Математический редактор MathCAD
Определение переменных
3.1.1. Определение переменныхЧтобы определить переменную, достаточно ввести ее имя и присвоить ей неко-topoe значение, для чего служит оператор присваивания (см. следующий раздел).
Присваивание переменным значений
3.1.2. Присваивание переменным значенийЧтобы присвоить переменной новое значение, например переменную х сделать равной 10:
Функции
3.1.3. ФункцииФункции в Mathcad записываются в обычной для математика форме:
В Mathcad формально можно разделить функции на два типа:
Определение функции пользователя
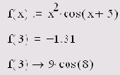
3.1.4. Определение функции пользователяДля того чтобы определить функцию пользователя, например f(x,y) = x2-cos (x+y):
Вывод значений переменных и функций
3.1.5. Вывод значений переменных и функцийЧтобы вычислить в документе некоторое математическое выражение, которое может состоять из переменных, операторов и функций (встроенных и определенных пользователем):
Символьный вывод
3.1.6. Символьный выводНаряду с численным выводом, в Mathcad имеется возможность символьного, или аналитического, вычисления значения выражения. Для символьных вычислений имеется ряд специальных средств, которые будут детально рассмотрены позднее (см. гл. 5), самое простое из них — это оператор символьного вывода (symbolic evaluation). Он обозначается символом -" и в большинстве случаев применяется точно так же, как оператор численного вывода, однако внутреннее различие между действием этих двух операторов огромно. Если численный вывод — это в обычном смысле этого слова "запрограммированный" расчет по формулам и численным методам, скрытый от глаза пользователя, то символьный вывод — результат работы системы искусственного интеллекта, встроенной в Mathcad и называемой символьным процессором. Работа символьного процессора также невидима (и, чаще всего, даже трудно представима) пользователю и заключается в анализе самого текста математических выражений. Конечно, гораздо более узкий круг формул можно рассчитать символьно, хотя бы потому, что, вообще говоря, относительно не такая большая часть математических задач допускает аналитическое решение.
Чтобы попытаться вычислить символьно математическое выражение, например В • sin(arcsin(С • Х)), где В,С,Х — некоторые переменные:
Допустимые имена переменных и функций
3.1.7. Допустимые имена переменных и функцийВ заключение перечислим, какие символы можно, а какие нельзя применять в именах, которые пользователь дает переменным и функциям, и перечислим ряд ограничений на присваивание имен. Допустимые символы:
Теперь рассмотрим ограничения на имена переменных и функций:
Переменные и функции
3.1. Переменные и функцииОсновные инструменты математика — это операции с переменными величинами и функциями. В Mathcad переменные, операторы и функции реализованы в интуитивной форме, т. е. выражения в редакторе вводятся и вычисляются так, как они были бы написаны на листе бумаги. Порядок вычислений в документе Mathcad также очевиден: математические выражения и действия воспринимаются процессором слева направо и сверху вниз.
Перечислим основные действия, которые пользователь может совершать для определения и вывода переменных и функций.
Арифметические операторы
3.2.1. Арифметические операторыОператоры, обозначающие основные арифметические действия, вводятся с панели Calculator (Калькулятор), показанной на рис. 3.6:
Вычислительные операторы
3.2.2. Вычислительные операторыВычислительные операторы вставляются в документы при помощи панели инструментов Calculus (Вычисления). При нажатии любой из кнопок в документе появляется символ соответствующего математического действия, снабженный несколькими местозаполнителями. Количество и расположение местозаполнителей определяется типом оператора и в точности соответствует их общепринятой математической записи. Например, при вставке оператора суммы (рис. 3.7) необходимо задать четыре величины: переменную, по которой надо произвести суммирование, нижний и верхний пределы, а также само выражение, которое будет стоять под знаком суммы (пример заполненного оператора суммы см. ниже в листинге 3.22).
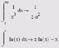
Для того чтобы вычислить неопределенный интеграл, следует заполнить два местозаполнителя: подынтегрального выражения и переменной интегрирования.
