Введение понятия риска - Джон Дьюи
ВВЕДЕНИЕ ПОНЯТИЯ РИСКА
Никакие, даже самые лучшие прогнозы не в состоянии полностью исключить неопределенность рынка (стихии). А где неопределенность и случайность, там не миновать риска.
Risko на испанском означает скалу, да не просто скалу, а отвесную. По словарю Ожегова риск определяется как: 1) возможная опасность; 2) действие наудачу в надежде на счастливый исход.
Управление есть процесс целенаправленной переработки информации состояния в информацию командную. Выбор образа действия на основе переработки информации есть решение. Принятие решения - основа управления; без решения нет управления; управлять - значит решать. Т.к. принятие решения - это процесс разрешения неопределенности, то отсутствие решения также является решением, и ему, как и другим решениям, также свойственен риск - риск бездействия (риск неразрешения неопределенности).
Определение системы основано на выделении системы из ее окружения по какому-то системообразующему признаку, в качестве которого чаще всего выступает цель системы. В систему из бесконечной среды включаются все те и только те элементы, которые необходимы и достаточны для функционирования системы, обеспечивающего достижение цели. Следовательно, из системы исключаются не только внешние элементы, но и те элементы, которые вещественно входят в состав системы, но для достижения конкретно поставленной цели не нужны. Что включать и что не включать в систему, определяется характером проблемы, для решения которой система образуется. Точное определение целей системы является поэтому логической основой рассмотрения любых систем. Выбрать “правильную” цель конструирования важнее, чем сконструировать саму “правильную” систему, т.к. “неправильная” система - это не лучшая и не оптимальная система, но которая все-таки выполняет поставленные цели, хотя, может быть, и не самым совершенным образом; если же выбрана неправильная цель, то система будет не та, которую ожидает общество: как бы совершенна и удачна ни была ее конструкция, она не будет соответствовать предъявляемым требованиям, т.е. цель окажется невыполненной (“ошибка второго рода”).
Цель - это то, что обязательно должно быть достигнуто, а целевая функция - критерий достижения цели. Хорошая формулировка цели сама по себе содержит направление ее достижения. Недаром говорится, что правильно поставить задачу - это наполовину решить ее. Т.к. для реализации цели необходимы ресурсы, а ресурсы в общем случае ограничены по определению, то цели должны ставиться только самые необходимые на данном этапе, но в то же время реальные для выполнения. Цель обычно указывается очень расплывчато. Это объясняется тем, что интуитивно цель ясна, она связана с желанием как-то улучшить существующее положение, но выразить ее четко, а тем более в каких-то количественных мерках часто очень затруднительно. Считается, что многие факторы, особенно связанные с такими понятиями, как эстетика, репутация, престиж, долг, квалификация, имидж и т.п., не имеют естественной шкалы для измерений, а зачастую в принципе несоизмеримы. Когда же делается их оценка, то она субъективна и часто неоднозначна. Но именно эти этические, психологические и социальные понятия часто выступают как факторы мотивации цели. Их значимость, к сожалению, определяется инстинктивными симпатиями и антипатиями, которые сложились в результате воспитания, образования и социального окружения.
Успех - это 1) достижение поставленной цели; 2) желанный исход начатого мероприятия; 3) последовательное достижение намеченных серьезных личных планов.
В основе методов четкой формулировки целей и выяснения предпочтений лежит количественный анализ на основе использования математических моделей.
Правильное решение - это количественно обоснованный выбор наилучшего образа действий, ведущих к достижению поставленной цели в данных условиях обстановки. При этом “количественно обоснованный выбор наилучшего образа действий” можно определить как “искусство давать плохие ответы на те практические вопросы, на которые другими методами ответы даются еще худшие”, или “дать плохой ответ на вопрос, на который нельзя ответить по-другому”.
Необходимость принятия решения о наиболее целесообразной линии поведения - задача оптимального управления. Поэтому целесообразно рассматривать максимум возможных путей достижения цели. Выбор же самого удачного из них осуществляется с помощью целевой функции. В частном, но на практике очень часто встречающемся случае, оптимальный ход процесса может соответствовать максимальному или минимальному (в общем случае экстремальному, т.е. предельному) значению регулируемой величины.
Когда решение может привести не к определенному исходу, а к одному из множества возможных с разными вероятностями их осуществления, при этом дополнительно исход операции зависит от ряда факторов, не известных в момент принятия решения, принимающий решение рискует получить совсем не тот результат, на который рассчитывает. Это и есть принятие решений в условиях риска.
Избежать полностью риска невозможно. Риск бывает оправданный и неоправданный. Умение рисковать - это умение проводить границу между оправданным и неоправданным риском в каждом конкретном случае. Драма необходимости выбора при недостаточных основаниях знакома каждому, кому приходилось принимать ответственные решения.
Итак, из определения риска следует, что:
1) он представляет собой образ действий в неопределенной обстановке (наудачу);
2) что рисковать следует лишь в тех случаях, когда возможен успех (в надежде);
3) что ожидаемый результат риска носит не однозначный, а случайный характер.
Причины неопределенности (первой стороны риска):
а) неполнота наших знаний об окружающем мире (историю развития человечества можно представить как историю борьбы с неопределенностью);
б) случайность, т.е. то, что в сходных условиях происходит неодинаково, причем заранее нельзя предугадать, как будет в этот раз. Спланировать каждый данный случай невозможно;
в) противодействие.
Второй стороной риска является ожидание успеха - речь идет о неком конечном итоге действий, в котором общий успех преобладает над общим проигрышем. Каждый же отдельный результат не обязательно должен быть победным (хотя Хомма).
Третья сторона риска - случайность. Изучение законов случайного дает возможность предсказать общий исход действий, сопряженных с риском (хотя Эйнштейн - “я не верю, что Господь Бог бросает кости”). Т.к. наука - это прежде всего мера, то говорить о риске с научной точки зрения означает говорить о расчетливом риске, об измеренном риске, о мере риска. Т.о., с научной точки зрения
риск - это вероятность наступления неблагоприятного события, а деятельность в условиях риска - это количественно определенный образ действий в условиях неопределенности, ведущий в конечном результате к преобладанию успеха над неудачей
Всякое отклонение от расчетливого риска приводит либо к авантюризму, либо к перестраховке. И то и другое в конечном итоге сулит проигрыш.
О коллективном принятии решения:
а) у комиссии нет места, которое можно было бы высечь - А.Н.Крылов;
б) верблюд - это лошадь, дизайн которой был осуществлен группой.
О психологии:
а) “человек знает, что хорошо, а делает, что плохо” - Сократ;
б) человек обычно переоценивает вероятности малоправдоподобных и недооценивает вероятности очень правдоподобных событий (когда дело касается вероятностей, интуиция часто нас обманывает);
в) чем сильнее у лица, принимающего решение, агрессивные установки и потребность в доминировании, тем более высок уровень допускаемого им риска;
г) коллегиальные решения обычно более рискованные, чем индивидуальные.
Под лицом, принимающим решение, понимается система (лицо или круг лиц), которая производит выбор альтернативы и несет ответственность за свое решение. Выбор альтернативы свидетельствует о волевом рациональном действии; упоминание об ответственности указывает на заинтересованность принимающего решение в достижении поставленной цели (о засидевшемся на своем месте - ему уже ничего не нужно).
Действия, сопряженные с риском, всегда целенаправленны. Под целью при этом понимается результат, который принимающий решение стремится получить и который представляет для него определенный интерес - полезность. Не следует выбирать цель “сделать большие деньги”.
При принятии решений, связанных с риском, как правило, увеличивается значение фактора времени - “дорога ложка к обеду”, принцип истребителя - “плохое решение во время боя лучше, чем хорошее после”. Нехватка времени приводит к попыткам убыстрить принятие решения, что в свою очередь порождает ошибки и делает выбор менее эффективным.
Соотношение величин объективной и субъективной информации, используемой при принятии решения, может служить мерой качества решения (предварительной, но не окончательной). Этот показатель характеризует степень риска, которую берет на себя принимающий решение, прекращая поиски путей объективного обоснования решений. При этом следует отметить, что: 1) всегда существует информация, которая не может быть получена никакими объективными методами и подлежит определению только интуитивно-логическими приемами и/или волевыми решениями; 2) объем получаемой информации (и трудозатрат на ее получение) обратно пропорционален по отношению к затрачиваемому времени; 3) качество решения есть неубывающая функция затрат ресурсов.
Любые неожиданные изменения в состоянии фирмы являются сигналами раннего предупреждения о недостатках в управлении:
Настоящее изменение = Ожидаемое изменение + Неожиданное изменение (1)
Качество управления сказывается в способности справляться с изменениями, особенно неожиданными, которые являются источниками риска и неопределенности. Задача риск менеджмента - быть всегда готовым к ожидаемым изменениям и быстро приспосабливаться к неожиданным.
поток внешних воздействий
(контролируемых, но не подконтрольных)
и порождаемые ими риски
поток внутренних
(подконтрольных) NPV
воздействий и или дисперсия ценности
порождаемые ими фирмы как мера риска
риски обратная
связь (+/-)
Рисунок 1
NPV есть результат взаимодействия внешних и внутренних (регулирующих) воздействий на систему. Целевая функция управления риском - максимизация NPV /или стабилизация NPV (минимизация стандартного отклонения NPV) /или...
СИСТЕМА (ПРОГРАММА) УПРАВЛЕНИЯ РИСКОМ
Инвестиции [investment] - использование денег с целью получения дохода и/или наращивания капитала. Инвестиции являются отложенным потреблением. Инвестировать означает “расстаться с деньгами сегодня, чтобы получить большую их сумму в будущем”. Инвестор (покупатель, вкладчик) - тот, кто при инвестировании думает прежде всего о минимизации риска. В отличие от инвестора спекулянт [от лат. speculatio выслеживание, высматривание, созерцание, умозрение] готов идти на рассчитанный риск, а игрок - на любой риск. Инвестиционный капитал имеет три важных качества: он мобилен, уязвим и редок. А поэтому исключительно разборчив и селективен. Он направляется туда, где инвестиционный климат благоприятен и имеются определенные возможности для получения прибыли. Из-за своей мобильности и уязвимости капитал мигрирует между районами и странами; из-за своей редкости (в мировом масштабе!) капитал повсеместно пользуется высоким спросом и не может быть умножен по решению того или иного правительства. Инвестора не интересуют ваши трудности и проблемы; инвестор капризен, осторожен и циничен. Для него решающими являются ответы на пять основных вопросов:
- сколько денег он может на этом проекте заработать?
- сколько денег он может на этом проекте потерять?
- как он сможет вернуть свои деньги?
- кто еще участвует в этом проекте?
- кто сказал, что этот проект хорош?
Управление риском - это процесс идентификации и оценки риска с последующим выбором образа действия исходя из наличия альтернативных сценариев развития событий. Целевая функция - уменьшение дисперсии ценности фирмы (но никак не максимизация ценности фирмы).
- Идентификация риска (какой риск вызывает данное действие/бездействие (данная трансакция) для банка? Памятуя о том, что нет дохода без расхода (риска).
- Измерение величины риска и построение профиля риска - зависимости ценности фирмы от величины риска (какова именно величина риска, вызываемого данной трансакцией? Какую именно величину риска несет данная трансакция?)
- Определение наличия альтернативных сценариев действия. Нет альтернативы - нет действия - “принцип осознанного бездействия” - за исключением тех случаев, когда фирма по тем или иным причинам не имеет возможности вообще уклониться от риска. (Имеем ли мы возможность уклониться от риска?)
- Имеет ли смысл рисковать вообще? Как этот риск соотносится с ожидаемым доходом? (не менее 3:1) построение кривой безразличия (кривой терпимости к риску).
- Принятие решения о допустимости/недопустимости величины риска для валюты баланса фирмы (можем ли мы себе позволить такую величину риска? Бойся убытков, а прибыли придут сами собой). Определение объемов операций, при этом объем есть функция волатильности.
- Определение стоимости страхования и стоимости уклонения от риска вообще как отказа от будущих доходов.
- Принятие решения (выбор образа действий), исполнение и контроль.
- Анализ ранее предпринятых действий или бездействий в исторической ретроспективе.
ТЕСТЫ НА СКЛОННОСТЬ К РИСКУ
На дно глубокого рва насыпали битое стекло. Испытуемым показывали этот ров, чтобы они могли убедиться, что лучше туда не падать. Затем их отводили от рва примерно на 5 метров, крепко завязывали глаза и предлагали подойти к краю рва. Если испытуемый с первого же шага проявлял осторожность или, наоборот, смело шагал до самого рва и его приходилось удерживать от падения, то считалось, что в обоих случаях человек предрасположен к несчастным случаям. Оба эти типа испытуемых представляют определенную опасность. Если, к примеру, посадить их за руль автомашины, то представители первого типа будут пугаться каждой мелочи, их внимание будет отвлекаться второстепенными деталями, и это может привести к аварии. Не менее опасны и представители второго типа, склонные к излишнему и необоснованному риску. В отличие от них хороший водитель, не предрасположенный к несчастным случаям, уверенно делает два-три шага вперед, а потом либо совсем отказывается идти, либо идет, проявляя достаточную и постепенно возрастающую осторожность.
На большой доске в полном беспорядке выстраивают цифры от 1 до 100 и предлагают отыскать в этом хаосе все цифры по порядку. Лишь один человек из десяти тысяч справится с этой задачей за 5 минут. Обычно же за это время успевают отыскать от 25 до 50 цифр. Низкий результат означает, что человек не способен выделить из массы факторов главный; он в замешательстве останавливает взгляд одновременно на дюжине цифр, прежде чем выбрать необходимую.
Эксперимент на терпение. В течение часа испытуемый должен складывать числа, добавляя заданное к сумме предыдущих. Выдержанный человек спокойно складывает числа, причем скорость вычислений и их точность с течением времени равномерно уменьшаются. А вот легковозбудимые люди скоро начинают нервничать и быстро устают. Но особо опасен тип людей, которые до определенного момента времени работают быстро и точно, а затем их терпение лопается, они впадают в замешательство и полностью утрачивают способность управлять своим вниманием.
Знаешь - значит вооружен.
На каждый из 25 вопросов надо дать один из пяти вариантов ответа: “да” (5 очков), “скорее да, чем нет” (4 очка), “трудно сказать” (3 очка), “скорее нет, чем да” (2 очка), “нет” (1 очко).
- Превысили бы вы установленную скорость, чтобы быстрее оказать помощь тяжелобольному человеку?
- Согласились бы вы участвовать в опасной и длительной экспедиции?
- Стали бы вы на пути убегающего опасного взломщика?
- Могли бы вы ехать на подножке товарного вагона при скорости 100 километров в час?
- Можете ли вы на другой день после бессонной ночи нормально работать?
- Стали бы вы первым переходить очень холодную реку?
- Одолжили бы вы другу большую сумму денег, будучи не совсем уверенным, что он сможет вернуть вам эти деньги?
- Вошли бы вы вместе с укротителем в клетку со львами при его заверении, что это безопасно?
- Могли бы вы под руководством извне залезть на высокую фабричную трубу?
- Стали бы вы без тренировки управлять парусной лодкой?
- Рискнули бы вы схватить за уздечку бегущую лошадь?
- Решились бы вы быстро перебежать в ботинках ледяную хоккейную площадку?
- могли бы вы совершить прыжок с парашютом?
- Могли бы вы при необходимости проехать без билета от Ленинграда до Москвы?
- Решились бы вы совершить автотурне, если бы за рулем сидел человек, который совсем недавно был в тяжелом дорожном происшествии?
- Могли бы вы с 10-метровой вышки прыгнуть на тент пожарной команды?
- Могли бы вы, чтобы избавиться от затяжной болезни с постельным режимом, пойти на опасную для жизни операцию?
- Могли бы вы спрыгнуть с подножки товарного вагона, движущегося со скоростью 50 километров в час?
- Могли бы вы в порядке исключения в числе семи человек подняться на лифте, рассчитанном только на шесть человек?
- Могли бы вы по просьбе любимой женщины перейти с завязанными глазами оживленный уличный перекресток?
- Взялись бы вы за опасную для жизни работу, если бы за нее хорошо платили?
- Могли бы вы после 5 рюмок вина вычислять проценты?
- Могли бы вы по указанию начальника взяться за высоковольтный провод, если бы он заверил вас, что провод обесточен?
- Могли бы вы после нескольких предварительных объяснений управлять вертолетом?
- Могли бы вы, имея билеты, но без денег и продуктов предпринять поездку из Москвы в Ташкент?
Если ваша сумма превышает 100 очков, то вы склонны к чрезмерному риску, если меньше 50, то вы склонны к чрезмерной осторожности. Судя по некоторым приведенным здесь вопросам, риск - не всегда благородное дело. Нередко он превращается в лихость, которую лишь по ошибке причисляют к достоинствам человека. По словарю Даля, лихо - это зло. Говоря о риске, важно по возможности обозначать количественную сторону риска. Психологи определяют степень риска как отношение представлений об опасности к представлениям о факторах, противостоящих опасности. Несчастный случай - это результат неадекватного поведения в сложной ситуации.
ВИДЫ ФИНАНСОВЫХ РИСКОВ И ОБЗОР УПРАВЛЕНИЯ ИМИ
Банковская деятельность неизбежно связана с риском. Риск означает неопределенность, связанную с некоторым событием. И какие бы усилия банк не предпринимал для минимизации рисков, они всегда существуют - вопрос только в их величине. “С Божьей помощью у вас всегда будет какое-то количество убытков. Но вы сами не должны нарываться на риск”. Управление риском - это сердцевина управления финансами банка. В основе финансового управления банком - способность управлять балансовыми и внебалансовыми портфельными рисками. Под величиной риска принято понимать вероятность наступления того или иного нежелательного события, где под последним понимается событие, неблагоприятное для чистой текущей стоимости фирмы. К сожалению, к понятию финансового риска в полной мере применимо высказывание маршала Фоша о военном искусстве: сущность его довольно проста, но, к несчастью, его сложно претворить в жизнь.
Обычно различают следующие виды рисков (риски внешние и внутренние):
Кредитный риск [default risk] - 1) риск того, что заемщик не уплатит по ссуде; 2) вероятность того, что стоимость части активов фирмы, а особенно кредитов, уменьшится или сведется к нулю или фактическая доходность по данной части активов окажется значительно ниже ожидаемого уровня; 3) вероятность невозврата кредитов; 4) вероятность значительных убытков по кредитам и другим активам вследствие невыполнения заемщиком своих обязательств.
[Номинальная и рыночная стоимость кредитов]
Процентный (рыночный, курсовой) риск - 1) риск того, что цена активов упадет из-за роста нормы процента; 2) вероятность того, что изменение процентных ставок уменьшит чистую процентную маржу банка; 3) неблагоприятные изменения стоимости активов и пассивов вследствие изменения процентных ставок; 4) вероятность сокращения спрэда банка между процентными доходами и процентными расходами вследствие изменения процентных ставок; 5) неопределенность дохода от ценной бумаги с фиксированным доходом, возникающая вследствие неожиданных колебаний стоимости актива из-за изменений процентной ставки.
