Громов А. Д. - Аудит расчетов с бюджетом
Государственный бюджет является финансовым планом страны, утверждаемым Федеральным Собранием РФ как закон. Бюджет - главное звено в формировании государственных финансов.
Через бюджет государство концентрирует значительную долю национального дохода для финансирования народного хозяйства, социально - культурной сферы, укрепления обороны страны и содержания органов государственной власти и управления.
Совокупность всех видов бюджетов образует бюджетную систему государства. Взаимосвязь между её отдельными звеньями, организацию и принципы построения бюджетной системы принято называть бюджетным устройством.
Бюджетные отношения представляют собой финансовые отношения государства на федеральном, региональном и местном уровнях с государственными, акционерными и иными предприятиями и организациями, а также населением по поводу формирования и использования централизованного фонда денежных ресурсов.
С помощью бюджета происходит перераспределение национального дохода, что создает возможность маневрировать денежными средствами и целенаправленно влиять на темпы и уровень развития общественного производства. Это позволяет осуществлять единую экономическую и финансовую политику на всей территории страны.
Доходы бюджетов Российской федерации формируются в основном из налогов в соответствии с её бюджетным и налоговым законодательством. Современная налоговая система РФ базируется на требованиях рыночных отношений с учетом перспектив социально-экономического развития.
В прошлом взаимоотношения юридических и физических лиц основывалось на административно централизованных формах хозяйствования. Будучи собственником средств производства, государство управляло экономикой, изымая в бюджет до 80-90% всей прибыли, создаваемой предприятиями. Доля бюджета составляла более 70% национального дохода. Действовавшая система налогообложения направлялась на перераспределение средств от экономически сильных хозяйствующих субъектов к слабым, от хорошо работающих предприятий - к плохо работающим.
Кроме того, между бюджетами разного уровня возникали споры из-за доходов, поскольку не было четкого разграничения поступлений между ними.
Доходы бюджетов формируются на налоговой основе: предусмотренные налоговым законодательством России федеральные, региональные и местные налоги, пени и штрафы; и неналоговых доходах -доходах от внешнеэкономической деятельности, доходах от имущества, находящегося в государственной собственности. К неналоговым доходам относится и возврат бюджетных ссуд.
Так как основные доходы бюджетов всех уровней - налоговые поступления, налоговая система призвана:
- обеспечить более полную и своевременную мобилизацию доходов бюджета, без осуществления которой невозможно проводить социально - экономическую политику государства;
- создать условия для регулирования производства и потребления в целом и по отдельным сферам хозяйствования, учитывая при этом особенности формирования и перераспределения доходов различных групп населения.
Главная проблема налоговых взаимоотношений предприятий с государством - крайняя нестабильность налоговой политики, неопределенность изначальных правил игры предприятий с государством, внесение изменений и дополнений в законы о налогах и инструкции задним числом или в течение финансового года, что с точки зрения общих принципов рыночной экономики не допустимо. Постоянное латание дыр налогового законодательства усложняет производственное планирование и развитие, делает непредсказуемым инвестирование, и в конечном счете дезорганизует предпринимательство.
Основы ныне действующей налоговой системы Российской Федерации заложены в 1992 г., когда был принят большой пакет законов РФ об отдельных видах налогов. За последние годы произошли серьезные изменения в этой области.
Формирование рыночных отношений в России привело к необходимости реформирования налоговой системы. При разработке новой налоговой системы были использованы накопленный отечественный опыт и практика зарубежных стран.
Появились новые виды налогов. В настоящее время на территории России собирается свыше сотни установленных налогов и сборов.
Основные положения о налогах и сборах в РФ определены Конституцией РФ (ст.57). Налоговым кодексом РФ, первая часть которого введена в действие с 1 января 1999г., Законом РФ Об основах налоговой системы в Российской федерации от 27 декабря 1991 г., федеральными законами о конкретных налогах и сборах..
Затем Налоговым Кодексом Российской Федерации (часть первая) (с изменениями на 24 марта 2001 года), а также Налоговым Кодексом Российской Федерации (часть вторая) (с изменениями на 8 августа 2001 года) (редакция, действующая с 1 января 2002 года), о введении в действие части второй Налогового кодекса Российской Федерации и внесении изменений в некоторые законодательные акты Российской Федерации о налогах (с изменениями на 24 марта 2001 года).
Порядок исчисления и уплаты отдельных налогов и сборов дополнительно разъясняется в постановлениях Правительства РФ, Министерства по налогам и сборам. Государственного таможенного комитета, Положениями о бухгалтерском учете, различными инструкциями и т.п.
В законодательном порядке определены общие принципы построения налоговой системы, основные виды взимаемых налогов и сборов, права, обязанности и ответственность лиц, участвующих в налоговых отношениях.
К налоговым органам Российской федерации относятся органы Государственной налоговой службы, федеральные органы налоговой полиции и органы Государственного таможенного комитета. Для обеспечения уплаты налогов налоговые органы наделены полномочиями контролирующего характера и правами воздействия на нарушителей налогового законодательства.
Поэтому очень важна единая система контроля за правильностью исчисления, полнотой и своевременностью внесения в соответствующий бюджет налогов и других обязательных платежей.
Актуальность темы дипломной работы заключается в том, что множественность установленных налогов и сборов, хотя и позволяет решать разнообразные государственные задачи и реализовывать различные функции, создает тенденцию увеличения расходов по их взиманию и условия уклонения от уплаты отдельных налогов.
Особое значение имеет налоговое стимулирование увеличения налогооблагаемой базы, являющейся основой роста налоговых поступлений в бюджет.
Цель дипломной работы: проследить на конкретном примере исполнение процесса расчета организации с бюджетом на основе выше перечисленных нормативных документов.
Объектом исследования является общество с ограниченной ответственностью Регионтралснаб. созданное в городе Мурманске в 1997 году. Данное предприятие занимается производством и продажей орудий рыбного лова.
Учетная финансовая политика в организации предусматривает исчисление налоговой базы по мере поступлений денежных средств от покупателей на расчетный счет предприятия.
Предметом исследования являются расчеты данного предприятия с бюджетными организациями.
ООО Регионтралснаб не участвует в неналоговых источниках бюджета.
Задачи дипломной работы:
- основываясь на теоретических знаниях изучить особенности бухгалтерского учета расчетов предприятия с бюджетом;
- провести анализ полученных расчетов и дать объективную оценку полученным результатам;
- провести аудит расчетов предприятия с бюджетом, а также сроков их исполнения.
Бухгалтерский учёт и расчёт налогов, поступающих в бюджет
В системе расчетных взаимоотношений предприятий денежные расчетные отношения с государственным бюджетом и государственными, внебюджетными фондами (социальными, дорожными, экологическими и др.) занимают особое место.
Подавляющее число показателей, составляющих базу налогообложения, в том числе главные из них - объем реализации продукции (товаров, услуг) и сумма полученной прибыли, отражаются в системном бухгалтерском учете предприятия.
Организация их аналитического учета должна строиться таким образом, чтобы получить необходимую информацию по каждому виду налогов в бюджет и платежей во внебюджетные государственные фонды.
Поэтому каждое предприятие открывает по соответствующим синтетическим счетам субсчета в их развитие. Для учета этих операций используется счет 68 Расчеты с бюджетом, к которому открываются субсчета по видам налоговых платежей.
На этом счете учитывается информация о расчетах с бюджетом по налогам, уплачиваемым предприятием.
Счет 68 Расчеты с бюджетом на конец отчетного месяца может иметь развернутое сальдо (дебетовое и кредитовое) по налоговым платежам. При составлении баланса дебетовый остаток по счету 68 Расчеты с бюджетом отражается в активе баланса, а кредитовый в пассиве.
Для сверки расчетов с бюджетом, анализа уплаченных налогов, штрафных санкций по налогам, пени надо знать не только общую сумму задолженности бюджету, но и ее расшифровку по налогу (подсубсчет 001), штрафам (002) и пени (003). Аналитический учет в таком разрезе можно вести с помощью современных систем автоматизации бухгалтерского учета.
Характеристика налогов, уплачиваемых в бюджетные организации и ответственность налогоплательщиков
Состав налогов, оплачиваемых предприятием, определяется законом РФ Об основах налоговой системы в Российской Федерации. В соответствии с этим законом с предприятий взимаются федеральные, республиканские и местные налоги.
К федеральным налогам относятся: налог на добавленную стоимость; акцизы на отдельные группы и виды товаров; налог на операции с ценными бумагами; таможенная пошлина; отчисления на воспроизводство минерально-сырьевой базы; платежи за пользование природными ресурсами; налог на прибыль предприятий; подоходный налог с физических лиц; налоги, перечисляемые в дорожные фонды; гербовый сбор; государственная пошлина; сбор за использование названия Россия; транспортный налог с предприятий; единый социальный (взнос) налог, сбор за регистрацию банков и их филиалов.
Федеральные налоги и порядок их зачисления в бюджеты разных уровней или во внебюджетные фонды устанавливаются законодательными актами РФ и взимаются на всей ее территории.
К республиканским налогам, налогам краев, областей, автономных краев и областей относятся: налог на имущество предприятий; лесной налог; плата за воду; сбор за регистрацию предприятия; налог с продаж; единый налог на вмененный доход.
Эти налоги устанавливаются законодательными актами РФ и взимаются на всей территории. При этом конкретные ставки этих налогов определяются законами республик в составе РФ или решениями органов государственной власти краев и областей.
К местным налогам относятся: земельный налог; налог на строительство объектов производственного назначения в курортной зоне; сбор за право торговли; целевые сборы; налог на рекламу; налог на перепродажу автомобилей, вычислительной техники и персональных компьютеров; лицензионный сбор за право торговли винно-водочными изделиями; лицензионный сбор за право проведения местных аукционов и лотерей; сбор за парковку автотранспорта; сбор за право использования местной символики; сбор за участие в бегах на ипподромах; сбор со сделок, совершаемых на биржах; сбор за право проведения кино- и телесъемок; сбор за уборку территорий населенных пунктов; сбор за открытие игорного бизнеса; налог на содержание жилищного фонда и объектов социально-культурной сферы.
Часть местных налогов (земельный налог) устанавливается законами РФ, часть районными и городскими органами власти.
Согласно ст. 23 Налогового кодекса Российской Федерации налогоплат6ельщики несут ответственность за налоговые нарушения. Каждый налогоплательщик обязан:
- уплачивать законно установленные налоги;
- встать на учет в налоговом органе, если такая обязанность предусмотрена настоящим Кодексом;
- вести в установленном порядке учет своих доходов (расходов) и объектов налогообложения, если такая обязанность предусмотрена законодательством о налогах;
- представлять в налоговый орган по месту учета в установленном порядке налоговые декларации по тем налогам, которые они обязаны уплачивать, если такая обязанность предусмотрена законодательством о налогах и сборах;
- представлять налоговым органам и их должностным лицам в случаях, предусмотренных настоящим Кодексом, документы, необходимые для исчисления и уплаты налогов;
-выполнять законные требования налогового органа об устранении выявленных нарушений законодательства о налогах и сборах, а также не препятствовать законной деятельности должностных лиц налоговых органов при исполнении ими своих служебных обязанностей;
- предоставлять налоговому органу необходимую информацию и документы в случаях и порядке, предусмотренных настоящим Кодексом;
- в течение четырех лет обеспечивать сохранность данных бухгалтерского учета и других документов, необходимых для исчисления и уплаты налогов, а также документов, подтверждающих полученные доходы (для организаций также и произведенные расходы) и уплаченные (удержанные) налоги;
Налогоплательщикиорганизации и индивидуальные предприниматели помимо обязанностей, предусмотренных выше, обязаны сообщать в налоговый орган по месту учета:
об открытии или закрытии счетов в 10-дневный срок;
обо всех случаях участия в российских и иностранных организациях в срок не позднее одного месяца со дня начала такого участия;
обо всех обособленных подразделениях, созданных на территории Российской Федерации, в срок не позднее одного месяца со дня их создания, реорганизации или ликвидации;
об объявлении о несостоятельности (банкротстве), ликвидации или реорганизации в срок не позднее трех дней со дня принятия такого решения;
об изменении своего местонахождения в срок не позднее 10 дней с момента такого изменения.
Обязанность физического лица по уплате налога прекращается уплатой им налога, отменой налога, а также смертью налогоплательщика. Обязанность юридического лица по уплате налога прекращается уплатой им налога либо отменой налога.
Если предприятие оказывается не в состоянии уплатить налоги, то налоговая служба вправе предъявить в арбитражный суд иск о признании данного предприятия банкротом.
С введением в действие части первой Налогового кодекса РФ ответственность за налоговые правонарушения стала самостоятельным и полноценным видом юридической ответственности.
Кроме налоговой ответственности, определяемой НК, субъектом которой является только непосредственно сам налогоплательщик, за нарушения законодательства о налогах и сборах предусмотрены также и другие виды ответственности, возлагаемые на должностных лиц, а именно административная и уголовная ответственность. Административная ответственность за нарушение законодательства о налогах и сборах регулируется Законом РФО государственной налоговой службе РФ, Кодексом РФ об административных правонарушениях, а также Указом Президента РФ Об осуществлении комплексных мер по своевременному и полному внесению в бюджет налогов и других обязательных платежей от 23 мая 1994 г. 1006 . Ответственность за нарушения, содержащие признаки преступления, предусмотрена Уголовным кодексом РФ, а именно ст. 173, 198, 199.
