении интервалов между тренировочными занятиями. По мере роста тренированности число повторений упражнения на одном занятии и частоту занятий можно увеличить.
Принцип разносторонней технической подготовки. Временные связи, образующиеся в процессе формирования двигательного навыка, при многократном стереотипном выполнении движений могут способствовать сужению экстраполяции. Это сужение, возникающее при односторонней тренировке, ограничивает возможность изменять характер движений адекватно изменениям ситуаций. Между тем изменение внешней обстановки (особенности трассы или снаряда, возникновение препятствий и т.д.) и состояния спортсмена (эмоциональное перевозбуждение, утомление, травма и др.) могут вызвать несоответствие стереотипной программы выполнения движения новой ситуации.
Вследствие этого двигательный акт может быть неполноценным.
Обучение стереотипному выполнению только ограниченного числа физических упражнений тормозит также и развитие тренируемости.
Принцип индивидуализации обучения. Генетические особенности, детерминирующие способность быстро обучаться новым сложным движениям, у разных спортсменов могут значительно различаться. Весьма различным у них может быть также и фонд ранее приобретенных навыков.
Оба эти фактора предопределяют необходимость индивидуального подхода как при спортивном отборе, так и при обучении технике спортивных движений.
Глава 6. Влияние температуры и влажности воздуха на спортивную работоспособность
Во время напряженной и продолжительной спортивной нагрузки (например, марафонского бега) теплопродукция в работающих мышцах в 15-20 раз превышает теплопродукцию основного обмена. Практически все образующееся в мышцах тепло передается в кровь и переносится с нею в ядро тела, повышая его температуру до 39-40 и даже более (рабочая гипертермия).
Терморегуляция организма направлена в таких случаях на усиление теплоотдачи - передачу избытка тепла поверхности тела путем усиления кровообращения в сети кожных сосудов, откуда тепло отдается в окружающую среду (главным образом за счет испарения пота).
Повышенные температура и влажность окружающего воздуха серьезно затрудняют теплоотдачу, создавая риск перегревания тела. Чем выше внешняя температура, тем больше подъем температуры тела (рис. 58).
В жаркий и влажный день температура тела у марафонца может достигать 41. Усиленное испарение пота вызывает нарушение водного баланса тела - дегидратацию.
Большую нагрузку испытывает сердечно-сосудистая система. Поэтому в таких условиях снижается спортивная работоспособность и возникает угроза перегрева организма - теплового удара.

Рис. 58. Изменение ректальной температуры у стайеров во время бега на уровне около 70%, МГЩ ври различных условиях внешней среды: 1 - 30,5 (отн. влажность 34%), 2 - 28 (отн. влажность 38%), 3- 15,6 (оти. влажность 32%)
Снижение спортивной работоспособности при повышенных температуре и влажности воздуха определяют три основных фактора: 1) перегревание тела, 2) быстрая дегидратация и 3) снижение кислородтранспортных возможностей сердечно-сосудистой системы.
Физические механизмы теплоотдачи в условиях повышения температуры и влажности воздуха
Значение разных путей отдачи телом тепла в окружающую среду неодинаково в условиях покоя и при мышечной деятельности и меняется в зависимости от физических факторов внешней среды.
В условиях покоя с повышением внешней температуры сверх комфортной (около 18С) усиливается теплопроведение с конвекцией. Только когда температура воздуха превышает 30, т. е. приближается к температуре кожи, начинает усиливаться теплоотдача путем испарения пота. В жаркий день потери тепла проведением с конвекцией минимальны, так как мала разность температур между окружающим воздухом и кожей.
Когда внешняя температура превышает температуру поверхности тела (около 33), направление теплообмена меняется на противоположное, и поверхностные ткани тела получают тепло из окружающей среды. Солнечная радиация создает дополнительные термические нагрузки на организм.
В условиях работы основным путем отдачи тепла является испарение пота с поверхности кожи. По мере повышения внешней температуры роль этого механизма нарастает.
Скорость 'испарения пота определяется скоростью потообразования и некоторыми физическими характеристиками окружающей среды, среди которых наиболее существенна относительная влажность воздуха. Скорость испарения пота зависит от разности между влажностью кожи (Рк) и влажностью атмосферного воздуха (Ра) - Увеличение скорости потообразования вызывает повышение Рк и таким образом ускоряет испарение пота при данных внешних условиях. При высокой влажности воздуха градиент влажности между кожей и воздухом (Рк-Ра) уменьшается и испарение пота замедляется. Когда давление водяных паров в окружающем воздухе превышает 40 мм рт. ст., испарение пота с поверхности кожи равно нулю.
Поэтому даже при очень высокой температуре воздуха, но при относительно небольшой его влажности спортсмен не испытывает таких трудностей, как при низкой температуре воздуха и высокой влажности. Около 5% теплоотдачи при субмаксимальных аэробных нагрузках происходит за счет испарения воды с воздухоносных путей.
При повышении влажности окружающего воздуха этот механизм теплоотдачи также ослабевает.
Таким образом, повышенная температура окружающей среды уменьшает температурный градиент между воздухом и кожей, а также между кожей и ядром тела, создавая затруднения для теплоотдачи. Эти затруднения тем больше, чем ближе внешняя температура к температуре кожи.
Аналогичным образом повышенная влажность окружающего воздуха создает барьер для потери тепла путем испарения. Одновременное повышение температуры и влажности воздуха может приводить к чрезмерному повышению температуры тела при напряженной и продолжительной спортивной деятельности.
Физиологические механизмы усиления теплоотдачи в условиях повышенных температуры и влажности воздуха
ВЛАЖНОСТИ ВОЗДУХА
В условиях повышения температуры и влажности воздуха усиление теплоотдачи осуществляется двумя основными физиологическими механизмами: 1) усилением кожного кровотока, что увеличивает перенос тепла от ядра к поверхности тела и обеспечивает снабжение потовых желез водой, и 2) усилением потообразования.
Кожный кровоток и температура кожи
Кожный кровоток у взрослого человека при комфортных условиях внешней среды составляет в покое около 0,16 л/м /мин, во время работы - до 1 л/м2/мин, а при очень высокой внешней температуре может достигать 2,6 л/м2/мин. Это означает, что в очень жарких условиях до 20% сердечного выброса может направляться в кожную сосудистую сеть для предотвращения перегревания тела. В комфортных условиях при такой же работе эта доля сердечного выброса достигает лишь 5%. Мощность нагрузки практически не влияет на температуру кожи.
Средняя температура кожи при работе на велоэргометре (в помещении) есть линейная функция внешней температуры (в пределах от 5 до 35).
Температура кожи линейно связана с величиной кожного кровотока. Усиленный кровоток в коже повышает ее температуру, и если температура окружающей среды ниже, чем температура кожи, то повышаются потери тепла проведением с конвекцией и радиацией.
Повышение, кожной температуры уменьшает также влияние внешней радиации на тело.
Движение воздуха усиливает отдачу тепла конвекцией и испарением. В результате средняя кожная температура снижается и, таким образом, увеличиваются температурные градиенты ядро- кожа и кожа -окружающая среда, что еще более облегчает Условия для теплопотерь конвекцией и радиацией. При высокой температуре воздуха его дополнительное движение делает рабочую гипертермию умеренной.
Благодаря усиленной конвекции воздуха при езде на велосипеде средняя температура кожи значительно ниже, а теплоотдача выше, чем при беге.

Рис. 59. Связь скорости потоотделения (г/ч) со средней кожной температурой: 1 - разная мощность рабочей нагрузки (от 90 до 235 Вт) при постоянной внешней температуре (20); 2 - постоянная мощность рабочей нагрузка (150 Вт) при разной внешней температуре (от 5 до 30); 3 - условия покоя при разной внешней температуре (от 25 до 4);

Скорость потообразования и потоотделения зависит от целого ряда факторов. Главными из них являются скорость, энергопродукции и физические условия окружающей среды (температура и влажность воздуха). Если одна и та же физическая нагрузка выполняется при разных внешних температурах (не считая очень высоких и очень низких), внутренняя температура тела остается одинаковой, а скорость потоотделения возрастает как линейная функция средней температуры кожи (рис. 59).
Наоборот, при постоянной внешней температуре средняя температура кожи постоянна, а скорость потоотделения линейно связана с внутренней температурой тела, которая, в свою очередь, есть функция мощности нагрузки. Следовательно, чем больше мощность выполняемой работы, тем выше скорость потоотделения при той же средней температуре кожи.
Таким образом, скорость потоотделения зависит как от температуры ядра тела, так и от температуры его оболочки.
Высокая влажность воздуха даже при относительно невысокой его температуре затрудняет испарение пота: усиливается потообразование без эффективного потоиспарения. В
условиях покоя при температуре воздуха 43 секреция пота увеличивается более чем в 3 раза, если относительная влажность воздуха повышается с 30 до 84%. Во время нетяжелой работы повышение влажности воздуха с 30 до 57% почти удваивают скорость потообразования.
При интенсивной спортивной деятельности скорость потоотделения очень большая. Например, во время марафонского бега при небольшой относительной влажности воздуха скорость потоотделения у тренированного спортсмена достигает 20-25 мл/мин (1200-1500 мл/ч). При прочих равных условиях увеличение скорости движения воздуха ускоряет процесс потоиспарения (рис.
60). При повышенной влажности воздуха в безветренную погоду испарение пота замедляется, скорость потообразования падает, что приводит к дополнительному повышению температуры тела.
По мере пребывания в жарких условиях происходит постепенное снижение скорости (утомление) потообразования. Это наблюдается даже в тех случаях, когда потери воды с потом полностью возмещаются выпитой водой.
Снижение скорости потообразования более выражено в условиях повышенной влажности воздуха, чем при жарком сухом воздухе. Природа такого, утомления процесса потообразования пока не. выяснена.
Если у человека после повторного пребывания в сауне (сухой жаркий воздух) происходит утомление потообразования, то мышечная работа еще способна вызвать у него достаточно интенсивное потоотделение. Высушивание кожи периодическим ее вытиранием или за счет увеличения скорости движения воздуха ускоряет в этих условиях процесс потоотделения.
Следует отметить, что при одинаковых физических нагрузках и внешней температуре потоотделение у женщин меньше, чем у мужчин.
Водно-солевой баланс
Одним из самых тяжелых последствий усиленного потоотделения во время мышечной работы, выполняемой в условиях повышенных температуры и влажности воздуха, является нарушение водно-солевого баланса организма. Оно заключается в быстрой потере воды телом, т. е. в развитии острой дегидратации (обезвоживания), а также в изменении содержания в водных пространствах тела ряда электролитов (солей).
Дегидратация может быть вызвана разными причинами: пребыванием в условиях повышенной температуры внешней среды (термическая дегидратация), продолжительной и интенсивной мышечной работой (рабочая дегидратация) и комбинацией этих двух условий, т. е. интенсивной мышечной работой при повышенной температуре (терморабочая дегидратация). Разные формы дегидратации вызывают неодинаковые изменения в функциях разных тканей и систем организма.
При рабочей дегидратации особенно заметно снижение физической работоспособности. Значительная рабочая дегидратация развивается лишь при длительных (более 30 мин) и достаточно интенсивных упражнениях (субмаксимальной аэробной мощности), особенно если они выполняются в условиях повышенных температуры и влажности воздуха.
При тяжелой, но кратковременной работе даже в условиях повышенных температуры и влажности воздуха сколько-нибудь значительная дегидратация не успевает развиться.
Поддержание температуры тела в допустимых пределах для организма важнее, чем сохранение воды. При продолжительной тяжелой работе, сопровождающейся сильным потоотделением, может возникать большой дефицит воды в теле.
Например, марафонцы могут терять во время соревнований в жарких условиях до 6 л воды с потом. Даже при некотором восполнении потерь воды приемом жидкостей на дистанции вес тела у марафонцев снижается в среднем на 5%, а в предельных случаях - на 8% с потерей 13-14% общего количества воды.
Общие потери воды в резульг тате мышечной работы можно легко оценить, сравнив вес тела до и после работы (с учетом выпитой в этот промежуток воды).