Реинвестиционный риск - неопределенность доходности актива с фиксированным доходом, порождаемая непредсказуемостью процентной ставки, по которой доходы от актива могут быть реинвестированы.
Валютный риск - 1) вероятность того, что изменение курсов иностранных валют приведет к появлению у фирмы убытков вследствие изменения рыночной стоимости его активов и пассивов; 2) неопределенность в доходности зарубежного финансового актива, связанная с неизвестным заранее курсом, по которому иностранная валюта будет обмениваться на валюту инвестора. Связан с процентным риском.
Риск ликвидности - 1) вероятность того, что средства, необходимые для покрытия изымаемых депозитов и удовлетворения спроса на кредиты, окажутся в нужный момент недоступны, что приведет к неожиданным убыткам для банка; 2) вероятность появления дефицита наличных средств в момент, когда в них ощущается потребность. Различают ликвидность мгновенную, среднесрочную и долгосрочную.
Риск адекватности капитала - предполагается, что возможна учитывающая риск оценка капитала, и тогда этот риск рассматривается как вероятность того, что капитал фирмы сократится (потеряет ликвидность). Если все риски подрывают способность фирмы приносить прибыль, тогда в конце концов, при прочих равных условиях, капитал фирмы иссякнет.
Риск неплатежеспособности (банкротства) - вероятность того, что банк обанкротится; характеризуются вероятностью того, что капитал банка сможет покрыть убытки от деятельности (вероятность неадекватности капитала банковским рискам).
Политический риск - 1) вероятность того, что изменение законодательных или регулирующих актов внутри страны или за ее пределами окажет негативное воздействие на прибыль, операции и перспективы фирмы; политический риск связан не только с конкретной страной, но и соседними странами, регионом, и даже геополитикой - благополучный Кувейт, но рядом Ирак!; 2) неопределенность доходности иностранных финансовых активов, связанная с возможным ущемлением интересов инвесторов правительством страны эмитента.
Риск регулирования - риск того, что непредвиденные действия или бездействия регулирующих органов уменьшат капитал фирмы и ее способность получать прибыль. Этот риск можно также обозначить как правовой (вероятность изменения законодательства, измеряемая через частоту изменения).
Риск клиента - риск того, что конкуренты перехватят рынки и клиентов фирмы и тем самым подорвут ее капитал и способность приносить прибыль. Этот риск можно также обозначить как деловой или конкурентный.
Страновой риск (политический и правовой) + культура и менталитет (склад ума) народа, его сказки и пословицы (лень и жадность), количество телефонов и употребление мыла на душу населения; развитость коммуникаций вообще, чистота общественных туалетов (?) как характеристика культуры народа; доля государственного и частного сектора в экономике; национальный состав и национально-территориальное деление - вероятность межнациональных конфликтов; вероисповедание, число ведущих конфессий и вероятность религиозной розни; число чиновников на душу населения и коррупция; природные богатства; зависимость от экспорта/импорта; торговый баланс; ВВП на душу населения; кредитный рейтинг; геополитическое положение;
Технологический риск - риск того, что в результате технологических изменений существующие системы производства и сбыта устареют и, тем самым, уменьшатся капитал фирмы и ее способность получать прибыль.
Риск злоупотреблений - вероятность того, что владельцы фирмы, ее служащие или клиенты нарушат закон, а это повлечет за собой убытки вследствие мошенничества, растраты, кражи или других незаконных действий.
Риск некомпетентности - банковское дело является одной из тех сфер экономики, в отношении которой мало кто из нас может позволить себе ничего не знать. Например, одним из ключевых факторов, определяющих структуру конкретного банковского кредитного портфеля, является опыт и квалификация менеджеров в области различных видов кредитования (или конкретного вида кредитования); или Винер - математик при решении конкретной проблемы прежде всего использует ту область математики, с которой он знаком наилучшим образом, или же ищет те конкретные проблемы, при решении которых он может использовать свои “любимые” знания; также смотри Синки про руководителей;
Деловой риск- .
Риск предложения новых услуг - .
Риск недополучения прибыли - вероятность изменения чистой прибыли банка; это риск, относящийся к чистой прибыли банка (после вычета всех расходов, включая налоги).
Инфляционный риск - вероятность того, что повышение цен на товары и услуги (инфляция) неожиданно сведет к нулю покупательную способность прибыли банка и его выплат акционерам. Риск покупательной способности - риск инвестирования финансовые активы вследствие неопределенности, связанной с влиянием инфляции на величину реальной доходности этих активов.
Забалансовые риски - это риски, порождаемые не регистрируемыми в балансе обязательствами.
Риск аффилиации (аффиляция) - риск заразности - являясь дочерним предприятием холдинговой компании, банк подвержен всем рискам, ей угрожающим.
Риск рыночной стратегии - риск того, что банк неадекватно определит собственный рынок и/или не сможет обеспечить предоставление финансовых продуктов и услуг, которые создают спрос или удовлетворяют уже существующие потребности.
Риск эффективности операций - риск того, что текущая неэффективность банка приведет к сокращению потока доходов.
Риск разводнения капитала - вероятность падения прибыли на одну акцию в связи с выпуском акций на сумму, превосходящую потенциал и активы банка, что ведет к их обесценению и утратой контроля над ними.
Риск потенциальных убытков - максимальная сумма возможных потерь банка.
В финансах риск требует компенсации, поэтому мы и говорим о соотношении “риск-доход”. Вероятность наступления каких-либо событий характеризуется распределением вероятностей. Основной статистический показатель такой неопределенности - среднее квадратическое отклонение.
Строгая формализация процедуры принятия решения в условиях неопределенности, основанная на ее (неопределенности) последовательном разрешении - основа управления риском; математика и здравый смысл; идентификация риска, его измерение, способы хеджирования и уклонения от риска.
Ключевой фактор - величина ставки (в игре), тщательное взвешивание цены возможной ошибки. Большие ставки - это нестабильные прибыли. “Туннельное” видение: перед глазами только большие выигрыши.
Мир духов рядом, дверь не на запоре
Гете “Фауст”
РИСК НЕПЛАТЕЖЕСПОСОБНОСТИ (БАНКРОТСТВА)
Риск неплатежеспособности (банкротства) - это риски, влияющие на жизнеспособность фирмы в долгосрочном плане; характеризуются вероятностью того, что капитал банка сможет покрыть убытки от деятельности (вероятность неадекватности капитала банковским рискам). Если банк выдал слишком большое количество плохих кредитов или рыночная стоимость значительной части его портфеля ценных бумаг снижается, это приводит к серьезным потерям капитала при их продаже, а его счета, предназначенные для компенсации подобных убытков, оказываются перегруженными. Если инвесторы и вкладчики узнают об этой проблеме и начинают изымать свои средства, банк, как правило, быстро теряет ликвидность, что вынуждает (или принуждает!) регулирующие органы объявить банк неплатежеспособным и закрыть его.
Банкротство банка может привести к тому, что его акционерам вернется лишь небольшая часть средств, которые они доверили данному учреждению. Вкладчики, средства которых не были застрахованы, также рискуют тем, что они потеряют свои деньги частично или полностью. По этой причине уровень цен на банковские акции, дохода по ним и по крупным незастрахованным депозитам может уже на ранней стадии служить индикатором, свидетельствующим о наличии у банка проблем с платежеспособностью. Если инвесторы считают, что шансы банка обанкротиться слишком велики, рыночная стоимость его акций обычно начинает падать, и он вынужден предлагать более высокие процентные ставки по своим ДС и другим заимствованиям для того, чтобы привлечь необходимые ресурсы. Экономисты называют данный феномен дисциплиной рынка - рыночное движение процентных ставок и стоимости ценных бумаг направлено в сторону, противоположную интересам фирмы, которая столкнулась с проблемами. (Банкир дает вам деньги лишь тогда, когда вы не нуждаетесь в них. Если вам действительно нужны деньги, значит, вы в отчаянном положении. А если вы в отчаянном положении, то банкиру вы не интересны. Если только речь не идет о национализированном банке). Подобная ситуация заставляет фирму осуществлять коренное изменение своей политики и деятельности с целью разубедить инвесторов в их худших опасениях относительно фирмы. Это наводит на мысль, что риск банкротства может быть приблизительно оценен с помощью следующих показателей:
- разница рыночных ставок по долговым обязательствам, эмитированным банком, и правительственным ценным бумагам с аналогичными сроками погашения. Увеличение данной разницы означает, что рыночные инвесторы видят повышенный риск появления убытков от операций по покупке долговых ценных бумаг банка.
- Соотношение цены акций банка и его годовой прибыли в расчете на одну акцию. Данное соотношение зачастую снижается тогда, когда инвесторы приходят к убеждению, что капитал банка недостаточен относительно взятых им на себя рисков.
- Мультипликатор акционерного капитала - отношение акционерного капитала (чистой стоимости) к совокупным активам банка, снижение которого может свидетельствовать об увеличении степени риска акционеров банка и владельцев его долговых обязательств. У банков составляет около 15 пунктов, у крупных банков - более 20. Поскольку акционерный капитал должен покрывать убытки по активам, постольку чем выше значение мультипликатора, тем выше риск банкротства. Органы регулирования и надзора вправе закрыть банк, у которого доля собственного капитала в совокупных активах падает ниже 2% (мультипликатор равен 50).
- Соотношение приобретенных средств и совокупных пассивов. Под приобретенными средствами обычно понимаются незастрахованные депозиты, заимствования на денежном рынке у других банков, корпораций и правительственных органов, которые должны быть возвращены в течение одного года.
Другие часто применяемые показателя уровня риска неплатежеспособности банка включают соотношения: а) акционерного капитала и рискованных активов; б) первичного капитала и совокупных активов. Рисковые активы состоят в основном из кредитов и ценных бумаг без учета наличных средств, зданий и оборудования, прочих активов банка. В некоторых случаях также не учитываются вложения в краткосрочные правительственные ценные бумаги, поскольку рыночная цена подобных бумаг обычно стабильна и всегда имеется рынок для их перепродажи. Первичный капитал включает все банковские резервы, которые могут быть использованы для покрытия убытков, включая акционерный капитал, резерв на покрытие убытков по кредитам, не составляющие контрольного пакета вложения в дочерние компании банка и его долгосрочные долговые обязательства, которые не могут быть востребованы досрочно, за минусом нематериальных активов (“гудвилл”), учтенных на балансе банка.
Сорос - .
[предел тревоги, воспринимаемый сознанием - Стругацкие]
Попытки регулирующих органов заглянуть в будущее мира рыночных ставок заслуживают восхищения, но...
Рассмотрим банк с нулевым гэпом, соотношением активов, пассивов и капитала 100=92+8, который платит по пассивам, издержкам и дивидендам 4% (в процентах от валюты баланса), а все его активы вложены в T-bill под 5%. Через год его баланс будет выглядеть следующим образом: 105=96+8 или 105=96+9. Такому банку капитал в общем-то и не нужен, более того, он вреден, т.к. акционерам надо платить дивиденды.
Капитал банка должен быть равен одному/двум/трем стандартным отклонениям активов, в которые вложены средства банка (волатильности). Если волатильность равна 1, то 105+/-1=92+4+8, т.е. 106=96+8, 104=96+8 с вероятностью нижнего события 15,87%. С вероятностью 97,72% наихудшая ситуация уложится в рамки 103=96+8, или 103=96+7(-1), а с вероятностью 99,87% в рамки 102=96+6(-2). Т.о., минимальный уровень капитала в данном случае должен был быть....
“Капитал” по-латыни означает “голова” - капитал - всему голова.
РИСК ЛИКВИДНОСТИ
Риском ликвидности называется проблема недостаточности наличных и привлеченных средств для того, чтобы обеспечить возврат депозитов, выдачу кредитов и т.д. Банк, который столкнулся с риском ликвидности, может быть вынужден привлекать средства по слишком высокой ставке для удовлетворения текущей потребности в наличности, что приведет к снижению его прибыли. Недостаток ликвидности чаще обусловливается неожиданным и значительным оттоком депозитов, что заставляет банк заимствовать средства по более высокой процентной ставке - выше, чем ставки, по которым производят подобные заимствования другие банки.
Получение дохода, как правило, связано с временной потерей некоторой ликвидности капитала. Проблемы с ликвидностью возникают у банка, когда они возникают у клиентов; свои проблемы с ликвидностью клиенты перекладывают на банк, который обязан их решать, так как за это банку уже уплачено самим фактом размещения клиентом своих денег на банковских счетах. Именно потому банку нельзя пытаться строить решение проблемы управления ликвидностью путем поддерживания “тесных” связей с клиентами с целью заблаговременного предупреждения банка клиентом о предстоящем изъятии средств - ведь в этом случае проблема отфутболивается банком обратно клиенту. А зачем клиенту банк, не решающий его проблемы, за решение которых уплачено?
Одним из показателей уровня риска ликвидности является соотношение заимствованных средств (в том числе евродолларовых средств, соглашений об обратном выкупе ценных бумаг, депозитных сертификатов на крупные суммы и коммерческих бумаг) и совокупных активов. Рост объема заимствованных средств увеличивает вероятность наступления кризиса ликвидности в случае повышения оттока депозитов или ухудшения качества кредитов. Другими показателями уровня риска ликвидности являются: 1) отношение нетто-кредитов к совокупным активам; 2) отношение наличных средств и межбанковского кредита с истекающим сроком погашения к совокупным активам; 3) отношение активов в наличной форме и правительственных ценных бумаг к совокупным активам.
Активы в наличной форме включают наличные деньги в хранилище банка, депозиты банка в местном федеральном резервном банке, депозиты в других банках для компенсации выплат по чекам и за другие межбанковские услуги и наличность в процессе инкассации (в основном неинкассированные чеки). Стандартные способы снижения уровня риска ликвидности включают увеличение доля средств банка, направляемых в ликвидные активы и легко реализуемые на рынке активы (правительственные ценные бумаги), или использование более долгосрочных ценных бумаг для финансирования операций банка.
Задача по управлению ликвидностью состоит в том, чтобы наличные денежные средства были в распоряжении банка тогда и там, когда и где они нужны ему в наибольшей степени. Ликвидность необходима банкам главным образом для того, чтобы быть готовыми к изъятию депозитов и удовлетворять спрос на кредиты. Банки могут либо накапливать ликвидность в своих балансах, либо приобретать ее на денежных рынках, либо использовать оба способа. В дополнение к этому банки занимаются продажей ликвидности.
Банкам ликвидность необходима для выживания. Ликвидность всегда идет впереди, без нее банк не откроет свои двери. Способность банка обеспечить ликвидность требует наличия высоколиквидных и легкоперемещаемых активов. Ликвидность и перемещаемость - два ключевых понятия. Требование ликвидности означает, что финансовые активы должны быть доступны в кратчайшее время (в течение дня или менее того) по номиналу. Требование перемещаемости означает, что права на владение финансовыми активами должны быть передаваемыми по номиналу другому экономическому субъекту в форме, приемлемой для него. Финансовые инструменты называются ликвидными, если их можно быстро продать на наличном рынке при небольшом риске потерь для продавца.
Накопленная ликвидность является внутренним источником в том смысле, что она как бы складирована в форме определенных активов в балансе банка. Этот процесс, известный под названием “превращение активов”, может осуществляться либо по усмотрению, либо естественным путем при погашении кредитов и ценных бумаг. Планирование ожидаемого потока наличности от заемщиков получило название теории ожидаемого дохода.
Внешний источник ликвидности - .
Банк должен предоставлять любые выгодные для себя займы, ставя перед управляющим ликвидностью банка задачу изыскания достаточных денежных средств для обеспечения выдачи выгодного кредита.
Банк является ликвидным, когда он имеет возможность получить ликвидные средства по приемлемым ценам, в требуемом количестве и в необходимый момент времени. Управление ликвидностью предполагает наличие достаточных денежных средств в легко и быстрореализуемых активах, а также возможность осуществлять займы денежных средств по умеренной цене с целью удовлетворения потребности в денежных средствах именно тогда, когда они возникают. Поскольку время является решающим фактором в управлении ликвидностью, банк должен точно знать, как, когда и откуда могут быть получены требуемые ликвидные средства.
Общепринято три подхода к решению проблем ликвидности банка: 1) обеспечение ликвидности за счет активов (управление активами); 2) обеспечение ликвидности за счет заемных ликвидных средств (управление пассивами); 3) сбалансированное управление ликвидностью (активами и пассивами). Согласно сбалансированному методу управления ликвидностью часть ожидаемого спроса на ликвидные средства накапливается в виде быстрореализуемых ценных бумаг и краткосрочных депозитов в других банках, в то время как иные потребности в ликвидных средствах обеспечиваются предварительными соглашениями об открытии кредитной линии с банками-корреспондентами (в том числе под залог ГКО, ОФЗ, ОГСЗ, ОГВВЗ).
Менеджеры по управлению ликвидностью должны:
- в сотрудничестве с высшим руководством Банка быть уверенными, что приоритеты и цели управления ликвидностью очевидны;
- контролировать деятельность всех отделов Банка, отвечающих за использование и привлечение средств, и координировать свою деятельность с работой этих отделов (соответственно отделы, влияющие на ликвидность Банка, должны информировать менеджера по управлению ликвидностью о предстоящем изменении спроса и предложения на ликвидные средства);
- предвидеть (насколько это возможно), когда наиболее крупные вкладчики и пользователи кредитов Банка планируют снять средства со счета или увеличить вклады.
РАСЧЕТ ЛИКВИДНОСТИ
К/с завтра = к/с сегодня + (поступления - списания) +/- SD (1)
Банку необходимо иметь на счете сумму, покрывающую разницу между поступлениями и списаниями с заданной вероятностью. Мерой риска является стандартное отклонение разницы поступлений и списаний, а величиной риска ликвидности - вероятность неисполнения банком своих обязательств. Т.к. поступления и списания не могут быть меньше нуля, необходимо использовать логнормальное распределение. Т.о., задача сводится к определению: 1) SD поступлений, списаний и к/с в целом; 2) приемлемой вероятности исполнения банком своих обязательств.
Второй подход заключается в том, что объем ликвидных средств банка должен покрывать волатильность его пассивов:
К/с + касса = SD (пассивов) (2)
В обоих случаях задача начинается с определения банком приемлемой для себя вероятности неисполнения обязательств. Для нормального распределения:
Кроме того, согласно неравенству Чебышева при любом типе распределения не менее 88% его значений будут в диапазоне +\- 3SD.
Очевидно, что банк, планирующий свою деятельность на срок более 3-х лет, примет в качестве максимального значения риска ликвидности величину не менее 3-х, но и не более 4-х SD. Исходя из практики расчета природных форс-мажорных явлений - понятия “большого шторма” раз в 50 лет - логично предложить вероятность исполнения обязательств 99,992%, что эквивалентно 3,774 SD.

