Математический редактор MathCAD
Нормальное (Гауссово) распределение
14.1.1. Нормальное (Гауссово) распределениеВ теории вероятности доказано, что сумма различных независимых случайных слагаемых (независимо от их закона распределения) оказывается случайной величиной, распределенной согласно нормальному закону (т. н. центральная предельная теорема). Поэтому нормальное распределение хорошо моделирует самый широкий круг явлений, для которых известно, что на них влияют несколько независимых случайных факторов.
Перечислим встроенные функции, имеющиеся в Mathcad для описания нормального распределения вероятностей:
Равномерное распределение
14.1.2. Равномерное распределениеСамое простое распределение случайной величины — это распределение с постоянной вероятностью. Вероятность p=const=1/ (b-a) при хе(а,b) и P=0, для х вне интервала (а,Ь). Эту плотность вероятности, наряду с прочими статистическими характеристиками, задают следующие встроенные функции:
Биномиальное распределение
14.1.3. Биномиальное распределениеПриведем встроенные функции, описывающие еще одно распределение случайной величины, которая, в отличие от двух предыдущих, является не непрерывной, а может принимать лишь дискретные значения. Биномиальное распределение описывает последовательность независимых испытаний, каждое из которых может приводить к генерации определенного события с постоянной вероятностью р.
Другие статистические распределения
14.1.4. Другие статистические распределенияКак легко заметить по рассмотренным трем распределениям, Mathcad имеет четыре основные категории встроенных функций. Они различаются написанием их первой литеры, а оставшаяся часть имени функций (ниже в списке функций она условно обозначена звездочкой) идентифицирует тот или иной тип распределения.
Перечислим все типы распределения, реализованные в Mathcad, вместе с их параметрами, на этот раз обозначив звездочкой * недостающую первую букву встроенных функций. Некоторые из плотностей вероятности показаны на рис. 14.7.
Случайные величины
14.1. Случайные величиныДля моделирования различных физических, экономических и прочих эффектов широко распространены методы, называемые методами Монте-Карло. Их основная идея состоит в создании определенной последовательности случайных чисел, моделирующей тот или иной эффект, например, шум в физическом эксперименте, случайную динамику биржевых индексов и т. п. Для этих целей в Mathcad имеется ряд встроенных функций, реализующих различные типы генераторов псевдослучайных чисел.
Согласно определению, случайная величина принимает то или иное значение, но какое конкретно, зависит от случайных обстоятельств опыта и заранее точно предсказано быть не может. Можно лишь говорить о вероятности P(Xк) принятия случайной дискретной величиной того или иного значения хк, или о вероятности попадания непрерывной случайной величины в тот или иной числовой интервал (х,х+dх). Вероятность Р(ХК) или P(X) (dх), соответственно, может принимать значения от о (такое значение случайной величины совершенно невероятно) до i (случайная величина заведомо примет значение от х до х+dх). Соотношение Р(ХК) называют законом распределения случайной величины, а зависимость P(х) между возможными значениями непрерывной случайной величины и вероятностями попадания в их окрестность называется ее плотностью вероятности (probability density).
В Mathcad имеется ряд встроенных функций, задающих используемые в математической статистике законы распределения. Они вычисляют как значение плотности вероятности различных распределений по значению случайной величины х, так и некоторые сопутствующие функции. Все они, по сути, являются либо встроенными аналитическими зависимостями, либо специальными функциями. Большой интерес представляет наличие генераторов случайных чисел, создающих выборку псевдослучайных данных с соответствующим законом распределения. Рассмотрим подробно возможности Mathcad на нескольких наиболее популярных законах распределения, а затем приведем перечень всех распределений, встроенных в Mathcad.
Построение гистограмм
14.2.1. Построение гистограммГистограммой называется график, аппроксимирующий по случайным данным плотность их распределения. При построении гистограммы область значений случайной величины (а,b> разбивается на некоторое количество bin сегментов, а затем подсчитывается процент попадания данных в каждый сегмент. Для построения гистограмм в Mathcad имеется несколько встроенных функций. Рассмотрим их, начиная с самой сложной по применению, чтобы лучше разобраться в возможностях каждой из функций.