Человек, потерявший большое количество воды, неустойчив к жаре, его работоспособность снижается. Даже уменьшение веса тела на 1-2% из-за потери воды снижает физическую работоспособность, особенно у нетренированного человека. В условиях дегидратации организм хуже регулирует температуру тела, так что при одинаковой нагрузке температура тела у обезвоженных людей (потеря 3-4% веса тела) выше, чем у нормально гидратированных (рис. 61).
Чем выше степень дегидратации, тем больше температура тела во время работы. При дегидратации с потерей 3% веса тела уменьшается активность потовых желез.
Одним из наиболее важных отрицательных последствий дегидратации является уменьшение объема плазмы крови. При рабочей дегидратации с потерей 4% веса тела объем плазмы уменьшается на 16-18%. Соответственно уменьшается объем циркулирующей крови, что приводит к снижению венозного возврата и как следствие - к падению систолического объема. Для компенсации последнего повышается ЧСС (см. рис.
61). Другим следствием уменьшения объема плазмы крови является гемоконцентрация с повышением показателя гематокрита и вязкости крови, что увеличивает нагрузку на сердце и может снижать его
производительность.
Одним из тяжелых последствий большой потери воды телом является уменьшение объема межклеточной (тканевой) и внутриклеточной жидкостей. В клетках с пониженным содержанием воды и измененным равновесием электролитов нарушается нормальная жизнедеятельность.
Это, в частности, относится к скелетным и сердечной мышцам, сократительная способность которых в условиях дегидратации может значительно снижаться.
Физиологические механизмы, контролирующие поддержание нормального водно-солевого баланса во всем теле и его водных пространствах, многообразны. Уменьшение содержания воды в плазме повышает в ней концентрацию электролитов и других веществ, что ведет к повышению осмотического давления плазмы.
В процессе работы осмолярность плазмы крови непрерывно повышается также вследствие выхода в кровь низкомолекулярных метаболических продуктов и ионов калия из активных мышечных клеток. В результате часть жидкости перемещается из межклеточных (тканевых) пространств в сосуды, восполняя плазмопотери. Благодаря этому удается восстанавливать объем плазмы и поддерживать его на относительно постоянном уровне после периода снижения в начале работы.
По мере развития термической дегидратации (в отличие от рабочей) объем плазмы непрерывно уменьшается.
При высокой внешней температуре в результате усиления кожного кровотока происходит интенсивная фильтрация жидкости из кожных капилляров во внесосудистые (тканевые) пространства кожи. Это ведет к интенсивному вымыванию белка, которого в этих пространствах относительно много, в лимфоток и оттуда в кровеносную систему.
Переход белка в кровь увеличивает ее онкотическое давление, что вызывает усиление адсорбции воды в кровеносные капилляры из межклеточных (внесосудистых) водных пространств, помогая таким образом поддерживать объем циркулирующей плазмы (крови). Вымывание белка из кожных тканевых пространств в кровь автоматически компенсирует усиленную потерю Воды плазмой крови, вызванную интенсивным потоиспарением.

Во время выполнения мышечной работы уменьшается почечный кровоток, причем тем больше, чем выше интенсивность работы (рис. 62) и в некоторых пределах чем выше температура и влажность воздуха.
Параллельно, хотя и в меньшей степени, падает скорость фильтрации воды в почечных клубочках, т. е. снижается скорость образования мочи. Уменьшение почечного кровотока и скорости мочеобразования при работе в жарких условиях усиливает задержку воды почками (антидиурез).
Одним из механизмов такой задержки является повышенное выделение из гипофиза антидиуретического гормона (АДГ) в ответ на снижение объема плазмы (дегидратацию) и увеличение ее осмолярности.
Важным дополнительным источником потоотделения во время мышечной работы служит вода, связанная с гликогеном - эндогенная вода, которая освобождается при расщеплении гликогена. С каждым граммом гликогена связано 2,7 г воды.
Таким образом, гликогенолиз является не только источником энергии для сокращающихся мышц, но и дополнительным источником воды для работающего организма.
Главную роль в восполнении потерь воды в результате усиленного потоотделения при продолжительной напряженной мышечной работе (особенно в жарких условиях) играет прием жидкостей - питье воды или водных растворов во время и после работы.

Рис. 63. Изменение концентрации альдостерона (1) и активности ренина (2) в плазме крови на протяжении 12 ч работы и последующих двух суток (по Д. Костиллу, 1977)
При потере воды с потом организм теряет и некоторые минеральные вещества (соли). По сравнению с другими жидкостями пот является сильно разбавленным водным раствором.
Концентрация в нем ионов натрия и хлора составляет примерно 1/3 их концентрации в плазме и 1/5 в мышцах. Таким образом, пот - это гипотонический раствор по сравнению с плазмой крови.
Ионная концентрация пота сильно варьирует у разных людей и очень зависит от скорости потоотделения и состояния тепловой акклиматизации.
С увеличением скорости потообразования концентрация ионов натрия и хлора в поте увеличивается, концентрация ионов кальция уменьшается, а ионов калия и магния не изменяется. Следовательно, при длительной напряженной работе (например, во время марафонского бега) спортсмен теряет с потом главным образом ионы натрия и хлора, т.
Связь произвольной силы и выносливости
Механизмы внутримышечной координации определяют число и частоту импульсации мотонейронов данной мышцы и связь их импульсации во времени. С помощью этих механизмов центральная нервная система регулирует МПС данной мышцы, т. е. определяет, насколько сила произвольного сокращения данной мышцы близка к ее МС.
Показатель МПС любой мышечной группы даже одного сустава зависит от силы сокращения многих мышц. Совершенство межмышечной координации проявляется в адекватном выборе нужных мышц-синергистов, в ограничении ненужной активности мышц-антагонистов данного и других суставов и в усилении активности мышц-антагонистов, обеспечивающих фиксацию смежных суставов и т. п.
Таким образом, управление мышцами, когда требуется проявить их МПС, является сложной задачей для центральной нервной системы. Отсюда понятно, почему в обычных условиях МПС мышц меньше, чем их МС.
Разница между МС мышц и их МПС называется силовым дефицитом.
Силовой дефицит у человека определяется следующим образом. На специальной динамометрической установке измеряют МПС выбранной группы мышц, затем - ее МС.
Чтобы измерить МС, раздражают нерв, иннервирующий данную мышечную группу, электрическими импульсами. Силу электрического раздражения подбирают такой, чтобы возбудить все моторные нервные волокна (аксоны мотонейронов). При этом применяют частоту раздражения, достаточную для возникновения полного тетануса мышечных волокон (обычно 50-100 имп/с).
Таким образом, сокращаются все мышечные волокна данной мышечной группы, развивая максимально возможное для них напряжение (МС).
Силовой дефицит данной мышечной группы тем меньше, чем совершеннее центральное управление мышечным аппаратом. Величина силового дефицита зависит от трех факторов:
1. психологического, эмоционального, состояния (установки) испытуемого;
2. необходимого числа одновременно активируемых мышечных групп
3. степени совершенства произвольного управления ими.
Первый фактор. Известно, что при некоторых эмоциональных состояниях человек может проявлять такую силу, которая намного превышает его максимальные возможности в обычных условиях. К таким эмоциональным (стрессовым) состояниям относится, в частности, состояние спортсмена во время соревнования.
В экспериментальных условиях значительное повышение показателей МПС (т. е. уменьшение силового дефицита) обнаруживается при сильной мотивации (заинтересованности) испытуемого, в ситуациях, вызывающих его сильную эмоциональную реакцию, например после неожиданного резкого звука (выстрела). То же отмечается при гипнозе, приеме некоторых лекарственных препаратов. При этом положительный эффект (увеличение МПС, уменьшение силового дефицита) сильнее выражен у нетренированных испытуемых и слабее (или совсем отсутствует) у хорошо тренированных спортсменов.
Это указывает на высокую степень совершенства центрального управления мышечным аппаратом у спортсменов.
Второй фактор. При одинаковых условиях измерения величина силового дефицита тем больше, чем больше число одновременно сокращающихся мышечных групп.
Например, когда измеряется МПС мышц, только приводящих большой палец кисти, силовой дефицит составляет у разных испытуемых 5-15% от МС этих мышц. При определении МПС мышц, приводящих большой палец и сгибающих его концевую фалангу, силовой дефицит возрастает до 20%. При максимальном произвольном сокращении больших групп мышц голени силовой дефицит равен 30% (Я.
М. Коц).
Третий фактор. Роль его доказывается различными экспериментами. Показано, например, что изометрическая тренировка, проводимая при определенном положении конечности, приводит к значительному повышению МПС, измеряемой в том же положении. Если измерения проводятся в других положениях конечности, то прирост МПС оказывается незначительным или отсутствует совсем.
Если бы прирост МПС зависел только от увеличения поперечника тренируемых мышц (периферического фактора), то он обнаруживался бы при. измерениях в любом положении конечности. Следовательно, в данном случае прирост МПС зависит от более совершенного, чем до тренировки, центрального управления мышечным аппаратом именно в тренируемом положении.