(3)

(4)
Кризис 17-го августа можно и нужно рассматривать как потерю ликвидности Центральным Банком России по доллару США.
ОРГАНИЗАЦИЯ ЛИКВИДНОСТИ
Определить и утвердить стратегию и политику управления ликвидностью: приоритетное направление - скорость проведения собственных и клиентских платежей. Безальтернативные приоритеты: 1) безотлагательное обеспечение потребностей Банка (его клиентов) в ликвидных средствах; 2) большая часть ресурсов Банка предназначается для удовлетворения клиентского спроса на ликвидные средства, меньшая часть - для достижения желаемой прибыльности Банка. Сломать существующее отношение Управляющих к проведению клиентских платежей. Проведя соответствующее исследование (по направлению и объемам финансовых потоков, сезонности квартальной и месячной (выплата заработной платы и авансовых платежей), структуре клиентуры Банка, налоговому календарю, среднему ежедневному объему платежей за последние две недели, графиков выдачи коммунальными службами счетов на оплату коммунальных платежей, оплаты Банком расходов по привлечению и на прочие операции (процентные и непроцентные расходы собственно Банка, предъявление к оплате крупных депозитных сертификатов и т.д.), назначить неснижаемый норматив для каждого ОСБ (приблизительно не менее 2-2,5% от остатка “горячих” денег) и совершенно однозначно, под личную ответственность Управляющих, потребовать соблюдения ими этого норматива. На первых порах провести кампанию по сбору информации от клиентов по задержкам платежей, жестко разбираясь с каждым случаем. Каждый клиент ОСБ в договоре на открытие счета в обязательном порядке должен получать полный набор реквизитов всех имеемых у Банка иногородних счетов (т.е. должен иметь ясное представление, как ему удобнее получить средства из другого региона). “Засланные казачки”.
Судный день - день, когда банк выдает ссуду
КРЕДИТНЫЙ РИСК
Договоры о ссудах никогда не приносят неожиданных доходов, потому что ни один заемщик не вернет больше, чем указано в контракте. Но порой они возвращают меньше, чем было оговорено. Возможность непогашения ссуд является источником кредитного риска. Асимметричность дохода/риска.
Кредитный риск - 1) риск того, что заемщик не уплатит по ссуде; 2) вероятность того, что стоимость части активов банка, в особенности кредитов, уменьшится или сведется к нулю; 3) вероятность невозврата кредитов. Поскольку доля средств владельцев в совокупной стоимости активов банка невелика, даже при относительно незначительном проценте кредитов, которые перешли в разряд неблагополучных, банк может оказаться на грани банкротства (здоровье уходит пудами, а приходит золотниками). Два наиболее распространенных показателя кредитного риска банка:
- отношение недействующих активов к совокупному объему кредитов и обязательств по лизингу;
- отношение чистых списаний по кредитам к совокупному объему кредитов и обязательств по лизингу.
Недействующие активы - это доходные активы, в том числе кредитные вложения, срок погашения которых истек 90 или более дней назад. Списания - это кредиты, относительно которых банк убедился, что они никогда не будут погашены, и которые списаны на убытки. По мере роста обоих показателей увеличивается кредитный риск и вероятность банкротства банка.
Размещение банковских активов должно основываться на оценках прибылей, скорректированных по риску. Традиционно банки выдавали и сами обеспечивали ссуды. Взаимоотношения между кредитором и заемщиком можно рассматривать в терминах теории агентских отношений, полагая заемщиков агентами, которые действуют в пользу кредиторов, являющихся принципалами; при этом сами кредиторы являются агентами депозиторов, вынужденных делегировать банку право управления их средствами в связи с тем, что они сами не имеют ни времени, ни знаний для оценки кредитоспособности заемщиков (профессионального управления своими деньгами). Чтобы защитить собственные интересы, кредиторы должны контролировать и направлять действия заемщиков. Проблема заключается в асимметричности информации: заемщики знают куда больше о собственном положении, чем кредиторы, т.е. последние выступают как аутсайдеры, которым недоступна внутренняя информация.
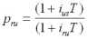
Кредитный риск - это вероятность невозврата кредита. Нейтральное к вопросам риска уравнение ценообразования выражает фундаментальное представление о взаимозависимости риска и дохода:

, где р - вероятность возврата кредита.
Т.к. полная сумма событий равна 1, то риск (вероятность невозврата) равен (1-р), а ставка по кредиту

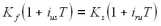
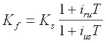
Ставка по кредиту должна компенсировать временную стоимость денег (свободная от риска ставка процента) и риск невозврата ссуды, т.е. процентная ставка по ссуде увеличивается, если есть основания полагать что заемщик может не погасить кредит, при этом если заведомо известно, что заемщик не вернет долг (р=0), величина ставки по кредиту не поддается определению (риск кредиторов компенсировать невозможно). Правильный выбор процентных ставок, конечно, только один из способов контроля риска. Понятно, что учет взаимодействия между кредитным и процентным риском (т.е. “правильное” установление ставки по кредиту, в том числе плавающей) не спасет кредитора, если кредит будет выдан недобросовестному заемщику, но кредиторы, вообще не учитывающие это взаимодействие и перекладывающие весь процентный риск (в том числе риск изменения рыночных ставок) на заемщика, совершают серьезную ошибку. Основная цель кредитования - получить свои деньги обратно, а перенос процентного риска на заемщика далеко не нейтрален: все другие факторы также изменятся [I(C), CF, NW, G]. В конечном итоге это может способствовать превращению добросовестного заемщика в недобросовестного, или, как минимум, создает предпосылки для этого. Трансформация процентного риска в кредитный.
Итак, кредитный анализ направлен на определение вероятности возврата заемщиком ссуды.

, где
I(C) - качество информации (своевременность и точность), которое в свою очередь определяется характером заемщика С;
CF - уровень и стабильность потока наличности;
NW - реальный уровень собственного капитала;
G - наличие гарантий (объем и надежность).
А также:
K - конкуренция.
O - отношения банка и клиента - концепция отношений с клиентами означает стратегическую комбинацию услуг, займов и депозитов.
Все составляющие являются в свою очередь функциями внешних экономических условий ECY. В широком смысле экономические условия - это: фаза делового цикла, уровень цен (инфляция, дефляция, курс валюты), фискальная и денежно-кредитная политика, уровень безработицы, платежный баланс (импорт, экспорт), цены на нефть и другие энергоносители, технология, конкуренция, кредитный рейтинг страны. Условий - это подверженность заемщика воздействию внешних сил. Содержание фактора условий состоит в том, в какой степени внешние изменения способны ухудшить положение заемщика. Еще точнее: какое сочетание внешних условий лишит заемщика возможности вернуть долг?
ОПРЕДЕЛЕНИЕ ECY (внешних экономических условий)
Согласно принципа “нейтрального к риску” инвестора:

Поскольку ценные бумаги Казначейство США считаются совершенно свободными от риска неплатежа (вне подозрений, “как жена Цезаря”), вероятность возврата вложений в T-bond США принимается равной 1. Отсюда вероятность возврата вложений в Россию определяется как:

,
а риск на Россию -

.
В стране с рейтингом ССС- и ставками на ее долговые обязательства в десятки годовых в валюте (вероятность возврата - медиана минус стандартное отклонение....) не может быть условий для кредитования.
I[C(ECY)] Характер подразумевает готовность заемщика погасить ссуду - “нельзя получить хорошие результаты, имея дело с плохими людьми”. Те, кто не вовремя и не в полном объеме предоставляют важную информацию, проявляют недостатки характера, которые требуют оценки в виде повышенной премии за риск. Характер заемщика портится при ухудшении внешних экономических условий (см. Синки - наоборот, стр. 571). Не прибавляет оптимизма для владельцев банка и широко распространенная теория доверительных (партнерских) отношений банка с клиентом с вытекающей отсюда снисходительностью к хорошим людям, оказавшихся в трудных обстоятельствах.
CF(ECY) Уровень и стабильность потока наличности. Банки традиционно рассчитывали на поток наличности как на основной источник погашения ссуд. Ожидаемый поступления наличности как актив. Понятно, что ухудшение внешних условий не способствует стабильности потока наличности. Аналогично и для капитала и стоимости гарантий.
NW(ECY) Наличие реального капитала, т.е. разница между рыночной стоимостью активов и пассивов - это устойчивость баланса заемщика.
G(ECY) Внешние гарантии - теоретически наличие 100% внешней гарантии сводится к тривиальному случаю предоставления ссуды с нулевым риском. Но сила внешней гарантии есть функция капитала выдавшего ее лица, а при ухудшении ECY капитал как минимум нестабилен. Кроме того, поскольку деньги ценнее любой гарантии, в том числе и правительственной, 100% гарантии не может быть в принципе Например, никто не мешает правительству привлечь средства через РЦБ и напрямую выдать ссуду конечному заемщику, однако оно предпочитает выдать гарантию. Почему? Потому что или у него нет денег, или оно не хочет принимать на себя кредитный риск. Независимо от причины очевидно, что стоимость гарантии не может быть равной стоимости выдаваемого под нее кредита.
Добросовестный и недобросовестный заемщик. Противник - тот, кого мы не можем контролировать: 1) недопущение возможности арбитража, или 2) рассматривать выдачу кредита как планируемую операцию прибыльной перепродажи залогового обеспечения. Залог на кредит равен стоимости кредита - долга плюс проценты. Рыночный риск априори не известен, и стоимость залога может изменяться в любую, в том числе и неблагоприятную для кредитора сторону. Кредитор не должен допускать возникновения условий арбитража, когда заемщику безразлично, возвращать или не возвращать ссуду (стоимость залога становится меньше или равной стоимости кредита), в противном случае он провоцирует любого, в том числе и “добросовестного” заемщика на невозврат, торг за снижение ставки и т.п. Этого можно избежать, если покрыть кредитный риск тремя стандартными отклонениями изменения цены залога. Они определяются при помощи логнормального распределения и волатильности RUB/USD, например. Т.к. закономерен вопрос “где ж найти такого заемщика?”, то три стандартных отклонения изменения цены залога закладываются в процентную ставку по ссуде (как?), чем и определяется добавка к безрисковой процентной ставке - премия за риск. Если же заемщик готов предоставить залог подобного размера, то он кредитуется по безрисковой ставке. Например:
Психология кредитора в ситуации сомнительной ссуды: отрицание, гнев, попытка договориться, депрессия и принятие (согласие, смирение). Смысл рекомендаций - как можно быстрее продвигаться к последней стадии - принятию ситуации. Поскольку первые три стадии обычно проходят быстро, наибольшим препятствием оказывается стадия депрессии.
Принцип диверсификации предполагает, что если кредитор и не в состоянии оценить риск отдельных займов, то он может это сделать относительно всего портфеля кредитов. Ссуда, ведущая к диверсификации портфеля кредитов, ценнее для банка, чем та которая этого не обеспечивает. Первая заслуживает скидки, вторая - премии.
Условие “бери или уходи”.
Предполагается, что банки предоставляют в своих регионах необходимые кредитные средства легальному бизнесу по обоснованным, компетентным образом установленным процентным ставкам. Банковские риски имеют тенденцию концентрироваться именно в кредитном портфеле. Причины: 1) ошибочные управленческие решения; 2) незаконные манипуляции с кредитами; 3) проведение неправильной кредитной политики; 4) непредвиденный экономический спад.
Оценка кредитной политики на предмет ее разумности с точки зрения сохранности размещенных в банке средств.
Классификация кредитов по целям кредитования, т.е. тому, как заемщик планирует использовать полученный кредит.
Классификация некачественных кредитов (см. также Синки, 623):
- кредиты с повышенным риском, когда степень защиты банка недостаточна из-за низкого качества обеспечения или иной возможности заемщика погасить кредит - *0,20;
- сомнительные кредиты, по которым высока вероятность убытков - *0,50;
- убыточные кредиты, которые рассматриваются как кредиты, которые нельзя взыскать - *1,00.
Эти взвешенные показатели суммируются и сравниваются с размером резервов на покрытие возможных убытков и размером капитала банка.
Ключевые факторы, определяющие структуру конкретного кредитного портфеля: 1) специфика сектора рынка, который банк обслуживает (хотя банки и не являются полностью зависимыми от обслуживаемых ими регионов при предоставлении ссуд); 2) размер банка, особенно размер капитала, определяющий предельную сумму кредита на одного заемщика; 3) опыт и квалификация менеджеров в области различных видов кредитования; 4) официальная кредитная политика банка.
СВОД ПРАВИЛ КРЕДИТНОЙ ПОЛИТИКИ (см. также Синки, 582)
Основы предотвращения сомнительных ссуд: философия, политика, процедуры и люди. Описании кредитной политики - это описание процедур, которым должны следовать сотрудники банка, и их обязанностей:
- Цели, исходя из которой формируется кредитный портфель [а) обеспечить прибыльность, контроль за уровнем риска и соответствие требованиям, выдвигаемым регулирующими органами; б) указание признаков хорошего кредитного портфеля: видов кредитов, сроков их погашения, размеров и качества кредитов; в) оптимальные требования к качеству кредитов должны способствовать увеличению капитала банка, т.е. если стандарты чрезмерно мягки, то преимущества от расширения объема ссуд окажутся безнадежно подорванными из-за потерь, если же стандарты чрезмерно жестки, то объем ссуд, круг клиентов, процентный и комиссионный доходы будут слишком малы].
- Описание полномочий в области выдачи кредитов, которыми наделен каждый конкретный кредитный инспектор и кредитный комитет (максимальная сумма и вид кредита, который может быть одобрен конкретным сотрудником, и необходимые подписи).
- Обязанности по передаче прав и предоставлению информации в рамках кредитного управления.
- Практика ходатайства, проверки, оценки и принятия решений по кредитным заявкам клиентов.
- Необходимая документация, прилагаемая к каждой кредитной заявке, а также документация, которая должна храниться в кредитном деле (финансовая отчетность, договоры гарантии и залога и т.д.).
- Права сотрудников банка с детальным указанием того, кто отвечает за хранение и проверку кредитных дел.
- Основные правила приема, оценки и реализации кредитного обеспечения.
- Описание политики и практики установления процентных ставок и комиссий по кредитам, условий погашения кредитов.
- Описание стандартов качества, применяемых ко всем кредитам.
- Указание максимального размера кредитных вложений (т.е. максимально допустимого уровня соотношения кредитных вложений и совокупных активов).
- Описание обслуживаемого банком региона, куда должна осуществляться основная часть кредитных вложений.
- Описание практики выявления, анализа и разрешения ситуаций, связанных с проблемными кредитами.
- Описание кредитов, которые банк не должен выдавать (спасибо, но мы в этом не участвуем).
- Описание наиболее привлекательных кредитов.
Любые исключения из кредитной политики должны быть полностью документированы и содержать объяснение тех причин, по которым подобное исключение было сделано.
Основные ограничения: 1) банкам зачастую запрещается предоставлять ссуды, обеспеченные их собственными акциями; 2) размер ипотечных кредитов не может превышать размер капитала и прибыли банка или 70% совокупного остатка по счетам; 3) размер кредита на одного заемщика обычно не может превышать 15% суммы капитала и прибыли банка (и 25%, когда подобный кредит предоставляется под легкореализуемое на рынке обеспечение); 4) кредиты сотрудникам банка на цели, отличные от оплаты обучения или приобретения дома ограничены суммой в 2,5% капитала и 25 тыс. долл. нераспределенной прибыли банка или суммой в 100 тыс. долл.
“Точечный” и “ковровый” подходы к оценке кредитного риска: Роуз по физическим лицам, международные системы рейтингования, национальные и внутрибанковские рейтинги.
[кредитор - “осторожный собственник”]
РЕЙТИНГОВЫЕ ОЦЕНКИ
Однажды Учителя спросили: “Вы просветленный?”. На что он ответил вопросом вполне в духе Эйнштейна: “Относительно чего?”.
ПРОЦЕНТНЫЙ РИСК: ОБЗОР
Процентный (курсовой) риск - риск того, что цена ценной бумаги упадет из-за роста нормы процента. Поскольку банковское дело предполагает игру на процентных ставках, то возможность не угадать будущие значения процента как раз образуют источник процентного риска.
Неустойчивость процентных ставок внесла беспорядок в работу менеджеров по управлению банковскими активами, особенно по управлению портфелями инвестиций в правительственные облигации и другие обращающиеся на рынке ценные бумаги. Когда процентные ставки достигли рекордно высокого уровня, рыночная стоимость находящихся у банков облигаций стремительно снизилась, что привело к значительным убыткам многих банковских фирм. Это наглядный пример того, что аналитики называют рыночным риском. При росте процентных ставок рыночная стоимость ценных бумаг с фиксированным доходом и кредитов под фиксированный процент уменьшается и банк, который вынужден продавать подобные активы в условиях роста ставок, понесет убытки. Напротив, снижение процентных ставок увеличивает стоимость ценных бумаг с фиксированным доходом и кредитов под фиксированный процент, и их продажа приведет к приросту капитала.
Движение рыночных ставок может также оказать значительное воздействие на размер разницы между доходами и операционными расходами. Например, рост процентных ставок может привести к снижению маржи банковской прибыли в случае, если структура активов и пассивов банка такова, что процентные расходы по привлеченным средствам растут быстрее, чем процентные доходы по кредитам и инвестициям в ценные бумаги. Однако, если у банка активов с переменными ставками (особенно кредитов) больше, чем пассивов с переменными ставками (особенно ДС и заимствований на денежном рынке, чувствительных к изменению ставок), то снижение ставок уменьшит маржу прибыли банка. В этом случае доходы от активов будут снижаться быстрее, чем расходы по привлеченным средствам.
Влияние движения процентных ставок на маржу банковской прибыли обычно называют процентным риском. Среди наиболее распространенных показателей уровня процентного риска банка следующие:
- отношение активов, чувствительных к изменению ставок, к пассивам, чувствительным к изменению ставок. Если в определенном временном интервале сумма активов, чувствительных к изменению ставок, превышает сумму пассивов, чувствительных к изменению ставок, банк при снижении процентных ставок понесет убытки. Напротив, если сумма пассивов, чувствительных к изменению ставок, превышает сумму чувствительных к изменению ставок активов, вероятность убытков появляется при росте ставок.
- отношение незастрахованных депозитов к совокупным депозитам. Незастрахованные депозиты - это обычно правительственные депозиты и депозиты корпораций, сумма которых превышает застрахованную сумму, а также депозиты, столь чувствительные к изменению ставок, что будут отозваны в случае, если уровень дохода, предлагаемый конкурентами, увеличится даже незначительно.
Рост неустойчивости процентных ставок в последние годы заставил банки выработать несколько новых способов защиты своей маржи прибыли от изменения ставок, включающие процентные свопы и финансовые фьючерсы.
Гэп, дюрация и техника иммунизации.
Дюрация - это скорость изменения цены по процентной ставке, выпуклость - соответственно ускорение. Дифференциальное исчисление - это исчисление бесконечно малых. Проблема заключается в том, что линейная техника применяется к нелинейным соотношениям. Поэтому понятие дюрации имеет смысл использовать при небольших (предположительно до 10 градусов) изменениях функции. Геометрический смысл дюрации - касательная к функции, а как провести касательную к “очень” выпуклой функции? Принцип гибкой обратной связи: при небольших изменениях - используется жесткая обратная связь (дюрация), при изменениях функции 10 градусов - отключение обратной связи (изодром). Предположительно стоп-лоссы и надо размещать на уровне отключения действия дюрации (отключения обратной связи).
ВАЛЮТНЫЙ РИСК:ОБЗОР
На валютном рынке одну денежную единицу обменивают на другую. Международный валютный рынок существует, поскольку торгуют между собой страны с разной валютой. Это означает, что экспортеры предпочитают не держать иностранную валюту. Они предпочитают получать плату в национальной валюте. Чтобы быть в состоянии обслуживать своих клиентов, банки держат запасы в основных валютах мира в своих зарубежных филиалах или иностранных банках-корреспондентах. Кроме того, чтобы обеспечить клиентам доступ к спотовым и форвардным рынкам, банки ведут собственные операции с валютой. Важность дохода от купли-продажи валют для крупных банков иллюстрируется тем, что на них приходится от 10 до 60% зарубежных операционных доходов этих банков. Доход от сделок с иностранной валютой делится на две части: 1) торговый прибыли или убытки; 2) курсовые прибыли и убытки. Сумма курсовых и торговых прибылей и убытков составляет общий доход от валютных операций. Изменчивость доходов от валютных операций есть хороший показатель их рискованности.
Валютный риск есть в сущности функция процентного риска двух стран и кредитного риска одной страны относительно другой. Открытая валютная позиция - это гэп с активами и пассивами, чувствительными к валютному риску (чувствительными к процентным ставкам обеих валют и кредитному риску “слабой” валюты относительно “сильной” (вероятность возврата инвестиций в которую всегда (?) принимается равной 1).
Открытая валютная позиция = Валютные (Активы - Пассивы)
Положительная (длинная) валютная позиция (превышение активов в иностранной валюте над пассивами в иностранной валюте) обеспечивает превышение доходов над расходами при снижении курса национальной валюты; отрицательная (короткая) валютная позиция - при росте курса национальной валюты; нулевая позиция обеспечивает равенство доходов и расходов при движении курса национальной валюты в любую сторону, т.е. нейтральна к валютному риску.
Анализ валютного риска сводится к ответу на следующие вопросы:
- Какое предельное значение открытой валютной позиции может позволить себе банк?
- Какова должна быть минимальная величина спрэда между курсами покупки/продажи валюты?
У Мурманского банка при валюте баланса 4500 млн. руб. длинная позиция в 35 млн. USD, что составляет более 18% от валюты баланса: 35*24 = 840/4500 = 18,66%. При волатильности курса рубль/доллар приблизительно 100% годовых в среднесрочной перспективе риск потери в день составляет ... процентов от валюты баланса!
Процентный валютный арбитраж - это получение кредита в одной валюте с конверсией ее в другую и инвестированием полученной выручки при условии осуществления форвардного покрытия для страхования от возможных процентных и курсовых изменений. Основное правило теории валютных форвардов гласит: если маржа по срочным операциям связана определенным образом с действующими процентными ставками, то постоянно устанавливается паритет этих ставок, т.е. если действующие процентные ставки по доллару и фунту составляют соответственно 10 и 11 процентов годовых, то затраты или прибыль по форварду должны сбалансировать разницу в один процент годовых. Математически это выглядит следующим образом:

Так как согласно теории проведение процентного арбитража в условиях открытого рынка представляется невозможным, то любые отклонения реальных курсов спот от правильно рассчитанного форвардного курса создают благоприятную обстановку для проведения арбитража, если, конечно, эти отклонения покрывают расходы по операции и оставляют приемлемый процент прибыли.
Форвардный курс, например, рубля к доллару определяется по формуле:

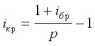
, где

- форвардный курс рубля к доллару;

- спот-курс рубля к доллару;

- рублевая ставка, выраженная в долях единицы;

- долларовая ставка, выраженная в долях единицы.
Разница между курсами спот и форвард составит форвардную маржу. При необходимости определения рублевой стоимости валютного кредита или наоборот, требуемая величина выражается из вышеприведенного уравнения:
- для рублевой стоимости:

- для валютной стоимости:
ПРОЦЕНТНЫЙ И ВАЛЮТНЫЙ РИСКИ: ПРОДВИНУТЫЕ ТЕМЫ
ПРОЦЕНТНЫЙ И ВАЛЮТНЫЙ РИСКИ КАК ЦЕНОВОЙ РИСК.
Цена [price] - это то, что человек платит за приобретение или использование чего-либо, имеющего ценность. Обладающий ценностью предмет может быть или товаром, или внутренним платежным средством (деньгами), или же иностранной валютой. Относительная цена, которую нужно платить за использование единицы других денег, называется процентной ставкой, а цена, которую платят в своей национальной валюте за единицу другой валюты, носит название обменного курса. [Цена - это согласие о ценности товара между участниками сделки в текущий момент времени, выражающееся в факте совершения сделки, при этом рыночная цена - это цена последней сделки (последняя цена, по которой совершались сделки, так называемая цена закрытия).]
Рыночные равновесные цены и количество продаваемых товаров определяются силами коллективного взаимодействия спроса потребителей и предложения поставщиков. Формы кривых спроса и предложения в первую очередь являются зависимостями цены от количества товара, но не только - на цены воздействуют и изменения себестоимости продукции, и изменения цен других продуктов, и ожидания будущих условий спроса и предложения (рынок живет ожиданиями!), и объемы рынка и т.д. [Попытки контролировать цены непродуманными способами служат помехой нормальным процессам работы рынка и вызывают, как правило, ситуации типа скачка давления в перегретом паровом котле, причем “сброс давления” часто носит почти взрывной характер.] Изменения факторов, воздействующих на спрос и предложение, завершаются приспособлением рынка к новой ситуации посредством изменения цен. Такие изменения сами по себе не являются ни позитивными, ни негативными, так как отклики рынка посредством ценовых изменений являются существенными для процесса рационирования товаров на рынке и их размещения в местах наиболее продуктивного использования. Вместе с тем изменчивые цены подвергают отдельных людей, производящие фирмы и государственные власти значительным рискам. Эти риски в совокупности называются ценовыми рисками. Ценовой риск определяется как вероятность (возможность) отклонения будущей цены от ее ожидаемого значения. Отклонение от ожидаемой цены необязательно должно произойти в худшую сторону. Действительно, если ожидания несмещенные, то выгодные отклонения столь же вероятны, как и невыгодные. Тем не менее мы считаем любое отклонение от ожидаемой величины проявлением ценового риска: если мы хотим ограничить применение нашего определения риска только ситуациями с неблагоприятным исходом, то мы говорим о риске понести убытки; при рассмотрении ситуаций с благоприятными отклонениями будем говорить о риске недополучения прибыли.
Определение ценового риска подсказывает способ его измерения: так как ценовой риск принимает форму отклонения от ожидаемой величины, то чем больше изменчивость цен, тем большему риску подвергается субъект рынка. Изменчивость цен (price volatility) характеризуется тремя показателями: величиной изменения цены, скоростью изменения цены и частотой изменения цены. Эта изменчивость выражается с помощью хорошо известных статистических характеристик - дисперсии и стандартного отклонения, причем стало общепринято отождествлять термины “изменчивость” (volatility) и “стандартное отклонение” (standard deviation).
Почему нельзя спрогнозировать рынок? Корпорации, банки и другие учреждения на повышение изменчивости первоначально отреагировали привлечением большого количества экономистов для прогнозирования цен. Это интенсивное использование профессии экономиста привело ко множеству достижений в теории прогноза и прогнозном моделировании. В течение большей части этого периода для многих активов не существовало хорошо развитых форвардных (фьючерсных) рынков, чтобы можно было делать сравнительные рыночные прогнозы. Однако по мере появления все большего количества срочных рынков начала вырисовываться удручающая (и казавшаяся удивительной) картина: рыночные прогнозы в целом превосходили индивидуальные прогнозы экономистов. Нельзя сказать, что отдельным экономистам никогда не удавалось подойти ближе к правильному прогнозу цен, но они не делали этого столь регулярно, чтобы обеспечить более низкую изменчивость прогноза, чем ее обеспечивал рынок. Сегодня мы располагаем хорошо развитой теорией, объясняющей это явление. Эта теория, названная гипотезой эффективных рынков (efficient market hypothesis), утверждает, что рынок можно рассматривать как большое количество собирателей и распространителей информации. Каждый участник рынка собирает и обрабатывает информацию, однако полной картины нет ни у кого из них. Это значит, что каждый участник владеет только частью всей относящейся к делу информации. Покупая и продавая, отдельные участники рынка регистрируют свои частные прогнозы и передают свою частную информацию рынку в форме рыночной цены. Благодаря этому оказывается, что в рыночной цене отражена вся имеющаяся информация. Поэтому коллективный разум, представленный на рынке, осуществляет прогноз лучше, чем если бы прогноз предоставлял каждый отдельный экономист.
НОРМАЛЬНОЕ И ЛОГНОРМАЛЬНОЕ РАСПРЕДЕЛЕНИЕ
Нормальным называют распределение вероятностей непрерывной случайной величины, которое описывается плотностью

Нормальное распределение определяется двумя параметрами: математическим ожиданием

и средним квадратическим отклонением

и на графике представляет собой симметричную колоколообразную кривую Гаусса, имеющую максимум в точке, соответствующей значению

, а при

и

асимптотически приближающуюся к оси абсцисс. Точка перегиба кривой находится на расстоянии

от центра распределения. Изменение параметра

приводит к изменению степени растяжения кривой: с уменьшением

кривая вытягивается в центре и быстрее приближается к оси абсцисс при удалении от центра.
Часто вместо случайной величины Х целесообразно рассматривать нормированную случайную величину

, которую определяют как отношение отклонения к среднему квадратическому отклонению

. Нормированная величина имеет математическое ожидание, равное нулю и дисперсию, равную единице. При а=0 и

нормальную кривую называют нормированной. Ее уравнение:

Между абсциссами

и

расположено 68,27% всей площади кривой нормального распределения. Это означает, что 68,27% всех измеренных единиц отклоняется от среднего значения не более чем на

, т.е. все они находятся в пределах

. Площадь, заключенная между ординатами, проведенными на расстоянии

с той и другой стороны от центра, составляет 0,9545, т.е. 95,45% всех единиц совокупности находятся в пределах

. И наконец, 0,9973 или 99,73% всех единиц находятся в пределах

. Это так называемое правило “трех сигм”, характерное для нормального распределения, согласно которому за пределами отклонения на

находится не более 0,27% всех значений величин, иными словами, 27 реализаций на 10 тыс. испытаний. Исходя из принципа невозможности маловероятных событий такие события можно считать практически невозможными. На практике правило трех сигм применяют так: если распределение изучаемой случайной величины неизвестно, но условие, указанное в приведенном правиле, выполняется, то есть основание предполагать, что изучаемая величина распределена нормально; в противном случае она не распределена нормально.
В технических приложениях принято при оценке результатов измерений работать с долями площади кривой нормального распределения, равными 95, 99 и 99,9%. Этим значениям соответствуют ординаты, равные следующим долям среднего квадратического отклонения: +/-1,96; 2,576 и 3, 291.
Условия широкого применения нормального распределения связаны с центральной предельной теоремой Чебышева, которая утверждает, что распределение какого-либо признака (параметра) при действии на него большого числа независимых причин сводится к нормальному независимо от вида исходного распределения. Согласно неравенству Чебышева при любом типе распределения не менее 88% его значений будут в диапазоне +\- 3SD.
Логнормальное распределение - это распределение, в которой нормальное распределение имеет логарифм случайной величины:

Изменение цены актива в будущем - случайный процесс, который в принципе должен описываться нормальным распределением. В то же время для целей вероятностной оценки стоимости актива в теории пользуются не нормальным, а логнормальным распределением. Это обусловлено следующими причинами. Во-первых, нормальное распределение симметрично относительно ее центральной оси и может иметь как положительные, так и отрицательные значения; однако цена актива не может быть отрицательной. Во-вторых, нормальное распределение говорит о равной вероятности для значений переменной отклониться вверх или вниз. В то же время на практике, например, имеет место инфляция, которая оказывает давление на цены в сторону их повышения, а также сама временная сущность денег: стоимость денег сегодня меньше, чем стоимость денег вчера, но больше, чем стоимость денег завтра. Кривая логнормального распределения всегда положительна и имеет правостороннюю скошенность (асимметрично), т.е. она указывает на большую вероятность цены отклониться вверх. Поэтому если, допустим, цена актива составляет 50 долл., то кривая логнормального распределения свидетельствует о том, что опцион пут с ценой исполнения 45 долл. должен стоить меньше опциона колл с ценой исполнения 55 долл., в то время как в соответствии с нормальным распределением они должны были бы иметь одинаковую цену. Хотя нельзя надеяться, что приведенные исходные предположения в точности выполняются во всех реальных рыночных ситуациях, тем не менее принято считать, что логнормальное распределение достаточно хорошо как первое приближение в случае активов, которыми торгуют на конкурентных рынках аукционного типа для длинных рассматриваемых периодов.
ВОЛАТИЛЬНОСТЬ
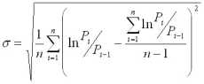
Участника рынка интересует не только (а зачастую и не столько) направление движения рынка, но и скорость этого движения, поскольку от нее зависит вероятность того, что стоимость актива “перешагнет” за “критические” для участника значения. Показателем такой скорости выступает стандартное отклонение цены актива, или, как его еще называют, волатильность. Стандартное отклонение - это мера того, насколько широко разбросаны точки данных относительно их среднего. Стандартное отклонение свидетельствует о вероятности, с которой цена примет то или иное значение и задает меру отклонения цены актива от некоторой средней величины, т.е. характеризует риск, связанный с данным активом. [Общепринято задавать стандартное отклонение как процент отклонения цены актива от ее средней величины в расчете на год.]
При анализе ценового риска принято работать не с самой последовательностью цен, а с последовательностью порождаемых ценой доходов в относительных величинах (доходностей). Последовательность доходностей имеет ряд преимуществ по сравнению с последовательностью цен. Во-первых, преобразуя последовательность цен в последовательность доходностей, мы добиваемся большей сравнимости различных последовательностей цен (различных активов); во-вторых, последовательность доходностей отличается большей стабильностью в том смысле, что для нее среднее и дисперсия в большей степени являются стационарными, чем среднее и дисперсия последовательности “необработанных” цен (по крайней мере, так принято считать). Вследствие этого в финансовой деятельности стало общепринятым использовать термин “ожидаемая доходность”, понимая под этим средний процентный доход, связанный с некоторой позицией, и использовать термин “риск”, имея в виду при этом стандартное отклонение процентного дохода, связанного с позицией. Также общепринятым стало относить эти доходности к периоду в один год, независимо от фактической длины базового периода. После этого уже будет уместным интепретировать ожидаемую доходность как среднюю ставку дохода, а риск - как стандартное отклонение ставки дохода (что, вообще говоря, далеко не всегда удобно в случаях, когда инвестиционный горизонт длиннее или короче, чем 1 год).
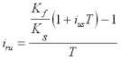
Наиболее часто для расчета волатильности используют два приема. Первый состоит в том, что в качестве переменной величины принимают отношение изменения цены к ее предыдущему значению, т.е.