Логические операторы
3.2.3. Логические операторыРезультатом действия логических, или булевых, операторов являются только числа 0 (если логическое выражение, записанное с их помощью, истинно) или 1 (если логическое выражение ложно). Чтобы вычислить значение логического выражения, например 1=1 (рис. 3.9):
Матричные операторы
3.2.4. Матричные операторыМатричные операторы предназначены для совершения различных действий над векторами и матрицами. Поскольку большинство из них реализует численные алгоритмы, о них будет подробно рассказано в части III (см. гл. 9).
Операторы выражения
3.2.5. Операторы выраженияПочти все вычислительные операторы были рассмотрены выше (см. разд. 3.1). Они сгруппированы на панели Evaluation (Выражения).
Создание оператора пользователя
3.2.6. Создание оператора пользователяЗапросы взыскательного пользователя могут отнюдь не исчерпываться набором встроенных операторов Mathcad. Для вставки в документы заранее созданных операторов пользователя применяется панель Evaluation (Выражения).
Операторы
3.2. ОператорыКаждый оператор в Mathcad обозначает некоторое математическое действие в виде символа. В полном согласии с терминологией, принятой в математике, ряд действий (например, сложение, деление, транспонирование матрицы и т. п.) реализован в Mathcad в виде встроенных операторов, а другие действия (например, sin, erf и т. п.) — в виде встроенных функций. Каждый оператор действует на одно или два числа (переменную или функцию), которые называют операндами. Если в момент вставки оператора одного или обоих операндов не хватает, то недостающие операнды будут отображены в виде местозаполнителей. Символ любого оператора в нужное место документа вводится одним из двух основных способов:
Везде в этом разделе будем рассматривать только второй способ вставки оператора Те же, кто предпочитает использовать клавиатуру, найдут перечень горячих клавиш в приложении 2.
Выше мы рассмотрели особенности применения трех операторов: присваивания (см. разд. 3.1.2), численного (см. разд. 3.1.5) и символьного вывода (см. разд. 3.1.6). Разберем в данном разделе действие прочих операторов Mathcad и возможности определения операторов пользователя.
Режимы вычислений
3.3.1. Режимы вычисленийВсе примеры, которые мы рассматриваем в этой книге, неявно предполагают, что включен автоматический режим вычислений. Он включается по умолчанию при создании пустого документа, поэтому если вводятся выражения, содержащие операторы вывода, они вычисляются немедленно. Вообще говоря, имеется два режима вычислений:
Режим вычислений устанавливается независимо для каждого документа Одновременно могут быть открыты несколько документов, вычисляемых в различных режимах
Преимущества и недостатки каждого режима очевидны. С одной стороны, автоматические вычисления упрощают работу с документом, поскольку результаты расчетов появляются в реальном времени, и пользователь имеет возможность анализировать их сразу. С другой стороны, если вычисления сложные, то они могут отнимать много времени (что особенно заметно на компьютерах с не слишком мощным процессором и небольшим объемом оперативной памяти). Поэтому зачастую, чтобы продолжить редактирование документа, требуется довольно длительное ожидание завершения расчетов В частности, если поменять какое-либо выражение в начале большого документа, которое влияет на последующие вычисления, то все они пересчитываются заново. В таких случаях часто удобнее редактировать текст в ручном режиме, а вычисления включать по мере необходимости.
Прерывание вычислений
3.3.2. Прерывание вычисленийMathcad осуществляет вычисления документа, как это принято в большинстве сред программирования: сверху вниз и слева направо. Пока очередное выражение находится в процессе расчета (вычислительным или символьным процессором), оно выделяется рамкой зеленого цвета (рис. 3.15), а любые действия пользователя по дальнейшему редактированию документа блокируются. Если у вас не слишком быстрый компьютер, а формулы достаточно сложные, то можно наблюдать, как зеленая рамка перескакивает с одного выражения на другое
Чтобы прервать затянувшийся процесс вычислений, нажмите клавишу
Вычисления в ручном режиме
3.3.3. Вычисления в ручном режимеЕсли флажок в строке команды Tools / Calculate / Automatic Calculation (Сервис / Пересчитать / Считать автоматически) снят, пользователь должен запускать вычисления самостоятельно
При редактировании текста в ручном режиме не выполняются ни вычисления, ни построение графиков, а соответствующие места в выражениях формально отмечаются местозаполнителями (рис. 3.17.)
