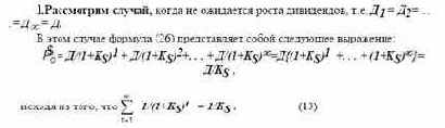
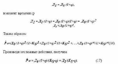
Биржевая статистика
Ценовые показатели биржевой статистики
В частности, ценовые показатели используются для анализа и прогноза ценовой динамики рынка, при оценке его ликвидности, риска (колеблемости цен) и т.д. В связи с тем, что в основе фондовой биржи лежит аукцион, ценовые показатели, используемые на бирже, носят характер аукционных цен (т.е. цен, формируемых в результате публичного и гласного соревнования продавцов и покупателей).
В качестве синонима понятия «цена на ценную бумагу» может
использоваться термин курс ценной бумаги. Соответственно, часто
говорят о статистике биржевых курсов.
Ценовые показатели включают в себя следующие виды цен:
- цены первичного рынка (первичный рынок - рынок первых и повторных эмиссий ценных бумаг, на котором осуществляется их начальное размещение среди инвесторов).
В качестве ценового показателя на первичном рынке выступает:
цена отсечения
-цены вторичного рынка (Вторичный рынок - рынок, на котором
обращаются ранее эмитированные на первичном рынке ценные
бумаги).
Ценовыми показателями являются:
цены исполнения, открытия, закрытия
цены спроса и предложения.
Цена отсечения- цена продажи ценной бумаги, которая устанавливается эмитентом в ходе голландского аукциона (например, при размещении государственных краткосрочных облигаций в российской практике), по которой удовлетворяется максимально приемлемое для
эмитента количество заявок.
Каким образом возможно измерить риск?
Каким образом возможно измерить риск? Один из подходов1 предполагает, что риск может быть определен как шанс, что случится непредвиденное событие.Вероятность наступления такого события и будет мерой риска.
Рассмотрим детальнее данный подход. Допустим, инвестор владеет
акциями компании А и компании Б, т.е. портфель инвестора включает акции 2-х компаний. При этом компания Б существует несколько десятилетий, находится в стадии зрелого роста, генерирует значительные денежные потоки и известна высокой стабильностью в размере выплачиваемых дивидендов. Компания А является только что созданной венчурной компанией, для которой характерны агрессивность, быстрый рост и крайняя нестабильность в прибылях и убытках и, соответственно, в размерах выплачиваемых дивидендов. На основе проведенных за ряд лет статистических наблюдений известны вероятности получения того или иного размера доходности по акциям данных компания. Характеристика возможных ставок доходности и вероятности их достижения приведены ниже:

что можно было рассмотреть не
Изобразим графически полученные результаты:
Очевидно, что можно было рассмотреть не nри уровня доходности, а значительно большее их количество 10, 20, 30 и т.д., каждый из которых будет иметь свою вероятность наступления того или иного события.
Изобразить графически это положение возможно
Изобразить графически это положение возможно с помощью приведенного графика (рис.9):
С помощью этих графиков становится очевидным следующее утверждение: чем меньше "разброс" в ставках доходности, т.е. чем ближе они лежат друг к другу, тем менее рискованны вложения.
Существуют известные методы расчета меры рассеивания. Так, например, мерой данной величины может служить среднеквадратичное отклонение -(СКО-).
Очевидно, что, чем меньше среднеквадратичное отклонение, тем плотнее распределение вероятности, и, соответственно, ниже рискованность инвестиций.
Алгоритм расчета СКО -
1.Определяем ожидаемую ставку доходности по каждому виду инвестиций
К = Рiki
2.Определяем отклонения значений каждой ставки доходности от ожидаемой ставки доходности Кi - К
3.Рассчитываем показатель вариации

4. Определяем показатель среднеквадратичного отклонения

Б гораздо менее рискованны, чем
Результаты расчета по инвестициям А и Б приведены ниже:
Следовательно, инвестиции типа Б гораздо менее рискованны, чем инвестиции типа А..
В качестве оценки измерения риска возможно использование коэффициента вариации, который определяется как отношение среднеквадратичного отклонения () к ожидаемой доходности (К).

Этот коэффициент определяет значение риска на единицу дохода.
Рассчитаем коэффициент вариации для акции А и Б:

Сравнивая коэффициенты вариации по двум типам акций, можно определить отношение CVА/CVБ= 2,43/0,27 = 9. Т.е. акции типа А в 9 раз более рискованные, чем акции типа Б.
Доходность портфельных инвестиций
Рассмотрим доходность инвестиционного портфеля. Обозначим через Кn- сумму средневзвешенных ожидаемых ставок доходности по составляющим этого портфеля.Тогда: Кi = W1R1 + W2K2 + WnKn = WiKi, (20)
где - Кi ожидаемая ставка доходности индивидуальной акции (инвестиции), W1- вес данного вида акций в портфеле.
Допустим, у нас есть портфель со следующими акциями:

Сумма портфеля составляет 100000 денежных единиц, акций каждого вида приобретено на 25000 денежных единиц. Соответственно, Kn = 0,25 х (14%) + 0,25 х (13%) + 0,25 х (18%) = 16,25.
Безусловно, реализованная ставка доходности портфеля может отличаться от ожидаемой ставки дохода.
Риск портфельных инвестиций и его связь с доходностью
Рискованность портфельных инвестиций бр в отличие от его доходности—не является средневзвешенным стандартным отклонением его составляющих. Риск портфельных инвестиций меньше, т.к. комбинирование акций сокращает портфельный риск.Существует ряд моделей, которые описывают взаимосвязь риска и доходности. В частности, широко известная модель CAРM (Capital Asset Pricing Model). Данная модель базируется на предположении о том, что любая требуемая ставка доходности равна ставке доходности, свободной от риска, плюс премия за риск.
При этом портфельный риск может рассматриваться как общий риск,
составляющими которого являются несистематический риск и систематический риск.
К несистематическому риску относятся события, являющиеся уникальными для данной фирмы (забастовка, утрата основного контракта и т.д.).
Систематическим является риск, действующий для всей системы (война, неожиданные падения рынка и т.д.).
Графически зависимость портфельного риска от количества акций,
входящих в портфель, можно представить следующим образом (рис.10):

Таким образом, если существует ретроспективная

Таким образом, если существует ретроспективная статистическая
информация об уровнях доходности ценной бумаги определенного вида за
определенный срок и среднерыночном уровне доходности, то на базе этой
информации, используя метод наименьших квадратов, можно построить уравнение регрессии, описывающее зависимость премии за риск по данной ценной бумаге и среднерыночной премии за риск.
Как правило для определения среднерыночного уровня доходности
используют фондовые индексы, такие как Standard & Poor’s 500, FT-30, DAX и т.д.
Экономическая интерпретация -коэффициента приведена выше, при этом
-коэффициент может меняться с течением времени в зависимости от влияния внешних и внутрифирменных факторов. Очевидно, что это приводит к изменению требуемой ставки доходности, - характеризует переоценку или недооценку данного вида акций. Если >0, считается, что акция недооценена, поскольку темпы роста курсовой стоимости выше, чем в целом по рынку, при Ошибка!
Закладка не определена.< 0 складывается обратная ситуация.
Пример расчета коэффициентов

Таблица 15. Исходные динамические ряды
в данном примере выступает показатель
В качестве независимой переменной (X) в данном примере выступает показатель доходности индекса, в качестве зависимой переменной выступает доходность акции. Расчеты возможно осуществлять с помощью программы встроенныхфункций пакета EXCEL.
Рассчитанный коэффициент корреляции составляет 0,89, что свидетельствует о тесной связи между двумя показателями. Рассчитанные показатели коэффициентов уравнения регрессии позволяют представить зависимость между переменными в следующем виде.
Y X 1 027 0 6125 , ,
Коэффициент =1,027 близок к единице, что свидетельствует о
незначительной колеблемости, а, следовательно, рискованности исследуемой акции.
Коффициент =0,6125 характеризует недооцененность акций.
Кроме того, с помощью полученного уравнения регрессии возможно
реализовать расчет прогнозных значений показателя доходности и, соответственно, цены на определенный период.
Задачи для самостоятельного решения
1. Рассчитать доходность (в % годовых) с учетом реинвестирования и безучета реинвестирования дохода при приобретении облигаций ГКО по цене 80% от номинала и сроками до погашения
а. 90 дней
б. 180 дней
в. 270 дней
г. 360 дней
2. Определить текущую доходность облигации номинальной стоимостью
1000 рублей, приобретаемой по цене 1200 рублей, годовым купоном 10%.
3. Определить доходность к погашению облигации ОФЗ . ПК, если она
приобретена по цене 90% от номинала со сроком до погашения 60 дней, размером
купона 30%.
4. Определить текущую доходность акции, если за 500 акции номиналом
10000 рублей и дивидендом 10% инвестор уплатил 6,5 млн. руб.
5. Определить доходность портфеля, состоящего из четырех типов акций,
удельный вес которых одинаков, при следующих ожидаемых считках доходности:
15% , 25% . 35%, 40%.
6. Определить с помощью показателя модифицированной дюрации: как
изменится цена 7-летней облигации с купоном 10%, рыночная стоимость которой составляет 1200 руб. (при номинале 1000 руб.) при понижении доходности на 0,01%.
7. Определить в какую из перечисленных акций вложения наиболее
рискованны.

Заявки покупателей, поданные по ценам
Заявки покупателей, поданные по ценам худшим, чем цена отсечения, не удовлетворяются.
Цена исполнения - цена, по которой исполнена сделка по данной ценной бумаге.
Цена открытия- цена исполнения первой торговой сделки при открытии торговой сессии на бирже.
Цена закрытия- цена исполнения последней торговой сделки при закрытии торговой сессии на бирже.
Цена спроса- максимальная цена, содержащаяся в заявках на покупку ценной бумаги, направленных на биржу потенциальными покупателями и зарегистрированных для включения в биржевой аукцион (цена заявлена, но сделки по ней еще не совершены).
Цена предложения - минимальная цена, содержащаяся в предложениях о продаже, направленных на биржу потенциальными продавцами и зарегистрированных для включения в биржевой аукцион (цена заявлена, но сделки по ней еще не совершены).
Спрэд - разница между ценой предложения и ценой спроса (по
неудовлетворенным заявкам цены предложения всегда выше цен спроса). Обычно чем выше спрэд, тем ниже ликвидность рынка и тем больше разрыв между спросом и предложением на биржевом рынке.
Для характеристики динамики и колебаний цен на биржевые ценные бумаги используются следующие показатели:
среднеквадратические отклонения
изменение цен
средневзвешенная цена максимальная (минимальная цена)
Перечень типовых задач с использованием вычислительной техники
1. Используя пакет EXCEL в среде WINDOWS осуществить расчетыпоказателя дюрации с помощью встроенных финансовых функций.
2. С помощью встроенных статистических функций пакета EXCEL в среде
WINDOWS осуществить расчеты коэффициентов и на базе следующих исходных данных (см. таблицу).

Теория статистики. Учебник\ Под ред.
1. Миркин Я.М. Ценные бумаги и фондовый рынок.- М.;Перспектива,-19952. Теория статистики. Учебник\ Под ред. проф. Шмойловой Р.А.- 2-е изд., доп. и
перераб. - М.; Финансы и статистика, 1998
3. Четыркин Е.М. Методы финансовых и коммерческих расчетов. - М.: Дело Лтд., 1995.-
4. Шарп У, Александер Г, Бэйли Дж, Инвестиции Пер. с англ, М.; Инфра - М, 1997
5. Brigham E. Fundamentals of Financial Management.- USA: The Dryden Press, 1992
Список литературы для углубленного изучения темы
1. Драйжер Н., Смит Г. Прикладной регрессионный анализ. в двух книгахМ.;Перспектива,-1986-1987гг.
2. Bodie Z.,Kane A., Narcus A. Investments/ IRVIN . 1998
3. Лобанов А. Индексы акций на российском фондовом рынке.// Деловой партнер.-
1995 г. -№1, с.3-18
4. Ованесов А. Как построить marcet-price на российском рынке.// Рынок ценных
бумаг. - 1995 № , с.51-54
Приложение 1
и практическое пособие по финансовым
Мелкумов Я.С. Теоретическое и практическое пособие по финансовым вычислениям. - М.: Инфра- М, 1996.
Рубцов Б.Б. Зарубежные фондовые рынки. - М.; Инфра - М , 1997
Cartledge P. A Handbook of Financial Mathematics. -L.: Euromoney Books, 1991
Chandra P. Financial Management: Theory and Practice. -New Dehli: Tata Mc. Crow-Hill Publishing Company Ltd, 1993
Упражнения по главе .Статистика ценных бумаг
1. Рассчитать доходность к погашению на базе простого и сложного процента, если ГКО приобретается по цене 84% от номинала со сроком до погашения а) 90 дней, б)240 дней.2. Определить текущую доходность акций АО .А., если за 10000 акций номиналом 1000 руб. инвестором было уплачено 12360000, дивиденды составляют 9%.
3. Инвестор приобрел акции АО .Б. за 1100 руб. Номиналом 1000 руб. Размер дивиденда 10% годовых .В настоящее время курсовая стоимость акции 700 руб. Определите текущую доходность акции.
4. Инвестор приобрел пакет акций АО в количестве 150 штук номиналом 10000 за
2млн., через год 3 месяца он продал указанный пакет за 2,2 млн. руб-
лей. Определите полную реализованную доходность.
5. Рассчитать показатель дюрации облигаций с следующими параметрами:
-Облигация А : купон 12%, срок погашения - 5 лет, рыночная цена 1250
руб., номинал 1000руб.
-Облигация Б : купон 8,5%, срок погашения - 6 лет, рыночная цена 1100
руб., номинал 1000руб.
6. Определить с помощью показателя модифицированной дюрации : как изменяет-
ся цена 7 - летней облигации с купоном 10%, рыночная стоимость которой состав-
ляет 1200 руб. (при номинале 1000 руб.) при понижении доходности на 0,01.
7. Определить, какая из следующих акций является наиболее рискованной:

8.Инвестор имеет возможность сформировать портфель из следующих ценных бумаг (доходность не нормирована):

Ключевые термины
торговый оборот по ценным бумагамколичество совершенных сделок по ценным бумагам
оборачиваемость ценной бумаги
рейтинговая оценка ценных бумаг
купонная ставка
текущая курсовая ставка
доходность к погашению
аукционная доходность
купонная доходность
доходность к средней жизни
доходность к эквивалентной жизни
дюрация
ожидаемая ставка доходности по акциям
реализованная ставка доходности по акциям
среднеквадратическое отклонение ставок доходности
портфельная доходность
портфельный риск
Программа дисциплины "Высшие финансовые вычисления"
1. Введение в высшие финансовые вычисления.Необходимость высших финансовых вычислений и их значение в современных условиях.
Время как фактор стоимости. Место высших финансовых вычислений в экономико-статистическом анализе фондового рынка. Библиография методов финансовых вычислений.
Простые и сложные проценты.
Понятие и виды процентов и процентных ставок. Декурсивные и антисипативные проценты.Учетная ставка и ставка процента. Наращение и учет.
Наращение по простым процентам. Математическое дисконтирование и банковский учет по простым процентам. Финансовая эквивалентность и замена обязательств при простых процентах.
Наращение и учет по сложным процентам. Номинальная и эффективная ставка процентов.
Непрерывные проценты. Сила роста. Методы определения срока ссуды, частоты начисления (учета) процентов, величины процентной ставки. Особенности высших финансовых вычислений при инфляции.
Эквивалентность процентных ставок. Способы расчета средних ставок. Финансовая эквивалентность обязательств. Изменение условий контракта.
Временная стоимость денег. Ренты и аннуитеты
Потоки платежей. Настоящая и будущая стоимость денег. Аннуитет как вид потока платежей. Параметры аннуитета. Классификация аннуитета в зависимости от типа его параметров.Обычный аннуитет. Определение будущей и настоящей стоимости обычного аннуитета.
Нахождение параметров аннуитета. Анализ других видов постоянных аннуитетов. Конверсия аннуитетов.
Анализ переменных потоков платежей.
Аннуитет с переменным членом. Определение параметров аннуитетов с постоянным и относительным изменением платежей.
Методы количественного анализа непрерывных постоянных и переменных потоков платежей.
Оценка будущих и настоящих стоимостей нерегулярных потоков платежей.
разность между ценами закрытия торговой
Изменение цены - разность между ценами закрытия торговой сессии текущего дня и ценой закрытия торговой сессии предыдущего дня.
Средневзвешенная цена - средняя взвешенная цен, по которым
исполнены сделки с данной ценной бумагой в течение торговой сессии на фондовой бирже (в качестве весов выступает количество ценных бумаг, проданных по определенной цене).
Максимальная (минимальная цена)- наиболее высокая (наиболее низкая) цена, зарегистрированная в биржевых сделках с данной
ценной бумагой в течение торговой сессии (в течение месяца, квартала). В международной практике часто используется показатель максимальной (минимальной) цены, зарегистрированной в течение последних 52 недель (синоним года).
Единицами измерения ценовых показателей могут служить те
же единицы измерения, в которых номинирована ценная бумага. Вместе с тем для российской практики обычным является измерение цен в долларах США (в связи с высокой инфляцией в 1992-1996 г.г. и значительной долей иностранных инвесторов), а также в относительных величинах (в процентах от номинала).
Как правило, российские долговые ценные бумаги (облигации),
торгуемые на бирже, исчисляются и в абсолютном, и в относительном выражении. Например, цены на государственные краткосрочные облигации (ГКО) и облигации федеральных займов (ОФЗ) представляются в процентах от номинала.
Среднеквадратическое отклонение цен . расчетный показатель,
используется при анализе рискованности вложений в ценные бумаги бумаги (способ расчета и применения приведен в 13.4.3.1).
На российском рынке цены акций представлены как в рублях ,
так и в долларах США. В международной фондовой статистике принято исчисление ценовых и объемных показателей как в национальных валютах, так и (в целях международных сопоставлений) в долларах США.
Методы погашения долга
Количественные методы разработки планов погашения задолженности. Расходы по обслуживанию долга. Методы уплаты процентов по займу. Годовые расходы по погашению долга. Срочная уплата. Уплата долга разовым платежом с созданием погасительного фонда. Погашение займа врассрочку.
Особенности планирования погашения льготных ссуд потребительских и ипотечных задолженностей.
Анализ эффективности финансовой деятельности
Методы определения доходности (финансовой эффективности) денежно-кредитной операции. Сравнение условий коммерческих соглашений. Анализ финансовой эффективности инвестиций. Система показателей оценки эффективности. Дисконтирование при исчислении чистого приведенного дохода. Расчеты срока окупаемости, внутренняя ставка доходности, рентабельности. Множественность внутренней ставки доходности. Статистические показатели риска инвестиций в проекты. Определение риска при различной корреляции денежных потоков.Анализ чувствительности проекта к факторам риска. Количественные методы выбора инвестиционных проектов по уровню доходности и риска.
Финансовая схема лизинга.
Статистика ценных бумаг
Облигация как объект статистического изучения.Методы высших финансовых вычислений для расчета теоретической цены купонной облигации. Исследование воздействия уровня рыночной процентной ставки на теоретическую оценку
облигации. Премия и дисконт по облигации.
Расчет показателей доходности к погашению, текущей доходности, купонной доходности.
Особенности расчета доходности к погашению различных типов облигаций: бескупонных, отзывных, "вечных". Определение показателей доходности российских долговых ценных бумаг.
Расчет показателей, характеризующих доходность облигаций с фондом погашения: продолжительность среднего и эквивалентного срока до погашения и доходности к эквивалентному сроку
до погашения.
Оценка доходности портфельных инвестиций. Методы оценки процентного риска вложений в облигации. Расчет средней продолжительности жизни облигации (дюрации) как меры риска изменения рыночной процентной ставки и риска реинвестирования. Показатель модифицированной дюрации. Показатели чувствительности облигации к изменению рыночной процентной ставки.
Расчет коэффициентов выпуклости.
Методы высших финансовых вычислений, используемых при секьютиризации активов.
Стриппирование портфеля ценных бумаг. Количественные методы при секьютиризации пула ипотеки.
Акция как объект статистического изучения. Показатели доходности акции: дивиденд, совокупная доходность, курс. Методы оценивания акций. Статистический анализ влияния движения дивидендов и уровня рыночной процентной ставки на цену акции. Система показателей рынка акций.
Анализ показателей российского рынка акций.
Вексель как объект статистического изучения. Статистическое изучение движения векселей
и расчетов по ним. Вексельный курс.
Депозитный и сберегательный сертификат как объект статистического изучения. Оценка депозитных и сберегательных сертификатов.
Обобщающие статистические показатели рынка ценных бумаг, фондовые индексы в международной практике. Статистические методы, используемые при формировании фондовых индексов.
Цели создания фондовых индексов. Индексы облигаций. Индексы акций. Отбор акций для включения в индекс. Страновые фондовые индексы, международные индексы, индексы, используемые на
российском фондовом рынке.
Биржевая статистика. Статистическое изучение внебиржевых рынков
Понятие и виды цен. Биржевые цены и курсы как предмет статистического изучения. Котировки, стартовые и типичные цены. Статистическая закономерность и закон больших чисел в формировании усредненной цены на бирже. Методология расчета индексов цен. Индексы биржевыхкотировок.
Статистика операций на фондовой бирже. Цены открытия, исполнения, закрытия. Цены спроса и предложения: текущая, низшая, высшая. Статистические методы исчисления уровня, среднего уровня, динамики финансовых показателей, характеризующий фондовый биржевой рынок.
Анализ факторов, влияющих на уровень и изменение котировок ценных бумаг на фондовой бирже.
Расчетная цена публикаций информации о результатах торгов на фондовой бирже.
Публикация результатов сделок на фондовых биржах России и за рубежом.
Статистика операций на валютной бирже. Курс валют. Сущность валютной котировки на бирже. Официальные и реальные курсы валют. Статистические показатели уровней и динамики валютных курсов на бирже.
Средняя цена валютного курса одной биржи, ряда бирж. Исчисление среднего уровня динамического ряда по результатам торгов валютных бирж.
Публикация результатов сделок на валютных биржах России и за рубежом.
Статистика операций на организованных рынках межбанковских кредитов. Основные показатели уровня и динамики цены кредитов. Публикация итогов сделок по рынку межбанковских кредитов.
Понятие рыночной конъюнктуры. Методология статистического анализа биржевой конъюнктуры спроса и конъюнктуры рынка.
Прогнозирование спроса, предложения, цены сделки.
Статистическое изучение внебиржевых рынков ценных бумаг.
Статистика процентных ставок
Сущность, виды процентных ставок и задачи их статистического изучения.Анализ среднего уровня и показателей вариации процентных ставок.
Значение исследования уровня и динамики учетной ставки. Статистический анализ факторов, влияющих на уровень учетной ставки и его взаимосвязи с процентной ставкой коммерческих кредитных учреждений. Оценка влияния ставок процента на доходность ценных бумаг.
Кривая доходности. Статистическая оценка движения процентных ставок. Проверка их колебаний на случайность. Исследование "валового" движения процентных ставок. Статистический анализ циклических колебаний ставок процента, их связь с опорными экономическими циклами.
Методы выявления основной тенденции динамики процентных ставок.
Источники информации о процентных ставках.
Статистика валютных курсов
Понятие валютных курсов и валютной котировки. Официальные и реальные курсы валют.Валютные котировки. Валютная маржа. Курс " спот" и "форвард". Курсы "продавца" и "покупателя". Фьючерсы.
Система показателей уровня и динамики валютных курсов. Средний уровень валютного курса. Курсы СДР и ЭКЮ. Исследования вариации курсов валют. Индивидуальные индексы валютного курса. Исчисление индексов эффективного и реального эффективного валютного курсов.
Методы анализа влияния факторов на уровень и динамику валютных курсов.
Основные методы прогнозирования валютных курсов: экспертные методы, технический анализ, экспоненциальной скользящей средней, на основе регрессионных моделей.
Источники информации о валютных курсах. Валютные биржи. Статистические методы наблюдения купли-продажи валют на "черном" рынке.
План семинарских занятий по дисциплине "Высшие финансовые вычисления"
Тема 1. Простые и сложные проценты.( 2 часа )
1. Наращение и дисконтирование по правилу простого и сложного процента.
2. Расчеты различных видов доходности.
3. Эквивалентные ставки. Эффективная ставка.
Литература:

Тема 2. Временная стоимость денег. Ренты и аннуитеты
1. Аннуитет. Расчеты настоящей и будущей стоимости аннуитетов.
2. Определение параметров аннуитетов.
3. Оценка будущих и настоящих стоимостей нерегулярных потоков платежей.
Литература:

Тема 3. Анализ переменных потоков платежей
1. Конверсия аннуитетов.
2. Аннуитет с переменным членом. Определение параметров аннуитетов с постоянным и
относительным изменением платежей.
3. Непрерывные потоки платежей.
Литература:

Тема 4. Методы погашения долга
1. Погашение долга разовым платежом.2. Погашение долга равными платежами.
3. Погашение долга постоянными срочными уплатами.
4. Формирование планов погашения ипотечных ссуд.
Литература:

Показатели объем в биржевых торгов
Следующая группа показателей характеризует объемы сделок, проводимых на первичном и вторичном биржевых рынках. Указанные показатели используются для анализа динамики развития биржевых рынков, оценки их ликвидности, в техническом анализе при сопоставлении с ценовой динамикой для прогнозирования цен.Тема 5. Анализ эффективности финансовой деятельности
1. Расчет чистой приведенной стоимости, срока окупаемости, коэффициента рентабельности, внутренней ставки доходности, модифицированной ставки доходности.2. Расчет статистических показателей риска инвестиций в проекты (ожидаемого значения чистой приведенности и ее дисперсии ) при различной коррелированности денежных потоков.
3. Анализ чувствительности проекта к факторам риска.
Литература:

Тема 6. Статистика долговых ценных бумаг
1. Принципы оценки ценных бумаг. Оценка облигаций.
2. Расчет доходности к погашению различных типов облигаций.
3. Кривые доходности. Практические приложения кривых доходности: стриппирование купонных облигаций, техника управления гэпом.
4. Расчет текущей и купонной доходности облигаций.
5. Расчет показателей, характеризующих доходность облигаций с фондом погашения.
6. Расчет доходности российских долговых обязательств.
Литература:

Тема 7. Статистика долевых ценных бумаг. Портфельное инвестирование
1. Методы оценки акций.
2. Оценка акции на основе модели Гордона.
3. Расчет различных видов доходности акций.
4. Оценка доходности портфельных инвестиций.
Литература:

Тема 8. Расчет показателей рискованности вложений в ценные бумаги
1. Оценка процентного риска вложений в облигации.
2. Расчет показателей дюрации и модифицированной дюрации.
3. Расчет показателей чувствительности облигаций к изменению рыночной процентной
ставки.
4. Статистические методы, используемые при расчете рискованности вложений в акции.
5. Оценка рискованности портфельных инвестиций.
Литература:

Тема 9. Обобщающие статистические показатели рынка ценных бумаг
1. Фондовые индексы и средние статистические методы, используемые при формировании
фондовых индексов.
2. Индексы акций и облигаций: страновые и международные.
3. Проблемы разработки российских фондовых индексов.
Литература:

Первичный рынок
Объем выпуска (эмиссия) - показатель, характеризующий эмиссию ценных бумаг (рассчитывается как произведение рыночной стоимости на количество). Иногда, в специально оговоренных случаях, используется показатель номинальной цены для расчета объема выпуска по номиналу (например, в отношении государственных долговых обязательств).
Объем размещения - показатель, характеризующий общий объем ценных бумаг, приобретенный инвесторами на аукционах (первичное размещение ценной бумаги). Рассчитывается по номиналу.
Объем выручки от продажи- показатель, характеризующий общий объем ценных бумаг, приобретенный инвесторами на аукционах (первичное размещение ценной бумаги). Рассчитывается по фактическим ценам приобретения.
Показатель привлечения средств в бюджет рассчитывается как
разность между объемами привлеченных и погашенных выпусков (если речь идет о государственных ценных бумагах или долговых обязательствах органов местного самоуправления).
Пример биржевой статистической информации, характеризующей состояние первичного рынка государственных краткосрочных облигаций (ГКО) и облигаций федеральных займов (ОФЗ), существующего в рамках Московской межбанковской валютной биржи, приведен в табл. 8.2.


Вторичный рынок
Число заключенных биржевых сделок - натуральный показатель (например, в тыс. шт.), характеризующий количество зарегистрированных биржевых сделок по покупке-продаже ценных бумаг (в течение одной торговой сессии, месяца, квартала и т.д.)Оборот по продаже ценных бумаг - показатель, рассчитываемый как сумма стоимостных объемов зарегистрированных биржевых
сделок по покупке-продаже ценных бумаг(в течение одной торговой сессии, месяца, квартала и т.д.).
Фондовые биржи используют различные методы расчетов для
составления статистики оборота .Это значит, что показатели оборота разных фондовых бирж могут быть несопоставимы. Существующая классификация делит биржи на две группы: принимающие стандарт TSV и те, кто использует стандарт REV. Биржи- TSV считают только сделки прошедшие их торговую систему или происшедшие на полу. REV- биржи включают в оборот все операции.
Аналитиков могут интересовать такие показатели, как :
средняя сумма биржевой сделки (выяснение того, насколько
крупно- или мелкооптовый характер носит биржевой рынок)
структура биржевых сделок (доля особо крупных сделок, для
проведения которых разрабатывают специальные биржевые процедуры, доля сделок с неполными лотами и т.д.)
Количество проданных ценных бумаг- натуральный
Количество проданных ценных бумаг- натуральный показатель, характеризующий количество ценных бумаг (например, тыс. шт.),проданных в результате зарегистрированных биржевых сделок (в течение одной торговой сессии, месяца, квартала и т.д.).
Данные показатели рассчитываются по видам ценных бумаг, по
эмитентам, а также в сводном, агрегированном виде. Примеры приведены в таблице 8.3.


Статистические таблицы, используемые в анализе результатов биржевых торгов
Для первичного исследования результатов биржевых торгов целесообразно использовать различные статистические таблицы.
Показатели биржевой статистики формируются обычно в различных группировках, что дает возможность вести целевой анализ, выделять факторные взаимосвязи. Наиболее обычными являются группировки по странам, по отдельным фондовым биржам, в разрезе видов
ценных бумаг, отраслей и регионов, по категориям инвесторов, с оценкой по номинальной и рыночной стоимости и т.д.
Часто информационные источники предоставляют показатели
доходности биржевых ценных бумаг , ценовые и объемные показатели, характеризующие биржевые рынки, в комбинированном виде с тем, чтобы создать возможность для комплексного оперативного и наглядного анализа результатов биржевых торгов. Пример такой группировки, публикуемой Московской межбанковской валютной биржей, приведен в табл. 8.4.

Эта таблица дает возможности анализа ценового уровня биржевого рынка, его внутридневной колеблемости, ликвидности (количество сделок и объем рынка) и активности. Например, очевидно, что выпуск ГКО 21070 был наиболее ликвидным, поскольку количество сделок и наоборот по этому выпуску являлись максимальными. Кроме того, показатели по различным ценным бумагам полностью сопоставимы, что дает возможность проводить сравнительный анализ ценных бумаг для их выбора в качестве объектов инвестирования.
Показатели качества фондового биржевого рынка
Показатели качества фондового рынка включают показатели емкости, ликвидности, концентрации, оцененности рынка.Емкость рынка характеризует насыщенность рынка финансовыми инструментами и участниками рынка.
Емкость фондового биржевого рынка характеризуется следующими статистическими показателями:
количество эмитентов (акций, облигаций и др.), прошедших листинг. Пример приведен в табл. 8.5.

капитализация рынка (произведение количества акций, находящихся в обращении на их рыночную стоимость в текущий момент времени). Этот показатель характеризует масштабы рынка, дает возможность сравнивать рынки между собой по стоимости капиталов, обращающихся на рынке.
Кроме показателя капитализации рынка, рассчитывается
Кроме показателя капитализации рынка, рассчитывается показатель капитализации кампании. Этот показатель рассчитывается как произведение количества акций компании, образующихся на рынке, на их рыночную стоимость. Этот показатель позволяет оценить рыночную стоимость компании в текущий момент времени.
Пример группировки, включающей крупнейшие - по капитализации фондовые биржи мира приведен в табл. 8.6.

рыночная стоимость обращающихся (непогашенных) долговых ценных бумаг в текущий момент времени (государственных, муниципальных, корпоративных).
На основе показателей емкости рынка может делаться анализ структуры биржевых рынков с точки зрения того, носят ли они облигационный характер или же преобладает торговля акциями.
Предмет и задачи биржевой статистики
В широком смысле фондовая биржа является организованным рынком для торговли стандартными финансовыми инструментами (ценными бумагами и срочными контрактами). Этот рынок создается профессиональными участниками рынка ценных бумаг для взаимных оптовых операций.
В отличие от внебиржевого рынка фондовая биржа- это лучший
рынок, создаваемый для лучших ценных бумаг лучшими (крупнейшими, пользующимися доверием и финансово-устойчивыми) посредниками, работающими на фондовом рынке.
Процессы на бирже носят массовый характер и имеют количественную оценку, следовательно, фондовая биржа может выступать объектом статистического исследования.
Основными задачами фондовой биржи являются:
обеспечение перераспределения свободных денежных ресурсов и привлечение капиталов эмитентами для развития производства;
раскрытие информации и перераспределение рисков в хозяйстве;
установление справедливых цен на финансовые ресурсы на
основе свободного, конкурентного и ликвидного рынка.
Как следует из таблицы, доля
Соответствующий пример содержится в таблице 8.7.

Как следует из таблицы, доля эмитентов, относящихся к государственному сектору, (облигации) колеблется на различных биржевых рынках от четверти до примерно 80 % объемов всего рынка, в зависимости от модели рынка (например, он носит облигационный характер или на нем более важную - в сравнении с другими рынками -роль играют акции), от политики государства в качестве эмитента.
Соответственно, приведенные данные дают количественные ориентиры и возможность прогнозировать роль государства как эмитента на российских организованных рынках ценных бумаг.
и обширной торговли, способность поглощать
Ликвидность рынка . это возможность успешной и обширной торговли, способность поглощать значительные объемы ценных бумаг в короткое время при небольших колебаниях курсов и при низких издержках на реализацию
К показателям ликвидности относятся:
оборачиваемость ценных бумаг (рассчитывается как стоимостной объем совершенных сделок за период, деленный на капитализацию рынка). Соответственно, чем выше показатель оборачиваемости,
тем выше ликвидность рынка
ликвидность рынка также характеризуется объемами оборота и размерами спрэда
Качество фондового рынка можно оценить с помощью коэффициента концентрации рынка (например, доля крупнейших эмитентов в биржевом обороте).Так, например, проведены расчеты доли 20-ти крупнейших эмитентов в капитализации рынка.
Соответствующие расчеты (за 1996 г.) проведены для
Нью- Йоркской фондовой биржи- 24,4%,
НАСДАК (США)- 22,2%,
Токийской фондовой биржи- 25,5%,
Лондонской фондовой биржи- 28,7%,
германских бирж- 55%,
Парижской фондовой биржи- 44,3%.
Соответственно, российский аналитик может предположить, что уровень концентрации российских организованных фондовых рынков вокруг группы из 20 крупнейших эмитентов также будет составлять 20-50 % рынка.
Важное значение имеет показатель оцененность рынка. Оценивается, насколько общий уровень цен, присущий биржевому рынку, соответствует своей «материальной базе»- финансовому состоянию эмитентов.
С этой целью обычно используется
С этой целью обычно используется показатель P/E (Price/Earnings) - отношение рыночной цены акции к прибыли эмитента, приходящейся на одну акцию.Так, например, аналитик может попытаться ответить на вопрос о
том, насколько велик потенциал роста курсовой стоимости акций, обращающихся на биржевом рынке.
Признаком недооцененности рынка, ценовой ямы считается низкий уровень коэффициента Р/Е (цена 1 акции к прибыли, приходящейся на одну акцию). Величина этого показателя для различных рынков приведена в табл. 8.8.
Для развитых рынков уровень их денежной оценки в среднем выше, чем для развивающихся (от 14-15 и выше). Для развивающихся рынков - Р/Е в Азии, ставшей до осени 1997 г. основным центром притяжения иностранных капиталов, в среднем выше, чем в Центральной и Восточной Европе и Латинской Америке.
1 полугодии 1996г. российский рынок
Соответственно, в 1 полугодии 1996г. российский рынок акций
был исключительно недооценен и обладал значительным потенциалом для резкого роста- до уровня Р/Е в 9-10,0.
С лета 1996 г. до осени 1997 г. начался резкий рост курсов российских акций (в несколько раз). При этом в 1996 г.г. упали объемы прибыли, создаваемой в хозяйстве.
В результате, рынок акций крупнейших эмитентов оказался
близким к предельному уровню цен для развивающихся рынков
или даже переоцененным (что создало потенциал значительного падения рынка осенью 1997- весной 1998 гг.).
Аналитиков могут интересовать такие показатели, как:
средняя сумма биржевой сделки (выяснение того, насколько крупно- или мелкооптовый характер носит биржевой рынок)
структура биржевых сделок (доля особо крупных сделок, для проведения которых разрабатывают специальные биржевые процедуры, доля сделок с неполными лотами и т.д.)
Статистические показатели фондовых бирж как организаций, ведущих хозяйственную деятельность
Всеми фондовыми биржами публикуются статистические пока, их хозяйственно-финансового положения (капитал, численность персонала, структура баланса, структура доходов и расходов). Например, данные и их анализ, проведенный в рамках Международной федерации фондовых бирж (International Federation of Stock Exchanges, годовой отчет, 1995) показывают следующее. Капитальная база бирж-членов федерации колеблется от более чем 800 млн. долл. США (Париж) до нескольких десятков миллионов долл. США.Численность персонала - от более 1,5 тысяч (Нью-Йорк, Корея) до нескольких десятков человек ( на региональных биржах, например, в Штуттгарте, Германия, численность может не превышать и 10 человек).
Отличной от других хозяйственных организаций является структура доходов фондовых бирж. Ее характеризуют такие публикуемые статистические показатели, как:
плата за листинг
взносы членов биржи
продажи финансовой информации
продажи технологий, математического обеспечения
Указанные показатели используются для выявления и анализа
тенденции к коммерциализации фондовых бирж в качестве тенденции, проявившейся в последнее десятилетие (см. табл. 8.9 ).