Среднее значение и дисперсия
14.2.2. Среднее значение и дисперсияВ Mathcad 11 имеется ряд встроенных функций для расчетов числовых статистических характеристик рядов случайных данных.
Генерация коррелированных случайных чисел
14.2.3. Генерация коррелированных случайных чиселДо сих пор мы рассматривали наиболее простой случай применения генераторов независимых случайных чисел. В методах Монте-Карло часто требуется создавать случайные числа с определенной корреляцией. Приведем пример программы, создающей два вектора x1 и х2 одинакового размера и одним и тем же распределением, случайные элементы которых попарно коррелированы с коэффициентом корреляции R (листинг 14.12).
Ковариация и корреляция
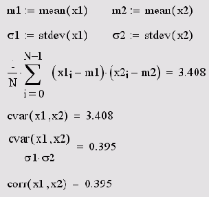
14.2.4. Ковариация и корреляцияФункции, устанавливающие связь между парами двух случайных векторов, называются ковариацией и корреляцией (или, по-другому, коэффициентом корреляции). Они различаются нормировкой, как следует из их определения (листинг 14.13).
Коэффициенты асимметрии и эксцесса
14.2.5. Коэффициенты асимметрии и эксцессаКоэффициент асимметрии задает степень асимметричности плотности вероятности относительно оси, проходящий через ее центр тяжести. Коэффициент асимметрии определяется третьим центральным моментом распределения. В любом симметричном распределении с нулевым математическим ожиданием, например нормальным, все нечетные моменты, в том числе и третий, равны нулю, поэтому коэффициент асимметрии тоже равен нулю.
Степень сглаженности плотности вероятности в окрестности главного максимума задается еще одной величиной — коэффициентом эксцесса. Он показывает, насколько острую вершину имеет плотность вероятности по сравнению с нормальным распределением. Если коэффициент эксцесса больше нуля, то распределение имеет более острую вершину, чем распределение Гаусса, если меньше нуля, то более плоскую.
Для расчета коэффициентов асимметрии и эксцесса в Mathcad имеются две встроенные функции.
Другие статистические характеристики
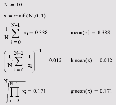
14.2.6. Другие статистические характеристикиВ предыдущих разделах были рассмотрены встроенные функции, рассчитывающие наиболее часто используемые статистические характеристики выборок случайных данных. Иногда в статистике встречаются и иные функции, например, помимо арифметического среднего, применяются другие средние значения.
Действие статистических функций на матрицы
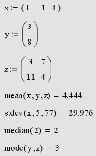
14.2.7. Действие статистических функций на матрицыВсе рассмотренные примеры работы статистических функций относились к векторам, элементы которых были случайными числами. Но точно так же все эти функции применяются и по отношению к выборкам случайных данных, сгруппированных в матрицы. При этом статистические характеристики рассчитываются для совокупности всех элементов матрицы, без разделения ее на строки и столбцы. Например, если матрица имеет размерность MXN, то и объем выборки будет равен M-N.
Соответствующий пример вычисления среднего значения приведен в листинге 14.16. В его первой строке определяется матрица данных х размера 4x2. Действие встроенной функции mean матричного аргумента (последняя строка листинга) иллюстрируется явным суммированием элементов матрицы х (предпоследняя строка). Действие прочих встроенных функций на матрицы совершенно аналогично действию их на векторы (листинг 14.17).
Статистические характеристики
14.2. Статистические характеристикиВ большинстве статистических расчетов Вы имеете дело либо со случайными данными, полученными в ходе какого-либо эксперимента (которые выводятся из файла или печатаются непосредственно в документе), либо с результатами генерации случайных чисел, рассмотренными в предыдущих разделах встроенными функциями, моделирующими то или иное явление методом Монте-Карло. Рассмотрим возможности Mathcad по оценке функций распределения и расчету числовых характеристик случайных данных.