Отключение вычисления отдельных формул
3.3.4. Отключение вычисления отдельных формулMathcad позволяет отключить вычисление какой-либо формулы. При этом она не будет влиять на последующие вычисления. Чтобы не вычислять определенную формулу в документе:
Результат выключения формулы из процесса вычислений проиллюстрирован листингом 3.31. На нем выключен второй из операторов присваивания, о чем можно судить по наличию черного квадрата сразу за формулой. Соответственно, в последней строке выведенное значение переменной х "не чувствует" выключенного присваивания и остается равным 3.
Оптимизация вычислений
3.3.5. Оптимизация вычисленийОтличительная черта новых версий Mathcad — улучшенные возможности ускорения численных вычислений за счет применения элементов символьной математики. Непосредственно перед численным расчетом Mathcad автематически пытается упростить выражение, используя символьный процессор. Это называется оптимизацией. За счет того что от версии к версии качество работы символьного процессора улучшается, символьное преобразование зачастую существенно ускоряет расчеты. Режим оптимизации включается либо в документе целиком, либо для отдельных формул.
Чтобы включить или отключить режим оптимизации всех выражений в активном документе, выберите команду Tools / Optimize / Worksheet (Сервис / Оптимизация / Документ), как показано на рис. 3.19. Содержание документа, изображенного на этом же рисунке, помогает понять математический смысл режима оптимизации: для ускорения вычисления нижнего (определенного) интеграла выгодно использовать его аналитическое решение, определенное символьным процессором.
Чтобы изменить режим оптимизации для отдельной формулы, не меняя выбранного режима для остальных выражений документа, выделите эту формулу линиями ввода и выберите в верхнем меню Tools / Optimize / Equation (Сервис / Оптимизация / Уравнение).
Диалоговое окно Worksheet Options
3.3.6. Диалоговое окно Worksheet OptionsНаравне с изложенными способами установки режимов вычислений, их также удобно устанавливать для всего документа на вкладке Calculations (Вычисления) диалогового окна Worksheet Options (Опции документа), вызываемого с помощью команды Tools / Worksheet Options (Сервис / Опции документа). Три флажка задают включение соответствующего режима вычислений (рис. 3.20).
Управление вычислениями
3.3. Управление вычислениямиДокумент Mathcad — это в полном смысле этого слова компьютерная программа, а сама система Mathcad — настоящая система программирования, правда ориентированная на математика, а не на профессионального программиста. Большинство других сред программирования (знакомых читателю по реализации таких языков, как Си, Фортран, Бейсик и т. п.) разделяют редактирование кода программ и их выполнение, которое можно вызвать предназначенными для этого командами. В Mathcad и код программы, и результат их выполнения объединены в одном документе. Тем не менее, функции редактирования формул и их расчеты выполняются раздельно, и пользователь имеет возможность управлять всеми важнейшими опциями вычислений.
Сообщения об ошибках
3.4. Сообщения об ошибкахКогда процессор Mathcad по тем или иным причинам не может вычислить выражение, он вместо ответа выдает сообщение об ошибке (рис. 3.21). Если курсор находится вне формулы с ошибкой, то в ней имя функции или переменной, которая вызвала ошибку, отмечается красным цветом (сверху на рис. 3.21). При щелчке на такой формуле под ней появляется текстовое сообщение о типе ошибки, обрамленное черным прямоугольником (рис. 3.21, снизу).
Чтобы запустить вычисления в ручном режиме, нажмите кнопку Calculate
Чтобы запустить вычисления в ручном режиме, нажмите кнопку Calculate
Диалоговое окно прерывания вычислений
Диалоговое окно прерывания вычислений
Вычисления
Глава 3. ВычисленияИмена, содержащие операторы и специальные символы
Имена, содержащие операторы и специальные символыВ некоторых случаях желательно использовать имена переменных и функций, содержащие символы операторов Mathcad или другие символы, которые нельзя вставлять в имена непосредственно. Для этого существуют две возможности.