Из данных, приведенных выше, следует, что несмотря на незначительное снижение в 90-х гг. доли средств, .зарабатываемых биржей. и не связанных с платой за листинг и взносами членов биржи, именно эта категория финансовых источников является основной в структуре доходов биржевых организаторов торговли.
Чтение международных биржевых статистических данных (акции и облигации)
Российский фондовый рынок даже на начальном этапе становления, на котором он сейчас находится (по международной терминологии рынки такого типа называют возникающими или формирующимися рынками), функционирует во взаимосвязи с мировыми рынками ценных бумаг.Важнейшие информационные источники, как уже отмечалось,
международных биржевых статистических данных - фондовые биржи, информационные агентства («Рейтер», «Блумберг», «Тенфор» и др.), финансовая пресса («The Financial Times», .The Wall Street Journal. И др.), Международная федерация фондовых бирж, Международная финансовая корпорация, входящая в группу Мирового банка, и др. Статистическая информация о деятельности бирж формируется по результатам торгов, в реальном масштабе времени (данные о ценах по совершенным сделкам), что делает ее доступной в информационных сетях.
Очень много текущей и агрегированной информации в «Интернете».
Чтение международных биржевых статистических данных (акции и облигации)
Приведем типичный формат представления биржевой информациипо итогам работы бирж за день (источник -.The Wall Street Journal., отчет о сделках на Нью-йоркской фондовой бирже) Таблица 8.10

Указанные показатели имеют следующее содержание:
Stock - Название компании выпустившей акции
Div - Размер последнего выплаченного дивиденда в годовом исчислении в расчете на одну акцию
Yld %- Доходность акций, исчисляемая как частное от деления величины дивиденда на цену акции на момент закрытия
P/E - Отношение рыночной цены акции к прибыли эмитента, приходящейся на одну акцию
Hi - Максимальная цена акции за день
Lo - Минимальная цена акции за день
Close- Цена акции на момент закрытия биржи
Net Chg - Чистое изменение курса: разница между ценами закрытия за текущий и предшествующий день.
Чтение международных биржевых статистических данных (акции и облигации)
Российские информационные агентства приобретают у зарубежных поставщиков данные по международным биржевым рынкам и предоставляют информацию российским пользователям. Формат представления обычно адаптируется, с учетом российской терминологии, цены выражаются в десятых (а не в восьмых) долях (см. табл. 8.11 )
Широко используются статистические оценки "наиболее активных" ценных бумаг (по которым совершено наибольшее количество
сделок), изменения их курсов, капитализации рынка акций и рыночной стоимости обращающихся долговых ценных бумаг. Каждая фондовая биржа, как правило, рассчитывает на базе информации о ценах свой фондовый индекс, который является самостоятельным биржевым продуктом, предназначенным к коммерческому распространению
Биржевая статистика производных ценных бумаг
Производная ценная бумага . стандартные, обращающиеся срочные контракты, дающие право на поставку таких базовых ценных бумаг, как акции, облигации, портфель ценных бумаг (индексные контракты) и прочие. Оценка производных ценных бумаг зависит от динамики курсовой стоимости базовых активов.В биржевой статистике производных ценных бумаг широко распространены следующие показатели:
- количество заключенных контрактов опционов на акции;
-объем торговли опционами на акции;
-количество заключенных контрактов опционов на индекс;
-объем торговли опционами на индекс;
-количество заключенных контрактов фьючерсов на индекс;
-объем контрактов фьючерсов на индекс.
Указанные показатели формируются на основе ежедневного
учета зарегистрированных сделок в торговой системе биржи. Соответственно, указанные показатели рассчитываются за день, неделю, месяц квартал, год.

Фондовые индексы и средние Статистические методы, лежащие в основе фондовых
В первую очередь к индикаторам, характеризующим состояние фондового рынка, необходимо отнести фондовыеиндексы и фондовые средние.
Фондовые средние
Расчет фондовых средних базируется на использовании средне-
арифметических, среднегеометрических и среднегармонических
значений. Среднеарифметическая цена Pa , рассчитываемая по N акциям:

где Pi - цена каждой акции в момент времени t, N - количество акций.
Предмет биржевой статистики.
Предметом биржевой статистики являются количественные характеристики массовых биржевых процессов обращения ценных бумаг и перераспределения на этой основе финансовых ресурсов и рисков в хозяйстве, а также показатели биржевой инфраструктуры и функционирования бирж как хозяйственных объектов.
Фондовые индексы и средние Статистические методы, лежащие в основе фондовых
На базе среднеарифметической рассчитывается несколько типов рыночных индикаторов, прежде всего группа индексов Доу- Джонса(традиционно они называются индексами, хотя по характеру расчета
являются средними).
Изменение Pa во времени указывает на характер изменения рынка (падение или рост курса).
Для отражения структурных изменений, т.е. изменений в наборе
или количестве компаний, на базе которых рассчитываются указанные индексы, вводится поправочный коэффициент-делитель Dt , позволяющий сопоставлять последующий и предыдущий индексы:

- предшествующий делитель (в общем случае равен количеству компаний);
- последующий делитель;
- сумма цен всех акций после внесения изменений;
- сумма цен всех акций до внесения изменений
Пример. Цены акций компании А - 2600 руб., Б - 3525 руб., В -
2850 руб., Г - 2050 руб.. Из расчета исключаются акции компании В с ценой за акцию 2850 руб. и добавляются акции компании Д с ценой за акцию 3200 руб. Определить поправочный коэффициент D1 :

Методы статистического анализа используемые при оценке рискованности инвестиций
Одним из важных элементов САРМ - модели является понятие бета-коэффициента (), который отражает ту степень, с которой доход по данной акции "движется" вместе с рынком.
"Движение" рынка определяется тенденциями общепринятых на данном
рынке фондовых средних и индексов.
Если при изменении рынка на 10 пунктов, акция также падает на 10
пунктов, то считается, что у такой акции =1,0. Если =0,5, то акция только наполовину следует за рынком. Если же =2,0, то акция в два раза более подвижна, чем рынок.
Иначе говоря, акция с высоким -коэффициентом более колеблема, чем
акция с низким -коэффициентом. Таким образом, -коэффициент выступает, как мера риска.
Возможно сформулировать зависимость между риском по тому или иному
виду ценных бумаг и требуемой ставкой доходности.
Допустим,
Кi - требуемая ставка доходности по i-акции;
КRF - ставка доходности, свободная от риска;
КM - рыночная ставка доходности
Следовательно, (КM - КRF) есть рыночная премия за риск.
В связи с изложенным связь между рискованностью акций и ее
доходностью может быть выражена:
требуемая ставка доходности по данному виду акций пропорциональна
ставке доходности, свободной от риска, плюс рыночная премия за риск, умноженная на соответствующий -коэффициент:

Фондовые индексы и средние Статистические методы, лежащие в основе фондовых
Этот механизм работает как в случае добавления, удаления, так ив случае сплита (дробления) акций.
Индекс Доу-Джонса рассчитывается в общем случае с использованием делителя- поправочного коэффициента следующим образом:

где I0 . значение индекса в базисный момент времени.
Среднеарифметической величине присущ ряд недостатков, которые делают использование этого подхода особенно уязвимым при работе на фондовом рынке. Так, очевидно, что при использовании невзвешенной среднеарифметической большее влияние оказывают акции с более высокой стоимостью.
Пример. Цены акции следующих компаний и рассчитанная их средняя арифметическая представлены ниже:

При увеличении цены самой дорогой акции компании А на 10%
Pa будет равна 615, относительное изменение средней составит отн.
=6,034%, а при увеличении цены самой дешевой акции компании Б на 10% Pa будет составлять 582,50, изменение в средних составит только отн =0,431%.
Очевидно, что невзвешенные среднеарифметические адекватно
представляют однородную статистическую совокупность, т.е. такую, у которой разрыв между максимальным и минимальным значениям, а также другие показатели вариации невелики.
Фондовые индексы и средние Статистические методы, лежащие в основе фондовых
В случае же большой колеблемости признака в статистической совокупности целесообразнее для ее характеристики использовать расчет среднегеометрической величины:
Пример. Отношение цен акций следующих компаний:

Среднегеометрическая лежит в основе таких широкоизвестных фондовых индикаторов, как Value Line Аverage, которая рассчитывается на базе 1700 акций, Financial Times 30 - Share Index, в состав которого входят акции 30 компаний и еще ряда фондовых индикаторов.
Значительно реже для построения фондовых средних используется среднегармоническая величина.:


Фондовые индексы
При расчете фондовых индексов используются агрегатные индексы, рассчитываемые на базе формул Ласпейреса, Пааше и Фишера, на основе способа взвешенной капитализации, при котором цены акций взвешиваются по объему их присутствия на рынке. Общим принципом является то, что значение индекса на определенную дату принимается за базовый уровень (100, 1000 и т.д.). В последующем динамика индексов оценивается по отношению к базовому уровню.Формула Ласпейреса предполагает исчисление фондовых индексов следующим образом:

Формула Пааше предполагает исчисление фондового индекса следующим образом:
Формула Фишера - т.н. идеальная формула - предполагает расчет фондового индекса с использованием среднегеометрической из индексов, рассчитанных на базе формул Ласпейресе и Пааше:

Исчисление фондового индекса по формуле
Пример. Исчисление фондового индекса по формуле Ласпейреса.
Базовый индекс составлял 200, тогда:

Большинство индексов акций, использующих формулы Ласпейреса, Пааше или Фишера, являются индексами, отражающими капитализированный доход, т.е. доход, полученный на разнице цен покупки и продажи акций.
Индекс полной доходности (для акций) отражает включение выплаченного дивиденда (формула Ласпейреса):

где Di - размер общего дивиденда по i-й акции в погашении базового периода. В случае облигации - включается купонный доход.
Российские фондовые индексы
Индексы, рассчитываемые на российском фондовом рынке, преследуют те же цели, что и индексы развитых фондовых рынков: отражение движения рынка, реализация возможности игры на индекс.Индекс российской торговой системы (РТС- индекс) рассчитывается и поддерживается Информационным комитетом ПАУФОР. Отражает движение внебиржевого рынка акций, торгуемых в Российской торговой системе.
Актуальная методика расчета индексов РТС приведены в сети
«ИНТЕРНЕТ» по адресу До организации торгов в Российской торговой системе важнейшей проблемой
при расчете индексов была проблема установления цены по акциям. Для решения этой задачи было предложено несколько способов, в том числе способ используемый в методике расчета группы индексов информационного агентства AK&M.
Методика расчета группы индексов АК & М
Индексы группы АК&М поддерживаются агентством АК&М. В группу индексов входят отраслевые, промышленный, банковский, композитный индексы.Проблема создания достоверных российских фондовых индексов состоит прежде всего в том, что российский рынок акций - на момент
создания индекса являлся в основном внебиржевым рынком, где сложно получить информацию о ценах по совершенным сделкам. Методика предполагает использование расчетных цен для определения индекса.
Индекс рассчитывается на базе формулы Пааше.
Особенностью данного индекса является расчет цен на текущий и предыдущий период. Прежде всего в расчете участвуют только ценные бумаги, по которым имеется не менее 3-х котировок на продажу и не менее 3-х котировок на покупку.
Затем рассчитывается средняя цена покупки как среднее арифметическое от всех котировок на покупку, выставленных в течении дня, за исключением 10 процентов худших( минимальных по цене) предложений.
Аналогичным образом рассчитывается средняя цена продажи как среднее арифметическое от всех котировок на продажу за день ,
без учета 10 худших ( максимальных по цене) предложений.
Непосредственно котировальная цена рассчитывается как среднее арифметическое от среднего лучших 25 котировок на покупку и
среднего лучших 25 котировок на продажу. АК&М рассчитывает следующие виды индексов:
индекс акций банков (в расчет принимаются акции 10 ведущих российских банков);
индекс акций промышленных предприятий( рассчитывается на базе
30 предприятий восьми отраслей промышленности);
сводный индекс АК &М;
отраслевые индексы АК &М, включающие индексы черной металлургии, цветной металлургии, нефтегазодобычи, нефтехимии, энергетики, лесной промышленности, машиностроения, связи, транспорта.
При формировании индексов существуют определенные критерии, позволяющие включать в расчет индексов те или иные акции, оказывающие влияние на фондовый рынок и отражающие его динамику. В качестве таких критериев используются рыночная капитализация, наличие достаточно ликвидного рынка данных акций.
Рыночная капитализация рассчитывается только по обыкновенным акциям, по уже размещенным выпускам. Обновление листинга осуществляется ежеквартально (по данным бюллетеня .Фондовые индексы АК&М.).
Статистические методы, используемые при анализе показателей биржевой статистики
Характерными чертами биржевой статистики является, с однойстороны, огромные объемы перерабатываемой информации, а с другой стороны- очень высокая цена принимаемых решений. В связи с этим динамика указанных показателей, сложившаяся на рынке, подвергается мониторингу, тщательно анализируется с целью определения тенденций, сложившихся к данному моменту времени, исследуются возможности построения достоверных прогнозных значений. В настоящее время разработаны и активно используются ряд методов статистического анализа, некоторые из них оформлены в самостоятельные области, такие например, как технический анализ.
Рассмотрим методы статистического анализа цен акций, как одного из важнейших биржевых показателей. С этой целью используются статистические методы анализа временных (динамических) рядов.
Уровнями динамического ряда могут выступать
Уровнями динамического ряда могут выступать цены закрытия, цены открытия, средневзвешенные цены. Кроме того на базе исходной информации о ценах можно построить динамические ряды показателя доходности (по курсовым разницам) за определенные периоды. Статистические свойства подобных динамических рядов (цен и доходности) будут отличны друг от друга. Но их совместный статистический анализ оказывается весьма продуктивным.Как правило динамический ряд может быть описан либо аддитивной, либо мультипликативной моделью. Вид аддитивной модели
приведен ниже.