Случайные процессы
14.3. Случайные процессыВстроенные функции для генерации случайных чисел создают выборку из случайных данных АХ. Часто требуется создать непрерывную или дискретную случайную функцию A(t) одной или нескольких переменных (случайный процесс или случайное поле), значения которой будут упорядочены относительно своих переменных Создать псевдослучайный процесс можно способом, представленным в листинге 14 19
Интервальная оценка дисперсии
14.4.1. Интервальная оценка дисперсииТребуется определить числовой интервал (L,U), внутри которого будет лежать с вероятностью 1-сс=75% дисперсия нормальной случайной величины, исходя из объема выборки в N чисел. Эта задача решается в статистике с помощью х2-распределения (листинг 14.21).
Проверка статистических гипотез
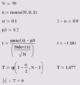
14.4.2. Проверка статистических гипотезВ статистике рассматривается огромное число задач, связанных с проверкой тех или иных гипотез н. Разберем пример простой гипотезы. Пусть имеется выборка N чисел с нормальным законом распределения и неизвестными дисперсией и математическим ожиданием. Требуется принять или отвергнуть гипотезу н о том, что математическое ожидание закона распределения равно некоторому числу m0=0.2.
Задачи проверки гипотез требуют задания уровня критерия проверки гипотезы а, который описывает вероятность ошибочного отклонения истинной н. Если взять а очень малым, то гипотеза, даже если она ложная, будет почти всегда приниматься; если, напротив, взять а близким к 1, то критерий будет очень строгим, и гипотеза, даже верная, скорее всего, будет отклонена. В нашем случае гипотеза состоит в том, что цо=о.2, а альтернатива — что m0=0.2. Оценка математического ожидания, как следует из курса классической статистики, решается с помощью распределения Стьюдента с параметром N-1 (этот параметр называется степенью свободы распределения).
Для проверки гипотезы (листинг 14.22) рассчитывается (а/2) — квантиль распределения Стьюдента т, который служит критическим значением для принятия или отклонения гипотезы. Если соответствующее выборочное значение t по модулю меньше т, то гипотеза принимается (считается верной). В противном случае гипотезу следует отвергнуть.
Диалоговое окно Insert Function
Диалоговое окно Insert Function
Гистограмма распределения Вейбулла (листинг 14.10)
Гистограмма распределения Вейбулла (листинг 14.10)
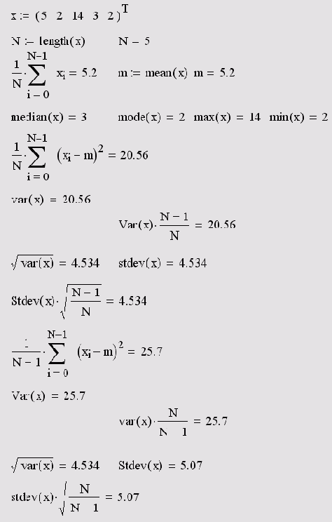
Определение статистических характеристик случайных величин приведено в листинге 14.11 на еще одном примере обработки выборки малого объема (по пяти данным). В том же листинге иллюстрируется применение еще двух функций, которые имеют смысл дисперсии и стандартного отклонения в несколько другой нормировке. Сравнивая различные выражения, Вы без труда освоите связь между встроенными функциями.
Осторожно относитесь к написанию первой литеры в этих функциях, особенно при обработке малых выборок (листинг 14.11).
Гистограмма с произвольными сегментами разбиения
Гистограмма с произвольными сегментами разбиенияГистограмма с разбиением на равные сегменты
Гистограмма с разбиением на равные сегментыЕсли нет необходимости задавать сегменты гистограммы разной ширины, то удобнее воспользоваться упрощенным вариантом функции hist.
Недостаток упрощенной формы функции hist в том, что по-прежнему необходимо дополнительно определять вектор сегментов построения гистограммы. От этого недостатка свободна появившаяся в Mathcad 2001 функция histogram.