Во-первых, имя, составленное из любых символов и заключенное в квадратные скобки, Mathcad будет воспринимать корректно (рис. 3.5, сверху). Например, чтобы ввести имя [a+b]:
Использование бинарного оператора
Использование бинарного оператора
Возможны два вида вставки пользовательского бинарного оператора в документ, отличающиеся только отображением в документе. Чтобы вставить оператор в форме графа (или дерева):
Кроме древовидной формы оператора, допускается использование его в виде последовательности "операнд— имя оператора— другой операнд" (рис. 3.12, вторая строка слева). Чтобы ввести такую форму оператора, следует нажать соседнюю кнопку Infix Operator (Оператор внутри) с изображением xfy.
Использование унарного оператора
Использование унарного оператораВставка унарного оператора совершенно аналогична, только вместо двух операндов требуется ввести один (рис. 3.13). Унарный оператор вставляется нажатием кнопки Prefix Operator (Оператор перед) на панели Evaluation (Выражения) либо кнопки Postfix Operator (Оператор после). Первый путь проиллюстрирован правой частью рис. 3.13 (в момент вставки) и результатом действия оператора (слева), а результат вставки оператора по второму пути — левой нижней строкой того же рисунка
Кнопка глобального присваивания на панели Evaluation
Кнопка глобального присваивания на панели Evaluation
Кнопка вставки оператора символьного вывода
Кнопка вставки оператора символьного вывода
После этого справа от символа оператора символьного вывода появится определенное аналитически значение выражения (листинг. 3.10) либо сообщение об ошибке "No answer found" (Ответ не найден). Если символьному процессору Mathcad не удается аналитически упростить выражение, то оно будет выдано справа от знака -" в том же виде, что и слева.
Символьный вывод выражения
Листинг 3.10. Символьный вывод выраженияСимвольный вывод выражений, которое не удалось упростить
Листинг 3.11. Символьный вывод выражений, которое не удалось упростить
Численный и символьный вывод значения функции
Листинг 3.12. Численный и символьный вывод значения функции
ЧислвйныЙ и символьный вывод
Листинг 3.13. ЧислвйныЙ и символьный вывод

Как показывают приведенные примеры, преимущество символьных вычислений заключается в выдаче аналитического результата, который для математика часто является более ценным. Поэтому, исходя из специфики конкретных задач, решайте, стоит ли наряду с численными расчетами попытаться получить и символьное решение.
Операторы сложения, вычитания и отрицания
Листинг 3.14. Операторы сложения, вычитания и отрицанияОператоры деления и умножения
Листинг 3.15. Операторы деления и умножения
ператор факториала и модуля
Листинг 3.16. 0ператор факториала и модуля
Операторы извлечения...
Листинг 3.17. Операторы извлечения корня и возведения в степень
Листинг 3.18. Оператор изменения приоритета ()

Оператор комплексного сопряжения
Листинг 3.19. Оператор комплексного сопряжения

Присваивание переменной численного значения
Листинг 3.1. Присваивание переменной численного значенияОператоры вычисления производных
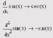
Листинг 3.20. Операторы вычисления производныхОператоры интегрирования
Листинг 3.21. Операторы интегрирования
Операторы суммирования и вычисления произведения
Листинг 3.22. Операторы суммирования и вычисления произведения
Операторы суммировани и вычисления произведения
Листинг 3.23. Операторы суммировани и вычисления произведения
Операторы сравнения.
Листинг 3.25. Операторы сравнения.Булевы операторы.
Листинг 3.26. Булевы операторы.

Логические операторы чрезвычайно важны при записи подлежащих решению алгебраических уравнений и неравенств в приемлемой для Mathcad форме.
Действие операторов присваивания и глобального присваивания
Листинг 3.27. Действие операторов присваивания и глобального присваиванияВзаимодействие глобального и локального присваивания
Листинг 3.28. Взаимодействие глобального и локального присваиванияГлобальное определение функции пользователя
Листинг 3.29. Глобальное определение функции пользователя

Оператор глобального присваивания можно отображать не только в виде тождественного равенства, но и как обычный знак равенства. Для этого вызовите на операторе контекстное меню и в подменю пункта View Definition As выберите пункт Equal (Равенство).