, где
-

- цена актива в конце i-го периода.
Второй метод заключается в том, что в качестве переменной величины принимают логарифм отношения последующей цены к цене предыдущей, а именно:

Первый прием представляет собой не что иное, как начисление процента за базовый период времени, равный 1 (через определенные равные промежутки времени); второй -непрерывное начисление процента. Результаты, получаемые с использованием первого или второго способов, не сильно отличаются друг от друга. Но: в предположении, что стохастический процесс динамики цен является стационарным и что последовательные изменения цен взаимно независимы, цены активов, которыми торгуют на конкурентных рынках, должны подчиняться логнормальному распределению; поэтому относительный доход должен иметь логнормальное распределение, эффективная доходность за базовый период также должна иметь логнормальное распределение со сдвигом влево на единицу, а доходность за базовый период при непрерывном начислении процентов должна иметь нормальное распределение. Поскольку параметры логнормального распределения в силу его асимметричности сложно использовать для статистических оценок, мы в дальнейшем будем использовать непрерывное начисление процента (с целью использования для работы нормального распределения!), поэтому волатильность - это выборочное стандартное отклонение логарифма отношения последней цены к цене предыдущей, выраженное в процентах годовых (стандартное отклонение непрерывной ставки процента):

[% годовых] Почему корень?

, где
- m - количество периодов выбранного масштаба в рабочем году (260 для дневного масштаба, 52 - недельного, 12 - месячного, 6 240 - часового, 12 480 для тридцатиминутного и 187 200 для тикового);
- n - размер выборки (длина окна), принятой для расчета волатильности (10, 20, 40, 252 и т.д.).
Отдельно необходимо поставить вопрос о понятии выборки.
Из задачи “о блуждании случайной точки” известно, что среднее квадратическое отклонение длинного периода равно произведению среднего квадратического отклонения короткого периода на корень квадратный из числа блужданий. Тогда:
и, наконец,