График и матрица гистограммы (листинг 14.9)
График и матрица гистограммы (листинг 14.9)
Корреляционная функция (листинги 14.19—14.20)
Корреляционная функция (листинги 14.19—14.20)
К задаче проверки статистических гипотез (листинг 14.22)
К задаче проверки статистических гипотез (листинг 14.22)
Расчет числовых характеристик случайного вектора
Листинг 14.10. Расчет числовых характеристик случайного вектора
На рис. 14.12 приведена гистограмма выборки случайных чисел, распределенных согласно закону Вейбулла. Пунктирные вертикальные прямые, показанные на графике, рассчитаны в последней строке листинга и обозначают стандартное отклонение от среднего значения. Гистограмма получена с помощью листинга 14.8, рассмотренного в предыдущем разделе. Обратите внимание, что поскольку распределение Вейбулла, в отличие, например, от Гауссова, несимметричное, то медиана не совпадает со средним значением.
Копределению статических характеристик
Листинг 14.11. Копределению статических характеристик
Генерация попарно коррелированных случайных чисел
Листинг 14.12. Генерация попарно коррелированных случайных чисел
Результат действия программы для R=0.4 показан на рис. 14.13 (слева). Сравните полученную выборку с правым графиком, полученным для высокой корреляции (R=0.9) и с рис. 14.3 (см. разд. 14.1.1) для независимых данных, т. е. R=0.
Расчет ковариации и корреляции (продолжение листинга 14.12)
Листинг 14.13. Расчет ковариации и корреляции (продолжение листинга 14.12)
Расчет выборочных коэффициентов асимметрии и экспресса
Листинг 14.14. Расчет выборочных коэффициентов асимметрии и экспресса
Вычисление различных средних значений
Листинг 14.15. Вычисление различных средних значений
Вычисление среднего значения элементов матрицы
Листинг 14.16. Вычисление среднего значения элементов матрицы
Действие различных статических функций на матрицу
Листинг 14.17. Действие различных статических функций на матрицу
Некоторые статистические функции (например, вычисления ковариации) имеют два аргумента. Они также могут быть матрицами, но, в соответствии со смыслом функции, должны иметь одинаковую размерность.
Большинству статистических функций позволяется иметь в качестве аргументов даже не одну матрицу, а любое количество матриц, векторов и скаляров. Числовые характеристики будут рассчитаны для всей совокупности значений аргументов функции. Соответствующий пример приведен в листинге 14.18.
Статические функции нескольких аргументов
Листинг 14.18. Статические функции нескольких аргументов
Генерация псевдослучайного процесса
Листинг 14.19. Генерация псевдослучайного процесса
В первой строке листинга 14 19 определено количество N независимых случайных чисел, которые будут впоследствии сгенерированы, и радиус временной корреляции т В следующих трех строках определяются моменты времени тэ, которым будут отвечать случайные значения A(t.,) Создание нормального случайного процесса сводится к генерации обычным способом вектора независимых случайных чисел х и построению интерполяционной зависимости в промежутках между ними В листинге 14 19 используется сплайн-интерполяция (см гл 15)
Вероятность того, что
Листинг 14.1. Вероятность того, что х будет меньше 1.881
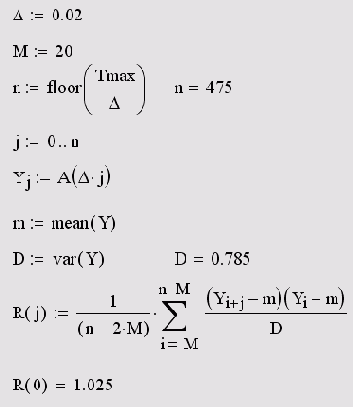
Дискретизация случайного...
Листинг 14.20. Дискретизация случайного процесса и вычисление корреляционной функции (продолжение листинга 14.19)
Дискретизация интервала <0,Tmax) для случайного процесса A(t) произведена с различным элементарным интервалом А (первая строка листинга). В зависимости от значения А, получается различный объем п выборки случайных чисел YL являющихся значениями случайной функции A(t) в точках дискретизации. В последних четырех строках определяются различные характеристики случайной величины Y, являющиеся, по сути, характеристиками случайного процесса A(t). График рассчитанной в 2 M+1 точках корреляционной функции R(j) показан на рис. 14.15.