Yt -уровни динамического ряда;
Tt - тренд(тенденция);
Ct - циклическая компонента;
St - сезонная компонента;
Et -случайная компонента.
При помощи декомпозиции динамического ряда, как правило, удается определить и аналитически описать поведение каждой составляющей как функции от времени. Первый этап при реализации указанного подхода предполагает определение тенденции динамического ряда.
При решении этой задачи используется два подхода, один из которых состоит в использовании аналитических способов определения тренда, а второй опирается на графический способ выявления тенденции.
необходимо определить, существует ли тренд
Предположим, необходимо определить, существует ли тренд в исходном динамическом ряду, уровни которого представляют ценызакрытия по акциям компании ААА.
Условные данные за каждый рабочий день приведены в табл.8.13.

Построение и элементарный анализ графика данного динамического ряда позволяет сделать вывод о наличии тенденции в рассматриваемом динамическом ряду.
Задачи статистики фондовой биржи
Задачи статистики фондовой биржи:обеспечить сбор наиболее полной и адекватной информации
о фондовом биржевом рынке (ценные бумаги как товары, цены, сделки, эмитенты, инвесторы и финансовые посредники, объемы, уровень рисков, ликвидности рынка и т.д.);
создать информационную базу для принятия инвестиционных решений, регулирования и развития фондового биржевого
рынка;
совершенствовать методологию статистического наблюдения
за биржевыми процессами, выявления складывающихся закономерностей;
обеспечить - с информационной и методологической точки
зрения- контроль за базовыми финансовыми индикаторами, фор-
мирующимися на фондовой бирже и характеризующими состояние деловой активности, тенденции развития макроэкономики и т.д. ;
сформировать информационное обеспечение для статистического анализа и управления социально-экономическими процессами в той мере, в какой они отражаются или формируются в финансово-
кредитной сфере, разрабатывать соответствующую методологию анализа и осуществлять его;
разрабатывать методологию и осуществлять прогнозирование
биржевых показателей.
Фондовый биржевой рынок является одним из наиболее «стати
стически емких». По общему признанию, банки и брокерские компании, действующие на нем, занимаются не только перераспределением финансовых ресурсов и рисков, но и перераспределением финансовой информации (базирующейся на статистических показателях).
Динамика цен закрытия по акциям

Рис. 8.1. Динамика цен закрытия по акциям компании ААА (у.е.)
Если на базе приведенных данных о ценах рассчитать показатель ежедневной доходности по данной ценной бумаге, то будет сформирован динамический ряд ежедневной доходности. Расчет показателя доходности производится по формуле
Dt = (Pt -Pt-1)\Pt-1,
где Pt - цена ценной бумаги в теккущий t момент времени;
Pt-1 - цена ценной бумаги в теккущий (t-1) момент времени.
График изменения показателя доходности приведен на рис. 2.
Предварительный анализ графика показывает, что в данном ряду отсутствует тенденция, и для подтверждения этого вывода возможно использование более тонких аналитических инструментов.
Фактически исходный ряд цен заменяется относительными величинами их первых разностей, что как известно, в принципе, является одним из способов устранения тренда.
что тенденция обнаружена по показателю

Предположим, что тенденция обнаружена по показателю цены закрытия (но не по динамическому ряду доходностей). В этом случае на втором этапе необходимо решить задачу представления тренда в его аналитическом виде.
Существует несколько методов аналитического представления
тренда, в том числе:
Сглаживание с помощью простой скользящей средней
Сглаживание с помощью взвешенной скользящей средней
Аналитическое выравнивание с помощью различных аналитических кривых.
Сглаживание с помощью простой скользящей средней состоит
в том, что фактический уровень ряда заменяется средним уровнем, рассчитанным на базе m величин, где m - период сглаживания.
Уровень сглаженного ряда Y в этом случае может быть рассчитан как:
если период сглаживания нечетен

где t Y - текущий уровень сглаженного ряда динамики,
p=2m+1 . интервал сглаживания.
При четном интервале сглаживания используется специальная процедура центрирования, состоящая в том, что рассчитывается средняя из двух смежных скользящих средних для того, чтобы соотнести полученный уровень с определенной датой.
Результаты расчетов по динамическому ряду
Результаты расчетов по динамическому ряду цен закрытия по акции фирмы ААА приведены в таблице. Использована пятичленная скользящая средняя. График простой скользящей средней представлен на рис. 8.3.
Рис. 8.3. Исходный и выровненный с помощью пятичленной скользящей средней динамический ряд цен закрытия акций компании ААА (у.е.)
Метод взвешенной скользящей средней опирается
Метод взвешенной скользящей средней опирается на алгоритм, при котором уровни ряда, на базе которых исчисляется значение сглаженного ряда, берутся с определенными весами.Метод экспоненциального сглаживания дает более точное приближение к исходному ряду, улавливая колебания цен. На рисунке приведены графики исходного и сглаженного ряда с помощью экспоненциального сглаживания.

Рис.8.4. Исходный и экспоненциально сглаженный ряд
с тем динамическим рядам цен
Вместе с тем динамическим рядам цен акций (как и ряда других фондовых инструментов) присущ ряд особенностей, которые могутопределять специфику их анализа.
Прежде всего, это достаточно частые случаи резкого изменения
тенденции цены (например, повышательный тренд, так называемый
бычий, сменяется его противоположностью, так называемым медвежьим трендом). В этой ситуации возможно использование аналитической аппроксимации.
Для оценки параметров уравнения, максимально точно описывающего динамику цен акций используется метод наименьших квадратов, суть которого состоит в том, что подбирается такая аппроксимирующая кривая, при которой достигается минимум квадратов отклонений исходного ряда от теоретической кривой.
Аппроксимируем исходный ряд прямой, которая описывается
уравнением вида Y = at+b, после определения параметров уравнение
приводится к виду Y=2,02t + 41,34. Рассчитанный коэффициент детерминации r = 0,94 показывает очень сильную связь между теоретической моделью и динамическим рядом, что определяется качеством подобранной модели.
Графическое представление теоретической и практической кривой приведено на графике на рис. 8.5.
и сезонную компоненты. Графический анализ
Следующий, третий этап после выявления и описания тренда состоит в необходимости оценить циклическую и сезонную компоненты. Графический анализ позволяет сделать заключение о наличии сезонных волн в данном динамическом ряду. Анализ динамических рядов показателей цен закрытия и доходности показывает, что уровень цен закрытия в понедельник, исходя из приведенных данных всегда минимальный, а в течение недели он колеблется и достигает своего максимального значения в пятницу. В практике развитых фондовых рынков достаточно часто наблюдается это явление, которое получило название »эффекта выходного дня». Длина сезонной волны в этом случае равна пяти дням, необходимо оценить амплитуду колебаний.
Алгоритм нахождения сезонной волны предполагает
Алгоритм нахождения сезонной волны предполагает определение соотношения между соответствующими уровнями исходного динамического ряда и неким средним уровнем динамического ряда.
Таблица 8.14
Индексы сезонности цен акций компании ААА

На основании построения прогнозных значений по тренду и с учетом индексов сезонности возможно рассчитать прогнозные значения цен.
В качестве базовой величины возможно использование уровней сглаженного различными способами ряда, в нашем случае аппроксимация.
При анализе сезонности динамического ряда
При анализе сезонности динамического ряда показателя доходности в качестве базы сравнения используется средняя величина доходности в целом за период наблюдения.
Статистические методы, используемые в биржевой статистике, опираются на мощную поддержку программных средств . При этом возможно использование
программных средств общего назначения, как например пакет
EXEL в среде WINDOWS , в частности финансовые и статистические функции,
специальные статистические пакеты, такие как SPSS, STADIA, STATGRAPHICS.,
специальные пакеты технического анализа, такие как META STOCK и др.
8.6. Задачи для самостоятельной работы
8.1.Рассчитать показатель рыночной капитализации по акциям, котируемым на бирже и его изменение за год

8.2.Рассчитать показатель оборачиваемости по всем видам ценных бумаг в задании1, если стоимостной объем бумаг А составил в 1996 г. 145 млн. руб и в 1997 г. 178 млн.руб., соответственно бумаг:

Определить значение капитализационного индекса тремя
8.3. Определить значение капитализационного индекса тремя способами: на базе формул Пааше, Ласпейреса и Фишера по следующим данным. Значение индекса в базисном периоде составило I0 = 100

8.4. Рассчитать новое значение делителя в случае сплита 3/2 акций типа Д в примере 3.
8.5. Используя данные задачи 3 рассчитать значение индексов на базе среднеарифметической и среднегеометрической.
Список литературы
1. Миркин Я.М. Ценные бумаги и фондовый рынок.- М.; Перспектива,-19952. Рубцов Б.Б. Зарубежные фондовые рынки. - М.; Инфра - М ,
1997
3. Теория статистики. Учебник\ Под ред. проф. Шмойловой Р.А.-
2-е изд., доп. и перераб. - М.; Финансы и статистика, 1998
4. Шарп У, Александер Г, Бэйли Дж, Инвестиции Пер. с англ,
М.; Инфра - М, 1997
5. Berlin H The Handbook of Financial Market Indexes Averages Indicators Dow Jones - IRWIN - 1990
6. Investment mathematics and statistics Adams A T Bloomfield
D S F
7. Grahamm & Trotman London 1993
Список литературы для углубленного изучения темы
1. Аллен Р. Экономические индексы М.: Статистика ,- 1980 г.
2. Кевеш П. Теория индексов и практика экономического анализа.-
М.: ФиС ,- 1990 г.
3. Лобанов А. Индексы акций на российском фондовом рынке.// Деловой партнер.-1995 г. -№1, с.3-18
4. Ованесов А. Как построить marcet-price на российском рынке.// Рынок ценных бумаг. - 1995 № , с.51-54
Информационное обеспечение Особенности формирования первичной финансовой
Российским законодательством предусматривается, что информация о произведенных сделках в соответствии с Временным положением о требованиях, предъявляемых к организаторам торговли на рынке ценных бумаг, утвержденным постановлением ФКЦБ 19.12.1996 г., раскрывается организатором торговлипо итогам каждой торговой сессии, не позднее одного часа после
официального времени окончания торговой сессии. Информация раскрывается через специализированные российские информационные
агентства и содержит следующие данные:
наименования и государственные регистрационные номера ценных
бумаг;
количество фактически проданных за день ценных бумаг по каждому эмитенту ценных бумаг, типу и виду ценных бумаг этого эмитента;
средневзвешенная стоимость одной ценной бумаги в течение торговой сессии;
цена одной ценной бумаги по итогам последнего за торговую сессию договору купли-продажи ценных бумаг (цена закрытия торговой сессии)- по каждому эмитенту ценных бумаг, типу и виду ценных бумаг этого эмитента;
изменение средневзвешенной стоимости ценной бумаги и цены;
закрытия торговой сессии по сравнению с предыдущим рабочим
днем.
Российские информационные агентства и финансовая пресса регулярно публикуют указанные данные; кроме того, информация раскрывается непосредственно самими фондовыми биржами, консультационными агентствами и брокерско- дилерскими компаниями, стремящимся оказать дополнительные- информационные- услуги своим клиентам.
Кроме того, органами государственной статистики разработаны
формы государственной статистической отчетности, отражающие информацию о деятельности бирж.
Приложение
Приложение 2
Приложение 3
Приложение 4
Приложение 5
Приложение 6
Приложение 7
Приложение 8
Cтатистика ценных бумаг 13.1. Предмет и задачи статистики ценных бумаг 13.1.1. Ценные бумаги как объект статистического изучения Ценные бумаги как объект статистического изучения.
Ценные бумаги как объект статистического изучения.Необходимость в свободном движении капитала между различными сегментами рынка приводит к появлению рынка ценных бумаг, позволяющего, с одной стороны , осуществлять заимствования, а с другой - размещать временно свободные средства. В соответствии с российским законодательством "ценная бумага - документ, удостоверяющий с соблюдением установленной формы и обязательных реквизитов имущественные права, осуществление или передача которых возможны только при его предъявлении".
Общая цель создания рынка ценных бумаг состоит в необходимости
перераспределения финансовых ресурсов. Аккумуляция временно свободных денежных средств и их размещение осуществляется с помощью эмиссии ценных бумаг. Привлечение денежных средств может иметь целью, например, покрытие дефицита государственного бюджета, и в этом случае осуществляется эмисиия государственных долговых обязательств, с помощью которых привлекаются необходимые денежные ресурсы.
В том случае, когда предприятию
В том случае, когда предприятию необходимо привлечь дополнительные средства, может осуществляться эмиссия акций, либо облигаций в целях заимствования на рынке временно свободных средств. С другой стороны, инвестор имеет возможноть разместить свои средства, вложив их в ценные бумаги, получая прибыль и диверсифицируя риски.Особенность ценных бумаг - в том, что они являются стандартными, серийными финансовыми товарами, способными - в отличие, например, от кредитов, выдаваемых на индивидуальных условиях- легко обращаться, быть ликвидными.
Кроме основной функции аккумуляции и размещения денежных средств ценные бумаги выполняют ряд дополнительных функций, в частности, отдельные виды ценных бумаг, такие как вексель, могут выполнять функцию средства расчетов, восполнять недостаток оборотных средств, использоваться в качестве денежного суррогата.
Существуют следующие виды ценных бумаг:

Информационное обеспечение Особенности формирования первичной финансовой
Форма №1-ФБ .Отчет о фондовой деятельности бирж. содержитданные о структуре биржевых операций, включая данные о количестве проданных ценных бумаг (акции, облигации, депозитные и сберегательные сертификаты, векселя, производные ценные бумаги), обороту
по всем видам фондовых ценностей, включая денежные ресурсы;
. продаже акций с указанием количества проданных акций различных номиналов;
. сделках по операциям с денежными ресурсами, с выделением
данных по депозитам, кредитам, частным вложениям.
Эта форма ежеквартально представляется биржами вне зависимости от формы собственности и организационно-правовой формы, в соответствующие статистические органы.
Форма №2-ФБ .Отчет об основных показателях операции с валютными средствами. представляется биржами, имеющими лицензии Банка России на право совершения операций с валютой. Эта форма содержит статистические данные об основных показателях с валютными средствами стран дальнего и ближнего зарубежья (включая объем заключенных сделок, средневзвешенный курс, рублевый эквивалент оборота).
Эта форма предоставляется ежемесячно в органы государственной статистики.
Ценные бумаги являются сложнейшим объектом

Ценные бумаги являются сложнейшим объектом статистического наблюдения, включающим масштабные финансовые потоки на микро- и макро уровне, множественность видов фондовых инструментов и профессиональных участников. Для российских условий (1998) пока характерно отсутствие достоверной статистики по рынку ценных бумаг в целом, лишь отдельные ценные бумаги являются объектом системного статистического изучения.
Предмет статистики ценных бумаг
Предметом статистики ценных бумаг являются количественныехарактеристики массовых процессов движения ценных бумаг как финансовых продуктов, деятельности эмитентов, инвесторов, финансовых и информационных посредников, ведущих операции на рынке ценных бумаг, а также внебиржевых рынков ценных бумаг в целом (статистическое изучение биржи выделено в учебнике в самостоятельную главу).
Задачи статистики ценных бумаг
сбор и раскрытие полной и адекватной информации о ценных бумагах как инвестиционных товарах, создание объективных представлений об их риске, доходности и ликвидности в качестве основы принятия инвестиционных решенийсоздание информационной базы и статистический анализ деятельности эмитентов, инвесторов, финансовых и информационных посредников, действующих на фондовом рынке, в качестве основы разработки стратегий участниками рынка и политик по его регулированию и развитию государственными органами
формирование информационного обеспечения для статистического анализа и управления социально-экономическими процессами в той мере, в какой они отражаются или формируются на рынке ценных бумаг.
разработка и совершенствование методологии сбора и анализа
статистической информации о ценных бумагах и участниках фондового
рынка.
Информационное обеспечение статистики ценных бумаг
Основные источники статистической информации:а) проспекты эмиссии, отчетность эмитентов о выпуске ценных бумаг и финансовая отчетность (бухгалтерский баланс, отчет о прибылях и убытках),
б) статистические наблюдения и отчетность фондовых бирж (о курсах ценных бумаг, объемах оборота, количестве сделок и т.д.),
Современные фондовые биржи организуют торговлю ценными бумагами преимущественно с использованием компьютерных систем торговли. Соответственно в этом случае при регистрации каждой сделки формируется первичная статистическая информация, которая затем группируется, сводится и распространяется биржами и информационными агентствами (перечни форм статистической отчетности приведены в 14.2),
в) статистические наблюдения и отчетность организованных систем
внебиржевого оборота, Крупные системы внебиржевой торговли опираются исключительно на автоматизированную технологию торгов, регистрации и распространения информации ( Российская торговая система -РТС и т.д),
г) отчетность финансовых органов и центральных банков о состоянии государственного долга, статистические публикаций комиссий по ценным бумагам или иных государственных органов, регулирующих рынок ценных бумаг,
д) статистические публикации ассоциаций профессиональных участников рынка ценных бумаг и институциональных инвесторов (например, Международной федерации фондовых бирж),
е) публикации рейтинговых агентств,
ж) статистические публикации международных организаций и финансовых институтов (Международной финансовой корпорации, Банка международных расчетов, МВФ, ОЭСР и др.).
Объекты статистических наблюдений
Объекты статистических наблюдений Комплексное статистическое изучение ценных бумаг предполагает как характеристику самих ценных бумаг (их курсов, объемов, торгов, качества), так и деятельности учасников рынка ценных бумаг (эмитентов, инвесторов и т.д.), причем отдельно по видам рынков рынков ценных бумаг (биржевой и внебиржевой, первичный и вторичный) и видам самих ценных бумаг (акции, облигации и т.д.).Для этих целей разработана система статистических показателей, включающая следующие разделы:
статистика объемов и структуры операций с ценными бумагами;
статистика деятельности участников рынка ценных бумаг;
статистика курсов ценных бумаг;
статистика качества ценных бумаг;
Особым разделом статистического изучения ценных бумаг является оценка ценных бумаг и определение их доходности, определение риска и доходности портфельных инвестиций.
В данной главе подробно рассматриваются указанные разделы за исключением разделов, связанных с отдельными видами рынков ценных бумаг и фондового рынка в целом, которые выделены в отдельную главу .Биржевая статистика. В силу важности и самостоятельного значения этих проблем.
Статистика объемов и структуры операций с ценными бумагами Ключевые статистические показатели по отдельным видам ценных
Ключевые статистические показатели по отдельным видам ценных бумаг (в разрезе отраслей, регионов, инвесторов, видов рынков ценных бумаг):- стоимостной объем и структура ценных бумаг, находящихся в
обращении;
- стоимостной объем и структура новых эмиссий, количество эмиссий (рассчитывается, как правило, за год);
- торговый оборот по ценным бумагам, количество совершенных сделок и проданных ценных бумаг, их оборачиваемость.
Показатели торгового оборота и количества совершенных сделок могут рассчитываться за торговую сессию, неделю, месяц, квартал, год;
- капитализация рынка акций (рыночная стоимость акций, умноженная на количество находящихся в обращении акций), объем рынка долговых ценных бумаг непогашенных (расчет по сути аналогичен). Пример статистики, характеризующей уровень капитализации крупнейших мировых фондовых рынков, приведен в главе «Биржевая статистика»;
- показатели, характеризующие риск, ликвидность и доходность ценных бумаг (статистика рейтинговых оценок, цен и доходности - см. ниже). Указанные показатели используются для оценки «качества» ценных бумаг как финансовых продуктов, т.е. по сути относятся к статистике качества ценных бумаг.
легко установить, насколько динамичны были
Соответственно, легко установить, насколько динамичны были рост рынка (более чем в 10 раз) и изменения структуры обращающихся долговых обязательств (прекращение обращения одних и появление новых финансовых инструментов). На основе приведенных данных могут быть сделаны сопоставления со статистическими данными о динамике ВВП, денежной массы, доходов бюджета с тем, чтобы определить, не слишком ли быстрыми темпами растет государственный долг в форме ценных бумаг. Например, за 1994- 1997 г.г. ВВП в фактически действующих ценах вырос более чем в 4 раза, что, тем не менее, существенно меньше темпов роста непогашенной массы государственных ценных бумаг (быстрое накопление государственного долга).

Статистика участников рынка ценных бумаг
Изучает деятельность профессиональных институтов на указанном рынке и включает в себя разделы(см. таблицу 2):

Для статистики инвесторов характерно использование
Для статистики инвесторов характерно использование тех же показателей, характеризующих финансово-хозяйственное положение, что и эмитентов. При этом они модифицируются в зависимости от того, является ли инвестор промышленным предприятием или финансовым посредником (банком,
страховой компанией, пенсионным или инвестиционным фондом).
При этом особое внимание уделяется показателям, характеризующим инвестиции:

по видам ценных бумаг, отраслям,
- объем и структура активов ( по видам ценных бумаг, отраслям, регионам, ценным бумагам с плавающей и фиксированной ставкой и т.д.)- чистая стоимость активов (рыночная оценка стоимости активов за
вычетом обязательств)
- стоимость одного пая (например, в паевых инвестиционных фондах постоянно происходит переоценка стоимости пая в зависимости от изменения чистой стоимости активов, сформированных за счет внесения паев)
- качество активов (доля проблемных активов, доля ценных бумаг, по которым наступил кредитный риск, доля спекулятивных ценных бумаг с низким рейтингом и т.д.)
Участники рынка ценных бумаг классифицируются также с точки зрения их профессиональной деятельности по организации обращения ценных бумаг (см. продолжение таблицы 2):

Структура информационного обеспечения
Современные системы представления информации обеспечивают
широкий круг пользователей данными о состоянии мировых фондовых рынков, в том числе и российского в режиме реального времени. Наиболее известные информационные системы : РЕЙТЕР(REUTERS), ДОУ-ДЖОНС ТЕЛЕРЕЙТ (DOW-JONES TELERATE),
БЛУМБЕРГ(BLOOMBERG).
В рамках этих информационных систем возможно
получение информации по текущим биржевым ценам практически по всем финансовым инструментам,
представление информации в виде, наиболее удобном пользователю(различные типы, таблицы),
реализация процедур технического анализа,
заключение сделок,
обмен информацией.
Российские информационные агентства в принципе решают те
же задачи применительно в основном к российскому рынку ценных
бумаг. Наиболее известными российскими агентствами являются
«ФИНМАРКЕТ», «РОСБИЗНЕСКОНСАЛТИНГ», АК&М.
Доступ к биржевой информации возможно осуществлять через
сеть «ИНТЕРНЕТПри этом осуществляется доступ к различным сайтам, представляющим разнообразную биржевую информацию.
Наконец важным источником текущей и аналитической биржевой информации являются периодические издания, перечень которых
приведен в таблице 8.1.
Анализ демонстрирует быстрый рост российского
Анализ демонстрирует быстрый рост российского рынка ценных бумаг в 1994-1997 г.г. с точки зрения профессиональных участников, число которых с октября 1993 г. по апрель 1997 г. увеличилось примерно в 4,9 раза. Кроме того, продолжала расти степень концентрации фондового рынка в крупнейших финансовых
центрах страны (Москве, Санкт -Петербурге и Екатеринбурге). Доля инвестиционных институтов, сосредоточенных в этих городах, выросла с 25% в октябре 1993 г. до 38% в апреле 1997 г.
Крупный институт ценных бумаг (банк или инвестиционная компания) формирует статистические показатели, характеризующие его финансовое положение, аналогичные показателям эмитента, с учетом специфики его деятельности, как финансовой, в области ценных бумаг: объем и структура активов (инвестиции по видам ценных бумаг, с выделением позиций по срочным контрактам, вложениям в торговые и инвестиционные ценные бумаги, передача ценных бумаг в ссуду, сделки по договору об обратной продаже, авансы другим брокерам-дилерам и т.д.)