Присваивание переменной вычисленного значения выражения
Листинг 3.2. Присваивание переменной вычисленного значения выражения
Создание унарного оператора пользователя
Листинг 3.30. Создание унарного оператора пользователяВычисление второго оператора присваивания выключено
Листинг 3.31. Вычисление второго оператора присваивания выключеноПрисваивание переменной строкового значения
Листинг 3.3. Присваивание переменной строкового значения
Определение функции пользователя
Листинг 3.4. Определение функции пользователяВычисление выражения.
Листинг 3.5. Вычисление выражения.Вывод значения функции.
Листинг 3.6. Вывод значения функции.
Вывод значения функции (продолжение листинга 3.6)
Листинг 3.7. Вывод значения функции (продолжение листинга 3.6)
К определению функций пользователя
Листинг 3.8. К определению функций пользователя
К определению функций пользователя (продолжение листинга 3.8)
Листинг 3.9. К определению функций пользователя (продолжение листинга 3.8)

Внимательнее относитесь к обязательному требованию совпадения количества аргументов при определении и выводе значения функций. Сравните, например, листинги 3.6 и 3.8, в которых, несмотря на одинаковое выражение в правой части определения функции f, создаются две существенно разные функции f (х, у) и f (х), соответственно
Вводя знак равенства для вычисления математических выражений в Math-cad, Вы фактически применяете оператор вычисления или численного вывода (numerical evaluation). Его можно ввести также нажатием кнопки со знаком равенства на одной из панелей инструментов: Calculator (Калькулятор) или Evaluation (Выражения) (см. рис. 3.1). Оператор численного вывода означает, что все вычисления проводятся с числами, а различные встроенные алгоритмы реализуются соответствующими численными методами.
З.24. Операторы символьного вычисления пределов
Листинг З.24. Операторы символьного вычисления пределов
Обычное присваивание сказывается только на нижеследующей части документа
Обычное присваивание сказывается только на нижеследующей части документа
Как видно из листинга 3.27, обычное, или локальное, присваивание переменной х действует от момента х:=10 до момента глобального присваивания х = 5. Вообще говоря, Mathcad анализирует документы на предмет присваивания переменных в два прохода: сначала распознаются все операторы глобального присваивания, и все выражения в документе сверху вниз и слева направо вычисляются в соответствии с ними, а при втором проходе в том же порядке анализируются операторы локального присваивания, и все выражения вычисляются с поправкой на них. Приведем важный пример взаимодействия глобального и локального присваивания (листинг 3.28).
Отключение вычисления формулы с помощью контекстного меню
Отключение вычисления формулы с помощью контекстного меню
Содержание главы
Панель Calculator
Панель Calculator
Поиск бесконечного ряда
Поиск бесконечного ряда
Важно отметить, что имеется возможность вычислять интегралы с одним или обоими бесконечными пределами, а также в символьной форме искать значения бесконечных пределов, сумм (рядов) и произведений. Для удобства ввода кнопка с символом бесконечности помещена на ту же панель инструментов Calculus (Вычисления). Пример вставки символа бесконечности в задаче поиска бесконечного ряда приведен на рис. 3.8.
Применение пользовательского бинарного оператора
Применение пользовательского бинарного оператора
Применение пользовательского унарного оператора
Применение пользовательского унарного оператора
Процесс вычисления выражения
Процесс вычисления выражения
Различное отображение оператора присваивания
Различное отображение оператора присваивания
Помимо разобранного оператора присваивания (а он применяется наиболее часто), существует также возможность глобального присваивания.
Режим оптимизации вычислений
Режим оптимизации вычислений
Результат ввода оператора присваивания
Результат ввода оператора присваивания
Результат перечисленных действий показан в листинге 3.1.
Кнопка оператора присваивания для удобства помещена сразу на две панели Calculator (Калькулятор) и Evaluation (Выражения).