Внимательному читателю предлагается самостоятельно ответить на вопрос: почему при таком расчете корреляционной функции ее значение R(0) не равно 1, как должно быть по определению?
доверительным интервалом. Обратите внимание на
Листинг 14.21. Интервальное оценивание дисперсии 1
Указанный интервал называется (1-а)% доверительным интервалом. Обратите внимание на использование при решении данной задачи функции stdev (с прописной буквы) для расчета выборочного стандартного отклонения. В статистике часто встречаются выражения, которые более удобно записывать через функции в такой нормировке, именно для этого они и появились в Mathcad.
Проверка гипотезы о математическом ожидании при неизвестной дисперсии
Листинг 14.22. Проверка гипотезы о математическом ожидании при неизвестной дисперсии
В последней строке листинга вычисляется истинность или ложность условия, выражающего решение задачи. Поскольку условие оказалось ложным (равным не 1, а 0), то гипотезу необходимо отвергнуть.
На рис. 14.16 показано распределение Стьюдента с N-1 степенью свободы вместе с критическими значениями, определяющими соответствующий интервал. Если t (оно тоже показано на графике) попадает в него, то гипотеза принимается; если не попадает (как произошло в данном случае) — отвергается. Если увеличить а, ужесточив критерий, то границы интервала будут сужаться, по сравнению с показанными на рисунке.
В листинге 14.23 приводится альтернативный способ проверки той же самой гипотезы, связанный с вычислением значения не квантиля, а самого распределения Стьюдента.
Другой вариант проверки гипотезы (продолжение листинга 14.22)
Листинг 14.23. Другой вариант проверки гипотезы (продолжение листинга 14.22)
Мы разобрали только два характерных примера статистических вычислений. Однако с помощью Mathcad легко решаются самые разнообразные задачи математической статистики.
Большое количество задач разобрано в Ресурсах в рубрике Statistics (Статистика) справочной системы Mathcad 11.
ный квантиль нормального распределения
Листинг 14.2. 97%-ный квантиль нормального распределения
Вероятность того, что
Листинг 14.3. Вероятность того, что х будет больше 2
Вероятность того, что ж будет находиться в интервале (2,3)
Листинг 14.4. Вероятность того, что ж будет находиться в интервале (2,3)
Обратите внимание, что задачи двух
Листинг 14.5. Вероятность того, что | х|<2
Обратите внимание, что задачи двух последних листингов решаются двумя разными способами. Второй из них связан с еще одной встроенной функцией erf, называемой функцией ошибок (или интегралом вероятности, или функцией Крампа).
Вероятность того, чтохбудвтвинтврвалв (2,3)
Листинг 14.6. Вероятность того, чтохбудвтвинтврвалв (2,3)
Если Вы имеете дело с моделированием методами Монте-Карло, то в качестве генератора случайных чисел с нормальным законом распределения применяйте встроенную функцию топа. В листинге 14.7 ее действие показано на примере создания двух векторов по M=500 элементов в каждом с независимыми псевдослучайными числами xLi и х2i распределенными согласно нормальному закону. О характере распределения случайных элементов векторов можно судить по рис. 14.3. В дальнейшем мы будем часто сталкиваться с генерацией случайных чисел и расчетом их различных средних характеристик.
Генерация двух векторов с нормальным законом распределения
Листинг 14.7. Генерация двух векторов с нормальным законом распределения
Построение гистограммы
Листинг 14.8. Построение гистограммы
Для анализа взято N=1000 данных с нормальным законом распределения, созданных генератором случайных чисел (третья строка листинга). Далее определяются границы интервала (upper,lower), содержащего внутри себя все случайные значения, и осуществляется его разбиение на количество (bin) одинаковых сегментов, начальные точки которых записываются в вектор int (предпоследняя строка листинга).