Налоговый кодекс РФ (ст. 10) предусматривает также финансовую ответственность за правонарушения в связи с перемещением товаров через таможенную границу РФ, регулируемую кроме Налогового кодекса Таможенным кодексом РФ.
Таким образом, неправомерные действия налогоплательщиков могут привести к трем видам ответственности:
- налоговой (финансовой), налагаемой на налогоплательщика в целом;
- административной, налагаемой на должностных лиц;
- уголовной, налагаемой на должностных лиц.
Налог на добавленную стоимость
Налог на добавленную стоимость в налоговой системе РФ имеет статус федерального налога и действует на территории РФ с 1 января 1992 года.
Таблица 1.1
НАЛОГ НА ДОБАВЛЕННУЮ СТОИМОСТЬ
(в соответствии с главой 21 Налогового кодекса Российской Федерации)
с 1 января 2002 года |
|
1 |
2 |
3 |
4 |
5 |
6 |
|
Плательщики |
Объект налогообложения |
Налоговая база |
Налого-вый период |
Ставка |
Срок
уплаты |
1) организации;
2) индивидуаль-
ные предприниматели;
3) лица, признаваемые налогопла-
тельщиками в связи с перемещением товаров через таможенную границу Российской Федерации, определяемые в соответствии с Таможенным кодексом Российской Федерации. |
1) реализация товаров (работ, услуг) на территории Российской Федерации, в том числе реализация предметов залога и передача товаров (результатов выполненных работ, оказание услуг) по соглашению о предоставлении отступного или новации;
2) передача на территории РФ товаров (выполнение работ, услуг) для собственных нужд, расходы на которые не принимаются к вычету при исчислении налога на прибыль организаций;
3) выполнение строительно-монтажных работ для собственного потребления; |
1) при реализации товаров (работ, услуг);
2) при договорах финансирования под уступку денежного требования или уступки требования (цессии);
3) при получении дохода на основе договоров поручения;
4) при осуществлении транспортных перевозок и реализации услуг ;
5) при реализации предприятия в целом как имущественного комплекса;
6) при совершении операций по передаче товаров (выполнению работ, оказанию услуг) для собственных нужд;
7) определение налоговой базы налоговыми агентами;
8) определение налоговой базы с учетом сумм, связанных с расчетами по оплате товаров (работ, услуг) |
кален-дарный месяц
или
квартал |
0%
10%
20%
или
расчет-ные налоговые ставки:
9,09%
16,67% |
не позднее 20-го числа месяца, следующего за истекшим налоговым периодом;
ежеквар-тально,
не позднее 20-го числа месяца, следующего за истекшим кварталом |
Учет налога на добавленную стоимость ведется на счетах 19 Налог на добавленную стоимость по приобретенным ценностям по соответствующим субсчетам, 68 Расчеты с бюджетом в субсчете Расчеты по налогу на добавленную стоимость.
Налог на добавленную стоимость, подлежащий уплате организацией в бюджет (НДСб), определяется :
НДСб = НДСпод - НДСупл,
Где НДСпод - налог на добавленную стоимость, полученный от покупателей по реализованной продукции, работам, услугам, основным средствам, материалам, нематериальным активам и др;
НДСупл - налог на добавленную стоимость, уплаченный поставщиками, подрядчиками за приобретенные у них материальные ценности, работы, услуги, стоимость которых относится на издержки производства.
Налог на добавленную стоимость, полученный от покупателей, отражается по кредиту счета 68 в корреспонденции со счетами в зависимости от принятого учетной политикой организации момента реализации для целей налогообложения:
по отгрузке - по дебету счета 90/3
по оплате - по дебету счета 76, 90/3
Налог на добавленную стоимость, подлежащий уплате поставщикам и подрядчикам за приобретенные у них материальные ценности, выполненные работы, оказанные услуги производственного значения, отражаются по дебету счета 19 Налог на добавленную стоимость по приобретенным ценностям. НДС со счета 19 Налог на добавленную стоимость по приобретенным ценностям списывается после оплаты оприходованных материальных ценностей, принятых работ, услуг в уменьшение задолженности бюджету по данному налогу.
В случае использования материальных ценностей, работ, услуг для непроизводственных целей сумма НДС, приходившаяся на эти ценности (работы, услуги) восстанавливается как задолженность бюджету.
В случае использования приобретенных материальных ценностей (работ, услуг для производства продукции (работ, услуги, освобожденной от НДС, сумма уплаченного поставщикам (подрядчикам) этого налога включается в стоимость приобретенных материальных ценностей, издержки производства.
Рассмотрим расчет НДС 000 Регионтралснаб, подлежащего уплате в бюджет (НДСб):
1) Сумма от реализации товаров составляет :
оптовая торговля (сумма оплаченных счетов без НДС) - 170 872 тыс руб
производство (сумма оплаченных счетов по производству без НДС) -
- 33 333 тыс руб
170 872 +33 333 - 204 205 тыс руб
Сумма НДС = 204 205 х 20% = 40 841 тыс руб
2) Сумма налога, предъявленная 000 Регионтралснаб по счетам и уплаченная им при приобретении товаров (работ, услуг), подлежащая вычету- 35 693 тыс руб
3) Сумма НДС, начисленная к уплате в бюджет за период с 01.07.01 по 01.10.01 составляет: 40 841 - 35 693 = 5 148 тыс руб.
Форма 1 с расчетом НДС по предприятию 000 Регионтралснаб представлена в приложении 1.
Налог на имущество
В налоговой системе РФ налог на имущество предприятий относится к налогам краев, областей, автономной области, автономных округов, т.е. региональным налогам. Налогом на имущество облагаются основные средства, нематериальные активы, запасы и затраты, находящиеся на балансе плательщика:
И = O01 + О03- О02+ О04 - 005+008 + 010+ 011 + 015 ± O16 + 020+ 021 + О23 + 029 + 041 + 043 + 044 + 045 + 046 + 097 + Опр + СД - Л,
Где И - стоимость имущества, облагаемого налогом, руб.,
O01...097 - остатки по счетам, руб. (счета: 01 Основные средства, 02 Амортизация основных средств, 03 Доходные вложения, 04 Нематериальные активы, 05 Амортизация нематериальных активов, 08 Вложения во внеоборотные активы, 10 Производственные запасы, 11 Животные на выращивании и откорме, 15 Заготовление и приобретение материалов, 16 Отклонение в стоимости материалов, 20 Основное производство, 21 Полуфабрикаты собственного производства, 23'Вспомогательные производства, 29 Обслуживающие производства и хозяйства, 41 Товары (в розничной торговле без НДС), 43 Готовая продукция, 44 Расходы на продажу, 45 Товары отгруженные, 46 Выполненные этапы по незавершенным работам, 97 Расходы будущих периодов);
Опр - прочие запасы и затраты, отражаемые по статье Прочие оборотные активы;
СД - стоимость имущества, связанного с осуществлением совместной деятельности;
Л - стоимость имущества, исключаемого из налогооблагаемой базы и отраженного по указанным выше счетам.
Стоимость имущества, являющегося объектом налогообложения, объединенного предприятиями для совместной деятельности без образования юридического лица, учитывается в налогооблагаемой базе участников совместной деятельности, внесших это имущество.
Имущество созданное в процессе совместной деятельности, учитывается у каждого из участников пропорционально доле собственности по договору. Сведения о стоимости этого имущества должны быть заблаговременно получены у участника совместной деятельности, ведущего учет.
Таблица 1.2
|
взимаются на всей территории РФ |
НАЛОГ НА ИМУЩЕСТВО ПРЕДПРИЯТИЙ
(в соответствии с Законом РФ от 13.12.91 N 2030-1;инструкцией ГНС РФ от 08.06.95 N 33) |
|
1 |
2 |
3 |
4 |
5 |
|
Плательщики |
Объект налогообложения |
Ставка |
Источник уплаты |
Срок уплаты |
юридические
лица |
среднегодовая стоимость имущества, принадлежащего юридическому лицу и находящегося на территории РФ |
не
более 2% |
относится на финансовые результаты деятельности предприятия, а по банкам и другим кредитным организациям - на операционные и разные расходы |
1 раз в квартал
(нарастающим итогом) |
Для целей налогообложения стоимость имущества организации уменьшается на остаточную стоимость:
объектов жилищно - коммунальной и социально - культурной сферы, полностью или частично находящихся на балансе налогоплательщика;
объектов, используемых исключительно для охраны природы, пожарной безопасности или гражданской обороны;
имущества, используемого для производства, переработки и хранения сельскохозяйственной продукции, выращивания, лова и переработки рыбы;
земли;
других объектов соответствии с законом.
Аудит налога на добавленную стоимость
Однако все льготы имеют определенные ограничения как по порядку их представления , так и по общей сумме. Поэтому аудитор должен внимательно проверить, соответствует ли действующему законодательству составляемый предприятием для налоговой полиции специальный расчет по всем случаям уменьшения налогооблагаемой прибыли.
ООО Регионтралснаб занимается изготовлением и реализацией продукции и прочих источников дохода за проверяемый период не имеет. В ходе проведения аудиторской проверки расчетов с бюджетом проверено начисление налога на прибыль.
Сумма объекта налогообложения указана верно (проверено путём сверки данных на счетах 90 Продажи и 99 Прибыль и убытки и бухгалтерских проводках). Ставка налога применяется правильная. Сумма налога пересчитана аудитором и верна. Выявлено нарушение в корреспонденции счетов.
Так вместо отнесения суммы налога в дебет счёта 99/1 Расчеты с бюджетом по налогу на прибыль, это было сделано в дебет счёта 99 Прибыли и убытки, и сумма начисленного налога записана в кредит счёта 68 Расчеты с бюджетом без указания субсчёта.
Аудит налога на добавленную стоимость
Налог на добавленную стоимость - является косвенным и включается в цену приобретаемых товаров, работ , услуг. НДС заменил действовавшие у нас прежде налоги с оборота и с продаж, и охватывает практически все виды товаров и услуг, занимая важное место в расчетах с бюджетом.
Его плательщиками являются все предприятия, организации, учреждения, имеющие статус юридического лица, если их выручка от реализации товаров превышает сумму, установленную Законом о налоге на добавленную стоимость.
НДС взимается с оборота всех товаров и материальных ценностей, причем в облагаемый оборот включаются авансы под поставку товаров, указания услуг.
НДС взимается с движимого и недвижимого имущества, здания, сооружений , газа.
Уплата налога производится независимо от того, как произошла реализация ( за деньги, путем прямого товарообмена, с частичной оплатой или безвозмездно ) - исходя из рыночных или государственных средств. Поэтому аудитор при проверке правильности уплаты НДС должен проконтролировать все счета, отражающие движение материальных ценностей, платежные поручения и другие расчетные поручения.
Сложность создает заинтересованность налоговой службы в незамедлительном взимании максимальной суммы этого налога. Стремление собрать как можно скорее налог и не только с объема реализованной продукции (работ, услуг), но и с сумм полученных авансов и предоплаты за будущую поставку заметно усложнило учетные записи по удержанию налога на добавленную стоимость с перегонкой удержанных сумм со счета на счет. вначале по дебету 64 Расчеты по авансам полученным и кредиту счета 68, субсчет Расчеты по налогу на добавленную стоимость.
Затем при отгрузке продукции, выполнении работ или оказании услуг делается обратная проводка: по дебету счета 68 и кредиту счета 64 на сумму ранее удержанного налога с полученного аванса или предварительной оплаты. И хотя в конечном счете делается запись по дебету счета 64 и кредиту счета 90 Продажи, с тем чтобы на кредите счета 90 была собрана вся выручка от реализации, с которой удерживается также сумма налога, мы приходим к тому же конечному результату.
Особенно это важно в условиях инфляции, когда лучше скорее получить в доход бюджета более или менее полноценные деньги, нежели позже, уже значительно подвергшиеся инфляции.
В интересах действующей налоговой политики усложнены также расчеты налога на добавленную стоимость по приобретенным материальным ресурсам. Если первое время НДС по поступившим ресурсам списывался в уменьшение задолженности по НДС на реализованные товары, работы и услуги, то затем налоговая служба пришла к выводу о том, что такой способ учета НДС может сократить поступление налога в будущем. И было принято решение, согласно которому налог на добавленную стоимость по приобретенным ресурсам должен вначале аккумулироваться на дебете субсчета 68, который был впоследствии заменен синтетическим счетом 19 Налог на добавленную стоимость по приобретенным ценностям. Суммы НДС по оприходованным материальным ресурсам и работам (услугам) производственного характера, выполняемым сторонними организациями, списываются с кредита соответствующих субсчетов счета 19 НДС по приобретенным материальным ресурсам в дебет счета 68 Расчеты с бюджетом (субсчет Расчеты по налогу на добавленную стоимость) по мере проведения расчетов с поставщиками.
Суммы НДС, уплаченные при приобретении основных средств и нематериальных активов, в полном объеме вычитаются из сумм налога, подлежащих взносу в бюджет, в момент принятия на учет основных средств и нематериальных активов. Такой же порядок действует и в отношении субъектов малого предпринимательства, не перешедших на упрощенную систему налогообложения, учета и отчетности и уплачивающих в бюджет НДС.
Аудитор в процессе проверки достоверности налогооблагаемой базы по налогу на добавленную стоимость вначале должен удостовериться в правильности исчисления предприятием оборота по реализации товаров (работ, услуг). Убедится в правильности расчета НДС.
Расчет составляется по специально разработанной форме и состоит по сути в том , что сумма налога , подлежащая уплате в бюджет, предстает как разность между суммами налога, полученными от покупателей за приобретенные ими товары, и суммами налога, которые уплачены поставщиками за материальные ресурсы, топливо, услуги, чья стоимость фактически отнесена в данном отчетном периоде на издержки производства и обращения.