по видам выпущенных ценных бумаг
объем и структура привлеченных ресурсов ( по видам выпущенных ценных бумаг и заимствований, соглашения об обратной покупке, обязательства по поставке различных ценных бумаг и кредиторскаязадолженность перед различными брокерами-дилерами и т.д.)
объем и структура акционерного капитала (по видам акций и
структуре владения)
объем и структура операционных доходов (комиссионные, плата за андеррайтинг, консультационные услуги, проценты, спекулятивные прибыли), расходов и денежных потоков
изменение курса и доходность собственных ценных бумаг
Обеспечивающие виды профессиональной деятельности на рынке ценных бумаг формируют такие ключевые показатели, как:

Статистика курсов ценных бумаг
Статистика курсов ценных бумаг включает в себя статистические наблюдения за следующими видами цен на фондовые инструменты:номинальная цена - цена, проставленная (для ценных бумаг, имеющих бланки) или объявленная (для бумаг, существующих в виде записей) на ценной бумаге. Величина, являющаяся в определенной мере достаточно условной; могут существовать безноминальные ценные бумаги;
цена первичного рынка (эмиссионная цена) - цена размещения на первичном рынке. Может существовать в форме цены отсечения (т.н. голландский аукцион, когда эмитентом устанавливается самая низкая цена, по которой размещается приемлемый для него объем долговых ценных бумаг, используется на рынке государственных ценных бумаг), цены андеррайтера (цена, по которой размещает ценные бумаги андеррайтер), цены группы покупки (цена, по которой размещают ценные бумаги брокеры, работающие по договору с синдикатом, и т.д.
цена погашения - вид цен, существующий для облигаций, по которым данная облигация по истечении срока выкупается у инвестора, Как правило, цена погашения совпадает с номиналом, исключая те случаи, когда облигация выкупается раньше срока погашения или существуют специальные договоренности с кредитором о списании части облигационной задолженности;
цена вторичного рынка, рыночная цена - цена ценной бумаги, определяемая рынком. Может существовать в форме аукционной цены (цены, определяемой биржевым аукционом), дилерской цены (цены, формируемой в сделках, заключаемых дилерами, выставляющими двусторонние котировки на покупку и продажу), тендерной цены (цены продажи ценной бумаги на основе тендера) и т.д. На организованных рынках осуществляется наблюдение за рыночными ценами открытия и ценами закрытия, а также различными типами средних цен.
При этом для статистического изучения динамики цен широко используются группировки ценных бумаг типа "десять акций, по которым произошел наибольший рост курсов", "десять наиболее ликвидных акций"
средний курс акции за предшествующие
Средние (например " средний курс акции за предшествующие 52 недели", "средний курс акции за предшествующий день торгов"), предельные значения (самый высокий и самый низкий курсы акции за предшествующий день торгов), значения показателей в важнейшие моменты ведения торгов (цена открытия, цена закрытия).Кроме того, ведется статистическое изучение цен спроса и предложения, которые только указывают на намерения операторов рынка, но по которым сделки не были заключены (цены покупки, цены продажи, заявленные брокерами или установленные дилерами в качестве котировок для покупки-продажи ценных бумаг за собственный счет). Объектом статистики курсов ценных бумаг является также спрэд (величина разрыва между ценой предложения, которая всегда выше, и ценой спроса на ценную бумагу, которая всегда ниже).
В российской практике цены акций измеряются как в рублях, так и в долларах США (внебиржевой рынок).
Например, динамика валютных ( в долл. США) цен на акции российских эмитентов характеризовалась следующим.
Таблица 4. Динамика цен на акции российских эмитентов ( в долл. США)

Из таблицы следует, что наибольшими темпами росли цены акции ЦУМа и ОАО .Красный октябрь..
Статистика качества ценных бумаг
Оценка качества ценных бумаг базируется на:- рейтинговой оценке ценных бумаг
- расчете ключевых, стандартных в международной практике показателей качества ценных бумаг, увязывающих оценку бизнеса эмитента и рыночную стоимость его ценных бумаг. Например, курсы ценных бумаг могут сопоставляться с прибыльностью эмитентов и выплаченными дивидендами, количеством продукции, производимой эмитентом (сырья, нефти и т.д.) на единицу рыночной стоимости ценной бумаги, количеством запасов природных ресурсов, приходящихся на единицу рыночной стоимости ценной бумаги.
Рейтинговые показатели
В международной практике рейтинговые агентства - "независимыеоценщики" кредитного риска ценных бумаг и привилегированных акций, т.е. риска того, что эмитент не выполнит своих фиксированных денежных обязательств, связанных с ценной бумагой.
В основу рейтинга положена шкала качественных оценок типа "высшее качество", "хорошее качество", "выше среднего уровня качества" и т.д. Каждый уровень качества имеет буквенное обозначение, например, ААА, ВВ, С и т.д. Чем дальше продвижение по алфавиту, тем ниже рейтинг ценной бумаги, т.е. тем выше
кредитный риск в сравнении с ценными бумагами, находящимися выше по буквенной шкале. Практически все рейтинговые агентства используют буквенные шкалы для оценки рейтинга. При этом любое рейтинговое агентство делит свою шкалу рейтинга между двумя классами ценных бумаг:
ценные бумаги инвестиционного качества или, что то же самое,
инвестиционные ценные бумаги (например, по шкале долгосрочных облигаций агентства Moody’s это - бумаги с рейтингом от Ааа до Ваа3);
спекулятивные ценные бумаги (по указанной шкале это - бумаги с рейтингом от Ва до С).
Уровень рейтинга, который получит эмитент, зависит от его финансово- хозяйственного положения (см. выше статистика эмитента), кредитной истории, степени защищенности эмиссии (наличие залога, внешней гарантии платежей и т.д.).При этом каждое рейтинговое агентство публикует статистику рейтинговых оценок и их динамики:
- по видам ценных бумаг (например, динамика среднего рейтинга
муниципальных облигаций за ряд лет)
- по отраслям (например, изменение среднего рейтинга за ряд лет по машиностроению),
- по регионам,
- по крупнейшим эмитентам,
- по изменению структуры рейтинговых оценок (в частности, по
соотношению спекулятивных и инвестиционных ценных бумаг),
- по реализации кредитного риска (отказам эмитента от платежей) в зависимости от рейтинга ценных бумаг.
Показатели качества ценных бумаг
Приведем примеры принятых в международной практике показателей для качественной оценки ценных бумаг и состояния рынка:
Пример статистического анализа уровня оцененности
Пример статистического анализа уровня оцененности российского фондового рынка. Признаком недооцененности рынка, ценовой ямы считается низкий уровень коэффициента Р/Е (цена 1 акции к прибыли, приходящейся на одну акцию). Величина этого показателя для различных рынков приведена в таблице в главе «Биржевая статистика», ценовая статистика по российским акциям характеризуется следующим (май 1997).Таблица 6. Показатели отдельных российских эмитентов


Указанная таблица дает возможность сделать
Указанная таблица дает возможность сделать следующие выводы:
все рассматриваемые акции близки к среднему уровню Р/Е для развивающихся рынков (8-12) или значительно превосходят его. Это означает, что с высокой долей вероятности дальнейшее повышение курсов данных акций приведет к их переоцененности, значительным колебаниям курсов и их будущим падениям
акции ЦУМа, Ростелекома и Гостиницы .Космос. являются по всей видимости переоцененными При оценке качества ценных бумаг используются также статистические показатели их ликвидности..
Например, к этим показателям можно отнести:
показатель, характеризующий отношение количества заявок на покупку и заявок на продажу ценных бумаг данного вида,
спрэд, т.е. показатель, характеризующий разницу между ценой предложения на ценную бумагу, которая всегда выше, и ценой спроса, которая всегда ниже (уже рассматривался в рамках статистики курсов на ценные бумаги). Аналогичный смысл имеет коэффициент цена предложения/цена спроса, характеризующий разрыв между ними.
Оценка ценных бумаг и расчет их доходности
Ожидаемый денежный поток по облигациям состоит из выплат по процентам во время существования облигации плюс выплата основной суммы займа (т.е. номинала облигации).Стоимость облигации определяется как настоящая стоимость ожидаемого денежного потока.
Введем обозначения:

Структура информационного обеспечения
Рассмотрим пример. Допустим, купонная ставка
Рассмотрим пример. Допустим, купонная ставка по облигации номинала в 1000 рублей составляет 15%. Срок до погашения облигации 15 лет. Необходимо оценить стоимость облигации в момент выпуска, через 1 год после выпуска, через 2 года, через 5 лет.Результаты расчетов сведены в таблицу 4. Приведем графическую интерпретацию полученных результатов на рисунке 3. В качестве параметра t использован показатель времени, прошедшего с момента эмиссии облигации.

Проанализируем таблицу 7 (приложение1) и график на рис. 3.
1. Всегда, когда купонная ставка совпадает с текущей курсовой ставкой, теоретическая оценка облигации совпадает с номинальной стоимостью. Как правило, в момент выпуска облигации купонная ставка устанавливается на уровне текущей курсовой ставки.
2. В случае, когда текущая курсовая ставка выше, чем купонная ставка, цена облигации становится ниже номинала. В этом случае говорят, что облигация продается с дисконтом.
В случае, когда текущая курсовая
3. В случае, когда текущая курсовая ставка ниже, чем купонная ставка, цена облигации становится выше номинала. В этом случае говорят, что облигация продается с премией.4. Рыночная стоимость облигации стремится с приближением даты
погашения к номиналу.
Проведем дальнейший анализ таблицы 7 и сделаем выводы.
1. При фиксированной купонной ставке и изменяющейся текущей курсовой ставке возрастание текущей курсовой ставки приводит к снижению влияния купонной ставки на оценку облигации.
2. В целом влияние купонной ставки на оценку облигации снижается с приближением срока погашения облигации, влияние номинала возрастает в этой ситуации.
3. Чем больше купонная ставка при заданной текущей курсовой ставке, тем выше оценка облигации, при меньшей курсовой ставке оценка облигации изменяется резче (кривая с меньшей купонной ставкой "круче" и расположена ниже кривой с большей купонной ставкой).
На знании этих закономерностей основывается разумное поведение инвестора при управлении своим портфелем.
Экономическая интерпретация данной формулы (18) очевидна. В самом деле, допустим, выпускается некая облигация в момент времени t. Очевидно, что купонная ставка в этот момент устанавливается примерно равной ставке, существующей в данном экономическом пространстве (например, ставке рефинансирования). Допустим, ставка рефинансирования падает, в этом случае доход, приносимый облигацией, становится больше, чем если бы эта сумма была помещена на депозит в банк, отсюда и рост цены облигации. Предпочтительнее покупка облигации. В противном случае, при росте ставки рефинансирования наблюдается, с точки зрения инвестора, "бегство от облигаций", приносящих более низкий доход по сравнению хотя бы с помещением данной суммы на банковский депозит.
Расчет показателей текущей доходности и полной доходности облигаций
Показателем текущей доходности облигации (D) называется отношение дохода, полученного за год (INT) к рыночной цене облигации или ее оценке (VB)
Расчет показателя полной доходности (иногда ее называют доходностью за все время существования облигации или доходностью к погашению) (традиционно она обозначается YTM) - задача, обратная оценке облигации по известной курсовой ставке и известном сроке погашения облигации. Другими словами, необходимо определить доходность облигации, купленной по данной цене. Допустим, Вы приобрели 10-летнюю облигацию за 1307,19 рублей, ( $) P купонная ставка (q) по которой равна 15%. Номинальная стоимость облигации равна 1000 рублей. Исходя из формулы (16)

Из этого уравнения необходимо найти величину Kd, которая и будет в данном случае полной доходностью (эта величина обозначается YTM).
Используем для решения фундаментальные закономерности, описанные выше. Поскольку облигация приобретена с премией, следовательно, уровень ее доходности будет ниже купонной ставки. Предположим, что уровень доходности составит 12%. В этом случае оценка облигации составит:

Оценка облигации выше ее номинала,

Оценка облигации выше ее номинала, следовательно, ставка доходности должна быть меньше предполагаемых 12%.
Продолжим итерационный процесс. Предположим, что ставка доходности составит 10%. В этом случае оценка облигации составит:

Итак, обобщим алгоритм нахождения полной доходности.
1. Определяем, куплена облигация с премией или дисконтом = ( $) P - М.
2. Если 0, следовательно облигация куплена с премией и, вследствие фундаментальных зависимостей, искомая ставка должна быть меньше купонной. Переходим к п. 3.
Если 0, следовательно, облигация куплена с дисконтом и, вследствие фундаментальных зависимостей, искомая ставка должна быть больше купонной. Переходим к п. 3.
3. Присваиваем новое значение искомой ставке KdII и реализуем расчет новой оценки облигации VB I .
4. Определяем ’= VB -VB I.
5. Если ’ > 0, производим дальнейшее понижение купонной ставки.
Переходим к п. 3.
Если ’ < 0, производим дальнейшее повышение купонной ставки. Переходим к п. 3.
Если ’ =0, считаем, что мы вычислили полную ставку доходности.
Строго говоря, в силу округления, в таблицах ’ может отличаться от 0, в этом случае в качестве условия можно задать ’<= E, где E- некоторая малая величина.
Существуют финансовые калькуляторы, позволяющие очень быстро и
эффективно рассчитывать YTM (этот расчет в них уже запрограммирован). Разработаны эмпирические зависимости, позволяющие рассчитать показатель доходности к погашению следующим образом:

Для нашей задачи YTM=10,07% (рассчитана на базе формулы (20) или YTM=10,34% (формула (6).
Оценка облигаций в случае начисления процентов m раз в год
Допустим, начисление и выплата дохода по облигациям происходит m раз в год. Как оценить в этом случае стоимость облигации. Очевидно, что процентная ставка KId =Kd/m ; купонная ставка делится также пополам qI=q/m, соответственно уменьшается в m раз доход по процентам INTI=INT/m=M x qI. Количество периодов начисления возрастает в m раз. Таким образом, оценка облигации может рассчитываться с помощью уравнения
Ставя перед собой обратную задачу нахождения доходности и используя вышеупомянутый алгоритм, возможно в этом случае рассчитать доходность облигации при владении ею до срока погашения.
Оценка облигации без фиксированного срока погашения
Допустим, у существующей купонной облигации отсутствует срок погашения.К облигациям такого вида относят т.н. "вечные облигации", разновидности консоля и т.д.
В этом случае оценка облигации рассчитывается как отношение купонного дохода по купонной ставке к текущей курсовой ставке.