и

,
если под тиком понимать совершение сделки каждые две минуты. Полагая, что

равно текущему среднему спрэду, можно определить

, или же по историческому среднему спрэду и исторической волатильности оценить количество совершенных за день сделок.
ИНВЕСТИЦИОННЫЙ ГОРИЗОНТ И КРИТЕРИИ ДОПУСТИМЫХ ПОТЕРЬ
Задача состоит в определении лимита убытков и через него - определения основного торгового масштаба: длинная средняя равна среднему времени нахождения в торговой позиции.
Основополагающие правила:
- потеря не более 2% исходного капитала за одну сделку;
- потеря не более 5-7% исходного капитала в месяц;
- максимальная бумажная потеря не более 10% исходного капитала;
- потеря не более 50% бумажной прибыли;
- соотношение прибыль/риск 3:1.
Если SD месяц = SD день * корень (21 день) = 5%, то SD день = 1,09%.
Если 0,02 = 0,0112 * корень (число дней в сделке), то максимальное число дней в сделке = 3,19.
Исходя из 2%-го ограничения все рынки с волатильностью свыше 32,24% являются запретными для торговли:
32,24% / корень(260) = 2%.
Исходя из правила 5%-го ограничения потерь в месяц - запретными являются рынки с волатильностью 17,32%:
17,32% / корень(12) = 5%
[Инвестиционный горизонт и его роль в принятии финансовых решений]
Проблема поиска окна волатильности: если баланс банка закрывается ежемесячно и исходя из того, что длина экстраполяции не может быть более 20-30% длины исторического ряда - то окно должно быть равно приблизительно 100: 20*5=100 (или 25*4=100: +/-2SD?). Более короткие окна можно брать исходя из того временного интервала, когда вы планируете закрывать свою позицию.
Ромины разработки плюс посмотреть Шарпа. Теория Блэка-Шоулза.
Принципы трейдинга маркет-мейкера (делателя рынка).
СТАНДАРТЫ И ТЕХНИКА ТОРГОВЛИ
РИСК НЕДОПОЛУЧЕНИЯ ПРИБЫЛИ
Риск, относящийся к чистой прибыли банка (после вычета всех расходов, в том числе налогов), известен под названием риск недополучения прибыли. Прибыль может неожиданно уменьшится од воздействием внутрибанковских или внешних факторов, например изменений экономических условий или изменений в законодательстве и регулировании. Обострение конкуренции в банковской сфере в последние годы привело к сокращению спрэда между доходами по активам банка и стоимостью привлечения банком средств. Таким образом, акционеры банка всегда сталкиваются с возможным снижением их прибыли в расчете на одну акцию, что приведет к падению цены акций банка и подрыву ресурсной базы, необходимой для будущего роста. Наиболее распространенными показателями риска недополучения прибыли являются:
- стандартное отклонение или дисперсия чистой прибыли после уплаты налогов;
- стандартное отклонение или дисперсия доходности капитала банка (ROE) и доходности активов (ROA).
Чем больше стандартное отклонение прибыли банка, тем более рискованным выглядит положение банка с точки зрения прибыли. Если инвесторы в ценные бумаги банка ожидают, что повышенный риск недополучения прибыли сохранится и далее, они будут стремиться компенсировать его с помощью более высоких доходов от банка или найдут другое применение своим деньгам.
Государства не бывают банкротами, но это не
относится к банкирам, которые их кредитуют
СТРАНОВОЙ РИСК
Международные банковские операции - это участие в финансовой деятельности, которая связана с заграничными рисками и рисками перевода одной валюты в другую. Деятельность эта состоит в приеме депозитов и предоставлении кредитов, что отражается как в балансе, так и за балансом. В целом, если банк не связан непосредственно с международными операциями, это не означает, что он изолирован от мировой конъюнктуры (например, воздействие изменения мировых цен на нефть на американские банки в прошлом десятилетии и на российские банки в нынешнем). Как только финансовый институт совершает перемещение средств через национальную валюту, возникает риск перевода и/или конвертации, известный как страновой риск. Даже если иностранные заемщики хотят и в состоянии расплатиться с долгами, валютный контроль может помешать погашению кредита из-за отсутствия у заемщика возможности получить и/или перевести валюту. Заемщики, в том числе и государства, могут уклоняться от возвращения долга и требовать пересмотра условий кредита.
Соль управления финансами кроется в умении выбрать такое соотношение “риск-доход”, чтобы максимизировать ценностные показатели фирмы. Международный рынок не является исключением. В терминах современной теории портфеля страновой риск может быть разделен на систематический и несистематический. Несистематический страновой риск может быть снижен с помощью диверсификации банковского портфеля международных активов и пассивов. Поэтому особой заботой является систематический страновой риск. Важнейшая проблема для риск менеджеров - измерение риска и установление адекватной рисковой премии.
В августе 1982 г. Мексика открыла эру международного кризиса задолженности, 20 февраля 1987 г. Бразилия сообщила о приостановке в одностороннем порядке уплаты процентов по зарубежным займам как государственному, так и частному сектору.
Политические, социальные и правовые неурядицы в таких странах, как Мексика, Бразилия, Аргентина, Польша, Иран, Ирак, Кувейт, Афганистан, Сальвадор, Филиппины и Россия дают пример страновых рисков. Две фундаментальные проблемы: 1) уязвимость к внешним шокам (например, падению нефтяных или сырьевых цен); 2) неспособность установить в экономических системах слаборазвитых стран рыночные стимулы и рыночную дисциплину (о чем свидетельствуют, например, неконтролируемый рост денежной массы и гиперинфляция).
Измерение риска по каждой стране. Применительно к страновому риску можно разделить страны на “хорошие” и “плохие”. Обычно используются следующие показатели:
- международные резервы/импорт; международные средства - общепринятые в международных экономических отношениях средства платежа (золото, СКВ и т.п.);
- коэффициент обслуживания долга - отношение ежегодно выплачиваемых страной-должником сумм в оплату процентов и в погашение долга к ее валовым доходам от экспорта;
- резервная позиция в МВФ/импорт;
- экспорт/ВНП;
- уровень инфляции;
В общем, используются данные платежного баланса. Цель анализа - выделить страны с большим дефицитом платежного баланса, большими расходами на обслуживание долга и/или низкими показателями валютных резервов.
В Европе чужая, в Азии не своя.
О РОССИИ
Менталитет - это склад ума.
Страх и жадность правят западными народами, лень и жадность - русским народом.
Инстинкт самосохранения правителей в России заставляет их врать народу про светлое близкое будущее, потому что народ и не хочет слышать правду; как сказал поэт, “ах обмануть меня не трудно, я сам обманываться рад”.
Посмотреть Бердяева, Гумилева, Ключевского, Чаадаева, Вл.Соловьева, Русские народные сказки, Словарь пословиц и поговорок.
Трагедия России в том, что в свое время римские легионы не дошли до скифских степей, русский народ не переболел детской болезнью человечества - рабством (в том числе рабовладельческой республикой!) и вместо основ римского права получил основы права “первой ночи” удельного князя и татарского баскака. Не переболев болезнью, он не получил и иммунитета от рабства, в итоге рабство растянулось на века.
“Ресурса-то у нас хватает, у нас ума не хватает” - кот Матроскин.
В русской душе накрепко срослись раздирающие противоречия: наши противоречия, крайности - и есть отличительная черта русского клада ума. Еще в русской летописи 13 века писалось так: “Со звероподобным усердием принялись они за дела Божии”. Т.е. во всем доходя не до сути, как сказал Пастернак, а до края. И здесь, на краю, русский человек и начинает осознавать себя.
Если западные народы жили там, где родились, и вынуждены были осваивать свой клочок земли (а как же мореплаватели?), что порождало устойчивость, основательность, то русский человек всегда мог взять котомку и уйти куда-то вдаль. Русский народ по коренному своему свойству - народ-путник. Его жизнь - на пересечениях и перекрестках, на дорогах и тропах. Не случайно один из ведущих глубинных символов нашей культуры - Дорога (“Эх, дорога, пыль да туман”; “выхожу один я на дорогу”). Все самое главное с нашими героями происходит в дороге, в пути, а не дома, сюжеты наших сказок начинаются с того, что герой отправляется в путь. Куда? Зачем? В одной из сказок дается такое экзистенциальное определение импульса движения: “Пошел Иван по свету посмотреть, нет ли кого глупее, чем он...” (Русские почти стыдятся того, что они русские) Это не шутка! Это состояние души, способ существования: проверить свои качества вне своего поля. Это одна из основных черт нашего склада ума - тяга к духовным перемещениям, скитаниям духа и испытаниям ума (вот именно, к духовным, но никак не фактическим перемещениям! - болтовня ума и мечты, а не реальное перемещение - Обломов, Манилов и чеховские никчемные люди, а не инженеры Гарин-Михайловского стали знаковыми фигурами русской литературы). Каждая эпоха нашей истории очерчивается стремлением к исходу. Мы словно постоянно бежим сами от себя, по пути разрушая собственные следы. Внутренний нерв русской культуры - пафос разлуки.
Черта духовного скитальчества - свойство каждого из тех кто впитал русскую культуру. Каждый из нас по-своему испытывает неприятие действительности, у каждого - своя мера отлета от нее. Ощущение - всегда есть пространство, где я наконец себя найду.
Ключевский говорил, что у русской души два начала: ленивое лежание и молниеносная деятельность. Он объяснял это климатически. Долгая зима, когда человек вынужден просто смотреть в белое пространство и размышлять (скорее, мечтать!). И короткий проблеск теплой, ясной погоды, когда надо очень быстро, стремительно, часто на “авось”, что-то сделать.
Русское самодурство.
Власть в России всегда была крайне жестокой, всегда шла по краешку, не боясь страшных шагов. Отсюда и поговорка “Москва слезам не верит”. В стране, где власть носит в себе ген Ивана Грозного, не может не быть противостоящей ей зверской стихии. НО: Иван Грозный, ослепивший строителей храма на Красной площади, вошел в историю не под именем Страшный, а под именем Грозный; Петр Первый, собственноручно рубивший головы стрельцам - под именем Великий; Алексей Михайлович, основавший Приказ тайных дел - Тишайший; ЗАТО: слабовольный, мягкий и добрый, религиозный Николай Второй - под именем Кровавый; измученный подвижническим трудом на благо России Николай Первый - под именем Палкин. Впрочем и Вильгельм Завоеватель до того как получил это прозвище в Англии на родине звался Вильгельм Ублюдок.
История России - это борьба невежества с несправедливостью. Мы спокойнее и умнее, чем те, которых мы выбираем (Жванецкий).
Наполеон нес русским крестьянам освобождение от крепостного права, а они на него - с вилами.
В России, как у древних народов, неприкосновенным остается верование в то, что человек, стоящий на вершине социальной лестницы, обладает ключом от счастья своих подданных (компетентнее по должности, “наследственный дар исцеления”). Карамзин: “земля наша велика и обильна, да порядку в ней нет, пойдите княжить и владеть нами”.
Крест России: людям не дано безнаказанно отрекаться от разума, совести и духа.
Человека переделать нельзя, но улучшить можно. Так и народ - это сообщество людей, задача которого вобрать все лучшее, что выработано более обширным сообществом - человечеством.
Существует такое наблюдение: смутные времена длятся в России как правило 11 лет (число 12?) - смена одного культурного поколения.
Нельзя опуститься ниже нижней точки.
Ну не интересен подростку Онегин, если он им станет - погибнет; станет Обломовым - его раздавят. Разгадка загадки лишнего человека как героя в русской литературе в том, что мы называем сегодня социальным заказом - “Современник” могли купить только аристократы, на них и был ориентирован герой; Грибоедов в жизни был скорее Молчалиным, чем Чацким, но продать свой товар он мог только аристократам; время героев Гарина-Михайловского пришло, но молодая русская буржуазия не успела....
Если мы будем продолжать кормить нацию идеей избранности, мы ее потеряем окончательно. Да, русский народ уникален. Но уникальна каждая нация.
Мы ненавидим Запад, во всем ему подражая. Мы язычники с православным лоском - крестимся и материмся одновременно.
Бестолковщина, царящая всюду, леность, неумение, незнание, нежелание работать, нерадение.
Никита Михалков. Формула русского человека: “Русским может быть только тот, у кого чего-нибудь нет, но не так нет, чтобы обязательно было, а нет - ну и хрен с ним”. Национальная идея для русского человека строится не на вопросе “как жить?”, а на вопросе “зачем?”. Бал мелкой нечисти. Там есть талантливые люди, но душевного здоровья нет. В России традиционно ценится не смысл, не польза, а размах. У нас “ничего нельзя слегка”.
На Западе все делается по закону, а в России - в порядке исключения. Чаадаев.
Никакого особого русского пути нет - есть огромное русское отставание. Григорий Горин.
Андрей Рублев и Дюрер.
Кончаловский, “Низкие истины”:
Если задаться вопросами, что есть русская культура, ответы для славянофила-патриота могут оказаться весьма огорчительными. Откуда русская иконопись? Из Византии, от греков. Откуда русский балет? Из Франции. Откуда великий русский роман? Из Англии - от Диккенса. Пушкин без ошибок писал по-французски, а по-русски - с ошибками. А ведь он самый русский из поэтов! Откуда русский театр? Русская музыка?... Русская культура впитала в себя влияния и с Запада, и с Юго-Запада, с бассейна Средиземного моря, и с Востока. Не думаю, что одной русской культуре это свойственно - впитывать разнообразные культурные модели, ассимилировать художественные стили. Но в России отзывчивость на разнородные веяния особо велика. Именно это имел в виду Достоевский, говоря о всемирности русской литературы.
В России даже церковь была национализирована - и не большевиками! И не большевики придумали способ пополнения государственной казны за счет церкви, достаточно вспомнить Петра с его переливанием колоколов в пушки.
Бердяев:
Целое столетие русская интеллигенция жила отрицанием и подрывала основы существования России.
Очень характерно, что в России не было рыцарства (а ведь рядом, в Польше оно было) с его принципом “вассал моего вассала не мой вассал”. А рыцарство кует чувство личного достоинства и чести, создает закал личности.
Россия - страна самозванцев (Бердяев и сериал).
Механическое равенство - это еще не свобода.
В России безграничная свобода оборачивается безграничным рабством; вечное странничество - вечным застоем; бюрократическая государственность - анархизмом; почти стыд за свою национальность - крайним национализмом;
Для западного культурного человечества Россия все еще остается совершенно трансцендентной, каким-то чуждым Востоком, то притягивающим своей тайной, то отталкивающим своим варварством.
Русские почти стыдятся того, что они русские; им чужда национальная гордость и часто даже - увы! - чуждо национальное достоинство.
Россия не училась у Европы, что нужно и хорошо, не приобщалась к европейской культуре что для нее спасительно, а рабски подчинялась Западу или в дикой националистической реакции громила Запад.
Писательство для него есть биологическое отправление его организма.
Географическое положение России было таков, что русский народ принужден был к образованию огромного государства. Огромные пространства легко давались русскому народу, но нелегко давались ему организация этих пространств, поддержание и охранение порядка в них. Необъятные пространства России тяжелым гнетом легли на душу русского народа. Русская душа ушиблена ширью, она не видит границ, и это безграничность не освобождает, а порабощает ее. Ширь русской земли давили русскую энергию, открывая возможность движения в сторону экстенсивности. Эта ширь не требовала интенсивной энергии и интенсивной культуры. Русский человек утешает себя тем, что за ним еще стоят необъятные пространства и спасут его, ему не очень страшно, и он не очень склонен слишком напрягать свои силы. Вопрос об интенсивной культуре, предполагающей напряженную активность, еще не делался для него вопросом жизни и судьбы.
Незрелость глухой провинции и гнилость государственного центра - вот полюсы русской жизни.
К.Леонтьев говорит, что русский человек может быть святым, но не может быть честным.
ОРТ - старые песни о главном как способ прогноза будущего.
Русское авось - в надежде на случайную удачу.
Элдер на мой вопрос о Чубайсе и Березовском.
Бунин, “Окаянные дни”:
“Между народом Моим находятся нечестивые; сторожат, как птицеловы, припадают к земле, ставят ловушки и уловляют людей. И народ Мой любит это.” Из книги пророка Иеремии.
...настоящей беспристрастности все равно никогда не будет.
...восторженное создание хамского сознания.
Как потрясающе быстро все сдались, пали духом!
Читали статейку Ленина. Ничтожная и жульническая...
Наши дети, внуки не будут в состоянии даже представить себе ту Россию, в которой мы когда-то (то есть вчера) жили, которую мы не ценили, не понимали, - всю эту мощь, сложность, богатство, счастье...
Старик рабочий у ворот дома - стр. 48
народ - стр.48
стр.50
В этом мире, в их мире поголовного хама и зверя, мне ничего не нужно...
Будет жить и через сто лет все такая же человеческая тварь, - теперь-то я уж знаю ей цену!
...это лживость особая, сами человеком почти несознаваемая, привычная жизнь выдуманными чувствами, уже давно, разумеется, ставшими второй натурой, а все-таки выдуманными.
Народ сам сказал про себя: “из нас, как из древа, - и дубина, и икона”, в зависимости от обстоятельств, от того, кто это древо обрабатывает: Сергий Радонежский или Емелька Пугачев.
“Будь здоров”, № 10 1996. Интервью с А.Акифьевым, доктором биологических наук. Слово “евгеника” буквально означает “хорошее происхождение”. Вероятность иметь талантливого сына у талантливого отца в 500 раз превосходит среднюю по популяции. Советская власть создала проблемы и на генетическом уровне. В стране был поставлен невиданный по размаху и жестокости социальный эксперимент, когда широкая элита общества - дворяне, офицеры, купцы, богатые крестьяне - была уничтожена, изгнана, деклассирована. То есть налицо противоестественный отбор, который направлен на отсечение лучших. Эффект в таких случаях зависит от количества жертв. Можно убить самых гениальных людей в стране - скажем, 5-6 человек, но генофонд нации при этом не пострадает, потому что тот набор генов, из которых образуются уникальные комбинации, сохранится. Если же планомерно уничтожать всех, кто выделяется из толпы, то наступит генетический кризис. В селах исчезали трудолюбивые люди и множились люмпены. В результате сейчас в тех местах, где террор был особенно силен, доля маргиналов, т.е. лиц с психикой, пограничной между нормой и слабоумием, достигает 20-50%, а то и выше. Хотите посмотреть, что такое антиэлита? Включите телевизор - и все увидите. Нашему генофонду нанесен непоправимый ущерб, и мы идем на выборы без выборов. Думаю, что резкое понижение интеллектуального уровня высшего руководства компартии стало одной из причин ее стремительного ухода с политической арены. Но и преемники коммунистов не далеко от них ушли. “Это правительство самое неорганизованное. Не отвечает на письма, не отвечают на звонки по спецсвязи, не выполняют договоренностей”. Все, что мы сейчас наблюдаем: падение дисциплины и нравственности, рост преступности, пьянство, жестокость. Лень (перечислять можно долго!) - все это не только результаты пороков системы, но и явные признаки генетической деградации нации. Советский человек хочет жить “как у них”, а работать “как у нас”. Перспективы также сомнительны, потому что по уровню интеллекта нынешняя российская молодежь (согласно данным ЮНЕСКО) занимает 5-е место в мире. К сведению национал-патриотов - не стоит преувеличивать и наши национальные достоинства, которых осталось немного, да и те обнаруживаются далеко не у каждого. Конечно, наши предки и нашествие Батыя пережили, но мы платим за это хроническим отставанием от Европы. Россия, конечно, возродится, но от нас потребуется восстановить элиту нации, а это потруднее, чем в космос слетать. Как восстановить? Для начала остановить эмиграцию интеллигенции. Лучшие специалисты тысячами покидают страну из-за недальновидной политики властей, не умеющих дорожить талантами. У нас больше печалятся о вывезенных за рубеж ценностях, чем о людях, эти ценности создающих. Кто вспоминает, что сейчас в мире около 30 миллионов русских эмигрантов и их потомков? Вернуть хотя бы часть из них - вот вам генетический резерв. Но и о новой элите нужно заботиться. Государство должно стремиться, что бы талантливый человек получил хорошее образование. Смог раскрыть свои способности. Не зря сказано: талантам надо помогать, бездарности пробьются сами. (Свинья не может быть свиноводом - Тимофеев-Ресовский.)
В России в местах лишения свободы находится миллион двести тысяч человек и четыре миллиона лиц обладают иммунитетом перед судебно-правоохранительной системой.
Кто-то замечательно сказал про Россию: триумф мечты над практикой.
Опять евреи виноваты! Как легко человек поддается на обезболивающие средства.
Отличительными чертами идеального государства в политике являются мудрость, смелость и умеренность притязаний. Платон.
Очень сильная Россия никому не нужна, но в нас заинтересована единая Европа, чтобы вместе с нами противостоять Америке. В нас заинтересована и Америка, чтобы противостоять Азии. И очень сильно в нас заинтересована Азия, чтобы противостоять и Америке, и Европе.
Виктор Ерофеев. “Русский мужчина-конь скачет, его несет, он сам не понимает, куда он скачет. Он просто скачет себе и все, он в табуне, у него алиби: все скачут, и он тоже скачет. Мужчина-конь всю русскую историю проскакал, с шашкой наголо или без шашки, весь в мыле, глаза таращит, вид безумный...Скачут они из прошлого в будущее, из вчера в завтра, перепрыгивая через сегодня...Они в сегодня жить так и не научились...Их табун на протяжении русской истории сильно одичал. Табун несется, запах пота, крови, перегара несется...Без русской женщины русский мужчина-скакун был бы сейчас очень далеко, его бы уже след простыл...Он бы уже давно очутился в коммунизме...Он ведь всегда мечтал об идеальном стойле, где можно навечно уткнуться мордой в идеальную кормушку...Но русская женщина не дала осуществиться утопии, остановила коня...Она ...остановила его “на скаку” и сказала: давай жить в сегодня. Давай, сказала она, жить так, чтобы у нас все было, как у людей. Мужик, конечно, не сразу понял, что она имеет в виду. На работе он много врал, а дома много пил, и поэтому он долго не мог врубиться...Когда кони скачут, избы горят...Когда наши мужики окончательно перестанут скакать в табуне? Когда потушат избы? Когда научатся жить сегодняшним днем? Завтра?
Русская культура создала мощную традицию отвлечения, отхода от реальности...
Маркиз де Сад: некто преступает нравственный закон (пусть это даже и не убийство), но своих собственных представлений о жизни он при этом не нарушает. Этические нормы меняются от общества к обществу: по шариату иметь четыре жены не преступление, а у нас это называется многоженством и карается по закону...У нас в стране гуманистами всегда считали людей, которые исходят из формулы Базарова: человек хорош, обстоятельства плохи, среда заела. Но мы столько раз меняли обстоятельства, режимы, экономические системы, а ничего не выходит...