Тщательного анализа требует два обстоятельства: обоснованность применения льгот по НДС как по предприятиям , так и по товарам и услугам и точность расчета на возмещения из бюджета сумм, которые уплаченные поставщиками налоги на НДС превышают аналогичный собственный налог предприятия. Также проверяют своевременность перечисления налога, включая и уплату авансовых платежей.
В ООО Регионтралснаб проверке подвергнуто начисление НДС за проданную продукцию. Объект налогообложения проверен и указан верно. Ставка налога, применявшаяся для исчисления суммы налога соответствует действующей.
Сумма налога рассчитана верно. Корреспонденция счетов установлена правильно.
Аудит налога на имущество
Налог на имущество - этот налог введен для того, чтобы стимулировать эффективное использование имеющихся активов, чтобы предприятия своевременно освобождались от ненужного имущества. Его уплачивают, за исключением льготируемых, все предприятия, организации, учреждения, являющиеся юридическими лицами, а также их структурные подразделения, имеющие свой расчетный счет и отдельный баланс.
Налогом на имущество, независимо из какого источника оно получено, облагается среднегодовая стоимость имущества, находящегося на балансе предприятия.
Аудитор должен проверить правильность общей суммы объекта налогообложения и величину налога, исчисляемую поквартально нарастающим итогом с начала года.
Аудитору следует иметь в виду, что по налогу на имущество установлено значительное число льгот, как в зависимости от статуса налогоплательщика, вида его деятельности, так и от вида облагаемого налогом имущества. Размер конкретной налоговой ставки регионы Российской Федерации определяют самостоятельно. Стоимость имущества на первое число берется по Главной книге. Сумма налога рассчитывается из предполагаемой ( плановой ) среднегодовой стоимости имущества , а конце года делается перерасчет на фактическую стоимость.
За занижение (сокрытие) последней налогоплательщик несет ответственность.
Далее в ООО Регионтралснаб проверялся применяемый предприятием порядок бухгалтерского учета расчетов с бюджетом по налогу на имущество, который должен быть тождествен порядку, установленному Инструкцией Госналогслужбы РФ О порядке исчисления и уплаты в бюджет налога на имущество предприятий. В соответствии с инструкцией учет расчетов предприятий с бюджетом (кроме банков) по налогу на имущество предприятий ведется на балансовом счете 68 Расчеты с бюджетом на отдельном субсчете Расчеты по налогу на имущество.
Сумма налога, рассчитанная в установленном порядке, отражается по кредиту счета 68 Расчеты с бюджетом и дебету счета 99 Прибыли и убытки. Перечисление суммы налога на имущество в бюджет отражаются в бухгалтерском учете по дебету счета 68 Расчеты с бюджетом и кредиту счета 51 Расчетный счет.
Таким образом установлено, что ошибок в учете и исчислении налога на имущество на данном предприятии не существует.
Аудит налогов удерживаемых с доходов физических лиц
Аудитору следует провести выборочную проверку правильности удержания налога как со штатного персонала, так и с лиц , привлекаемых к работе на основании договора подряда и по трудовым соглашениям. Базой для исчисления налога является совокупный доход физического лица с начала и до конца календарного года.
Из совокупного дохода исключаются следующие доходы :
- минимальная величина заработной платы;
- государственные пособия по социальному страхованию;
- суммы , получаемые работниками в возмещение ущерба , связанного с трудовой деятельностью;
- выходные пособия, выплачиваемые при увольнении;
- алименты у граждан , их получаемых;
- материальная помощь;
- ряд других доходов.
Совокупный доход граждан , может также уменьшаться на суммы :
- доходов , перечисляемых по заявлению граждан на благотворительные цели;
- расходов на содержание детей и иждивенцев в пределах, установленных Законом размера минимальной месячной платы.
Аудитору следует выборочно проверить правильность записей по счету 69 Расчеты по социальному страхованию и обеспечению. На нем отражают информацию по начислениям и выплатам за счет средств социального и медицинского страхования, а также по расчетам с Пенсионным фондом России.
Эти начисления должны производиться с сумм оплаты труда по всем основаниям, включая трудовые соглашения, договоры подряда и другие разовые документы. Однако некоторые виды платежей в расчет не принимаются, а именно:
- компенсации за использованный отпуск;
- выходное пособие по увольнению;
- компенсационные выплаты;
- стоимость путевок в санатории;
- поощрительные выплаты;
- денежные награды;
- стипендии, выплачиваемы предприятиям учащимся и аспирантам;
- стоимость выданной спецодежды;
- дотации на обеды;
- возмещение расходов на проезд;
- и другие виды выплат.
Должны быть проанализированы также практика составления Расчетной ведомости по страховым взносам .
В ООО Регионтралснаб проверенны отчисления в Фонды Единого социального налога с заработной платы работников. Объект налогообложения определен правильно (сверено с данными в книге хозяйственных операций и с расчетно - платежной ведомостью). Ставки налогов, используемые при вычислении определены правильно. Начисленные суммы налогов проверены и верны.
Корреспонденция счетов определена и записана верно.
Подробно рассмотрены расчеты с Пенсионным фондом Российской Федерации (ПФР). Ставка налога указана верно. Начисленная сумма налога правильная. Проверено отчисление в ПФ от заработной платы работников предприятия (ПРФ).
Ставка налога указана правильная (проверено перерасчетом). Проверенны отчисления в Фонд Обязательного медицинского страхования (ФОМС). Объект налогообложения указан верно.
Ставка, применявшаяся при расчетах соответствует действительной. Сумма (проверенная перерасчетом ) указана верно.
Проверен учет налога на доходы физических лиц. Ставка определена правильно.
Но есть ошибка : неправильно подсчитан налог у рабочего Коваленко О.В. - 69456 руб., когда надо 69420 руб. По остальным работникам - расчеты подоходного налога ( перепроверено аудитором ) верны.
Аудит налога на пользователей автомобильных дорог.
Объект налогообложения и ставка применявшаяся при отчислении определены правильно. Начисленная сумма налога правильная Проверены сроки отчисления.
Расхождений нет.
Заключение аудитора по расчетам с бюджетными платежам ООО Регинтралснаб является приложением 15.
Проверка расчетов с бюджетом является для аудитора объектом повышенного внимания. Во - первых, потому, что за неправильные расчеты налогов в бюджет, предприятие расплачивается ощутимым для его финансового положения штрафами. Во - вторых, потому, что аудиторское заключение, подтверждающие правильность расчетов и реальность задолженности может быть принято налоговой инспекцией, а может быть поставлено под сомнение.
В этом случае налоговая инспекция имеет право перепроверить достоверность представленного заключения , и если будет установлена недобросовестность и недоброкачественность аудита, приведшая к ущемлению интересов государственного бюджета, вступают в силу санкции, предусмотренные действующим законодательством. А значит для аудитора или аудиторской фирмы может создаться угроза потери лицензии на право заниматься аудиторской деятельностью.
Заключение
Бюджет является главным звеном в формировании государственных финансов. С помощью бюджета происходит перераспределение национального дохода, что создает возможность маневрировать денежными средствами и целенаправленно влиять на темпы и уровень развития общественного производства.
Это позволяет осуществлять единую экономическую и финансовую политику на всей территории страны.
В процессе разработки темы дипломной работы были изучены теоретические аспекты, и на их основе проведено практическое исследование выполнения Налогового Законодательства предприятием нашего города - обществом с ограниченной ответственностью Регионтралснаб.
Был проведен анализ расчетов ООО Регионтралснаб с бюджетными фондами. В результате проведенного анализа расчетов с бюджетом данного предприятия, обозначилась четкая зависимость размера денежных средств, поступающих в бюджетные организации, от финансового положения предприятия.
В ходе аудиторской проверки были выявлены недостатки: при расчете суммы налогового обязательства и указания корреспонденции счетов для данных видов налогов. Эти ошибки указаны в аудиторских заключениях. После проделанной работы нетрудно понять, насколько важен аудит.
Поэтому своевременные ежемесячные аудиторские проверки нужно обязательно проводить каждому предприятию, чтобы быть уверенным в правильности ведения баланса, отчетах о прибылях, не допускать нарушений Налогового Законодательства и не подвергаться ответственности за допустимые ошибки.
Очень важна единая система контроля за правильностью исчисления, полнотой и своевременностью внесения в соответствующий бюджет налогов и других обязательных платежей.
Список используемой литературы:
1.Налоговый Кодекс Российской Федерации, 1ч ред. от 01.1999г.
2.Налоговый Кодекс Российской Федерации, 1ч ред. от 03.2001г.
3.Налоговый Кодекс Российской Федерации, 2ч.ред. от 08. 2001г.
4.Закон РФ Об основах налоговой системы в РФ от 27.12.1991г.
5.Закон РФ О государственной налоговой службе РФ 1999г
6.Указ Президента РФ Об осуществлении комплексных мер по своевременному и полному внесению в бюджет налогов и других обязательных платежей от 23.05.1994 1006
7.Инструкция МНС О порядке расчетов организаций с местными бюджетами по налогу на прибыль2001г
8.Инструкция МНС О налогах на пользователей автомобильных дорог 04.2000г
9.План счетов бухгалтерского учета с 01.01.2001г
10.Бабич А.М. Государственные и муниципальные финансы/ Москва, ЮНИТИ,2000
11.Богомолов А.Н. Внутренний аудит/ С-Пб, 2000
12.Барышников Н.П. Бухгалтерский учет, отчетность и налогообложение.
Изд. 2/Москва Филин, 1997
13.Баканов М.И. , Шеремет А.Д. Теория экономического анализа/ Москва, Финансы и статистика, 2001
14.Дадашев А.З. Финансоовая система России, Учебное пособие /Москва, ИНФРА, 1997
15.Дробозина Л.А. Финансы.
Денежное обращение. Кредит./Москва, Финансы,ЮНИТИ,1997
16.Кирьянова З.В. Теория бухгалтерского учета/ Москва Финансы и статистика,2000
17.Кожинов В. Бухгалтерский учет/Москва, 1999
18.Крутик А.Б.Хайкин И.М. Основы финансовой деятельности предприятия/ С-ПБ, 1999
19.Нитецкий В.В. Практикум общего аудита/Москва, 2000
20.Подольский В.И. Аудит/ Москва ЮНИТИ, 2001
21.Савицкая Г.В. Анализ хозяйственной деятельности предприятия/Минск, Новое знание, 1999
22.Сонтикова Л.В. Внутренний контроль и аудит/ Москва, ЮНИТИ,2001
23.Бухгалтерский учет, изд. 2, под ред.
П.С. Безруких/Москва Бухгалтерский учет, 1998
24.Налоги и налогообложение. Под ред.
Н.В. Романовского/ Москва, 2001
25.Налоги и налогообложение. Под. ред.
С.Г. Русакова/ Москва
26.Шеремет А.Д., Р.С. Сайфулин Финансы предприятия/Москва, Инфра-М, 2001
27.Юткина Т.Ф. Налоги и налогообложение/ Москва/ Инфра-М, 1999
28.Финансы. Под ред. Л.А.Дробозиной/ Москва, Финансы,ЮНИТИ
29.Финансы. Под ред.
А.М. Ковалевой/ Москва, Финансы и статистика1999
30.Финансы предприятий, под. ред. Н.В. Колчиной/ Москва ЮНИТИ, 1998
31.Финансы, деньги, кредит под. ред. д.э.н. О.В. Соколовой/Москва Юристь, 2001
32.Экономическая теория, Учебник для ВУЗов, под ред. В.Д. Камаева/Москва Владос,2000
33.Российская газета период. изд. 21 2000г/Москва
34.Российская газета период. изд. 6,17,18 2001г/Москва
35.Финансы период изд. 10,11- 2000г/Москва
36.Финансы период изд. 5,10- 2001г/Москва
Единый социальный налог
В соответствии с действующим законодательством по труду из сумм начисленной оплаты труда работников ООО Регионтралснаб в пользу бюджета удерживается подоходный налог:
1. Из начисленной заработной платы производят стандартные вычеты такие как: необлагаемый минимум дохода в размере 400 руб., расходы на содержание одного ребёнка - 300 руб., а также налоговые вычеты, предусмотренные в п.2.3 ст. 221 НК РФ.
Работнику начислено за октябрь 11139,84руб. - 4000,00 руб. общая сумма вычетов с начала года (необлагаемый минимум дохода с начала года) = = 7139,84 руб. - этим определяют налоговую базу.
2. Из полученной налоговой базы исчисляют налог на доходы физических лиц 7139,84 х 13% = 928,18 руб.
Индивидуальные налоговые карточки заполняются на основании расчетно- платежной документации с начала года нарастающим итогом (см. Приложение 6).
Единый социальный налог
С 2001 года бухгалтерам приходится вести учет выплат, произведенных в пользу физических лиц (работников и иных), не только в целях исчисления налога на доходы физических лиц, но и для расчета единого социального налога.
Единый социальный налог взимается на всей территории Российской федерации. Учет единого социального налога (взноса) ведется по дебету счетов: 20 Основное производство, 44 Расходы на продажу; по кредиту счета 69 Расчеты по социальному страхованию и обеспечению/ субсчета 1,2,3.
Таблица 1.7
(в соответствии с главой 24 Налогового кодекса Российской Федерации)
с 1 января 2002 года |
|
1 |
2 |
3 |
4 |
5 |
|
Налогоплательщики |
Объект налогообложения |
Налоговая база |
Налоговый период |
Срок уплаты |
Продолжение таблицы 1.7
|
1 |
2 |
3 |
4 |
5 |
1) работодатели, производящие выплаты наемным работникам, в том числе: организации;
индивидуальные предприниматели;
родовые, семейные общины малочисленных народов Севера, занимающиеся традиционными отраслями хозяйствования; |
выплаты и иные вознаграждения, начисляемые работодателями в пользу работников по всем основаниям |
сумма выплат и иных вознаграждений, предусмотренных пунктом 1 статьи 236 НК РФ, начисленных работодателями за налоговый период в пользу работников |
календар-
ный год
отчетным периодом признается календар-
ный месяц |
для налого-платель-щиков-
работода-
телей;
для налогоплательщиков не являющихся работода-
телями |
|
физические лица. |
выплаты и иные вознаграждения, включая вознаграждения по договорам гражданско- правового характера, выплачиваемые работодателями в пользу работников |
сумма выплат и вознаграждений, предусмотренных пунктом 2 статьи 236 НК РФ, выплаченных за налоговый период в пользу работников. |
|
|
|
2) индивидуальные предприниматели, родовые, семейные общины малочисленных народов Севера, занимающиеся традиционными отраслями хозяйствования, главы крестьянских (фермерских) хозяйств, адвокаты. |
доходы от
предпринимательской либо иной профессио-
нальной деятельности за вычетом расходов, связанных с их извлечением.
Для индивидуальных предпринимателей, применяющих упрощенную систему налогообложения, объектом налогообложения является доход, определяемый исходя из стоимости патента |
сумма доходов, полученных такими налогоплательщиками за налоговый период как в денежной, так и в натуральной форме от предпринимательской либо иной профессиональной деятельности в Российской Федерации, за вычетом расходов, связанных с их извлечением, предусмотренных в пункте 1 статьи 221 НК РФ |
|
|
Таблица 1.8
Ставки единого социального налога (взноса). Для работодателей, производящих выплаты наемным работникам, а также для организаций, индивидуальных предпринимателей, физических лиц:
Налоговая
база |
Пенсионный
Фонд |
Фонд
социального |
Фонды обязательного
медицинского страхования |
Итого |
|
на каждого отдельного работника нарастающим итогом с начала года |
Российской Федерации |
страхования Российской Федерации |
Федеральный фонд обязательного медицинского страхования |
территориаль-
ные фонды обязательного медицинского страхования |
|
|
1 |
2 |
3 |
4 |
5 |
6 |
|
до 100000 руб. |
28,0% |
4,0% |
0,2% |
3,4% |
35,6% |
от 100001 руб.
до 300000 руб. |
28000 руб. + 15,8% с суммы, превышающей 100000 руб.
|
4000 руб. + 2,2% с суммы, превышающей 100000 руб. |
200 + 0,1% с суммы, превышающей 100000 руб. |
3400 руб. + 1,9% с суммы, превышающей 100000 руб. |
35600 руб. + 20,0% с суммы, превышающей 100000 руб. |
от 300001 руб.
до 600000 руб. |
59600 руб. + 7,9% с суммы, превышающей 300000 руб.
|
8400 руб. + 1,1% с суммы, превышающей 300000 руб. |
400 руб. + 0,1% с суммы, превышающей 300000 руб. |
7200 руб. + 0,9% с суммы, превышающей 300000 руб. |
75600 руб. + 10,0% с суммы, превышающей 300000 руб. |
Ставки, предусмотренные пунктом 1, применяются при условии, что в предыдущем налоговом периоде величина налоговой базы в среднем на одного работника превышала 50000 рублей. Если налогоплательщик осуществляет деятельность менее одного налогового периода, но не менее трех месяцев, в целях расчета величины налоговой базы в среднем на одного работника накопленная за последний квартал величина налоговой базы в среднем на одного работника умножается на четыре. При расчете величины налоговой базы в среднем на одного работника у налогоплательщиков с численностью работников свыше 30 человек не учитываются выплаты 10 процентам работников, имеющих наибольшие по размеру доходы, а у налогоплательщиков с численностью работников до 30 человек (включительно) - выплаты 30 процентам работников, имеющих наибольшие по размеру доходы.
Налогоплательщики, не соответствующие критерию, установленному частью первой настоящего пункта, уплачивают налог по ставкам, предусмотренным пунктом 1 настоящей статьи при величине налоговой базы на каждого отдельного работника до 100000 рублей, независимо от фактической величины налоговой базы на каждого отдельного работника.
При определении условий, предусмотренных настоящим пунктом, принимается средняя численность работников, учитываемых при расчете суммы налога, уплачиваемой в составе налога в Пенсионный фонд Российской Федерации.
Сумма налогов (взносов), зачисляемая в государственные внебюджетные фонды обязательного социального страхования, определяется на основании актуарных расчетов по каждому виду социального риска в соответствии с законодательством Российской Федерации об обязательном социальном страховании. При этом общая нагрузка на фонд заработной платы не может увеличивать предельную ставку консолидированного тарифа, установленного законодательством Российской Федерации об обязательном социальном страховании.
Индивидуальная карточка учета сумм начисленных выплат и иных вознаграждений, а также сумм начисленного единого социального налога (взноса) (далее - Индивидуальная карточка) и порядок ее заполнения утверждены Приказом МНС России от 27 февраля 2001 г. N БГ-3-07/63. Заполнение основного раздела Индивидуальной карточки производится в следующем порядке:
В графе 2 Начислено выплат и иных вознаграждений по всем основаниям, всего указываются все суммы, которые были начислены работнику независимо от того, что какие-либо выплаты не подлежат включению в налоговую базу.
Согласно п. 5 ст. 237 НК РФ сумма вознаграждения, учитываемая при определении налоговой базы в части авторского и лицензионного договоров, определяется с учетом расходов, предусмотренных п. 3 ст.
221 НК РФ, - профессиональных вычетов. Это означает, что в графе 2 Индивидуальной карточки сумма вознаграждения указывается уже с учетом указанных вычетов.
Все показатели Индивидуальной карточки отражаются в полных рублях по правилам округления:
суммы менее 50 копеек отбрасываются, а 50 копеек и более округляются до полного рубля.
Графы 3-10 Индивидуальной карточки предназначены для отражения сумм выплат, которые не подлежат обложению единым социальным налогом.
При этом графы 3-8 объединены в раздел Выплаты, не подлежащие налогообложению во все фонды.
В соответствии с утвержденной формой Индивидуальной карточки в графе 3 должна быть указана общая сумма выплат, не подлежащих налогообложению во все фонды. То есть значение данной графы является суммой значений, указанных в графах 4-8.
Однако легко увидеть, что ни одна из указанных граф не предназначена для отражения в ней сумм, полностью освобожденных от налогообложения в соответствии с п. 1 ст. 238 НК РФ, в том числе пособий, выплачиваемых за счет средств ФСС, компенсационных выплат и т. п.
Предприятиям следует в графе 3 Индивидуальной карточки отражать суммы выплат, полностью не подлежащих налогообложению в соответствии с п. 1 ст. 238 НК РФ.
Поскольку п. 3 Приказа МНС России от 27 февраля 2001 г. N БГ-3-07/63 рассматриваемая форма лишь рекомендована для применения предприятиями, то самостоятельное внесение в нее необходимых уточнений и изменений не может рассматриваться как нарушение со стороны предприятия.
В графе 4 указываются суммы выплат в натуральной форме, производимые сельскохозяйственной продукцией и (или) товарами для детей, в части, не превышающей 1000 руб. в расчете на одного работника за календарный месяц, которые не признаются объектом налогообложения в соответствии с п. 1 ст. 236 ПК РФ. Кроме того, в графе 4 указываются суммы, не подлежащие налогообложению в соответствии со ст. 25 Федерального закона от 27 декабря 2000 г. N 150-ФЗ О федеральном бюджете на 2001 год, - суммы денежного довольствия, продовольственного и вещевого обеспечения и иных выплат, получаемые военнослужащими, лицами рядового и начальствующего состава органов внутренних дел, сотрудниками органов налоговой полиции, уголовно-исполнительной системы и таможенной системы РФ, имеющими специальные звания, в связи с исполнением обязанностей военной и приравненной к ней службы в соответствии с законодательством РФ (если указанные лица являются работниками названных в ст.
25 Федерального закона N 150-ФЗ министерств и ведомств).
Графа 5 может заполняться только организациями, финансируемыми за счет бюджетов.
Графа 6 заполняется только профсоюзными организациями. В этой графе указываются выплаты, не подлежащие налогообложению в соответствии с подп.
13 п. 1 ст. 238 ПК РФ, - выплаты, осуществляемые за счет членских профсоюзных взносов каждому члену профсоюза, при условии, что данные выплаты производятся не чаще одного раза в три месяца и не превышают 10 000 рублей в год.
В графе 7 указываются суммы, не облагаемые налогом в соответствии со ст. 239 НК РФ, в том числе суммы, не превышающие в течение налогового периода 100 000 руб. на каждого работника, являющегося инвалидом I, II или 111 группы.
В графе 8 указываются суммы выплат, произведенных за счет средств, оставшихся в распоряжении организации после уплаты налога на прибыль, которые согласно п. 4 ст. 236 НК РФ не являются объектом налогообложения.
Порядок применения п. 4 ст. 236 НК РФ разъяснен в Методических рекомендациях по порядку исчисления и уплаты единого социального налога (взноса), утвержденных Приказом МНС России от 29 декабря 2000 г. N БГ-3-07/465 в ред.
Приказа МНС России от 28 апреля 2001 г. N БГ-3-07/138.
В графе 9 указываются выплаты, которые не подлежат обложению единым социальным налогом в части, подлежащей зачислению в ПФР в соответствии со ст. 26 Федерального закона от 27 декабря 2000 г. N 150-ФЗ О федеральном бюджете на 2001 год: суммы денежного содержания судей, прокуроров и следователей, имеющих специальные звания. В графе 9 могут быть также отражены льготы, предусмотренные п. 2 ст. 239 ПК РФ.
Согласно названному пункту работодатели освобождаются от уплаты налога с выплат, произведенных в пользу иностранных граждан или лиц без гражданства, в той части, которая подлежит зачислению во внебюджетный фонд, на выплаты из которого работник, не являющийся гражданином РФ, не имеет права.
В графе 10 отражаются суммы вознаграждений по договорам гражданско-правового характера, авторским и лицензионным договорам, которые не облагаются единым социальным налогом в части, зачисляемой в ФСС РФ, в соответствии с п. 3 ст. 238 НК РФ.
Налоговая база рассчитывается отдельно для ПФР и ОМС (графа 11) и для ФСС (графа 12). Если предприятие не производило выплат по договорам гражданско-правового, характера (со всеми работниками заключены трудовые договоры), то значение граф 11 и 12 совпадают. Графа 11 = графа 2 - графа 3 - графа 9.
Графы 13-16 предназначены для отражения в них рассчитанных по ставкам, установленным п. 1 ст. 241 НК РФ, сумм налога по каждому фонду.
Сумма начисленного налога определяется нарастающим итогом с начала года путем умножения значений, указанных в графах 11, 12, на соответствующую ставку налога. В графе 17 указываются суммы начисленных пособий, выплачиваемых за счет средств ФСС РФ (по данным налогоплательщика).
Согласно п. 3 ст. 243 НК РФ по итогам каждого отчетного периода (календарного месяца) работодатели производят исчисление авансовых платежей по единому социальному налогу исходя из налоговой базы, исчисленной с начала календарного года по отчетный месяц включительно.
Авансовые платежи по налогу уплачиваются налогоплательщиком ежемесячно в срок, установленный для получения средств в банке на оплату труда за истекший месяц, но не позднее 15-го числа следующего месяца.
Расчет по авансовым платежам по единому социальному налогу (взносу) представляется в территориальную инспекцию МНС России по месту постановки налогоплательщика на учет не позднее 20-го числа месяца, следующего за отчетным.
Порядок заполнения Расчета по авансовым платежам по единому социальному налогу (взносу) для организаций, выступающих в качестве работодателей (кроме выступающих в качестве работодателей организаций, занятых в производстве сельскохозяйственной продукции, родовых семейных общин малочисленных народов Севера, занимающихся традиционными отраслями хозяйствования, и крестьянских (фермерских) хозяйств), утвержден Приказом МНС России от 29 декабря 2000 г. N БГ-3-07/469.
Рассмотрим на примере расчет единого социального налога в 000 Регинтралснаб:
В индивидуальной карточке учета сумм начисленных выплат и иных вознаграждений, а также сумм начисленного единого социального налога (взноса), от общей суммы начисления по ставкам, указанным во 2 гл. НК РФ высчитываем:
отчисления в части пенсионный фонд 1 495,01 х 28,0 % =418,60 руб.
отчисления единого социального налога в части медицинского федерального фонда 1 495,01 х 0,2% = 2,99 руб.
отчисления единого социального налога в части медицинского территориального фонда 1 495,01 х 3,4 % =50,83 руб.
отчисления в части фонда социального страхования 1 495,01 х 4/о= 59,80 руб.
Затем начисления по фондам, по каждому работнику суммируются и производится отчисление единого социального налога по платежным поручениям.
Бланки с расчетами представлены в приложении 7.
Анализ расчетов предприятия с бюджетом
Переход к рыночной экономике требует от предприятий повышения эффективности производства, конкурентоспособности продукции и услуг на основе внедрения достижений научно-технического прогресса, эффективных форм хозяйствования и управления производством, преодоления бесхозяйственности, активизации предпринимательства, инициативы и т.д.