Отсюда доходность облигации без фиксированного срока погашения

Расчет показателя доходности облигаций с нулевым купоном
По некоторым облигациям (зеро-купонам)не выплачивается доход, но
продаются они со скидкой против их номинальной стоимости. Этот дисконт и является формой дохода для инвестора. Данный доход реализуется в момент погашения. Доходность в этом случае рассчитывается как отношение дохода к цене облигации.
Указанные фундаментальные зависимости широко используются в практике определения показателя доходности различных видов ценных бумаг.
Рассмотрим методики определения показателя доходности наиболее значимых финансовых инструментов, в число которых входят прежде всего
государственные долговые обязательства:
-государственные краткосрочные обязательства (ГКО);
-облигации федерального займа с переменным купоном (ОФЗ-ПК)
-облигации сберегательного государственного займа(ОГСЗ)
-облигации, выпущенные в счет погашения внутреннего валютного долга Внешэкономбанка СССР;
-"золотой сертификат", выпущенный в обращение Министерством финансов РФ в 1993.г. и погашенный в 1994г.;
-облигации Государственного республиканского внутреннего займа РСФСР 1991 года.
В качестве примера приведем расчет показателя доходности по ГКО. Как известно, государственные краткосрочные обязательства - бескупонные долговые обязательства, доходом для инвестора является разница между номиналом и ценой приобретения данного финансового инструмента на аукционе.
Один из методов расчета показателя доходности государственных краткосрочных безкупонных облигаций предлагает рассчитывать доходность по данному виду финансовых активов следующим образом:
D=(N - P)/P x (365/m) x100%, (9)


Расчет показателя доходности валютных облигаций. Доходность к погашению (YTM) по валютным облигациям
Рассчитанная таким образом доходность в предположении того, чтопогашение по первому траншу будет произведено вовремя, приведена в таблице 9.
Таблица 9. Доходность к погашению по валютным облигациям

Расчет показателя доходности "золотого сертификата"
При расчете доходности "золотого сертификата", выпущенного Министерством финансов РФ и обращавшегося в 1993-1994 годах, в качестве базовой использовалась формулами (1) . (3).Необходимо иметь в виду, что номинал "золотого сертификата" был равен 10 кг золота, в качестве цены золота принималась цена за "тройскую" унцию золота на Лондонской бирже, пересчитанная в рубли по биржевому курсу, взятому на данный момент времени.
Купонная ставка равна ставке LIBOR плюс 3%.
Таким образом, формулу (1) можно представить в следующем виде:

Отсюда по описанному алгоритму возможно исчислить доходность к погашению "золотого сертификата". Указанная доходность, очевидно, испытывает достаточные колебания, т.к. она зависит от колебаний цен на золото, колебаний курса доллара и колебаний ставки LIBOR.
Расчет показателя доходности Государственного республиканского
По указанным облигациям выплачивается 15%-ный купонный платеж от номинала облигации.Методика расчета доходности данного финансового инструмента предполагает ее расчет по формуле:

Система показателей статистики фондовых бирж
Основными объектами статистического изучения фондового биржевого рынка являются биржевые сделки, производимые на нем,
и, а предметом - соответственно, ценовые и объемные, характеристики этих операций. Кроме того, статистика фондовых бирж широко используются данные о доходности ценных бумаг, емкости биржевого рынка, его ликвидности и некоторые другие. Соответственно можно говорить о существовании системы статистических показателей фондовых бирж.
Основная масса статистических показателей формируется непосредственно в ходе биржевых торгов, в течение которых непрерывно регистрируются стоимостные и натуральные значения поступающих заявок на покупку и предложений на продажу, все существенные параметры заключенных биржевых сделок. На базе статистической информации о результатах проведенных торговых сессий формируются агрегированные данные за месяц, квартал, полгода, год.
К показателям статистики фондовых бирж относятся:
показатели цен биржевых сделок,
показатели объемов биржевых торгов,
показатели качества фондового биржевого рынка,
показатели фондовых бирж как организаций, ведущих хозяйственную деятельность,
показатели статистики производственных ценных бумаг.
Облигации с фондом погашения
Как уже отмечалось, существует особый тип облигаций, который называется облигации с фондом погашения. Компания, выпускающая облигации указанного вида, принимает на себя обязательства по ежегодному, определенными порциями погашению долговой эмиссии. Для облигаций с фондом погашения существует проблема определения показателя среднего срока до погашения, иногда его называют показателем средней жизни облигации.В силу того, что определенные части эмиссии выкупаются до срока погашения и, строго говоря, срок погашения, определенный при эмиссии, не соответствует реальному, то возникает необходимость определения некоторого среднего срока до погашения:

Определим показатель среднего срока до погашения облигации. Результаты расчетов приведены в таблице 10.
Средний срок

Средний срок до погашения (средняя жизнь облигации N ) определяется следующим образом:

Показатель средней жизни облигации, с одной стороны, важен сам по себе, но с другой стороны особое значение он приобретает при использовании его в определении показателя доходности к средней жизни облигации (yiеld average life - YAL).
Этот показатель рассматривается аналогично показателю доходности к погашению, но в качестве N используется расчетный показатель N - средняя жизнь облигации. Он используется как при сравнении облигаций с одинаковыми сроками и показателями доходности, но разными схемами выкупа, так и при разных показателях доходности.
Недостаток метода состоит в том, что ожидаемый поток платежей не
рассматривается с точки зрения его настоящей стоимости.
Существуют показатели, в которых устранен этот недостаток: это показатели эквивалентной жизни облигации и доходности к эквивалентной жизни облигации.
Эквивалентная жизнь облигации - средневзвешенная дата выкупов,
взвешенных по потоку выкупных платежей, продисконтированных по ставке доходности к эквивалентной жизни (YЕL).
Дополним предыдущий пример. Результаты расчетов приведены в таблице 11.
Таблица 11

Отсюда по указанному алгоритму находим
Каким образом определяется доходность к эквивалентной жизни?
Отсюда по указанному алгоритму находим YEL- значение показателя доходности к эквивалентной жизни. С учетом найденного показателя определяем значение настоящей стоимости каждого элемента потока платежей. И затем определяем показатель эквивалентной жизни, который в данном случае равен 3,951 года.
Очевидно, что значение показателя эквивалентной жизни будет всегда меньше значения показателя средней жизни.
Расчет показателя средней продолжительности жизни облигации (дюрации)
Для характеристики качества облигаций необходимо рассчитывать не только доходность данной ценной бумаги , но и рискованность вложений в эту ценную бумагу.Полагая, что по своей природе облигация - это ценная бумага, по которой гарантированы купонные выплаты, можно исключить наличие кредитного риска, связанного с вложениями в ценные бумаги данного вида. Но вместе с тем нельзя исключать процентного риска(риска изменения процентной ставки) для инвестора , которому подвержены вложения в облигации, поскольку рыночная процентная
ставка подвержена колебаниям .
в случае роста процентной ставки
При этом в случае роста процентной ставки оценка облигации понижается, но реинвестирование полученного купонного дохода происходит под более высокую ставку.
С другой стороны, при понижении рыночной процентной ставки возникает обратная ситуация. При этом возникает задача сравнения различных облигаций с точки зрения их чувствительности к изменению уровня процентной ставки. Для решения этой задачи рассчитывается показатель средней продолжительности жизни облигации (дюрации).
Показатель средней продолжительности жизни облигации широко
распространен в настоящее время. Он рассчитывается следующим образом:

Данный показатель взвешивает каждый период времени по той доле, которую имеет настоящая стоимость каждого купонного платежа в рыночной цене облигации.
Пример. Необходимо рассчитать показатель дюрации для облигации номинальной стоимостью !000 рублей с купоном 6% с выплатой 1 раз в полгода, со сроком до погашения 3 года . если среднее рыночное значение ставки составляет 10 %.
В задаче в качестве базовых условий определена среднерыночная ставка, следовательно, возможно определить теоретическую или расчетную стоимость облигации. Представим результаты расчетов в таблице 12.
Таблице 12


В данной задаче показатель дюрации
В данной задаче показатель дюрации составляет 2,78 года.
Указанный показатель, который исчисляется в годах, позволяет определить колеблемость облигации. Чем выше значение этого показателя, тем более колеблемой, а значит рискованной является данная облигация. Данный показатель меньше, чем показатель срока до погашения облигации (только в случае облигаций с нулевым купоном средняя продолжительность жизни облигации равна сроку до
погашения).
Чем ниже купонная ставка при прочих равных условиях, тем меньше статистический вес купонных выплат и выше статистический вес номинала, и соответственно выше показатель средней продолжительности жизни облигации.
При фиксированной купонной ставке дюрация возрастает с увеличением срока до погашения для облигаций продающихся по номиналу или по цене выше номинала . Но в случае продажи облигации с глубоким дисконтом дурация может падать с увеличением срока до погашения.
Оценка обыкновенных акций и расчет показателя доходности акций
С точки зрения инвестора доход от владения обыкновенными акциями может быть получен, во-первых, как поток ожидаемых дивидендов, а, во-вторых, от предполагаемой продажи акции по цене выше той, по которой они были куплены.Следовательно, оценить акцию - значит определить настоящую стоимость бесконечного потока дивидендов, поскольку цена продажи акции в конечном счете зависит только от потока дивидендов.
В целях формализованного описания введем ряд обозначений:
Дt - сумма дивиденда, получаемого в момент времени t;
Д0- последний выплаченный дивиденд;
Po - рыночная стоимость акции в текущий момент времени t;
Р - ожидаемая стоимость акции в конце каждого года;
$ Po - теоретическая (расчетная) стоимость акции в текущий момент
времени;
KS - минимально приемлемая ставка доходности на акцию (аналог
ставке Kd, используемой при оценке облигации);
$ K S - ожидаемая ставка доходности, т.е. ставка, которую ожидает
получить инвестор.
Очевидно, что инвестор вкладывает деньги только тогда, когда KS KS , иначе с учетом рискованности вложений в акции инвестор может разместить свои средства в другие активы.
KS - реализованная ставка доходности.
Итак, теоретическая (расчетная) стоимость акции в текущий момент t есть настоящая стоимость ожидаемого потока платежей.

Дивиденды могут расти, падать или оставаться постоянными (иногда они испытывают случайные колебания).

Таким образом

т.е., в случае отсутствия роста дивидендов теоретическая (расчетная)
стоимость акции пропорциональна размеру дивиденда и обратно пропорциональна ставке доходности.
текущая доходность) при известной рыночной
Отсюда ожидаемая ставка доходности ( текущая доходность) при известной рыночной цене акции
Рассмотрим случай, когда дивиденды растут с постоянным темпом роста. Обозначим через q постоянный темп роста дивидендов. Итак, если в начальный момент времени t0 дивиденд равен Д0, то в момент времени t1

Выражение (15) - широко распространенная модель Гордона.
Очевидно, что это выражение имеет место в случае KSq.
Частный случай при q=0 рассмотрен нами выше.
Рост дивидендов происходит чаще всего в результате роста доходов на 1 акцию, что, в свою очередь, является результатом влияния ряда разнокачественных факторов, таких как инфляция, рост доходов компании и т.д.
Отсюда, ожидаемая ставка доходности (текущая доходность) в этом случае может быть рассчитана.
в настоящий момент, называется ожидаемой
Величина Д1/Po, т.е. отношение дивиденда на акцию в течение текущего года к рыночной стоимости акции в настоящий момент, называется ожидаемой доходностью дивиденда на акцию.
Величина (P1 - Po)/Po т.е. отношение разницы между ожидаемой рыночной стоимостью акции и рыночной стоимостью акции в настоящий момент (капитализированный доход) к рыночной стоимости акции в настоящий момент, называется доходностью капитализированного дохода..
Очевидно
KS = Д1/Po + (P1 - Po)/ Po. (18)
Реализованная доходность без учета дивидендов рассчитывается как
отношение между приростом курсовой стоимости акции, по которой она была приобретена. Данный показатель может рассчитываться как за год, таки за месяц, неделю, квартал и т.д.
Соотношение риска и доходности инвестиций в ценные бумаги
Доходность ценных бумаг нельзя рассматривать в отрыве от их ликвидности и рискованности. Зависимость от этих факторов можно представить в виде следующих графиков:











