Evgeni A. Nurminski - Статическая оптимизация портфеля
Пусть портфель инвестора состоит из ТП бумаг в объемах Qi, Qa,.. . , Qm , стоимость которых на рынке составляет pi,..., р
ш. Тогда его суммарная стоимость
то
і= 1
и доходность:

(21)
где
0^
Гі = = QiPi/P-
Величины х
г > 0 представляют собой доли капитала, вложенные в соответствующие активы и очевидно
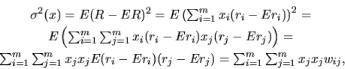
Задачу выбора оптимальных пропорций активов для инвестора, избегающего риска, можно сформулировать, как выбор такого набора Х{, что дисперсия доходности (21)( риск ) будет
минимальна. Посчитать дисперсию (21) довольно просто:

где Wij = Е(г-і — En){
rj — E'f'j) = oov — коэффициент ковариации между
доходностями і-го и j -го активов.
Вводя матрицу W = Цаді^ | , дисперсию а
1 (я;) можно представить в виде квадратичной формы

28.05.2005
Ше://Т:\0татическая%20оптимизация%20портфеля.й1ш
зависящей от вектора х — (х-[, , aj
m), являющегося точкой стандартного симплекса

(22)
В зависимости от контекста вектор х будет считаться либо строкой, либо столбцом с тем, чтобы соответствующие опреации имели смысл.
Однако, если, например, среди активов инвестора есть безрисковый ( банковский счет ), то для этого актива все коэффициенты ковариации равны нулю и задача минимизации <т
1 (.г) при ограничениях (22) имеет тривиальное решение: необходимо все средства вкладывать в безрисковый актив. Это решение может давать ( как правило даст ) одновременно и наименьшую доходность, что может не устраивать потенциального инвестора. Г. Марковиц предложил дополнить условие минимума дисперсии требованием обеспечить желаемую доходность, что приводит к задаче

(23)
где р — заданный уровень доходности портфеля.
Эта задача уже является проблемой квадратичного программирования, некоторые методы которого рассмотрены в Приложении.
Следует отметить, что практическое использование этого подхода требует знания ковариационной матрицы W, непосредственно не наблюдаемой. В действительности она может заменяться на эмпирическую ковариационную матрицу, определенную на основе предыдущих наблюдений и последовательно уточняемую с течением времени. Все это превращает (23) в нетривиальную задачу совместной идентификации ( определения W ) и оптимизации ( нахождения х ).
Биржевая торговля: Управление капиталом - Портфель - Риск - Страхование