В России, где сознание очень засорено, и запущено, бытовой садизм расцвел пышным цветом. Диспетчерша в жэке, которая наслаждалась вашей беспомощностью и зависимостью, продавщица, швырявшая на прилавок кусок дрянной колбасы, проявляли стихийный садизм, а главное - не по Достоевскому! - они не раскаивались и не ревели в подушку из-за того, что сделали...
Мы привыкли воспринимать искусство как руководство к действию...Всякое описание реальности так или иначе влияет на это реальность. Культура вообще очень опасная штука. Недаром говорят: много знаний - много печалей. Но и блаженное неведение ведет к неадекватному восприятию жизни...Людьми нас делает прежде всего рефлексия, взгляд на себя со стороны...
Любовь - вещь очень загадочная...С точки зрения логики, любовь - сплошное недоразумение...Любовь не разложима на составные части. Она сравнима, пожалуй, только с чувством красоты. Эстетические предпочтения по большому счету тоже необъяснимы на логическом уровне...Мне кажется, бога надо искать в самом механизме возникновения этого чувства...
Нас посетил очень недобрый кризис...
система каждодневных ценностей...Жизнь для индусов - учебник человеческих радостей...
Французский мальчишка на исконно русский вопрос, кем ты хочешь стать, может запросто ответить: бухгалтером. У нас мальчики традиционно хотели быть космонавтами, а девочки, конечно, актрисами. В результате мальчик космонавтом не становился. Девочка не становилась актрисой. И, не достигнув своих космических целей, оба получали тяжелую душевную травму. А вот французский мальчик становился бухгалтером и достигал таким образом не только материального, но и морального удовлетворения. Уже не говоря о том, что первоклассный бухгалтер мог потом подружиться с космонавтом или актрисой. Чтобы достичь профессионализма, который, к сожалению, и по сей день не входит в систему наших ценностей, нужно соизмерять свои требования к жизни с реальностью. В России ведь все построено на больших буквах: если уж любовь, то с большой буквы, на всю жизнь. Если беда - отворяй ворота. А счастье - так сразу для всех, в мировом масштабе, с большой буквы. В результате происходит разрушение...
Русский человек очень плохо соотносится со своим телом...
Мы предпочитаем бодриться до тех пор, когда сделать с собой уже ничего невозможно...
У нас гипертрофированное представление о народе как об общности одинаково думающих людей с одинаковыми потребностями. Но самосознание связано с личностью, а не с суммой личностей...
Зло во многих культурах воспринимается как естественный противовес добру...
Русский - это прилагательное. Некое свойство души, которое надо приложить к чему-то. И полный туман относительно того, к чему его стоит прикладывать...
На Западе джентльменское отношение к женщине в крови, у нас оно книжное...Россия - страна с очень сильным женским началом.
Американцы дошли до крайностей и в феминизме, и в демократии. А история с их президентом говорит о том, что и в нравственности для важна формальная сторона, а не суть дела...
За последние полвека мир стал слишком маленьким....
Греки до сих пор болезненно переживают, что они не древние греки. Мессианский пафос, присущий великим нациям, имеет свои пределы. И надо спокойно относиться к этому, как мужчина в возрасте относится к тому, что ему не двадцать лет и силы уже не те. Всплеск запоздалой молодости может свести в гроб и самого крепкого шестидесятилетнего человека.”
ИНСТРУМЕНТЫ ФИНАНСОВОГО КОНСТРУИРОВАНИЯ
Финансовое конструирование (инжиниринг) - это процедура конструирования финансовых контрактов с требуемыми потоками наличности.
Актив - определение предмета, лежащего в основе контракта в тех случаях, когда конкретная его разновидность не существенна для рассматриваемого материала. Синонимы - инструмент или финансовый инструмент. Участники экономических отношений заключают контракты как на условиях немедленной поставки актива, так и поставки в будущем. Сделки, имеющие своей целью немедленную поставку актива, называются кассовыми, или спотовыми; рынок таких сделок называют спотовым, цена, по которой заключаются эти сделки, называется спотовой (кассовой).
Сделки, имеющие своей целью поставку актива в будущем, называются срочными. В срочном контракте контрагенты оговаривают все условия соглашения в момент его заключения. Срочный контракт относится к разновидности производных финансовых инструментов. Предметом срочного контракта могут являться самые разнообразные активы, а также сами срочные контракты.
Срочные сделки подразделяются на твердые и условные. Твердые сделки обязательны для исполнения. К ним относятся форвардные и фьючерсные сделки. Условные сделки предоставляют одной из сторон контракта право исполнить или не исполнить данный контракт. К ним относятся опционные сделки (сделки с премией).
В сделках участвуют две стороны - покупатель и продавец. Когда лицо покупает контракт, говорят, что он занимает (открывает) длинную позицию. Лицо, которое продает контракт, занимает (открывает) короткую позицию. Если участник рынка вначале купил (продал) контракт, то он может закрыть свою позицию путем продажи (покупки) контракта. Сделка, закрывающая открытую позицию, называется офсетной. Она является противоположной (обратной) по отношению к первоначальной сделке.
С точки зрения преследуемых целей участников срочного рынка можно подразделить на три группы - спекулянтов, хеджеров и арбитажеров. Спекулянт - это лицо, стремящееся получить прибыль за счет разницы в курсах финансовых инструментов, которая может возникнуть во времени. Спекулянт покупает (продает) активы с целью продать (купить) их в будущем (в том числе через несколько минут или часов) по более благоприятной цене. Своими действиями спекулянт, во-первых, увеличивает ликвидность рынка, во-вторых, принимает на себя риск изменения цены, который перекладывают на него хеджеры. Иными словами, спекулянт - это участник рынка, принимающий на себя рассчитанный риск за плату. Хеджер - это участник рынка, страхующий на срочном рынке свои спотовые активы (активы на спотовом рынке). Иными словами, хеджер - это инвестор, т.е. участник рынка, избегающий риска и готовый платить за это. Арбитражер - это лицо, извлекающее прибыль за счет одновременной купли-продажи одного и того же актива. Считается, что арбитражная операция - это операция, которая позволяет получить прибыль без риска и не требующая каких-либо инвестиций. Осуществление арбитражных операций способствует выравниванию возникших отклонений в ценах на одни и те же активы на разных рынках и восстановлению паритетных соотношений между взаимосвязанными активами. Данное деление довольно условно, поскольку спекулянт стремится тем или иным образом подстраховаться (в противном случае он станет игроком, т.е. участником рынка, идущим на любой риск), а хеджер всегда немножко спекулянт, и уж точно ни спекулянт, ни хеджер не пройдут мимо возможности арбитража. [см. Элдера]
ФУНДАМЕНТАЛЬНЫЙ АНАЛИЗ
Фундаментальный анализ - это попытка рассмотрения существа происходящих в экономике (на рынке) процессов и установления глубинных причин, предопределяющих экономическую ситуацию в целом, т.е. это “анализ причин”. Технический анализ - это “анализ следствий”.
Метод прогнозирования “сверху вниз”: вначале делается прогноз для экономики в целом, затем для отдельных отраслей и, наконец, для конкретных компаний; прогнозы для отраслей основываются на прогнозах для экономики в целом, а прогнозы для компаний в свою очередь основываются на тех и других прогнозах. Затем возможно обратное движение - метод “снизу вверх”: прогноз развития экономики в целом служит отправной точкой для составления прогноза для отдельных компаний, после чего оцениваются перспективы для отрасли и, наконец, для экономики в целом; совокупность индивидуальных прогнозов должна соответствовать исходному общеэкономическому прогнозу; в противном случае итерацию повторяют с целью достижения соответствия.
Изучение общей экономической ситуации основано на рассмотрении следующих основных блоков:
Основные направления фундаментального анализа:
- Анализ уравнения обмена MV = PY, особенно в дифференциальной форме, для чего необходимо вести статистические ряды денежной массы, ВНП/ВВП, индекса цен (инфляции), а также золотовалютных резервов, объема государственного долга, отношение долга к ВВП, отношение золотовалютных резервов к импорту, уровня безработицы, планируемый дефицит бюджета, ........................................
- Анализ платежного баланса страны по внешнеторговым операциям.
- Определение перспектив тех отраслей экономики, которые составляют основу платежного баланса страны (например, нефть и газ, а также кредиты МВФ для России).
- Определение фазы делового цикла, в которой мы сейчас находимся (в месяцах от начала до ожидаемого окончания данной фазы). В какой фазе делового цикла мы сейчас находимся? Сколько месяцев она уже длится? Через сколько месяцев она может (должна) смениться на следующую фазу? Перекрывает ли этот срок наш горизонт планирования?
ТЕХНИЧЕСКИЙ АНАЛИЗ
Торговая система должна:
- использовать простую и ясную торговую идею;
- строиться на принципе последовательного разрешения неопределенности;
- быть универсальной, т.е. работать при любых видах тренда (“бычий”, “медвежий” или боковой);
- с высокой вероятностью сигнализировать о начале новых трендов и окончании старых, строго реализовывать заложенную в основу торговую идею;
- средняя доходность прибыльных позиций должна существенно превышать доходность убыточных.
Построение торговых систем проводится в следующей последовательности:
- Выбирается торговая идея, например, покупка при пересечении медленным стохастическим индикатором снизу вверх уровня 20, и продажа - при пересечении индикатором уровня 80 сверху вниз;
- Определяется способ фильтрации ложных сигналов (например, берутся только сигналы, действующие в направлении тренда);
- Проводится тестирование системы, определяются точки открытия и закрытия позиций;
- Вычисляются прибыли и убытки с учетом начального капитала, комиссионных, наличия стоп-лоссов и т.д.;
- Строится график доходности, на график наносятся сигналы купли-продажи;
- Проводится анализ и оптимизация результатов, вносятся изменения в торговую идею;
- Возврат к пункту 3, пока не будут достигнуты удовлетворительные результаты либо торговая идея не будет отвергнута.
ПРИЛОЖЕНИЕ №1
ДЕСЯТЬ ЗАПОВЕДЕЙ БАНКИРА
1. Не давайте ссуд, по которым вам не предлагают соответствующего обеспечения. Никоим образом не способствуйте спекуляции и не поощряйте ее. Предоставляйте ссуды только для законных и оправданных сделок. Выдавайте кредиты на максимально короткий срок, какой только может позволить себе ваш клиент.
2. Необходимо настаивать на погашении кредита в срок - независимо от того, нужны ли вам деньги на данный конкретный момент. Никогда не возобновляйте кредит только потому, что не можете найти лучшего места для размещения своих средств. Поступив так, вы утратите возможность должным образом контролировать ссудные задолженности, а также уверенность в своевременном их возврате.
3. Стремитесь к тому, чтобы рассредоточить свои кредиты, избегая их концентрации у небольшой группы клиентов. Не следует предоставлять крупные ссуды одному лицу или компании, хотя порой они действительно могут быть очень нужны вам. Такой подход неблагоразумен и зачастую небезопасен. Крупные заемщики стремятся к установлению контроля над банком. Нетрудно представить, какая из сторон окажется в выигрыше от таких отношений между банком и его клиентами.
4. За каждый доллар, ссужаемый банком сверх собственных средств, руководство банка несет ответственность перед своими кредиторами и перед акционерами.
5. Будьте доброжелательны со своими клиентами, постоянно памятуя о том, что благосостояние вашего банка напрямую зависит от благосостояния ваших клиентов. Однако не позволяйте им диктовать вам свои условия.
6. Если вы сомневаетесь в том, принимать или нет от заемщика долговое обязательство, отказывайте ему. Никогда не выдавайте кредита, если вы не уверены в целесообразности этого.
7. Если у вас возникают сомнения в добропорядочности вашего клиента, закройте его счет. Никогда не имейте дело с недобросовестными людьми в надежде на то, что вам удастся предотвратить мошенничество с их стороны. Риск, которому вы подвергаете себя в данном случае, гораздо выше, чем выгода, которую вы могли бы извлечь.
8. Зарплату своим работникам устанавливайте такую, которая обеспечит им достойное существование и предотвратит соблазн воровства. Взамен строго требуйте от них неукоснительного выполнения должностных обязанностей. Если служащий живет явно не по средствам, увольте его. Даже если подобный образ жизни можно оправдать его исключительной добросовестностью, все равно увольте его. Любая экстравагантность, сама по себе не будучи преступлением, может стать предпосылкой к его совершению. Служащий банка не может быть благонадежным, если он тратит больше, чем зарабатывает.
9. Капитал банка должен быть реальным, а не вымышленным и находиться в руках людей, которые действительно в состоянии ссужать деньги, а не тех, кто просит взаймы. Занимайтесь честной, добросовестной, законной банковской деятельностью. Не стоит в погоне за предполагаемой прибылью делать то, что может оказаться в противоречии с законодательством.
10. В свою очередь, начальник департамента банковского надзора, используя свое положение, должен прилагать все усилия к тому, чтобы препятствовать созданию банками номинального капитала при помощи любых искусственных методов. Он должен быть уверен в том, что банки, управление которыми находится в надежных руках, готовы оказывать ему в этом всяческое содействие.
ПРИЛОЖЕНИЕ №2
ЗАБЛУЖДЕНИЯ РОССИЙСКИХ РУКОВОДИТЕЛЕЙ
И МИРОВЫЕ ПРАВИЛА БИЗНЕСА
Контакты с менеджерами российских компаний по вопросам возможностей и перспектив иностранных инвестиций позволили выделить и сформулировать несколько стандартных заблуждений и недоразумений:
- обстановка в экономике такова, что компании рост не нужен, а когда это понадобится, он сможет сама его обеспечить (“страусиная” политика);
- обстановка настолько динамична и неопределенна, что невозможно работать по четкому плану развития компании (жизнь сегодняшним днем);
- стратегия компании существует, но она не может быть сформулирована, а тем более формализована в документе, который можно было бы показать потенциальному инвестору (отсутствие стратегии);
- средств на развитие компании в общем-то хватает, а при необходимости мы сможем взять кредиты (автаркия);
- вопросы собственности компании являются священными, и мы не пустим никого из чужих в состав наших акционеров, даже если это будут инвесторы (изоляция);
- мы не будем тратить время и средства на привлечение инвесторов, компания настолько хороша, что инвесторы сами придут и пусть они тратятся (экономия на спичках);
Такой подход к бизнесу не может не привести к плачевным результатам. На рынке выигрывает только тот, кто первым движется вперед, обгоняя конкурентов на хотя бы один шаг, даже если реальность не благоприятствует движению и не зависит от того, насколько идеальна стратегия, которая им реализуется. Законы и правила развития бизнеса одинаковы во всем мире:
- предприниматель должен определиться, относится ли он к своей компании как к бизнесу (строит ли машину для зарабатывания денег) или компания является своего рода клубом по интересам, местом, где группа друзей и знакомых объединена для занятия любимым делом. Могут быть и промежуточные варианты, но, как правило, они не имеют будущего;
- бизнес всегда существует в конкурентной среде (даже если барьеры для выхода на рынок высоки, все равно найдется конкурент, который сможет их преодолеть);
- для бизнеса вопрос о необходимости роста не стоит, так как прекращение движения означает начало гибели. Захват рынков всегда является самостоятельной бизнес-задачей. Компания не может оставлять рынки без внимания, не захватывая их, так как в противном случае это сделают конкуренты;
- эффективный рост только за счет собственных источников невозможен хотя бы потому, что конкуренты могут прибегнуть к помощи внешних инвесторов, получив тем самым преимущества;
- кредиты не могут быть основным источником средств для роста, так как в оптимально работающей компании резервы обеспечения должны быть в постоянном дефиците и предельно исчерпаны для привлечения оборотного капитала. Следовательно, они не могут быть использованы для привлечения средств на капитальные вложения, а если это возможно, то работа компания построена неэффективно;
- увеличение размеров бизнеса, его консолидация является самостоятельной задачей, которую компания должна решать как для оптимизации удельных затрат, так и для привлечения инвесторов, для различных типов которых в каждый момент времени существует пороговый размер компании, ниже которого инвестиции перестают быть привлекательными;
- расширение масштабов бизнеса вызывает необходимость изменения его организации при переходах с более низкого на более высокий уровень. Структура управления компании определяется и должна соответствовать сложности решаемых задач. Естественно, растет доля непроизводительных затрат на управление и обслуживающую его инфраструктуру;
- на определенном уровне развития компании совмещение функций собственника и менеджера становится нерациональным и даже невозможным. На практике собственник может продолжать быть менеджером по все более узкой группе задач, а высшие менеджеры, напротив, включаются в состав собственников для стимулирования более эффективной работы;
- стратегий роста компаний всего две. Во-первых, это экспансия за счет расширения бизнеса и поглощения конкурентов или компаний, занятых в смежных секторах бизнеса, и превращения, таким образом, в перспективе в лидера рынка. Во-вторых, это отказ от превращения в лидера рынка и развитие компании до определенного предела, когда она будет поглощена другой, более крупной компанией, лидером рынка на оптимальных для компании условиях;
- собственники должны четко осознавать и видеть (и требовать того же от менеджеров) возможный сценарий собственного положения в компании в будущем в зависимости от выбранной стратегии: безграничного развития бизнеса либо выхода из бизнеса после достижения определенного размера (как угодно большого) и продажи его лидеру рынка (то, что принято называть “отъездом на Багамы”). Они должны также отличать свои интересы от интересов менеджмента и встроить в систему управления компанией звенья, обеспечивающие защиту и реализацию этих интересов. В России, где революция менеджеров произошла еще до того, как сформировался слой собственников, это особенно актуально;
- инвесторы ведут свой собственный бизнес и работают в той же конкурентной среде, что и компания. Инвестиционные компании также выступают “машинами” для зарабатывания денег. инвесторы будут приспосабливаться к особенностям компании и нести затраты на организацию инвестиций только в том объеме, который оправдан ожидаемой выгодой. Предлагая на рынок наиболее ликвидный ресурс - деньги, инвесторы имеют более широкий выбор потенциальных партнеров, чем любые другие компании, и тем самым получают возможность самим устанавливать правила, по которым они работают с партнерами.
ПРИЛОЖЕНИЕ №3
Каждый биржевик одержим своими бесами
МАКСИМЫ
- Рынок живет ожиданиями (математическими?).
- Покупай слух, продавай факт.
- Кто в лонге, тот смотрит наверх.
- Дилетанты определяют стартовую цену, профессионалы - конечную. Лучше играть с профессионалами против дилетантов.
- Гораздо лучше купить понизу и продать поверху, чем наоборот.
- На конкурентных рынках нет легких способов делать деньги.
- “Мусор на входе - мусор на выходе”.
- Джентльмены договариваются один раз.
- “Камикадзе” не могут выиграть войну.
- Дисциплина не самоцель, но необходимое условие достижения цели.
- Боишься - не делай, а делаешь - не бойся.
- Экспромт хорош тогда, когда хорошо подготовлен.
- Любимая игра на Руси - в дурака. Кто попроще - в подкидного играет, кто посноровистей - в переводного (про арбитраж).
- Думать надо или быстрее, или меньше.
- Мир денег специфичен: в нем даже доллар может быть ценой в чью-то жизнь.
- Первый убыток самый маленький.
- Не будь жадным, всех денег не заработаешь.
- В окончательных оценках следует опираться на свой инстинкт самосохранения.
- Рыночные цены имеют злостную склонность к колебаниям.
- Лучшее, что может предпринять участник рынка, - вовремя перестать быть участником. Но это не всегда возможно.
- Большой успех часто предвещает большую неудачу.
- Участники рыночного процесса постоянно сталкиваются с необходимостью жизненно важного выбора, и если они не имеют четких взглядов, они, как правило, делают неверный выбор.
- Инвестиция - это неудавшаяся спекуляция.
- Играть без четко расписанного финансового плана - все равно что отправиться через пустыню без карты.
- Толпа глупа, но она сильнее вас. Идти вместе с толпой не обязательно, но идти против толпы чрезвычайно рискованно.
- Покупать по максимальному курсу дня - все равно что распахнуть дверцу своей машины в потоке транспорта.
- Для удачливого умницы больно оказаться на дне пропасти. Первое возможное побуждение - спрятаться от всех. Знайте: не вы один такой. Там до вас перебывал чуть ли не каждый биржевик.
- Биржевику, ликующему от радости при выигрыше и впадающему в депрессию при проигрыше, не сколотить капитала: ведь им повелевают эмоции. Если вы позволите повергнуть вас в восторг или отчаяние - прощайтесь с деньгами.
- Биржа сродни океану, где приливы и отливы накатывают и откатываются независимо от ваших желаний. Моряк не может повелевать океаном, но он может повелевать собой. Он знает, когда можно выходить в море, а когда лучше остаться в гавани.
- Переживания - не позволительная на бирже роскошь.
- Решения, принятые под влиянием минуты - верная гибель на бирже.
- Придумайте свой метод пресечения шальных сделок.
- Желающий стать профессиональным биржевиком должен потрудиться над изменением своего подхода к жизни.
- Биржа - беспощадный мир, потому что там один против всех, а все - против одного. Более того, за вход и выход из этого беспощадного мира надо платить. Биржевая игра - это попытка взаимного ограбления. Деньги, на которые вы рассчитываете, принадлежат другим - людям, которые вовсе не собираются делиться с вами.
- Анализ биржи - это анализ поведения толпы. А она ведет себя одинаково, независимо от места жительства и принадлежности ее членов к той или иной культуре.
- Люди сходят с ума в толпе, а вновь обретают рассудок медленно и поодиночке.
- Публичное одиночество.
- Примкнув к толпе, люди становятся нацеленными на действия, а не на размышления.
- Цена - это сиюминутное соглашение о ценности рынка, достигнутое биржевой толпой и выраженное в факте сделки. Цена - явление психологическое. Графики цен и объемов торгов отражают психологию биржевой толпы. Цены растут и падают в зависимости от жадности и страха продавцов и покупателей, а не от их количества. Страх - более сильное чувство, чем жадность, поэтому подъем, движимый закрытием позиций на понижение, особенно резок.
- Анализ рынка - это анализ группового поведения.
- Для получения прибыли от биржевой игры предугадывать будущее не требуется. Нужно просто собирать сведения о биржевой ситуации и определять, кто задает тон - играющие на повышение или играющие на понижение.
- Линия поддержки складывается из сожалений быков об упущенных возможностях, боли медведей и готовности обеих групп покупать. Линия сопротивления - область боли быков, сожалений медведей и готовности обеих групп продавать.
- Биржевику, настроенному купить или продать, в графиках зачастую видятся соответствующие тенденции.