Роль координационного фактора выявляется также при изучении показателя относительной произвольной силы, которая определяется делением показателя МПС на величину мышечного поперечника (Так как у человека можно измерить только анатомический поперечник мышцы, для большинства мышц определяется не абсолютная произвольная сила (отношение МПС к физиологическому поперечнику), а относительная (отношение МПС к анатомическому поперечнику). В спортивной педагогике понятием относительная сила обозначают отношение МПС к весу спортсмена.). Так, после 100-дневной тренировки с применением изометрических упражнений МПС мышц тренируемой руки выросла на 92%, а площадь их поперечного сечения на 23% (рис.
28). Соответственно относительная произвольная сила увеличилась в среднем с 6,3 до 10 кг/см2. Следовательно, систематическая тренировка может способствовать совершенствованию произвольного управления мышцами. МПС мышц нетренируемой руки также несколько увеличилась за счет последнего фактора, так как площадь поперечного сечения мышц этой руки не изменилась.
Это показывает, что более совершенное центральное управление мышцами может проявляться в отношении симметричных мышечных групп (явление переноса тренировочного эффекта).
Как известно, наиболее высокопороговыми (менее возбудимыми) являются быстрые двигательные единицы мышцы. Их вклад в общее напряжение мышцы особенно велик, так как каждая из них содержит много мышечных волокон. Быстрые мышечные волокна толще, имеют больше миофибрилл, и поэтому сила их сокращения выше, чем у медленных двигательных единиц. Отсюда понятно, почему МПС зависит от композиции мышц: чем больше быстрых мышечных волокон они содержат, тем выше их МПС (рис.
29).

Рис. 29.
Процентное распределение быстрых волокон в наружной головке четырехглавой м. бедра (слева); изометрическая сила мышц ног, отнесенная к весу тела (светлые прямоугольники), и вертикальная скорость при прыжке вверх (темные прямоугольники) у спортсменов разных специализаций и неспортсменов (П. Коми и др., 1978)
Когда перед спортсменом стоит задача развить значительную мышечную силу во время выполнения соревновательного упражнения, он должен систематически применять на тренировках упражнения, которые требуют проявления большой мышечной силы (не менее 70% от его МПС).
В этом случае совершенствуется произвольное управление мышцами, и в частности механизмы внутримышечной координации, обеспечивающие включение как можно большего числа двигательных единиц основных мышц, в том числе наиболее высокопороговых, быстрых двигательных единиц.
Связь произвольной силы и выносливости
Между показателями произвольной силы и выносливости мышц (локальной выносливости) существует сложная связь.
МПС и статическая выносливость одной и той же мышечной группы связаны прямой зависимостью: чем больше МПС данной мышечной группы, тем длительнее можно удержать выбранное усилие (больше абсолютная локальная выносливость). Иная связь между произвольной силой и выносливостью обнаруживается в экспериментах, в которых разные испытуемые развивают одинаковые относительные мышечные усилия, например 60% от их МПС (при этом чем сильнее испытуемый, тем большее
па абсолютной величине мышечное усилие он должен поддерживать). В этих случаях среднее предельное время работы (относительная локальная выносливость) чаще всего одинаково у людей с разной МПС.
Показатели МПС и динамической выносливости не обнаруживают прямой связи у неспортсменов и спортсменов различных, специализаций. Например, как среди мужчин, так и среди женщин наиболее сильными мышцами ног обладают дискоболы, но у них самые низкие показатели динамической выносливости. Бегуны на средние и длинные дистанции по силе мышц ног не отличаются от неспортсменов, но у первых чрезвычайно большая динамическая локальная выносливость. В то же время у них не выявлено повышенной динамической выносливости мышц рук.
Все это свидетельствует о высокой специфичности тренировочных эффектов: больше всего повышаются те функциональные свойства и у тех мышц, которые являются основными в тренировке спортсмена. Тренировка, направленная преимущественно на развитие мышечной силы, совершенствует механизмы, способствующие улучшению этого качества, значительно меньше влияя на мышечную выносливость, и наоборот.
Рабочая гипертрофия мышц
Поскольку сила мышцы зависит от ее поперечника, увеличение его сопровождается ростом силы данной мышцы. Увеличение мышечного поперечника в результате физической тренировки называется рабочей гипертрофией мышцы (от греч. тро-фос - питание).
Мышечные волокна, являющиеся высокоспециализированными дифференцированными клетками, по-видимому, не способны к клеточному делению с образованием новых волокон. Во всяком .случае, если деление мышечных клеток и имеет место, то только в особых случаях и в очень небольшом количестве. Рабочая гипертрофия мышцы происходит почти или исключительно за счет утолщения (увеличения объема) существующих мышечных волокон.
Г1ри значительном утолщении мышечных волокон возможно их продольное механическое расщепление с образованием дочерних волокон с общим сухожилием. В процессе силовой тренировки число продольно расщепленных волокон увеличивается.
Можно выделить два крайних типа рабочей гипертрофии мышечных волокон - саркоплазматический и миофибриллярный. Саркоплазматическая рабочая гипертрофия - это утолщение мышечных волокон за счет преимущественного увеличения объема саркоплазмы, т. е. несократительной их части.
Гипертрофия этого типа происходит за счет повышения содержания несократительных (в частности, митохондриальных) белков и метаболических резервов мышечных волокон: гликогена, безазотистых веществ, креатинфосфата, миоглобина и др. Значительное увеличение числа капилляров в результате тренировки также может вызывать некоторое утолщение мышцы.
Наиболее предрасположены к саркоплазматической гипертрофии, по-видимому, медленные (I) и быстрые окислительные (II-А) волокна. Рабочая гипертрофия этого типа мало влияет на рост силы мышц, но зато значительно повышает способность к продолжительной работе, т. е. увеличивает их выносливость.
Миофибриллярная рабочая гипертрофия связана с увеличением числа и объема миофибрилл, т. е собственно-сократительного аппарата мышечных волокон. При этом возрастает плотность укладки миофибрилл в мышечном волокне. Такая рабочая гипертрофия мышечных волокон ведет к значительному росту МС мышцы.
Существенно увеличивается и абсолютная сила мышцы, а при рабочей гипертрофии первого типа она или совсем не изменяется, или даже несколько уменьшается. По-видимому, наиболее предрасположены к миофибриллярной гипертрофии быстрые (II-B) мышечные волокна.
В реальных ситуациях гипертрофия мышечных волокон представляет собой комбинацию двух названных типов с преобладанием одного из них. Преимущественное развитие того или иного типа рабочей гипертрофии определяется характером мышечной тренировки. Длительные динамические упражнения, развивающие выносливость, с относительно небольшой силовой нагрузкой на мышцы вызывают главным образом рабочую гипертрофию первого типа.
Упражнения с большими мышечными напряжениями (более 70%-от МПС тренируемых групп мышц), наоборот, способствуют развитию рабочей гипертрофии преимущественно второго типа.
В основе рабочей гипертрофии лежит интенсивный синтез и уменьшенный распад мышечных белков. Соответственно концентрация ДНК и РНК в гипертрофированной мышце больше, чем в нормальной.
Креатин, содержание которого увеличивается в сокращающейся мышце, может стимулировать усиленный синтез актина и миозина и таким образом способствовать развитию рабочей гипертрофии мышечных волокон.
Очень важную роль в регуляции объема мышечной массы, в частности в развитии гипертрофии мышц, играют андрогены (мужские половые гормоны). У мужчин они вырабатываются половыми железами (семенниками) и в коре надпочечников, а у женщин - только в коре надпочечников.
Соответственно у мужчин количество андрогенов в организме больше, чем у женщин. Роль андрогенов в увеличении мышечной массы проявляется в следующем.
Возрастное развитие мышечной массы идет параллельно с увеличением продукции андрогенных гормонов. Первое заметное утолщение мышечных волокон наблюдается в 6-7-летнем возрасте, когда усиливается
образование андрогенов. С наступлением полового созревания (в 11 -15 лет). начинается интенсивный прирост мышечной массы у мальчиков, который продолжается и после периода полового созревания. У девочек развитие мышечной массы в основном заканчивается с периодом полового созревания.
Соответствующий характер имеет и рост мышечной силы в школьном возрасте.
Даже после коррекции показателей силы с размерами тела силовые показатели у взрослых женщин ниже, чем у мужчин (подробнее см. 1Х.2).
Вместе с тем если у женщин в результате некоторых заболеваний, усиливается секреция андрогенов надпочечниками, то интенсивно увеличивается мышечная масса, появляется хорошо развитый мышечный рельеф, возрастает мышечная сила.
В опытах на животных установлено, что введение препаратов андрогенных гормонов (анаболиков) вызывает значительную интенсификацию синтеза мышечных белков, в результате чего увеличивается масса тренируемых мышц и как результат - их сила. Вместе с тем развитие рабочей гипертрофии скелетных мышц может происходить и без участия андрогенных и других гормонов (гормона роста, инсулина и тироидных гормонов).
Силовая тренировка, как и другие виды тренировки, по-видимому, не изменяет соотношения в мышцах двух основных типов мышечных волокон быстрых и медленных. Вместе с тем она .способна изменять соотношение двух видов быстрых волокон, увеличивая процент быстрых гликолитических (Б.Г) и соответственно уменьшая процент быстрых окислительно-гликолитических (БОГ) волокон (табл. 7).
При этом в результате силовой тренировки степень гипертрофии быстрых мышечных волокон значительно больше, чем5 медленных окислительных (МО) волокон, тогда как тренировка выносливости ведет к гипертрофии в первую очередь медленных волокон. Эти различия показывают, что степень рабочей гипертрофии мышечного волокна зависит, как от меры его использования в', процессе тренировок, так и от его способности к гипертрофии.
Силовая тренировка связана с относительно небольшим числом повторных максимальных или близких к ним мышечных сокращений, в которых участвуют как быстрые, так и медленные мышечные волокна. Однако и небольшого числа повторений достаточно для развития рабочей гипертрофии быстрых волокон, что указывает на их большую предрасположенность к развитию рабочей гипертрофии (по сравнению с медленными волокнами).
Высокий процент быстрых волокон в мышцах служит важной предпосылкой для значительного роста мышечной силы при направленной силовой тренировке. Поэтому люди с высоким процентом быстрых волокон в мышцах имеют более высокие потенциальные возможности для развития силы и мощности.
Тренировка выносливости связана с большим числом повторных мышечных сокращений относительно небольшой силы, которые в основном обеспечиваются активностью медленных мышечных волокон. Поэтому понятна более выраженная рабочая гипертрофия медленных мышечных волокон при этом виде тренировки по сравнению с гипертрофией быстрых волокон, особенно быстрых гликоли-тических (см. табл.
7).
| Таблица 7. Композиция четырехглавой мышцы бедра (наружной головки) и площадь поперечного сечения разных видов мышечных волокон у спортсменов разных специализаций и неспортсменов (Ф. Принс, и др., 1976) |
| Показатели композиции мышц |
Неспортсмены
(n=4) |
Тяжелоатлеты
(n=3) |
Бегуны-стайеры
(n=3) |
| Процент волокон: |
|
|
|
| БГ |
26,2 |
33,3 |
4,5 |
| БОГ |
38,1 |
10,5 |
39,7 |
| МО |
35,5 |
45,0 |
44,3 |
Процент окислительных-волокон (БОГ +
МО) |
73,6 |
55,5 |
84,0 |
| Площадь поперечного сечения волокон (мкм2): |
|
|
|
| БГ |
3418 |
6577 |
2938 |
| БОГ |
4105 |
7299 |
5224 |
| МО |
3303 |
4430 |
4609 |
|
Физиологические основы скоростно-силовых качеств (мощности)
Максимальная мощность (иногда называемая взрывной мощностью) является результатом оптимального сочетания силы и скорости. Мощность проявляется во многих спортивных упражнениях: в метаниях, прыжках, спринтерском беге, борьбе.
Чем выше мощность развивает спортсмен, тем большую скорость он может сообщить снаряду или собственному телу, так как финальная скорость снаряда (тела) определяется силой и скоростью приложенного воздействия.
Мощность может быть увеличена за счет увеличения силы или скорости сокращения мышц или обоих компонентов. Обычно наибольший прирост мощности достигается за счет увеличения мышечной силы.
Мышечная сила, измеряемая в условиях динамического режима работы мышц (концентрического или эксцентрического сокращения), обозначается как динамическая сила (Р). Она определяется по ускорению (а), сообщаемому массе (/л) при концентрическом сокращении мышц, или по замедлению (ускорению с обратным знаком) движения массы при эксцентрическом сокращении мышц.
Такое определение основано на физическом законе, согласно которому Р - т а. При этом проявляемая мышечная сила зависит от величины перемещаемой массы: в некоторых пределах с увеличением, массы перемещаемого тела показатели силы растут; дальнейшее увеличение массы не сопровождается приростом динамической силы.
При измерении динамической силы испытуемый выполняет движение, которое требует сложной внемышечной и внутримышечной координации. Поэтому показатели динамической силы значительно различаются у разных людей и при повторных измерениях у одного и того же человека, причем больше, чем показатели изометрической (статической) силы.
Динамическая сила, измеряемая при концентрическом сокращении мышц, меньше, чем статическая сила. Конечно, такое сравнение проводится при максимальных усилиях испытуемого в обоих случаях и при одинаковом суставном угле. В режиме эксцентрических сокращений (уступающий режим) мышцы способны проявлять динамическую силу, значительно превышающую максимальную изометрическую.
Чем больше скорость движения, тем больше проявляемая динамическая сила при уступающем режиме сокращения мышц.
У одних и тех же испытуемых обнаруживается умеренная корреляция между показателями статической и динамической силы (коэффициенты корреляции в пределах 0,6-0,8).