Важная роль в реализации этой задачи отводится экономическому анализу деятельности субъектов хозяйствования. С его помощью вырабатываются стратегия и тактика развития предприятия, обосновываются планы и управленческие решения, осуществляется контроль за их выполнением, выявляются резервы повышения эффективности производства, оцениваются результаты деятельности предприятия, его подразделений и работников.
Квалифицированный экономист, финансист, бухгалтер, аудитор должен хорошо владеть современными методами экономических исследований, методикой системного, комплексного экономического анализа, мастерством точного, своевременного, всестороннего анализа результатов хозяйственной деятельности.
Изучение явлений природы и общественной жизни невозможно без анализа. Сам термин анализ происходит от греческого слова analyzis, что в переводе означает разделяю, расчленяю.
Следовательно, анализ в узком плане представляет собой расчленение явления или предмета на составные его части (элементы) для изучения их как частей целого. Такое расчленение позволяет заглянуть вовнутрь исследуемого предмета, явления, процесса, понять его внутреннюю сущность, определить роль каждого элемента в изучаемом предмете или явлении.
В науке и на практике применяются разные виды анализа: физический, химический, математический, статистический, экономический и др. Они отличаются объектами, целями и методикой исследования.
Экономический анализ в отличие от физического, химического и прочих относится к абстрактно-логическому методу исследования экономических явлений.
Послевоенное время можно охарактеризовать как период основательной разработки теоретических вопросов анализа. В это же время анализ органически вписывается в практику управления хозяйством на уровне как предприятия, так и национальной экономики. Постепенно разрабатываются самостоятельные направления методологии экономического анализа:
сравнительный, технико-экономический, оперативный, экономико-математический, функционально-стоимостный и т.д. Большой вклад в развитие методологии комплексного анализа хозяйственной деятельности внесли такие ученые-экономисты, как М.И.Баканов, А.Д.Шеремет, С.Б.Барнгольц, П.И.Савичев, М.Ф.Дьячков, А.Ш.Маргулис, А.И.Муравьев, В.И.Самборский, Н.В.Дембинский, Г.М.Таций, Н.Г.Чумаченко, В.И.Стражев, С.Г.Овсянников, Н.А.Русак, Л.И.Кравченко, Б.И.Майданчик, А.Ф.Аксененко и многие другие.
Современное состояние анализа можно охарактеризовать как довольно основательно разработанную в теоретическом плане науку. Ряд методик, созданных научными работниками, используются в управлении производством на разных уровнях. Вместе с тем наука находится в состоянии развития.
Ведутся исследования в области более широкого применения математических методов, ЭВМ, позволяющих оптимизировать управленческие решения. Идет процесс внедрения теоретических достижений отечественной и зарубежной науки в практику .
Что касается перспектив прикладного характера, то анализ хозяйственной деятельности постепенно займет ведущее место в системе управления. Этому содействуют преобразования, которые происходят в нашем обществе.
Задачи и источники информационного обеспечения анализа
Цель финансового анализа оценка прошлой деятельности и положения предприятия на данный момент, а также оценка будущего потенциала предприятия. Финансовый результат деятельности предприятия выражается в изменении величины его собственного капитала за отчетный период по сравнению с предыдущим годом. Способность предприятия обеспечить неуклонный рост собственного капитала может быть оценена системой показателей финансовых результатов. Для анализа используются Закон о налогах и сборах, взимаемых в бюджет, инструктивные и методические указания Министерства финансов, Устав предприятия.
Обобщенно наиболее важные показатели финансовых результатов деятельности предприятия представлены в форме 2 Отчет о прибылях и убытках годовой и квартальной бухгалтерской отчетности. (см. Приложение 4)
К ним относятся: прибыль (убыток) от реализации; прибыль (убыток) финансово-хозяйственной деятельности; прибыль (убыток) отчетного периода; нераспределенная прибыль (убыток) отчетного периода. Непосредственно по данным формы 2 Отчета о прибылях и убытках могут быть рассчитаны также следующие показатели финансовых результатов; прибыль (убыток) от прочей ; реализации (основных средств и иного имущества); прибыль (убыток) от внереализационной деятельности; прибыль, остающаяся в распоряжении организации после уплаты налога на прибыль и иных обязательных платежей (чистая прибыль); брутто-прибыль (валовая прибыль) от реализации товаров, продукции, работ, услуг.
В форме 2 Отчеты о прибылях и убытках по всем перечисленным показателям приводятся также сопоставимые данные за аналогичный период отчетного прошлого.
Показатели финансовых результатов (прибыли) характеризуют абсолютную эффективность хозяйствования предприятия по всем направлениям его деятельности: производственной, сбытовой, снабженческой, финансовой и инвестиционной. Они составляют основу экономического развития предприятия и укрепления его финансовых отношений со всеми участниками коммерческого дела.
Рост прибыли создает финансовую базу для самофинансирования, и расширенного воспроизводства, решения проблем социального и материального поощрения персонала. Показатели прибыли являются важнейшими в системе оценки результативности и деловых качеств предприятия, степени его надежности и финансового благополучия, как партнера.
Однако различных пользователей бухгалтерской отчетности интересует только определенные показатели финансовых результатов. Например, администрацию предприятия интересуют масса полученной прибыли и ее структура, факторы, воздействующие на ее величину, налоговые инспекции заинтересованы в получении достоверной информации о всех слагаемых налогооблагаемой базы прибыли.
Государство заинтересовано получить как можно больше прибыли в бюджет. Однако если государство облагает предприятия очень высокими налогами, то это не стимулирует развитие производства, в связи с этим сокращается объем производства продукции, и как, результат, поступление средств в бюджетные организации.
Анализ экономических результатов деятельности предприятия включает в качестве обязательных элементов, во-первых, оценку изменений по каждому показателю за анализируемый период (т.е. горизонтальный анализ показателей); во-вторых, оценку структуры показателей прибыли и изменений их структуры (что принято называть вертикальным анализом показателей); в-третьих, изучение хотя бы в самом общем виде динамики изменения показателей за ряд отчетных периодов (т.е. трендовый анализ показателей); в-четвертых, выявление факторов и причин изменения показателей прибыли и их количественная оценка.
Основными задачами анализа финансовых результатов являются:
- анализ и оценка уровня и динамики показателей прибыли;
- факторный анализ прибыли от реализации продукции (работ, услуг);
- анализ финансовых результатов от прочей реализации, внереализационной и финансовой деятельности;
- анализ и оценка использования чистой прибыли;
- оценка качества показателей прибыли;
- анализ взаимосвязи затрат, объема производства (продаж) и прибыли;
- анализ взаимосвязи прибыли, движения оборотного капитала и потока денежных средств;
- анализ и оценка влияния инфляции на финансовые результаты.
Анализ и оценка налога на прибыль
Для анализа используются Закон о налогах и сборах, взимаемых в бюджет, инструктивные и методические указания Министерства финансов, Устав предприятия, а также данные отчета о прибылях и убытках, приложения к балансу, отчета о движении капитала, аналитического бухгалтерского учета по счету 99 Прибыли и убытки, расчетов налогов на имущество, на прибыль, на доходы и др.
Для налоговых органов и предприятия большой интерес представляет налогооблагамая прибыль, так как от этого зависит сумма налога на прибыль.
Для исчисления облагаемой налогом прибыли прибыль отчетного года уменьшается на сумму рентных платежей, вносимых в установленном порядке в бюджет, доходов, дивидендов, процентов, полученных по акциям, облигациям и иным ценным бумагам, принадлежащим предприятию; доходов, полученных от долевого участия в деятельности других предприятий, отчислений в резервный фонд и другие аналогичные фонды до достижения размеров этих фондов, но не более 15% уставного капитала, льгот, предоставленных в соответствии с действующим законодательством.
Анализ и оценка уровня и динамики показателей прибыли
Факторный анализ прибыли от реализации продукции
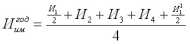
Для анализа и оценки уровня и динамики показателей прибыли составляется таблица, в которой используются данные бухгалтерской отчетности организации из формы 2.
Общий финансовый результат отчетного периода отражается в отчетности в развернутом виде и представляет собой алгебраическую сумму прибыли (убытка) от реализации продукции (работ, услуг); реализации основных средств, нематериальных активов и иного имущества и результата от другой финансовой деятельности; прочих внереализационных операций.
Из данных таблицы Динамика показателей прибыли ООО Регионтралснаб 2000-2001г. (см. приложение 8), следует, что прибыль по отношению к предшествующему периоду уменьшилась на 56,7%, что привело также к соответствующему уменьшению прибыли, остающейся в распоряжении организации.
Затем анализируется динамика финансовых результатов. Если прибыль от реализации растет быстрее, чем нетто-выручка от реализации товаров, продукции, работ, услуг - это свидетельствует об относительном снижении затрат на производство продукции.
Если чистая прибыль растет быстрее, чем прибыль от реализации, прибыль от финансово-хозяйственной деятельности и прибыль отчетного периода - это свидетельствует об использовании организацией механизма льготного налогообложения.
На примере ООО Регионтралснаб прибыль от реализации снижается более быстрыми темпами, чем нетто - выручка от реализации товаров и продукции. Это указывает на то, что затраты на производство и реализацию товара увеличиваются.
Вместе с тем динамика финансовых результатов включает негативные изменения. Если опережающими темпами растут расходы периода, убытки от прочей реализации и внереализационные расходы - все это ведет к снижению прибыли отчетного периода.
В нашем примере наблюдается значительный рост расходов, что и является главной причиной снижения прибыли отчетного периода.
Изменения в структуре прибыли отчетного периода характеризуются данными таблицы Структура прибыли ООО Регионтралснаб 2000-2001г. (см. приложение 9).
Как следует из данных таблицы Структура прибыли ООО Регионтралснаб 2000-2001г., в отчетном периоде произошли отрицательные изменения в структуре прибыли. Уменьшилась доля прибыли от реализации товаров (продукции, работ, услуг), от финансово-хозяйственной деятельности и финансовых операций.
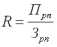
Уменьшилась также против предшествующего периода доля прибыли, остающейся в распоряжении предприятия (чистой прибыли). Значимость финансовых результатов может быть оценена также по 1 показателям рентабельности реализации товаров (продукции, работ, услуг):

,
где R - рентабельность,
Прп - валовая прибыль (либо чистая прибыль),
Зрп - затраты по реализованной продукции (работам, услугам).
Снижение (рост) прибыли можно проанализировать с помощью факторного анализа.
Факторный анализ прибыли от реализации продукции (работ, услуг) ООО Регинтралснаб
Прибыль от реализации товарной продукции в общем случае находится под воздействием таких факторов, как изменение объема реализации; структуры продукции; отпускных цен на реализованную продукцию; цен на сырье, материалы, топливо, тарифов на энергию и перевозки; уровня затрат материальных и трудовых ресурсов.
Рассмотрим формализованный расчет факторных влияний на прибыль от реализации продукции в ООО Регинтралснаб на примере методики Шеремет и Сайфуллина:
1. Расчет общего изменения прибыли (Р) от реализации продукции:
Р = Р1 Р0,
где Р1 - прибыль отчетного года;
Р0 - прибыль базисного года.
Р = 4 - 40 = - 36 тыс. руб
2. Расчет влияния на прибыль изменений отпускных цен на реализованную продукцию (Р1):
Р = N1 - N1,0 =
где Nр1 =

реализация в отчетном году в ценах отчетного года
Nр0 =

- реализация в отчетном году в ценах базисного года
Р1 = ((5,8 х 20) + ((5,73 х30)) - ((5,55 х 20) + (2,65 х 30)) = 287,9 - 280,5 = 7,4 тыс. руб
Цены на продукцию увеличились в результате инфляции.
3. Расчет влияния на прибыль изменений в объеме продукции (Р2) (собственно объема продукции в оценке по плановой (базовой) себестоимости):
Р2 = Р0 К1 Р0 = Р0(К1 1)
Р0 - прибыль базисного года;
К1 - коэффициент роста объема реализации продукции
К1 = S1,0 / S0,
S1,0 - фактическая себестоимость реализованной продукции за отчетный период в ценах и тарифах базисного периода;
S0 - себестоимость базисного года (периода).
К1 = 264,84/626 = 0,423; Р2 = 40 х (0,423 - 1) = - 23,08 тыс. руб
Объем продукции снизился на 23,08 тыс. руб
4. Расчет влияния на прибыль изменений в объеме продукции, обусловленных изменениями в структуре продукции (Р3):
Р3 = Р0 (К2 - К1)
К2 - коэффициент роста объема реализации в оценке по отпускным ценам:
К2 = N1,0 / N0,
N1,0 - реализация в отчетном периоде по ценам базисного периода;
N0 - реализация в базисном периоде.
К2 = 280,5/666 = 0,422; Р3 = 40 х (0,422 - 0,423) = - 0,04 тыс. руб
Объем реализации продукции за счет структурных сдвигов уменьшился на 0,04 тыс. руб (невыгодной продукции было выпущено больше, чем более рентабельной).
5. Расчет влияния на прибыль экономии и от снижения себестоимости продукции (Р4):
Р4 = S1,0 - S1,
S1,0 - себестоимость реализованной продукции отчетного периода в ценах и условиях базисного периода;
S1 - фактическая себестоимость реализованной продукции отчетного периода
Р4 = 264,84- 266,5 = - 1,66 тыс. руб
Себестоимость единицы продукции возросла, что привело к отсутствию роста прибыли.