Сообщение об ошибке
Сообщение об ошибке
Если некоторые выражения вызывают ошибку, они просто игнорируются, а следующие выражения в документе по-прежнему вычисляются. Конечно, если формулы, вызвавшие ошибку, влияют на значения нижеследующих формул, то они будут также интерпретированы как ошибочные. Поэтому, встречая в документе сообщения об ошибках, найдите сначала самое первое из них. Часто ее устранение позволяет избавиться и от последующих ошибок.
Как бы хорошо вы ни овладели системой Mathcad, сообщения об ошибках все равно будут появляться в документах. Они могут быть связаны как с орфографическими ошибками, так и с более серьезными внутренними причинами, требующими знания численных алгоритмов расчетов. Искусство математика во многом состоит в умении анализировать ошибочные ситуации и находить правильный выход из них.
Сообщение об ошибке ("Эта переменная или функция ранее не определена")
Сообщение об ошибке ("Эта переменная или функция ранее не определена")
Создание бинарного оператора
Создание бинарного оператораЧтобы создать бинарный оператор, например реализующий действие х • у2:
Создание унарного оператора
Создание унарного оператораУнарный оператор создается точно так же, только вместо двух операндов, отделенных запятой, Вам следует ввести лишь один операнд. Например, чтобы создать оператор с именем %, реализующий перевод доли числа в проценты и сводящийся к умножению его на 100 (листинг 3.30):
Специальные символы в именах переменных
Специальные символы в именах переменных
Во-вторых, если Вас не устраивает наличие квадратных скобок в имени, то вставить в него специальные символы можно чуть более сложным способом. Например, для ввода имени a+b:
Управление режимом вычислений в диалоговом окне Worksheet Options
Управление режимом вычислений в диалоговом окне Worksheet Options
Помимо флажков проверки, имеется также пара переключателей, которая позволяет реализовать новый режим ускоренных вычислений (higher speed calculation). Он включается выбором переключателя Higher speed calculation (Ускоренные вычисления), изображенного на рис. 3.20. Чтобы отключить режим ускоренных вычислений, выберите переключатель Backward compatibility (Обратная совместимость). В этом случае вычисления будут проводиться без дополнительной оптимизации по скорости, в точности так же, как в предыдущих версиях (Matvcsd 2000 и ниже) Необходимость таких расчетов может возникнуть, если вдруг Вы столкнулись с сообщениями об ошибках в документах, созданных в предыдущих версиях Mathcad и корректно в них работающих.
Вставка логического оператора
Вставка логического оператора
Получается абсурдное на первый взгляд выражение i"i=i. Однако на самом деле все правильно. Справа от оператора вывода записано логическое выражение 1*1 (обратите внимание, что логический знак равенства выглядит по-другому, нежели обычный), которое является истинным. Поэтому значение данного выражения равно 1, что и показано справа от знака равенства.
Перечислим логические операторы:
Примеры действия логических операторов приведены в листингах 3.25 и 3.26.
Вставка оператора суммирования
Вставка оператора суммирования
После ввода какого-либо вычислительного оператора имеется возможность вычислить его значение либо численно, нажатием клавиши <=>, либо символьно, с помощью оператора символьного вывода.
Перечислим основные вычислительные операторы и приведем простейшие примеры их применения:
Выбор имени оператора
Выбор имени оператораОператор пользователя может иметь абсолютно любое имя (см. ранее раздел "Имена, содержащие операторы и специальные символы" этой главы). Однако, исходя из смысла операторов, логично давать им имена в виде символов. Это удобно делать с помощью коллекции символов, находящейся в справочной информации Mathcad. Выберите в верхнем меню Help / QuickSheets (Справка / Быстрые шпаргалки) и войдите затем в самый последний раздел Extra Math Symbols (Дополнительные символы) открывшегося содержания Шпаргалок. Там Вы увидите целую коллекцию символов, любой из которых можно просто перетащить указателем мыши в нужное место документа.
Присваивать оператору некоторое действие следует точно так же, как функции пользователя.
Выбор режима вычислений
Выбор режима вычислений