Увеличение динамической силы в результате динамической тренировки может не вызывать повышения статической силы. Изометрические упражнения или не увеличивают динамической силы, или увеличивают значительно меньше, чем статическую (рис. 30). Все это указывает на чрезвычайную специфичность тренировочных эффектов: использование определенного вида упражнений (статического или динамического) вызывает наиболее значительное повышение результата именно в этом виде упражнений.
Более того, наибольший прирост мышечной силы обнаруживается при той же скорости движения, при которой происходит тренировка (см. рис. 30).
К одной из
разновидностей мышечной силы относится так называемая взрывная сила, которая характеризует способность к быстрому проявлению мышечной силы. Она в значительной мере определяет, например, высоту прыжка вверх с прямыми ногами или прыжка в длину с места, переместительную скорость на коротких отрезках бега с максимально возможной скоростью. В качестве показателей взрывной силы используются градиенты силы, т. е. скорость ее нарастания, которая определяется как отношение Максимальной проявляемой силы к времени ее достижения или как время достижения какого-нибудь выбранного уровня мышечной силы (абсолютный градиент)'либо половины максимальной силы, либо какой-нибудь другой ее части (относительный градиент силы). Градиент силы выше у представителей скоростносиловых видов спорта (спринтеров), чем у неспортсменов или спортсменов, тренирующихся на выносливость (рис.
31). Особенно значительны различия в абсолютных градиентах силы.
Показатели взрывной силы мало зависят от максимальной произвольной изометрической силы. Так, изометрические упражнения, увеличивая статическую силу, незначительно изменяют взрывную силу, определяемую по показателям градиента силы или по показателям прыгучести (прыжками вверх с прямыми ногами или прыжка с места в длину).
Следовательно, физиологические механизмы, ответственные за взрывную силу, отличаются от механизмов, определяющих статическую силу. Среди координационных факторов важную роль в проявлении взрывной силы играет характер импульсации мотонейронов активных мышц - частота их импульсации. в начале разряда и синхронизация импульсации разных мотонейронов.
Чем выше начальная частота импульсации мотонейронов, тем быстрее нарастает мышечная сила.

Рис. 31. Изменение изометрической силы (I) и максимальной скорости этого изменения (II) в начале
произвольного (вверху) и вызванного электрическим раздражением (внизу) сокращения трехглавой м. голени у спортсменов и неспортсменов (Я. М. Код и Ю. А. Коряк, 1981). Сила изометрического сокращения выражена в процентах от максимальной силы (Ро), а скорость - в процентах от максимальной силы и мс
В проявлении взрывной силы очень большую роль играют скоростные сократительные свойства мышц, которые в значительной мере зависят от их композиции, т. е. соотношения быстрых и медленных волокон. Быстрые волокна составляют основную массу мышечных волокон у высококвалифицированных представителей скоростносиловых видов спорта (см. рис.
29). В процессе тренировки эти волокна подвергаются более значительной гипертрофии, чем медленные. Поэтому у спортсменов скоростно-силовых видов спорта быстрые волокна составляют основную массу мышц (или иначе занимают на поперечном срезе значительно большую площадь) по .сравнению с нетренированными людьми или представителями других видов спорта, особенно тех, которые требуют проявления преимущественно выносливости (рис.
32).
Скоростной компонент мощности
Согласно второму закону Ньютона, чем больше усилие (сила), приложенное к массе, тем. больше скорость, с которой движется данная масса. Таким образом, сила сокращения мышц влияет на скорость движения: чем больше сила, тем быстрее движение.

Рис. 32.
Процент площади, занимаемой на поперечном срезе наружной головки четырехглавой м. бедра медленными волокнами у легкоатлетов разной специализации и неспортсменов - мужчин (А) и женщин (Б) (Д. Костилл, .1976)
Скорость спринтерского бега зависит от двух факторов: величины ускорения (скорости разбега) и максимальной скорости. Первый фактор определяет, как быстро спортсмен может увеличить скорость бега. Этот фактор наиболее важен для коротких отрезков дистанции (10-15 м) в беге, для игровых видов спорта, где требуется максимально быстрое перемещение тела из одного положения в другое. Для более длинных дистанций важнее максимальная скорость бега, чем величина ускорения.
Если спортсмен имеет высокий уровень обеих форм проявления скорости, это дает ему большое преимущество на спринтерских дистанциях.
Эти два фактора скорости бега не имеют тесной связи друг с другом. У одних спортсменов медленное ускорение, но они обладают большой максимальной скоростью, у других, наоборот, быстрое ускорение и относительно небольшая максимальная - скорость.
Одним из важных механизмов повышения скоростного компонента мощности служит увеличение скоростных
сократительных свойств мышц, другим - улучшение координации работы мышц.
Скоростные сократительные свойства мышц в значительной мере зависят от соотношения быстрых и медленных мышечных волокон. У выдающихся представителей скоростно-силовых видов спорта (особенно у спринтеров) процент быстрых мышечных, волокон значительно выше, чем у неспортсменов, а тем более чем у выдающихся спортсменов, тренирующих выносливость (табл.
8, см.
Устойчивое состояние
С наступлением этого состояния ЛВ обычно уменьшается, частота дыхания замедляется, а глубина увеличивается, ЧСС также может несколько снижаться. Потребление О2 и выделение СО2 с выдыхаемым воздухом уменьшаются, рН крови растет. Потоотделение становится очень заметным.
Состояние второго дыхания показывает, что организм достаточно мобилизован для удовлетворения рабочих запросов. Чем интенсивнее работа, тем раньше наступает второе дыхание.
Устойчивое состояние
При выполнении упражнений постоянной аэробной мощности вслед за периодом быстрых изменений функций организма (врабатыванием) следует период, который был назван А. Хиллом периодом устойчивого состояния (англ. steady - state). Определяя скорость потребления О2 при выполнении упражнений малой аэробной мощности, он обнаружил, что скорость потребления О2 вслед за быстрым нарастанием в начале упражнения далее устанавливается на определенном уровне и практически сохраняется неизменной на протяжении многих десятков минут (см. рис. 9, верхняя схема). При выполнении упражнений небольшой мощности на протяжении периода устойчивого состояния имеется количественное соответствие между потребностью организма в кислороде (кислородным запросом) и ее удовлетворением.
Поэтому такие упражнения А. Хилл отнес к упражнениям с истинно устойчивым состоянием. Кислородный долг после непродолжительного их выполнения практически равен лишь кислородному дефициту, возникающему в начале работы.