6. Расчет влияния на прибыль изменений себестоимости за счет структурных сдвигов в составе продукции (Р5):
Р5 = S0K2 - S1,0,
Р5 = 626 х 0,422 -264,84 = -0,668 тыс. руб
Общая себестоимость увеличилась за счет выпуска продукции с высокими издержками производства.
Отдельным расчетом по данным бухгалтерского учета определяется влияние на прибыль изменений цен на материалы и тарифов на услуги (Р6), а также экономии, вызванной нарушениями хозяйственной дисциплины (Р7). Сумма факторных отклонений дает общее изменение прибыли от реализации за отчетный период, что выражается следующей формулой:
Исходные данные для расчетов представлены в таблице Анализ прибыли по факторам ООО Регионтралснаб 2000-2001г. (см. приложение 10).
Результаты анализа целесообразно представлять в виде сводки влияния факторов на отклонение прибыли от реализации продукции (см. приложение 11).
Как видно из этих данных, наибольшее влияние на отклонение прибыли оказали ценовые факторы. За счет увеличения себестоимости продукции сократился объем продаж, сдвиги в затратах на производство сократили экономию ресурсов и уменьшили прибыль, что составляет 56,7% общего отклонения по прибыли.
Анализ финансовых результатов от прочей реализации, внереализационной деятельности и финансовых вложений
Финансовые результаты от прочей реализации возникают по операциям с имуществом организации. К ним относятся прибыль (убыток) от реализации основных средств, нематериальных активов, производственных запасов, финансовых активов и иного имущества, списание основных средств по причине морального износа, сдача помещений в аренду, содержание законсервированных производственных мощностей и объектов, аннулирование производственных заказов (договоров), прекращение производства, не давшего продукции. Доходы, причитающиеся по этим операциям, и затраты, связанные с получением этих доходов, показываются в отчете (форма 2) развернуто по статьям Прочие операционные доходы и Прочие операционные расходы.
Кроме того, в составе операционных доходов и расходов отражаются результаты переоценки имущества и обязательств, стоимость которых выражена в иностранной валюте (курсовые разницы), а также сумма причитающихся к уплате отдельных видов налогов и сборов за счет финансовых результатов (на содержание автодорог, милиции и др.).
При получении убытков от прочей реализации, связанных с превышением операционных расходов над доходами, в каждом конкретном случае следует установить причины и виновников образования этих убытков. Причинами образования операционных расходов, связанных с аннулированием производственных заказов (договоров), прекращением производства, не давшего продукции могут быть отсутствие материальных ресурсов, падение спроса на продукцию.
В случае компенсации затрат на содержание законсервированных производственных мощностей и объектов по аннулированным заказам (договорам), прекращенному производству, не давшему продукцию, соответствующие суммы отражаются как операционные доходы.
Результаты от финансовой деятельности образуются на предприятии, если оно имеет финансовые вложения в ценные бумаги других организаций либо принимает участие в совместной деятельности. Суммы причитающихся (подлежащих) в соответствии с договорами к получению (к уплате) дивидендов (процентов) по облигациям, депозитам отражаются в бухгалтерском отчете (форма 2) по статьям Проценты к получению и Проценты к уплате.
Доходы, подлежащие получению по акциям по сроку, в соответствии с учредительными документами отражаются в форме 2 по статье Доходы от участия в других организациях.
Финансовые результаты от внереализационных операций являются составной частью полученной прибыли отчетного года. В условиях перехода к рыночной экономике их влияние на формирование окончательных финансовых результатов работы предприятия существенно возросло.
Внереализационные финансовые результаты также отражаются в форме 2. Перечень доходов и расходов от внереализационных операций утвержден в Законе Российской Федерации О налоге на прибыль предприятий.
Внереализационные финансовые результаты, как правило, не планируются, поэтому анализ сводится к сравнению сумм в динамике за несколько лет. При анализе внереализационных доходов финансовых результатов основное внимание должно быть сосредоточено на внереализационных расходах.
Тщательно анализируются убытки от стихийных бедствий, так как нередко на эту статью относят потери, вызванные бесхозяйственностью, а также убытки по недостачам и хищениям.
При анализе уплаченных штрафов, пени и неустоек за нарушение условий хозяйственных договоров необходимо выяснить, кому и за что уплачены штрафы, каковы причины и кто является виновником. Детальный анализ внереализационных финансовых результатов производится по данным учетных регистров и первичных документов.
В ООО Регионтралснаб анализ внереализационной деятельности не проводится, так как на предприятии отсутствуют внереализационные доходы и расходы.
Анализ состава налогов ООО Регионтралснаб
Анализ налогов, вносимых в бюджет из прибыли, целесообразно начинать с изучения их состава и структуры. Для этой цели была составлена таблица Анализ состава налогов предприятия (см. приложение 12).
Несмотря на то, что ставка налога на прибыль увеличилась на 5%, сумма налога на прибыль уменьшилась на 96%, что объясняется резким спадом производства и соответственно выручки, а также структурным сдвигом между производством и торговлей.
Налог на имущество рассчитанный по прежней ставке уменьшился на 9,5%.
Прочие налоги и сборы (налог на милицию) уменьшились на 4,4%, хотя одна из составляющих расчета - МРОТ увеличилась с 83,49 руб. до 100 руб.
Данные таблицы Анализ состава налогов ООО Регионтралснаб 2000-2001г. показывают, что налоги из прибыли снизились по сравнению с прошлым годом на 86,6%.
Изменилась и структура налогов: доля налога на имущество выросла, а доля налога на прибыль уменьшилась.
Налоги на прибыль в общей её сумме составили 44,3 %, что на 0,7% ниже прошлого года.
Изменение суммы налога на имущество произошло за счет уменьшения среднегодовой стоимости имущества, что в свою очередь произошло за счет увеличения износа основных средств. Сумма прочих налогов и сборов (налога на милицию) изменилась вследствие уменьшения численности работников предприятия.
Анализ и оценка налога на добавленную стоимость
Анализ налога на добавленную стоимость производят в сравнении показателей третьего квартала прошлого года с отчетным. Выводы делаются по таблице Анализ налога на добавленную стоимость ООО Регионтралснаб 2000-2001 г. (см. приложение 13)
НДС уменьшился на 30,4%.
Савка налога не менялась. Сумма НДС уменьшилась за счет ухудшения расчетов покупателей с организацией, а также снижения количества заказов.
Анализ и оценка налога - источника образования дорожных фондов
Сумма данного налога уменьшилась:
- за счет ставки
- за счет снижения объема производства и расчетов контрагентов с предприятием
- за счет структурных сдвигов в сторону торговли, где налоговая база - торговая наценка. В 2000 году налог на пользователей автомобильных дорог составлял 100%, в 2001 году он составил 81,29%. Данные сравнения представлены в таблице Анализ на пользователей автомобильных дорог ООО Регионтралснаб 2000-2001г. (см. приложение 13).
Анализ налога на доходы физических лиц
Ставка налога на доходы физических лиц в 2001 году увеличилась на 1%, но т.к. производство имеет тенденцию к снижению, зарплата сотрудников была резко снижена, произошло массовое увольнение, соответственно и отчисления в бюджет сократились.
Показатели для сравнения приведены в таблице Анализ налога на доходы физических лиц ООО Регионтралснаб 2000-2001г. (см. приложение 14).
Общие выводы и рекомендации по анализу расчетов с бюджетом ООО Регионтралснаб
По результатам проведенных анализов в общем определенно можно отметить резкое снижение отчислений денежных средств в бюджетные организации. Здесь наблюдается прямая зависимость налоговых поступлений в бюджет от рентабельности предприятия, его устойчивого конкурентоспособного положения.
В целом по расчетам с бюджетом предприятие сработало положительно: не имеет задолженности и соответственно налоговых взысканий, пеней, штрафов и т.п. Все налоги уплачены в соответствии с установленными сроками.
Однако для бюджета такое состояние дел на предприятии не является благополучным и выгодным для всего общества в целом.
В связи с этим рекомендуется:
- на предприятии ввести штатную единицу менеджера;
- пересмотреть систему принятия управленческих решений;
- углубленно изучать конъюнктуру рынка сбыта продукции;
- разработать новые направления в сфере производства и внедрения новых технологий, снижающих себестоимость выпускаемой продукции;
- использование всех доступных способов инвестирования предприятия.
Аудит расчетов с бюджетными фондами
В нашей стране официальной датой рождения аудита считается март 1991 г., когда Учредительным собранием Аудиторской палаты был утвержден ее устав. Поначалу в уставе были даны лишь определение аудита, его организационные формы и его носители.
Так, в уставе говорится, что аудит осуществляемая на договорных началах проверка независимым аудитором или аудиторской организацией правильности ведения бухгалтерского учета, достоверности и полноты финансовой отчетности и ее соответствия на предприятии (любой формы собственности) требованиям действующего законодательства; что аудитор физическое лицо, имеющее определенную квалификацию, необходимый опыт работы и получившее лицензию установленного образца на право занятия аудитом; что аудиторская организация это предприятие, объединяющее аудиторов, предметом деятельности которого является осуществление аудита.
Одной из основных задач аудита является документальная проверка. Методами документальной ревизии устанавливается соответствие первичной бухгалтерской документации истинному содержанию хозяйственных операций.
При этом осуществляется контроль и за соответствием самих операций существующим законам и юридическим подзаконным нормативам.
Особого внимания требуют к себе операции, связанные с налоговым обложением. Зарубежная и наша практика показывает, что в этой области, более чем в какой-либо другой, встречаются злоупотребления (сокрытие или приуменьшение прибыли, просрочки в погашении задолженности бюджету и др.).
Учитывая большое количество видов налогов и других платежей в бюджет, нестабильность и несовершенство налогового законодательства, вопросы правильности начисления налогов и уплаты платежей в бюджет являются наиболее трудоемкими и сложными.
Практика показывает, что далеко не все предприятия правильно начисляют и уплачивают налоги. Во многих случаях налоговые инспекции применяют к нарушителям штрафные санкции.
Общими вопросами, подлежащими проверке при проведении аудита расчетов с бюджетом, являются:
- полнота и правильность определения налогооблагаемой базы;
- правильность применения ставок налогов и других платежей, а также арифметических подсчетов при начислении платежей;
- законность и обоснованность применения льгот при уплате налогов в Федеральный бюджет и бюджеты национально-государственных и административно-территориальных образований РФ;
- полнота и своевременность уплаты платежей в бюджет;
- правильность составления бухгалтерских проводок по начислению и уплате платежей;
- правильность составления и своевременность представления в налоговую инспекцию форм отчетности по видам платежей;
- правильность ведения аналитического и синтетического учета записям в главной книге и балансе предприятия.
Следует помнить, что отражаемые в отчетности суммы по расчетам с финансовыми и налоговыми органами должны быть согласованы с ними и тождественны. Оставление на балансе неотрегулированных сумм по этим расчетам не допускается.4
Внешний аудит - проводится на договорной основе аудиторскими фирмами или индивидуальным аудитором с целью объективной оценки достоверности бухгалтерского учета и финансовой отчетности проверяемого предприятия. Для таких целей предприятия заключают договора с аудиторскими фирмами.
Внутренний аудит - это по сути внутрихозяйственный контроль за складывающимися на предприятии затратами по местам их формирования и центрам ответственности.
В ходе внутренних проверок выявляются конкретные причины допущенных отклонений от нормативных показателей и требований действующего законодательства. Все управленческие службы обеспечиваются информацией , полученной в ходе аудиторских проверок , с тем , чтобы можно было в полной мере использовать ее для исправления допущенных недостатков и улучшения работы.
Внутренний аудит , как правило проводится штатными сотрудниками самого предприятия.
Так как расчеты по начислению налогов и их перечислению в бюджет являются довольно трудоемкими, в бухгалтерском учете для этих целей используется счет 68 Расчеты с бюджетом. Аналитический учет по счету 68 ведется по видам налогов. К счету 68 могут быть открыты следующие субсчета:
Расчеты по подоходному налогу;
Расчеты по прибыли;
Расчеты по НДС;
Расчеты по налогу на имущество;
Расчеты по налогу на содержание жилищного фонда и объектов социально-культурной сферы;
Расчеты по налогу на рекламу;
Расчеты по транспортному налогу и др.
Аудитор прежде всего должен установить, по каким платежам и налогам предприятие ведет расчеты с бюджетом. По каждому налогу необходимо определить правильность:
исчисления налогооблагаемой базы;
применения ставок налогов и платежей;
расчетов сумм налогов;
применения льгот при расчете и уплате налогов;
полноты и своевременности уплаты платежей в бюджет;
составления бухгалтерских проводок по начислению и уплате налогов и платежей;
составления и своевременности представления в налоговую инспекцию отчетности по видам налогов и платежей;
ведения аналитического и синтетического учета по счету 68 Расчеты с бюджетом.
Для проверок необходимо иметь в распоряжении нормативную базу (инструкции, положения, ставки налогов и др.) либо в компьютере (информационно-справочные системы типа Гарант, Консультант-плюс и др.), либо в виде справочников и специальных таблиц. Это значительно сокращает трудоемкость проверок.
Синтетический учет по счету 68 Расчеты с бюджетом ведется в журнале-ордере 8, а аналитический (по видам налогов и платежей) в ведомости 7 или на карточках (при журналъно-ордерной форме учета).
Аудитору также следует проверить отражение расчетов с бюджетом по налогам в отчетных формах: балансе (ф. 1), отчете о финансовых результатах (ф. 2). Так, в балансе (ф.
1) дебиторская задолженность показывается по стр. 236 (прочие дебиторы), а кредиторская задолженность по стр. 626 (задолженность перед бюджетом).
В отчете о финансовых результатах (ф. 2) по стр.
150 проверяется, как отражен налог на прибыль.
Проверяя правильность налоговых выплат в бюджет, аудитору должен убедиться в достоверности показателя по объекту налогооблажения , точности расчетов налогооблагаемой базы и соблюдению ставок налога с учетом различных видов бюджета, а так же по источнику, за счет которого осуществляется выплата налога.
Аудит налога на прибыль
Налог на прибыль - один из основных источников поступления средств в бюджет путем государственного изъятия части чистого дохода у предприятий, объединений, организаций, учреждений, которые самостоятельно, либо через входящие в их структуру коммерческие хозрасчетные единицы, либо в порядке договора с иными предприятиями осуществляют хозяйственную или любую другую коммерческую деятельность. Аудитору необходимо четко знать статус налогоплательщика налога на прибыль, характер и виды его основной деятельности , наличие внутренних и обособленных подразделений и деловых партнеров.
При аудиторской проверке правильности исчисления и уплаты налога на прибыль следует вначале убедиться в том, что налогооблагаемая сумма прибыли исчислена правильно, т.е. себестоимость реализованного продукта не искажена и тем самым не внесены искажения в прибыль от реализации, а также в том, что правильно определены результаты от прочей реализации и доходы и расходы от внереализационных операций.
Аудитор при проверке базы налогообложения обязан прежде всего убедиться в правильности учета валовой прибыли, а затем той ее части, которая непосредственно облагается налогом. Следовательно первая операция которую необходимо провести аудитору, в этой связи, заключается в сопоставлении идентичности балансовых данных о прибыли с ее учетом в главной книге, журналах - орденах, машинограмах по счету 99 (прибыль и убытки) и по отчету о финансовых результатах и их использовании.
При анализе фактической прибыли необходимо иметь доказательства достоверности всех бухгалтерских записей как по кредиту счетов раздела IV Готовая продукция, так и по дебету этих счетов. От правильности отражения в учете выручки от реализации , затрат производства и издержек обращения зависит точность определения валовой прибыли, которая слагается из прибыли от реализации продукции , основных средств , иного имущества плюс доходы от внереализационных операций за вычетом расходов по последним операциям.
По налогу на прибыль установлен ряд льгот, которые применяются только в зависимости от фактических произведенных затрат и расходов.
Аудитору следует проверить правильность льгот. Основные из них связаны с использованием труда инвалидов и пенсионеров; с осуществлением капитальных затрат на природноохранные мероприятия с затратами на содержание объектов здравохранения, дошкольных учреждений, объектов культуры и спорта, образования , с благотворительностью; проведение научно - технических работ ; с развитием малого бизнеса и др.
Налоги, служащие источниками образования дорожных фондов
Для расчета налога на имущество определяется среднегодовая стоимость имущества за отчетный период:

,
где И1,И2,И3,И4 - стоимостная оценка имущества организации по составлению соответственно на 01.01,01.04,01.07,01.09 отчетного периода;
И11 - стоимостная оценка имущества организации по составлению на 01.01 года, следующего за отчетным. Налог на имущество рассчитывается ежеквартально:

,
где Нимi-1 - налог на имущество за i, i -1- й период;
Н имi - среднегодовая стоимость имущества в i-м периоде;
Сим - ставка налога на имущество, %
Учет налога на имущество ведется на счете 68 Расчеты с бюджетом по налогу на имущество. Налог на имущество включается в состав внереализованных расходов организаций (дебет счета 99 Прибыль и убытки кредит 68 (им)).
Рассмотрим пример расчета налога на имущество 000 Регионтралснаб:
1) Для расчета по налогу на имущество высчитывается среднегодовая стоимость имущества предприятия по указанной выше формуле: складываются остатки по счетам O01 + О03 - О02 + О04 - O05 + О10 + О31(97) = 27 147 - 15 476 + 7 856 - 1 181+ 42 906 + 6 075 = 67 327 руб. - налогооблагаемая база
Среднегодовая стоимость облагаемого налогом имущества за отчетный период (9 мес)

,
2) Рассчитывается налог на имущество предприятия за отчетный период - 9 месяцев :
Среднегодовая стоимость облагаемого налогом на имущества за отчетный период х установленную ставку налога ^ сумма по налогу на имущество по расчету за отчетный период
Ставка налога 2%, 43 980руб. х 2% = 880 руб.
Сумма, причитающаяся к уплате в бюджет налога на имущество по сроку = сумма по налогу на имущество по расчету за отчетный период - начисление в бюджет за прошлый отчетный период
880 руб.- 532 руб. = 348 руб.
Формы по расчету налога на имущество предложены в приложении 2.
Налоги, служащие источниками образования дорожных фондов
В соответствии с Законом РФ от 18.10.91 N 1759-1, Инструкцией МНС России от 04.04.2000 N 59) целевые внебюджетные средства дорожных фондов образуются за счет:
налога на реализацию горюче-смазочных материалов (до 01.01.2001);
налога на пользователей автомобильных дорог;
налога с владельцев транспортных средств;
налога на приобретение автотранспортных средств (кроме приобретаемых гражданами в личное пользование легковых автомобилей) (до 01.01.2001);
сбора за проезд автотранспортных средств, зарегистрированных на территории иностранных государств, по автомобильным дорогам Российской Федерации.
Порядок исчисления и уплаты налога на пользователей автомобильных дорог: при уступке права (требования) у продавца продукции (товаров, работ, услуг), уступающего право (требование), выручка от реализации товаров (продукции, работ, услуг) определяется в соответствии с учетной политикой - по мере отгрузки товаров (отгрузки продукции, выполнения работ, оказания .услуг) и предъявления покупателю (заказчику) расчетных документов (или иному моменту перехода права собственности на товары, продукцию) или по мере ее оплаты (в момент погашения дебиторской задолженности, числившейся за покупателем).
При учетной политике по оплате у продавца товаров (продукции, работ, услуг) в момент уступки права (требования) возникает выручка от реализации ранее проданных (поставленных) им товаров (продукции, работ, услуг).
Для целей налогообложения размер выручки от реализации товаров (продукции, работ, услуг) определяется исходя из договорных отношений и первичных документов, оформленных с покупателем товаров (продукции, работ, услуг), и не зависит от договорной стоимости уступаемого права (требования).
У лица, приобретающего право (требование) и затем реализующего его (в т.ч. дебитору), указанное право (требование) рассматривается как финансовое вложение.1
Таблица 1.3
|
НАЛОГ НА ПОЛЬЗОВАТЕЛЕЙ АВТОМОБИЛЬНЫХ ДОРОГ |
|
1 |
2 |
3 |
4 |
5 |
|
Платель-щики |
Объект
налогооб- |
Ставка налога, зачисляемого в |
Источник
уплаты |
Срок
уплаты |
|
ложения |
|
территориальные дорожные фонды субъектов РФ |
|
|
|
юридические лица
|
выручка, полученная от реализации продукции(работ,услуг),сумма разницы между продажной и покупной ценами товаров, реализованных в результате заготовительной, сбытовой и торговой деятельности |
|
1,0% |
сумма налоговых платежей включается в состав затрат по производству и реализации продукции (работ, услуг) |
1 раз в месяц
1 раз в квартал |
Размер налога на пользователей автомобильных дорог (Ндор) рассчитывается:

,
где В - выручка от реализации продукции, работ, услуг, руб;
НДС - налог на добавленную стоимость, руб;
А - акциз (по организациям - производителям подакцизных товаров),руб;
ЭП - экспортные пошлины (по экспорту),руб;
ЛС - лицензионные сборы за производство, розлив, хранение алкогольной продукции, руб;
Н - процентные надбавки к розничным ценам на радиоприемники и телевизоры, руб;
Сдор - ставка налога на пользователей автомобильных дорог,%
Для заготовительных, торгующих и снабженческо - сбытовых организаций размер налога определяется по формуле:

,
где Спрод, Спок - соответственно продажная и покупная цена товаров, руб;
НДС - налог на добавленную стоимость, исчисленный от разницы реализованных товаров, руб. Сумма платежей по налогу на пользователей автомобильных дорог включаемая в состав затрат по производству и реализации продукции, работ, услуг, учитывается на дебетах счетов 26 Общехозяйственные расходы, 44 Расходы на продажу и кредите счета 68 Расчеты с бюджетом по налогу на пользователей автодорогами.2
Пример расчета по налогу на пользователей автомобильными дорогами в части территориального дорожного фонда 000 Регионтралснаб:
1) Выручка от реализации продукции (работ, услуг) рассчитывается с учетом положений Инструкции. Выручка от реализации по производству - это общая сумма оплаченных счетов без НДС, она составляет 114733руб.,
ставка налога 1 %
Сумма отчисляемого в бюджет налога =
= Сумма оплаченных счетов без НДСх1% = 44 733 х 1% = 1147 руб.
2) Сумма разницы между продажной и покупной ценами товаров, реализованных в результате заготовительной, снабженческо - сбытовой и торговой деятельности , рассчитывается с учетом положений Инструкции.
Продажная цена - покупная цена = наценка
187 486 руб - 158 995 руб.= 26 390
Сумма, отчисляемого в части территориального дорожного фонда, налога = Наценка х 1% = 26 390х1% = 264 руб.
Форма с расчетом по налогу на пользователей автомобильных дорог представлена в приложении 3.
Налогом с владельцев транспортных средств (Нвл) облагаются транспортные средства, находящиеся в собственности организации. Ставки налога зависят от вида и мощности транспортного средства.
Суммы платежей по налогу с владельцев транспортных средств включаются в затраты .на производство: дебет счета 26 Общехозяйственные расходы, кредит 68 Расчеты с бюджетом по налогу с владельцев транспортных средств Уплачивается один раз в год не позднее срока регистрации.
000 Регионтралснаб отчисления по налогу с владельцев транспортных средств не производит, так как не является собственником транспортных средств.
Налог на прибыль
Взимается на всей территории РФ. Прибыль представляет собой финансовый результат деятельности предприятия. Рассчитанная в соответствии с установленным порядком, прибыль является налоговой базой для исчисления налога на прибыль.
Налогом на прибыль облагается валовая прибыль предприятия, уменьшенная (увеличенная) в соответствии с положениями, предусмотренными Инструкцией.3 Валовая прибыль представляет собой сумму прибыли (убытка) от реализации продукции (работ, услуг), основных фондов (включая земельные участки), иного имущества предприятия и доходов внереализационных операций, уменьшенных на сумму расходов по этим операциям.
Прибыль от реализации продукции:
Пр = В - НДС - А - 3,
где В - выручка от реализации продукции, работ, услуг;
НДС - налог на добавленную стоимость;
А- акцизы;
3 - затраты на производство продукции, работ, услуг.
Перечень затрат, включаемых в себестоимость продукции (работ, услуг), и порядок формирования финансовых результатов, учитываемых при расчете налогооблагаемой прибыли, определяются Федеральным Законом.
Если многопрофильное предприятие имеет несколько видов деятельности, по которым установлены разные ставки налога, то его исчисление производится от прибыли, получаемой от каждого вида деятельности, по соответствующим ставкам, независимо от результатов деятельности в целом по предприятию. При этом расчеты по налогу на прибыль представляются отдельно.
Для целей налогообложения валовая прибыль подлежит корректировке:
Пкорвал = Пвал - Пост- Ппер + Зсв + Ибез+ Упр + Уцб+ Увнр,
где Пост - прибыль в остатках отгруженной, но не оплаченной продукции, если моментом реализации является оплата;
Ппер - прибыль полученная от перерасчета выручки при реализации, обмене и безвозмездной передаче продукции (работ, услуг) по цене не выше фактической себестоимости;
Зев - сверхнормативные затраты;
Ибез - себестоимость безвозмездно полученного имущества;
Упр - убытки от прочей реализации;
Уцб - разница между рыночной ценой с учетом предельных границ её колебаний и фактической ценой реализации ценных бумаг;
Увир - убытки от внереализационных операций.
Поскольку валовая прибыль организации определена по моменту реализации отгрузка, то в случае, если для целей налогообложения моментом реализации принята оплата, необходимо валовую прибыль откорректировать (уменьшить) на прибыль в остатках отгруженной, но не оплаченной продукции, выполненных работ, оказанных услуг. Пересчет прибыли производится в том случае, если организация осуществляет реализацию товаров, работ, услуг по ценам не выше себестоимости.
Валовую прибыль для целей налогообложения необходимо корректировать (увеличивать) на все виды расходов, не отраженных в перечне внереализационных расходов Положения о финансовых результатах деятельности организации.
Прибыль, облагаемая налогом (Побл), рассчитывается следующим образом:
Побл = Пкорвал - Дцб - Дуч -Пп- Л
Дцб - доходы по акциям и государственным ценным бумагам;
Дуч - доходы от долевого участия;
Пп - прибыль от посреднических операций;
Л - льготы по налогу на прибыль.
Доходы по акциям, государственным ценным бумагам, от долевого участия, от посреднических операций исключаются из балансовой прибыли, так как облагаются налогом по ставкам, отличными от общей ставки налога на прибыль. Льготы, исключаемые из облагаемой прибыли (Л), определяются в соответствии с Законом О налоге на прибыль, при этом общая сумма льгот не должна превышать 50% налога на прибыль, исчисленного без учета льгот.