- Грамотный биржевик всегда ведет анализ в нескольких масштабах времени, ориентируясь на более крупный.
- Биржевая жизнь протекает по большей части в игровом диапазоне, а не в тенденциях.
- Настаивать на своей правоте в биржевой игре - дорогое удовольствие.
- У жесткого правого края: в центре биржевого графика ситуация ясна, но чем ближе к правому краю, тем туманнее.
- В сомнительных случаях - тенденция это или игровой диапазон - профессионалы решают в пользу диапазона, ставя деньги на возвращение рынка к норме, а норма для цен - оставаться в пределах коридора.
- Большую часть времени биржа не циклична.
- Отсутствие ожидаемого действия тоже может являться сигналом.
- Объем сделок отражает степень финансовой и эмоциональной вовлеченности биржевиков в игру, а также уровень их боли.
- Сдавшиеся биржевики - двигатели тенденций.
- Большинство людей живут так, будто собираются жить вечно. Так же они и играют.
- Биржевикам надо держаться биржевого течения, пользуясь при случае волной, и не обращать внимания на зыбь.
- Предаваться мечтам на бирже - роскошь непозволительная. Если сделки строятся на мечтах, лучше сразу употребить деньги на психотерапию.
- Эмоциональная игра - бич неудачников.
- Разработав хорошую систему игры, оставьте ее в покое.
- Большинство биржевиков гибнет от одной из двух пуль - незнание и эмоции.
- Если позиций слишком много, ликвидируй худшую.
- Считать деньги, когда позиция открыта, - последнее дело. Цель преуспевающего биржевика - совершать самые лучшие сделки. Деньги - на втором месте. Настоящий профессионал во время работы поглощен работой, а не подсчетом денег.
- Горсткой незатейливых чисел биржу не возьмешь.
- Биржевик может тешить себя мечтами об успехе, но приостановка не даст ему оторваться от действительности.
- Избегайте любой сделки, при которой логичное размещение приостановки подвергло бы риску более 2% вашего биржевого капитала.
- Биржевое дело - это марафон на всю жизнь.
- Единственный критерий профессионализма - это мировой уровень.
- Профессионалы чрезвычайно серьезно обдумывают свои действия. Выход своим иррациональным побуждениям они дают за стенами биржи.
- Не жадность, но разумное своекорыстие.
- Искусство правильно ставить вопросы.
- На рынке самый опасный месяц - октябрь, а также ноябрь, декабрь, январь, февраль, март, апрель, май, июнь, июль, август и сентябрь. Марк Твен.
- Ставку рефинансирования никогда не повышают один раз.
- На рынке ходят по ковру, сотканному из беспокойства.
- После каждой озвученной информации начинай думать, кто и зачем ее продвинул.
- Не мешай расти прибыли и не давай расти убыткам.
- Важно не то, что покупать или продавать, а то, когда покупать или продавать.
- Бойся убытков, а прибыли сами придут.
- Мнения ничего не стоят, бесценны факты.
- Если сомневаешься, ничего не предпринимай.
- Как можно быстрее научись мириться с убытками.
- Сократи свою открытую позицию до таких размеров, когда сможешь спать спокойно.
- Чёрт всегда сидит в деталях.
ПРИЛОЖЕНИЕ №3
ОСНОВЫ ТЕОРИИ ВЕРОЯТНОСТЕЙ
ПРИЛОЖЕНИЕ №4
ОСНОВНЫЕ ФИНАНСОВЫЕ ФОРМУЛЫ
ПРИЛОЖЕНИЕ №5
ГЛОССАРИЙ
ПРИЛОЖЕНИЕ №6
ДВЕНАДЦАТИЛЕТНИЙ ЦИКЛ РОССИИ
ПРИЛОЖЕНИЕ №8
ЗАПИСКИ НА МАНЖЕТАХ
[Принцип последовательного разрешения неопределенности]
[Проблема количественного определения риска; модель количественного определения риска. Модель количественного определения будущего риска (риска в будущем)]
[После того, как мы окончательно потеряли из виду цель, мы удвоили свои усилия. Марк Твен]
[В результате творческого процесса создается нечто новое, что-то такое, чего раньше не было]
[Как-то один ученый на вопрос: “как делается открытие?” ответил, что все знают, что этого сделать нельзя, но находится один чудак, который этого не знает, он и делает открытие]
[Как известно, понятия “много” и “мало” очень относительны]
[тривиальный случай - это случай, который в силу своей очевидности не вносит никаких проблем для принятия решения и поэтому не представляет интереса ни для теории, ни для практики]
[Под опытом понимается не только собственная практика лица, принимающего решение, но и чужой опыт, который описан в книгах, монографиях, обобщен в инструкциях, рекомендациях и других руководящих материалах. Опыт - это результат...]
[Теория управления фактически представляет собой набор методов пополнения недостающей информации об управляемом процессе, а точнее говоря, о том, как поведет себя объект при выбранном воздействии]
[Человечеству всегда хотелось знать будущее]
[Одна из возможных целей математического моделирования связана с желанием разобраться, хотя бы качественно, в свойствах управляемой системы вообще]
[право окончательного выбора]
[когда нет точных данных, остается лишь предполагать и строить догадки]
[Исследования показали, что предел сложности решаемой человеком проблемы существует и может быть измерен: 1) каждой решаемой задаче соответствует определенный порог сложности - некоторое предельное число независимых переменных, которое одновременно может быть учтено принимающим решением; 2) порог сложности - неубывающая функция времени, отведенного на принятие решения. Порог сложности выступает мерой числа уровней иерархии обобщений, поскольку задачи, решаемые на каждом уровне, не должны превышать соответствующего им порога сложности]
[О красоте и симметрии в природе: n-мерное пространство и художник. Принцип интеллектуального эстетизма]
[хаос второго порядка]
[неопределенный - точно не установленный, не вполне отчетливый, уклончивый; в грамматике исходная форма глагола, отвечающая на вопрос “что делать?”]
[Принцип контринтуитивного поведения: дать удовлетворительный прогноз о поведении сложной системы в достаточно большом промежутке времени, опираясь только на собственный опыт и интуицию, практически невозможно, т.к. сложная система реагирует на воздействия совсем иным образом, чем это нами интуитивно ожидалось]
[“безвыходным мы называем то положение, простой и ясный выход из которого нам не нравится” - Станислав Лем]
[эта проклятая неопределенность]
[Считалось, что в прежнюю эпоху банковского дела оно состояло главным образом в бережливом управлении активами и пассивами. В современную эпоху оно в неизмеримо большей степени связано с риском. Поэтому главный вопрос состоит сейчас в том, как избежать риска и при этом получать достаточно высокие доходы для сохранения средств вкладчиков и жизнеспособности. Оценка риска для банковских учреждений и управление им - центральная тема предлагаемой книги.]
[искусство предположений - Бернулли]
[Случай играет в мире столь большую роль, что обыкновенно я стараюсь отвести ему как можно меньше места в уверенности, что и без моей помощи он позаботится о себе. А.Дюма]
[семантика: “риск - благородное дело”, “кто не рискует, тот...”, “с риском для жизни” и “рискованный поступок, рискованный шаг, рискованный туалет, излишний риск” - с оттенком неодобрения; второе значение прилагательного “рискованный” - “не совсем приличный, двусмысленный”; первое - “опасный, содержащий в себе риск”]
[использование высказываний типа “если не А, то не Б”]
[нужда - мать изобретений]
[финансовые менеджеры вознаграждаются за благоразумные суждения о соотношении риска и прибылей]
[ремарка в одном из ранних изданий Шекспира - “входит призрак в домашнем халате”]
[несчастный случай - следствие неадекватного поведения человека в опасной ситуации]
[осторожность - лучшая часть мужества]
[Рынок - это специально отведенное место, где люди могут обманывать друг друга. Греческая пословица]
[Планирование - это активное и сознательное стремление к будущему. Планирование - концепция целенаправленного поведения. План это то, во что люди хотят верить, а не то во что должны верить]
[Как ученый Нильс Бор начинал с того, что в студенческие годы “собирался писать кое-что философское” - искал математическое решение проблемы свободы воли]
[Фактически красота формулы отличается от красоты музыки не более, чем красота музыки от красоты картины]
[Делать все, обучившись, или не делать вовсе. Душа невидима, а потому и пропорции, царящие в ней, не так-то легко заметить. Тела живых существ демиург сам делать не стал. Он поручил это созданным им богам, предупредив их только, чтобы они во всем подражали его собственным творениям. Боги так и поступили. Копируя очертания Вселенной, “со всех сторон круглой”, они из частиц огня и земли, воздуха и воды, занятых ими у космоса, создали “сферовидное тело, то самое, которое мы ныне именуем головой” и которое являет собой божественнейшую часть человека, “владычествующую над остальными частями”. В пределы головы они и включили оба свойственных душе “божественных” круговращения - “тождественное” и “иное”. А чтобы голова не катилась по земле, “всюду покрытой буграми и ямами”, боги придали ей “вездеходную колесницу” - туловище, руки и ноги. “Причина, по которой Бог изобрел и даровал нам зрение, именно эта: чтобы мы, наблюдая круговращение ума в небе, извлекли пользу для круговращения нашего мышления, которое сродни тем, небесным [круговоротам], хотя в отличие от их невозмутимости оно подвержено возмущению; а потому, уразумев и усвоив природную правильность рассуждений, мы должны, подражая безупречным круговращениям Бога, упорядочить непостоянные круговращения внутри нас”. “...невежество - этот злейший из всех недугов”. Законы для государства - это то же самое, что добродетель для человека. Платон]
[В науке часто случается, что неточность наблюдений приводит к открытию важного факта. Макс Борн.]
[Свинья не может быть свиноводом. Тимофеев-Ресовский.]
[боковые ветви кривой нормального распределения мнений]
[Религия - обозначение веры в рациональную природу реальности. Эйнштейн.]
[Законы природы не зависят от системы координат, в которой мы их описываем]
[по словам Макса Борна Эйнштейн был всегда убежден, “что наиболее глубокие законы природы причинны..., что вероятность необходима только для того, чтобы прикрыть наше невежество, когда нам приходится иметь дело с большим числом частиц, и что только глубина этого невежества выдвигает статистику на передний план”]
[Платон, как и пифагорейцы, (а вслед за ними и Гейзенберг) полагал: сердцевину мироздания составляют простые и изящные математические связи и формы]
[Так было до сих пор - вот единственное основание, чтобы предполагать, что так будет и в дальнейшем]
[Борн о Гейзенберге: “был исключительно талантлив, но молод и невежествен”]
[“... простота законов природы имеет объективный характер и ... речь идет не только об экономии мышления. Если в процессе изучения природы нам удается прийти к математическим формам, обладающим большой простотой и изяществом, ... формам, не приходившим ранее никому в голову, можно с уверенностью сказать, что они “верны”, т.е. отражают нечто реально происходящее в природе. Эти формы могут описывать и наше отношение к природе, и содержать в себе определенный элемент экономии мышления. Однако, поскольку эти формы не могут быть выведены чисто логическим путем, нам остается лишь извлекать их из природы. Т.о., эти формы следует считать не только частью наших представлений о реальности, но и частью самой реальности”. Гейзенберг]
[результаты наблюдений ставились в зависимость от действий наблюдателя. Измерения не проходят безнаказанно для измеряемого]
[В науке, чего бы ни касалось там дело, всякая неопределенность вызывает ощущение неудобства, неловкости, осознанное или неосознанное]
[Мыслящий ум не чувствует себя счастливым, пока ему не удастся связать воедино разрозненные факты, им наблюдаемые... Эта “интеллектуальная несчастливость” всего более и побуждает... думать - делать науку”]
[Наука всегда остается неправой. Она никогда не решит вопроса, не поставив при этом десятка новых. Бернард Шоу]
[волшебная палочка принципа соответствия]
[хороший ответ - это ответ, согласный с природой]
[Вдвоем привидения не увидишь. Испанская народная мудрость]
[Без способности к умственному одиночеству культура была бы невозможна. Бертран Рассел. Вот почему масс-медиа разрушают культуру!]
[Резерфорд после шести часов вечера разгонял остающихся в лаборатории: “Нельзя все время работать - надо же когда-нибудь и думать!”]
[совместное знание несовместимого возможно с ограничениями, которых не устранить]
[“Ступив на самое дно, он услышал, как снизу стучат!” Ежи Лец]
[Нет движения, а есть преодоление расстояний. Зенон.]
[Сократ, не оставивший после себя ни одной строчки, объяснял это тем, что письменная речь не может в полной мере воспроизвести устную. Более того, письменная речь препятствует общению, так как с ее помощью запечатлено уже сказанное, а возможность продолжить мысль или спор есть лишь при живой беседе. “Сколько же есть вещей, без которых можно жить”. “Женишься ты или не женишься, а все равно раскаешься”. “Существует лишь один бог - знания и только один дьявол - невежество”.]
[Если тебя спросят, в чем благополучие, ответствуй: быть в согласии с сами собой. Гражданин без собственности не имеет отечества. Пифагор.]
[Когда возросла моя цена, не нашлось для меня покупателя. Ибн Сина (Авиценна)]
[Качественный анализ основан на использовании информации, которая не может быть выражена в количественных показателях.]
[интуитивно привлекательный, интуитивно очевиден]
[Диалектика регулирования - циклический процесс непрерывного приспособления друг к другу противоположных сил - регулирования и уклонения от регулирования]
[Инвестиционный горизонт определяется как период до планового закрытия позиции и использования доходов от инвестиции]
[ожидаемая доходность - это средний процентный доход, связанный с некоторой позицией, а риск - это стандартное отклонение процентного дохода, связанного с этой позицией]
[“Тьмы низких истин нам дороже нас возвышающий обман”. Пушкин]
[Где-то в конце 80-х Феллини и Бондарчук ехали на машине по Риму, Феллини неожиданно остановил у кинотеатра машину, сказал: - Зайдем на минутку. Они зашли. В зале было пусто. - А где же зрители? - спросил Бондарчук. - Мои зрители все умерли, - сказал Феллини. Жил он после этого недолго. Кончаловский, “Низкие истины”]
[Истина приходит к человеку в три стадии. Первая - она высмеивается, вторая - встречает яростное сопротивление, третья - воспринимается как банальность. Шопенгауэр]
[Опыт - это результат...]
[Ум человека... проявляется в способности мудро поступать в доступных его пониманию ситуациях. Уайтхед.]
[Ошибки в трейдинге: 1) неправильная методология выбора продолжительности жизни позиций, когда возникает несоответствие между продолжительностью предыдущих наблюдений и сроками, на которые берутся позиции; 2) невыполнение в полном объеме домашней работы: если у вас нет четко проработанной концепции данной инвестиции, столкнувшись с неожиданностями рынка, вы окажетесь неподготовленными.]
[стандарты торговли ценными бумагами]
[После того как выгоды становятся очевидны всем, многие удивляются, почему они не додумались до этого сами.]
[“наивный” подход]
[путник]
[Древние мудрецы знали, что болезни - единственный способ, которым природа может напомнить человеку о необходимости жить в согласии с ней.]
[В пифагорейском учении особую роль играла математика. В то время она была еще не наукой, а скорее искусством. “Все вещи суть числа”, причем числа служили не только для обозначения количества, но и наделялись глубокими символическими, магическими, космологическими значениями. Пифагорейцы считали число тем инструментом, которым пользовался Создатель, чтобы упорядочить хаос и определить для каждой вещи и каждого существа их природу и судьбу. Все, что можно сосчитать или хотя бы соотнести с числом, несет в себе светлое, доброе, здравое начало. Напротив, то, что не поддается счету, является источником хаоса, зла, несчастья. Постижение чисел считалось у пифагорейцев знанием эзотерическим, то есть дающим власть над миром, поэтому к занятиям математикой допускали не всех учеников, а только тех, кто пройдя через ряд испытаний, сумел доказать, что обладает ясностью ума, добрым расположением духа, способен владеть собой. Главным смыслом всей жизни для пифагорейцев было “уподобление богу”, то есть раскрытие и проявление тех божественных свойств, которые, как они полагали, заложены в каждом человеке, но познаются немногими. Пифагореец ясно видел высокую цель своей жизни и каждый шаг соразмерял с ней. К телу пифагорейцы относились как к инструменту души, который нужно поддерживать в хорошем состоянии. Таким образом, заботы о нравственном и физическом здоровье в пифагорейском искусстве жить сливались воедино. Пифагор во всем советовал соблюдать меру, это была основа пифагорейского образа жизни. А что такое мера? По Пифагору “мера есть то, что не в тягость”, при этом “то, что необходимо, то и возможно”. Пифагор говорил: “Любым способом следует избегать и отсекать огнем, железом и всеми другими средствами от тела болезнь, от души - невежество, от желудка - излишество, от города - смуту, от дома - разногласие, от всего в целом - неумеренность”. Именно Пифагор изобрел слово “философия”, сложив его из двух корней: “любовь” и “мудрость”. Достижение мудрости и есть цель философии. Пифагор был убежден, что ни одно из несчастий не должно быть неожиданным для умного человека.]
[время разбрасывать камни, время собирать камни и... время просто смотреть на них.]
[Однажды один юный принц решил узнать Истину. Юноша отправился к мудрецу, живущему поблизости от дворца, и спросил: “Можешь ли ты открыть мне Истину?” - “Могу, - ответил мудрец, - но вряд ли ты поймешь ее”. Но мальчик настаивал и мудрец согласился открыть ему тайное знание. Однако эта Истина не показалась юноше настоящей Истиной, и он снова отправился в путь. Через три дня он достиг жилища другого мудреца, и тот тоже открыл ему Истину, но и эта Истина не устраивала юношу. Долго скитался он по свету, пока не нашел настоящего Мастера. “Знаешь ли ты Истину?” - спросил он Мастера. - “Да, но, прежде чем я открою ее тебе, ты должен год чистить мой хлев и конюшню”. Принц согласился и через год пришел за Истиной, но Мастер сказал: “Ты не слишком хорошо работал этот год, и, по-моему, ты еще не готов к тому, чтобы услышать Истину. Поработай еще три года, и тогда я открою тебе то, что ты так страстно желаешь знать”. Через три года повзрослевший юноша снова пришел к мудрецу. Позади было годы изнурительного труда, его руки были покрыты мозолями, а запах навоза, кажется, пропитал его насквозь. “Я хочу сказать тебе несколько вещей, принц, - начал мудрец. - первое - ты прекрасно чистил навоз все это время. Честно говоря, у меня еще не было ученика, который бы чистил навоз так хорошо. Второе - я думаю, ты уже достаточно повзрослел чтобы узнать истину. Приходи через три дня, и я открою тебе ее”. Через три дня счастливый принц снова пришел к Мастеру, и Учитель тихо на ухо прошептал ему Истину. “Но ведь это та же самая Истина, которую я услышал от первого мудреца!” - вскричал он. “Да, но теперь ты ее ПОНЯЛ”]
[Жарким летним днем Мастер Дзэн собрал своих учеников в тенистой роще для проповеди. Только собрался с мыслями, как на ветку дерева, под которым он сидел, прилетела маленькая птичка и запела сладким голосом. Все сидели в молчании и слушали прекрасную песню радости и жизни. Так продолжалось несколько минут, потом птичка вспорхнула и куда-то унеслась. Мастер сказал: “Проповедь окончена”.]
[При всей сложности и интеллектуальной изысканности буддистской философии, когда сталкиваешься с реальной практикой, возникает ощущение, что за всеми умозрительными построениями буддизма кроется что-то очень-очень простое. Этому ощущению соответствует и легенда о том, как Будда, пробудившись к реальности, воскликнул: “Как это просто!” - и, прежде чем начать учить других, испытал сомнение: смогут ли люди понять и поверить в то, что Истина может быть настолько проста. Вероятно, проблемы начинают возникать, когда мы, пытаясь описать реальность, неминуемо запутываемся в словах. Именно поэтому в буддизме настолько важен Реальный Путь - практика. Будда принципиально не отвечал на вопросы общефилософского плана, как-то: вечен ли мир, конечна ли Вселенная, существует ли жизнь после смерти? Однажды после медитации он вернулся в общину, держа охапку листьев. Он поднял ее и спросил: “Братья, что больше - количество листьев в моей руке или количество листьев в лесу?” Монахи ответили: “Конечно, количество листьев в лесу”. Будда сказал: “Так же и то, что я вижу, больше того, чему я учу. Почему? Потому что я учу только тем вещам, которые действительно необходимы и полезны для достижения Пути”.]
[даже за тяжелыми тучами всегда есть синее небо, и у каждого человека есть возможность увидеть его]
[Однажды по дороге во весь опор мчался всадник и стоящий рядом с дорогой человек крикнул ему вслед: “Куда ты так спешишь?” На что удаляющийся наездник бросил в ответ: “Я не знаю, спроси лучше у моей лошади!”.]
[практика улыбки]
[Однажды Мастер сказал ученикам: “В мире нет Абсолютной Истины”. Один из учеников спросил: “А эта Истина - Абсолютна?”. “Нет, конечно”, - улыбнулся Мастер.]
[Доверие - категория абстрактная и должно подкрепляться конкретными мерами безопасности - Христа продали за $19.]
[...последние годы я посвятил исследованию этой мысли]
[метод сжигания проблем: написать на листке все, что беспокоило с самого детства, а потом сжечь этот листок. По Гераклиту огонь - символ вечного духа, разрушающего и вновь образующего вещи. Возможное объяснение: наши мысли - это голограммы, которые наслаиваются вокруг нас годами и десятилетиями. Уничтожить голографическое изображение может только нагревание. Выраженные в письменной форме мысли - тоже голограммы, только более слабые, следовательно, и их можно уничтожить огнем.]
[Когда я был маленьким, я считал, что в театр ходят, дабы провести время. Теперь же я знаю, что туда идут, дабы задержать это время. Клод Руа. Время - 1) это последовательность событий; 2) форма внутреннего существования человека. Кант. Человек проживает день не в 60-, а в 90-минутном режиме: в течение такого отрезка времени мы можем сосредоточиться на каком-либо занятии, не испытывая чувства голода, жажды или потребности посетить туалет.]
ЛИТЕРАТУРА
- Абчук. Риск в морской практике.
- Бердяев Н. Судьба России. - М: Мысль, 1990.
- Буренин А.Н. Рынки производных финансовых инструментов. - М: ИНФРА-М, 1996.
- Вершинин О.Е. Компьютер для менеджера. - М: Высшая школа, 1990.
- Гмурман В.Е. Теория вероятностей и математическая статистика. - М: Высшая школа, 1977.
- Данин Д. Вероятностный мир. - М: Знание, 1981.
- Денисов И. О построении торговых систем на российском фондовом рынке. - М: журнал “Рынок ценных бумаг” №7, 1999.
- Долан Э.Дж., Кэмпбелл К.Д., Кэмпбелл Р.Дж. Деньги, банковское дело и денежно-кредитная политика. - М-Л: ДваТри, 1991.
- Ерофеев В. Конь и изба. - М: журнал “Будь здоров” № 4, 1999.
- Князева М. Путь России. - М: журнал “Будь здоров” № 5, 1998.
- Кордемский Б.А. Математика изучает случайности. - М: Просвещение, 1975.
- Королькевич В.А. Дилинг и ценные бумаги. Англо-русский словарь терминов и определений. - М: Ось-89, 1996.
- Маршал Джон Ф., Бансал Викул К.. Финансовая инженерия: полное руководство по финансовым нововведениям. - М: ИНФРА-М, 1998.
- Мороз О. Прекрасна ли истина? - М: Знание, 1989.
- Роуз П.С. Банковский менеджмент. - М: ДЕЛО Лтд, 1995.
- Синки Дж. Ф. Управление финансами в коммерческих банках. - М: Catallaxy, 1994.
- Шарп У.Ф., Александер Г.Дж., Бэйли Д.В. Инвестиции. - М: ИНФРА-М, 1997.
- Шенкман С. Рискнем? - М: журнал “Будь здоров” № 3, 1998.
- Элдер А. Как играть и выигрывать на бирже. -
Биржевая торговля: Управление капиталом - Портфель - Риск - Страхование