В векторе int можно задать произвольные границы сегментов разбиения так, чтобы они имели разную ширину.
Нормальные функции распределения
Нормальные функции распределения
Плотность вероятности биномиального распределения
Плотность вероятности биномиального распределения
Плотность вероятности и функция равномерного распределения
Плотность вероятности и функция равномерного распределения
Плотность вероятности некоторых распределений
Плотность вероятности некоторых распределений
Плотность вероятности нормальных распределений
Плотность вероятности нормальных распределений
Функция распределения F(X) (cumulative probability) — это вероятность того, что случайная величина примет значение меньшее или равное х. Как следует из математического смысла, она является интегралом от плотности вероятности в пределах от -x до х. Функции распределения для упомянутых нормальных законов изображены на рис. 14.2. Функция, обратная F(X) (inverse cumulative probability), называемая еще квантилем распределения, позволяет по заданному аргументу р определить значение х, причем случайная величина будет меньше или равна х с вероятностью р.
Здесь и далее графики различных статистических функций, показанные на рисунках, получены с помощью Mathcad без каких-либо дополнительных выражений в рабочей области.
Приведем несколько примеров, позволяющих почувствовать математический смысл рассмотренных функций на примере случайной величины х, распределенной по нормальному закону с m=0 и o=1 (листинги 14.1—14.5).
Построение гистограммы (листинг 14.8)
Построение гистограммы (листинг 14.8)
Обратите внимание, что в последней строке листинга осуществлена нормировка значений гистограммы, с тем чтобы она правильно аппроксимировала плотность вероятности, также показанную на графике. Очень важно переопределение вектора int в самом верху рис. 14.9, которое необходимо для перехода от левой границы каждого элементарного сегмента к его центру.
Псевдослучайные числа
Псевдослучайные числа с корреляцией R=0.4 (листинг 14.12) и R=0.9
Псевдослучайные числа с нормальным законом распределения (листинг 14.7)
Псевдослучайные числа с нормальным законом распределения (листинг 14.7)
Псевдослучайные числа с равномерным законом распределения
Псевдослучайные числа с равномерным законом распределения
Чаще всего в несложных программах применяется последняя функция, которая приводит к генерации одного псевдослучайного числа. Наличие такой встроенной функции в Mathcad — дань традиции, применяемой в большинстве сред программирования. Пример использования генератора вектора из м случайных чисел показан на рис. 14.4, который получен заменой в двух последних строках листинга 14.7 генератора нормальных чисел на runif (м,о, 1). Плотность вероятности и функция равномерного распределения показаны на рис. 14.5.
Псевдослучайный процесс (листинг 14.19)
Псевдослучайный процесс (листинг 14.19)
В результате получается случайный процесс A(t), радиус корреляции которого определяется расстоянием т между точками, для которых строится интерполяция. График случайного процесса A(t) вместе с исходными случайными числами показан на рис. 14.14. Случайное поле можно создать несколько более сложным способом с помощью многомерной интерполяции.
К случайным процессам, сгенерированным таким способом, как и к данным эксперимента, применяются любые статистические методы обработки, например корреляционный или спектральный анализ. Приведем в качестве примера листинг 14.20, показывающий, как организовать расчет корреляционной функции случайного процесса.
Создание графика гистограммы
Создание графика гистограммыДля того чтобы создать график в виде гистограммы:
Установка типа графика для построения гистограммы
Установка типа графика для построения гистограммы
Биржевой анализ: Технический анализ - Инструменты - Софт
- Биржевой анализ - Технический анализ
- Обучение техническому анализу
- Индексы технического анализа
- Индикаторы технического анализа
- Методы технического анализа
- Графика в техническом анализе
- Технический анализ рынков
- Российский технический анализ
- Инструменты технического анализа
- Математика в биржевом анализе
- Разновидности биржевого анализа
- Mathematica в биржевом анализе
- MathCAD в биржевом анализе
- Maple в биржевом анализе
- Matlab в биржевом анализе