Расчет фактической суммы налога на прибыль производится ежеквартально нарастающим итогом с начала года:

где Нприбк - сумма налога на прибыль в рассчитываемом к-квартале (месяце), руб;

- размер облагаемой прибыли по всем кварталам (месяцам) с начала года до рассчитываемого,руб;
Сприб - ставка налога на прибыль, %;

- сумма налога на прибыль, исчисленная с начала года по всем кварталам (месяцам), предшествующим расчетному.
При ежеквартальной уплате налога на прибыль предприятие должно платить авансовые платежи до 15-го числа каждого месяца в размере одной трети планируемой суммы налога на прибыль на квартал. Организации представляют в налоговую инспекцию до первого числа квартала справку о планируемой прибыли на квартал.
Если при квартальных расчетах возникает разница между суммой налога, подлежащей внесению в бюджет по фактически полученной прибыли, и авансовыми платежами налога в течение квартала, то производятся дополнительные расчеты по налогу на прибыль. Если фактическая сумма налога больше суммы авансовых платежей, то возникающая разница облагается дополнительным налогом (Ндоп):
где Нфпр - фактическая сумма налога на прибыль;
Навпр - сумма авансовых платежей налога в течение квартала (но не больше суммы, указанной в справке);
Суч - учетная ставка.
Если фактическая сумма налога меньше суммы авансовых платежей, то по возникающей разнице появляется долг бюджета
где Дб - сумма, подлежащая возврату из бюджета.
Учет налога на прибыль ведется на счетах : дебет 99 Прибыль и убытки, кредит 68 Расчеты по налогу на прибыль предприятия. В соответствии с действующими нормативными документами бухгалтерская отчетность составляется исходя из принципа временной определенности фактов хозяйственной деятельности, согласно которому продукция считается реализованной после перехода права собственности на нее к покупателю (т. е. по моменту ее отчуждения или, как принято говорить, по отгрузке).
Составление расчета по налогу на прибыль 000 Регионтралснаб:
1. По строке 1 показывается валовая прибыль предприятия, т. е. сумма прибыли, выявленная в виде сальдо по счету 99 Прибыли и убытки (с учетом корректировки ) - 2 883 руб.
Данная сумма берется из строки 6 Справки к Расчету налога от фактической прибыли (6 607 руб. - 3 724 руб.)
2. По строке 2 отражаются доходы, подлежащие исключению из валовой прибыли в соответствии с п.4 Инструкции Госналогслужбы РФ 37. В нашем примере отсутствуют.
3. По строке 3 отражаются льготы по налогу на прибыль в части прибыли, не подлежащей налогообложению согласно п. 4.6 Инструкции. В нашем примере отсутствуют.
4. По строке 4 отражаются сумма льгот по налогу на прибыль в соответствии с п. 4.1, 4.3, 4.4, 4.5 Инструкции и нормативным правовым актам. При этом предприятием в качестве приложения к Расчету по налогу на прибыль при заполнении строки 4 должен быть составлен специальный расчет указанных льгот.
5. По строке 5 отражается сумма налогооблагаемой прибыли (строка 1 - строка 2 - строка 3 - строка 4 -расчета по налогу на прибыль): 2 883 руб.
6. По строке 6 указывается ставка налога на прибыль всего в %: 35%, в том числе: а) в федеральный бюджет - 11 %
б) в бюджеты республик в составе РФ, краев и т.д. - 19%
в) в бюджеты районов, городов, поселков и т.д. - 5%
7. По строке 7 показывается сумма налога на прибыль всего - 1009 руб., в том числе: - в федеральный бюджет - 317 руб. (стр.5 х стр. 6 а) :100
- в бюджеты республик в составе РФ, краев и т.д. - 548руб. (стр.5 х стр. 6 б): 100
- в бюджеты районов, городов, поселков и т.д. - 144 руб. (стр.5 х стр. 6 в) : 100
8. В строке 8 записывается сумма арендной платы (за вычетом амортизационных отчислений (износа)), подлежащей взносу в бюджет и исключаемой из налога на прибыль. Эта строка заполняется только арендными предприятиями, арендующими государственное имущество.
В нашем примере отсутствует.
9. По строке 9 показывается сумма налога на прибыль, начисленная в бюджет за отчетный период (за 9 месяцев 2001г.) (строка 7 - строка 8) (данные строки 9 совпадают с данными строки 7):
10. По строке 10 отражается сумма начисленных в отчетном периоде в бюджет платежей по налогу на прибыль, т. е. сумма налога от фактической прибыли, начисленная по расчету за 6 месяцев 2001г. - 341 руб., в том числе:
в федеральный бюджет - 107руб.
в бюджеты республик в составе РФ, краев и т.д. - 185 руб. в бюджеты районов, городов, поселков и т.д. - 49 руб.
11. По строкам 11и 12 показывается сумма налога на прибыль, подлежащая доплате в бюджет (либо возврату из бюджета) по итогам отчетного периода, т. е. (строка 9 - строка 10): в нашем случае к доплате по сроку на 03.11.2001
-в федеральный бюджет -210руб.
-в бюджеты республик в составе РФ, краев и т.д. - 363 руб. в бюджеты районов, городов, и поселков и т.д. - 95 руб.
Форма расчета налога прибыль, а также справка и отчеты представлены в приложении 4.
Следует отметить, что в связи с вступлением с 1 января 2002 года главы 25 НК РФ нормативными будут являться два метода определения доходов и расходов для исчисления налога на прибыль:
А) метод начислений - доходы учитываются в том периоде, в котором они были получены, а расходы -когда они были произведены. Данный метод во многом схож с методом определения выручки по отгрузке.
Б) кассовый метод - его особенностью является то, что доходы (расходы) учитываются для целей налогообложения в том периоде, в котором они были фактически получены (оплачены).
С начала 2002 года на предприятиях кроме бухгалтерского учета ( по отгрузке), необходимо вести налоговый учет с использованием регистров для исчисления налоговой базы налога на доходы.
В следствие этого с 2002 года в 000 Регионтралснаб была принята учетная политика для целей налогообложения ( в разрезе 25 главы) по методу начисления.
Таблица 1.4
|
взимаются на всей территории Российской Федерации |
НАЛОГ НА ПРИБЫЛЬ ОРГАНИЗАЦИЙ
(в соответствии с главой 25 Налогового кодекса Российской Федерации) |
|
1 |
2 |
3 |
4 |
5 |
|
Плательщики |
Объект налого-обложения |
Налоговая база |
Налоговый период |
Сроки уплаты |
российские организации;
иностранные организации, осуществляющие свою деятельность в Российской Федерации через постоянные представитель-ства и (или) получающие доходы от источников в Российской Федерации. |
прибыль, полученная налогоплательщиком |
денежное выражение прибыли, определяемой в соответствии со статьей 247 Кодекса, подлежащей налогообложению |
Календар-ный год
Отчетный период
первый квартал, полугодие и девять месяцев календарного года |
налог уплачивается не позднее срока, установленного для подачи налоговых деклараций за соответствующий налоговый период статьей 289 Кодекса.
См. также: порядок исчисления налога и авансовых платежей; сроки и порядок уплаты налога и налога в виде авансовых платежей; особенности исчисления и уплаты налога налогоплательщиком, имеющим обособленные подразделения |
Продолжение таблицы 1.4
|
Размер |
в том числе зачисляемой: |
|
ставки, всего (%) |
в федеральный бюджет |
в бюджеты субъектов РФ * |
в местные бюджеты |
|
24 |
7,5 |
14,5 |
2,0 |
Законодательные (представительные) органы субъектов Российской Федерации вправе снижать для отдельных категорий налогоплательщиков налоговую ставку в части сумм налога, зачисляемых в бюджеты субъектов Российской Федерации. При этом указанная ставка не может быть ниже 10,5%.
Налог (сбор) на целевое содержание милиции
Устанавливается законодательными актами субъектов РФ и органов местного самоуправления также в соответствии с Законом РФ Об основах налоговой системы. Он действует на территории соответствующих городов, районов в городах и сельской местности.
Таблица 1.5
|
предельные размеры ставок определены законодательством РФ |
|
взимаются по решению органов местного самоуправления |
|
ЦЕЛЕВЫЕ СБОРЫ НА СОДЕРЖАНИЕ МИЛИЦИИ, НА БЛАГОУСТРОЙСТВО ТЕРРИТОРИИ, НА НУЖДЫ ОБРАЗОВАНИЯ И ДРУГИЕ ЦЕЛИ (в соответствии с Законом РФ от 27.12.91 N 2118-1, письмом Комиссии Совета республик ВС РФ по бюджету, планам, налогам и ценам, МФ РФ, ГНС РФ от 04.06.92. N 5-1/693; 4-5-20; ИЛ-6-04/176) |
|
1 |
2 |
3 |
4 |
5 |
|
Плательщики |
Объект налогообложения |
Ставка (на все виды целевых сборов по совокупности) |
Источник
уплаты |
Срок уплаты |
|
юридические лица |
фонд оплаты труда |
не более 3% от годового фонда оплаты труда, рассчитанного исходя из установленного законом размера МРОТ в год |
финансовые результаты |
устанавливается представительным и органами власти |
|
физические лица |
|
не более 3% от 12-ти кратного МРОТ в год |
средства физических лиц |
|
Учет налога (сбора) на содержание милиции включается в состав операций расходов (дебет счета 91/2 Прочие расходы кредит счета 68 Расчеты с бюджетом по налогу (сбору) на содержание милиции.
Пример расчета целевого сбора на содержание милиции 000 Регионтралснаб:
1) Используя табель, рассчитывается среднесписочная численность работающих за отчетный период (Постановление Госкомстата РФ от 07.12.98 121, Инструкция от 17.09.87 17-10-03-70 утверждена с 01.01.99):
Средняя численность занятых работников за отчетный период (число отработанных человекодней делится на число рабочих дней по календарю в отчетном месяце).
2) Высчитывается фонд заработной платы :
МРОТ х среднесписочная численность работников в отчетном периоде х кол- во месяцев отчетного периода МРОТ - 100 руб ( с 1 июля 2001 Федеральный Закон от 19.06.2000 82 -ФЗ)
ФЗП = 10Оруб х 4 х 9 мес = 3 600 руб
3) ставка целевого сбора 3%, исчисленная сумма сбора

Бланк расчета целевого сбора на содержание милиции представлен в приложении 5.
Налог на доходы физических лиц
Взимается на всей территории Российской Федерации. Налог на доходы физических лиц перечисляется в бюджет в виде удержанных сумм в соответствии с настоящим законодательством.
Учитывается на дебете 70 Расчеты с персоналом по оплате труда, кредите 68 Налог на доходы физических лиц.
Таблица 1.6
НАЛОГ НА ДОХОДЫ ФИЗИЧЕСКИХ ЛИЦ
(в соответствии с главой 23 Налогового кодекса Российской Федерации)
с 1 января 2002 года |
|
1 |
2 |
3 |
4 |
5 |
|
Налогоплатель-щики |
Объект налого-обложения |
Налоговая база |
Налоговый период |
Срок уплаты: |
|
физические лица, являющиеся налоговыми резидентами Российской Федерации |
доход, полученный от источников в Российской Федерации и (или) от источников за
пределами Российской Федерации |
определяется отдельно по каждому виду доходов, в отношении которых установлены различные налоговые ставки: |
календар-ный год |
налого-
выми агентами;
индивидуальными предпри-нимателями и другими лицами, занимаю-щимися частной практикой; |
|
физические лица, получающие доходы от источников, расположенных в Российской Федерации, не являющиеся налоговыми резидентами Российской Федерации |
доход, полученный от источников в Российской Федерации |
при получении доходов в натуральной форме;
при получении доходов в виде материальной выгоды;
по договорам страхования и договорам негосударственного пенсионного обеспечения;
доходы от долевого участия в организаций;
доходы отдельных категорий иностранных граждан. |
|
в отношении отдельных видов доходов. |
Продолжение таблицы 1.6
|
Виды дохода |
Ставка налога, % |
|
Доходы, за исключением приведенных ниже |
13 |
|
|
|
Стоимость любых выигрышей и призов, получаемых в проводимых конкурсах, играх и других мероприятиях в целях рекламы товаров, работ и услуг, в части превышения размеров, указанных в пункте 28 статьи 217 Налогового Кодекса Российской Федерации |
35 |
|
|
|
Страховые выплаты по договорам добровольного страхования в части превышения размеров, указанных в пункте 2 статьи 213 Налогового Кодекса Российской Федерации |
35 |
|
|
|
Процентные доходы по вкладам в банках в части превышения суммы, рассчитанной исходя из трех четвертых действующей ставки рефинансирования Центрального банка Российской Федерации, в течение периода, за который начислены проценты, по рублевым вкладам (за исключением срочных пенсионных вкладов, внесенных на срок не менее шести месяцев) и 9% годовых по вкладам в иностранной валюте, а также процентные доходы по срочным пенсионным вкладам, внесенным до 1 января 2001 года на срок не менее шести месяцев, в части превышения суммы, рассчитанной исходя из действующей ставки рефинансирования Центрального банка Российской Федерации, в течение периода, за который начислены проценты |
35 |
|
|
|
Сумма экономии на процентах при получении налогоплательщиками заемных средств в части превышения размеров, указанных в пункте 2 статьи 212 Налогового Кодекса Российской Федерации |
35 |
|
|
|
Доходы, получаемые физическими лицами, не являющимися налоговыми резидентами Российской Федерации |
30 |
|
|
|
Доходы от долевого участия в деятельности организаций, полученные в виде дивидендов |
6 |
Налоги: Налогообложение - Аудит - Консалтинг - Банкротство