При более интенсивных нагрузках - средней, субмаксимальной и околомаксимальной аэробной мощности - вслед за периодом быстрого увеличения скорости потребления О2 (врабатывания) следует период, на протяжении которого она хотя и очень мало, но постепенно повышается. Поэтому второй рабочий период в этих упражнениях можно обозначить только как условно устойчивое состояние.
В аэробных упражнениях большой мощности уже нет полного равновесия между кислородным запросом и его удовлетворением во время самой работы. Поэтому после них регистрируется кислородный долг, который тем больше, чем больше мощность работы и ее продолжительность.
В упражнениях максимальной аэробной мощности после короткого периода врабатывания потребление О2 достигает уровня МП К (кислородного потолка) и потому больше увеличиваться не может. Далее оно поддерживается на этом уровне, иногда снижаясь лишь ближе к концу упражнения.
Поэтому второй рабочий период в упражнениях максимальной аэробной мощности называют периодом ложного устойчивого состояния.

Рис. 14.
Связь скорости и величины (амплитуды) дрейфа ЧСС с мощностью выполняемой нагрузки (В. М. Алексеев и Я. М. _Коц, 1983)_
В упражнениях анаэробной мощности вообще нельзя выделить второй рабочий период, так как на протяжении всего времени их выполнения быстро повышается скорость потребления О2 (и происходят изменения других физиологических функций). В этом смысле можно сказать, что в упражнениях анаэробной мощности есть только период врабатывания.
При выполнении упражнений любой аэробной мощности на протяжении второго периода (с истинно, условно или ложно устойчивым состоянием, определяемым по скорости потребления О2) многие ведущие физиологические показатели медленно изменяются (рис. 13).
Эти относительно медленные функциональные изменения получили название дрейфа. Чем больше мощность упражнения, тем выше скорость дрейфа функциональных показателей (рис.
14), и наоборот, чем ниже мощность упражнения (чем оно продолжительнее), тем ниже скорость дрейфа.
Таким образом, во всех упражнениях аэробной мощности с уровнем потребления О2 более 50% от МПК, как и во всех упражнениях анаэробной мощности, нельзя выделить рабочий период с истинно устойчивым, неизменным состоянием функций ни по скорости потребления О2, ни тем более по другим показателям. Для упражнений такой большой аэробной мощности основной рабочий период можно обозначить как псевдо (к ваз и) устойчивое состояние или как период с медленными функциональными изменениями (дрейфом), Большинство этих изменений отражает сложную динамику адаптации организма к выполнению данной нагрузки в условиях развивающегося на протяжении работы процесса утомления.

Рис. 16. Динамика скорости потребления О2 (наверху) и интегрированной электромиограммы (ЭМГ) четырехглавой мышцы бедра (внизу) во время выполнения на велоэргометре упражнений разной мощности (И.
Мияшита и др., 1981). Мощность в ваттах указана числами около кривых
В период квазиустойчивого состояния организма происходит постепенная перестройка в деятельности сердечнососудистой, дыхательной, нервномышечной, эндокринной и других систем.
На протяжении этого периода медленно снижается систолический объем, но компенсаторно увеличивается ЧСС, так что сердечный выброс (минутный объем кровотока) остается практически неизменным (см. рис. 13). Уменьшается и затем постепенно, но не полностью восстанавливается объем циркулирующей крови. Происходит перераспределение кровотока с увеличением кожного кровотока, что способствует усилению теплоотдачи.
Несмотря на эти и другие терморегуляторные перестройки, температура тела непрерывно повышается (рис. 15).
В период квазиустойчивого состояния постоянно изменяется также АД, особенно систолическое.
В процессе выполнения упражнения все время повышается ЛВ (см. рис. 15), как за счет частоты, так и за счет глубины дыхания. Растет альвеолярно-артериальная разность по кислороду.
Парциальное напряжение СО2 и рН артериальной крови имеют тенденцию к снижению. Постепенно увеличивается АВР-О2, что при относительно неизменном сердечном выбросе обеспечивает некоторое повышение скорости потребления О2, а при тенденции к снижению сердечного выброса -поддержание относительно постоянной скорости потребления О2.
Дыхательный коэффициент на протяжении периода квазиустойчивого состояния постепенно снижается, что указывает на увеличение доли участия окисляемых жиров и соответственно уменьшение доли участия окисляемых углеводов в аэробном обеспечении работы.

В процессе выполнения упражнения непрерывно растет электрическая активность мышц (рис. 16), что говорит об усилении импульсации их спинальных мотонейронов. Это усиление отражает процесс рекрутирования новых двигательных единиц (ДЕ) для компенсации мышечного утомления.
Такое утомление заключается в постепенном снижении сократительной способности мышечных волокон активных ДЕ.
На протяжении упражнения усиливается деятельность одних желез внутренней секреции и ослабляется деятельность других. В частности, растет активность симпатоадреналовой системы, что выражается в повышении содержания в крови адреналина и нора-дренаяина (рис.
17, А).
Отражением постепенного усиления активности систем, осуществляющих регуляцию двигательных и вегетативных функций, и изменений в состоянии этих функций является субъективное ощущение непрерывного повышения тяжести нагрузки по мере продолжения упражнения (рис. 17, Б).
Для упражнений с квазиустойчивым состоянием характерно наличие кислородного долга, величина которого растет с повышением мощности выполняемых упражнений. Для физиологической характеристики этих упражнений обычно используются показатели, которые регистрируются в начале периода квазиустойчивого состояния (обычно на 5-10-й мин).
Утомление
Процесс утомления - это совокупность изменений, происходящих в различных органах, системах и организме в целом, в период выполнения физической работы и приводящих в конце концов к невозможности ее продолжения. Состояние утомления характеризуется вызванным работой временным снижением работоспособности, которое проявляется в субъективном ощущении усталости.
В состоянии утомления человек не способен поддерживать требуемый уровень интенсивности и (или) качества (техники выполнения) работы или вынужден отказаться от ее продолжения.
Локализация и механизмы утомление
Степень участия тех или иных физиологических систем в выполнении упражнений разного характера и мощности неодинакова. В выполнении любого упражнения можно выделить основные, ведущие, наиболее загружаемые системы, функциональные возможности которых определяют способность человека выполнить данное упражнение на требуемом уровне интенсивности и (или) качества.
Степень загруженности этих систем по отношению к их максимальным возможностям определяет предельную продолжительность выполнения данного упражнения, т. е. период наступления состояния утомления. Таким образом, функциональные возможности ведущих систем не только определяют, но и лимитируют интенсивность и предельную продолжительность и (или) качество выполнения данного упражнения.
При выполнении разных упражнений причины утомления неодинаковы. Рассмотрение основных причин утомления связано с двумя основными понятиями.
Первое понятие - локализация утомления, т. е. выделение той ведущей системы (или систем), функциональные изменения в которой и определяют наступление состояния утомления. Второе понятие - механизмы утомления, т. е. те конкретные изменения в деятельности ведущих функциональных систем, которые обусловливают развитие утомления.
По локализации утомления можно, по существу, рассматривать три основные группы систем, обеспечивающих выполнение любого упражнения:
1. регулирующие системы - центральная нервная система, вегетативная нервная система и гормонально-гуморальная система;
2. система вегетативного обеспечения мышечной Деятельности - системы дыхания, крови и кровообращения;
3. исполнительная система - двигательный (периферический нервно-мышечный) аппарат.
При выполнении любого упражнения происходят функциональные изменения в состоянии нервных центров, управляющих мышечной деятельностью и регулирующих ее вегетативное обеспечение. При этом наиболее чувствительными к утомлению являются корковые нервные центры. Проявлениями центрально-нервного утомления являются нарушения в координации функций (в частности, движений), возникновение чувства усталости.
Как писал И. М. Сеченов (1903), источник ощущения усталости помещается обыкновенно в работающие мышцы; я же помещаю его... исключительно в центральную нервную систему.
Механизмы центрально-нервного утомления остаются еще во многом невыясненными. Согласно теории И. П. Павлова, утомление нервных клеток есть проявление запредельного, охранительного торможения, возникающего вследствие их интенсивной (продолжительной) активности.
Предполагается, в частности, что такое торможение возникает во время работы в результате интенсивной проприоцептивной импульсации от рецепторов работающих мышц, суставов связок и капсул движущихся частей тела, достигающей всех уровней центральной нервной системы, вплоть до коры головного, мозга.
Утомление может быть связано с изменениями в деятельности вегетативной нервной системы и желез внутренней секреции. Роль, последних особенно велика при длительных упражнениях (А.
А. Виру). Изменения в деятельности этих систем могут вести к нарушениям в регуляции вегетативных функций, энергетического обеспечения мышечной деятельности и т. д.
Причиной развития утомления могут служить многие изменения, в деятельности систем вегетативного обеспечения, прежде всего дыхательной и сердечно-сосудистой систем. Главное следствие таких- изменений - снижение кислородтранспортных возможностей организма работающего человека.
Конец работы

Рис. 18.
Мышечное утомление, проявляющееся в снижении электрической активности (ЭА) и сократительной способности (СС) рабочих мышц в ответ на стандартное электрическое раздражение их нерва до и после статической работы до отказа _(Я. М. Код и С. П. Кузнецов, 1975)_
Утомление может быть связано о изменениями в самом исполнительном аппарате - в.работающих мышцах. При этом мышечное (периферическое) утомление является результатом изменений, возникающих либо в самом сократительном аппарате мышечных волокон, либо в нервно-мышечных синапсах, либо в системе электромеханической связи мышечных волокон. При любой из этих локализаций мышечное утомление проявляется в снижении сократительной способности мышц (рис.
18).
Еще в прошлом веке были сформулированы три основных механизма мышечного утомления: 1) истощение энергетических ресурсов, 2) засорение или отравление накапливающимися продуктами распада энергетических веществ, 3) задушение в результате недостаточного поступления кислорода. В настоящее время выяснено, что роль этих механизмов в развитии утомления неодинакова при выполнении разных упражнений.
При выполнении анаэробных упражнений очень важную роль в развитии мышечного утомления играет истощение внутримышечных запасов фосфагенов (рис. 19, Л), особенно в упражнениях максимальной и околомаксимальной мощности. К концу их выполнения содержание АТФ снижается на 30-50%, а КФ-на 8090% от исходного уровня.
Поскольку для этих упражнений фосфагены служат ведущим энергетическим субстратом, их истощение ведет к невозможности поддерживать требуемую мощность мышечных сокращений. Чем ниже мощность нагрузки, тем меньше снижается содержание фосфагенов в рабочих мышцах к концу работы (рис.
19, В) и тем меньшую роль играет это снижение в развитии мышечного утомления. При выполнении аэробных упражнений снижения запасов внутримышечных фосфагенов не происходит или оно незначительно, поэтому данный механизм не играет какой-либо роли в развитии утомления.
При выполнении упражнений околомаксимальной и особенно субмаксимальной анаэробной мощности, а также максимальной аэробной мощности ведущую или существенную роль в энергообеспечении рабочих мышц играет анаэробный гликолиз (гликогенолиз). В результате этой реакции образуется большое количество молочной кислоты (рис. 19, Б), что ведет к повышению концентрации водородных ионов (снижению рН) в мышечных клетках. В результате тормозится скорость гликолиза и соответственно скорость энергопродукции, необходимая для поддержания требуемой мощности мышечных сокращений.
Таким образом, накопление молочной кислоты (снижение рН) в рабочих мышцах является ведущим механизмом мышечного утомления при выполнении упражнений субмаксимальной анаэробной мощности и очень существенным - при выполнении упражнений околомаксимальной анаэробной и максимальной аэробной мощности.

За время выполнения упражнений максимальной анаэробной мощности мышечный гликогенолиз не успевает развернуться (см. рис. 5), поэтому накопление лактата в мышечных клетках невелико. Чем ниже мощность нагрузки в упражнениях аэробной мощности, тем меньше роль анаэробного гликолиза в мышечной знергопродукции и соответственно тем ниже содержание лактата в мышцах в конце работы (рис.
19, Г). Следовательно, как и при выполнении упражнений максимальной анаэробной мощности, так и при выполнении упражнений немаксимальной аэробной мощности не происходит значительного накопления лактата в мышцах, и потому этот механизм не играет сколько-нибудь значительной роли в развитии мышечного утомления.

Рис. 20.
Содержание мышечного гликогена после упражнений разной относительной мощности и (соответственно) разной предельной продолжительности. Числа около кривых указывают, относительную мощность работы в процентах от МПК -120% МПК соответствует, околомаксимальной анаэробной мощности

Рис. 21. Содержание мышечного гликогена на протяжении трех дней углеводного рациона без нагрузки (1); после истощающей нагрузки с углеводным рационом (2); с безуглеводным рационом без тренировок (3) и с интенсивными тренировками (4) (по Д. Бергстрёму и Д. Хултману)
Важную, а для некоторых упражнений решающую роль в развитии утомления играет истощение углеводных ресурсов, в первую очередь гликогена в рабочих мышцах и печени. Мышечный гликоген служит основным субстратом (не считая фосфагенов) для энергетического обеспечения анаэробных и максимальных аэробных упражнений. При выполнении их он расщепляется почти исключительно анаэробным путем с образованием лактата, из-за тормозящего действия которого (снижения рН) высокая скорость расходования мышечного гликогена быстро уменьшается, что в конце концов предопределяет кратковременность таких упражнений. Поэтому расход мышечного гликогена при их выполнении невелик -до 30% от исходного содержания (рис.
20) - и не может рассматриваться как. важный фактор мышечного утомления.
В околомаксимальных и в субмаксимальных аэробных упражнениях углеводы (мышечный, гликоген и глюкоза крови) служат основными энергетическими субстратами рабочих мышц, используемыми в окислительных реакциях. В процессе выполнения субмаксимальных аэробных упражнений мышечный гликоген расходуется особенно значительно, так что момент отказа от продолжения их часто совпадает с почти полным или даже полным расходованием гликогена в основных рабочих мышцах (см. рис.
20). Это дает основание считать что истощение мышечного гликогена служит ведущим механизмом утомления при выполнении данных упражнений.
Значение углеводных ресурсов организма для субмаксимальной аэробной работоспособности доказано в специальных исследованиях. Испытуемые выполняли в них упражнение субмаксимальной аэробной мощности (на уровне около 75% от МПК) один раз до отказа при нормальном исходном содержании гликогена в мышцах и печени на фоне обычного, смешанного пищевого рациона, (контрольное упражнение).
В среднем предельная продолжительность .упражнения составляла около 90 мин. В конце работы содержание гликогена в мышцах
падало почти до нуля - истощающая гликоген нагрузка (рис. 21). Это же упражнение испытуемые, выполняли повторно через 3 дня.
В одних случаях на протяжении этих 3 дней пищевой рацион не содержал углеводов (белково-жировой- рацион). За эти дни восстановления израсходованного гликогена в мышцах (и печени) почти не происходило (см. рис.
21, кривые 3 и 4). Поэтому упражнение повторно выполнялось при низком содержании гликогена.
Предельная продолжительность его снизилась в среднем до 60 мин (рис. 22, светлые кружки),
В других случаях на протяжении 3 дней после истощающей гликоген нагрузки пищевой рацион был с повышенным содержанием углеводов - 80-90% суточного калоража - обеспечивалось углеводами (против 40% в смешанном рационе). В результате содержание гликогена в. мышцах (и печени) в 1,5-3 раза превышало обычное для данного человека (см. рис.
21, кривая 2). Такая комбинация предварительной истощающей гликоген нагрузки и последующего трехдневного усиленного углеводного рациона, вызывающая значительное повышение содержания гликогена в рабочих мышцах и печени, получила название метода углеводного, насыщения - МУН (Я. М. Коц). Интересно, что само по себе усиленное углеводное питание без предварительного истощения гликогена приводит лишь к. небольшому повышению его содержания в мышцах (см. рис.
21, кривая 1). Применение МУН дает значительное увеличение предельной продолжительности работы - в среднем до 120 мин (см. рис. 22, крестики).
Таким образом, субмаксимальная аэробная работоспособность находится в прямой зависимости, от исходных запасов гликогена в мышцах и печени.
Рис. 22. Связь предельной продолжительности субмаксимального аэробного упражнения (педалирование на велоэргометре, около 75% МПК) с предрабочим содержанием гликогена в мышцах
В энергообеспечении аэробных упражнений более низкой мощности (средней и ниже) значительную роль наряду с углеводами играют жиры (их относительная роль тем больше, чем ниже мощность упражнения). В конце выполнения таких упражнений содержание гликогена в рабочих мышцах снижено существенно, но не до такой степени, как при субмаксимальных аэробных упражнениях (см. рис. 20). Поэтому истощение его не может рассматриваться как ведущий фактор утомления.
И все же это весьма важный фактор, так как по мере уменьшения содержания гликогена в рабочих мышцах они все в большей степени используют глюкозу крови, которая, как известно, служит единственным энергетическим источником для нервной системы. Из-за увеличения использования глюкозы работающими мышцами уменьшаются запасы гликогена в печени, расщепление которого обеспечивает поступление глюкозы в кровь.
Поэтому по мере выполнения упражнений средней аэробной мощности снижается содержание глюкозы в крови (развивается гипогликемия), что может привести к нарушению деятельности ЦНС и утомлению. Чем выше исходное содержание гликогена в мышцах и печени, тем позднее развивается гипогликемия и наступает утомление при выполнении таких упражнений. Прием углеводов (глюкозы) на дистанции предотвращает или отдаляет эти явления.
Вместе с тем если углеводы принимаются до старта, то повышается выброс инсулина в кровь и снижается концентрация глюкозы во время работы, т. е. более быстро развивается гипогликемия и наступает утомление.
Утомление при выполнении различных спортивных упражнений
Для различных упражнений характерна специфическая комбинация ведущих систем (локализации) и механизмов утомления.
При выполнении упражнений максимальной анаэробной мощности наиболее важную роль в развитии утомления играют процессы, происходящие в ЦНС и исполнительном нервно-мышечном аппарате.
Во время этих упражнений высшие моторные центры должны активировать максимально возможное число спинальных мотоней-ранов работающих мышц и обеспечить высокочастотную импульсацию. Такая интенсивная моторная команда может поддерживаться лишь в течение нескольких секунд.
Особенно рано снижается частота импульсации, и происходит выключение быстрых мотонейронов. Исключительно быстро расходуются фосфагены в работающих мышцах, особенно креатинофосфат, так что одним из ведущих механизмов утомления при выполнении этих упражнений служит истощение фосфагенов как основных субстратов, способных обеспечивать такую работу.
Анаэробный гликолиз развивается медленнее, поэтому за несколько секунд работы концентрация лактата в сокращающихся мышцах увеличивается незначительно (см. рис. 11).
Системы вегетативного обеспечения ввиду их инертности не играют решающей роли в выполнении этих упражнений и соответственно в развитии утомления.
При выполнении упражнений околомаксимальной анаэробной мощности определяющими развитие утомления также служат изменения происходящие в ЦНС и в исполнительном мышечном аппарате. Как и при максимальной анаэробной работе, ЦНС должна обеспечивать рекрутирование и высокочастотную импульсацию большинства спинальных мотонейронов, иннервирующих основные рабочие мышцы. В самих мышечных клетках происходит интенсивное расходование субстратов анаэробного метаболизма - фосфагенов
и мышечного гликогена, накапливается и диффундирует в кровь значительное количество молочной кислоты. Так что наряду с истощением фосфагенов важной причиной утомления при околомаксимальной анаэробной работе является накопление в мышцах и крови молочной кислоты, что, с одной стороны, снижает скорость гликогенолиза в мышцах, а с другой - оказывает неблагоприятное влияние на деятельность ЦНС.
Во время выполнения упражнений субмаксимальной анаэробной мощности ресинтез фосфагенов происходит с достаточной скоростью, поэтому в конце работы не обнаруживается заметного их расходования (см.
Восстановление
рис. 19, А). Главным механизмом утомления в этих упражнениях служат связанное с интенсивным гликогено-лизом (как основным, путем энергопродукции) накопление лактата в мышцах (см. рис. 19, Б) и крови и обусловленное им снижение рН в мышечных клетках и крови.
Оба эти фактора приводят к уменьшению скорости гликогенолиза в мышцах и оказывают отрицательное влияние на деятельность ЦНС. При работе субмаксимальной анаэробной мощности дополнительным (хотя не очень существенным) фактором, лимитирующим работоспособность, служат функциональные возможности, кислородтранспортной системы.
Поэтому одним из механизмов утомления при выполнении такой работы является недостаточное снабжение мышц кислородом.
При выполнении упражнений максимальной аэробной мощности утомление связано прежде всего с кислородтранспортной системой, предельные возможности которой являются фактором, лимитирующим работоспособность. Один из главных механизмов утомления в данном случае - недостаточное обеспечение работающих: мышц кислородом.
В процессе такой работы значительную долю энергии-мышцы получают в результате анаэробного гликогенолиза с образованием молочной кислоты, накопление которой (снижение рН) в мышцах и крови также играет важную роль в развитии утомления.
Выполнение упражнений околомаксимальной аэробной мощности также лимитируется в основном возможностями кислородтранспортной системы. В процессе их выполнения концентрация фосфа-генов снижается незначительно, концентрация лактата в мышцах и крови относительно невелика (см. рис. 19).
Утомление связано со снижением производительности сердечно-сосудистой системы, особенно сердца. Сердечная производительность выступает как главный фактор, лимитирующий снабжение мышц кислородом. Работа обеспечивается преимущественно гликогенолизом.
Однако отказ от продолжения ее прямо не связан с истощением углеводных ресурсов организма (см. рис. 20). Высокая концентрация молочной кислоты в мышцах и крови позволяет рассматривать ее как один из важных механизмов утомления при выполнении упражнений околомаксимальной аэробной мощности,
Упражнения субмаксимальной аэробной мощности связаны с большой нагрузкой на сердечнососудистую систему. Их выполнение-обеспечивается окислительными процессами в работающих мыцн цах, использующих в качестве основного субстрата мышечный гликоген и глюкозу крови. Главным механизмом утомления при таких упражнениях служит истощение запасов гликогена в работающих мышцах и печени (см. рис. 20).
Большинство изменений, наблюдаемых в деятельности сердечно-сосудистой системы, на протяжении периода квазиустойчивого состояния (см. рис. 13), отражает течение процессов, которые в конце концов приводят к утомлению. Большая и длительная нагрузка на сердце ведет к снижению производительности миокарда.
Определенную роль в развитии утомления играют повышающиеся по мере продолжения работь! требования к поддержанию необходимой температуры тела (рабочей гипертермии).
Упражнения средней аэробной мощности также оказывают наибольшую нагрузку на кислородтранспортную систему. При работе такой мощности происходит значительный расход гликогена мышц и усиленный расход (истощение) гликогена печени, что ведет к развитию гипогликемии. Таким образом, вторично страдает ЦНС, для которой глюкоза крови играет роль единственного энергетического источника.
Кроме того, большое значение имеет нарушение процессов терморегуляции, что может вызвать критическое повышение температуры тела. В результате дополнительного перераспределения кровотока (усиления кожного кровотока и снижения кровотока работающих мышц) происходит повышение теплоотдачи.
Доставка кислорода к рабочим мышцам снижается, что ведет к мышечному утомлению.
Упражнение малой аэробной мощности в значительной Мере характеризуются теми же локализацией и механизмами утомления, что и упражнения средней аэробной мощности. Отличие состоит в более медленном наступлении описанных процессов и в большем расходовании жиров, недоокисленные продукты расщепления которых могут поступать в кровь и быть важным фактором утомления.
Восстановление
После прекращения упражнения происходят обратные изменения в деятельности тех функциональных систем, которые обеспечивали выполнение данного упражнения. Вся совокупность изменений в этот период объединяется понятием восстановление. На протяжении восстановительного периода удаляются продукты рабочего метаболизма и восполняются энергетические запасы, пластические (структурные) вещества (белки и др.) и ферменты, израсходованные за время мышечной деятельности.
По существу, происходит восстановление нарушенного работой гомеостазга. Однако восстановление - это не только процесс возвращения организма к предрабочему состоянию.
В этот период происходят также изменения, которые обеспечивают повышение функциональных возможностей организма, т. е. положительный тренировочный эффект.
Восстановление функций после прекращения работы
Сразу после прекращения работы происходят многообразные изменения в деятельности' различных функциональных систем. В периоде восстановления можно выделить 4 фазы: 1) быстрого восстановления, 2) замедленного восстановления, 3) суперкомпенсации (или перевосстановления), 4) длительного (позднего) восстановления.
Наличие этих фаз, их длительность и характер сильно варьируют для разных функций. Первым двум фазам соответствует период восстановления работоспособности, сниженной в результате утомительной работы, третьей фазе - повышенная работоспособность, четвертой - возвращение к нормальному (предрабочему) уровню работоспособности (рис.
23).
Общие закономерности восстановления функций после работы состоят в следующем. Во-первых, скорость и длительность восстановления большинства функциональных показателей находятся в прямой зависимости от мощности работы: чем выше мощность работы, тем большие изменения происходят за время работы и (соответственно) тем выше скорость восстановления. Это означает, что чем короче предельная продолжительность упражнения, тем короче период восстановления.
Так, продолжительность восстановления большинства функций после максимальной анаэробной работы - несколько минут, а после продолжительной работы, например после марафонского бега, - несколько дней. Ход начального восстановления многих функциональных показателей по своему характеру является зеркальным отражением их изменений в период
Во-вторых, восстановление различных функций протекает с разной скоростью, а в некоторые фазы восстановительного процесса и с разной направленностью, так что достижение ими уровня покоя происходит неодновременно (гетерохронно). Поэтому о завершении процесса восстановления в целом следует судить не по какому-нибудь одному и даже не по нескольким ограниченным показателям, а лишь по возвращению к исходному (предрабочему) уровню наиболее медленно восстанавливающегося показателя (М.
Я. Горкин).
В-третьих, работоспособность и многие определяющие ее функции организма на протяжении периода восстановления после интенсивной работы не только достигают предрабочего уровня, но могут и превышать его, проходя через фазу перевосстановления (см. рис. 23). Когда речь идет об энергетических субстратах, то такое временное превышение предрабочего уровня носит название суперкомпенсации (Н.
Н. Яковлев).
Кислородный долг и восстановление энергетических запасов организма
В процессе мышечной работы расходуются кислородный запас организма, фосфагены (АТФ и КрФ), углеводы, (гликоген мышц и печени, глюкоза крови) и жиры. После работы происходит их восстановление.
Исключение составляют жиры, восстановления которых может и не быть.
Восстановительные процессы, происходящие в организме после работы, находят свое энергетическое отражение в повышенном (п сравнению с предрабочим состоянием) потреблении кислорода - кислородном долге (см. рис. 12). Согласно оригинальной теории А. Хйлла (1922), кислородный долг - это избыточное потребление О2 сверх предрабочего уровня покоя, которое обеспечивает энергией организм для восстановления до предрабочего состояния, включая восстановление израсходованных во время работы запасов энергии и устранение молочной кислоты.
Скорость потребления О2 после работы снижается экспоненциально: на протяжении первых 2-3 мин очень быстро (быстрый, или алактатньш, компонент кислородного долга), а затем более медленно (медленный, или лактатный, компонент кислородного долга), пока не достигает (через 30-60 мин) постоянной величины, близкой к предрабочей.
После работы мощностью до 60% от МПК кислородный долг не намного превышает кислородный дефицит. После более интенсивных упражнений кислородный долг значительно превышает кислородный дефицит, причем тем больше, чем выше мощность работы (рис.
24).
Быстрый (алактатный) компонент О2-долга связан главным образом с использованием О2 на быстрое восстановление израсходованных за время работы высокоэнергетических фосфагенов в рабочих мышцах, а также с восстановлением нормального содержания О2 в венозной крови и с насыщением миоглобина кислородом.

Медленный (лактатный) компонент О2-долга связан со многими факторами. В большой мере он связан с после-рабочим устранением лактата из крови и тканевых жидкостей.
Кислород в этом случае используется в окислительных реакциях, обеспечивающих ресинтез гликогена из лактата крови (главным образом, в печени и отчасти в почках) и окисление лактата в сердечной и скелетных мышцах. Кроме того, длительное повышение потребления О2 связано с необходимостью поддерживать усиленную деятельность дыхательной и сердечно-сосудистой систем в период восстановления, усиленный обмен веществ и другие процессы, которые обусловлены длительно сохраняющейся повышенной активностью симпатической нервной и гормональной систем, повышенной температурой тела, также медленно снижающимися на протяжении периода восстановления.
Восстановление запасов кислорода. Кислород находится в мышцах в форме химической связи с миоглобином.
Эти запасы очень невелики: каждый килограмм мышечной массы содержит около 11 мл О2. Следовательно, общие запасы мышечного кислорода (из расчета на 40 кг мышечной массы у спортсменов) не превышают 0,5 л. В процессе мышечной работы он может быстро расходоваться, а после работы быстро восстанавливаться.
Скорость восстановления запасов кислорода зависит лишь от доставки его к мышцам.
Сразу после прекращения работы артериальная кровь, проходящая через мышцы, имеет высокое парциальное напряжение (содержание) О2, так что восстановление О2-миоглобина происходит, вероятно, за несколько секунд. Расходуемый при этом кислород составляет некоторую часть быстрой фракции кислородного долга, в которую входит также небольшой объем О2 (до 0,2 л), идущий, на восполнение нормального содержания его в венозной крови.
Таким образом, уже через несколько секунд после прекращения работы кислородные запасы в мышцах и крови восстанавливаются. Парциальное напряжение О2 в альвеолярном воздухе и в артериальной крови не только достигает предрабочего уровня, но и превышает его. Быстро восстанавливается также содержание О2 в венозной крови, оттекающей от работавших мышц и других активных .органов и тка-'ней тела, что указывает на достаточное их обеспечение кислородом в послерабочий период.
Поэтому нет никаких физиологических оснований использовать дыхание чистым кислородом или смесью с повышенным содержанием кислорода после работы для ускорения процессов восстановления.
Восстановление фосфагенов (АТФ и КрФ). Фосфагены, особенно АТФ, восстанавливаются очень быстро (рис. 25). Уже на протяжении 30 с после прекращения работы восстанавливается до 70% израсходованных фосфагенов, а их полное восполнение заканчивается за несколько минут, причем почти исключительно за счет энергии аэробного метаболизма, т. е. благодаря кислороду, потребляемому в быструю фазу О2-долга.
Действительно, если сразу после работы жгутировать работающую конечность и таким образом лишить мышцы кислорода, доставляемого с кровью, то восстановление КрФ не произойдет.
Чем больше расход фосфагенов за. время работы, тем больше требуется О2 для их восстановления (для восстановления 1 моля АТФ необходимо 3,45 л О2). Величина быстрой (алактатной) фракции О2-долга прямо связана со степенью снижения фосфагенов в мышцах к концу работы.
Поэтому данная величина указывает на количество израсходованных в процессе работы фосфагенов.
У нетренированных мужчин максимальная величина быстрой фракции О2-долга достигает 2-3 л. Особенно большие величины этого показателя зарегистрированы у представителей скоростно-силовых видов спорта (до 7 л у высококвалифицированных спортсменов). В этих видах спорта содержание фосфагенов и скорость их расходования в мышцах прямо определяют максимальную и поддерживаемую (дистанционную) мощность упражнения.
Восстановление гликогена. По первоначальным представлениям Р. Маргария и др. (1933), израсходованный за время работы гликоген ресинтезируется из молочной кислоты на протяжении 1-2 ч после работы. Расходуемый в этот период восстановления кислород определяет вторую, медленную, или
лактатную, фракцию О2-Долга. Однако в настоящее время установлено, что восстановление гликогена в мышцах может длиться до 2-3 дней
Скорость восстановления гликогена и количество его восстанавливаемых запасов в мышцах и печени зависит от двух основных факторов: степени расходования гликогена в процессе работы и характера пищевого рациона в период восстановления. После очень значительного (более 3/4 исходного содержания), вплоть до полного, истощения гликогена в рабочих мышцах его восстановление в первые часы при обычном питании идет очень медленно, и для достижения предрабочего уровня требуется до 2 суток.
При пищевом рационе с высоким содержанием углеводов (более 70% суточного калоража) этот процесс ускоряется - уже за первые 10 ч в рабочих мышцах восстанавливается более половины гликогена, к концу суток происходит его полное восстановление, а в печени содержание гликогена значительно превышает обычное. В дальнейшем количество гликогена в рабочих мышцах и в печени продолжает увеличиваться и через 2-3 суток после истощающей нагрузки может превышать предрабочее в 1,5-3 раза - феномен суперкомпенсации (см. рис.
21, кривая 2).

Рис. 26.
Динамика изменения содержания гликогена в рабочих мышцах при ежедневных тренировках (пробегание 16,2 км за час обозначено штриховкой): 1 - с обычным питанием (40% суточного калоража за счет углеводов) и 2 - с повышенным углеводным литанией (70% калоража за счет углеводов) (Д. Костилл, 1976).
При ежедневных интенсивных и длительных тренировочных занятиях содержание гликогена в рабочих мышцах и печени существенно снижается ото дня ко дню, так как при обычном пищевом рационе даже суточного перерыва между тренировками недостаточно для полного восстановления гликогена. Увеличение содержания углеводов в пищевом рационе спортсмена может обеспечить полное восстановление углеводных ресурсов организма к следующему тренировочному занятию (рис.
26).
Устранение молочной кислоты. В период восстановления происходит устранение молочной кислоты из рабочих мышц, крови и тканевой жидкости, причем тем быстрее, чем меньше образовалось молочной кислоты во время работы. Важную роль играет также послерабочий режим.
Так, после максимальной нагрузки для полного устранения накопившейся молочной кислоты требуется 60-90 мин в условиях полного покоя - сидя или лежа (пассивное восстановление). Однако, если после такой нагрузки выполняется легкая работа (активное восстановление), то устранение молочной Кислоты происходит значительно быстрее. У нетренированных людей оптимальная интенсивность восстанавливающей нагрузки - примерно 30-45% от МПК (например, бег трусцой), а у хорошо тренированных спортсменов - 50-60% от МПК, общей продолжительностью примерно 20 мин (рис.
27).

Существует четыре основных пути устранения молочной кислоты: 1) окисление до СО2 и ШО (так устраняется примерно 70% всей накопленной молочной кислоты); 2) превращение в гликоген (в мышцах и печени) и в глюкозу (в печени) -около 20%; 3) превращение в белки (менее 10%); 4) удаление с мочой и потом (12%). При активном восстановлении доля молочной кислоты, устраняемой аэробным путем, увеличивается.
Хотя окисление молочной кислоты может происходить в самых разных органах и тканях (скелетных мышцах, мышце сердца, печени, почках и др.), наибольшая ее часть окисляется в скелетных мышцах ( особенно их медленных волокнах) . Это делает понятным, почему легкая работа (в ней участвуют в основном медленные мышечные волокна) способствует более быстрому устранению лактата после тяжелых нагрузок.
Значительная часть медленной (лактатной) фракции О2-долга связана с устранением молочной кислоты. Чем интенсивнее нагрузка, тем больше эта фракция. У нетренированных людей она достигает максимально 5-10 л, у спортсменов, особенно у представителей скоростно-силовых видов спорта, - 15-20 л.
Длительность ее - около часа. активном восстановлении.
Величина и продолжительность лактатной фракции О2-долга уменьшаются при
Активный отдых
Характер и длительность восстановительных процессов могут изменяться в зависимости от режима деятельности спортсменов в послерабочий, восстановительный, период. В опытах И. М. Сеченова было показано, что в определенных условиях более быстрое и более значительное восстановление работоспособности обеспечивается не пассивным отдыхом, а переключением на другой вид деятельности, т. е. активным отдыхом.
В частности, он обнаружил, что работоспособность руки, утомленной работой на ручном эргографе, восстанавливалась быстрее и полнее, когда период отдыха ее был заполнен работой другой руки. Анализируя этот феномен, И. М. Сеченов предположил, что афферентные импульсы,
поступающие во время отдыха от других работающих мышц, способствуют лучшему восстановлению работоспособности нервных центров, как бы заряжая их энергией. Кроме того, работа одной рукой вызывает увеличение кровотока в сосудах другой руки, что также может способствовать более быстрому восстановлению работоспособности утомленных мышц.
Положительный эффект активного отдыха проявляется не только при переключении на работу других мышечных групп, но и при выполнении той же работы, но с меньшей интенсивностью. Например, переход от бега с большой скоростью к бегу трусцой также оказывается эффективным для более быстрого восстановления. Молочная кислота устраняется из крови быстрее при активном отдыхе, т. е. в условиях работы сниженной мощности, чем при пассивном отдыхе (см. рис.
27). С физиологической точки зрения, положительный эффект заключительной работы невысокой мощности в конце тренировки или после соревнования является проявлением феномена активного отдыха.
Глава 3. Физиологические основы мышечной силы и скоростно-силовых качеств (мощности)
Как уже отмечалось, проявляемая мышечная сила находится в обратной зависимости от скорости движения (см. рис. 1): чем выше скорость движения, тем меньше проявляемая сила, и наоборот.
Разные спортивные упражнения относятся к разным точкам кривой сила - скорость. Упражнения с внешней нагрузкой, близкой или равной максимальной изометрической мышечной силе, относятся к собственно-лиловым упражнениям.
Таковы, например, гимнастические упражнения стойка на кистях, крест, переднее равновесие на кольцах, тяжелоатлетические упражнения со штангой околомаксимального или максимального веса.
При уменьшении внешнего сопротивления скорость движения возрастает, а проявляемая мышечная сила падает. Упражнения с внешней нагрузкой, равной 40-70% от максимальной изометрической силы, при выполнении которых проявляются относительно большие сила и скорость мышечных сокращений, т. е. большая мощность, относятся к скоростно-силовым упражнениям.
Таковы, например, бег на короткие дистанции, прыжки.
В движениях с перемещением малой массы (менее 40% от максимальной изометрической силы) достигается высокая скорость, а проявляемая мышечная сила относительно мала. Такие упражнения относятся к скоростным (например, метание малого мяча с места), движения ненагруженных конечностей).
Границы, разделяющие названные виды упражнений, очень условны.
Физиологические основы мышечной силы
В условиях изометрического сокращения мышцы проявляют максимальную статическую силу.
Максимальная статическая сила и максимальная произвольная статическая сила мышц
Изометрически сокращающаяся мышца развивает максимально возможное для нее напряжение при одновременном выполнении следующих трех условий:
1. активации всех двигательных единиц (мышечных волокон) данной мышцы;
2. режиме полного тетануса у всех ее двигательных единиц;
3. сокращении мышцы при длине покоя.
В этом случае изометрическое напряжение мышцы соответствует ее максимальной статической силе.
Максимальная сила (МС), развиваемая мышцей, зависит от числа мышечных волокон, составляющих данную мышцу, и от их толщины. Число и толщина волокон определяют толщину мышцы в целом, или, иначе, площадь поперечного сечения мышцы (анатомический поперечник). Отношение МС мышцы к ее анатомическому поперечнику называется относительной силой мышцы.
Она измеряется в ньютонах или килограммах силы на 1 см2 (Н/см2 или кг/см2).
Анатомический поперечник определяется как площадь поперечного разреза мышцы, проведенного перпендикулярно к ее длине. Поперечный разрез мышцы, проведенный перпендикулярно к ходу ее волокон, позволяет получить физиологический поперечник мышцы. Для мышц с параллельным ходом волокон физиологический поперечник совпадает с анатомическим.
Отношение МС мышцы к ее физиологическому поперечнику называется абсолютной силой мышцы. Она колеблется в пределах 0,5-1 Н/см2.
Измерение мышечной силы у человека осуществляется при его. произвольном усилии, стремлении максимально сократить необходимые мышцы. Поэтому когда говорят о мышечной силе у человека, речь идет о максимальной произвольной силе (МПС, в спортивной педагогике этому понятию эквивалентно понятие абсолютная сила мышц).
Она зависит от двух групп факторов: мышечных (периферических) и координационных (центрально-нервных).
К мышечным (периферическим) факторам, определяющим МПС, относятся:
1. механические условия действия мышечной тяги - плечо рычага действия мышечной силы и угол приложения этой силы к костным рычагам;
2. длина мышц, так как напряжение мышцы зависит от ее длины;
3. поперечник (толщина) активируемых мышц, так как при прочих равных условиях проявляемая мышечная сила тем больше, чем больше суммарный поперечник произвольно сокращающихся мышц;
4. композиция мышц, т. е. соотношение быстрых и медленных мышечных волокон в. сокращающихся мышцах.
К координационным (центрально-нервным) факторам относится совокупность центрально-нервных координационных механизмов управления мышечным аппаратом - механизмы внутримышечной координации и механизмы межмышечной координации.
Здоровье: Оздоровление - Спорт - Йога